Cập nhật lần cuối :
18/03/2026
Thuốc chống đông   Heparin sodium  
Dạng tiêm
Tính ổn định của các dung dịch Độ ổn định khi trộn lẫn Những yếu tố ảnh hưởng đến độ ổn định Khả năng tương thích Đường dùng Tài liệu tham khảo Pdf
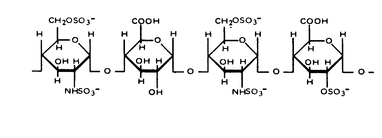
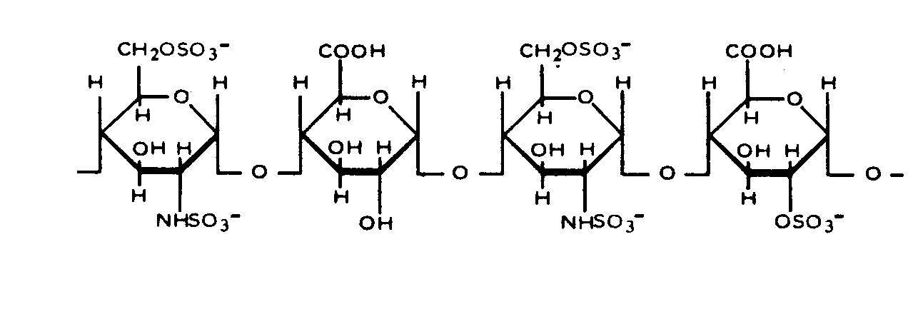
   Cấu trúc hóa học  

Tên thương mại   Tên thương mại     

Các tên thương mại được cung cấp và thành phần tá dược có thể khác nhau giữa các quốc gia và các hãng dược

Arapin Chile
Ateroclar Ý
Clarisco Ý
Epsoclar Ý
Hepaflex Na Uy, Phần Lan
Hepamax Chile, Colombia, Ecuador
Heparin Anh, Áo, Canada, Cộng hòa Nam Phi, Hà Lan, Hoa Kỳ, Hungary, Hy Lạp, Na Uy, Nga, Phần Lan, Serbia, Thái Lan, Thổ Nhĩ Kỳ, Thụy Sỹ, Thụy Điển, Đan Mạch
Heparine Bỉ, Pháp
Heparinised Úc
Heparstad Đức
Liquemin Thổ Nhĩ Kỳ, Thụy Sỹ
Liquemine Brazil
Monoparin Ả Rập Saudi
Normoparin Ý
Nuparin Ecuador
Pharepa Ý
Riveparin Argentina
Sobrius Argentina, Ecuador
Thrombophob Đức
Khả năng tương thích   Dạng tiêm   Khả năng tương thích : Heparin sodium              
Màn hình này cho biết khả năng tương thích hoặc không tương thích, trong trường hợp này là loại không tương thích (kết tủa, thay đổi màu sắc, sửa đổi nhũ tương, v.v.). Sự tương hợp được chỉ ra ở đây chủ yếu chỉ là vật lý, với độ ổn định hóa học của mỗi phân tử hiếm khi được đánh giá. Việc đánh giá các hỗn hợp này được nghiên cứu để xem xét khả năng sử dụng vị trí Y cho bệnh nhân. Những dữ liệu này không thể được sử dụng để tạo hỗn hợp trước trong túi hoặc ống tiêm. Loại thông tin này có sẵn trong màn hình "Độ ổn định trong hỗn hợp».
Phân tử Dung môi Mục lục
Tương thích
Dạng tiêm Heparin sodium 100 UI/ml
Dạng tiêm Aciclovir sodium 5 mg/ml
NaCl 0,9% 2335
Tương thích
Dạng tiêm Heparin sodium 50 UI/ml
Dạng tiêm Aciclovir sodium 5 mg/ml
Glucose 5% 336
Tương thích
Dạng tiêm Heparin sodium 100 UI/ml
Dạng tiêm Aldesleukin 0.0338 MUI/ml
Glucose 5% 36
Tương thích
Dạng tiêm Heparin sodium 100 UI/ml
Dạng tiêm Allopurinol sodium 3 mg/ml
NaCl 0,9% 307
Tương thích
Dạng tiêm Heparin sodium 1 UI/ml
Dạng tiêm Alprostadil 20 µg/ml
NaCl 0,9% 4491
Tương thích
Dạng tiêm Heparin sodium 1 UI/ml
Dạng tiêm Alprostadil 20 µg/ml
Glucose 5% 4651
Lượng mưa sau 24 giờ Không tương thích
Dạng tiêm Heparin sodium 100 UI/ml
Dạng tiêm Alteplase 1 mg/ml
Nước cất pha tiêm 92
Không tương thích không xác định Không tương thích
Dạng tiêm Heparin sodium
Dạng tiêm Alteplase
3540
Lượng mưa ngay lập tức Không tương thích
Dạng tiêm Heparin sodium 40 UI/ml
Dạng tiêm Alteplase 0.5 mg/ml
Nước cất pha tiêm 240
Không tương thích không xác định Không tương thích
Dạng tiêm Heparin sodium
Dạng tiêm Alteplase
3616
Tương thích
Dạng tiêm Heparin sodium 100 UI/ml
Dạng tiêm Amifostine 10 mg/ml
Glucose 5% 3
Lượng mưa ngay lập tức Không tương thích
Dạng tiêm Heparin sodium
Dạng tiêm Amikacin sulfate
1022
Không tương thích không xác định Không tương thích
Dạng tiêm Heparin sodium
Dạng tiêm Amikacin sulfate
3549
Không tương thích không xác định Không tương thích
Dạng tiêm Heparin sodium
Dạng tiêm Amikacin sulfate
3540
Không tương thích không xác định Không tương thích
Dạng tiêm Heparin sodium 500 UI/ml
Dạng tiêm Amiodarone hydrochloride 15 mg/ml
NaCl 0,9% 3823
Không tương thích không xác định Không tương thích
Dạng tiêm Heparin sodium
Dạng tiêm Amiodarone hydrochloride
3540
Độ đục ngay lập tức Không tương thích
Dạng tiêm Heparin sodium 500 UI/ml
Dạng tiêm Amiodarone hydrochloride 15 mg/ml
NaCl 0,9% 3463
Không tương thích không xác định Không tương thích
Dạng tiêm Heparin sodium
Dạng tiêm Amiodarone hydrochloride
3464
Không tương thích không xác định Không tương thích
Dạng tiêm Heparin sodium 500 UI/ml
Dạng tiêm Amiodarone hydrochloride 15 mg/ml
Glucose 5% 3823
Độ đục ngay lập tức Không tương thích
Dạng tiêm Heparin sodium 500 UI/ml
Dạng tiêm Amiodarone hydrochloride 15 mg/ml
Glucose 5% 3463
Tương thích
Dạng tiêm Heparin sodium 208 UI/ml
Dạng tiêm Amoxicillin sodium 20.83 & 83.3 mg/ml
NaCl 0,9% 4254
Tương thích
Dạng tiêm Heparin sodium 1000 UI/ml
Dạng tiêm Amoxicillin sodium / clavulanic acid 100/10 mg/ml
3824
Tương thích
Dạng tiêm Heparin sodium
Dạng tiêm Ampicillin sodium
5088
Tương thích
Dạng tiêm Heparin sodium 50 UI/ml
Dạng tiêm Ampicillin sodium 20 mg/ml
Không 317
Tương thích
Dạng tiêm Heparin sodium 50 UI/ml
Dạng tiêm Ampicillin sodium - sulbactam sodium 30 mg/ml
Không 317
Lượng mưa ngay lập tức Không tương thích
Dạng tiêm Heparin sodium 40 UI/ml
Dạng tiêm Amsacrine 1 mg/ml
Glucose 5% 253
Tương thích
Dạng tiêm Heparin sodium 100 UI/ml
Dạng tiêm Anidulafungin 0.5 mg/ml
Glucose 5% 1982
Lượng mưa ngay lập tức Không tương thích
Dạng tiêm Heparin sodium
Dạng tiêm Antithymocyte globulin (rabbit)
4958
Lượng mưa ngay lập tức Không tương thích
Dạng tiêm Heparin sodium 2 UI/ml
Dạng tiêm Antithymocyte globulin (rabbit) 0,2 & 0,3 mg/ml
Glucose 5% 1822
Tương thích
Dạng tiêm Heparin sodium 100 UI/ml
Dạng tiêm Antithymocyte globulin (rabbit) 0,2 & 0,3 mg/ml
Glucose 5% 1822
Tương thích
Dạng tiêm Heparin sodium 2 & 100 UI/ml
Dạng tiêm Antithymocyte globulin (rabbit) 0,2 & 0,3 mg/ml
NaCl 0,9% 1822
Tương thích
Dạng tiêm Heparin sodium 40 UI/ml
Dạng tiêm Atracurium besylate 0.5 mg/ml
Glucose 5% 402
Tương thích
Dạng tiêm Heparin sodium 1 UI/ml
Dạng tiêm Atropine sulfate 0.5 mg/ml
Glucose 5% 1228
Tương thích
Dạng tiêm Heparin sodium 500 UI/ml
Dinh dưỡng đường tĩnh mạch (có lipids) 4507
Lượng mưa ngay lập tức Không tương thích
Dạng tiêm Heparin sodium 1000 UI/ml
Dạng tiêm Amphotericin B cholesteryl sulfate complex 0.83 mg/ml
Glucose 5% 921
Không tương thích không xác định Không tương thích
Dạng tiêm Heparin sodium
Dạng tiêm Ampicillin sodium
3540
Tương thích
Dạng tiêm Heparin sodium 10 & 5000 UI/ml
Dạng tiêm Ampicillin sodium 10 mg/ml
NaCl 0,9% 2037
Tương thích
Dạng tiêm Heparin sodium 1 UI/ml
Dạng tiêm Atropine sulfate 0.5 mg/ml
Dung dịch Ringer’s lactate 1228
Tương thích
Dạng tiêm Heparin sodium 1 UI/ml
Dạng tiêm Atropine sulfate 0.5 mg/ml
NaCl 0,9% 1228
Tương thích
Dạng tiêm Heparin sodium 100 UI/ml
Dạng tiêm Aztreonam 40 mg/ml
Glucose 5% 99
Tương thích
Dạng tiêm Heparin sodium 50 UI/ml
Dạng tiêm Aztreonam 20 mg/ml
Không 317
Tương thích
Dạng tiêm Heparin sodium 1 UI/ml
Dạng tiêm Betamethasone sodium phosphate 3 mg/ml
NaCl 0,9% 1228
Tương thích
Dạng tiêm Heparin sodium 1 UI/ml
Dạng tiêm Betamethasone sodium phosphate 3 mg/ml
Glucose 5% 1228
Tương thích
Dạng tiêm Heparin sodium 1 UI/ml
Dạng tiêm Betamethasone sodium phosphate 3 mg/ml
Dung dịch Ringer’s lactate 1228
Tương thích
Dạng tiêm Heparin sodium 100 UI/ml
Dạng tiêm Bivalirudin 5 mg/ml
Glucose 5% 1713
Lượng mưa ngay lập tức Không tương thích
Dạng tiêm Heparin sodium 192.3 UI/ml
Dạng tiêm Blinatumomab 0.125 & 0.375 µg/ml
NaCl 0,9% 3976
Tương thích
Dạng tiêm Heparin sodium 1000 UI/ml
Dạng tiêm Caffeine 10 mg/ml
Không 3964
Tương thích
Dạng tiêm Heparin sodium 100 UI/ml
Dạng tiêm Caffeine 10 mg/ml
NaCl 0,9% 4837
Tương thích
Dạng tiêm Heparin sodium 100 UI/ml
Dạng tiêm Caffeine citrate 20 mg/ml
NaCl 0,9% 4837
Lượng mưa sau 30 phút Không tương thích
Dạng tiêm Heparin sodium 2 UI/ml
Dạng tiêm Calcium chloride 20 mg/ml
Glucose 5% 4732
Tương thích
Dạng tiêm Heparin sodium 100 UI/ml
Dạng tiêm Calcium chloride 20 mg/ml
Glucose 5% 4732
Sự mất ổn định tức thì của nhũ tương Không tương thích
Dạng tiêm Heparin sodium
Dạng tiêm Calcium chloride
Dinh dưỡng đường tĩnh mạch (có lipids) 1084
Sự mất ổn định tức thì của nhũ tương Không tương thích
Dạng tiêm Heparin sodium
Dạng tiêm Calcium gluconate
Dinh dưỡng đường tĩnh mạch (có lipids) 1084
Lượng mưa ngay lập tức Không tương thích
Dạng tiêm Heparin sodium 100 UI/ml
Dạng tiêm Caspofungin acetate 0.5 mg/ml
NaCl 0,9% 2233
Lượng mưa ngay lập tức Không tương thích
Dạng tiêm Heparin sodium 100 UI/ml
Dạng tiêm Caspofungin acetate 0,7 mg/ml
NaCl 0,9% 2247
Không tương thích không xác định Không tương thích
Dạng tiêm Heparin sodium
Dạng tiêm Cefalotin sodium
3540
Tương thích
Dạng tiêm Heparin sodium 10 & 5000 UI/ml
Dạng tiêm Cefazolin sodium 10 mg/ml
NaCl 0,9% 2037
Tương thích
Dạng tiêm Heparin sodium 50 UI/ml
Dạng tiêm Cefazolin sodium 20 mg/ml
Không 317
Tương thích
Dạng tiêm Heparin sodium 0.667 UI/ml
Dạng tiêm Cefazolin sodium 0.333 mg/ml
Dianéal® PD2 1,5% glucose (Baxter) 1979
Tương thích
Dạng tiêm Heparin sodium 10 & 50 UI/ml
Dạng tiêm Cefepime dihydrochloride 4 mg/ml
NaCl 0,9% 3548
Tương thích
Dạng tiêm Heparin sodium 10 & 50 UI/ml
Dạng tiêm Cefepime dihydrochloride 4 mg/ml
Glucose 5% 3548
Tương thích
Dạng tiêm Heparin sodium 1000 UI/ml
Dạng tiêm Cefiderocol sulfate tosylate 20 mg/mL
Glucose 5% 4528
Tương thích
Dạng tiêm Heparin sodium 1000 UI/ml
Dạng tiêm Cefiderocol sulfate tosylate 20 mg/mL
NaCl 0,9% 4528
Không ổn định hóa học Không tương thích
Dạng tiêm Heparin sodium 100 UI/ml
Dạng tiêm Cefmetazole sodium 100 mg/ml
Nước cất pha tiêm 93
Tương thích
Dạng tiêm Heparin sodium 208 UI/ml
Dạng tiêm Cefotaxime sodium 41.6 & 125 mg/ml
Glucose 5% 4254
Tương thích
Dạng tiêm Heparin sodium 208 UI/ml
Dạng tiêm Cefotaxime sodium 41.6 & 125 mg/ml
NaCl 0,9% 4254
Tương thích
Dạng tiêm Heparin sodium 5000 UI/ml
Dạng tiêm Cefotaxime sodium 10 mg/ml
Nước cất pha tiêm 3125
Tương thích
Dạng tiêm Heparin sodium 100 UI/ml
Dạng tiêm Ceftaroline fosamil 2,22 mg/ml
Dung dịch Ringer’s lactate 3249
Tương thích
Dạng tiêm Heparin sodium 100 UI/ml
Dạng tiêm Ceftaroline fosamil 2,22 mg/ml
NaCl 0,9% 3249
Tương thích
Dạng tiêm Heparin sodium 100 UI/ml
Dạng tiêm Ceftaroline fosamil 2,22 mg/ml
Glucose 5% 3249
Tương thích
Dạng tiêm Heparin sodium 0.5 UI/ml
Dạng tiêm Ceftazidime 0.125 mg/ml
Extraneal® (Baxter) 4056
Tương thích
Dạng tiêm Heparin sodium 0.5 UI/ml
Dạng tiêm Ceftazidime 0.125 mg/ml
Dianéal® PD2 4,25% glucose (Baxter) 4056
Tương thích
Dạng tiêm Heparin sodium 50 UI/ml
Dạng tiêm Ceftazidime 20 mg/ml
Không 317
Tương thích
Dạng tiêm Heparin sodium 0.5 UI/ml
Dạng tiêm Ceftazidime 0.125 mg/ml
Dianéal® PD2 2,5% glucose (Baxter) 4056
Tương thích
Dạng tiêm Heparin sodium 100 UI/ml
Dạng tiêm Ceftobiprole medocaril sodium 2 mg/ml
NaCl 0,9% 2269
Tương thích
Dạng tiêm Heparin sodium 100 UI/ml
Dạng tiêm Ceftobiprole medocaril sodium 2 mg/ml
Glucose 5% 2269
Tương thích
Dạng tiêm Heparin sodium 100 UI/ml
Dạng tiêm Ceftobiprole medocaril sodium 2 mg/ml
Dung dịch Ringer’s lactate 2269
Tương thích
Dạng tiêm Heparin sodium 1000 UI/ml
Dạng tiêm Ceftolozane / tazobactam 10/5 mg/ml
NaCl 0,9% 3828
Tương thích
Dạng tiêm Heparin sodium 1000 UI/ml
Dạng tiêm Ceftolozane / tazobactam 10/5 mg/ml
Glucose 5% 3828
Tương thích
Dạng tiêm Heparin sodium 50 UI/ml
Dạng tiêm Ceftriaxone disodium 20 mg/ml
Không 317
Tương thích
Dạng tiêm Heparin sodium 10 & 50 UI/ml
Dạng tiêm Cefuroxime sodium
NaCl 0,9% 3687
Tương thích
Dạng tiêm Heparin sodium 58,34 UI/ml
Dạng tiêm Chlorpromazine hydrochloride 0,26 mg/ml
Glucose 5% 1289
Tương thích
Dạng tiêm Heparin sodium 1 UI/ml
Dạng tiêm Chlorpromazine hydrochloride 10 mg/ml
NaCl 0,9% 1228
Tương thích
Dạng tiêm Heparin sodium 1 UI/ml
Dạng tiêm Chlorpromazine hydrochloride 10 mg/ml
Glucose 5% 1228
Không tương thích không xác định Không tương thích
Dạng tiêm Heparin sodium
Dạng tiêm Chlorpromazine hydrochloride
3540
Tương thích
Dạng tiêm Heparin sodium 1 UI/ml
Dạng tiêm Chlorpromazine hydrochloride 10 mg/ml
Dung dịch Ringer’s lactate 1228
Tương thích
Dạng tiêm Heparin sodium 50 UI/ml
Dạng tiêm Cimetidine hydrochloride 6 mg/ml
Không 317
Tương thích
Dạng tiêm Heparin sodium 5000 & 10000 UI/ml
Dạng tiêm Ciprofloxacin lactate 0.4 & 0.6 mg/ml
NaCl 0,9% 2057
Lượng mưa ngay lập tức Không tương thích
Dạng tiêm Heparin sodium 10 >> 10000 UI/ml
Dạng tiêm Ciprofloxacin lactate 1 mg/ml
NaCl 0,9% 2057
Lượng mưa ngay lập tức Không tương thích
Dạng tiêm Heparin sodium 10 & 100 UI/ml
Dạng tiêm Ciprofloxacin lactate 0.2 mg/ml
NaCl 0,9% 2057
Không tương thích không xác định Không tương thích
Dạng tiêm Heparin sodium
Dạng tiêm Ciprofloxacin lactate
3540
Lượng mưa ngay lập tức Không tương thích
Dạng tiêm Heparin sodium 10 >> 1000 UI/ml
Dạng tiêm Ciprofloxacin lactate 0.4 & 0.6 mg/ml
NaCl 0,9% 2057
Tương thích
Dạng tiêm Heparin sodium 1000 >> 10000 UI/ml
Dạng tiêm Ciprofloxacin lactate 0.2 mg/ml
NaCl 0,9% 2057
Lượng mưa ngay lập tức Không tương thích
Dạng tiêm Heparin sodium 10 >> 5000 UI/ml
Dạng tiêm Ciprofloxacin lactate 0.8 mg/ml
NaCl 0,9% 2057
Tương thích
Dạng tiêm Heparin sodium 10 >> 10000 UI/ml
Dạng tiêm Ciprofloxacin lactate 0.1 mg/ml
NaCl 0,9% 2057
Lượng mưa ngay lập tức Không tương thích
Dạng tiêm Heparin sodium 100 UI/ml
Dạng tiêm Ciprofloxacin lactate 2 mg/ml
NaCl 0,9% 288
Không tương thích không xác định Không tương thích
Dạng tiêm Heparin sodium
Dạng tiêm Ciprofloxacin lactate
3529
Lượng mưa ngay lập tức Không tương thích
Dạng tiêm Heparin sodium 100 UI/ml
Dạng tiêm Ciprofloxacin lactate 2 mg/ml
Glucose 5% 288
Lượng mưa ngay lập tức Không tương thích
Dạng tiêm Heparin sodium 10 >> 1000 UI/ml
Dạng tiêm Ciprofloxacin lactate 2 mg/ml
NaCl 0,9% 289
Độ đục ngay lập tức Không tương thích
Dạng tiêm Heparin sodium 10 UI/ml
Dạng tiêm Ciprofloxacin lactate 2 mg/ml
Không 1393
Tương thích
Dạng tiêm Heparin sodium 10000 UI/ml
Dạng tiêm Ciprofloxacin lactate 0.8 mg/ml
NaCl 0,9% 2057
Tương thích
Dạng tiêm Heparin sodium 100 UI/ml
Dạng tiêm Cisatracurium besylate 0.1 & 2 mg/ml
Glucose 5% 299
Lượng mưa ngay lập tức Không tương thích
Dạng tiêm Heparin sodium 100 UI/ml
Dạng tiêm Cisatracurium besylate 5 mg/ml
Glucose 5% 299
Thay đổi màu sắc Không tương thích
Dạng tiêm Heparin sodium 500 UI/ml
Dạng tiêm Cisatracurium besylate 5 mg/ml
NaCl 0,9% 3463
Không tương thích không xác định Không tương thích
Dạng tiêm Heparin sodium 500 UI/ml
Dạng tiêm Cisatracurium besylate 5 mg/ml
NaCl 0,9% 3823
Không tương thích không xác định Không tương thích
Dạng tiêm Heparin sodium
Dạng tiêm Cisatracurium besylate
3540
Tương thích
Dạng tiêm Heparin sodium 100 UI/ml
Dạng tiêm Cladribine 0.5 mg/ml
NaCl 0,9% + chất kháng khuẩn 1496
Tương thích
Dạng tiêm Heparin sodium 100 UI/ml
Dạng tiêm Cladribine 0.015 mg/ml
NaCl 0,9% 1496
Tương thích
Dạng tiêm Heparin sodium 50 UI/ml
Dạng tiêm Clindamycin phosphate 12 mg/ml
Không 317
Tương thích
Dạng tiêm Heparin sodium 50 UI/ml
Dạng tiêm Clonidine hydrochloride 0.0075 mg/ml
NaCl 0,9% 1506
Tương thích
Dạng tiêm Heparin sodium 50 UI/ml
Dạng tiêm Clonidine hydrochloride 0.0075 mg/ml
Glucose 5% 1506
Tương thích
Dạng tiêm Heparin sodium 100 UI/ml
Dạng tiêm Cloxacillin sodium 100 mg/ml
Nước cất pha tiêm 3012
Lượng mưa sau 4 giờ Không tương thích
Dạng tiêm Heparin sodium 208 UI/ml
Dạng tiêm Co-trimoxazole 3.2/0.64 & 80/16 mg/ml
NaCl 0,9% 4254
Lượng mưa sau 4 giờ Không tương thích
Dạng tiêm Heparin sodium 208 UI/ml
Dạng tiêm Co-trimoxazole 3.2/0.64 & 80/16 mg/ml
Glucose 5% 4254
Tương thích
Dạng tiêm Heparin sodium 1 UI/ml
Dạng tiêm Cyanocobalamine 0.1 mg/ml
Dung dịch Ringer’s lactate 1228
Tương thích
Dạng tiêm Heparin sodium 1 UI/ml
Dạng tiêm Cyanocobalamine 0.1 mg/ml
Glucose 5% 1228
Tương thích
Dạng tiêm Heparin sodium 1 UI/ml
Dạng tiêm Cyanocobalamine 0.1 mg/ml
NaCl 0,9% 1228
Không tương thích không xác định Không tương thích
Dạng tiêm Heparin sodium
Dạng tiêm Cytarabine
3540
Không tương thích không xác định Không tương thích
Dạng tiêm Heparin sodium
Dạng tiêm Cytarabine
3580
Không tương thích không xác định Không tương thích
Dạng tiêm Heparin sodium
Dạng tiêm Dacarbazine
3605
Lượng mưa ngay lập tức Không tương thích
Dạng tiêm Heparin sodium 100 UI/ml
Dạng tiêm Dacarbazine 25 mg/ml
NaCl 0,9% 860
Không tương thích không xác định Không tương thích
Dạng tiêm Heparin sodium
Dạng tiêm Dacarbazine
3267
Không tương thích không xác định Không tương thích
Dạng tiêm Heparin sodium
Dạng tiêm Dacarbazine
3540
Tương thích
Dạng tiêm Heparin sodium
Dạng tiêm Daptomycin
2271
Tương thích
Dạng tiêm Heparin sodium 98 UI/ml
Dạng tiêm Daptomycin 19,6 mg/ml
NaCl 0,9% 1937
Lượng mưa ngay lập tức Không tương thích
Dạng tiêm Heparin sodium
Dạng tiêm Daunorubicin hydrochloride
3604
Không tương thích không xác định Không tương thích
Dạng tiêm Heparin sodium
Dạng tiêm Daunorubicin hydrochloride
3540
Lượng mưa ngay lập tức Không tương thích
Dạng tiêm Heparin sodium
Dạng tiêm Daunorubicin hydrochloride liposome
3577
Độ đục ngay lập tức Không tương thích
Dạng tiêm Heparin sodium
Dạng tiêm Daunorubicin/cytarabine liposomale 0,4 mg/mL
NaCl 0,9% 4654
Tương thích
Dạng tiêm Heparin sodium 373 UI/ml
Dạng tiêm Defibrotide 8 mg/ml
NaCl 0,9% 3728
Tương thích
Dạng tiêm Heparin sodium 50 UI/ml
Dạng tiêm Dexamethasone sodium phosphate 0.08 mg/ml
Không 317
Tương thích
Dạng tiêm Heparin sodium
Dạng tiêm Dexketoprofen
4981
Tương thích
Dạng tiêm Heparin sodium 100 UI/ml
Dạng tiêm Dexmedetomidine 4 µg/ml
NaCl 0,9% 1712
Tương thích
Dạng tiêm Heparin sodium 10000 UI/ml
Dạng tiêm Diatrizoate meglumine 283 mg/ml
Không 1085
Không tương thích không xác định Không tương thích
Dạng tiêm Heparin sodium
Dạng tiêm Diazepam
3540
Tương thích
Dạng tiêm Heparin sodium 100 UI/ml
Dạng tiêm Diltiazem hydrochloride 1 mg/ml
314
Lượng mưa ngay lập tức Không tương thích
Dạng tiêm Heparin sodium 20000 UI/ml
Dạng tiêm Diltiazem hydrochloride 5 mg/ml
NaCl 0,9% 198
Tương thích
Dạng tiêm Heparin sodium 100 UI/ml
Dạng tiêm Diltiazem hydrochloride 1 mg/ml
Glucose 5% 4556
Độ đục ngay lập tức Không tương thích
Dạng tiêm Heparin sodium 100 UI/ml
Dạng tiêm Diltiazem hydrochloride 5 mg/ml
Glucose 5% 4556
Tương thích
Dạng tiêm Heparin sodium 20000 UI/ml
Dạng tiêm Diltiazem hydrochloride 1 mg/ml
NaCl 0,9% 198
Tương thích
Dạng tiêm Heparin sodium
Dạng tiêm Diltiazem hydrochloride
5090
Tương thích
Dạng tiêm Heparin sodium 80 >> 10000 UI/ml
Dạng tiêm Diltiazem hydrochloride 1 & 5 mg/ml
NaCl 0,9% 198
Lượng mưa ngay lập tức Không tương thích
Dạng tiêm Heparin sodium
Dạng tiêm Dimenhydrinate
2087
Tương thích
Dạng tiêm Heparin sodium 1 UI/ml
Dạng tiêm Diphenhydramine hydrochloride 50 mg/ml
NaCl 0,9% 1228
Tương thích
Dạng tiêm Heparin sodium 1 UI/ml
Dạng tiêm Diphenhydramine hydrochloride 50 mg/ml
Glucose 5% 1228
Tương thích
Dạng tiêm Heparin sodium 1 UI/ml
Dạng tiêm Diphenhydramine hydrochloride 50 mg/ml
Dung dịch Ringer’s lactate 1228
Lượng mưa sau 4 giờ Không tương thích
Dạng tiêm Heparin sodium 100 UI/ml
Dạng tiêm Dobutamine hydrochloride 4 mg/ml
314
Tương thích
Dạng tiêm Heparin sodium 40 UI/ml
Dạng tiêm Dobutamine hydrochloride 1 mg/ml
NaCl 0,9% 1058
Tương thích
Dạng tiêm Heparin sodium 100 UI/ml
Dạng tiêm Dobutamine hydrochloride 2 mg/ml
Glucose 5% 1041
Lượng mưa ngay lập tức Không tương thích
Dạng tiêm Heparin sodium 100 UI/ml
Dạng tiêm Dobutamine hydrochloride 2 mg/ml
Glucose 5% 1352
Độ đục ngay lập tức Không tương thích
Dạng tiêm Heparin sodium 100 UI/ml
Dạng tiêm Dobutamine hydrochloride 4 mg/ml
Glucose 5% 295
Lượng mưa ngay lập tức Không tương thích
Dạng tiêm Heparin sodium
Dạng tiêm Dobutamine hydrochloride
3540
Thay đổi màu sau 6 giờ Không tương thích
Dạng tiêm Heparin sodium 10000 UI/ml
Dạng tiêm Dobutamine hydrochloride 2 mg/ml
Glucose 5% 1041
Tương thích
Dạng tiêm Heparin sodium 40 UI/ml
Dạng tiêm Dobutamine hydrochloride 1 mg/ml
Glucose 5% 1058
Tương thích
Dạng tiêm Heparin sodium 50 UI/ml
Dạng tiêm Dobutamine hydrochloride 1 mg/ml
Không 317
Tương thích
Dạng tiêm Heparin sodium 100 UI/ml
Dạng tiêm Docetaxel 0.9 mg/ml
Glucose 5% 1754
Tương thích
Dạng tiêm Heparin sodium 1 UI/ml
Dạng tiêm Dopamine hydrochloride 40 mg/ml
NaCl 0,9% 1228
Tương thích
Dạng tiêm Heparin sodium 50 UI/ml
Dạng tiêm Dopamine hydrochloride 1.6 mg/ml
Không 317
Tương thích
Dạng tiêm Heparin sodium 100 UI/ml
Dạng tiêm Dopamine hydrochloride 3.2 mg/ml
314
Tương thích
Dạng tiêm Heparin sodium 1 UI/ml
Dạng tiêm Dopamine hydrochloride 40 mg/ml
Dung dịch Ringer’s lactate 1228
Tương thích
Dạng tiêm Heparin sodium 200 UI/ml
Dạng tiêm Dopamine hydrochloride 0.8 mg/ml
Glucose 5% 738
Tương thích
Dạng tiêm Heparin sodium 1 UI/ml
Dạng tiêm Dopamine hydrochloride 40 mg/ml
Glucose 5% 1228
Tương thích
Dạng tiêm Heparin sodium 100 UI/ml
Dạng tiêm Dopamine hydrochloride 3,2 mg/ml
4389
Không tương thích không xác định Không tương thích
Dạng tiêm Heparin sodium 187 UI/ml
Dạng tiêm Dopamine hydrochloride 1,7 >> 3,4 mg/ml
Glucose 5% 377
Tương thích
Dạng tiêm Heparin sodium 100 UI/ml
Dạng tiêm Doripenem 5 mg/ml
NaCl 0,9% 2262
Tương thích
Dạng tiêm Heparin sodium 100 UI/ml
Dạng tiêm Doripenem 5 mg/ml
Glucose 5% 2262
Tương thích
Dạng tiêm Heparin sodium 1 UI/ml
Dạng tiêm Doxapram hydrochloride 2 mg/ml
Glucose 5% 1802
Không tương thích không xác định Không tương thích
Dạng tiêm Heparin sodium
Dạng tiêm Doxorubicin hydrochloride
3540
Lượng mưa ngay lập tức Không tương thích
Dạng tiêm Heparin sodium
Dạng tiêm Doxorubicin hydrochloride
3645
Lượng mưa ngay lập tức Không tương thích
Dạng tiêm Heparin sodium 1000 UI/ml
Dạng tiêm Doxorubicin hydrochloride 2 mg/ml
763
Tương thích
Dạng tiêm Heparin sodium 1000 UI/ml
Dạng tiêm Doxorubicin hydrochloride liposome peg 0.4 mg/ml
Glucose 5% 251
Không tương thích không xác định Không tương thích
Dạng tiêm Heparin sodium 50 UI/ml
Dạng tiêm Doxycycline hyclate 1 mg/ml
Không 317
Lượng mưa ngay lập tức Không tương thích
Dạng tiêm Heparin sodium 1000 UI/ml
Dạng tiêm Droperidol 2,5 mg/ml
763
Tương thích
Dạng tiêm Heparin sodium 1 UI/ml
Dạng tiêm Droperidol 1.25 mg/ml
NaCl 0,9% 1228
Tương thích
Dạng tiêm Heparin sodium 1 UI/ml
Dạng tiêm Droperidol 1.25 mg/ml
Dung dịch Ringer’s lactate 1228
Tương thích
Dạng tiêm Heparin sodium 1 UI/ml
Dạng tiêm Droperidol 1.25 mg/ml
Glucose 5% 1228
Không tương thích không xác định Không tương thích
Dạng tiêm Heparin sodium
Dạng tiêm Droperidol
3540
Tương thích
Dạng tiêm Heparin sodium 45,45 UI/ml
Dạng tiêm Enalaprilate 0,011 mg/ml
Glucose 5% 963
Tương thích
Dạng tiêm Heparin sodium 40 UI/ml
Dạng tiêm Enalaprilate 0.05 mg/ml
NaCl 0,9% 1315
Tương thích
Dạng tiêm Heparin sodium 50 UI/ml
Dạng tiêm Enalaprilate 0.0125 mg/ml
NaCl 0,9% 1703
Tương thích
Dạng tiêm Heparin sodium 1 UI/ml
Dạng tiêm Epinephrine hydrochloride 100 µg/ml
Dung dịch Ringer’s lactate 1228
Tương thích
Dạng tiêm Heparin sodium 100 UI/ml
Dạng tiêm Epinephrine hydrochloride 20 µg/ml
314
Tương thích
Dạng tiêm Heparin sodium 1 UI/ml
Dạng tiêm Epinephrine hydrochloride 100 µg/ml
NaCl 0,9% 1228
Tương thích
Dạng tiêm Heparin sodium 1 UI/ml
Dạng tiêm Epinephrine hydrochloride 100 µg/ml
Glucose 5% 1228
Không tương thích không xác định Không tương thích
Dạng tiêm Heparin sodium
Dạng tiêm Epirubicin hydrochloride
3632
Tương thích
Dạng tiêm Heparin sodium
Dạng tiêm Eptifibatide
3934
Tương thích
Dạng tiêm Heparin sodium 1000 UI/ml
Dạng tiêm Eravacycline 0,6 mg/ml
NaCl 0,9% 4434
Độ đục ngay lập tức Không tương thích
Dạng tiêm Heparin sodium 1 UI/ml
Dạng tiêm Ergotamine tartrate 0.5 mg/ml
NaCl 0,9% 1228
Lượng mưa sau 4 giờ Không tương thích
Dạng tiêm Heparin sodium 1 UI/ml
Dạng tiêm Ergotamine tartrate 0.5 mg/ml
Dung dịch Ringer’s lactate 1228
Lượng mưa sau 4 giờ Không tương thích
Dạng tiêm Heparin sodium 1 UI/ml
Dạng tiêm Ergotamine tartrate 0.5 mg/ml
Glucose 5% 1228
Tương thích
Dạng tiêm Heparin sodium 50 & 100 UI/ml
Dạng tiêm Ertapenem 10 & 20 mg/ml
NaCl 0,9% 1906
Tương thích
Dạng tiêm Heparin sodium 50 UI/ml
Dạng tiêm Erythromycin lactobionate 3.3 mg/ml
Không 317
Không tương thích không xác định Không tương thích
Dạng tiêm Heparin sodium
Dạng tiêm Erythromycin lactobionate
3674
Không tương thích không xác định Không tương thích
Dạng tiêm Heparin sodium
Dạng tiêm Erythromycin lactobionate
3540
Tương thích
Dạng tiêm Heparin sodium 50 UI/ml
Dạng tiêm Esmolol hydrochloride 6 mg/ml
Glucose 5% 174
Tương thích
Dạng tiêm Heparin sodium 40 UI/ml
Dạng tiêm Esmolol hydrochloride 10 mg/ml
Glucose 5% 384
Tương thích
Dạng tiêm Heparin sodium 500 UI/ml
Dạng tiêm Esmolol hydrochloride 10 mg/ml
NaCl 0,9% 3823
Lượng mưa ngay lập tức Không tương thích
Dạng tiêm Heparin sodium 1000 UI/ml
Dạng tiêm Ethanol 70 %
Nước cất pha tiêm + chất kháng khuẩn 2221
Lượng mưa ngay lập tức Không tương thích
Dạng tiêm Heparin sodium 1000 UI/ml
Dạng tiêm Ethanol 70 %
Nước cất pha tiêm 2221
Lượng mưa sau 1 giờ Không tương thích
Dạng tiêm Heparin sodium 10 UI/ml
Dạng tiêm Ethanol 70 %
Nước cất pha tiêm + chất kháng khuẩn 2221
Lượng mưa ngay lập tức Không tương thích
Dạng tiêm Heparin sodium 10 UI/ml
Dạng tiêm Ethanol 70 %
Nước cất pha tiêm 2221
Tương thích
Dạng tiêm Heparin sodium 100 UI/ml
Dạng tiêm Etoposide phosphate 5 mg/ml
Glucose 5% 1410
Tương thích
Dạng tiêm Heparin sodium 40 UI/ml
Dạng tiêm Famotidine
Glucose 5% 397
Tương thích
Dạng tiêm Heparin sodium 50 UI/ml
Dạng tiêm Famotidine 0.2 mg/ml
Glucose 5% 398
Tương thích
Dạng tiêm Heparin sodium 40 UI/ml
Dạng tiêm Famotidine 2 mg/ml
NaCl 0,9% 215
Tương thích
Dạng tiêm Heparin sodium 100 UI/ml
Dạng tiêm Fenoldopam mesylate 80 µg/ml
NaCl 0,9% 1803
Tương thích
Dạng tiêm Heparin sodium 100 UI/ml
Dạng tiêm Fentanyl citrate 50 µg/ml
4389
Tương thích
Dạng tiêm Heparin sodium 1 UI/ml
Dạng tiêm Fentanyl citrate 50 µg/ml
Glucose 5% 1228
Tương thích
Dạng tiêm Heparin sodium 1 UI/ml
Dạng tiêm Fentanyl citrate 50 µg/ml
Dung dịch Ringer’s lactate 1228
Tương thích
Dạng tiêm Heparin sodium 1 UI/ml
Dạng tiêm Fentanyl citrate 50 µg/ml
NaCl 0,9% 1228
Tương thích
Dạng tiêm Heparin sodium 100 UI/ml
Dạng tiêm Fentanyl citrate 50 µg/ml
314
Lượng mưa ngay lập tức Không tương thích
Dạng tiêm Heparin sodium 100 UI/ml
Dạng tiêm Filgrastim 30 µg/ml
Glucose 5% 244
Tương thích
Dạng tiêm Heparin sodium 1000 UI/ml
Dạng tiêm Fluconazole 2 mg/ml
NaCl 0,9% 496
Tương thích
Dạng tiêm Heparin sodium 50 UI/ml
Dạng tiêm Fluconazole 2 mg/ml
Không 317
Tương thích
Dạng tiêm Heparin sodium 40 >> 1000 UI/ml
Dạng tiêm Fludarabine phosphate 1 mg/ml
Glucose 5% 492
Tương thích
Dạng tiêm Heparin sodium 50 UI/ml
Dạng tiêm Flumazenil 0,02 mg/ml
Glucose 5% 187
Tương thích
Dạng tiêm Heparin sodium 5 UI/ml
Dạng tiêm Fluorouracil 0,8 mg/ml
NaCl 0,9% 156
Tương thích
Dạng tiêm Heparin sodium 5 UI/ml
Dạng tiêm Fluorouracil 0,8 mg/ml
Glucose 5% 156
Tương thích
Dạng tiêm Heparin sodium 1 UI/ml
Dạng tiêm Fluorouracil 50 mg/ml
NaCl 0,9% 1228
Tương thích
Dạng tiêm Heparin sodium 960 UI/ml
Dạng tiêm Fluorouracil 24 mg/ml
Glucose 5% 163
Tương thích
Dạng tiêm Heparin sodium 1 UI/ml
Dạng tiêm Fluorouracil 50 mg/ml
Glucose 5% 1228
Tương thích
Dạng tiêm Heparin sodium 1000 UI/ml
Dạng tiêm Fluorouracil 50 mg/ml
763
Tương thích
Dạng tiêm Heparin sodium 1 UI/ml
Dạng tiêm Fluorouracil 50 mg/ml
Dung dịch Ringer’s lactate 1228
Tương thích
Dạng tiêm Heparin sodium 1000 UI/ml
Dạng tiêm Folinate calcium 10 mg/ml
763
Tương thích
Dạng tiêm Heparin sodium 100 UI/ml
Dạng tiêm Foscarnet sodium 24 mg/ml
Glucose 5% 1135
Tương thích
Dạng tiêm Heparin sodium 100 UI/ml
Dạng tiêm Foscarnet sodium 24 mg/ml
NaCl 0,9% 1135
Tương thích
Dạng tiêm Heparin sodium 1000 UI/ml
Dạng tiêm Foscarnet sodium 24 mg/ml
Không 73
Tương thích
Dạng tiêm Heparin sodium 1000 UI/ml
Dạng tiêm Fosfomycin 30 mg/ml
Glucose 5% 4055
Tương thích
Dạng tiêm Heparin sodium 1000 UI/ml
Dạng tiêm Fosfomycin 30 mg/ml
NaCl 0,9% 4055
Tương thích
Dạng tiêm Heparin sodium 100 UI/ml
Dạng tiêm Furosemide 10 mg/ml
314
Tương thích
Dạng tiêm Heparin sodium 1 UI/ml
Dạng tiêm Furosemide 10 mg/ml
NaCl 0,9% 1228
Lượng mưa sau 5 giờ Không tương thích
Dạng tiêm Heparin sodium 100 UI/ml
Dạng tiêm Furosemide 10 mg/ml
Glucose 5% 4724
Tương thích
Dạng tiêm Heparin sodium 20 UI/ml
Dạng tiêm Furosemide 1 mg/ml
NaCl 0,9% 1232
Tương thích
Dạng tiêm Heparin sodium 58,34 UI/ml
Dạng tiêm Furosemide 5,21 mg/ml
Glucose 5% 1289
Tương thích
Dạng tiêm Heparin sodium
Dạng tiêm Furosemide
3465
Tương thích
Dạng tiêm Heparin sodium 1 UI/ml
Dạng tiêm Furosemide 10 mg/ml
Dung dịch Ringer’s lactate 1228
Tương thích
Dạng tiêm Heparin sodium 1000 UI/ml
Dạng tiêm Furosemide 10 mg/ml
763
Tương thích
Dạng tiêm Heparin sodium 10 UI/ml
Dạng tiêm Furosemide 10 mg/ml
Không 3210
Tương thích
Dạng tiêm Heparin sodium 500 UI/ml
Dạng tiêm Furosemide 10 mg/ml
NaCl 0,9% 3823
Tương thích
Dạng tiêm Heparin sodium 500 UI/ml
Dạng tiêm Furosemide 10 mg/ml
Không 3134
Tương thích
Dạng tiêm Heparin sodium 1 UI/ml
Dạng tiêm Furosemide 10 mg/ml
Glucose 5% 1228
Tương thích
Dạng tiêm Heparin sodium 40 UI/ml
Dạng tiêm Gallium nitrate 1 mg/ml
NaCl 0,9% 91
Tương thích
Dạng tiêm Heparin sodium 100 UI/ml
Dạng tiêm Gemcitabine hydrochloride 10 mg/ml
NaCl 0,9% 1423
Độ đục ngay lập tức Không tương thích
Dạng tiêm Heparin sodium 2500 UI/ml
Dạng tiêm Gentamicin sulfate 3 mg/ml
4612
Không tương thích không xác định Không tương thích
Dạng tiêm Heparin sodium
Dạng tiêm Gentamicin sulfate
3520
Không tương thích không xác định Không tương thích
Dạng tiêm Heparin sodium
Dạng tiêm Gentamicin sulfate
3643
Lượng mưa ngay lập tức Không tương thích
Dạng tiêm Heparin sodium
Dạng tiêm Gentamicin sulfate
1022
Không tương thích không xác định Không tương thích
Dạng tiêm Heparin sodium 50 UI/ml
Dạng tiêm Gentamicin sulfate 2 mg/ml
Không 317
Lượng mưa ngay lập tức Không tương thích
Dạng tiêm Heparin sodium 10 >> 40 UI/ml
Dạng tiêm Gentamicin sulfate 4 >> 40 mg/ml
1258
Lượng mưa ngay lập tức Không tương thích
Dạng tiêm Heparin sodium 2500 UI/ml
Dạng tiêm Gentamicin sulfate 4 & 5 mg/ml
4612
Không tương thích không xác định Không tương thích
Dạng tiêm Heparin sodium
Dạng tiêm Gentamicin sulfate
3540
Tương thích
Dạng tiêm Heparin sodium 2500 UI/ml
Dạng tiêm Gentamicin sulfate 1 & 2 mg/ml
4612
Tương thích
Dạng tiêm Heparin sodium 50 UI/ml
Dạng tiêm Glycerophosphate disodium
NaCl 0,9% 4332
Tương thích
Dạng tiêm Heparin sodium 100 UI/ml
Dạng tiêm Granisetron hydrochloride 0.05 mg/ml
Glucose 5% 182
Lượng mưa ngay lập tức Không tương thích
Dạng tiêm Heparin sodium 100 & 200 UI/ml
Dạng tiêm Haloperidol lactate 5 mg/ml
Glucose 5% 617
Lượng mưa ngay lập tức Không tương thích
Dạng tiêm Heparin sodium 100 & 200 UI/ml
Dạng tiêm Haloperidol lactate 5 mg/ml
NaCl 0,9% 617
Tương thích
Dạng tiêm Heparin sodium 500 UI/ml
Dạng tiêm Haloperidol lactate 0.5 mg/ml
NaCl 0,9% 3823
Không tương thích không xác định Không tương thích
Dạng tiêm Heparin sodium
Dạng tiêm Haloperidol lactate
3540
Tương thích
Dạng tiêm Heparin sodium 100 UI/ml
Dạng tiêm Hetastarch 60 mg/ml
dung môi cụ thể 1721
Không tương thích không xác định Không tương thích
Dạng tiêm Heparin sodium
Dạng tiêm Hyaluronidase
3617
Không tương thích không xác định Không tương thích
Dạng tiêm Heparin sodium
Dạng tiêm Hyaluronidase
3184
Không tương thích không xác định Không tương thích
Dạng tiêm Heparin sodium
Dạng tiêm Hyaluronidase
3540
Tương thích
Dạng tiêm Heparin sodium 1 UI/ml
Dạng tiêm Hydralazine hydrochloride 20 mg/ml
Glucose 5% 1228
Tương thích
Dạng tiêm Heparin sodium 1 UI/ml
Dạng tiêm Hydralazine hydrochloride 20 mg/ml
Dung dịch Ringer’s lactate 1228
Tương thích
Dạng tiêm Heparin sodium 1 UI/ml
Dạng tiêm Hydralazine hydrochloride 20 mg/ml
NaCl 0,9% 1228
Tương thích
Dạng tiêm Heparin sodium 100 UI/ml
Dạng tiêm Hydrocortisone sodium succinate 125 mg/ml
NaCl 0,9% 132
Không tương thích không xác định Không tương thích
Dạng tiêm Heparin sodium
Dạng tiêm Hydrocortisone sodium succinate
3540
Tương thích
Dạng tiêm Heparin sodium 50 UI/ml
Dạng tiêm Hydrocortisone sodium succinate 2 mg/ml
Không 317
Tương thích
Dạng tiêm Heparin sodium 100 UI/ml
Dạng tiêm Hydrocortisone sodium succinate 125 mg/ml
Glucose 5% 132
Tương thích
Dạng tiêm Heparin sodium
Dạng tiêm Hydromorphone hydrochloride <12.5 mg/ml
NaCl 0,9% 66
Tương thích
Dạng tiêm Heparin sodium 100 UI/ml
Dạng tiêm Hydromorphone hydrochloride 1 mg/ml
314
Lượng mưa ngay lập tức Không tương thích
Dạng tiêm Heparin sodium <12,5 UI/ml
Dạng tiêm Hydromorphone hydrochloride >25 mg/ml
NaCl 0,9% 66
Tương thích
Dạng tiêm Heparin sodium
Dạng tiêm Hydromorphone hydrochloride <12.5 mg/ml
Nước cất pha tiêm 66
Lượng mưa ngay lập tức Không tương thích
Dạng tiêm Heparin sodium <1 UI/ml
Dạng tiêm Hydromorphone hydrochloride >10 mg/ml
Nước cất pha tiêm 66
Lượng mưa ngay lập tức Không tương thích
Dạng tiêm Heparin sodium <12,5 UI/ml
Dạng tiêm Hydromorphone hydrochloride >25 mg/ml
Nước cất pha tiêm 66
Tương thích
Dạng tiêm Heparin sodium 100 UI/ml
Dạng tiêm Ibuprofen lysinate 10 mg/ml
Nước cất pha tiêm 4419
Tương thích
Dạng tiêm Heparin sodium 10 UI/ml
Dạng tiêm Ibuprofen lysinate 10 mg/ml
Nước cất pha tiêm 4419
Độ đục ngay lập tức Không tương thích
Dạng tiêm Heparin sodium 100 & 1000 UI/ml
Dạng tiêm Idarubicin hydrochloride 1 mg/ml
NaCl 0,9% 491
Lượng mưa ngay lập tức Không tương thích
Dạng tiêm Heparin sodium
Dạng tiêm Idarubicin hydrochloride
5075
Tương thích
Dạng tiêm Heparin sodium
Dạng tiêm Imipenem-Cilastatin / Relebactam
4809
Tương thích
Dạng tiêm Heparin sodium 1000 UI/ml
Dạng tiêm Imipenem-Cilastatin / Relebactam 5 mg/ml
NaCl 0,9% 4433
Tương thích
Dạng tiêm Heparin sodium 1000 UI/ml
Dạng tiêm Imipenem-Cilastatin / Relebactam 5 mg/ml
Glucose 5% 4433
Tương thích
Dạng tiêm Heparin sodium 500 UI/ml
Dạng tiêm Insulin 2 UI/ml
NaCl 0,9% 3823
Tương thích
Dạng tiêm Heparin sodium 60 UI/ml
Dạng tiêm Insulin 0.2 UI/ml
NaCl 0,9% 129
Tương thích
Dạng tiêm Heparin sodium 50 & 400 UI/ml
Dạng tiêm Insulin aspart 1 UI/ml
Glucose 5% 1508
Tương thích
Dạng tiêm Heparin sodium 50 & 400 UI/ml
Dạng tiêm Insulin aspart 1 UI/ml
NaCl 0,9% 1508
Tương thích
Dạng tiêm Heparin sodium 10000 UI/ml
Dạng tiêm Iohexol 300 mg I/ml
Không 1085
Tương thích
Dạng tiêm Heparin sodium 10000 UI/ml
Dạng tiêm Ioxaglate 320 mg I/ml
Không 1085
Độ đục ngay lập tức Không tương thích
Dạng tiêm Heparin sodium 1000 UI/ml
Dạng tiêm Isavuconazonium sulfate 1.5 mg/ml
NaCl 0,9% 3829
Độ đục ngay lập tức Không tương thích
Dạng tiêm Heparin sodium 1000 UI/ml
Dạng tiêm Isavuconazonium sulfate 1.5 mg/ml
Glucose 5% 3829
Tương thích
Dạng tiêm Heparin sodium 1 UI/ml
Dạng tiêm Isoprenaline hydrochloride 0.2 mg/ml
Glucose 5% 1228
Tương thích
Dạng tiêm Heparin sodium 1 UI/ml
Dạng tiêm Isoprenaline hydrochloride 0.2 mg/ml
NaCl 0,9% 1228
Tương thích
Dạng tiêm Heparin sodium 1 UI/ml
Dạng tiêm Isoprenaline hydrochloride 0.2 mg/ml
Dung dịch Ringer’s lactate 1228
Không tương thích không xác định Không tương thích
Dạng tiêm Heparin sodium
Dạng tiêm Kanamycin sulfate
3540
Lượng mưa ngay lập tức Không tương thích
Dạng tiêm Heparin sodium 25000 UI/ml
Dạng tiêm Ketamine hydrochloride 50 mg/ml
2109
Tương thích
Dạng tiêm Heparin sodium 100 UI/ml
Dạng tiêm Labetalol hydrochloride 2 mg/ml
314
Không tương thích không xác định Không tương thích
Dạng tiêm Heparin sodium 500 UI/ml
Dạng tiêm Labetalol hydrochloride 4 mg/ml
NaCl 0,9% 3823
Không tương thích không xác định Không tương thích
Dạng tiêm Heparin sodium
Dạng tiêm Labetalol hydrochloride
3540
Lượng mưa ngay lập tức Không tương thích
Dạng tiêm Heparin sodium 100 UI/ml
Dạng tiêm Labetalol hydrochloride 5 mg/ml
Glucose 5% 295
Tương thích
Dạng tiêm Heparin sodium 40 UI/ml
Dạng tiêm Labetalol hydrochloride 1 mg/ml
Glucose 5% 386
Tương thích
Dạng tiêm Heparin sodium 100 UI/ml
Dạng tiêm Lansoprazole 0.55 mg/ml
NaCl 0,9% 1625
Độ đục trong 4 giờ Không tương thích
Dạng tiêm Heparin sodium 100 UI/ml
Dạng tiêm Levetiracetam 100 mg/ml
Glucose 5% 4108
Độ đục ngay lập tức Không tương thích
Dạng tiêm Heparin sodium 208,3 UI/ml
Dạng tiêm Levetiracetam 15 mg/ml
NaCl 0,9% 4698
Không tương thích không xác định Không tương thích
Dạng tiêm Heparin sodium
Dạng tiêm Levofloxacine
3920
Lượng mưa ngay lập tức Không tương thích
Dạng tiêm Heparin sodium 10 UI/ml
Dạng tiêm Levofloxacine 5 mg/ml
Glucose 5% 1072
Không tương thích không xác định Không tương thích
Dạng tiêm Heparin sodium
Dạng tiêm Levomepromazine
3540
Tương thích
Dạng tiêm Heparin sodium 100 UI/ml
Dạng tiêm Levosimendan 2,5 mg/ml
Glucose 5% 4389
Tương thích
Dạng tiêm Heparin sodium 50 UI/ml
Dạng tiêm Lidocaine hydrochloride 4 mg/ml
Không 317
Tương thích
Dạng tiêm Heparin sodium 1000 UI/ml
Dạng tiêm Linezolid 2 mg/ml
Không 1925
Tương thích
Dạng tiêm Heparin sodium 10 >> 10000 UI/ml
Dạng tiêm Linezolid 0.2 >> 1.92 mg/ml
NaCl 0,9% 2057
Tương thích
Dạng tiêm Heparin sodium 417 UI/ml
Dạng tiêm Lorazepam 0.33 mg/ml
NaCl 0,9% 186
Tương thích
Dạng tiêm Heparin sodium 100 UI/ml
Dạng tiêm Lorazepam 0.5 mg/ml
314
Tương thích
Dạng tiêm Heparin sodium 1 UI/ml
Dạng tiêm Magnesium sulfate 5 mg/ml
NaCl 0,9% 1228
Tương thích
Dạng tiêm Heparin sodium 50 UI/ml
Dạng tiêm Magnesium sulfate 15.6 mg/ml
NaCl 0,9% 2100
Tương thích
Dạng tiêm Heparin sodium 1 UI/ml
Dạng tiêm Magnesium sulfate 5 mg/ml
Dung dịch Ringer’s lactate 1228
Tương thích
Dạng tiêm Heparin sodium 1 UI/ml
Dạng tiêm Magnesium sulfate 5 mg/ml
Glucose 5% 1228
Tương thích
Dạng tiêm Heparin sodium 100 UI/ml
Dạng tiêm Melphalan 0.1 mg/ml
NaCl 0,9% 169
Tương thích
Dạng tiêm Heparin sodium 0.5 UI/ml
Dạng tiêm Meropenem 0.5 mg/ml
Dianéal® 4.25% glucose (Baxter) 4180
Tương thích
Dạng tiêm Heparin sodium 0.5 UI/ml
Dạng tiêm Meropenem 0.5 mg/ml
Extraneal® (Baxter) 4180
Tương thích
Dạng tiêm Heparin sodium 1000 UI/ml
Dạng tiêm Meropenem 50 mg/ml
Nước cất pha tiêm 4319
Tương thích
Dạng tiêm Heparin sodium 1 UI/ml
Dạng tiêm Meropenem 1 & 50 mg/ml
NaCl 0,9% 266
Tương thích
Dạng tiêm Heparin sodium 0.5 UI/ml
Dạng tiêm Meropenem 0.5 mg/ml
Dianéal® 1.5% glucose (Baxter) 4180
Tương thích
Dạng tiêm Heparin sodium 20 UI/ml
Dạng tiêm Meropenem 1 & 20 mg/ml
NaCl 0,9% 266
Tương thích
Dạng tiêm Heparin sodium 0.5 UI/ml
Dạng tiêm Meropenem 0.5 mg/ml
Dianéal® 2.5% glucose (Baxter) 4180
Tương thích
Dạng tiêm Heparin sodium 50 UI/ml
Dạng tiêm Methadone hydrochloride 0.2 mg/ml
Glucose 5% 1506
Tương thích
Dạng tiêm Heparin sodium 50 UI/ml
Dạng tiêm Methadone hydrochloride 0.2 mg/ml
NaCl 0,9% 1506
Không tương thích không xác định Không tương thích
Dạng tiêm Heparin sodium
Dạng tiêm Methotrexate sodium
3637
Tương thích
Dạng tiêm Heparin sodium 1000 UI/ml
Dạng tiêm Methotrexate sodium 25 mg/ml
763
Tương thích
Dạng tiêm Heparin sodium 500 UI/ml
Dạng tiêm Methotrexate sodium 30 mg/ml
NaCl 0,9% 150
Tương thích
Dạng tiêm Heparin sodium 100 UI/ml
Dạng tiêm Methylprednisolone sodium succinate 5 mg/ml
Glucose 5% 132
Tương thích
Dạng tiêm Heparin sodium 50 UI/ml
Dạng tiêm Methylprednisolone sodium succinate 2.5 mg/ml
Không 317
Tương thích
Dạng tiêm Heparin sodium 100 UI/ml
Dạng tiêm Methylprednisolone sodium succinate 5 mg/ml
NaCl 0,9% 132
Tương thích
Dạng tiêm Heparin sodium 1000 UI/ml
Dạng tiêm Metoclopramide hydrochloride 5 mg/ml
763
Không ổn định hóa học Không tương thích
Dạng tiêm Heparin sodium 1000 UI/ml
Dạng tiêm Metoprolol tartrate 1 mg/ml
Không 2346
Tương thích
Dạng tiêm Heparin sodium 50 UI/ml
Dạng tiêm Metronidazole 5 mg/ml
Không 317
Tương thích
Dạng tiêm Heparin sodium 100 UI/ml
Dạng tiêm Micafungin 1.5 mg/ml
NaCl 0,9% 2108
Độ đục ngay lập tức Không tương thích
Dạng tiêm Heparin sodium 208,3 UI/ml
Dạng tiêm Midazolam hydrochloride 1 mg/ml
NaCl 0,9% 4698
Tương thích
Dạng tiêm Heparin sodium 500 UI/ml
Dạng tiêm Midazolam hydrochloride 2.1 mg/ml
NaCl 0,9% 3823
Tương thích
Dạng tiêm Heparin sodium 417 UI/ml
Dạng tiêm Midazolam hydrochloride 5 mg/ml
Không 186
Tương thích
Dạng tiêm Heparin sodium 100 UI/ml
Dạng tiêm Midazolam hydrochloride 5 mg/ml
4389
Tương thích
Dạng tiêm Heparin sodium 100 UI/ml
Dạng tiêm Midazolam hydrochloride 2 mg/ml
314
Tương thích
Dạng tiêm Heparin sodium 200 UI/ml
Dạng tiêm Milrinone lactate 0.8 mg/ml
Glucose 5% 813
Tương thích
Dạng tiêm Heparin sodium 100 UI/ml
Dạng tiêm Milrinone lactate 0.2 mg/ml
314
Tương thích
Dạng tiêm Heparin sodium 1 UI/ml
Dạng tiêm Minocycline hydrochloride 0.2 mg/ml
Glucose 5% 1228
Tương thích
Dạng tiêm Heparin sodium 1 UI/ml
Dạng tiêm Minocycline hydrochloride 0.2 mg/ml
Dung dịch Ringer’s lactate 1228
Tương thích
Dạng tiêm Heparin sodium 1 UI/ml
Dạng tiêm Minocycline hydrochloride 0.2 mg/ml
NaCl 0,9% 1228
Không tương thích không xác định Không tương thích
Dạng tiêm Heparin sodium
Dạng tiêm Mitoxantrone dihydrochloride
3640
Không tương thích không xác định Không tương thích
Dạng tiêm Heparin sodium
Dạng tiêm Morphine hydrochloride
5069
Tương thích
Dạng tiêm Heparin sodium 100 & 200 UI/ml
Dạng tiêm Morphine sulfate 1 >> 5 mg/ml
Nước cất pha tiêm 341
Tương thích
Dạng tiêm Heparin sodium 1 UI/ml
Dạng tiêm Morphine sulfate 15 mg/ml
Dung dịch Ringer’s lactate 1228
Không tương thích không xác định Không tương thích
Dạng tiêm Heparin sodium
Dạng tiêm Morphine sulfate
3531
Tương thích
Dạng tiêm Heparin sodium 1 UI/ml
Dạng tiêm Morphine sulfate 15 mg/ml
Glucose 5% 1228
Tương thích
Dạng tiêm Heparin sodium 1 UI/ml
Dạng tiêm Morphine sulfate 15 mg/ml
NaCl 0,9% 1228
Tương thích
Dạng tiêm Heparin sodium 60 UI/ml
Dạng tiêm Morphine sulfate 1 mg/ml
NaCl 0,9% 406
Tương thích
Dạng tiêm Heparin sodium 100 & 200 UI/ml
Dạng tiêm Morphine sulfate 10 mg/ml
Nước cất pha tiêm 341
Tương thích
Dạng tiêm Heparin sodium 100 UI/ml
Dạng tiêm Morphine sulfate 2 mg/ml
314
Không ổn định hóa học Không tương thích
Dạng tiêm Heparin sodium 100 & 200 UI/ml
Dạng tiêm Morphine sulfate 1 >> 10 mg/ml
NaCl 0,9% 341
Tương thích
Dạng tiêm Heparin sodium 1000 UI/ml
Dạng tiêm N-acetylcysteine 200 mg/ml
Không 3766
Tương thích
Dạng tiêm Heparin sodium 50 UI/ml
Dạng tiêm Nafcillin sodium 20 mg/ml
Không 317
Tương thích
Dạng tiêm Heparin sodium 1000 UI/ml
Dạng tiêm Naloxone hydrochloride 0.4 mg/ml
Không 3408
Độ đục ngay lập tức Không tương thích
Dạng tiêm Heparin sodium 208,3 UI/ml
Dạng tiêm Nefopam 1,7 mg/ml
NaCl 0,9% 4698
Tương thích
Dạng tiêm Heparin sodium 1 UI/ml
Dạng tiêm Neostigmine methylsulfate 0.5 mg/ml
Glucose 5% 1228
Tương thích
Dạng tiêm Heparin sodium 1 UI/ml
Dạng tiêm Neostigmine methylsulfate 0.5 mg/ml
NaCl 0,9% 1228
Tương thích
Dạng tiêm Heparin sodium 1 UI/ml
Dạng tiêm Neostigmine methylsulfate 0.5 mg/ml
Dung dịch Ringer’s lactate 1228
Không tương thích không xác định Không tương thích
Dạng tiêm Heparin sodium
Dạng tiêm Nesiritide
5048
Không tương thích không xác định Không tương thích
Dạng tiêm Heparin sodium
Dạng tiêm Netilmicin sulfate
3540
Lượng mưa ngay lập tức Không tương thích
Dạng tiêm Heparin sodium
Dạng tiêm Netilmicin sulfate
1022
Lượng mưa ngay lập tức Không tương thích
Dạng tiêm Heparin sodium 100 UI/ml
Dạng tiêm Nicardipine hydrochloride 1 mg/ml
314
Không tương thích không xác định Không tương thích
Dạng tiêm Heparin sodium
Dạng tiêm Nicardipine hydrochloride
3540
Tương thích
Dạng tiêm Heparin sodium 40 UI/ml
Dạng tiêm Nicardipine hydrochloride 0.1 mg/ml
Glucose 5% 1490
Tương thích
Dạng tiêm Heparin sodium 40 UI/ml
Dạng tiêm Nicardipine hydrochloride 0.1 mg/ml
NaCl 0,9% 1490
Lượng mưa ngay lập tức Không tương thích
Dạng tiêm Heparin sodium 100 UI/ml
Dạng tiêm Nitroglycerin 1,6 >> 3,25 mg/ml
Glucose 5% 295
Tương thích
Dạng tiêm Heparin sodium 500 UI/ml
Dạng tiêm Nitroglycerin 0.2 mg/ml
NaCl 0,9% 3823
Sản xuất bong bóng khí Không tương thích
Dạng tiêm Heparin sodium 50 UI/ml
Dạng tiêm Nitroglycerin 0.2 mg/ml
Không 317
Tương thích
Dạng tiêm Heparin sodium 500 UI/ml
Dạng tiêm Nitroglycerin 0.2 mg/ml
Glucose 5% 3823
Tương thích
Dạng tiêm Heparin sodium 100 UI/ml
Dạng tiêm Nitroglycerin 0.4 mg/ml
314
Tương thích
Dạng tiêm Heparin sodium 50 UI/ml
Dạng tiêm Nitroprusside sodium 0.2 mg/ml
Không 317
Tương thích
Dạng tiêm Heparin sodium 100 UI/ml
Dạng tiêm Nitroprusside sodium 0.2 mg/ml
Glucose 5% 295
Tương thích
Dạng tiêm Heparin sodium 100 UI/ml
Dạng tiêm Norepinephrine bitartrate 0.128 mg/ml
314
Không tương thích không xác định Không tương thích
Dạng tiêm Heparin sodium
Dạng tiêm Ofloxacin
3562
Tương thích
Dạng tiêm Heparin sodium 40 UI/ml
Dạng tiêm Ondansetron hydrochloride 1 mg/ml
NaCl 0,9% 334
Không tương thích
Dạng tiêm Heparin sodium 200 UI/ml
Dạng tiêm Ondansetron hydrochloride 1.6 mg/ml
1699
Độ đục ngay lập tức Không tương thích
Dạng tiêm Heparin sodium 100 UI/ml
Dạng tiêm Oritavancin 0.8 >>1.2 mg/ml
Glucose 5% 3152
Lượng mưa sau 4 giờ Không tương thích
Dạng tiêm Heparin sodium 100 UI/ml
Dạng tiêm Oritavancin 2 mg/ml
Glucose 5% 3152
Tương thích
Dạng tiêm Heparin sodium 208 UI/ml
Dạng tiêm Ornidazole 31.25 mg/ml
NaCl 0,9% 4254
Tương thích
Dạng tiêm Heparin sodium 1 UI/ml
Dạng tiêm Oxacillin sodium 100 mg/ml
Glucose 5% 1228
Tương thích
Dạng tiêm Heparin sodium 1 UI/ml
Dạng tiêm Oxacillin sodium 100 mg/ml
Dung dịch Ringer’s lactate 1228
Tương thích
Dạng tiêm Heparin sodium 1 UI/ml
Dạng tiêm Oxacillin sodium 100 mg/ml
NaCl 0,9% 1228
Tương thích
Dạng tiêm Heparin sodium 100 UI/ml
Dạng tiêm Oxaliplatin 0,5 mg/ml
Glucose 5% 1662
Không tương thích không xác định Không tương thích
Dạng tiêm Heparin sodium
Dạng tiêm Oxytetracycline hydrochloride
3540
Tương thích
Dạng tiêm Heparin sodium 100 UI/ml
Dạng tiêm Paclitaxel 1.2 mg/ml
Glucose 5% 248
Tương thích
Dạng tiêm Heparin sodium 100 UI/ml
Dạng tiêm Palonosetron hydrochloride 50 µg/ml
Glucose 5% 2279
Tương thích
Dạng tiêm Heparin sodium 40 UI/ml
Dạng tiêm Pancuronium bromide 0.05 mg/ml
Glucose 5% 402
Lượng mưa sau 1 giờ Không tương thích
Dạng tiêm Heparin sodium
Dạng tiêm Pantoprazole sodium
2090
Tương thích
Dạng tiêm Heparin sodium 208,3 UI/ml
Dạng tiêm Paracetamol 10 mg/ml
NaCl 0,9% 4698
Tương thích
Dạng tiêm Heparin sodium 1000 UI/ml
Dạng tiêm Paracetamol 10 mg/ml
4742
Tương thích
Dạng tiêm Heparin sodium 100 UI/ml
Dạng tiêm Pemetrexed disodium 20 mg/ml
NaCl 0,9% 1953
Không tương thích không xác định Không tương thích
Dạng tiêm Heparin sodium
Dạng tiêm Penicillin G potassium
3540
Tương thích
Dạng tiêm Heparin sodium 50 UI/ml
Dạng tiêm Penicillin G potassium 0.04 MUI/ml
Không 317
Không tương thích không xác định Không tương thích
Dạng tiêm Heparin sodium
Dạng tiêm Penicillin G sodium
3540
Tương thích
Dạng tiêm Heparin sodium 100 UI/ml
Dạng tiêm Pentoxifyllin 5 mg/ml
NaCl 0,9% 4538
Độ đục ngay lập tức Không tương thích
Dạng tiêm Heparin sodium
Dạng tiêm Pethidine hydrochloride
3525
Tương thích
Dạng tiêm Heparin sodium 60 UI/ml
Dạng tiêm Pethidine hydrochloride 10 mg/ml
NaCl 0,9% 406
Không tương thích không xác định Không tương thích
Dạng tiêm Heparin sodium
Dạng tiêm Pethidine hydrochloride
3540
Lượng mưa ngay lập tức Không tương thích
Dạng tiêm Heparin sodium 50 UI/ml
Dạng tiêm Phenytoin sodium 2 mg/ml
Không 317
Tương thích
Dạng tiêm Heparin sodium 50 UI/ml
Dạng tiêm Piperacillin sodium 60 mg/ml
Không 317
Tương thích
Dạng tiêm Heparin sodium 10 & 5000 UI/ml
Dạng tiêm Piperacillin sodium 40 mg/ml
NaCl 0,9% 2037
Tương thích
Dạng tiêm Heparin sodium 0.5 UI/ml
Dạng tiêm Piperacillin sodium / tazobactam 0.5/0.0625 mg/ml
Dianéal® 2.5% glucose (Baxter) 4180
Tương thích
Dạng tiêm Heparin sodium 0.5 UI/ml
Dạng tiêm Piperacillin sodium / tazobactam 0.5/0.0625 mg/ml
Dianéal® 4.25% glucose (Baxter) 4180
Độ đục ngay lập tức Không tương thích
Dạng tiêm Heparin sodium 1000 UI/ml
Dạng tiêm Plazomicin sulfate 24 mg/ml
NaCl 0,9% 4145
Không tương thích không xác định Không tương thích
Dạng tiêm Heparin sodium
Dạng tiêm Polymyxine B
3540
Tương thích
Dạng tiêm Heparin sodium 50 UI/ml
Dạng tiêm Potassium chloride 200 mEq/l
Không 317
Tương thích
Dạng tiêm Heparin sodium 1 UI/ml
Dạng tiêm Procainamide hydrochloride 100 mg/ml
Dung dịch Ringer’s lactate 1228
Tương thích
Dạng tiêm Heparin sodium 1 UI/ml
Dạng tiêm Procainamide hydrochloride 100 mg/ml
NaCl 0,9% 1228
Tương thích
Dạng tiêm Heparin sodium 1 UI/ml
Dạng tiêm Prochlorperazine edysilate 5 mg/ml
NaCl 0,9% 1228
Tương thích
Dạng tiêm Heparin sodium 3 >> 20 UI/ml
Dinh dưỡng đường tĩnh mạch (hỗn hợp 2 thành phần) 791
Tương thích
Dạng tiêm Heparin sodium 100 UI/ml
Dinh dưỡng đường tĩnh mạch (hỗn hợp 2 thành phần) 301
Tương thích
Dạng tiêm Heparin sodium 500 UI/ml
Dinh dưỡng đường tĩnh mạch (hỗn hợp 2 thành phần) 939
Tương thích
Dạng tiêm Heparin sodium 1 UI/ml
Dạng tiêm Prochlorperazine edysilate 5 mg/ml
Dung dịch Ringer’s lactate 1228
Tương thích
Dạng tiêm Heparin sodium 1 UI/ml
Dạng tiêm Promethazine hydrochloride 50 mg/ml
NaCl 0,9% 1228
Tương thích
Dạng tiêm Heparin sodium 1 UI/ml
Dạng tiêm Promethazine hydrochloride 50 mg/ml
Dung dịch Ringer’s lactate 1228
Tương thích
Dạng tiêm Heparin sodium 1 UI/ml
Dạng tiêm Propranolol hydrochloride 1 mg/ml
Dung dịch Ringer’s lactate 1228
Tương thích
Dạng tiêm Heparin sodium 1 UI/ml
Dạng tiêm Propranolol hydrochloride 1 mg/ml
NaCl 0,9% 1228
Tương thích
Dạng tiêm Heparin sodium 50 UI/ml
Dạng tiêm Ranitidine hydrochloride 0,5 mg/ml
Glucose 5% 396
Tương thích
Dạng tiêm Heparin sodium 10 & 40 UI/ml
Dạng tiêm Ranitidine hydrochloride 0.05 & 2 mg/ml
NaCl 0,9% 214
Tương thích
Dạng tiêm Heparin sodium 50 UI/ml
Dạng tiêm Ranitidine hydrochloride 1 mg/ml
Không 317
Tương thích
Dạng tiêm Heparin sodium 1000 UI/ml
Dạng tiêm Remdesivir 1 mg/ml
NaCl 0,9% 4768
Tương thích
Dạng tiêm Heparin sodium 100 UI/ml
Dạng tiêm Remifentanil hydrochloride 25 & 250 µg/ml
NaCl 0,9% 59
Tương thích
Dạng tiêm Heparin sodium 500 UI/ml
Dạng tiêm Remifentanil hydrochloride 100 µg/ml
NaCl 0,9% 3823
Tương thích
Dạng tiêm Heparin sodium 500 UI/ml
NaHCO3 150
Tương thích
Dạng tiêm Heparin sodium 1.4 UI/ml
Dạng tiêm Piperacillin sodium / tazobactam 1.38/0.1725 mg/ml
Physionéal® 2.27 (Baxter) 4180
Tương thích
Dạng tiêm Heparin sodium 1.4 UI/ml
Dạng tiêm Piperacillin sodium / tazobactam 1.38/0.1725 mg/ml
Physionéal® 1.36 (Baxter) 4180
Tương thích
Dạng tiêm Heparin sodium 0.5 UI/ml
Dạng tiêm Piperacillin sodium / tazobactam 0.5/0.0625 mg/ml
Dianéal® 1.5% glucose (Baxter) 4180
Tương thích
Dạng tiêm Heparin sodium 1.4 UI/ml
Dạng tiêm Piperacillin sodium / tazobactam 1.38/0.1725 mg/ml
Physionéal® 3.86 (Baxter) 4180
Tương thích
Dạng tiêm Heparin sodium 100 UI/ml
Dạng tiêm Piperacillin sodium / tazobactam 40/5 mg/ml
Glucose 5% 81
Tương thích
Dạng tiêm Heparin sodium 0.5 UI/ml
Dạng tiêm Piperacillin sodium / tazobactam 0.5/0.0625 mg/ml
Extraneal® (Baxter) 4180
Tương thích
Dạng tiêm Heparin sodium 500 UI/ml
Dạng tiêm Potassium chloride 10 mEq/l
NaCl 0,9% 3823
Tương thích
Dạng tiêm Heparin sodium 58,34 UI/ml
Dạng tiêm Potassium chloride 1250 mEq/l
Glucose 5% 1289
Tương thích
Dạng tiêm Heparin sodium
Dạng tiêm Potassium phosphate
3781
Tương thích
Dạng tiêm Heparin sodium 1 UI/ml
Dạng tiêm Procainamide hydrochloride 100 mg/ml
Glucose 5% 1228
Tương thích
Dạng tiêm Heparin sodium 1 UI/ml
Dạng tiêm Prochlorperazine edysilate 5 mg/ml
Glucose 5% 1228
Tương thích
Dạng tiêm Heparin sodium 1 UI/ml
Dạng tiêm Promethazine hydrochloride 50 mg/ml
Glucose 5% 1228
Không tương thích không xác định Không tương thích
Dạng tiêm Heparin sodium
Dạng tiêm Promethazine hydrochloride
3540
Tính không ổn định của nhũ tương sau 1 giờ Không tương thích
Dạng tiêm Heparin sodium 1000 UI/ml
Dạng tiêm Propofol
660
Tương thích
Dạng tiêm Heparin sodium 100 UI/ml
Dạng tiêm Propofol 10 mg/ml
Không 300
Tương thích
Dạng tiêm Heparin sodium 1 UI/ml
Dạng tiêm Propranolol hydrochloride 1 mg/ml
Glucose 5% 1228
Tương thích
Dạng tiêm Heparin sodium 100 UI/ml
Dạng tiêm Ranitidine hydrochloride 1 mg/ml
314
Tương thích
Dạng tiêm Heparin sodium 10 & 40 UI/ml
Dạng tiêm Ranitidine hydrochloride 0.05 & 2 mg/ml
Glucose 5% 214
Tương thích
Dạng tiêm Heparin sodium 416.7 UI/ml
Dạng tiêm Remifentanil hydrochloride 120 µg/ml
Glucose 5% 3294
Tương thích
Dạng tiêm Heparin sodium 416.7 UI/ml
Dạng tiêm Remifentanil hydrochloride 120 µg/ml
Glucose 5% 3176
Không tương thích không xác định Không tương thích
Dạng tiêm Heparin sodium
Dạng tiêm Reteplase
2212
Tương thích
Dạng tiêm Heparin sodium 20,458 >> 28,000 UI/ml
Dinh dưỡng đường tĩnh mạch (có lipids) 1868
Không tương thích không xác định Không tương thích
Dạng tiêm Heparin sodium
Dạng tiêm Reteplase
3540
Tương thích
Dạng tiêm Heparin sodium 1000 UI/ml
Dạng tiêm Salbutamol sulfate 1 mg/ml
Không 3216
Tương thích
Dạng tiêm Heparin sodium 100 UI/ml
Dạng tiêm Sargramostim 6 §15 µg/ml
NaCl 0,9% 891
Tương thích
Dạng tiêm Heparin sodium 100 UI/ml
Dạng tiêm Sargramostim 10 µg/ml
NaCl 0,9% 335
Tương thích
Dạng tiêm Heparin sodium 1 UI/ml
Dạng tiêm Scopolamine hydrobromide 0.86 mg/ml
NaCl 0,9% 1228
Tương thích
Dạng tiêm Heparin sodium 1 UI/ml
Dạng tiêm Scopolamine hydrobromide 0.86 mg/ml
Dung dịch Ringer’s lactate 1228
Tương thích
Dạng tiêm Heparin sodium 1 UI/ml
Dạng tiêm Scopolamine hydrobromide 0.86 mg/ml
Glucose 5% 1228
Tương thích
Dạng tiêm Heparin sodium 100 UI/ml
Dạng tiêm Sildenafil citrate 0,6 mg/ml
Glucose 5% 4845
Tương thích
Dạng tiêm Heparin sodium 100 UI/ml
Dạng tiêm Sildenafil citrate 0,06 mg/ml
Glucose 5% 4845
Tương thích
Dạng tiêm Heparin sodium 1 UI/ml
Dạng tiêm Sildenafil citrate 0,4 mg/ml
Glucose 5% 3923
Tương thích
Dạng tiêm Heparin sodium 2 UI/ml
Dạng tiêm Sildenafil citrate 0,6 mg/ml
Glucose 5% 4845
Tương thích
Dạng tiêm Heparin sodium
NaCl 0,9% 3540
Sự mất ổn định tức thì của nhũ tương Không tương thích
Dạng tiêm Heparin sodium 100 UI/ml
Dinh dưỡng đường tĩnh mạch (có lipids) 132
Độ đục ngay lập tức Không tương thích
Dạng tiêm Heparin sodium 100 UI/ml
Dạng tiêm Sildenafil citrate 0,6 mg/ml
Glucose 5% 4845
Tương thích
Dạng tiêm Heparin sodium 500 UI/ml
Dạng tiêm Sodium bicarbonate 84 mg/ml
NaCl 0,9% 3823
Tương thích
Dạng tiêm Heparin sodium
Dạng tiêm Sodium bicarbonate
3466
Tương thích
Dạng tiêm Heparin sodium 500 UI/ml
Dạng tiêm Sodium bicarbonate 14 mg/ml
Không 150
Tương thích
Dạng tiêm Heparin sodium 500 UI/ml
Dạng tiêm Sodium bicarbonate 84 mg/ml
Không 3212
Tương thích
Dạng tiêm Heparin sodium 208 UI/ml
Dạng tiêm Spiramycine adipate 0.0625 MUI/ml
NaCl 0,9% 4254
Tương thích
Dạng tiêm Heparin sodium 100 UI/ml
Dạng tiêm Streptokinase 30000 UI/ml
Glucose 5% 92
Không tương thích không xác định Không tương thích
Dạng tiêm Heparin sodium
Dạng tiêm Streptomycin sulfate
3540
Tương thích
Dạng tiêm Heparin sodium 416.7 UI/ml
Dạng tiêm Sufentanil citrate 0.005 mg/ml
Glucose 5% 3294
Tương thích
Dạng tiêm Heparin sodium 1000 UI/ml
Dạng tiêm Sugammadex 100 mg/ml
Không 3372
Tương thích
Dạng tiêm Heparin sodium 10 UI/ml
Dạng tiêm Tacrolimus 1000 µg/ml
NaCl 0,9% 479
Tương thích
Dạng tiêm Heparin sodium 1000 UI/ml
Dung dịch Ringer’s lactate 4603
Tương thích
Dạng tiêm Heparin sodium 1000 UI/ml
Dạng tiêm Sulbactam/durlobactam 15/15 mg/ml
NaCl 0,9% 4801
Tương thích
Dạng tiêm Heparin sodium 1000 UI/ml
Dạng tiêm Tedizolid phosphate 0.8 mg/ml
NaCl 0,9% 3827
Tương thích
Dạng tiêm Heparin sodium 10 >> 10000 UI/ml
Dạng tiêm Teicoplanine 0.02 >> 10 mg/ml
NaCl 0,9% 2057
Độ đục ngay lập tức Không tương thích
Dạng tiêm Heparin sodium 1000 UI/ml
Dạng tiêm Telavancin hydrochloride 7,5 mg/ml
Glucose 5% 3254
Độ đục ngay lập tức Không tương thích
Dạng tiêm Heparin sodium 1000 UI/ml
Dạng tiêm Telavancin hydrochloride 7,5 mg/ml
NaCl 0,9% 3254
Tương thích
Dạng tiêm Heparin sodium 1000 UI/ml
Dạng tiêm Telavancin hydrochloride 7.5 mg/ml
Dung dịch Ringer’s lactate 3254
Lượng mưa ngay lập tức Không tương thích
Dạng tiêm Heparin sodium 1000 UI/ml
Dạng tiêm Thiopental sodium 25 mg/ml
NaCl 0,9% 3767
Sự mất ổn định tức thì của nhũ tương Không tương thích
Dạng tiêm Heparin sodium 1 UI/ml
Dinh dưỡng đường tĩnh mạch (có lipids) 1391
Tương thích
Dạng tiêm Heparin sodium 100 UI/ml
Dạng tiêm Teniposide 0.1 mg/ml
Glucose 5% 905
Tương thích
Dạng tiêm Heparin sodium 50 UI/ml
Dạng tiêm Theophylline 4 mg/ml
Không 317
Tương thích
Dạng tiêm Heparin sodium 100 UI/ml
Dạng tiêm Thiopental sodium 25 mg/ml
314
Sự mất ổn định tức thì của nhũ tương Không tương thích
Dạng tiêm Heparin sodium 100 UI/ml
Dinh dưỡng đường tĩnh mạch (có lipids) 1415
Tương thích
Dạng tiêm Heparin sodium 500 UI/ml
Dạng tiêm Thiopental sodium 60 mg/ml
NaCl 0,9% 3823
Tương thích
Dạng tiêm Heparin sodium 100 UI/ml
Dạng tiêm Thiotepa 1 mg/ml
Glucose 5% 249
Tương thích
Dạng tiêm Heparin sodium 50 UI/ml
Dạng tiêm Ticarcillin / clavulanic acid 31 mg/ml
Không 317
Tương thích
Dạng tiêm Heparin sodium 500 UI/ml
Dạng tiêm Tirofiban 250 µg/ml
NaCl 0,9% 3823
Tương thích
Dạng tiêm Heparin sodium 40 & 100 UI/ml
Dạng tiêm Tirofiban 50 µg/ml
NaCl 0,9% 1420
Tương thích
Dạng tiêm Heparin sodium
Glucose 5% 3540
Tương thích
Dạng tiêm Heparin sodium
Dạng tiêm Tirofiban
1512
Tương thích
Dạng tiêm Heparin sodium 40 & 100 UI/ml
Dạng tiêm Tirofiban 50 µg/ml
Glucose 5% 1420
Không tương thích không xác định Không tương thích
Dạng tiêm Heparin sodium 50 UI/ml
Dạng tiêm Tobramycin sulfate 0.8 mg/ml
Không 317
Không tương thích không xác định Không tương thích
Dạng tiêm Heparin sodium
Dạng tiêm Tobramycin sulfate
3540
Tương thích
Dạng tiêm Heparin sodium
Dạng tiêm Tranexamic acid
5016
Không tương thích không xác định Không tương thích
Dạng tiêm Heparin sodium
Dạng tiêm Triflupromazine hydrochloride
3540
Tương thích
Dạng tiêm Heparin sodium 500 UI/ml
Dạng tiêm Urapidil 5 mg/ml
NaCl 0,9% 3823
Lượng mưa ngay lập tức Không tương thích
Dạng tiêm Heparin sodium 0,5 >> 14,3 UI/ml
Dạng tiêm Vancomycin hydrochloride 6,9 >> 14,3 mg/ml
Dianéal® PD1 4,25% glucose (Baxter) 2375
Không tương thích không xác định Không tương thích
Dạng tiêm Heparin sodium
Dạng tiêm Vancomycin hydrochloride
3588
Không tương thích không xác định Không tương thích
Dạng tiêm Heparin sodium
Dạng tiêm Vancomycin hydrochloride
3540
Tương thích
Dạng tiêm Heparin sodium 0,5 >> 14,3 UI/ml
Dạng tiêm Vancomycin hydrochloride 0,015 >> 6,8 mg/ml
Dianéal® PD2 2,5% glucose (Baxter) 2375
Lượng mưa ngay lập tức Không tương thích
Dạng tiêm Heparin sodium 0,5 >> 14,3 UI/ml
Dạng tiêm Vancomycin hydrochloride 6,9 >> 14,3 mg/ml
Dianéal® PD2 2,5% glucose (Baxter) 2375
Tương thích
Dạng tiêm Heparin sodium 10 UI/ml
Dạng tiêm Vancomycin hydrochloride 0.025 mg/ml
Nước cất pha tiêm 3125
Tương thích
Dạng tiêm Heparin sodium 0,5 >> 14,3 UI/ml
Dạng tiêm Vancomycin hydrochloride 0,015 >> 6,8 mg/ml
Dianéal® PD1 4,25% glucose (Baxter) 2375
Không tương thích không xác định Không tương thích
Dạng tiêm Heparin sodium 50 UI/ml
Dạng tiêm Vancomycin hydrochloride 6.6 mg/ml
Không 317
Tương thích
Dạng tiêm Heparin sodium 100 UI/ml
Dạng tiêm Vancomycin hydrochloride 0.025 mg/ml
NaCl 0,9% 1414
Tương thích
Dạng tiêm Heparin sodium 10 UI/ml
Dạng tiêm Vancomycin hydrochloride 2 mg/ml
NaCl 0,9% 2037
Lượng mưa ngay lập tức Không tương thích
Dạng tiêm Heparin sodium 100 UI/ml
Dạng tiêm Vancomycin hydrochloride 10 mg/ml
Dinh dưỡng đường tĩnh mạch (hỗn hợp 2 thành phần) 132
Tương thích
Dạng tiêm Heparin sodium 5000 UI/ml
Dạng tiêm Vancomycin hydrochloride 2.5 mg/ml
NaCl 0,9% 2037
Tương thích
Dạng tiêm Heparin sodium 100 UI/ml
Dạng tiêm Vancomycin hydrochloride 0.025 mg/ml
NaCl 0,9% 895
Tương thích
Dạng tiêm Heparin sodium 100 UI/ml
Dạng tiêm Vasopressin 2 & 4 UI/ml
NaCl 0,9% 1801
Tương thích
Dạng tiêm Heparin sodium 100 UI/ml
Dạng tiêm Vecuronium bromide 1 mg/ml
314
Tương thích
Dạng tiêm Heparin sodium 40 UI/ml
Dạng tiêm Vecuronium bromide 0.1 mg/ml
Glucose 5% 402
Tương thích
Dạng tiêm Heparin sodium 20 UI/ml
Dạng tiêm Verapamil hydrochloride 0.08 mg/ml
NaCl 0,9% 1057
Tương thích
Dạng tiêm Heparin sodium 20 UI/ml
Dạng tiêm Verapamil hydrochloride 0.08 mg/ml
Glucose 5% 1057
Không tương thích không xác định Không tương thích
Dạng tiêm Heparin sodium
Dạng tiêm Vinblastine sulfate
3540
Tương thích
Dạng tiêm Heparin sodium 1000 UI/ml
Dạng tiêm Vinblastine sulfate 1 mg/ml
763
Tương thích
Dạng tiêm Heparin sodium 1000 UI/ml
Dạng tiêm Vincristine sulfate 1 mg/ml
763
Tương thích
Dạng tiêm Heparin sodium 100 UI/ml
Dạng tiêm Vinorelbine tartrate 1 mg/ml
NaCl 0,9% 84
Tương thích
Dạng tiêm Heparin sodium 100 UI/ml
Dạng tiêm Vinorelbine tartrate 1 mg/ml
NaCl 0,9% 1070
Lượng mưa ngay lập tức Không tương thích
Dạng tiêm Heparin sodium 10 & 100 UI/ml
Dạng tiêm Vinorelbine tartrate 2 & 3 mg/ml
NaCl 0,9% 1070
Tương thích
Dạng tiêm Heparin sodium 208 UI/ml
Dạng tiêm Voriconazole 8 mg/ml
Glucose 5% 4254
Tương thích
Dạng tiêm Heparin sodium 208 UI/ml
Dạng tiêm Voriconazole 8 mg/ml
NaCl 0,9% 4254
Tương thích
Dạng tiêm Heparin sodium 100 UI/ml
Dạng tiêm Warfarin sodium 2 mg/ml
Glucose 5% 315
Tương thích
Dạng tiêm Heparin sodium 100 UI/ml
Dạng tiêm Zidovudine 4 mg/ml
Glucose 5% 337

  Mentions Légales