zadnja posodobitev :
18/03/2026
Antikoagulant   Heparin sodium  
Brizgalka
Stabilnost raztopine Stabilnost mešanice Faktorji, ki vplivajo na stabilnost Kompatibilnost način aplikacije Viri pdf
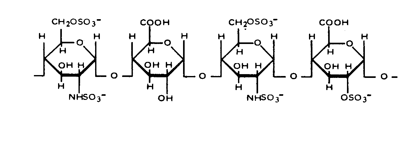
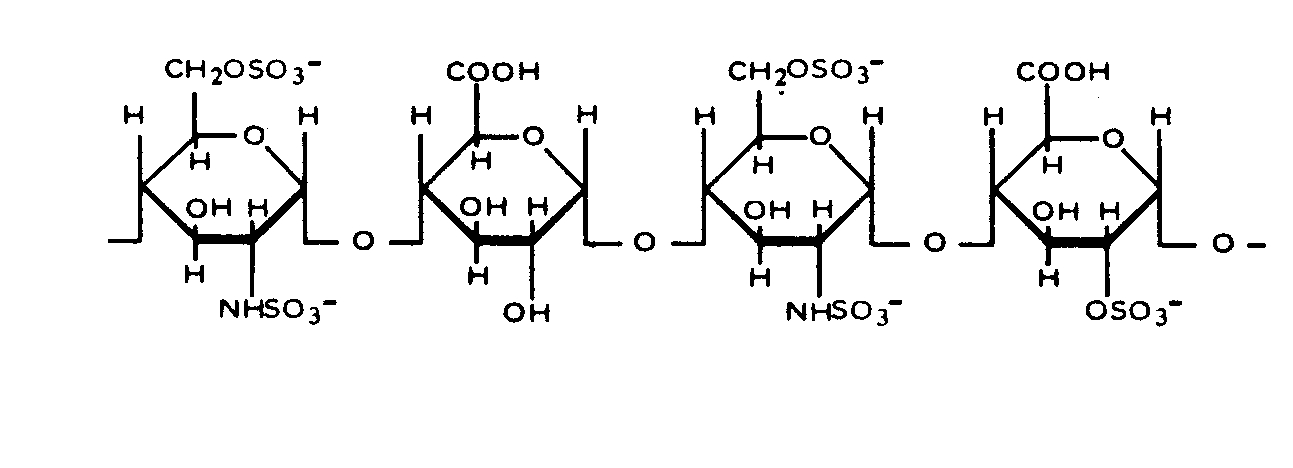
   Kemična formula  

Lastniško ime   Lastniško ime     

Sestava pomožnih snovi je med paralelami lahko različna

Arapin Čile
Ateroclar Italija
Clarisco Italija
Epsoclar Italija
Hepaflex Finska, Norveška
Hepamax Čile, Ekvador, Kolumbija
Heparin Avstrija, Danska, Finska, Grčija, Jugoslavija, Južnoafriška republika, Kanada, Madžarska, Nizozemska, Norveška, ruščina, Švedska, Švica, Tajska, Turčija, Velika Britanija, Združene države Amerike
Heparine Belgija, Francija
Heparinised Avstralija
Heparstad Nemčija
Liquemin Švica, Turčija
Liquemine Brazilija
Monoparin Savdska Arabija
Normoparin Italija
Nuparin Ekvador
Pharepa Italija
Riveparin Argentina
Sobrius Argentina, Ekvador
Thrombophob Nemčija
Kompatibilnost   Brizgalka   Kompatibilnost : Heparin sodium              
Ta zaslon prikazuje združljivost ali nezdružljivost s, v tem primeru, vrsto nezdružljivosti (padavine, sprememba barve, sprememba emulzije itd.). Tu prikazane združljivosti so večinoma samo fizične, pri čemer se kemijska stabilnost vsake molekule redko ocenjuje. Vrednotenje teh zmesi so preučevali, da bi preučili možnost pacientovega dajanja na mestu Y. Teh podatkov ni mogoče uporabiti za pripravo mešanic v vrečkah ali brizgah. Ta vrsta informacij je na voljo na zaslonu "Obstojnost v mešanici".
Sestava Topilo Viri
Združljivo
Brizgalka Heparin sodium 100 UI/ml
Brizgalka Aciclovir sodium 5 mg/ml
Natrijev klorid 0,9% 2335
Združljivo
Brizgalka Heparin sodium 50 UI/ml
Brizgalka Aciclovir sodium 5 mg/ml
Glukoza 5% 336
Združljivo
Brizgalka Heparin sodium 100 UI/ml
Brizgalka Aldesleukin 0.0338 MUI/ml
Glukoza 5% 36
Združljivo
Brizgalka Heparin sodium 100 UI/ml
Brizgalka Allopurinol sodium 3 mg/ml
Natrijev klorid 0,9% 307
Združljivo
Brizgalka Heparin sodium 1 UI/ml
Brizgalka Alprostadil 20 µg/ml
Natrijev klorid 0,9% 4491
Združljivo
Brizgalka Heparin sodium 1 UI/ml
Brizgalka Alprostadil 20 µg/ml
Glukoza 5% 4651
Padavine po 24 urah Nezdružljivo
Brizgalka Heparin sodium 100 UI/ml
Brizgalka Alteplase 1 mg/ml
Voda za injekcije 92
Nedoločena nezdružljivost Nezdružljivo
Brizgalka Heparin sodium
Brizgalka Alteplase
3540
Takoj padavine Nezdružljivo
Brizgalka Heparin sodium 40 UI/ml
Brizgalka Alteplase 0.5 mg/ml
Voda za injekcije 240
Nedoločena nezdružljivost Nezdružljivo
Brizgalka Heparin sodium
Brizgalka Alteplase
3616
Združljivo
Brizgalka Heparin sodium 100 UI/ml
Brizgalka Amifostine 10 mg/ml
Glukoza 5% 3
Takoj padavine Nezdružljivo
Brizgalka Heparin sodium
Brizgalka Amikacin sulfate
1022
Nedoločena nezdružljivost Nezdružljivo
Brizgalka Heparin sodium
Brizgalka Amikacin sulfate
3549
Nedoločena nezdružljivost Nezdružljivo
Brizgalka Heparin sodium
Brizgalka Amikacin sulfate
3540
Nedoločena nezdružljivost Nezdružljivo
Brizgalka Heparin sodium 500 UI/ml
Brizgalka Amiodarone hydrochloride 15 mg/ml
Natrijev klorid 0,9% 3823
Nedoločena nezdružljivost Nezdružljivo
Brizgalka Heparin sodium
Brizgalka Amiodarone hydrochloride
3540
Takojšnja motnost Nezdružljivo
Brizgalka Heparin sodium 500 UI/ml
Brizgalka Amiodarone hydrochloride 15 mg/ml
Natrijev klorid 0,9% 3463
Nedoločena nezdružljivost Nezdružljivo
Brizgalka Heparin sodium
Brizgalka Amiodarone hydrochloride
3464
Nedoločena nezdružljivost Nezdružljivo
Brizgalka Heparin sodium 500 UI/ml
Brizgalka Amiodarone hydrochloride 15 mg/ml
Glukoza 5% 3823
Takojšnja motnost Nezdružljivo
Brizgalka Heparin sodium 500 UI/ml
Brizgalka Amiodarone hydrochloride 15 mg/ml
Glukoza 5% 3463
Združljivo
Brizgalka Heparin sodium 208 UI/ml
Brizgalka Amoxicillin sodium 20.83 & 83.3 mg/ml
Natrijev klorid 0,9% 4254
Združljivo
Brizgalka Heparin sodium 1000 UI/ml
Brizgalka Amoxicillin sodium / clavulanic acid 100/10 mg/ml
3824
Združljivo
Brizgalka Heparin sodium
Brizgalka Ampicillin sodium
5088
Združljivo
Brizgalka Heparin sodium 50 UI/ml
Brizgalka Ampicillin sodium 20 mg/ml
Nobeden 317
Združljivo
Brizgalka Heparin sodium 50 UI/ml
Brizgalka Ampicillin sodium - sulbactam sodium 30 mg/ml
Nobeden 317
Takoj padavine Nezdružljivo
Brizgalka Heparin sodium 40 UI/ml
Brizgalka Amsacrine 1 mg/ml
Glukoza 5% 253
Združljivo
Brizgalka Heparin sodium 100 UI/ml
Brizgalka Anidulafungin 0.5 mg/ml
Glukoza 5% 1982
Takoj padavine Nezdružljivo
Brizgalka Heparin sodium
Brizgalka Antithymocyte globulin (rabbit)
4958
Takoj padavine Nezdružljivo
Brizgalka Heparin sodium 2 UI/ml
Brizgalka Antithymocyte globulin (rabbit) 0,2 & 0,3 mg/ml
Glukoza 5% 1822
Združljivo
Brizgalka Heparin sodium 100 UI/ml
Brizgalka Antithymocyte globulin (rabbit) 0,2 & 0,3 mg/ml
Glukoza 5% 1822
Združljivo
Brizgalka Heparin sodium 2 & 100 UI/ml
Brizgalka Antithymocyte globulin (rabbit) 0,2 & 0,3 mg/ml
Natrijev klorid 0,9% 1822
Združljivo
Brizgalka Heparin sodium 40 UI/ml
Brizgalka Atracurium besylate 0.5 mg/ml
Glukoza 5% 402
Združljivo
Brizgalka Heparin sodium 1 UI/ml
Brizgalka Atropine sulfate 0.5 mg/ml
Glukoza 5% 1228
Združljivo
Brizgalka Heparin sodium 500 UI/ml
Parenteralna prehrana (z lipidi) 4507
Takoj padavine Nezdružljivo
Brizgalka Heparin sodium 1000 UI/ml
Brizgalka Amphotericin B cholesteryl sulfate complex 0.83 mg/ml
Glukoza 5% 921
Nedoločena nezdružljivost Nezdružljivo
Brizgalka Heparin sodium
Brizgalka Ampicillin sodium
3540
Združljivo
Brizgalka Heparin sodium 10 & 5000 UI/ml
Brizgalka Ampicillin sodium 10 mg/ml
Natrijev klorid 0,9% 2037
Združljivo
Brizgalka Heparin sodium 1 UI/ml
Brizgalka Atropine sulfate 0.5 mg/ml
Ringerjev laktat 1228
Združljivo
Brizgalka Heparin sodium 1 UI/ml
Brizgalka Atropine sulfate 0.5 mg/ml
Natrijev klorid 0,9% 1228
Združljivo
Brizgalka Heparin sodium 100 UI/ml
Brizgalka Aztreonam 40 mg/ml
Glukoza 5% 99
Združljivo
Brizgalka Heparin sodium 50 UI/ml
Brizgalka Aztreonam 20 mg/ml
Nobeden 317
Združljivo
Brizgalka Heparin sodium 1 UI/ml
Brizgalka Betamethasone sodium phosphate 3 mg/ml
Natrijev klorid 0,9% 1228
Združljivo
Brizgalka Heparin sodium 1 UI/ml
Brizgalka Betamethasone sodium phosphate 3 mg/ml
Glukoza 5% 1228
Združljivo
Brizgalka Heparin sodium 1 UI/ml
Brizgalka Betamethasone sodium phosphate 3 mg/ml
Ringerjev laktat 1228
Združljivo
Brizgalka Heparin sodium 100 UI/ml
Brizgalka Bivalirudin 5 mg/ml
Glukoza 5% 1713
Takoj padavine Nezdružljivo
Brizgalka Heparin sodium 192.3 UI/ml
Brizgalka Blinatumomab 0.125 & 0.375 µg/ml
Natrijev klorid 0,9% 3976
Združljivo
Brizgalka Heparin sodium 1000 UI/ml
Brizgalka Caffeine 10 mg/ml
Nobeden 3964
Združljivo
Brizgalka Heparin sodium 100 UI/ml
Brizgalka Caffeine 10 mg/ml
Natrijev klorid 0,9% 4837
Združljivo
Brizgalka Heparin sodium 100 UI/ml
Brizgalka Caffeine citrate 20 mg/ml
Natrijev klorid 0,9% 4837
Padavine po 30 urah Nezdružljivo
Brizgalka Heparin sodium 2 UI/ml
Brizgalka Calcium chloride 20 mg/ml
Glukoza 5% 4732
Združljivo
Brizgalka Heparin sodium 100 UI/ml
Brizgalka Calcium chloride 20 mg/ml
Glukoza 5% 4732
Takojšnja nestabilnost emulzije Nezdružljivo
Brizgalka Heparin sodium
Brizgalka Calcium chloride
Parenteralna prehrana (z lipidi) 1084
Takojšnja nestabilnost emulzije Nezdružljivo
Brizgalka Heparin sodium
Brizgalka Calcium gluconate
Parenteralna prehrana (z lipidi) 1084
Takoj padavine Nezdružljivo
Brizgalka Heparin sodium 100 UI/ml
Brizgalka Caspofungin acetate 0.5 mg/ml
Natrijev klorid 0,9% 2233
Takoj padavine Nezdružljivo
Brizgalka Heparin sodium 100 UI/ml
Brizgalka Caspofungin acetate 0,7 mg/ml
Natrijev klorid 0,9% 2247
Nedoločena nezdružljivost Nezdružljivo
Brizgalka Heparin sodium
Brizgalka Cefalotin sodium
3540
Združljivo
Brizgalka Heparin sodium 10 & 5000 UI/ml
Brizgalka Cefazolin sodium 10 mg/ml
Natrijev klorid 0,9% 2037
Združljivo
Brizgalka Heparin sodium 50 UI/ml
Brizgalka Cefazolin sodium 20 mg/ml
Nobeden 317
Združljivo
Brizgalka Heparin sodium 0.667 UI/ml
Brizgalka Cefazolin sodium 0.333 mg/ml
Dianéal® PD2 1.5% Glukoza (Baxter) 1979
Združljivo
Brizgalka Heparin sodium 10 & 50 UI/ml
Brizgalka Cefepime dihydrochloride 4 mg/ml
Natrijev klorid 0,9% 3548
Združljivo
Brizgalka Heparin sodium 10 & 50 UI/ml
Brizgalka Cefepime dihydrochloride 4 mg/ml
Glukoza 5% 3548
Združljivo
Brizgalka Heparin sodium 1000 UI/ml
Brizgalka Cefiderocol sulfate tosylate 20 mg/mL
Glukoza 5% 4528
Združljivo
Brizgalka Heparin sodium 1000 UI/ml
Brizgalka Cefiderocol sulfate tosylate 20 mg/mL
Natrijev klorid 0,9% 4528
Kemijska nestabilnost Nezdružljivo
Brizgalka Heparin sodium 100 UI/ml
Brizgalka Cefmetazole sodium 100 mg/ml
Voda za injekcije 93
Združljivo
Brizgalka Heparin sodium 208 UI/ml
Brizgalka Cefotaxime sodium 41.6 & 125 mg/ml
Glukoza 5% 4254
Združljivo
Brizgalka Heparin sodium 208 UI/ml
Brizgalka Cefotaxime sodium 41.6 & 125 mg/ml
Natrijev klorid 0,9% 4254
Združljivo
Brizgalka Heparin sodium 5000 UI/ml
Brizgalka Cefotaxime sodium 10 mg/ml
Voda za injekcije 3125
Združljivo
Brizgalka Heparin sodium 100 UI/ml
Brizgalka Ceftaroline fosamil 2,22 mg/ml
Ringerjev laktat 3249
Združljivo
Brizgalka Heparin sodium 100 UI/ml
Brizgalka Ceftaroline fosamil 2,22 mg/ml
Natrijev klorid 0,9% 3249
Združljivo
Brizgalka Heparin sodium 100 UI/ml
Brizgalka Ceftaroline fosamil 2,22 mg/ml
Glukoza 5% 3249
Združljivo
Brizgalka Heparin sodium 0.5 UI/ml
Brizgalka Ceftazidime 0.125 mg/ml
Extraneal® (Baxter) 4056
Združljivo
Brizgalka Heparin sodium 0.5 UI/ml
Brizgalka Ceftazidime 0.125 mg/ml
Dianéal® PD2 4.25% Glukoza (Baxter) 4056
Združljivo
Brizgalka Heparin sodium 50 UI/ml
Brizgalka Ceftazidime 20 mg/ml
Nobeden 317
Združljivo
Brizgalka Heparin sodium 0.5 UI/ml
Brizgalka Ceftazidime 0.125 mg/ml
Dianéal® PD2 2.5% glucose (Baxter) 4056
Združljivo
Brizgalka Heparin sodium 100 UI/ml
Brizgalka Ceftobiprole medocaril sodium 2 mg/ml
Natrijev klorid 0,9% 2269
Združljivo
Brizgalka Heparin sodium 100 UI/ml
Brizgalka Ceftobiprole medocaril sodium 2 mg/ml
Glukoza 5% 2269
Združljivo
Brizgalka Heparin sodium 100 UI/ml
Brizgalka Ceftobiprole medocaril sodium 2 mg/ml
Ringerjev laktat 2269
Združljivo
Brizgalka Heparin sodium 1000 UI/ml
Brizgalka Ceftolozane / tazobactam 10/5 mg/ml
Natrijev klorid 0,9% 3828
Združljivo
Brizgalka Heparin sodium 1000 UI/ml
Brizgalka Ceftolozane / tazobactam 10/5 mg/ml
Glukoza 5% 3828
Združljivo
Brizgalka Heparin sodium 50 UI/ml
Brizgalka Ceftriaxone disodium 20 mg/ml
Nobeden 317
Združljivo
Brizgalka Heparin sodium 10 & 50 UI/ml
Brizgalka Cefuroxime sodium
Natrijev klorid 0,9% 3687
Združljivo
Brizgalka Heparin sodium 58,34 UI/ml
Brizgalka Chlorpromazine hydrochloride 0,26 mg/ml
Glukoza 5% 1289
Združljivo
Brizgalka Heparin sodium 1 UI/ml
Brizgalka Chlorpromazine hydrochloride 10 mg/ml
Natrijev klorid 0,9% 1228
Združljivo
Brizgalka Heparin sodium 1 UI/ml
Brizgalka Chlorpromazine hydrochloride 10 mg/ml
Glukoza 5% 1228
Nedoločena nezdružljivost Nezdružljivo
Brizgalka Heparin sodium
Brizgalka Chlorpromazine hydrochloride
3540
Združljivo
Brizgalka Heparin sodium 1 UI/ml
Brizgalka Chlorpromazine hydrochloride 10 mg/ml
Ringerjev laktat 1228
Združljivo
Brizgalka Heparin sodium 50 UI/ml
Brizgalka Cimetidine hydrochloride 6 mg/ml
Nobeden 317
Združljivo
Brizgalka Heparin sodium 5000 & 10000 UI/ml
Brizgalka Ciprofloxacin lactate 0.4 & 0.6 mg/ml
Natrijev klorid 0,9% 2057
Takoj padavine Nezdružljivo
Brizgalka Heparin sodium 10 >> 10000 UI/ml
Brizgalka Ciprofloxacin lactate 1 mg/ml
Natrijev klorid 0,9% 2057
Takoj padavine Nezdružljivo
Brizgalka Heparin sodium 10 & 100 UI/ml
Brizgalka Ciprofloxacin lactate 0.2 mg/ml
Natrijev klorid 0,9% 2057
Nedoločena nezdružljivost Nezdružljivo
Brizgalka Heparin sodium
Brizgalka Ciprofloxacin lactate
3540
Takoj padavine Nezdružljivo
Brizgalka Heparin sodium 10 >> 1000 UI/ml
Brizgalka Ciprofloxacin lactate 0.4 & 0.6 mg/ml
Natrijev klorid 0,9% 2057
Združljivo
Brizgalka Heparin sodium 1000 >> 10000 UI/ml
Brizgalka Ciprofloxacin lactate 0.2 mg/ml
Natrijev klorid 0,9% 2057
Takoj padavine Nezdružljivo
Brizgalka Heparin sodium 10 >> 5000 UI/ml
Brizgalka Ciprofloxacin lactate 0.8 mg/ml
Natrijev klorid 0,9% 2057
Združljivo
Brizgalka Heparin sodium 10 >> 10000 UI/ml
Brizgalka Ciprofloxacin lactate 0.1 mg/ml
Natrijev klorid 0,9% 2057
Takoj padavine Nezdružljivo
Brizgalka Heparin sodium 100 UI/ml
Brizgalka Ciprofloxacin lactate 2 mg/ml
Natrijev klorid 0,9% 288
Nedoločena nezdružljivost Nezdružljivo
Brizgalka Heparin sodium
Brizgalka Ciprofloxacin lactate
3529
Takoj padavine Nezdružljivo
Brizgalka Heparin sodium 100 UI/ml
Brizgalka Ciprofloxacin lactate 2 mg/ml
Glukoza 5% 288
Takoj padavine Nezdružljivo
Brizgalka Heparin sodium 10 >> 1000 UI/ml
Brizgalka Ciprofloxacin lactate 2 mg/ml
Natrijev klorid 0,9% 289
Takojšnja motnost Nezdružljivo
Brizgalka Heparin sodium 10 UI/ml
Brizgalka Ciprofloxacin lactate 2 mg/ml
Nobeden 1393
Združljivo
Brizgalka Heparin sodium 10000 UI/ml
Brizgalka Ciprofloxacin lactate 0.8 mg/ml
Natrijev klorid 0,9% 2057
Združljivo
Brizgalka Heparin sodium 100 UI/ml
Brizgalka Cisatracurium besylate 0.1 & 2 mg/ml
Glukoza 5% 299
Takoj padavine Nezdružljivo
Brizgalka Heparin sodium 100 UI/ml
Brizgalka Cisatracurium besylate 5 mg/ml
Glukoza 5% 299
Sprememba barve Nezdružljivo
Brizgalka Heparin sodium 500 UI/ml
Brizgalka Cisatracurium besylate 5 mg/ml
Natrijev klorid 0,9% 3463
Nedoločena nezdružljivost Nezdružljivo
Brizgalka Heparin sodium 500 UI/ml
Brizgalka Cisatracurium besylate 5 mg/ml
Natrijev klorid 0,9% 3823
Nedoločena nezdružljivost Nezdružljivo
Brizgalka Heparin sodium
Brizgalka Cisatracurium besylate
3540
Združljivo
Brizgalka Heparin sodium 100 UI/ml
Brizgalka Cladribine 0.5 mg/ml
NaCl 0,9%  + bakteriostatik 1496
Združljivo
Brizgalka Heparin sodium 100 UI/ml
Brizgalka Cladribine 0.015 mg/ml
Natrijev klorid 0,9% 1496
Združljivo
Brizgalka Heparin sodium 50 UI/ml
Brizgalka Clindamycin phosphate 12 mg/ml
Nobeden 317
Združljivo
Brizgalka Heparin sodium 50 UI/ml
Brizgalka Clonidine hydrochloride 0.0075 mg/ml
Natrijev klorid 0,9% 1506
Združljivo
Brizgalka Heparin sodium 50 UI/ml
Brizgalka Clonidine hydrochloride 0.0075 mg/ml
Glukoza 5% 1506
Združljivo
Brizgalka Heparin sodium 100 UI/ml
Brizgalka Cloxacillin sodium 100 mg/ml
Voda za injekcije 3012
Padavine po 4 urah Nezdružljivo
Brizgalka Heparin sodium 208 UI/ml
Brizgalka Co-trimoxazole 3.2/0.64 & 80/16 mg/ml
Natrijev klorid 0,9% 4254
Padavine po 4 urah Nezdružljivo
Brizgalka Heparin sodium 208 UI/ml
Brizgalka Co-trimoxazole 3.2/0.64 & 80/16 mg/ml
Glukoza 5% 4254
Združljivo
Brizgalka Heparin sodium 1 UI/ml
Brizgalka Cyanocobalamine 0.1 mg/ml
Ringerjev laktat 1228
Združljivo
Brizgalka Heparin sodium 1 UI/ml
Brizgalka Cyanocobalamine 0.1 mg/ml
Glukoza 5% 1228
Združljivo
Brizgalka Heparin sodium 1 UI/ml
Brizgalka Cyanocobalamine 0.1 mg/ml
Natrijev klorid 0,9% 1228
Nedoločena nezdružljivost Nezdružljivo
Brizgalka Heparin sodium
Brizgalka Cytarabine
3540
Nedoločena nezdružljivost Nezdružljivo
Brizgalka Heparin sodium
Brizgalka Cytarabine
3580
Nedoločena nezdružljivost Nezdružljivo
Brizgalka Heparin sodium
Brizgalka Dacarbazine
3605
Takoj padavine Nezdružljivo
Brizgalka Heparin sodium 100 UI/ml
Brizgalka Dacarbazine 25 mg/ml
Natrijev klorid 0,9% 860
Nedoločena nezdružljivost Nezdružljivo
Brizgalka Heparin sodium
Brizgalka Dacarbazine
3267
Nedoločena nezdružljivost Nezdružljivo
Brizgalka Heparin sodium
Brizgalka Dacarbazine
3540
Združljivo
Brizgalka Heparin sodium
Brizgalka Daptomycin
2271
Združljivo
Brizgalka Heparin sodium 98 UI/ml
Brizgalka Daptomycin 19,6 mg/ml
Natrijev klorid 0,9% 1937
Takoj padavine Nezdružljivo
Brizgalka Heparin sodium
Brizgalka Daunorubicin hydrochloride
3604
Nedoločena nezdružljivost Nezdružljivo
Brizgalka Heparin sodium
Brizgalka Daunorubicin hydrochloride
3540
Takoj padavine Nezdružljivo
Brizgalka Heparin sodium
Brizgalka Daunorubicin hydrochloride liposome
3577
Takojšnja motnost Nezdružljivo
Brizgalka Heparin sodium
Brizgalka Daunorubicin/cytarabine liposomale 0,4 mg/mL
Natrijev klorid 0,9% 4654
Združljivo
Brizgalka Heparin sodium 373 UI/ml
Brizgalka Defibrotide 8 mg/ml
Natrijev klorid 0,9% 3728
Združljivo
Brizgalka Heparin sodium 50 UI/ml
Brizgalka Dexamethasone sodium phosphate 0.08 mg/ml
Nobeden 317
Združljivo
Brizgalka Heparin sodium
Brizgalka Dexketoprofen
4981
Združljivo
Brizgalka Heparin sodium 100 UI/ml
Brizgalka Dexmedetomidine 4 µg/ml
Natrijev klorid 0,9% 1712
Združljivo
Brizgalka Heparin sodium 10000 UI/ml
Brizgalka Diatrizoate meglumine 283 mg/ml
Nobeden 1085
Nedoločena nezdružljivost Nezdružljivo
Brizgalka Heparin sodium
Brizgalka Diazepam
3540
Združljivo
Brizgalka Heparin sodium 100 UI/ml
Brizgalka Diltiazem hydrochloride 1 mg/ml
314
Takoj padavine Nezdružljivo
Brizgalka Heparin sodium 20000 UI/ml
Brizgalka Diltiazem hydrochloride 5 mg/ml
Natrijev klorid 0,9% 198
Združljivo
Brizgalka Heparin sodium 100 UI/ml
Brizgalka Diltiazem hydrochloride 1 mg/ml
Glukoza 5% 4556
Takojšnja motnost Nezdružljivo
Brizgalka Heparin sodium 100 UI/ml
Brizgalka Diltiazem hydrochloride 5 mg/ml
Glukoza 5% 4556
Združljivo
Brizgalka Heparin sodium 20000 UI/ml
Brizgalka Diltiazem hydrochloride 1 mg/ml
Natrijev klorid 0,9% 198
Združljivo
Brizgalka Heparin sodium
Brizgalka Diltiazem hydrochloride
5090
Združljivo
Brizgalka Heparin sodium 80 >> 10000 UI/ml
Brizgalka Diltiazem hydrochloride 1 & 5 mg/ml
Natrijev klorid 0,9% 198
Takoj padavine Nezdružljivo
Brizgalka Heparin sodium
Brizgalka Dimenhydrinate
2087
Združljivo
Brizgalka Heparin sodium 1 UI/ml
Brizgalka Diphenhydramine hydrochloride 50 mg/ml
Natrijev klorid 0,9% 1228
Združljivo
Brizgalka Heparin sodium 1 UI/ml
Brizgalka Diphenhydramine hydrochloride 50 mg/ml
Glukoza 5% 1228
Združljivo
Brizgalka Heparin sodium 1 UI/ml
Brizgalka Diphenhydramine hydrochloride 50 mg/ml
Ringerjev laktat 1228
Padavine po 4 urah Nezdružljivo
Brizgalka Heparin sodium 100 UI/ml
Brizgalka Dobutamine hydrochloride 4 mg/ml
314
Združljivo
Brizgalka Heparin sodium 40 UI/ml
Brizgalka Dobutamine hydrochloride 1 mg/ml
Natrijev klorid 0,9% 1058
Združljivo
Brizgalka Heparin sodium 100 UI/ml
Brizgalka Dobutamine hydrochloride 2 mg/ml
Glukoza 5% 1041
Takoj padavine Nezdružljivo
Brizgalka Heparin sodium 100 UI/ml
Brizgalka Dobutamine hydrochloride 2 mg/ml
Glukoza 5% 1352
Takojšnja motnost Nezdružljivo
Brizgalka Heparin sodium 100 UI/ml
Brizgalka Dobutamine hydrochloride 4 mg/ml
Glukoza 5% 295
Takoj padavine Nezdružljivo
Brizgalka Heparin sodium
Brizgalka Dobutamine hydrochloride
3540
Sprememba barve po 6 urah Nezdružljivo
Brizgalka Heparin sodium 10000 UI/ml
Brizgalka Dobutamine hydrochloride 2 mg/ml
Glukoza 5% 1041
Združljivo
Brizgalka Heparin sodium 40 UI/ml
Brizgalka Dobutamine hydrochloride 1 mg/ml
Glukoza 5% 1058
Združljivo
Brizgalka Heparin sodium 50 UI/ml
Brizgalka Dobutamine hydrochloride 1 mg/ml
Nobeden 317
Združljivo
Brizgalka Heparin sodium 100 UI/ml
Brizgalka Docetaxel 0.9 mg/ml
Glukoza 5% 1754
Združljivo
Brizgalka Heparin sodium 1 UI/ml
Brizgalka Dopamine hydrochloride 40 mg/ml
Natrijev klorid 0,9% 1228
Združljivo
Brizgalka Heparin sodium 50 UI/ml
Brizgalka Dopamine hydrochloride 1.6 mg/ml
Nobeden 317
Združljivo
Brizgalka Heparin sodium 100 UI/ml
Brizgalka Dopamine hydrochloride 3.2 mg/ml
314
Združljivo
Brizgalka Heparin sodium 1 UI/ml
Brizgalka Dopamine hydrochloride 40 mg/ml
Ringerjev laktat 1228
Združljivo
Brizgalka Heparin sodium 200 UI/ml
Brizgalka Dopamine hydrochloride 0.8 mg/ml
Glukoza 5% 738
Združljivo
Brizgalka Heparin sodium 1 UI/ml
Brizgalka Dopamine hydrochloride 40 mg/ml
Glukoza 5% 1228
Združljivo
Brizgalka Heparin sodium 100 UI/ml
Brizgalka Dopamine hydrochloride 3,2 mg/ml
4389
Nedoločena nezdružljivost Nezdružljivo
Brizgalka Heparin sodium 187 UI/ml
Brizgalka Dopamine hydrochloride 1,7 >> 3,4 mg/ml
Glukoza 5% 377
Združljivo
Brizgalka Heparin sodium 100 UI/ml
Brizgalka Doripenem 5 mg/ml
Natrijev klorid 0,9% 2262
Združljivo
Brizgalka Heparin sodium 100 UI/ml
Brizgalka Doripenem 5 mg/ml
Glukoza 5% 2262
Združljivo
Brizgalka Heparin sodium 1 UI/ml
Brizgalka Doxapram hydrochloride 2 mg/ml
Glukoza 5% 1802
Nedoločena nezdružljivost Nezdružljivo
Brizgalka Heparin sodium
Brizgalka Doxorubicin hydrochloride
3540
Takoj padavine Nezdružljivo
Brizgalka Heparin sodium
Brizgalka Doxorubicin hydrochloride
3645
Takoj padavine Nezdružljivo
Brizgalka Heparin sodium 1000 UI/ml
Brizgalka Doxorubicin hydrochloride 2 mg/ml
763
Združljivo
Brizgalka Heparin sodium 1000 UI/ml
Brizgalka Doxorubicin hydrochloride liposome peg 0.4 mg/ml
Glukoza 5% 251
Nedoločena nezdružljivost Nezdružljivo
Brizgalka Heparin sodium 50 UI/ml
Brizgalka Doxycycline hyclate 1 mg/ml
Nobeden 317
Takoj padavine Nezdružljivo
Brizgalka Heparin sodium 1000 UI/ml
Brizgalka Droperidol 2,5 mg/ml
763
Združljivo
Brizgalka Heparin sodium 1 UI/ml
Brizgalka Droperidol 1.25 mg/ml
Natrijev klorid 0,9% 1228
Združljivo
Brizgalka Heparin sodium 1 UI/ml
Brizgalka Droperidol 1.25 mg/ml
Ringerjev laktat 1228
Združljivo
Brizgalka Heparin sodium 1 UI/ml
Brizgalka Droperidol 1.25 mg/ml
Glukoza 5% 1228
Nedoločena nezdružljivost Nezdružljivo
Brizgalka Heparin sodium
Brizgalka Droperidol
3540
Združljivo
Brizgalka Heparin sodium 45,45 UI/ml
Brizgalka Enalaprilate 0,011 mg/ml
Glukoza 5% 963
Združljivo
Brizgalka Heparin sodium 40 UI/ml
Brizgalka Enalaprilate 0.05 mg/ml
Natrijev klorid 0,9% 1315
Združljivo
Brizgalka Heparin sodium 50 UI/ml
Brizgalka Enalaprilate 0.0125 mg/ml
Natrijev klorid 0,9% 1703
Združljivo
Brizgalka Heparin sodium 1 UI/ml
Brizgalka Epinephrine hydrochloride 100 µg/ml
Ringerjev laktat 1228
Združljivo
Brizgalka Heparin sodium 100 UI/ml
Brizgalka Epinephrine hydrochloride 20 µg/ml
314
Združljivo
Brizgalka Heparin sodium 1 UI/ml
Brizgalka Epinephrine hydrochloride 100 µg/ml
Natrijev klorid 0,9% 1228
Združljivo
Brizgalka Heparin sodium 1 UI/ml
Brizgalka Epinephrine hydrochloride 100 µg/ml
Glukoza 5% 1228
Nedoločena nezdružljivost Nezdružljivo
Brizgalka Heparin sodium
Brizgalka Epirubicin hydrochloride
3632
Združljivo
Brizgalka Heparin sodium
Brizgalka Eptifibatide
3934
Združljivo
Brizgalka Heparin sodium 1000 UI/ml
Brizgalka Eravacycline 0,6 mg/ml
Natrijev klorid 0,9% 4434
Takojšnja motnost Nezdružljivo
Brizgalka Heparin sodium 1 UI/ml
Brizgalka Ergotamine tartrate 0.5 mg/ml
Natrijev klorid 0,9% 1228
Padavine po 4 urah Nezdružljivo
Brizgalka Heparin sodium 1 UI/ml
Brizgalka Ergotamine tartrate 0.5 mg/ml
Ringerjev laktat 1228
Padavine po 4 urah Nezdružljivo
Brizgalka Heparin sodium 1 UI/ml
Brizgalka Ergotamine tartrate 0.5 mg/ml
Glukoza 5% 1228
Združljivo
Brizgalka Heparin sodium 50 & 100 UI/ml
Brizgalka Ertapenem 10 & 20 mg/ml
Natrijev klorid 0,9% 1906
Združljivo
Brizgalka Heparin sodium 50 UI/ml
Brizgalka Erythromycin lactobionate 3.3 mg/ml
Nobeden 317
Nedoločena nezdružljivost Nezdružljivo
Brizgalka Heparin sodium
Brizgalka Erythromycin lactobionate
3674
Nedoločena nezdružljivost Nezdružljivo
Brizgalka Heparin sodium
Brizgalka Erythromycin lactobionate
3540
Združljivo
Brizgalka Heparin sodium 50 UI/ml
Brizgalka Esmolol hydrochloride 6 mg/ml
Glukoza 5% 174
Združljivo
Brizgalka Heparin sodium 40 UI/ml
Brizgalka Esmolol hydrochloride 10 mg/ml
Glukoza 5% 384
Združljivo
Brizgalka Heparin sodium 500 UI/ml
Brizgalka Esmolol hydrochloride 10 mg/ml
Natrijev klorid 0,9% 3823
Takoj padavine Nezdružljivo
Brizgalka Heparin sodium 1000 UI/ml
Brizgalka Ethanol 70 %
Voda za injekcije + antibiotik 2221
Takoj padavine Nezdružljivo
Brizgalka Heparin sodium 1000 UI/ml
Brizgalka Ethanol 70 %
Voda za injekcije 2221
Padavine po 1 uri Nezdružljivo
Brizgalka Heparin sodium 10 UI/ml
Brizgalka Ethanol 70 %
Voda za injekcije + antibiotik 2221
Takoj padavine Nezdružljivo
Brizgalka Heparin sodium 10 UI/ml
Brizgalka Ethanol 70 %
Voda za injekcije 2221
Združljivo
Brizgalka Heparin sodium 100 UI/ml
Brizgalka Etoposide phosphate 5 mg/ml
Glukoza 5% 1410
Združljivo
Brizgalka Heparin sodium 40 UI/ml
Brizgalka Famotidine
Glukoza 5% 397
Združljivo
Brizgalka Heparin sodium 50 UI/ml
Brizgalka Famotidine 0.2 mg/ml
Glukoza 5% 398
Združljivo
Brizgalka Heparin sodium 40 UI/ml
Brizgalka Famotidine 2 mg/ml
Natrijev klorid 0,9% 215
Združljivo
Brizgalka Heparin sodium 100 UI/ml
Brizgalka Fenoldopam mesylate 80 µg/ml
Natrijev klorid 0,9% 1803
Združljivo
Brizgalka Heparin sodium 100 UI/ml
Brizgalka Fentanyl citrate 50 µg/ml
4389
Združljivo
Brizgalka Heparin sodium 1 UI/ml
Brizgalka Fentanyl citrate 50 µg/ml
Glukoza 5% 1228
Združljivo
Brizgalka Heparin sodium 1 UI/ml
Brizgalka Fentanyl citrate 50 µg/ml
Ringerjev laktat 1228
Združljivo
Brizgalka Heparin sodium 1 UI/ml
Brizgalka Fentanyl citrate 50 µg/ml
Natrijev klorid 0,9% 1228
Združljivo
Brizgalka Heparin sodium 100 UI/ml
Brizgalka Fentanyl citrate 50 µg/ml
314
Takoj padavine Nezdružljivo
Brizgalka Heparin sodium 100 UI/ml
Brizgalka Filgrastim 30 µg/ml
Glukoza 5% 244
Združljivo
Brizgalka Heparin sodium 1000 UI/ml
Brizgalka Fluconazole 2 mg/ml
Natrijev klorid 0,9% 496
Združljivo
Brizgalka Heparin sodium 50 UI/ml
Brizgalka Fluconazole 2 mg/ml
Nobeden 317
Združljivo
Brizgalka Heparin sodium 40 >> 1000 UI/ml
Brizgalka Fludarabine phosphate 1 mg/ml
Glukoza 5% 492
Združljivo
Brizgalka Heparin sodium 50 UI/ml
Brizgalka Flumazenil 0,02 mg/ml
Glukoza 5% 187
Združljivo
Brizgalka Heparin sodium 5 UI/ml
Brizgalka Fluorouracil 0,8 mg/ml
Natrijev klorid 0,9% 156
Združljivo
Brizgalka Heparin sodium 5 UI/ml
Brizgalka Fluorouracil 0,8 mg/ml
Glukoza 5% 156
Združljivo
Brizgalka Heparin sodium 1 UI/ml
Brizgalka Fluorouracil 50 mg/ml
Natrijev klorid 0,9% 1228
Združljivo
Brizgalka Heparin sodium 960 UI/ml
Brizgalka Fluorouracil 24 mg/ml
Glukoza 5% 163
Združljivo
Brizgalka Heparin sodium 1 UI/ml
Brizgalka Fluorouracil 50 mg/ml
Glukoza 5% 1228
Združljivo
Brizgalka Heparin sodium 1000 UI/ml
Brizgalka Fluorouracil 50 mg/ml
763
Združljivo
Brizgalka Heparin sodium 1 UI/ml
Brizgalka Fluorouracil 50 mg/ml
Ringerjev laktat 1228
Združljivo
Brizgalka Heparin sodium 1000 UI/ml
Brizgalka Folinate calcium 10 mg/ml
763
Združljivo
Brizgalka Heparin sodium 100 UI/ml
Brizgalka Foscarnet sodium 24 mg/ml
Glukoza 5% 1135
Združljivo
Brizgalka Heparin sodium 100 UI/ml
Brizgalka Foscarnet sodium 24 mg/ml
Natrijev klorid 0,9% 1135
Združljivo
Brizgalka Heparin sodium 1000 UI/ml
Brizgalka Foscarnet sodium 24 mg/ml
Nobeden 73
Združljivo
Brizgalka Heparin sodium 1000 UI/ml
Brizgalka Fosfomycin 30 mg/ml
Glukoza 5% 4055
Združljivo
Brizgalka Heparin sodium 1000 UI/ml
Brizgalka Fosfomycin 30 mg/ml
Natrijev klorid 0,9% 4055
Združljivo
Brizgalka Heparin sodium 100 UI/ml
Brizgalka Furosemide 10 mg/ml
314
Združljivo
Brizgalka Heparin sodium 1 UI/ml
Brizgalka Furosemide 10 mg/ml
Natrijev klorid 0,9% 1228
Padavine po 5 urah Nezdružljivo
Brizgalka Heparin sodium 100 UI/ml
Brizgalka Furosemide 10 mg/ml
Glukoza 5% 4724
Združljivo
Brizgalka Heparin sodium 20 UI/ml
Brizgalka Furosemide 1 mg/ml
Natrijev klorid 0,9% 1232
Združljivo
Brizgalka Heparin sodium 58,34 UI/ml
Brizgalka Furosemide 5,21 mg/ml
Glukoza 5% 1289
Združljivo
Brizgalka Heparin sodium
Brizgalka Furosemide
3465
Združljivo
Brizgalka Heparin sodium 1 UI/ml
Brizgalka Furosemide 10 mg/ml
Ringerjev laktat 1228
Združljivo
Brizgalka Heparin sodium 1000 UI/ml
Brizgalka Furosemide 10 mg/ml
763
Združljivo
Brizgalka Heparin sodium 10 UI/ml
Brizgalka Furosemide 10 mg/ml
Nobeden 3210
Združljivo
Brizgalka Heparin sodium 500 UI/ml
Brizgalka Furosemide 10 mg/ml
Natrijev klorid 0,9% 3823
Združljivo
Brizgalka Heparin sodium 500 UI/ml
Brizgalka Furosemide 10 mg/ml
Nobeden 3134
Združljivo
Brizgalka Heparin sodium 1 UI/ml
Brizgalka Furosemide 10 mg/ml
Glukoza 5% 1228
Združljivo
Brizgalka Heparin sodium 40 UI/ml
Brizgalka Gallium nitrate 1 mg/ml
Natrijev klorid 0,9% 91
Združljivo
Brizgalka Heparin sodium 100 UI/ml
Brizgalka Gemcitabine hydrochloride 10 mg/ml
Natrijev klorid 0,9% 1423
Takojšnja motnost Nezdružljivo
Brizgalka Heparin sodium 2500 UI/ml
Brizgalka Gentamicin sulfate 3 mg/ml
4612
Nedoločena nezdružljivost Nezdružljivo
Brizgalka Heparin sodium
Brizgalka Gentamicin sulfate
3520
Nedoločena nezdružljivost Nezdružljivo
Brizgalka Heparin sodium
Brizgalka Gentamicin sulfate
3643
Takoj padavine Nezdružljivo
Brizgalka Heparin sodium
Brizgalka Gentamicin sulfate
1022
Nedoločena nezdružljivost Nezdružljivo
Brizgalka Heparin sodium 50 UI/ml
Brizgalka Gentamicin sulfate 2 mg/ml
Nobeden 317
Takoj padavine Nezdružljivo
Brizgalka Heparin sodium 10 >> 40 UI/ml
Brizgalka Gentamicin sulfate 4 >> 40 mg/ml
1258
Takoj padavine Nezdružljivo
Brizgalka Heparin sodium 2500 UI/ml
Brizgalka Gentamicin sulfate 4 & 5 mg/ml
4612
Nedoločena nezdružljivost Nezdružljivo
Brizgalka Heparin sodium
Brizgalka Gentamicin sulfate
3540
Združljivo
Brizgalka Heparin sodium 2500 UI/ml
Brizgalka Gentamicin sulfate 1 & 2 mg/ml
4612
Združljivo
Brizgalka Heparin sodium 50 UI/ml
Brizgalka Glycerophosphate disodium
Natrijev klorid 0,9% 4332
Združljivo
Brizgalka Heparin sodium 100 UI/ml
Brizgalka Granisetron hydrochloride 0.05 mg/ml
Glukoza 5% 182
Takoj padavine Nezdružljivo
Brizgalka Heparin sodium 100 & 200 UI/ml
Brizgalka Haloperidol lactate 5 mg/ml
Glukoza 5% 617
Takoj padavine Nezdružljivo
Brizgalka Heparin sodium 100 & 200 UI/ml
Brizgalka Haloperidol lactate 5 mg/ml
Natrijev klorid 0,9% 617
Združljivo
Brizgalka Heparin sodium 500 UI/ml
Brizgalka Haloperidol lactate 0.5 mg/ml
Natrijev klorid 0,9% 3823
Nedoločena nezdružljivost Nezdružljivo
Brizgalka Heparin sodium
Brizgalka Haloperidol lactate
3540
Združljivo
Brizgalka Heparin sodium 100 UI/ml
Brizgalka Hetastarch 60 mg/ml
Posebni topila 1721
Nedoločena nezdružljivost Nezdružljivo
Brizgalka Heparin sodium
Brizgalka Hyaluronidase
3617
Nedoločena nezdružljivost Nezdružljivo
Brizgalka Heparin sodium
Brizgalka Hyaluronidase
3184
Nedoločena nezdružljivost Nezdružljivo
Brizgalka Heparin sodium
Brizgalka Hyaluronidase
3540
Združljivo
Brizgalka Heparin sodium 1 UI/ml
Brizgalka Hydralazine hydrochloride 20 mg/ml
Glukoza 5% 1228
Združljivo
Brizgalka Heparin sodium 1 UI/ml
Brizgalka Hydralazine hydrochloride 20 mg/ml
Ringerjev laktat 1228
Združljivo
Brizgalka Heparin sodium 1 UI/ml
Brizgalka Hydralazine hydrochloride 20 mg/ml
Natrijev klorid 0,9% 1228
Združljivo
Brizgalka Heparin sodium 100 UI/ml
Brizgalka Hydrocortisone sodium succinate 125 mg/ml
Natrijev klorid 0,9% 132
Nedoločena nezdružljivost Nezdružljivo
Brizgalka Heparin sodium
Brizgalka Hydrocortisone sodium succinate
3540
Združljivo
Brizgalka Heparin sodium 50 UI/ml
Brizgalka Hydrocortisone sodium succinate 2 mg/ml
Nobeden 317
Združljivo
Brizgalka Heparin sodium 100 UI/ml
Brizgalka Hydrocortisone sodium succinate 125 mg/ml
Glukoza 5% 132
Združljivo
Brizgalka Heparin sodium
Brizgalka Hydromorphone hydrochloride <12.5 mg/ml
Natrijev klorid 0,9% 66
Združljivo
Brizgalka Heparin sodium 100 UI/ml
Brizgalka Hydromorphone hydrochloride 1 mg/ml
314
Takoj padavine Nezdružljivo
Brizgalka Heparin sodium <12,5 UI/ml
Brizgalka Hydromorphone hydrochloride >25 mg/ml
Natrijev klorid 0,9% 66
Združljivo
Brizgalka Heparin sodium
Brizgalka Hydromorphone hydrochloride <12.5 mg/ml
Voda za injekcije 66
Takoj padavine Nezdružljivo
Brizgalka Heparin sodium <1 UI/ml
Brizgalka Hydromorphone hydrochloride >10 mg/ml
Voda za injekcije 66
Takoj padavine Nezdružljivo
Brizgalka Heparin sodium <12,5 UI/ml
Brizgalka Hydromorphone hydrochloride >25 mg/ml
Voda za injekcije 66
Združljivo
Brizgalka Heparin sodium 100 UI/ml
Brizgalka Ibuprofen lysinate 10 mg/ml
Voda za injekcije 4419
Združljivo
Brizgalka Heparin sodium 10 UI/ml
Brizgalka Ibuprofen lysinate 10 mg/ml
Voda za injekcije 4419
Takojšnja motnost Nezdružljivo
Brizgalka Heparin sodium 100 & 1000 UI/ml
Brizgalka Idarubicin hydrochloride 1 mg/ml
Natrijev klorid 0,9% 491
Takoj padavine Nezdružljivo
Brizgalka Heparin sodium
Brizgalka Idarubicin hydrochloride
5075
Združljivo
Brizgalka Heparin sodium
Brizgalka Imipenem-Cilastatin / Relebactam
4809
Združljivo
Brizgalka Heparin sodium 1000 UI/ml
Brizgalka Imipenem-Cilastatin / Relebactam 5 mg/ml
Natrijev klorid 0,9% 4433
Združljivo
Brizgalka Heparin sodium 1000 UI/ml
Brizgalka Imipenem-Cilastatin / Relebactam 5 mg/ml
Glukoza 5% 4433
Združljivo
Brizgalka Heparin sodium 500 UI/ml
Brizgalka Insulin 2 UI/ml
Natrijev klorid 0,9% 3823
Združljivo
Brizgalka Heparin sodium 60 UI/ml
Brizgalka Insulin 0.2 UI/ml
Natrijev klorid 0,9% 129
Združljivo
Brizgalka Heparin sodium 50 & 400 UI/ml
Brizgalka Insulin aspart 1 UI/ml
Glukoza 5% 1508
Združljivo
Brizgalka Heparin sodium 50 & 400 UI/ml
Brizgalka Insulin aspart 1 UI/ml
Natrijev klorid 0,9% 1508
Združljivo
Brizgalka Heparin sodium 10000 UI/ml
Brizgalka Iohexol 300 mg I/ml
Nobeden 1085
Združljivo
Brizgalka Heparin sodium 10000 UI/ml
Brizgalka Ioxaglate 320 mg I/ml
Nobeden 1085
Takojšnja motnost Nezdružljivo
Brizgalka Heparin sodium 1000 UI/ml
Brizgalka Isavuconazonium sulfate 1.5 mg/ml
Natrijev klorid 0,9% 3829
Takojšnja motnost Nezdružljivo
Brizgalka Heparin sodium 1000 UI/ml
Brizgalka Isavuconazonium sulfate 1.5 mg/ml
Glukoza 5% 3829
Združljivo
Brizgalka Heparin sodium 1 UI/ml
Brizgalka Isoprenaline hydrochloride 0.2 mg/ml
Glukoza 5% 1228
Združljivo
Brizgalka Heparin sodium 1 UI/ml
Brizgalka Isoprenaline hydrochloride 0.2 mg/ml
Natrijev klorid 0,9% 1228
Združljivo
Brizgalka Heparin sodium 1 UI/ml
Brizgalka Isoprenaline hydrochloride 0.2 mg/ml
Ringerjev laktat 1228
Nedoločena nezdružljivost Nezdružljivo
Brizgalka Heparin sodium
Brizgalka Kanamycin sulfate
3540
Takoj padavine Nezdružljivo
Brizgalka Heparin sodium 25000 UI/ml
Brizgalka Ketamine hydrochloride 50 mg/ml
2109
Združljivo
Brizgalka Heparin sodium 100 UI/ml
Brizgalka Labetalol hydrochloride 2 mg/ml
314
Nedoločena nezdružljivost Nezdružljivo
Brizgalka Heparin sodium 500 UI/ml
Brizgalka Labetalol hydrochloride 4 mg/ml
Natrijev klorid 0,9% 3823
Nedoločena nezdružljivost Nezdružljivo
Brizgalka Heparin sodium
Brizgalka Labetalol hydrochloride
3540
Takoj padavine Nezdružljivo
Brizgalka Heparin sodium 100 UI/ml
Brizgalka Labetalol hydrochloride 5 mg/ml
Glukoza 5% 295
Združljivo
Brizgalka Heparin sodium 40 UI/ml
Brizgalka Labetalol hydrochloride 1 mg/ml
Glukoza 5% 386
Združljivo
Brizgalka Heparin sodium 100 UI/ml
Brizgalka Lansoprazole 0.55 mg/ml
Natrijev klorid 0,9% 1625
Motnost v 4 urah Nezdružljivo
Brizgalka Heparin sodium 100 UI/ml
Brizgalka Levetiracetam 100 mg/ml
Glukoza 5% 4108
Takojšnja motnost Nezdružljivo
Brizgalka Heparin sodium 208,3 UI/ml
Brizgalka Levetiracetam 15 mg/ml
Natrijev klorid 0,9% 4698
Nedoločena nezdružljivost Nezdružljivo
Brizgalka Heparin sodium
Brizgalka Levofloxacine
3920
Takoj padavine Nezdružljivo
Brizgalka Heparin sodium 10 UI/ml
Brizgalka Levofloxacine 5 mg/ml
Glukoza 5% 1072
Nedoločena nezdružljivost Nezdružljivo
Brizgalka Heparin sodium
Brizgalka Levomepromazine
3540
Združljivo
Brizgalka Heparin sodium 100 UI/ml
Brizgalka Levosimendan 2,5 mg/ml
Glukoza 5% 4389
Združljivo
Brizgalka Heparin sodium 50 UI/ml
Brizgalka Lidocaine hydrochloride 4 mg/ml
Nobeden 317
Združljivo
Brizgalka Heparin sodium 1000 UI/ml
Brizgalka Linezolid 2 mg/ml
Nobeden 1925
Združljivo
Brizgalka Heparin sodium 10 >> 10000 UI/ml
Brizgalka Linezolid 0.2 >> 1.92 mg/ml
Natrijev klorid 0,9% 2057
Združljivo
Brizgalka Heparin sodium 417 UI/ml
Brizgalka Lorazepam 0.33 mg/ml
Natrijev klorid 0,9% 186
Združljivo
Brizgalka Heparin sodium 100 UI/ml
Brizgalka Lorazepam 0.5 mg/ml
314
Združljivo
Brizgalka Heparin sodium 1 UI/ml
Brizgalka Magnesium sulfate 5 mg/ml
Natrijev klorid 0,9% 1228
Združljivo
Brizgalka Heparin sodium 50 UI/ml
Brizgalka Magnesium sulfate 15.6 mg/ml
Natrijev klorid 0,9% 2100
Združljivo
Brizgalka Heparin sodium 1 UI/ml
Brizgalka Magnesium sulfate 5 mg/ml
Ringerjev laktat 1228
Združljivo
Brizgalka Heparin sodium 1 UI/ml
Brizgalka Magnesium sulfate 5 mg/ml
Glukoza 5% 1228
Združljivo
Brizgalka Heparin sodium 100 UI/ml
Brizgalka Melphalan 0.1 mg/ml
Natrijev klorid 0,9% 169
Združljivo
Brizgalka Heparin sodium 0.5 UI/ml
Brizgalka Meropenem 0.5 mg/ml
Dianéal® 4.25% glucose (Baxter) 4180
Združljivo
Brizgalka Heparin sodium 0.5 UI/ml
Brizgalka Meropenem 0.5 mg/ml
Extraneal® (Baxter) 4180
Združljivo
Brizgalka Heparin sodium 1000 UI/ml
Brizgalka Meropenem 50 mg/ml
Voda za injekcije 4319
Združljivo
Brizgalka Heparin sodium 1 UI/ml
Brizgalka Meropenem 1 & 50 mg/ml
Natrijev klorid 0,9% 266
Združljivo
Brizgalka Heparin sodium 0.5 UI/ml
Brizgalka Meropenem 0.5 mg/ml
Dianéal® 1.5% glucose (Baxter) 4180
Združljivo
Brizgalka Heparin sodium 20 UI/ml
Brizgalka Meropenem 1 & 20 mg/ml
Natrijev klorid 0,9% 266
Združljivo
Brizgalka Heparin sodium 0.5 UI/ml
Brizgalka Meropenem 0.5 mg/ml
Dianéal® 2.5% glucose (Baxter) 4180
Združljivo
Brizgalka Heparin sodium 50 UI/ml
Brizgalka Methadone hydrochloride 0.2 mg/ml
Glukoza 5% 1506
Združljivo
Brizgalka Heparin sodium 50 UI/ml
Brizgalka Methadone hydrochloride 0.2 mg/ml
Natrijev klorid 0,9% 1506
Nedoločena nezdružljivost Nezdružljivo
Brizgalka Heparin sodium
Brizgalka Methotrexate sodium
3637
Združljivo
Brizgalka Heparin sodium 1000 UI/ml
Brizgalka Methotrexate sodium 25 mg/ml
763
Združljivo
Brizgalka Heparin sodium 500 UI/ml
Brizgalka Methotrexate sodium 30 mg/ml
Natrijev klorid 0,9% 150
Združljivo
Brizgalka Heparin sodium 100 UI/ml
Brizgalka Methylprednisolone sodium succinate 5 mg/ml
Glukoza 5% 132
Združljivo
Brizgalka Heparin sodium 50 UI/ml
Brizgalka Methylprednisolone sodium succinate 2.5 mg/ml
Nobeden 317
Združljivo
Brizgalka Heparin sodium 100 UI/ml
Brizgalka Methylprednisolone sodium succinate 5 mg/ml
Natrijev klorid 0,9% 132
Združljivo
Brizgalka Heparin sodium 1000 UI/ml
Brizgalka Metoclopramide hydrochloride 5 mg/ml
763
Kemijska nestabilnost Nezdružljivo
Brizgalka Heparin sodium 1000 UI/ml
Brizgalka Metoprolol tartrate 1 mg/ml
Nobeden 2346
Združljivo
Brizgalka Heparin sodium 50 UI/ml
Brizgalka Metronidazole 5 mg/ml
Nobeden 317
Združljivo
Brizgalka Heparin sodium 100 UI/ml
Brizgalka Micafungin 1.5 mg/ml
Natrijev klorid 0,9% 2108
Takojšnja motnost Nezdružljivo
Brizgalka Heparin sodium 208,3 UI/ml
Brizgalka Midazolam hydrochloride 1 mg/ml
Natrijev klorid 0,9% 4698
Združljivo
Brizgalka Heparin sodium 500 UI/ml
Brizgalka Midazolam hydrochloride 2.1 mg/ml
Natrijev klorid 0,9% 3823
Združljivo
Brizgalka Heparin sodium 417 UI/ml
Brizgalka Midazolam hydrochloride 5 mg/ml
Nobeden 186
Združljivo
Brizgalka Heparin sodium 100 UI/ml
Brizgalka Midazolam hydrochloride 5 mg/ml
4389
Združljivo
Brizgalka Heparin sodium 100 UI/ml
Brizgalka Midazolam hydrochloride 2 mg/ml
314
Združljivo
Brizgalka Heparin sodium 200 UI/ml
Brizgalka Milrinone lactate 0.8 mg/ml
Glukoza 5% 813
Združljivo
Brizgalka Heparin sodium 100 UI/ml
Brizgalka Milrinone lactate 0.2 mg/ml
314
Združljivo
Brizgalka Heparin sodium 1 UI/ml
Brizgalka Minocycline hydrochloride 0.2 mg/ml
Glukoza 5% 1228
Združljivo
Brizgalka Heparin sodium 1 UI/ml
Brizgalka Minocycline hydrochloride 0.2 mg/ml
Ringerjev laktat 1228
Združljivo
Brizgalka Heparin sodium 1 UI/ml
Brizgalka Minocycline hydrochloride 0.2 mg/ml
Natrijev klorid 0,9% 1228
Nedoločena nezdružljivost Nezdružljivo
Brizgalka Heparin sodium
Brizgalka Mitoxantrone dihydrochloride
3640
Nedoločena nezdružljivost Nezdružljivo
Brizgalka Heparin sodium
Brizgalka Morphine hydrochloride
5069
Združljivo
Brizgalka Heparin sodium 100 & 200 UI/ml
Brizgalka Morphine sulfate 1 >> 5 mg/ml
Voda za injekcije 341
Združljivo
Brizgalka Heparin sodium 1 UI/ml
Brizgalka Morphine sulfate 15 mg/ml
Ringerjev laktat 1228
Nedoločena nezdružljivost Nezdružljivo
Brizgalka Heparin sodium
Brizgalka Morphine sulfate
3531
Združljivo
Brizgalka Heparin sodium 1 UI/ml
Brizgalka Morphine sulfate 15 mg/ml
Glukoza 5% 1228
Združljivo
Brizgalka Heparin sodium 1 UI/ml
Brizgalka Morphine sulfate 15 mg/ml
Natrijev klorid 0,9% 1228
Združljivo
Brizgalka Heparin sodium 60 UI/ml
Brizgalka Morphine sulfate 1 mg/ml
Natrijev klorid 0,9% 406
Združljivo
Brizgalka Heparin sodium 100 & 200 UI/ml
Brizgalka Morphine sulfate 10 mg/ml
Voda za injekcije 341
Združljivo
Brizgalka Heparin sodium 100 UI/ml
Brizgalka Morphine sulfate 2 mg/ml
314
Kemijska nestabilnost Nezdružljivo
Brizgalka Heparin sodium 100 & 200 UI/ml
Brizgalka Morphine sulfate 1 >> 10 mg/ml
Natrijev klorid 0,9% 341
Združljivo
Brizgalka Heparin sodium 1000 UI/ml
Brizgalka N-acetylcysteine 200 mg/ml
Nobeden 3766
Združljivo
Brizgalka Heparin sodium 50 UI/ml
Brizgalka Nafcillin sodium 20 mg/ml
Nobeden 317
Združljivo
Brizgalka Heparin sodium 1000 UI/ml
Brizgalka Naloxone hydrochloride 0.4 mg/ml
Nobeden 3408
Takojšnja motnost Nezdružljivo
Brizgalka Heparin sodium 208,3 UI/ml
Brizgalka Nefopam 1,7 mg/ml
Natrijev klorid 0,9% 4698
Združljivo
Brizgalka Heparin sodium 1 UI/ml
Brizgalka Neostigmine methylsulfate 0.5 mg/ml
Glukoza 5% 1228
Združljivo
Brizgalka Heparin sodium 1 UI/ml
Brizgalka Neostigmine methylsulfate 0.5 mg/ml
Natrijev klorid 0,9% 1228
Združljivo
Brizgalka Heparin sodium 1 UI/ml
Brizgalka Neostigmine methylsulfate 0.5 mg/ml
Ringerjev laktat 1228
Nedoločena nezdružljivost Nezdružljivo
Brizgalka Heparin sodium
Brizgalka Nesiritide
5048
Nedoločena nezdružljivost Nezdružljivo
Brizgalka Heparin sodium
Brizgalka Netilmicin sulfate
3540
Takoj padavine Nezdružljivo
Brizgalka Heparin sodium
Brizgalka Netilmicin sulfate
1022
Takoj padavine Nezdružljivo
Brizgalka Heparin sodium 100 UI/ml
Brizgalka Nicardipine hydrochloride 1 mg/ml
314
Nedoločena nezdružljivost Nezdružljivo
Brizgalka Heparin sodium
Brizgalka Nicardipine hydrochloride
3540
Združljivo
Brizgalka Heparin sodium 40 UI/ml
Brizgalka Nicardipine hydrochloride 0.1 mg/ml
Glukoza 5% 1490
Združljivo
Brizgalka Heparin sodium 40 UI/ml
Brizgalka Nicardipine hydrochloride 0.1 mg/ml
Natrijev klorid 0,9% 1490
Takoj padavine Nezdružljivo
Brizgalka Heparin sodium 100 UI/ml
Brizgalka Nitroglycerin 1,6 >> 3,25 mg/ml
Glukoza 5% 295
Združljivo
Brizgalka Heparin sodium 500 UI/ml
Brizgalka Nitroglycerin 0.2 mg/ml
Natrijev klorid 0,9% 3823
Proizvodnja plinskih mehurčkov Nezdružljivo
Brizgalka Heparin sodium 50 UI/ml
Brizgalka Nitroglycerin 0.2 mg/ml
Nobeden 317
Združljivo
Brizgalka Heparin sodium 500 UI/ml
Brizgalka Nitroglycerin 0.2 mg/ml
Glukoza 5% 3823
Združljivo
Brizgalka Heparin sodium 100 UI/ml
Brizgalka Nitroglycerin 0.4 mg/ml
314
Združljivo
Brizgalka Heparin sodium 50 UI/ml
Brizgalka Nitroprusside sodium 0.2 mg/ml
Nobeden 317
Združljivo
Brizgalka Heparin sodium 100 UI/ml
Brizgalka Nitroprusside sodium 0.2 mg/ml
Glukoza 5% 295
Združljivo
Brizgalka Heparin sodium 100 UI/ml
Brizgalka Norepinephrine bitartrate 0.128 mg/ml
314
Nedoločena nezdružljivost Nezdružljivo
Brizgalka Heparin sodium
Brizgalka Ofloxacin
3562
Združljivo
Brizgalka Heparin sodium 40 UI/ml
Brizgalka Ondansetron hydrochloride 1 mg/ml
Natrijev klorid 0,9% 334
Nezdružljivo
Brizgalka Heparin sodium 200 UI/ml
Brizgalka Ondansetron hydrochloride 1.6 mg/ml
1699
Takojšnja motnost Nezdružljivo
Brizgalka Heparin sodium 100 UI/ml
Brizgalka Oritavancin 0.8 >>1.2 mg/ml
Glukoza 5% 3152
Padavine po 4 urah Nezdružljivo
Brizgalka Heparin sodium 100 UI/ml
Brizgalka Oritavancin 2 mg/ml
Glukoza 5% 3152
Združljivo
Brizgalka Heparin sodium 208 UI/ml
Brizgalka Ornidazole 31.25 mg/ml
Natrijev klorid 0,9% 4254
Združljivo
Brizgalka Heparin sodium 1 UI/ml
Brizgalka Oxacillin sodium 100 mg/ml
Glukoza 5% 1228
Združljivo
Brizgalka Heparin sodium 1 UI/ml
Brizgalka Oxacillin sodium 100 mg/ml
Ringerjev laktat 1228
Združljivo
Brizgalka Heparin sodium 1 UI/ml
Brizgalka Oxacillin sodium 100 mg/ml
Natrijev klorid 0,9% 1228
Združljivo
Brizgalka Heparin sodium 100 UI/ml
Brizgalka Oxaliplatin 0,5 mg/ml
Glukoza 5% 1662
Nedoločena nezdružljivost Nezdružljivo
Brizgalka Heparin sodium
Brizgalka Oxytetracycline hydrochloride
3540
Združljivo
Brizgalka Heparin sodium 100 UI/ml
Brizgalka Paclitaxel 1.2 mg/ml
Glukoza 5% 248
Združljivo
Brizgalka Heparin sodium 100 UI/ml
Brizgalka Palonosetron hydrochloride 50 µg/ml
Glukoza 5% 2279
Združljivo
Brizgalka Heparin sodium 40 UI/ml
Brizgalka Pancuronium bromide 0.05 mg/ml
Glukoza 5% 402
Padavine po 1 uri Nezdružljivo
Brizgalka Heparin sodium
Brizgalka Pantoprazole sodium
2090
Združljivo
Brizgalka Heparin sodium 208,3 UI/ml
Brizgalka Paracetamol 10 mg/ml
Natrijev klorid 0,9% 4698
Združljivo
Brizgalka Heparin sodium 1000 UI/ml
Brizgalka Paracetamol 10 mg/ml
4742
Združljivo
Brizgalka Heparin sodium 100 UI/ml
Brizgalka Pemetrexed disodium 20 mg/ml
Natrijev klorid 0,9% 1953
Nedoločena nezdružljivost Nezdružljivo
Brizgalka Heparin sodium
Brizgalka Penicillin G potassium
3540
Združljivo
Brizgalka Heparin sodium 50 UI/ml
Brizgalka Penicillin G potassium 0.04 MUI/ml
Nobeden 317
Nedoločena nezdružljivost Nezdružljivo
Brizgalka Heparin sodium
Brizgalka Penicillin G sodium
3540
Združljivo
Brizgalka Heparin sodium 100 UI/ml
Brizgalka Pentoxifyllin 5 mg/ml
Natrijev klorid 0,9% 4538
Takojšnja motnost Nezdružljivo
Brizgalka Heparin sodium
Brizgalka Pethidine hydrochloride
3525
Združljivo
Brizgalka Heparin sodium 60 UI/ml
Brizgalka Pethidine hydrochloride 10 mg/ml
Natrijev klorid 0,9% 406
Nedoločena nezdružljivost Nezdružljivo
Brizgalka Heparin sodium
Brizgalka Pethidine hydrochloride
3540
Takoj padavine Nezdružljivo
Brizgalka Heparin sodium 50 UI/ml
Brizgalka Phenytoin sodium 2 mg/ml
Nobeden 317
Združljivo
Brizgalka Heparin sodium 50 UI/ml
Brizgalka Piperacillin sodium 60 mg/ml
Nobeden 317
Združljivo
Brizgalka Heparin sodium 10 & 5000 UI/ml
Brizgalka Piperacillin sodium 40 mg/ml
Natrijev klorid 0,9% 2037
Združljivo
Brizgalka Heparin sodium 0.5 UI/ml
Brizgalka Piperacillin sodium / tazobactam 0.5/0.0625 mg/ml
Dianéal® 2.5% glucose (Baxter) 4180
Združljivo
Brizgalka Heparin sodium 0.5 UI/ml
Brizgalka Piperacillin sodium / tazobactam 0.5/0.0625 mg/ml
Dianéal® 4.25% glucose (Baxter) 4180
Takojšnja motnost Nezdružljivo
Brizgalka Heparin sodium 1000 UI/ml
Brizgalka Plazomicin sulfate 24 mg/ml
Natrijev klorid 0,9% 4145
Nedoločena nezdružljivost Nezdružljivo
Brizgalka Heparin sodium
Brizgalka Polymyxine B
3540
Združljivo
Brizgalka Heparin sodium 50 UI/ml
Brizgalka Potassium chloride 200 mEq/l
Nobeden 317
Združljivo
Brizgalka Heparin sodium 1 UI/ml
Brizgalka Procainamide hydrochloride 100 mg/ml
Ringerjev laktat 1228
Združljivo
Brizgalka Heparin sodium 1 UI/ml
Brizgalka Procainamide hydrochloride 100 mg/ml
Natrijev klorid 0,9% 1228
Združljivo
Brizgalka Heparin sodium 1 UI/ml
Brizgalka Prochlorperazine edysilate 5 mg/ml
Natrijev klorid 0,9% 1228
Združljivo
Brizgalka Heparin sodium 3 >> 20 UI/ml
Parenteralna prehrana (binarno zmes) 791
Združljivo
Brizgalka Heparin sodium 100 UI/ml
Parenteralna prehrana (binarno zmes) 301
Združljivo
Brizgalka Heparin sodium 500 UI/ml
Parenteralna prehrana (binarno zmes) 939
Združljivo
Brizgalka Heparin sodium 1 UI/ml
Brizgalka Prochlorperazine edysilate 5 mg/ml
Ringerjev laktat 1228
Združljivo
Brizgalka Heparin sodium 1 UI/ml
Brizgalka Promethazine hydrochloride 50 mg/ml
Natrijev klorid 0,9% 1228
Združljivo
Brizgalka Heparin sodium 1 UI/ml
Brizgalka Promethazine hydrochloride 50 mg/ml
Ringerjev laktat 1228
Združljivo
Brizgalka Heparin sodium 1 UI/ml
Brizgalka Propranolol hydrochloride 1 mg/ml
Ringerjev laktat 1228
Združljivo
Brizgalka Heparin sodium 1 UI/ml
Brizgalka Propranolol hydrochloride 1 mg/ml
Natrijev klorid 0,9% 1228
Združljivo
Brizgalka Heparin sodium 50 UI/ml
Brizgalka Ranitidine hydrochloride 0,5 mg/ml
Glukoza 5% 396
Združljivo
Brizgalka Heparin sodium 10 & 40 UI/ml
Brizgalka Ranitidine hydrochloride 0.05 & 2 mg/ml
Natrijev klorid 0,9% 214
Združljivo
Brizgalka Heparin sodium 50 UI/ml
Brizgalka Ranitidine hydrochloride 1 mg/ml
Nobeden 317
Združljivo
Brizgalka Heparin sodium 1000 UI/ml
Brizgalka Remdesivir 1 mg/ml
Natrijev klorid 0,9% 4768
Združljivo
Brizgalka Heparin sodium 100 UI/ml
Brizgalka Remifentanil hydrochloride 25 & 250 µg/ml
Natrijev klorid 0,9% 59
Združljivo
Brizgalka Heparin sodium 500 UI/ml
Brizgalka Remifentanil hydrochloride 100 µg/ml
Natrijev klorid 0,9% 3823
Združljivo
Brizgalka Heparin sodium 500 UI/ml
NaHCO3 150
Združljivo
Brizgalka Heparin sodium 1.4 UI/ml
Brizgalka Piperacillin sodium / tazobactam 1.38/0.1725 mg/ml
Physionéal® 2.27 (Baxter) 4180
Združljivo
Brizgalka Heparin sodium 1.4 UI/ml
Brizgalka Piperacillin sodium / tazobactam 1.38/0.1725 mg/ml
Physionéal® 1.36 (Baxter) 4180
Združljivo
Brizgalka Heparin sodium 0.5 UI/ml
Brizgalka Piperacillin sodium / tazobactam 0.5/0.0625 mg/ml
Dianéal® 1.5% glucose (Baxter) 4180
Združljivo
Brizgalka Heparin sodium 1.4 UI/ml
Brizgalka Piperacillin sodium / tazobactam 1.38/0.1725 mg/ml
Physionéal® 3.86 (Baxter) 4180
Združljivo
Brizgalka Heparin sodium 100 UI/ml
Brizgalka Piperacillin sodium / tazobactam 40/5 mg/ml
Glukoza 5% 81
Združljivo
Brizgalka Heparin sodium 0.5 UI/ml
Brizgalka Piperacillin sodium / tazobactam 0.5/0.0625 mg/ml
Extraneal® (Baxter) 4180
Združljivo
Brizgalka Heparin sodium 500 UI/ml
Brizgalka Potassium chloride 10 mEq/l
Natrijev klorid 0,9% 3823
Združljivo
Brizgalka Heparin sodium 58,34 UI/ml
Brizgalka Potassium chloride 1250 mEq/l
Glukoza 5% 1289
Združljivo
Brizgalka Heparin sodium
Brizgalka Potassium phosphate
3781
Združljivo
Brizgalka Heparin sodium 1 UI/ml
Brizgalka Procainamide hydrochloride 100 mg/ml
Glukoza 5% 1228
Združljivo
Brizgalka Heparin sodium 1 UI/ml
Brizgalka Prochlorperazine edysilate 5 mg/ml
Glukoza 5% 1228
Združljivo
Brizgalka Heparin sodium 1 UI/ml
Brizgalka Promethazine hydrochloride 50 mg/ml
Glukoza 5% 1228
Nedoločena nezdružljivost Nezdružljivo
Brizgalka Heparin sodium
Brizgalka Promethazine hydrochloride
3540
Nestabilnost emulzije po 1 uri Nezdružljivo
Brizgalka Heparin sodium 1000 UI/ml
Brizgalka Propofol
660
Združljivo
Brizgalka Heparin sodium 100 UI/ml
Brizgalka Propofol 10 mg/ml
Nobeden 300
Združljivo
Brizgalka Heparin sodium 1 UI/ml
Brizgalka Propranolol hydrochloride 1 mg/ml
Glukoza 5% 1228
Združljivo
Brizgalka Heparin sodium 100 UI/ml
Brizgalka Ranitidine hydrochloride 1 mg/ml
314
Združljivo
Brizgalka Heparin sodium 10 & 40 UI/ml
Brizgalka Ranitidine hydrochloride 0.05 & 2 mg/ml
Glukoza 5% 214
Združljivo
Brizgalka Heparin sodium 416.7 UI/ml
Brizgalka Remifentanil hydrochloride 120 µg/ml
Glukoza 5% 3294
Združljivo
Brizgalka Heparin sodium 416.7 UI/ml
Brizgalka Remifentanil hydrochloride 120 µg/ml
Glukoza 5% 3176
Nedoločena nezdružljivost Nezdružljivo
Brizgalka Heparin sodium
Brizgalka Reteplase
2212
Združljivo
Brizgalka Heparin sodium 20,458 >> 28,000 UI/ml
Parenteralna prehrana (z lipidi) 1868
Nedoločena nezdružljivost Nezdružljivo
Brizgalka Heparin sodium
Brizgalka Reteplase
3540
Združljivo
Brizgalka Heparin sodium 1000 UI/ml
Brizgalka Salbutamol sulfate 1 mg/ml
Nobeden 3216
Združljivo
Brizgalka Heparin sodium 100 UI/ml
Brizgalka Sargramostim 6 §15 µg/ml
Natrijev klorid 0,9% 891
Združljivo
Brizgalka Heparin sodium 100 UI/ml
Brizgalka Sargramostim 10 µg/ml
Natrijev klorid 0,9% 335
Združljivo
Brizgalka Heparin sodium 1 UI/ml
Brizgalka Scopolamine hydrobromide 0.86 mg/ml
Natrijev klorid 0,9% 1228
Združljivo
Brizgalka Heparin sodium 1 UI/ml
Brizgalka Scopolamine hydrobromide 0.86 mg/ml
Ringerjev laktat 1228
Združljivo
Brizgalka Heparin sodium 1 UI/ml
Brizgalka Scopolamine hydrobromide 0.86 mg/ml
Glukoza 5% 1228
Združljivo
Brizgalka Heparin sodium 100 UI/ml
Brizgalka Sildenafil citrate 0,6 mg/ml
Glukoza 5% 4845
Združljivo
Brizgalka Heparin sodium 100 UI/ml
Brizgalka Sildenafil citrate 0,06 mg/ml
Glukoza 5% 4845
Združljivo
Brizgalka Heparin sodium 1 UI/ml
Brizgalka Sildenafil citrate 0,4 mg/ml
Glukoza 5% 3923
Združljivo
Brizgalka Heparin sodium 2 UI/ml
Brizgalka Sildenafil citrate 0,6 mg/ml
Glukoza 5% 4845
Združljivo
Brizgalka Heparin sodium
Natrijev klorid 0,9% 3540
Takojšnja nestabilnost emulzije Nezdružljivo
Brizgalka Heparin sodium 100 UI/ml
Parenteralna prehrana (z lipidi) 132
Takojšnja motnost Nezdružljivo
Brizgalka Heparin sodium 100 UI/ml
Brizgalka Sildenafil citrate 0,6 mg/ml
Glukoza 5% 4845
Združljivo
Brizgalka Heparin sodium 500 UI/ml
Brizgalka Sodium bicarbonate 84 mg/ml
Natrijev klorid 0,9% 3823
Združljivo
Brizgalka Heparin sodium
Brizgalka Sodium bicarbonate
3466
Združljivo
Brizgalka Heparin sodium 500 UI/ml
Brizgalka Sodium bicarbonate 14 mg/ml
Nobeden 150
Združljivo
Brizgalka Heparin sodium 500 UI/ml
Brizgalka Sodium bicarbonate 84 mg/ml
Nobeden 3212
Združljivo
Brizgalka Heparin sodium 208 UI/ml
Brizgalka Spiramycine adipate 0.0625 MUI/ml
Natrijev klorid 0,9% 4254
Združljivo
Brizgalka Heparin sodium 100 UI/ml
Brizgalka Streptokinase 30000 UI/ml
Glukoza 5% 92
Nedoločena nezdružljivost Nezdružljivo
Brizgalka Heparin sodium
Brizgalka Streptomycin sulfate
3540
Združljivo
Brizgalka Heparin sodium 416.7 UI/ml
Brizgalka Sufentanil citrate 0.005 mg/ml
Glukoza 5% 3294
Združljivo
Brizgalka Heparin sodium 1000 UI/ml
Brizgalka Sugammadex 100 mg/ml
Nobeden 3372
Združljivo
Brizgalka Heparin sodium 10 UI/ml
Brizgalka Tacrolimus 1000 µg/ml
Natrijev klorid 0,9% 479
Združljivo
Brizgalka Heparin sodium 1000 UI/ml
Ringerjev laktat 4603
Združljivo
Brizgalka Heparin sodium 1000 UI/ml
Brizgalka Sulbactam/durlobactam 15/15 mg/ml
Natrijev klorid 0,9% 4801
Združljivo
Brizgalka Heparin sodium 1000 UI/ml
Brizgalka Tedizolid phosphate 0.8 mg/ml
Natrijev klorid 0,9% 3827
Združljivo
Brizgalka Heparin sodium 10 >> 10000 UI/ml
Brizgalka Teicoplanine 0.02 >> 10 mg/ml
Natrijev klorid 0,9% 2057
Takojšnja motnost Nezdružljivo
Brizgalka Heparin sodium 1000 UI/ml
Brizgalka Telavancin hydrochloride 7,5 mg/ml
Glukoza 5% 3254
Takojšnja motnost Nezdružljivo
Brizgalka Heparin sodium 1000 UI/ml
Brizgalka Telavancin hydrochloride 7,5 mg/ml
Natrijev klorid 0,9% 3254
Združljivo
Brizgalka Heparin sodium 1000 UI/ml
Brizgalka Telavancin hydrochloride 7.5 mg/ml
Ringerjev laktat 3254
Takoj padavine Nezdružljivo
Brizgalka Heparin sodium 1000 UI/ml
Brizgalka Thiopental sodium 25 mg/ml
Natrijev klorid 0,9% 3767
Takojšnja nestabilnost emulzije Nezdružljivo
Brizgalka Heparin sodium 1 UI/ml
Parenteralna prehrana (z lipidi) 1391
Združljivo
Brizgalka Heparin sodium 100 UI/ml
Brizgalka Teniposide 0.1 mg/ml
Glukoza 5% 905
Združljivo
Brizgalka Heparin sodium 50 UI/ml
Brizgalka Theophylline 4 mg/ml
Nobeden 317
Združljivo
Brizgalka Heparin sodium 100 UI/ml
Brizgalka Thiopental sodium 25 mg/ml
314
Takojšnja nestabilnost emulzije Nezdružljivo
Brizgalka Heparin sodium 100 UI/ml
Parenteralna prehrana (z lipidi) 1415
Združljivo
Brizgalka Heparin sodium 500 UI/ml
Brizgalka Thiopental sodium 60 mg/ml
Natrijev klorid 0,9% 3823
Združljivo
Brizgalka Heparin sodium 100 UI/ml
Brizgalka Thiotepa 1 mg/ml
Glukoza 5% 249
Združljivo
Brizgalka Heparin sodium 50 UI/ml
Brizgalka Ticarcillin / clavulanic acid 31 mg/ml
Nobeden 317
Združljivo
Brizgalka Heparin sodium 500 UI/ml
Brizgalka Tirofiban 250 µg/ml
Natrijev klorid 0,9% 3823
Združljivo
Brizgalka Heparin sodium 40 & 100 UI/ml
Brizgalka Tirofiban 50 µg/ml
Natrijev klorid 0,9% 1420
Združljivo
Brizgalka Heparin sodium
Glukoza 5% 3540
Združljivo
Brizgalka Heparin sodium
Brizgalka Tirofiban
1512
Združljivo
Brizgalka Heparin sodium 40 & 100 UI/ml
Brizgalka Tirofiban 50 µg/ml
Glukoza 5% 1420
Nedoločena nezdružljivost Nezdružljivo
Brizgalka Heparin sodium 50 UI/ml
Brizgalka Tobramycin sulfate 0.8 mg/ml
Nobeden 317
Nedoločena nezdružljivost Nezdružljivo
Brizgalka Heparin sodium
Brizgalka Tobramycin sulfate
3540
Združljivo
Brizgalka Heparin sodium
Brizgalka Tranexamic acid
5016
Nedoločena nezdružljivost Nezdružljivo
Brizgalka Heparin sodium
Brizgalka Triflupromazine hydrochloride
3540
Združljivo
Brizgalka Heparin sodium 500 UI/ml
Brizgalka Urapidil 5 mg/ml
Natrijev klorid 0,9% 3823
Takoj padavine Nezdružljivo
Brizgalka Heparin sodium 0,5 >> 14,3 UI/ml
Brizgalka Vancomycin hydrochloride 6,9 >> 14,3 mg/ml
Dianéal® PD1 4.25% Glukoza (Baxter) 2375
Nedoločena nezdružljivost Nezdružljivo
Brizgalka Heparin sodium
Brizgalka Vancomycin hydrochloride
3588
Nedoločena nezdružljivost Nezdružljivo
Brizgalka Heparin sodium
Brizgalka Vancomycin hydrochloride
3540
Združljivo
Brizgalka Heparin sodium 0,5 >> 14,3 UI/ml
Brizgalka Vancomycin hydrochloride 0,015 >> 6,8 mg/ml
Dianéal® PD2 2.5% glucose (Baxter) 2375
Takoj padavine Nezdružljivo
Brizgalka Heparin sodium 0,5 >> 14,3 UI/ml
Brizgalka Vancomycin hydrochloride 6,9 >> 14,3 mg/ml
Dianéal® PD2 2.5% glucose (Baxter) 2375
Združljivo
Brizgalka Heparin sodium 10 UI/ml
Brizgalka Vancomycin hydrochloride 0.025 mg/ml
Voda za injekcije 3125
Združljivo
Brizgalka Heparin sodium 0,5 >> 14,3 UI/ml
Brizgalka Vancomycin hydrochloride 0,015 >> 6,8 mg/ml
Dianéal® PD1 4.25% Glukoza (Baxter) 2375
Nedoločena nezdružljivost Nezdružljivo
Brizgalka Heparin sodium 50 UI/ml
Brizgalka Vancomycin hydrochloride 6.6 mg/ml
Nobeden 317
Združljivo
Brizgalka Heparin sodium 100 UI/ml
Brizgalka Vancomycin hydrochloride 0.025 mg/ml
Natrijev klorid 0,9% 1414
Združljivo
Brizgalka Heparin sodium 10 UI/ml
Brizgalka Vancomycin hydrochloride 2 mg/ml
Natrijev klorid 0,9% 2037
Takoj padavine Nezdružljivo
Brizgalka Heparin sodium 100 UI/ml
Brizgalka Vancomycin hydrochloride 10 mg/ml
Parenteralna prehrana (binarno zmes) 132
Združljivo
Brizgalka Heparin sodium 5000 UI/ml
Brizgalka Vancomycin hydrochloride 2.5 mg/ml
Natrijev klorid 0,9% 2037
Združljivo
Brizgalka Heparin sodium 100 UI/ml
Brizgalka Vancomycin hydrochloride 0.025 mg/ml
Natrijev klorid 0,9% 895
Združljivo
Brizgalka Heparin sodium 100 UI/ml
Brizgalka Vasopressin 2 & 4 UI/ml
Natrijev klorid 0,9% 1801
Združljivo
Brizgalka Heparin sodium 100 UI/ml
Brizgalka Vecuronium bromide 1 mg/ml
314
Združljivo
Brizgalka Heparin sodium 40 UI/ml
Brizgalka Vecuronium bromide 0.1 mg/ml
Glukoza 5% 402
Združljivo
Brizgalka Heparin sodium 20 UI/ml
Brizgalka Verapamil hydrochloride 0.08 mg/ml
Natrijev klorid 0,9% 1057
Združljivo
Brizgalka Heparin sodium 20 UI/ml
Brizgalka Verapamil hydrochloride 0.08 mg/ml
Glukoza 5% 1057
Nedoločena nezdružljivost Nezdružljivo
Brizgalka Heparin sodium
Brizgalka Vinblastine sulfate
3540
Združljivo
Brizgalka Heparin sodium 1000 UI/ml
Brizgalka Vinblastine sulfate 1 mg/ml
763
Združljivo
Brizgalka Heparin sodium 1000 UI/ml
Brizgalka Vincristine sulfate 1 mg/ml
763
Združljivo
Brizgalka Heparin sodium 100 UI/ml
Brizgalka Vinorelbine tartrate 1 mg/ml
Natrijev klorid 0,9% 84
Združljivo
Brizgalka Heparin sodium 100 UI/ml
Brizgalka Vinorelbine tartrate 1 mg/ml
Natrijev klorid 0,9% 1070
Takoj padavine Nezdružljivo
Brizgalka Heparin sodium 10 & 100 UI/ml
Brizgalka Vinorelbine tartrate 2 & 3 mg/ml
Natrijev klorid 0,9% 1070
Združljivo
Brizgalka Heparin sodium 208 UI/ml
Brizgalka Voriconazole 8 mg/ml
Glukoza 5% 4254
Združljivo
Brizgalka Heparin sodium 208 UI/ml
Brizgalka Voriconazole 8 mg/ml
Natrijev klorid 0,9% 4254
Združljivo
Brizgalka Heparin sodium 100 UI/ml
Brizgalka Warfarin sodium 2 mg/ml
Glukoza 5% 315
Združljivo
Brizgalka Heparin sodium 100 UI/ml
Brizgalka Zidovudine 4 mg/ml
Glukoza 5% 337

  Mentions Légales