Последнее обновление :
18/03/2026
Антикоагулянт   Heparin sodium  
Инъекция
Стабильность растворов Стабильность смесей Факторы, которые влияют на стабильность Совместимость Способы введения Библиография pdf
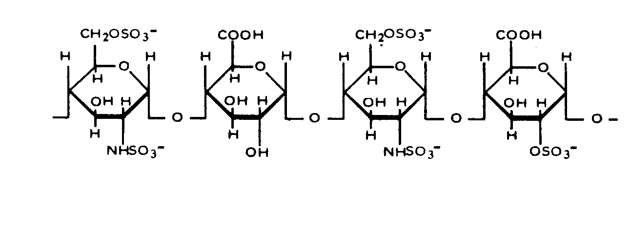
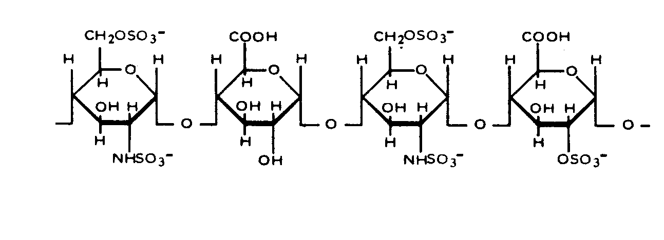
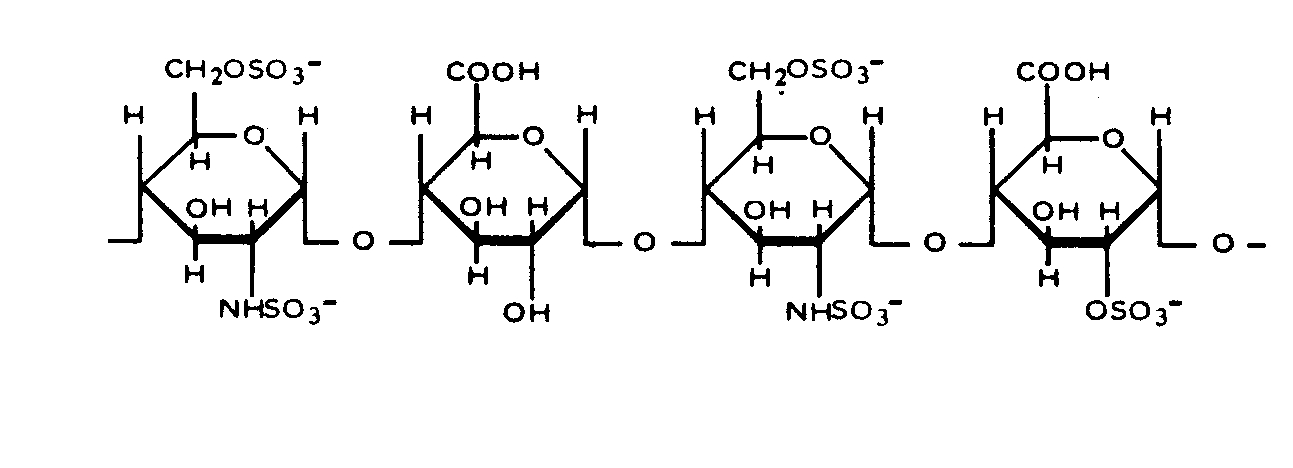
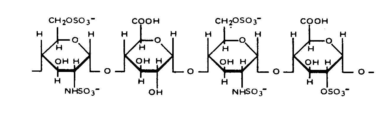
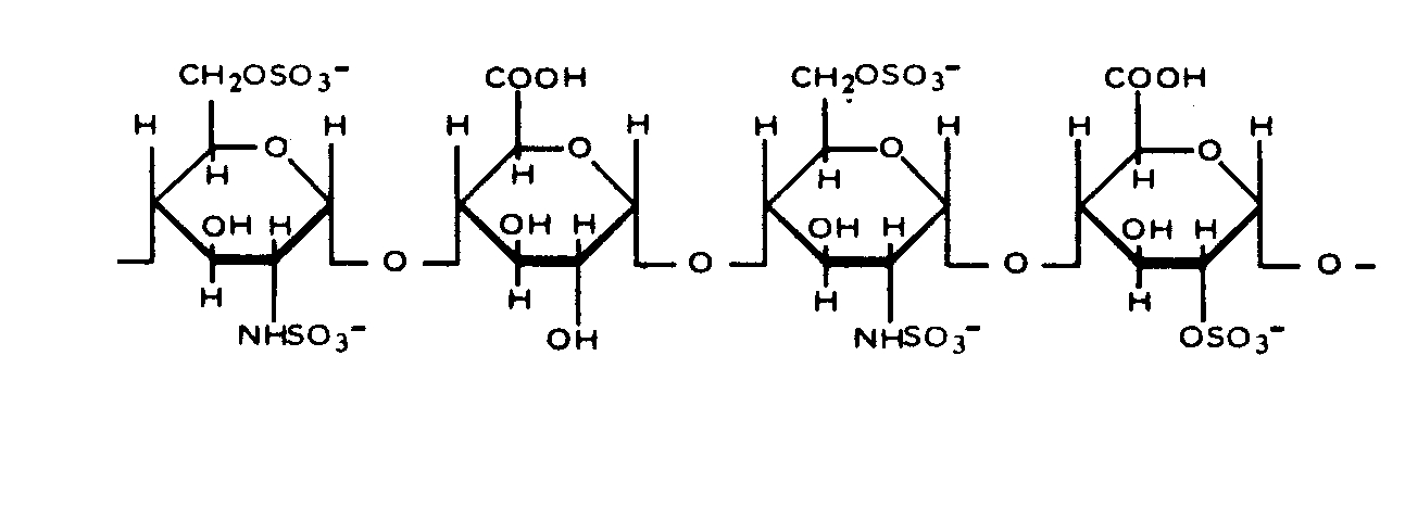
   Химическая структура  

Товарное название   Товарное название     

Trade names are indicative and excipients composition can be different depending on the country and manufacturers

Arapin чили
Ateroclar Италия
Clarisco Италия
Epsoclar Италия
Hepaflex Норвегия, Финляндия
Hepamax Колумбия, чили, Эквадор
Heparin Австрия, Великобритания, Венгрия, Голландия, Греция, Дания, Канада, Норвегия, Русский, Соединённые Штаты Америки, Таиланд, Турция, Финляндия, Швейцария, Швеция, Югославия, Южно-Африканская Республика
Heparine Бельгия, Франция
Heparinised Австралия
Heparstad Германия
Liquemin Турция, Швейцария
Liquemine Бразилия
Monoparin Саудовская Аравия
Normoparin Италия
Nuparin Эквадор
Pharepa Италия
Riveparin Аргентина
Sobrius Аргентина, Эквадор
Thrombophob Германия
Совместимость   Инъекция   Совместимость : Heparin sodium              
Эта таблица показывает совместимость или несовместимость препаратов, по возможности тип несовместимости (преципитат, смена цвета, разложение эмульсии и др.). Показанные здесь совместимости в основном физические, по возможности указана и химическая стабильность каждой молекулы. Анализ этих смесей произведён для исследования возможности ввести препараты пациенту в Y-соединении систем. Эти данные нельзя использовать, чтобы приготовить лекарства на будущее в мешках или шприцах. Эта информация доступна в разделе "Стабильность смесей".
Молекула Растворитель Ссылки
совместимый
Инъекция Heparin sodium 100 UI/ml
Инъекция Aciclovir sodium 5 mg/ml
Натрия хлорид 0,9% 2335
совместимый
Инъекция Heparin sodium 50 UI/ml
Инъекция Aciclovir sodium 5 mg/ml
Глюкоза 5% 336
совместимый
Инъекция Heparin sodium 100 UI/ml
Инъекция Aldesleukin 0.0338 MUI/ml
Глюкоза 5% 36
совместимый
Инъекция Heparin sodium 100 UI/ml
Инъекция Allopurinol sodium 3 mg/ml
Натрия хлорид 0,9% 307
совместимый
Инъекция Heparin sodium 1 UI/ml
Инъекция Alprostadil 20 µg/ml
Натрия хлорид 0,9% 4491
совместимый
Инъекция Heparin sodium 1 UI/ml
Инъекция Alprostadil 20 µg/ml
Глюкоза 5% 4651
Осадки через 24 часа несовместимый
Инъекция Heparin sodium 100 UI/ml
Инъекция Alteplase 1 mg/ml
Вода для инъекций 92
Неопределенная несовместимость несовместимый
Инъекция Heparin sodium
Инъекция Alteplase
3540
Немедленные осадки несовместимый
Инъекция Heparin sodium 40 UI/ml
Инъекция Alteplase 0.5 mg/ml
Вода для инъекций 240
Неопределенная несовместимость несовместимый
Инъекция Heparin sodium
Инъекция Alteplase
3616
совместимый
Инъекция Heparin sodium 100 UI/ml
Инъекция Amifostine 10 mg/ml
Глюкоза 5% 3
Немедленные осадки несовместимый
Инъекция Heparin sodium
Инъекция Amikacin sulfate
1022
Неопределенная несовместимость несовместимый
Инъекция Heparin sodium
Инъекция Amikacin sulfate
3549
Неопределенная несовместимость несовместимый
Инъекция Heparin sodium
Инъекция Amikacin sulfate
3540
Неопределенная несовместимость несовместимый
Инъекция Heparin sodium 500 UI/ml
Инъекция Amiodarone hydrochloride 15 mg/ml
Натрия хлорид 0,9% 3823
Неопределенная несовместимость несовместимый
Инъекция Heparin sodium
Инъекция Amiodarone hydrochloride
3540
Немедленная мутность несовместимый
Инъекция Heparin sodium 500 UI/ml
Инъекция Amiodarone hydrochloride 15 mg/ml
Натрия хлорид 0,9% 3463
Неопределенная несовместимость несовместимый
Инъекция Heparin sodium
Инъекция Amiodarone hydrochloride
3464
Неопределенная несовместимость несовместимый
Инъекция Heparin sodium 500 UI/ml
Инъекция Amiodarone hydrochloride 15 mg/ml
Глюкоза 5% 3823
Немедленная мутность несовместимый
Инъекция Heparin sodium 500 UI/ml
Инъекция Amiodarone hydrochloride 15 mg/ml
Глюкоза 5% 3463
совместимый
Инъекция Heparin sodium 208 UI/ml
Инъекция Amoxicillin sodium 20.83 & 83.3 mg/ml
Натрия хлорид 0,9% 4254
совместимый
Инъекция Heparin sodium 1000 UI/ml
Инъекция Amoxicillin sodium / clavulanic acid 100/10 mg/ml
3824
совместимый
Инъекция Heparin sodium
Инъекция Ampicillin sodium
5088
совместимый
Инъекция Heparin sodium 50 UI/ml
Инъекция Ampicillin sodium 20 mg/ml
Нет 317
совместимый
Инъекция Heparin sodium 50 UI/ml
Инъекция Ampicillin sodium - sulbactam sodium 30 mg/ml
Нет 317
Немедленные осадки несовместимый
Инъекция Heparin sodium 40 UI/ml
Инъекция Amsacrine 1 mg/ml
Глюкоза 5% 253
совместимый
Инъекция Heparin sodium 100 UI/ml
Инъекция Anidulafungin 0.5 mg/ml
Глюкоза 5% 1982
Немедленные осадки несовместимый
Инъекция Heparin sodium
Инъекция Antithymocyte globulin (rabbit)
4958
Немедленные осадки несовместимый
Инъекция Heparin sodium 2 UI/ml
Инъекция Antithymocyte globulin (rabbit) 0,2 & 0,3 mg/ml
Глюкоза 5% 1822
совместимый
Инъекция Heparin sodium 100 UI/ml
Инъекция Antithymocyte globulin (rabbit) 0,2 & 0,3 mg/ml
Глюкоза 5% 1822
совместимый
Инъекция Heparin sodium 2 & 100 UI/ml
Инъекция Antithymocyte globulin (rabbit) 0,2 & 0,3 mg/ml
Натрия хлорид 0,9% 1822
совместимый
Инъекция Heparin sodium 40 UI/ml
Инъекция Atracurium besylate 0.5 mg/ml
Глюкоза 5% 402
совместимый
Инъекция Heparin sodium 1 UI/ml
Инъекция Atropine sulfate 0.5 mg/ml
Глюкоза 5% 1228
совместимый
Инъекция Heparin sodium 500 UI/ml
Парентеральное питание (с липидами) 4507
Немедленные осадки несовместимый
Инъекция Heparin sodium 1000 UI/ml
Инъекция Amphotericin B cholesteryl sulfate complex 0.83 mg/ml
Глюкоза 5% 921
Неопределенная несовместимость несовместимый
Инъекция Heparin sodium
Инъекция Ampicillin sodium
3540
совместимый
Инъекция Heparin sodium 10 & 5000 UI/ml
Инъекция Ampicillin sodium 10 mg/ml
Натрия хлорид 0,9% 2037
совместимый
Инъекция Heparin sodium 1 UI/ml
Инъекция Atropine sulfate 0.5 mg/ml
Раствор Рингера лактата 1228
совместимый
Инъекция Heparin sodium 1 UI/ml
Инъекция Atropine sulfate 0.5 mg/ml
Натрия хлорид 0,9% 1228
совместимый
Инъекция Heparin sodium 100 UI/ml
Инъекция Aztreonam 40 mg/ml
Глюкоза 5% 99
совместимый
Инъекция Heparin sodium 50 UI/ml
Инъекция Aztreonam 20 mg/ml
Нет 317
совместимый
Инъекция Heparin sodium 1 UI/ml
Инъекция Betamethasone sodium phosphate 3 mg/ml
Натрия хлорид 0,9% 1228
совместимый
Инъекция Heparin sodium 1 UI/ml
Инъекция Betamethasone sodium phosphate 3 mg/ml
Глюкоза 5% 1228
совместимый
Инъекция Heparin sodium 1 UI/ml
Инъекция Betamethasone sodium phosphate 3 mg/ml
Раствор Рингера лактата 1228
совместимый
Инъекция Heparin sodium 100 UI/ml
Инъекция Bivalirudin 5 mg/ml
Глюкоза 5% 1713
Немедленные осадки несовместимый
Инъекция Heparin sodium 192.3 UI/ml
Инъекция Blinatumomab 0.125 & 0.375 µg/ml
Натрия хлорид 0,9% 3976
совместимый
Инъекция Heparin sodium 1000 UI/ml
Инъекция Caffeine 10 mg/ml
Нет 3964
совместимый
Инъекция Heparin sodium 100 UI/ml
Инъекция Caffeine 10 mg/ml
Натрия хлорид 0,9% 4837
совместимый
Инъекция Heparin sodium 100 UI/ml
Инъекция Caffeine citrate 20 mg/ml
Натрия хлорид 0,9% 4837
Осадки через 30 минут несовместимый
Инъекция Heparin sodium 2 UI/ml
Инъекция Calcium chloride 20 mg/ml
Глюкоза 5% 4732
совместимый
Инъекция Heparin sodium 100 UI/ml
Инъекция Calcium chloride 20 mg/ml
Глюкоза 5% 4732
Немедленная нестабильность эмульсии несовместимый
Инъекция Heparin sodium
Инъекция Calcium chloride
Парентеральное питание (с липидами) 1084
Немедленная нестабильность эмульсии несовместимый
Инъекция Heparin sodium
Инъекция Calcium gluconate
Парентеральное питание (с липидами) 1084
Немедленные осадки несовместимый
Инъекция Heparin sodium 100 UI/ml
Инъекция Caspofungin acetate 0.5 mg/ml
Натрия хлорид 0,9% 2233
Немедленные осадки несовместимый
Инъекция Heparin sodium 100 UI/ml
Инъекция Caspofungin acetate 0,7 mg/ml
Натрия хлорид 0,9% 2247
Неопределенная несовместимость несовместимый
Инъекция Heparin sodium
Инъекция Cefalotin sodium
3540
совместимый
Инъекция Heparin sodium 10 & 5000 UI/ml
Инъекция Cefazolin sodium 10 mg/ml
Натрия хлорид 0,9% 2037
совместимый
Инъекция Heparin sodium 50 UI/ml
Инъекция Cefazolin sodium 20 mg/ml
Нет 317
совместимый
Инъекция Heparin sodium 0.667 UI/ml
Инъекция Cefazolin sodium 0.333 mg/ml
Dianéal® PD2 1.5% Глюкоза (Baxter) 1979
совместимый
Инъекция Heparin sodium 10 & 50 UI/ml
Инъекция Cefepime dihydrochloride 4 mg/ml
Натрия хлорид 0,9% 3548
совместимый
Инъекция Heparin sodium 10 & 50 UI/ml
Инъекция Cefepime dihydrochloride 4 mg/ml
Глюкоза 5% 3548
совместимый
Инъекция Heparin sodium 1000 UI/ml
Инъекция Cefiderocol sulfate tosylate 20 mg/mL
Глюкоза 5% 4528
совместимый
Инъекция Heparin sodium 1000 UI/ml
Инъекция Cefiderocol sulfate tosylate 20 mg/mL
Натрия хлорид 0,9% 4528
Химическая нестабильность несовместимый
Инъекция Heparin sodium 100 UI/ml
Инъекция Cefmetazole sodium 100 mg/ml
Вода для инъекций 93
совместимый
Инъекция Heparin sodium 208 UI/ml
Инъекция Cefotaxime sodium 41.6 & 125 mg/ml
Глюкоза 5% 4254
совместимый
Инъекция Heparin sodium 208 UI/ml
Инъекция Cefotaxime sodium 41.6 & 125 mg/ml
Натрия хлорид 0,9% 4254
совместимый
Инъекция Heparin sodium 5000 UI/ml
Инъекция Cefotaxime sodium 10 mg/ml
Вода для инъекций 3125
совместимый
Инъекция Heparin sodium 100 UI/ml
Инъекция Ceftaroline fosamil 2,22 mg/ml
Раствор Рингера лактата 3249
совместимый
Инъекция Heparin sodium 100 UI/ml
Инъекция Ceftaroline fosamil 2,22 mg/ml
Натрия хлорид 0,9% 3249
совместимый
Инъекция Heparin sodium 100 UI/ml
Инъекция Ceftaroline fosamil 2,22 mg/ml
Глюкоза 5% 3249
совместимый
Инъекция Heparin sodium 0.5 UI/ml
Инъекция Ceftazidime 0.125 mg/ml
Extraneal® (Baxter) 4056
совместимый
Инъекция Heparin sodium 0.5 UI/ml
Инъекция Ceftazidime 0.125 mg/ml
Dianéal® PD2 4.25% Глюкоза (Baxter) 4056
совместимый
Инъекция Heparin sodium 50 UI/ml
Инъекция Ceftazidime 20 mg/ml
Нет 317
совместимый
Инъекция Heparin sodium 0.5 UI/ml
Инъекция Ceftazidime 0.125 mg/ml
Dianéal® PD2 2.5% glucose (Baxter) 4056
совместимый
Инъекция Heparin sodium 100 UI/ml
Инъекция Ceftobiprole medocaril sodium 2 mg/ml
Натрия хлорид 0,9% 2269
совместимый
Инъекция Heparin sodium 100 UI/ml
Инъекция Ceftobiprole medocaril sodium 2 mg/ml
Глюкоза 5% 2269
совместимый
Инъекция Heparin sodium 100 UI/ml
Инъекция Ceftobiprole medocaril sodium 2 mg/ml
Раствор Рингера лактата 2269
совместимый
Инъекция Heparin sodium 1000 UI/ml
Инъекция Ceftolozane / tazobactam 10/5 mg/ml
Натрия хлорид 0,9% 3828
совместимый
Инъекция Heparin sodium 1000 UI/ml
Инъекция Ceftolozane / tazobactam 10/5 mg/ml
Глюкоза 5% 3828
совместимый
Инъекция Heparin sodium 50 UI/ml
Инъекция Ceftriaxone disodium 20 mg/ml
Нет 317
совместимый
Инъекция Heparin sodium 10 & 50 UI/ml
Инъекция Cefuroxime sodium
Натрия хлорид 0,9% 3687
совместимый
Инъекция Heparin sodium 58,34 UI/ml
Инъекция Chlorpromazine hydrochloride 0,26 mg/ml
Глюкоза 5% 1289
совместимый
Инъекция Heparin sodium 1 UI/ml
Инъекция Chlorpromazine hydrochloride 10 mg/ml
Натрия хлорид 0,9% 1228
совместимый
Инъекция Heparin sodium 1 UI/ml
Инъекция Chlorpromazine hydrochloride 10 mg/ml
Глюкоза 5% 1228
Неопределенная несовместимость несовместимый
Инъекция Heparin sodium
Инъекция Chlorpromazine hydrochloride
3540
совместимый
Инъекция Heparin sodium 1 UI/ml
Инъекция Chlorpromazine hydrochloride 10 mg/ml
Раствор Рингера лактата 1228
совместимый
Инъекция Heparin sodium 50 UI/ml
Инъекция Cimetidine hydrochloride 6 mg/ml
Нет 317
совместимый
Инъекция Heparin sodium 5000 & 10000 UI/ml
Инъекция Ciprofloxacin lactate 0.4 & 0.6 mg/ml
Натрия хлорид 0,9% 2057
Немедленные осадки несовместимый
Инъекция Heparin sodium 10 >> 10000 UI/ml
Инъекция Ciprofloxacin lactate 1 mg/ml
Натрия хлорид 0,9% 2057
Немедленные осадки несовместимый
Инъекция Heparin sodium 10 & 100 UI/ml
Инъекция Ciprofloxacin lactate 0.2 mg/ml
Натрия хлорид 0,9% 2057
Неопределенная несовместимость несовместимый
Инъекция Heparin sodium
Инъекция Ciprofloxacin lactate
3540
Немедленные осадки несовместимый
Инъекция Heparin sodium 10 >> 1000 UI/ml
Инъекция Ciprofloxacin lactate 0.4 & 0.6 mg/ml
Натрия хлорид 0,9% 2057
совместимый
Инъекция Heparin sodium 1000 >> 10000 UI/ml
Инъекция Ciprofloxacin lactate 0.2 mg/ml
Натрия хлорид 0,9% 2057
Немедленные осадки несовместимый
Инъекция Heparin sodium 10 >> 5000 UI/ml
Инъекция Ciprofloxacin lactate 0.8 mg/ml
Натрия хлорид 0,9% 2057
совместимый
Инъекция Heparin sodium 10 >> 10000 UI/ml
Инъекция Ciprofloxacin lactate 0.1 mg/ml
Натрия хлорид 0,9% 2057
Немедленные осадки несовместимый
Инъекция Heparin sodium 100 UI/ml
Инъекция Ciprofloxacin lactate 2 mg/ml
Натрия хлорид 0,9% 288
Неопределенная несовместимость несовместимый
Инъекция Heparin sodium
Инъекция Ciprofloxacin lactate
3529
Немедленные осадки несовместимый
Инъекция Heparin sodium 100 UI/ml
Инъекция Ciprofloxacin lactate 2 mg/ml
Глюкоза 5% 288
Немедленные осадки несовместимый
Инъекция Heparin sodium 10 >> 1000 UI/ml
Инъекция Ciprofloxacin lactate 2 mg/ml
Натрия хлорид 0,9% 289
Немедленная мутность несовместимый
Инъекция Heparin sodium 10 UI/ml
Инъекция Ciprofloxacin lactate 2 mg/ml
Нет 1393
совместимый
Инъекция Heparin sodium 10000 UI/ml
Инъекция Ciprofloxacin lactate 0.8 mg/ml
Натрия хлорид 0,9% 2057
совместимый
Инъекция Heparin sodium 100 UI/ml
Инъекция Cisatracurium besylate 0.1 & 2 mg/ml
Глюкоза 5% 299
Немедленные осадки несовместимый
Инъекция Heparin sodium 100 UI/ml
Инъекция Cisatracurium besylate 5 mg/ml
Глюкоза 5% 299
Изменение цвета несовместимый
Инъекция Heparin sodium 500 UI/ml
Инъекция Cisatracurium besylate 5 mg/ml
Натрия хлорид 0,9% 3463
Неопределенная несовместимость несовместимый
Инъекция Heparin sodium 500 UI/ml
Инъекция Cisatracurium besylate 5 mg/ml
Натрия хлорид 0,9% 3823
Неопределенная несовместимость несовместимый
Инъекция Heparin sodium
Инъекция Cisatracurium besylate
3540
совместимый
Инъекция Heparin sodium 100 UI/ml
Инъекция Cladribine 0.5 mg/ml
NaCl 0,9% + антибактериальный 1496
совместимый
Инъекция Heparin sodium 100 UI/ml
Инъекция Cladribine 0.015 mg/ml
Натрия хлорид 0,9% 1496
совместимый
Инъекция Heparin sodium 50 UI/ml
Инъекция Clindamycin phosphate 12 mg/ml
Нет 317
совместимый
Инъекция Heparin sodium 50 UI/ml
Инъекция Clonidine hydrochloride 0.0075 mg/ml
Натрия хлорид 0,9% 1506
совместимый
Инъекция Heparin sodium 50 UI/ml
Инъекция Clonidine hydrochloride 0.0075 mg/ml
Глюкоза 5% 1506
совместимый
Инъекция Heparin sodium 100 UI/ml
Инъекция Cloxacillin sodium 100 mg/ml
Вода для инъекций 3012
Осадки через 4 часа несовместимый
Инъекция Heparin sodium 208 UI/ml
Инъекция Co-trimoxazole 3.2/0.64 & 80/16 mg/ml
Натрия хлорид 0,9% 4254
Осадки через 4 часа несовместимый
Инъекция Heparin sodium 208 UI/ml
Инъекция Co-trimoxazole 3.2/0.64 & 80/16 mg/ml
Глюкоза 5% 4254
совместимый
Инъекция Heparin sodium 1 UI/ml
Инъекция Cyanocobalamine 0.1 mg/ml
Раствор Рингера лактата 1228
совместимый
Инъекция Heparin sodium 1 UI/ml
Инъекция Cyanocobalamine 0.1 mg/ml
Глюкоза 5% 1228
совместимый
Инъекция Heparin sodium 1 UI/ml
Инъекция Cyanocobalamine 0.1 mg/ml
Натрия хлорид 0,9% 1228
Неопределенная несовместимость несовместимый
Инъекция Heparin sodium
Инъекция Cytarabine
3540
Неопределенная несовместимость несовместимый
Инъекция Heparin sodium
Инъекция Cytarabine
3580
Неопределенная несовместимость несовместимый
Инъекция Heparin sodium
Инъекция Dacarbazine
3605
Немедленные осадки несовместимый
Инъекция Heparin sodium 100 UI/ml
Инъекция Dacarbazine 25 mg/ml
Натрия хлорид 0,9% 860
Неопределенная несовместимость несовместимый
Инъекция Heparin sodium
Инъекция Dacarbazine
3267
Неопределенная несовместимость несовместимый
Инъекция Heparin sodium
Инъекция Dacarbazine
3540
совместимый
Инъекция Heparin sodium
Инъекция Daptomycin
2271
совместимый
Инъекция Heparin sodium 98 UI/ml
Инъекция Daptomycin 19,6 mg/ml
Натрия хлорид 0,9% 1937
Немедленные осадки несовместимый
Инъекция Heparin sodium
Инъекция Daunorubicin hydrochloride
3604
Неопределенная несовместимость несовместимый
Инъекция Heparin sodium
Инъекция Daunorubicin hydrochloride
3540
Немедленные осадки несовместимый
Инъекция Heparin sodium
Инъекция Daunorubicin hydrochloride liposome
3577
Немедленная мутность несовместимый
Инъекция Heparin sodium
Инъекция Daunorubicin/cytarabine liposomale 0,4 mg/mL
Натрия хлорид 0,9% 4654
совместимый
Инъекция Heparin sodium 373 UI/ml
Инъекция Defibrotide 8 mg/ml
Натрия хлорид 0,9% 3728
совместимый
Инъекция Heparin sodium 50 UI/ml
Инъекция Dexamethasone sodium phosphate 0.08 mg/ml
Нет 317
совместимый
Инъекция Heparin sodium
Инъекция Dexketoprofen
4981
совместимый
Инъекция Heparin sodium 100 UI/ml
Инъекция Dexmedetomidine 4 µg/ml
Натрия хлорид 0,9% 1712
совместимый
Инъекция Heparin sodium 10000 UI/ml
Инъекция Diatrizoate meglumine 283 mg/ml
Нет 1085
Неопределенная несовместимость несовместимый
Инъекция Heparin sodium
Инъекция Diazepam
3540
совместимый
Инъекция Heparin sodium 100 UI/ml
Инъекция Diltiazem hydrochloride 1 mg/ml
314
Немедленные осадки несовместимый
Инъекция Heparin sodium 20000 UI/ml
Инъекция Diltiazem hydrochloride 5 mg/ml
Натрия хлорид 0,9% 198
совместимый
Инъекция Heparin sodium 100 UI/ml
Инъекция Diltiazem hydrochloride 1 mg/ml
Глюкоза 5% 4556
Немедленная мутность несовместимый
Инъекция Heparin sodium 100 UI/ml
Инъекция Diltiazem hydrochloride 5 mg/ml
Глюкоза 5% 4556
совместимый
Инъекция Heparin sodium 20000 UI/ml
Инъекция Diltiazem hydrochloride 1 mg/ml
Натрия хлорид 0,9% 198
совместимый
Инъекция Heparin sodium
Инъекция Diltiazem hydrochloride
5090
совместимый
Инъекция Heparin sodium 80 >> 10000 UI/ml
Инъекция Diltiazem hydrochloride 1 & 5 mg/ml
Натрия хлорид 0,9% 198
Немедленные осадки несовместимый
Инъекция Heparin sodium
Инъекция Dimenhydrinate
2087
совместимый
Инъекция Heparin sodium 1 UI/ml
Инъекция Diphenhydramine hydrochloride 50 mg/ml
Натрия хлорид 0,9% 1228
совместимый
Инъекция Heparin sodium 1 UI/ml
Инъекция Diphenhydramine hydrochloride 50 mg/ml
Глюкоза 5% 1228
совместимый
Инъекция Heparin sodium 1 UI/ml
Инъекция Diphenhydramine hydrochloride 50 mg/ml
Раствор Рингера лактата 1228
Осадки через 4 часа несовместимый
Инъекция Heparin sodium 100 UI/ml
Инъекция Dobutamine hydrochloride 4 mg/ml
314
совместимый
Инъекция Heparin sodium 40 UI/ml
Инъекция Dobutamine hydrochloride 1 mg/ml
Натрия хлорид 0,9% 1058
совместимый
Инъекция Heparin sodium 100 UI/ml
Инъекция Dobutamine hydrochloride 2 mg/ml
Глюкоза 5% 1041
Немедленные осадки несовместимый
Инъекция Heparin sodium 100 UI/ml
Инъекция Dobutamine hydrochloride 2 mg/ml
Глюкоза 5% 1352
Немедленная мутность несовместимый
Инъекция Heparin sodium 100 UI/ml
Инъекция Dobutamine hydrochloride 4 mg/ml
Глюкоза 5% 295
Немедленные осадки несовместимый
Инъекция Heparin sodium
Инъекция Dobutamine hydrochloride
3540
Смена цвета через 6 часа несовместимый
Инъекция Heparin sodium 10000 UI/ml
Инъекция Dobutamine hydrochloride 2 mg/ml
Глюкоза 5% 1041
совместимый
Инъекция Heparin sodium 40 UI/ml
Инъекция Dobutamine hydrochloride 1 mg/ml
Глюкоза 5% 1058
совместимый
Инъекция Heparin sodium 50 UI/ml
Инъекция Dobutamine hydrochloride 1 mg/ml
Нет 317
совместимый
Инъекция Heparin sodium 100 UI/ml
Инъекция Docetaxel 0.9 mg/ml
Глюкоза 5% 1754
совместимый
Инъекция Heparin sodium 1 UI/ml
Инъекция Dopamine hydrochloride 40 mg/ml
Натрия хлорид 0,9% 1228
совместимый
Инъекция Heparin sodium 50 UI/ml
Инъекция Dopamine hydrochloride 1.6 mg/ml
Нет 317
совместимый
Инъекция Heparin sodium 100 UI/ml
Инъекция Dopamine hydrochloride 3.2 mg/ml
314
совместимый
Инъекция Heparin sodium 1 UI/ml
Инъекция Dopamine hydrochloride 40 mg/ml
Раствор Рингера лактата 1228
совместимый
Инъекция Heparin sodium 200 UI/ml
Инъекция Dopamine hydrochloride 0.8 mg/ml
Глюкоза 5% 738
совместимый
Инъекция Heparin sodium 1 UI/ml
Инъекция Dopamine hydrochloride 40 mg/ml
Глюкоза 5% 1228
совместимый
Инъекция Heparin sodium 100 UI/ml
Инъекция Dopamine hydrochloride 3,2 mg/ml
4389
Неопределенная несовместимость несовместимый
Инъекция Heparin sodium 187 UI/ml
Инъекция Dopamine hydrochloride 1,7 >> 3,4 mg/ml
Глюкоза 5% 377
совместимый
Инъекция Heparin sodium 100 UI/ml
Инъекция Doripenem 5 mg/ml
Натрия хлорид 0,9% 2262
совместимый
Инъекция Heparin sodium 100 UI/ml
Инъекция Doripenem 5 mg/ml
Глюкоза 5% 2262
совместимый
Инъекция Heparin sodium 1 UI/ml
Инъекция Doxapram hydrochloride 2 mg/ml
Глюкоза 5% 1802
Неопределенная несовместимость несовместимый
Инъекция Heparin sodium
Инъекция Doxorubicin hydrochloride
3540
Немедленные осадки несовместимый
Инъекция Heparin sodium
Инъекция Doxorubicin hydrochloride
3645
Немедленные осадки несовместимый
Инъекция Heparin sodium 1000 UI/ml
Инъекция Doxorubicin hydrochloride 2 mg/ml
763
совместимый
Инъекция Heparin sodium 1000 UI/ml
Инъекция Doxorubicin hydrochloride liposome peg 0.4 mg/ml
Глюкоза 5% 251
Неопределенная несовместимость несовместимый
Инъекция Heparin sodium 50 UI/ml
Инъекция Doxycycline hyclate 1 mg/ml
Нет 317
Немедленные осадки несовместимый
Инъекция Heparin sodium 1000 UI/ml
Инъекция Droperidol 2,5 mg/ml
763
совместимый
Инъекция Heparin sodium 1 UI/ml
Инъекция Droperidol 1.25 mg/ml
Натрия хлорид 0,9% 1228
совместимый
Инъекция Heparin sodium 1 UI/ml
Инъекция Droperidol 1.25 mg/ml
Раствор Рингера лактата 1228
совместимый
Инъекция Heparin sodium 1 UI/ml
Инъекция Droperidol 1.25 mg/ml
Глюкоза 5% 1228
Неопределенная несовместимость несовместимый
Инъекция Heparin sodium
Инъекция Droperidol
3540
совместимый
Инъекция Heparin sodium 45,45 UI/ml
Инъекция Enalaprilate 0,011 mg/ml
Глюкоза 5% 963
совместимый
Инъекция Heparin sodium 40 UI/ml
Инъекция Enalaprilate 0.05 mg/ml
Натрия хлорид 0,9% 1315
совместимый
Инъекция Heparin sodium 50 UI/ml
Инъекция Enalaprilate 0.0125 mg/ml
Натрия хлорид 0,9% 1703
совместимый
Инъекция Heparin sodium 1 UI/ml
Инъекция Epinephrine hydrochloride 100 µg/ml
Раствор Рингера лактата 1228
совместимый
Инъекция Heparin sodium 100 UI/ml
Инъекция Epinephrine hydrochloride 20 µg/ml
314
совместимый
Инъекция Heparin sodium 1 UI/ml
Инъекция Epinephrine hydrochloride 100 µg/ml
Натрия хлорид 0,9% 1228
совместимый
Инъекция Heparin sodium 1 UI/ml
Инъекция Epinephrine hydrochloride 100 µg/ml
Глюкоза 5% 1228
Неопределенная несовместимость несовместимый
Инъекция Heparin sodium
Инъекция Epirubicin hydrochloride
3632
совместимый
Инъекция Heparin sodium
Инъекция Eptifibatide
3934
совместимый
Инъекция Heparin sodium 1000 UI/ml
Инъекция Eravacycline 0,6 mg/ml
Натрия хлорид 0,9% 4434
Немедленная мутность несовместимый
Инъекция Heparin sodium 1 UI/ml
Инъекция Ergotamine tartrate 0.5 mg/ml
Натрия хлорид 0,9% 1228
Осадки через 4 часа несовместимый
Инъекция Heparin sodium 1 UI/ml
Инъекция Ergotamine tartrate 0.5 mg/ml
Раствор Рингера лактата 1228
Осадки через 4 часа несовместимый
Инъекция Heparin sodium 1 UI/ml
Инъекция Ergotamine tartrate 0.5 mg/ml
Глюкоза 5% 1228
совместимый
Инъекция Heparin sodium 50 & 100 UI/ml
Инъекция Ertapenem 10 & 20 mg/ml
Натрия хлорид 0,9% 1906
совместимый
Инъекция Heparin sodium 50 UI/ml
Инъекция Erythromycin lactobionate 3.3 mg/ml
Нет 317
Неопределенная несовместимость несовместимый
Инъекция Heparin sodium
Инъекция Erythromycin lactobionate
3674
Неопределенная несовместимость несовместимый
Инъекция Heparin sodium
Инъекция Erythromycin lactobionate
3540
совместимый
Инъекция Heparin sodium 50 UI/ml
Инъекция Esmolol hydrochloride 6 mg/ml
Глюкоза 5% 174
совместимый
Инъекция Heparin sodium 40 UI/ml
Инъекция Esmolol hydrochloride 10 mg/ml
Глюкоза 5% 384
совместимый
Инъекция Heparin sodium 500 UI/ml
Инъекция Esmolol hydrochloride 10 mg/ml
Натрия хлорид 0,9% 3823
Немедленные осадки несовместимый
Инъекция Heparin sodium 1000 UI/ml
Инъекция Ethanol 70 %
Вода для инъекций + антибактериальный 2221
Немедленные осадки несовместимый
Инъекция Heparin sodium 1000 UI/ml
Инъекция Ethanol 70 %
Вода для инъекций 2221
Осадки через 1 час несовместимый
Инъекция Heparin sodium 10 UI/ml
Инъекция Ethanol 70 %
Вода для инъекций + антибактериальный 2221
Немедленные осадки несовместимый
Инъекция Heparin sodium 10 UI/ml
Инъекция Ethanol 70 %
Вода для инъекций 2221
совместимый
Инъекция Heparin sodium 100 UI/ml
Инъекция Etoposide phosphate 5 mg/ml
Глюкоза 5% 1410
совместимый
Инъекция Heparin sodium 40 UI/ml
Инъекция Famotidine
Глюкоза 5% 397
совместимый
Инъекция Heparin sodium 50 UI/ml
Инъекция Famotidine 0.2 mg/ml
Глюкоза 5% 398
совместимый
Инъекция Heparin sodium 40 UI/ml
Инъекция Famotidine 2 mg/ml
Натрия хлорид 0,9% 215
совместимый
Инъекция Heparin sodium 100 UI/ml
Инъекция Fenoldopam mesylate 80 µg/ml
Натрия хлорид 0,9% 1803
совместимый
Инъекция Heparin sodium 100 UI/ml
Инъекция Fentanyl citrate 50 µg/ml
4389
совместимый
Инъекция Heparin sodium 1 UI/ml
Инъекция Fentanyl citrate 50 µg/ml
Глюкоза 5% 1228
совместимый
Инъекция Heparin sodium 1 UI/ml
Инъекция Fentanyl citrate 50 µg/ml
Раствор Рингера лактата 1228
совместимый
Инъекция Heparin sodium 1 UI/ml
Инъекция Fentanyl citrate 50 µg/ml
Натрия хлорид 0,9% 1228
совместимый
Инъекция Heparin sodium 100 UI/ml
Инъекция Fentanyl citrate 50 µg/ml
314
Немедленные осадки несовместимый
Инъекция Heparin sodium 100 UI/ml
Инъекция Filgrastim 30 µg/ml
Глюкоза 5% 244
совместимый
Инъекция Heparin sodium 1000 UI/ml
Инъекция Fluconazole 2 mg/ml
Натрия хлорид 0,9% 496
совместимый
Инъекция Heparin sodium 50 UI/ml
Инъекция Fluconazole 2 mg/ml
Нет 317
совместимый
Инъекция Heparin sodium 40 >> 1000 UI/ml
Инъекция Fludarabine phosphate 1 mg/ml
Глюкоза 5% 492
совместимый
Инъекция Heparin sodium 50 UI/ml
Инъекция Flumazenil 0,02 mg/ml
Глюкоза 5% 187
совместимый
Инъекция Heparin sodium 5 UI/ml
Инъекция Fluorouracil 0,8 mg/ml
Натрия хлорид 0,9% 156
совместимый
Инъекция Heparin sodium 5 UI/ml
Инъекция Fluorouracil 0,8 mg/ml
Глюкоза 5% 156
совместимый
Инъекция Heparin sodium 1 UI/ml
Инъекция Fluorouracil 50 mg/ml
Натрия хлорид 0,9% 1228
совместимый
Инъекция Heparin sodium 960 UI/ml
Инъекция Fluorouracil 24 mg/ml
Глюкоза 5% 163
совместимый
Инъекция Heparin sodium 1 UI/ml
Инъекция Fluorouracil 50 mg/ml
Глюкоза 5% 1228
совместимый
Инъекция Heparin sodium 1000 UI/ml
Инъекция Fluorouracil 50 mg/ml
763
совместимый
Инъекция Heparin sodium 1 UI/ml
Инъекция Fluorouracil 50 mg/ml
Раствор Рингера лактата 1228
совместимый
Инъекция Heparin sodium 1000 UI/ml
Инъекция Folinate calcium 10 mg/ml
763
совместимый
Инъекция Heparin sodium 100 UI/ml
Инъекция Foscarnet sodium 24 mg/ml
Глюкоза 5% 1135
совместимый
Инъекция Heparin sodium 100 UI/ml
Инъекция Foscarnet sodium 24 mg/ml
Натрия хлорид 0,9% 1135
совместимый
Инъекция Heparin sodium 1000 UI/ml
Инъекция Foscarnet sodium 24 mg/ml
Нет 73
совместимый
Инъекция Heparin sodium 1000 UI/ml
Инъекция Fosfomycin 30 mg/ml
Глюкоза 5% 4055
совместимый
Инъекция Heparin sodium 1000 UI/ml
Инъекция Fosfomycin 30 mg/ml
Натрия хлорид 0,9% 4055
совместимый
Инъекция Heparin sodium 100 UI/ml
Инъекция Furosemide 10 mg/ml
314
совместимый
Инъекция Heparin sodium 1 UI/ml
Инъекция Furosemide 10 mg/ml
Натрия хлорид 0,9% 1228
Осадки через 5 часа несовместимый
Инъекция Heparin sodium 100 UI/ml
Инъекция Furosemide 10 mg/ml
Глюкоза 5% 4724
совместимый
Инъекция Heparin sodium 20 UI/ml
Инъекция Furosemide 1 mg/ml
Натрия хлорид 0,9% 1232
совместимый
Инъекция Heparin sodium 58,34 UI/ml
Инъекция Furosemide 5,21 mg/ml
Глюкоза 5% 1289
совместимый
Инъекция Heparin sodium
Инъекция Furosemide
3465
совместимый
Инъекция Heparin sodium 1 UI/ml
Инъекция Furosemide 10 mg/ml
Раствор Рингера лактата 1228
совместимый
Инъекция Heparin sodium 1000 UI/ml
Инъекция Furosemide 10 mg/ml
763
совместимый
Инъекция Heparin sodium 10 UI/ml
Инъекция Furosemide 10 mg/ml
Нет 3210
совместимый
Инъекция Heparin sodium 500 UI/ml
Инъекция Furosemide 10 mg/ml
Натрия хлорид 0,9% 3823
совместимый
Инъекция Heparin sodium 500 UI/ml
Инъекция Furosemide 10 mg/ml
Нет 3134
совместимый
Инъекция Heparin sodium 1 UI/ml
Инъекция Furosemide 10 mg/ml
Глюкоза 5% 1228
совместимый
Инъекция Heparin sodium 40 UI/ml
Инъекция Gallium nitrate 1 mg/ml
Натрия хлорид 0,9% 91
совместимый
Инъекция Heparin sodium 100 UI/ml
Инъекция Gemcitabine hydrochloride 10 mg/ml
Натрия хлорид 0,9% 1423
Немедленная мутность несовместимый
Инъекция Heparin sodium 2500 UI/ml
Инъекция Gentamicin sulfate 3 mg/ml
4612
Неопределенная несовместимость несовместимый
Инъекция Heparin sodium
Инъекция Gentamicin sulfate
3520
Неопределенная несовместимость несовместимый
Инъекция Heparin sodium
Инъекция Gentamicin sulfate
3643
Немедленные осадки несовместимый
Инъекция Heparin sodium
Инъекция Gentamicin sulfate
1022
Неопределенная несовместимость несовместимый
Инъекция Heparin sodium 50 UI/ml
Инъекция Gentamicin sulfate 2 mg/ml
Нет 317
Немедленные осадки несовместимый
Инъекция Heparin sodium 10 >> 40 UI/ml
Инъекция Gentamicin sulfate 4 >> 40 mg/ml
1258
Немедленные осадки несовместимый
Инъекция Heparin sodium 2500 UI/ml
Инъекция Gentamicin sulfate 4 & 5 mg/ml
4612
Неопределенная несовместимость несовместимый
Инъекция Heparin sodium
Инъекция Gentamicin sulfate
3540
совместимый
Инъекция Heparin sodium 2500 UI/ml
Инъекция Gentamicin sulfate 1 & 2 mg/ml
4612
совместимый
Инъекция Heparin sodium 50 UI/ml
Инъекция Glycerophosphate disodium
Натрия хлорид 0,9% 4332
совместимый
Инъекция Heparin sodium 100 UI/ml
Инъекция Granisetron hydrochloride 0.05 mg/ml
Глюкоза 5% 182
Немедленные осадки несовместимый
Инъекция Heparin sodium 100 & 200 UI/ml
Инъекция Haloperidol lactate 5 mg/ml
Глюкоза 5% 617
Немедленные осадки несовместимый
Инъекция Heparin sodium 100 & 200 UI/ml
Инъекция Haloperidol lactate 5 mg/ml
Натрия хлорид 0,9% 617
совместимый
Инъекция Heparin sodium 500 UI/ml
Инъекция Haloperidol lactate 0.5 mg/ml
Натрия хлорид 0,9% 3823
Неопределенная несовместимость несовместимый
Инъекция Heparin sodium
Инъекция Haloperidol lactate
3540
совместимый
Инъекция Heparin sodium 100 UI/ml
Инъекция Hetastarch 60 mg/ml
Конкретные растворителя 1721
Неопределенная несовместимость несовместимый
Инъекция Heparin sodium
Инъекция Hyaluronidase
3617
Неопределенная несовместимость несовместимый
Инъекция Heparin sodium
Инъекция Hyaluronidase
3184
Неопределенная несовместимость несовместимый
Инъекция Heparin sodium
Инъекция Hyaluronidase
3540
совместимый
Инъекция Heparin sodium 1 UI/ml
Инъекция Hydralazine hydrochloride 20 mg/ml
Глюкоза 5% 1228
совместимый
Инъекция Heparin sodium 1 UI/ml
Инъекция Hydralazine hydrochloride 20 mg/ml
Раствор Рингера лактата 1228
совместимый
Инъекция Heparin sodium 1 UI/ml
Инъекция Hydralazine hydrochloride 20 mg/ml
Натрия хлорид 0,9% 1228
совместимый
Инъекция Heparin sodium 100 UI/ml
Инъекция Hydrocortisone sodium succinate 125 mg/ml
Натрия хлорид 0,9% 132
Неопределенная несовместимость несовместимый
Инъекция Heparin sodium
Инъекция Hydrocortisone sodium succinate
3540
совместимый
Инъекция Heparin sodium 50 UI/ml
Инъекция Hydrocortisone sodium succinate 2 mg/ml
Нет 317
совместимый
Инъекция Heparin sodium 100 UI/ml
Инъекция Hydrocortisone sodium succinate 125 mg/ml
Глюкоза 5% 132
совместимый
Инъекция Heparin sodium
Инъекция Hydromorphone hydrochloride <12.5 mg/ml
Натрия хлорид 0,9% 66
совместимый
Инъекция Heparin sodium 100 UI/ml
Инъекция Hydromorphone hydrochloride 1 mg/ml
314
Немедленные осадки несовместимый
Инъекция Heparin sodium <12,5 UI/ml
Инъекция Hydromorphone hydrochloride >25 mg/ml
Натрия хлорид 0,9% 66
совместимый
Инъекция Heparin sodium
Инъекция Hydromorphone hydrochloride <12.5 mg/ml
Вода для инъекций 66
Немедленные осадки несовместимый
Инъекция Heparin sodium <1 UI/ml
Инъекция Hydromorphone hydrochloride >10 mg/ml
Вода для инъекций 66
Немедленные осадки несовместимый
Инъекция Heparin sodium <12,5 UI/ml
Инъекция Hydromorphone hydrochloride >25 mg/ml
Вода для инъекций 66
совместимый
Инъекция Heparin sodium 100 UI/ml
Инъекция Ibuprofen lysinate 10 mg/ml
Вода для инъекций 4419
совместимый
Инъекция Heparin sodium 10 UI/ml
Инъекция Ibuprofen lysinate 10 mg/ml
Вода для инъекций 4419
Немедленная мутность несовместимый
Инъекция Heparin sodium 100 & 1000 UI/ml
Инъекция Idarubicin hydrochloride 1 mg/ml
Натрия хлорид 0,9% 491
Немедленные осадки несовместимый
Инъекция Heparin sodium
Инъекция Idarubicin hydrochloride
5075
совместимый
Инъекция Heparin sodium
Инъекция Imipenem-Cilastatin / Relebactam
4809
совместимый
Инъекция Heparin sodium 1000 UI/ml
Инъекция Imipenem-Cilastatin / Relebactam 5 mg/ml
Натрия хлорид 0,9% 4433
совместимый
Инъекция Heparin sodium 1000 UI/ml
Инъекция Imipenem-Cilastatin / Relebactam 5 mg/ml
Глюкоза 5% 4433
совместимый
Инъекция Heparin sodium 500 UI/ml
Инъекция Insulin 2 UI/ml
Натрия хлорид 0,9% 3823
совместимый
Инъекция Heparin sodium 60 UI/ml
Инъекция Insulin 0.2 UI/ml
Натрия хлорид 0,9% 129
совместимый
Инъекция Heparin sodium 50 & 400 UI/ml
Инъекция Insulin aspart 1 UI/ml
Глюкоза 5% 1508
совместимый
Инъекция Heparin sodium 50 & 400 UI/ml
Инъекция Insulin aspart 1 UI/ml
Натрия хлорид 0,9% 1508
совместимый
Инъекция Heparin sodium 10000 UI/ml
Инъекция Iohexol 300 mg I/ml
Нет 1085
совместимый
Инъекция Heparin sodium 10000 UI/ml
Инъекция Ioxaglate 320 mg I/ml
Нет 1085
Немедленная мутность несовместимый
Инъекция Heparin sodium 1000 UI/ml
Инъекция Isavuconazonium sulfate 1.5 mg/ml
Натрия хлорид 0,9% 3829
Немедленная мутность несовместимый
Инъекция Heparin sodium 1000 UI/ml
Инъекция Isavuconazonium sulfate 1.5 mg/ml
Глюкоза 5% 3829
совместимый
Инъекция Heparin sodium 1 UI/ml
Инъекция Isoprenaline hydrochloride 0.2 mg/ml
Глюкоза 5% 1228
совместимый
Инъекция Heparin sodium 1 UI/ml
Инъекция Isoprenaline hydrochloride 0.2 mg/ml
Натрия хлорид 0,9% 1228
совместимый
Инъекция Heparin sodium 1 UI/ml
Инъекция Isoprenaline hydrochloride 0.2 mg/ml
Раствор Рингера лактата 1228
Неопределенная несовместимость несовместимый
Инъекция Heparin sodium
Инъекция Kanamycin sulfate
3540
Немедленные осадки несовместимый
Инъекция Heparin sodium 25000 UI/ml
Инъекция Ketamine hydrochloride 50 mg/ml
2109
совместимый
Инъекция Heparin sodium 100 UI/ml
Инъекция Labetalol hydrochloride 2 mg/ml
314
Неопределенная несовместимость несовместимый
Инъекция Heparin sodium 500 UI/ml
Инъекция Labetalol hydrochloride 4 mg/ml
Натрия хлорид 0,9% 3823
Неопределенная несовместимость несовместимый
Инъекция Heparin sodium
Инъекция Labetalol hydrochloride
3540
Немедленные осадки несовместимый
Инъекция Heparin sodium 100 UI/ml
Инъекция Labetalol hydrochloride 5 mg/ml
Глюкоза 5% 295
совместимый
Инъекция Heparin sodium 40 UI/ml
Инъекция Labetalol hydrochloride 1 mg/ml
Глюкоза 5% 386
совместимый
Инъекция Heparin sodium 100 UI/ml
Инъекция Lansoprazole 0.55 mg/ml
Натрия хлорид 0,9% 1625
Мутность за 4 часа несовместимый
Инъекция Heparin sodium 100 UI/ml
Инъекция Levetiracetam 100 mg/ml
Глюкоза 5% 4108
Немедленная мутность несовместимый
Инъекция Heparin sodium 208,3 UI/ml
Инъекция Levetiracetam 15 mg/ml
Натрия хлорид 0,9% 4698
Неопределенная несовместимость несовместимый
Инъекция Heparin sodium
Инъекция Levofloxacine
3920
Немедленные осадки несовместимый
Инъекция Heparin sodium 10 UI/ml
Инъекция Levofloxacine 5 mg/ml
Глюкоза 5% 1072
Неопределенная несовместимость несовместимый
Инъекция Heparin sodium
Инъекция Levomepromazine
3540
совместимый
Инъекция Heparin sodium 100 UI/ml
Инъекция Levosimendan 2,5 mg/ml
Глюкоза 5% 4389
совместимый
Инъекция Heparin sodium 50 UI/ml
Инъекция Lidocaine hydrochloride 4 mg/ml
Нет 317
совместимый
Инъекция Heparin sodium 1000 UI/ml
Инъекция Linezolid 2 mg/ml
Нет 1925
совместимый
Инъекция Heparin sodium 10 >> 10000 UI/ml
Инъекция Linezolid 0.2 >> 1.92 mg/ml
Натрия хлорид 0,9% 2057
совместимый
Инъекция Heparin sodium 417 UI/ml
Инъекция Lorazepam 0.33 mg/ml
Натрия хлорид 0,9% 186
совместимый
Инъекция Heparin sodium 100 UI/ml
Инъекция Lorazepam 0.5 mg/ml
314
совместимый
Инъекция Heparin sodium 1 UI/ml
Инъекция Magnesium sulfate 5 mg/ml
Натрия хлорид 0,9% 1228
совместимый
Инъекция Heparin sodium 50 UI/ml
Инъекция Magnesium sulfate 15.6 mg/ml
Натрия хлорид 0,9% 2100
совместимый
Инъекция Heparin sodium 1 UI/ml
Инъекция Magnesium sulfate 5 mg/ml
Раствор Рингера лактата 1228
совместимый
Инъекция Heparin sodium 1 UI/ml
Инъекция Magnesium sulfate 5 mg/ml
Глюкоза 5% 1228
совместимый
Инъекция Heparin sodium 100 UI/ml
Инъекция Melphalan 0.1 mg/ml
Натрия хлорид 0,9% 169
совместимый
Инъекция Heparin sodium 0.5 UI/ml
Инъекция Meropenem 0.5 mg/ml
Dianéal® 4.25% glucose (Baxter) 4180
совместимый
Инъекция Heparin sodium 0.5 UI/ml
Инъекция Meropenem 0.5 mg/ml
Extraneal® (Baxter) 4180
совместимый
Инъекция Heparin sodium 1000 UI/ml
Инъекция Meropenem 50 mg/ml
Вода для инъекций 4319
совместимый
Инъекция Heparin sodium 1 UI/ml
Инъекция Meropenem 1 & 50 mg/ml
Натрия хлорид 0,9% 266
совместимый
Инъекция Heparin sodium 0.5 UI/ml
Инъекция Meropenem 0.5 mg/ml
Dianéal® 1.5% glucose (Baxter) 4180
совместимый
Инъекция Heparin sodium 20 UI/ml
Инъекция Meropenem 1 & 20 mg/ml
Натрия хлорид 0,9% 266
совместимый
Инъекция Heparin sodium 0.5 UI/ml
Инъекция Meropenem 0.5 mg/ml
Dianéal® 2.5% glucose (Baxter) 4180
совместимый
Инъекция Heparin sodium 50 UI/ml
Инъекция Methadone hydrochloride 0.2 mg/ml
Глюкоза 5% 1506
совместимый
Инъекция Heparin sodium 50 UI/ml
Инъекция Methadone hydrochloride 0.2 mg/ml
Натрия хлорид 0,9% 1506
Неопределенная несовместимость несовместимый
Инъекция Heparin sodium
Инъекция Methotrexate sodium
3637
совместимый
Инъекция Heparin sodium 1000 UI/ml
Инъекция Methotrexate sodium 25 mg/ml
763
совместимый
Инъекция Heparin sodium 500 UI/ml
Инъекция Methotrexate sodium 30 mg/ml
Натрия хлорид 0,9% 150
совместимый
Инъекция Heparin sodium 100 UI/ml
Инъекция Methylprednisolone sodium succinate 5 mg/ml
Глюкоза 5% 132
совместимый
Инъекция Heparin sodium 50 UI/ml
Инъекция Methylprednisolone sodium succinate 2.5 mg/ml
Нет 317
совместимый
Инъекция Heparin sodium 100 UI/ml
Инъекция Methylprednisolone sodium succinate 5 mg/ml
Натрия хлорид 0,9% 132
совместимый
Инъекция Heparin sodium 1000 UI/ml
Инъекция Metoclopramide hydrochloride 5 mg/ml
763
Химическая нестабильность несовместимый
Инъекция Heparin sodium 1000 UI/ml
Инъекция Metoprolol tartrate 1 mg/ml
Нет 2346
совместимый
Инъекция Heparin sodium 50 UI/ml
Инъекция Metronidazole 5 mg/ml
Нет 317
совместимый
Инъекция Heparin sodium 100 UI/ml
Инъекция Micafungin 1.5 mg/ml
Натрия хлорид 0,9% 2108
Немедленная мутность несовместимый
Инъекция Heparin sodium 208,3 UI/ml
Инъекция Midazolam hydrochloride 1 mg/ml
Натрия хлорид 0,9% 4698
совместимый
Инъекция Heparin sodium 500 UI/ml
Инъекция Midazolam hydrochloride 2.1 mg/ml
Натрия хлорид 0,9% 3823
совместимый
Инъекция Heparin sodium 417 UI/ml
Инъекция Midazolam hydrochloride 5 mg/ml
Нет 186
совместимый
Инъекция Heparin sodium 100 UI/ml
Инъекция Midazolam hydrochloride 5 mg/ml
4389
совместимый
Инъекция Heparin sodium 100 UI/ml
Инъекция Midazolam hydrochloride 2 mg/ml
314
совместимый
Инъекция Heparin sodium 200 UI/ml
Инъекция Milrinone lactate 0.8 mg/ml
Глюкоза 5% 813
совместимый
Инъекция Heparin sodium 100 UI/ml
Инъекция Milrinone lactate 0.2 mg/ml
314
совместимый
Инъекция Heparin sodium 1 UI/ml
Инъекция Minocycline hydrochloride 0.2 mg/ml
Глюкоза 5% 1228
совместимый
Инъекция Heparin sodium 1 UI/ml
Инъекция Minocycline hydrochloride 0.2 mg/ml
Раствор Рингера лактата 1228
совместимый
Инъекция Heparin sodium 1 UI/ml
Инъекция Minocycline hydrochloride 0.2 mg/ml
Натрия хлорид 0,9% 1228
Неопределенная несовместимость несовместимый
Инъекция Heparin sodium
Инъекция Mitoxantrone dihydrochloride
3640
Неопределенная несовместимость несовместимый
Инъекция Heparin sodium
Инъекция Morphine hydrochloride
5069
совместимый
Инъекция Heparin sodium 100 & 200 UI/ml
Инъекция Morphine sulfate 1 >> 5 mg/ml
Вода для инъекций 341
совместимый
Инъекция Heparin sodium 1 UI/ml
Инъекция Morphine sulfate 15 mg/ml
Раствор Рингера лактата 1228
Неопределенная несовместимость несовместимый
Инъекция Heparin sodium
Инъекция Morphine sulfate
3531
совместимый
Инъекция Heparin sodium 1 UI/ml
Инъекция Morphine sulfate 15 mg/ml
Глюкоза 5% 1228
совместимый
Инъекция Heparin sodium 1 UI/ml
Инъекция Morphine sulfate 15 mg/ml
Натрия хлорид 0,9% 1228
совместимый
Инъекция Heparin sodium 60 UI/ml
Инъекция Morphine sulfate 1 mg/ml
Натрия хлорид 0,9% 406
совместимый
Инъекция Heparin sodium 100 & 200 UI/ml
Инъекция Morphine sulfate 10 mg/ml
Вода для инъекций 341
совместимый
Инъекция Heparin sodium 100 UI/ml
Инъекция Morphine sulfate 2 mg/ml
314
Химическая нестабильность несовместимый
Инъекция Heparin sodium 100 & 200 UI/ml
Инъекция Morphine sulfate 1 >> 10 mg/ml
Натрия хлорид 0,9% 341
совместимый
Инъекция Heparin sodium 1000 UI/ml
Инъекция N-acetylcysteine 200 mg/ml
Нет 3766
совместимый
Инъекция Heparin sodium 50 UI/ml
Инъекция Nafcillin sodium 20 mg/ml
Нет 317
совместимый
Инъекция Heparin sodium 1000 UI/ml
Инъекция Naloxone hydrochloride 0.4 mg/ml
Нет 3408
Немедленная мутность несовместимый
Инъекция Heparin sodium 208,3 UI/ml
Инъекция Nefopam 1,7 mg/ml
Натрия хлорид 0,9% 4698
совместимый
Инъекция Heparin sodium 1 UI/ml
Инъекция Neostigmine methylsulfate 0.5 mg/ml
Глюкоза 5% 1228
совместимый
Инъекция Heparin sodium 1 UI/ml
Инъекция Neostigmine methylsulfate 0.5 mg/ml
Натрия хлорид 0,9% 1228
совместимый
Инъекция Heparin sodium 1 UI/ml
Инъекция Neostigmine methylsulfate 0.5 mg/ml
Раствор Рингера лактата 1228
Неопределенная несовместимость несовместимый
Инъекция Heparin sodium
Инъекция Nesiritide
5048
Неопределенная несовместимость несовместимый
Инъекция Heparin sodium
Инъекция Netilmicin sulfate
3540
Немедленные осадки несовместимый
Инъекция Heparin sodium
Инъекция Netilmicin sulfate
1022
Немедленные осадки несовместимый
Инъекция Heparin sodium 100 UI/ml
Инъекция Nicardipine hydrochloride 1 mg/ml
314
Неопределенная несовместимость несовместимый
Инъекция Heparin sodium
Инъекция Nicardipine hydrochloride
3540
совместимый
Инъекция Heparin sodium 40 UI/ml
Инъекция Nicardipine hydrochloride 0.1 mg/ml
Глюкоза 5% 1490
совместимый
Инъекция Heparin sodium 40 UI/ml
Инъекция Nicardipine hydrochloride 0.1 mg/ml
Натрия хлорид 0,9% 1490
Немедленные осадки несовместимый
Инъекция Heparin sodium 100 UI/ml
Инъекция Nitroglycerin 1,6 >> 3,25 mg/ml
Глюкоза 5% 295
совместимый
Инъекция Heparin sodium 500 UI/ml
Инъекция Nitroglycerin 0.2 mg/ml
Натрия хлорид 0,9% 3823
Производство пузырьков газа несовместимый
Инъекция Heparin sodium 50 UI/ml
Инъекция Nitroglycerin 0.2 mg/ml
Нет 317
совместимый
Инъекция Heparin sodium 500 UI/ml
Инъекция Nitroglycerin 0.2 mg/ml
Глюкоза 5% 3823
совместимый
Инъекция Heparin sodium 100 UI/ml
Инъекция Nitroglycerin 0.4 mg/ml
314
совместимый
Инъекция Heparin sodium 50 UI/ml
Инъекция Nitroprusside sodium 0.2 mg/ml
Нет 317
совместимый
Инъекция Heparin sodium 100 UI/ml
Инъекция Nitroprusside sodium 0.2 mg/ml
Глюкоза 5% 295
совместимый
Инъекция Heparin sodium 100 UI/ml
Инъекция Norepinephrine bitartrate 0.128 mg/ml
314
Неопределенная несовместимость несовместимый
Инъекция Heparin sodium
Инъекция Ofloxacin
3562
совместимый
Инъекция Heparin sodium 40 UI/ml
Инъекция Ondansetron hydrochloride 1 mg/ml
Натрия хлорид 0,9% 334
несовместимый
Инъекция Heparin sodium 200 UI/ml
Инъекция Ondansetron hydrochloride 1.6 mg/ml
1699
Немедленная мутность несовместимый
Инъекция Heparin sodium 100 UI/ml
Инъекция Oritavancin 0.8 >>1.2 mg/ml
Глюкоза 5% 3152
Осадки через 4 часа несовместимый
Инъекция Heparin sodium 100 UI/ml
Инъекция Oritavancin 2 mg/ml
Глюкоза 5% 3152
совместимый
Инъекция Heparin sodium 208 UI/ml
Инъекция Ornidazole 31.25 mg/ml
Натрия хлорид 0,9% 4254
совместимый
Инъекция Heparin sodium 1 UI/ml
Инъекция Oxacillin sodium 100 mg/ml
Глюкоза 5% 1228
совместимый
Инъекция Heparin sodium 1 UI/ml
Инъекция Oxacillin sodium 100 mg/ml
Раствор Рингера лактата 1228
совместимый
Инъекция Heparin sodium 1 UI/ml
Инъекция Oxacillin sodium 100 mg/ml
Натрия хлорид 0,9% 1228
совместимый
Инъекция Heparin sodium 100 UI/ml
Инъекция Oxaliplatin 0,5 mg/ml
Глюкоза 5% 1662
Неопределенная несовместимость несовместимый
Инъекция Heparin sodium
Инъекция Oxytetracycline hydrochloride
3540
совместимый
Инъекция Heparin sodium 100 UI/ml
Инъекция Paclitaxel 1.2 mg/ml
Глюкоза 5% 248
совместимый
Инъекция Heparin sodium 100 UI/ml
Инъекция Palonosetron hydrochloride 50 µg/ml
Глюкоза 5% 2279
совместимый
Инъекция Heparin sodium 40 UI/ml
Инъекция Pancuronium bromide 0.05 mg/ml
Глюкоза 5% 402
Осадки через 1 час несовместимый
Инъекция Heparin sodium
Инъекция Pantoprazole sodium
2090
совместимый
Инъекция Heparin sodium 208,3 UI/ml
Инъекция Paracetamol 10 mg/ml
Натрия хлорид 0,9% 4698
совместимый
Инъекция Heparin sodium 1000 UI/ml
Инъекция Paracetamol 10 mg/ml
4742
совместимый
Инъекция Heparin sodium 100 UI/ml
Инъекция Pemetrexed disodium 20 mg/ml
Натрия хлорид 0,9% 1953
Неопределенная несовместимость несовместимый
Инъекция Heparin sodium
Инъекция Penicillin G potassium
3540
совместимый
Инъекция Heparin sodium 50 UI/ml
Инъекция Penicillin G potassium 0.04 MUI/ml
Нет 317
Неопределенная несовместимость несовместимый
Инъекция Heparin sodium
Инъекция Penicillin G sodium
3540
совместимый
Инъекция Heparin sodium 100 UI/ml
Инъекция Pentoxifyllin 5 mg/ml
Натрия хлорид 0,9% 4538
Немедленная мутность несовместимый
Инъекция Heparin sodium
Инъекция Pethidine hydrochloride
3525
совместимый
Инъекция Heparin sodium 60 UI/ml
Инъекция Pethidine hydrochloride 10 mg/ml
Натрия хлорид 0,9% 406
Неопределенная несовместимость несовместимый
Инъекция Heparin sodium
Инъекция Pethidine hydrochloride
3540
Немедленные осадки несовместимый
Инъекция Heparin sodium 50 UI/ml
Инъекция Phenytoin sodium 2 mg/ml
Нет 317
совместимый
Инъекция Heparin sodium 50 UI/ml
Инъекция Piperacillin sodium 60 mg/ml
Нет 317
совместимый
Инъекция Heparin sodium 10 & 5000 UI/ml
Инъекция Piperacillin sodium 40 mg/ml
Натрия хлорид 0,9% 2037
совместимый
Инъекция Heparin sodium 0.5 UI/ml
Инъекция Piperacillin sodium / tazobactam 0.5/0.0625 mg/ml
Dianéal® 2.5% glucose (Baxter) 4180
совместимый
Инъекция Heparin sodium 0.5 UI/ml
Инъекция Piperacillin sodium / tazobactam 0.5/0.0625 mg/ml
Dianéal® 4.25% glucose (Baxter) 4180
Немедленная мутность несовместимый
Инъекция Heparin sodium 1000 UI/ml
Инъекция Plazomicin sulfate 24 mg/ml
Натрия хлорид 0,9% 4145
Неопределенная несовместимость несовместимый
Инъекция Heparin sodium
Инъекция Polymyxine B
3540
совместимый
Инъекция Heparin sodium 50 UI/ml
Инъекция Potassium chloride 200 mEq/l
Нет 317
совместимый
Инъекция Heparin sodium 1 UI/ml
Инъекция Procainamide hydrochloride 100 mg/ml
Раствор Рингера лактата 1228
совместимый
Инъекция Heparin sodium 1 UI/ml
Инъекция Procainamide hydrochloride 100 mg/ml
Натрия хлорид 0,9% 1228
совместимый
Инъекция Heparin sodium 1 UI/ml
Инъекция Prochlorperazine edysilate 5 mg/ml
Натрия хлорид 0,9% 1228
совместимый
Инъекция Heparin sodium 3 >> 20 UI/ml
Парентеральное питание (бинарная смесь) 791
совместимый
Инъекция Heparin sodium 100 UI/ml
Парентеральное питание (бинарная смесь) 301
совместимый
Инъекция Heparin sodium 500 UI/ml
Парентеральное питание (бинарная смесь) 939
совместимый
Инъекция Heparin sodium 1 UI/ml
Инъекция Prochlorperazine edysilate 5 mg/ml
Раствор Рингера лактата 1228
совместимый
Инъекция Heparin sodium 1 UI/ml
Инъекция Promethazine hydrochloride 50 mg/ml
Натрия хлорид 0,9% 1228
совместимый
Инъекция Heparin sodium 1 UI/ml
Инъекция Promethazine hydrochloride 50 mg/ml
Раствор Рингера лактата 1228
совместимый
Инъекция Heparin sodium 1 UI/ml
Инъекция Propranolol hydrochloride 1 mg/ml
Раствор Рингера лактата 1228
совместимый
Инъекция Heparin sodium 1 UI/ml
Инъекция Propranolol hydrochloride 1 mg/ml
Натрия хлорид 0,9% 1228
совместимый
Инъекция Heparin sodium 50 UI/ml
Инъекция Ranitidine hydrochloride 0,5 mg/ml
Глюкоза 5% 396
совместимый
Инъекция Heparin sodium 10 & 40 UI/ml
Инъекция Ranitidine hydrochloride 0.05 & 2 mg/ml
Натрия хлорид 0,9% 214
совместимый
Инъекция Heparin sodium 50 UI/ml
Инъекция Ranitidine hydrochloride 1 mg/ml
Нет 317
совместимый
Инъекция Heparin sodium 1000 UI/ml
Инъекция Remdesivir 1 mg/ml
Натрия хлорид 0,9% 4768
совместимый
Инъекция Heparin sodium 100 UI/ml
Инъекция Remifentanil hydrochloride 25 & 250 µg/ml
Натрия хлорид 0,9% 59
совместимый
Инъекция Heparin sodium 500 UI/ml
Инъекция Remifentanil hydrochloride 100 µg/ml
Натрия хлорид 0,9% 3823
совместимый
Инъекция Heparin sodium 500 UI/ml
NaHCO3 150
совместимый
Инъекция Heparin sodium 1.4 UI/ml
Инъекция Piperacillin sodium / tazobactam 1.38/0.1725 mg/ml
Physionéal® 2.27 (Baxter) 4180
совместимый
Инъекция Heparin sodium 1.4 UI/ml
Инъекция Piperacillin sodium / tazobactam 1.38/0.1725 mg/ml
Physionéal® 1.36 (Baxter) 4180
совместимый
Инъекция Heparin sodium 0.5 UI/ml
Инъекция Piperacillin sodium / tazobactam 0.5/0.0625 mg/ml
Dianéal® 1.5% glucose (Baxter) 4180
совместимый
Инъекция Heparin sodium 1.4 UI/ml
Инъекция Piperacillin sodium / tazobactam 1.38/0.1725 mg/ml
Physionéal® 3.86 (Baxter) 4180
совместимый
Инъекция Heparin sodium 100 UI/ml
Инъекция Piperacillin sodium / tazobactam 40/5 mg/ml
Глюкоза 5% 81
совместимый
Инъекция Heparin sodium 0.5 UI/ml
Инъекция Piperacillin sodium / tazobactam 0.5/0.0625 mg/ml
Extraneal® (Baxter) 4180
совместимый
Инъекция Heparin sodium 500 UI/ml
Инъекция Potassium chloride 10 mEq/l
Натрия хлорид 0,9% 3823
совместимый
Инъекция Heparin sodium 58,34 UI/ml
Инъекция Potassium chloride 1250 mEq/l
Глюкоза 5% 1289
совместимый
Инъекция Heparin sodium
Инъекция Potassium phosphate
3781
совместимый
Инъекция Heparin sodium 1 UI/ml
Инъекция Procainamide hydrochloride 100 mg/ml
Глюкоза 5% 1228
совместимый
Инъекция Heparin sodium 1 UI/ml
Инъекция Prochlorperazine edysilate 5 mg/ml
Глюкоза 5% 1228
совместимый
Инъекция Heparin sodium 1 UI/ml
Инъекция Promethazine hydrochloride 50 mg/ml
Глюкоза 5% 1228
Неопределенная несовместимость несовместимый
Инъекция Heparin sodium
Инъекция Promethazine hydrochloride
3540
Нестабильность эмульсии через 1 час. несовместимый
Инъекция Heparin sodium 1000 UI/ml
Инъекция Propofol
660
совместимый
Инъекция Heparin sodium 100 UI/ml
Инъекция Propofol 10 mg/ml
Нет 300
совместимый
Инъекция Heparin sodium 1 UI/ml
Инъекция Propranolol hydrochloride 1 mg/ml
Глюкоза 5% 1228
совместимый
Инъекция Heparin sodium 100 UI/ml
Инъекция Ranitidine hydrochloride 1 mg/ml
314
совместимый
Инъекция Heparin sodium 10 & 40 UI/ml
Инъекция Ranitidine hydrochloride 0.05 & 2 mg/ml
Глюкоза 5% 214
совместимый
Инъекция Heparin sodium 416.7 UI/ml
Инъекция Remifentanil hydrochloride 120 µg/ml
Глюкоза 5% 3294
совместимый
Инъекция Heparin sodium 416.7 UI/ml
Инъекция Remifentanil hydrochloride 120 µg/ml
Глюкоза 5% 3176
Неопределенная несовместимость несовместимый
Инъекция Heparin sodium
Инъекция Reteplase
2212
совместимый
Инъекция Heparin sodium 20,458 >> 28,000 UI/ml
Парентеральное питание (с липидами) 1868
Неопределенная несовместимость несовместимый
Инъекция Heparin sodium
Инъекция Reteplase
3540
совместимый
Инъекция Heparin sodium 1000 UI/ml
Инъекция Salbutamol sulfate 1 mg/ml
Нет 3216
совместимый
Инъекция Heparin sodium 100 UI/ml
Инъекция Sargramostim 6 §15 µg/ml
Натрия хлорид 0,9% 891
совместимый
Инъекция Heparin sodium 100 UI/ml
Инъекция Sargramostim 10 µg/ml
Натрия хлорид 0,9% 335
совместимый
Инъекция Heparin sodium 1 UI/ml
Инъекция Scopolamine hydrobromide 0.86 mg/ml
Натрия хлорид 0,9% 1228
совместимый
Инъекция Heparin sodium 1 UI/ml
Инъекция Scopolamine hydrobromide 0.86 mg/ml
Раствор Рингера лактата 1228
совместимый
Инъекция Heparin sodium 1 UI/ml
Инъекция Scopolamine hydrobromide 0.86 mg/ml
Глюкоза 5% 1228
совместимый
Инъекция Heparin sodium 100 UI/ml
Инъекция Sildenafil citrate 0,6 mg/ml
Глюкоза 5% 4845
совместимый
Инъекция Heparin sodium 100 UI/ml
Инъекция Sildenafil citrate 0,06 mg/ml
Глюкоза 5% 4845
совместимый
Инъекция Heparin sodium 1 UI/ml
Инъекция Sildenafil citrate 0,4 mg/ml
Глюкоза 5% 3923
совместимый
Инъекция Heparin sodium 2 UI/ml
Инъекция Sildenafil citrate 0,6 mg/ml
Глюкоза 5% 4845
совместимый
Инъекция Heparin sodium
Натрия хлорид 0,9% 3540
Немедленная нестабильность эмульсии несовместимый
Инъекция Heparin sodium 100 UI/ml
Парентеральное питание (с липидами) 132
Немедленная мутность несовместимый
Инъекция Heparin sodium 100 UI/ml
Инъекция Sildenafil citrate 0,6 mg/ml
Глюкоза 5% 4845
совместимый
Инъекция Heparin sodium 500 UI/ml
Инъекция Sodium bicarbonate 84 mg/ml
Натрия хлорид 0,9% 3823
совместимый
Инъекция Heparin sodium
Инъекция Sodium bicarbonate
3466
совместимый
Инъекция Heparin sodium 500 UI/ml
Инъекция Sodium bicarbonate 14 mg/ml
Нет 150
совместимый
Инъекция Heparin sodium 500 UI/ml
Инъекция Sodium bicarbonate 84 mg/ml
Нет 3212
совместимый
Инъекция Heparin sodium 208 UI/ml
Инъекция Spiramycine adipate 0.0625 MUI/ml
Натрия хлорид 0,9% 4254
совместимый
Инъекция Heparin sodium 100 UI/ml
Инъекция Streptokinase 30000 UI/ml
Глюкоза 5% 92
Неопределенная несовместимость несовместимый
Инъекция Heparin sodium
Инъекция Streptomycin sulfate
3540
совместимый
Инъекция Heparin sodium 416.7 UI/ml
Инъекция Sufentanil citrate 0.005 mg/ml
Глюкоза 5% 3294
совместимый
Инъекция Heparin sodium 1000 UI/ml
Инъекция Sugammadex 100 mg/ml
Нет 3372
совместимый
Инъекция Heparin sodium 10 UI/ml
Инъекция Tacrolimus 1000 µg/ml
Натрия хлорид 0,9% 479
совместимый
Инъекция Heparin sodium 1000 UI/ml
Раствор Рингера лактата 4603
совместимый
Инъекция Heparin sodium 1000 UI/ml
Инъекция Sulbactam/durlobactam 15/15 mg/ml
Натрия хлорид 0,9% 4801
совместимый
Инъекция Heparin sodium 1000 UI/ml
Инъекция Tedizolid phosphate 0.8 mg/ml
Натрия хлорид 0,9% 3827
совместимый
Инъекция Heparin sodium 10 >> 10000 UI/ml
Инъекция Teicoplanine 0.02 >> 10 mg/ml
Натрия хлорид 0,9% 2057
Немедленная мутность несовместимый
Инъекция Heparin sodium 1000 UI/ml
Инъекция Telavancin hydrochloride 7,5 mg/ml
Глюкоза 5% 3254
Немедленная мутность несовместимый
Инъекция Heparin sodium 1000 UI/ml
Инъекция Telavancin hydrochloride 7,5 mg/ml
Натрия хлорид 0,9% 3254
совместимый
Инъекция Heparin sodium 1000 UI/ml
Инъекция Telavancin hydrochloride 7.5 mg/ml
Раствор Рингера лактата 3254
Немедленные осадки несовместимый
Инъекция Heparin sodium 1000 UI/ml
Инъекция Thiopental sodium 25 mg/ml
Натрия хлорид 0,9% 3767
Немедленная нестабильность эмульсии несовместимый
Инъекция Heparin sodium 1 UI/ml
Парентеральное питание (с липидами) 1391
совместимый
Инъекция Heparin sodium 100 UI/ml
Инъекция Teniposide 0.1 mg/ml
Глюкоза 5% 905
совместимый
Инъекция Heparin sodium 50 UI/ml
Инъекция Theophylline 4 mg/ml
Нет 317
совместимый
Инъекция Heparin sodium 100 UI/ml
Инъекция Thiopental sodium 25 mg/ml
314
Немедленная нестабильность эмульсии несовместимый
Инъекция Heparin sodium 100 UI/ml
Парентеральное питание (с липидами) 1415
совместимый
Инъекция Heparin sodium 500 UI/ml
Инъекция Thiopental sodium 60 mg/ml
Натрия хлорид 0,9% 3823
совместимый
Инъекция Heparin sodium 100 UI/ml
Инъекция Thiotepa 1 mg/ml
Глюкоза 5% 249
совместимый
Инъекция Heparin sodium 50 UI/ml
Инъекция Ticarcillin / clavulanic acid 31 mg/ml
Нет 317
совместимый
Инъекция Heparin sodium 500 UI/ml
Инъекция Tirofiban 250 µg/ml
Натрия хлорид 0,9% 3823
совместимый
Инъекция Heparin sodium 40 & 100 UI/ml
Инъекция Tirofiban 50 µg/ml
Натрия хлорид 0,9% 1420
совместимый
Инъекция Heparin sodium
Глюкоза 5% 3540
совместимый
Инъекция Heparin sodium
Инъекция Tirofiban
1512
совместимый
Инъекция Heparin sodium 40 & 100 UI/ml
Инъекция Tirofiban 50 µg/ml
Глюкоза 5% 1420
Неопределенная несовместимость несовместимый
Инъекция Heparin sodium 50 UI/ml
Инъекция Tobramycin sulfate 0.8 mg/ml
Нет 317
Неопределенная несовместимость несовместимый
Инъекция Heparin sodium
Инъекция Tobramycin sulfate
3540
совместимый
Инъекция Heparin sodium
Инъекция Tranexamic acid
5016
Неопределенная несовместимость несовместимый
Инъекция Heparin sodium
Инъекция Triflupromazine hydrochloride
3540
совместимый
Инъекция Heparin sodium 500 UI/ml
Инъекция Urapidil 5 mg/ml
Натрия хлорид 0,9% 3823
Немедленные осадки несовместимый
Инъекция Heparin sodium 0,5 >> 14,3 UI/ml
Инъекция Vancomycin hydrochloride 6,9 >> 14,3 mg/ml
Dianéal® PD1 4.25% Глюкоза (Baxter) 2375
Неопределенная несовместимость несовместимый
Инъекция Heparin sodium
Инъекция Vancomycin hydrochloride
3588
Неопределенная несовместимость несовместимый
Инъекция Heparin sodium
Инъекция Vancomycin hydrochloride
3540
совместимый
Инъекция Heparin sodium 0,5 >> 14,3 UI/ml
Инъекция Vancomycin hydrochloride 0,015 >> 6,8 mg/ml
Dianéal® PD2 2.5% glucose (Baxter) 2375
Немедленные осадки несовместимый
Инъекция Heparin sodium 0,5 >> 14,3 UI/ml
Инъекция Vancomycin hydrochloride 6,9 >> 14,3 mg/ml
Dianéal® PD2 2.5% glucose (Baxter) 2375
совместимый
Инъекция Heparin sodium 10 UI/ml
Инъекция Vancomycin hydrochloride 0.025 mg/ml
Вода для инъекций 3125
совместимый
Инъекция Heparin sodium 0,5 >> 14,3 UI/ml
Инъекция Vancomycin hydrochloride 0,015 >> 6,8 mg/ml
Dianéal® PD1 4.25% Глюкоза (Baxter) 2375
Неопределенная несовместимость несовместимый
Инъекция Heparin sodium 50 UI/ml
Инъекция Vancomycin hydrochloride 6.6 mg/ml
Нет 317
совместимый
Инъекция Heparin sodium 100 UI/ml
Инъекция Vancomycin hydrochloride 0.025 mg/ml
Натрия хлорид 0,9% 1414
совместимый
Инъекция Heparin sodium 10 UI/ml
Инъекция Vancomycin hydrochloride 2 mg/ml
Натрия хлорид 0,9% 2037
Немедленные осадки несовместимый
Инъекция Heparin sodium 100 UI/ml
Инъекция Vancomycin hydrochloride 10 mg/ml
Парентеральное питание (бинарная смесь) 132
совместимый
Инъекция Heparin sodium 5000 UI/ml
Инъекция Vancomycin hydrochloride 2.5 mg/ml
Натрия хлорид 0,9% 2037
совместимый
Инъекция Heparin sodium 100 UI/ml
Инъекция Vancomycin hydrochloride 0.025 mg/ml
Натрия хлорид 0,9% 895
совместимый
Инъекция Heparin sodium 100 UI/ml
Инъекция Vasopressin 2 & 4 UI/ml
Натрия хлорид 0,9% 1801
совместимый
Инъекция Heparin sodium 100 UI/ml
Инъекция Vecuronium bromide 1 mg/ml
314
совместимый
Инъекция Heparin sodium 40 UI/ml
Инъекция Vecuronium bromide 0.1 mg/ml
Глюкоза 5% 402
совместимый
Инъекция Heparin sodium 20 UI/ml
Инъекция Verapamil hydrochloride 0.08 mg/ml
Натрия хлорид 0,9% 1057
совместимый
Инъекция Heparin sodium 20 UI/ml
Инъекция Verapamil hydrochloride 0.08 mg/ml
Глюкоза 5% 1057
Неопределенная несовместимость несовместимый
Инъекция Heparin sodium
Инъекция Vinblastine sulfate
3540
совместимый
Инъекция Heparin sodium 1000 UI/ml
Инъекция Vinblastine sulfate 1 mg/ml
763
совместимый
Инъекция Heparin sodium 1000 UI/ml
Инъекция Vincristine sulfate 1 mg/ml
763
совместимый
Инъекция Heparin sodium 100 UI/ml
Инъекция Vinorelbine tartrate 1 mg/ml
Натрия хлорид 0,9% 84
совместимый
Инъекция Heparin sodium 100 UI/ml
Инъекция Vinorelbine tartrate 1 mg/ml
Натрия хлорид 0,9% 1070
Немедленные осадки несовместимый
Инъекция Heparin sodium 10 & 100 UI/ml
Инъекция Vinorelbine tartrate 2 & 3 mg/ml
Натрия хлорид 0,9% 1070
совместимый
Инъекция Heparin sodium 208 UI/ml
Инъекция Voriconazole 8 mg/ml
Глюкоза 5% 4254
совместимый
Инъекция Heparin sodium 208 UI/ml
Инъекция Voriconazole 8 mg/ml
Натрия хлорид 0,9% 4254
совместимый
Инъекция Heparin sodium 100 UI/ml
Инъекция Warfarin sodium 2 mg/ml
Глюкоза 5% 315
совместимый
Инъекция Heparin sodium 100 UI/ml
Инъекция Zidovudine 4 mg/ml
Глюкоза 5% 337

  Mentions Légales