Ultimele actualizari :
18/03/2026
Anticoagulant   Heparin sodium  
Injectabil
Stabilitatea in solutie Stabilitatea in amestec Factorii care influenteaza stabilitatea Compatibilitate Microunde Bibliografie pdf
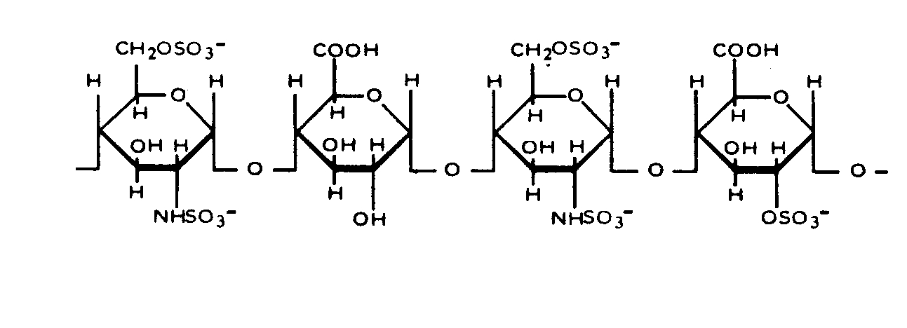
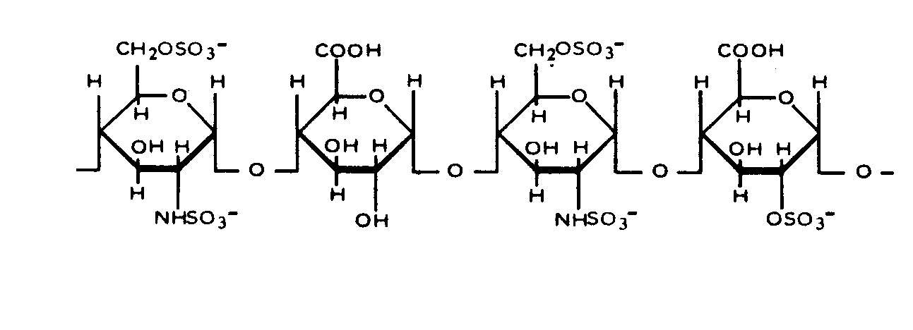
   Formula chimica  

Denumirea comerciala   Denumirea comerciala     

Trade names are indicative and excipients composition can be different depending on the country and manufacturers

Arapin Chilli
Ateroclar Italia
Clarisco Italia
Epsoclar Italia
Hepaflex Finlanda, Norvegia
Hepamax Chilli, Columbia, Ecuador
Heparin Africa de Sud, Austria, Canada, Danemarca, Elvetia, Finlanda, Grecia, Iugoslavia, Marea Britanie, Norvegia, Olanda, rusa, SUA, Suedia, Tailanda, Turcia, Ungaria
Heparine Belgia, Franta
Heparinised Australia
Heparstad Germania
Liquemin Elvetia, Turcia
Liquemine Brazilia
Monoparin Arabia Saudita
Normoparin Italia
Nuparin Ecuador
Pharepa Italia
Riveparin Argentina
Sobrius Argentina, Ecuador
Thrombophob Germania
Compatibilitate   Injectabil   Compatibilitate : Heparin sodium              
Acest ecran indică compatibilitățile sau incompatibilitățile cu, în acest caz, tipul de incompatibilitate (precipitații, schimbarea culorii, modificarea unei emulsii etc.). Compatibilitățile prezentate aici sunt în mare parte numai fizice, stabilitatea chimică a fiecărei molecule fiind rareori evaluată. Evaluarea acestor amestecuri a fost studiată pentru a lua în considerare posibilitatea administrării site-ului Y la pacient. Aceste date nu pot fi utilizate pentru prepararea în prealabil a amestecurilor în pungi sau seringi. Acest tip de informații este disponibil în ecranul „Stabilitate în amestec».
Molecula (substanta activa) Solvent Bibiografie
Compatibil
Injectabil Heparin sodium 100 UI/ml
Injectabil Aciclovir sodium 5 mg/ml
clorura de sodiu 0,9% 2335
Compatibil
Injectabil Heparin sodium 50 UI/ml
Injectabil Aciclovir sodium 5 mg/ml
Glucoza 5% 336
Compatibil
Injectabil Heparin sodium 100 UI/ml
Injectabil Aldesleukin 0.0338 MUI/ml
Glucoza 5% 36
Compatibil
Injectabil Heparin sodium 100 UI/ml
Injectabil Allopurinol sodium 3 mg/ml
clorura de sodiu 0,9% 307
Compatibil
Injectabil Heparin sodium 1 UI/ml
Injectabil Alprostadil 20 µg/ml
clorura de sodiu 0,9% 4491
Compatibil
Injectabil Heparin sodium 1 UI/ml
Injectabil Alprostadil 20 µg/ml
Glucoza 5% 4651
Precipitații după 24 de ore Incompatibil
Injectabil Heparin sodium 100 UI/ml
Injectabil Alteplase 1 mg/ml
apa pentru preparate injectabile 92
Incompatibilitate nespecificată Incompatibil
Injectabil Heparin sodium
Injectabil Alteplase
3540
Precipitații imediate Incompatibil
Injectabil Heparin sodium 40 UI/ml
Injectabil Alteplase 0.5 mg/ml
apa pentru preparate injectabile 240
Incompatibilitate nespecificată Incompatibil
Injectabil Heparin sodium
Injectabil Alteplase
3616
Compatibil
Injectabil Heparin sodium 100 UI/ml
Injectabil Amifostine 10 mg/ml
Glucoza 5% 3
Precipitații imediate Incompatibil
Injectabil Heparin sodium
Injectabil Amikacin sulfate
1022
Incompatibilitate nespecificată Incompatibil
Injectabil Heparin sodium
Injectabil Amikacin sulfate
3549
Incompatibilitate nespecificată Incompatibil
Injectabil Heparin sodium
Injectabil Amikacin sulfate
3540
Incompatibilitate nespecificată Incompatibil
Injectabil Heparin sodium 500 UI/ml
Injectabil Amiodarone hydrochloride 15 mg/ml
clorura de sodiu 0,9% 3823
Incompatibilitate nespecificată Incompatibil
Injectabil Heparin sodium
Injectabil Amiodarone hydrochloride
3540
Turbiditate imediată Incompatibil
Injectabil Heparin sodium 500 UI/ml
Injectabil Amiodarone hydrochloride 15 mg/ml
clorura de sodiu 0,9% 3463
Incompatibilitate nespecificată Incompatibil
Injectabil Heparin sodium
Injectabil Amiodarone hydrochloride
3464
Incompatibilitate nespecificată Incompatibil
Injectabil Heparin sodium 500 UI/ml
Injectabil Amiodarone hydrochloride 15 mg/ml
Glucoza 5% 3823
Turbiditate imediată Incompatibil
Injectabil Heparin sodium 500 UI/ml
Injectabil Amiodarone hydrochloride 15 mg/ml
Glucoza 5% 3463
Compatibil
Injectabil Heparin sodium 208 UI/ml
Injectabil Amoxicillin sodium 20.83 & 83.3 mg/ml
clorura de sodiu 0,9% 4254
Compatibil
Injectabil Heparin sodium 1000 UI/ml
Injectabil Amoxicillin sodium / clavulanic acid 100/10 mg/ml
3824
Compatibil
Injectabil Heparin sodium
Injectabil Ampicillin sodium
5088
Compatibil
Injectabil Heparin sodium 50 UI/ml
Injectabil Ampicillin sodium 20 mg/ml
fara 317
Compatibil
Injectabil Heparin sodium 50 UI/ml
Injectabil Ampicillin sodium - sulbactam sodium 30 mg/ml
fara 317
Precipitații imediate Incompatibil
Injectabil Heparin sodium 40 UI/ml
Injectabil Amsacrine 1 mg/ml
Glucoza 5% 253
Compatibil
Injectabil Heparin sodium 100 UI/ml
Injectabil Anidulafungin 0.5 mg/ml
Glucoza 5% 1982
Precipitații imediate Incompatibil
Injectabil Heparin sodium
Injectabil Antithymocyte globulin (rabbit)
4958
Precipitații imediate Incompatibil
Injectabil Heparin sodium 2 UI/ml
Injectabil Antithymocyte globulin (rabbit) 0,2 & 0,3 mg/ml
Glucoza 5% 1822
Compatibil
Injectabil Heparin sodium 100 UI/ml
Injectabil Antithymocyte globulin (rabbit) 0,2 & 0,3 mg/ml
Glucoza 5% 1822
Compatibil
Injectabil Heparin sodium 2 & 100 UI/ml
Injectabil Antithymocyte globulin (rabbit) 0,2 & 0,3 mg/ml
clorura de sodiu 0,9% 1822
Compatibil
Injectabil Heparin sodium 40 UI/ml
Injectabil Atracurium besylate 0.5 mg/ml
Glucoza 5% 402
Compatibil
Injectabil Heparin sodium 1 UI/ml
Injectabil Atropine sulfate 0.5 mg/ml
Glucoza 5% 1228
Compatibil
Injectabil Heparin sodium 500 UI/ml
Nutriție parenterală (cu lipide) 4507
Precipitații imediate Incompatibil
Injectabil Heparin sodium 1000 UI/ml
Injectabil Amphotericin B cholesteryl sulfate complex 0.83 mg/ml
Glucoza 5% 921
Incompatibilitate nespecificată Incompatibil
Injectabil Heparin sodium
Injectabil Ampicillin sodium
3540
Compatibil
Injectabil Heparin sodium 10 & 5000 UI/ml
Injectabil Ampicillin sodium 10 mg/ml
clorura de sodiu 0,9% 2037
Compatibil
Injectabil Heparin sodium 1 UI/ml
Injectabil Atropine sulfate 0.5 mg/ml
Solutie Ringer lactat 1228
Compatibil
Injectabil Heparin sodium 1 UI/ml
Injectabil Atropine sulfate 0.5 mg/ml
clorura de sodiu 0,9% 1228
Compatibil
Injectabil Heparin sodium 100 UI/ml
Injectabil Aztreonam 40 mg/ml
Glucoza 5% 99
Compatibil
Injectabil Heparin sodium 50 UI/ml
Injectabil Aztreonam 20 mg/ml
fara 317
Compatibil
Injectabil Heparin sodium 1 UI/ml
Injectabil Betamethasone sodium phosphate 3 mg/ml
clorura de sodiu 0,9% 1228
Compatibil
Injectabil Heparin sodium 1 UI/ml
Injectabil Betamethasone sodium phosphate 3 mg/ml
Glucoza 5% 1228
Compatibil
Injectabil Heparin sodium 1 UI/ml
Injectabil Betamethasone sodium phosphate 3 mg/ml
Solutie Ringer lactat 1228
Compatibil
Injectabil Heparin sodium 100 UI/ml
Injectabil Bivalirudin 5 mg/ml
Glucoza 5% 1713
Precipitații imediate Incompatibil
Injectabil Heparin sodium 192.3 UI/ml
Injectabil Blinatumomab 0.125 & 0.375 µg/ml
clorura de sodiu 0,9% 3976
Compatibil
Injectabil Heparin sodium 1000 UI/ml
Injectabil Caffeine 10 mg/ml
fara 3964
Compatibil
Injectabil Heparin sodium 100 UI/ml
Injectabil Caffeine 10 mg/ml
clorura de sodiu 0,9% 4837
Compatibil
Injectabil Heparin sodium 100 UI/ml
Injectabil Caffeine citrate 20 mg/ml
clorura de sodiu 0,9% 4837
Precipitații după 30 minute Incompatibil
Injectabil Heparin sodium 2 UI/ml
Injectabil Calcium chloride 20 mg/ml
Glucoza 5% 4732
Compatibil
Injectabil Heparin sodium 100 UI/ml
Injectabil Calcium chloride 20 mg/ml
Glucoza 5% 4732
Instabilitate imediată a emulsiei Incompatibil
Injectabil Heparin sodium
Injectabil Calcium chloride
Nutriție parenterală (cu lipide) 1084
Instabilitate imediată a emulsiei Incompatibil
Injectabil Heparin sodium
Injectabil Calcium gluconate
Nutriție parenterală (cu lipide) 1084
Precipitații imediate Incompatibil
Injectabil Heparin sodium 100 UI/ml
Injectabil Caspofungin acetate 0.5 mg/ml
clorura de sodiu 0,9% 2233
Precipitații imediate Incompatibil
Injectabil Heparin sodium 100 UI/ml
Injectabil Caspofungin acetate 0,7 mg/ml
clorura de sodiu 0,9% 2247
Incompatibilitate nespecificată Incompatibil
Injectabil Heparin sodium
Injectabil Cefalotin sodium
3540
Compatibil
Injectabil Heparin sodium 10 & 5000 UI/ml
Injectabil Cefazolin sodium 10 mg/ml
clorura de sodiu 0,9% 2037
Compatibil
Injectabil Heparin sodium 50 UI/ml
Injectabil Cefazolin sodium 20 mg/ml
fara 317
Compatibil
Injectabil Heparin sodium 0.667 UI/ml
Injectabil Cefazolin sodium 0.333 mg/ml
Dianéal® PD2 1.5% Glucoza (Baxter) 1979
Compatibil
Injectabil Heparin sodium 10 & 50 UI/ml
Injectabil Cefepime dihydrochloride 4 mg/ml
clorura de sodiu 0,9% 3548
Compatibil
Injectabil Heparin sodium 10 & 50 UI/ml
Injectabil Cefepime dihydrochloride 4 mg/ml
Glucoza 5% 3548
Compatibil
Injectabil Heparin sodium 1000 UI/ml
Injectabil Cefiderocol sulfate tosylate 20 mg/mL
Glucoza 5% 4528
Compatibil
Injectabil Heparin sodium 1000 UI/ml
Injectabil Cefiderocol sulfate tosylate 20 mg/mL
clorura de sodiu 0,9% 4528
Instabilitate chimică Incompatibil
Injectabil Heparin sodium 100 UI/ml
Injectabil Cefmetazole sodium 100 mg/ml
apa pentru preparate injectabile 93
Compatibil
Injectabil Heparin sodium 208 UI/ml
Injectabil Cefotaxime sodium 41.6 & 125 mg/ml
Glucoza 5% 4254
Compatibil
Injectabil Heparin sodium 208 UI/ml
Injectabil Cefotaxime sodium 41.6 & 125 mg/ml
clorura de sodiu 0,9% 4254
Compatibil
Injectabil Heparin sodium 5000 UI/ml
Injectabil Cefotaxime sodium 10 mg/ml
apa pentru preparate injectabile 3125
Compatibil
Injectabil Heparin sodium 100 UI/ml
Injectabil Ceftaroline fosamil 2,22 mg/ml
Solutie Ringer lactat 3249
Compatibil
Injectabil Heparin sodium 100 UI/ml
Injectabil Ceftaroline fosamil 2,22 mg/ml
clorura de sodiu 0,9% 3249
Compatibil
Injectabil Heparin sodium 100 UI/ml
Injectabil Ceftaroline fosamil 2,22 mg/ml
Glucoza 5% 3249
Compatibil
Injectabil Heparin sodium 0.5 UI/ml
Injectabil Ceftazidime 0.125 mg/ml
Extraneal® (Baxter) 4056
Compatibil
Injectabil Heparin sodium 0.5 UI/ml
Injectabil Ceftazidime 0.125 mg/ml
Dianéal® PD2 4.25% Glucoza (Baxter) 4056
Compatibil
Injectabil Heparin sodium 50 UI/ml
Injectabil Ceftazidime 20 mg/ml
fara 317
Compatibil
Injectabil Heparin sodium 0.5 UI/ml
Injectabil Ceftazidime 0.125 mg/ml
Dianéal® PD2 2.5% glucose (Baxter) 4056
Compatibil
Injectabil Heparin sodium 100 UI/ml
Injectabil Ceftobiprole medocaril sodium 2 mg/ml
clorura de sodiu 0,9% 2269
Compatibil
Injectabil Heparin sodium 100 UI/ml
Injectabil Ceftobiprole medocaril sodium 2 mg/ml
Glucoza 5% 2269
Compatibil
Injectabil Heparin sodium 100 UI/ml
Injectabil Ceftobiprole medocaril sodium 2 mg/ml
Solutie Ringer lactat 2269
Compatibil
Injectabil Heparin sodium 1000 UI/ml
Injectabil Ceftolozane / tazobactam 10/5 mg/ml
clorura de sodiu 0,9% 3828
Compatibil
Injectabil Heparin sodium 1000 UI/ml
Injectabil Ceftolozane / tazobactam 10/5 mg/ml
Glucoza 5% 3828
Compatibil
Injectabil Heparin sodium 50 UI/ml
Injectabil Ceftriaxone disodium 20 mg/ml
fara 317
Compatibil
Injectabil Heparin sodium 10 & 50 UI/ml
Injectabil Cefuroxime sodium
clorura de sodiu 0,9% 3687
Compatibil
Injectabil Heparin sodium 58,34 UI/ml
Injectabil Chlorpromazine hydrochloride 0,26 mg/ml
Glucoza 5% 1289
Compatibil
Injectabil Heparin sodium 1 UI/ml
Injectabil Chlorpromazine hydrochloride 10 mg/ml
clorura de sodiu 0,9% 1228
Compatibil
Injectabil Heparin sodium 1 UI/ml
Injectabil Chlorpromazine hydrochloride 10 mg/ml
Glucoza 5% 1228
Incompatibilitate nespecificată Incompatibil
Injectabil Heparin sodium
Injectabil Chlorpromazine hydrochloride
3540
Compatibil
Injectabil Heparin sodium 1 UI/ml
Injectabil Chlorpromazine hydrochloride 10 mg/ml
Solutie Ringer lactat 1228
Compatibil
Injectabil Heparin sodium 50 UI/ml
Injectabil Cimetidine hydrochloride 6 mg/ml
fara 317
Compatibil
Injectabil Heparin sodium 5000 & 10000 UI/ml
Injectabil Ciprofloxacin lactate 0.4 & 0.6 mg/ml
clorura de sodiu 0,9% 2057
Precipitații imediate Incompatibil
Injectabil Heparin sodium 10 >> 10000 UI/ml
Injectabil Ciprofloxacin lactate 1 mg/ml
clorura de sodiu 0,9% 2057
Precipitații imediate Incompatibil
Injectabil Heparin sodium 10 & 100 UI/ml
Injectabil Ciprofloxacin lactate 0.2 mg/ml
clorura de sodiu 0,9% 2057
Incompatibilitate nespecificată Incompatibil
Injectabil Heparin sodium
Injectabil Ciprofloxacin lactate
3540
Precipitații imediate Incompatibil
Injectabil Heparin sodium 10 >> 1000 UI/ml
Injectabil Ciprofloxacin lactate 0.4 & 0.6 mg/ml
clorura de sodiu 0,9% 2057
Compatibil
Injectabil Heparin sodium 1000 >> 10000 UI/ml
Injectabil Ciprofloxacin lactate 0.2 mg/ml
clorura de sodiu 0,9% 2057
Precipitații imediate Incompatibil
Injectabil Heparin sodium 10 >> 5000 UI/ml
Injectabil Ciprofloxacin lactate 0.8 mg/ml
clorura de sodiu 0,9% 2057
Compatibil
Injectabil Heparin sodium 10 >> 10000 UI/ml
Injectabil Ciprofloxacin lactate 0.1 mg/ml
clorura de sodiu 0,9% 2057
Precipitații imediate Incompatibil
Injectabil Heparin sodium 100 UI/ml
Injectabil Ciprofloxacin lactate 2 mg/ml
clorura de sodiu 0,9% 288
Incompatibilitate nespecificată Incompatibil
Injectabil Heparin sodium
Injectabil Ciprofloxacin lactate
3529
Precipitații imediate Incompatibil
Injectabil Heparin sodium 100 UI/ml
Injectabil Ciprofloxacin lactate 2 mg/ml
Glucoza 5% 288
Precipitații imediate Incompatibil
Injectabil Heparin sodium 10 >> 1000 UI/ml
Injectabil Ciprofloxacin lactate 2 mg/ml
clorura de sodiu 0,9% 289
Turbiditate imediată Incompatibil
Injectabil Heparin sodium 10 UI/ml
Injectabil Ciprofloxacin lactate 2 mg/ml
fara 1393
Compatibil
Injectabil Heparin sodium 10000 UI/ml
Injectabil Ciprofloxacin lactate 0.8 mg/ml
clorura de sodiu 0,9% 2057
Compatibil
Injectabil Heparin sodium 100 UI/ml
Injectabil Cisatracurium besylate 0.1 & 2 mg/ml
Glucoza 5% 299
Precipitații imediate Incompatibil
Injectabil Heparin sodium 100 UI/ml
Injectabil Cisatracurium besylate 5 mg/ml
Glucoza 5% 299
Schimbarea culorii Incompatibil
Injectabil Heparin sodium 500 UI/ml
Injectabil Cisatracurium besylate 5 mg/ml
clorura de sodiu 0,9% 3463
Incompatibilitate nespecificată Incompatibil
Injectabil Heparin sodium 500 UI/ml
Injectabil Cisatracurium besylate 5 mg/ml
clorura de sodiu 0,9% 3823
Incompatibilitate nespecificată Incompatibil
Injectabil Heparin sodium
Injectabil Cisatracurium besylate
3540
Compatibil
Injectabil Heparin sodium 100 UI/ml
Injectabil Cladribine 0.5 mg/ml
NaCl 0,9% + agent antibacterian 1496
Compatibil
Injectabil Heparin sodium 100 UI/ml
Injectabil Cladribine 0.015 mg/ml
clorura de sodiu 0,9% 1496
Compatibil
Injectabil Heparin sodium 50 UI/ml
Injectabil Clindamycin phosphate 12 mg/ml
fara 317
Compatibil
Injectabil Heparin sodium 50 UI/ml
Injectabil Clonidine hydrochloride 0.0075 mg/ml
clorura de sodiu 0,9% 1506
Compatibil
Injectabil Heparin sodium 50 UI/ml
Injectabil Clonidine hydrochloride 0.0075 mg/ml
Glucoza 5% 1506
Compatibil
Injectabil Heparin sodium 100 UI/ml
Injectabil Cloxacillin sodium 100 mg/ml
apa pentru preparate injectabile 3012
Precipitații după 4 ore Incompatibil
Injectabil Heparin sodium 208 UI/ml
Injectabil Co-trimoxazole 3.2/0.64 & 80/16 mg/ml
clorura de sodiu 0,9% 4254
Precipitații după 4 ore Incompatibil
Injectabil Heparin sodium 208 UI/ml
Injectabil Co-trimoxazole 3.2/0.64 & 80/16 mg/ml
Glucoza 5% 4254
Compatibil
Injectabil Heparin sodium 1 UI/ml
Injectabil Cyanocobalamine 0.1 mg/ml
Solutie Ringer lactat 1228
Compatibil
Injectabil Heparin sodium 1 UI/ml
Injectabil Cyanocobalamine 0.1 mg/ml
Glucoza 5% 1228
Compatibil
Injectabil Heparin sodium 1 UI/ml
Injectabil Cyanocobalamine 0.1 mg/ml
clorura de sodiu 0,9% 1228
Incompatibilitate nespecificată Incompatibil
Injectabil Heparin sodium
Injectabil Cytarabine
3540
Incompatibilitate nespecificată Incompatibil
Injectabil Heparin sodium
Injectabil Cytarabine
3580
Incompatibilitate nespecificată Incompatibil
Injectabil Heparin sodium
Injectabil Dacarbazine
3605
Precipitații imediate Incompatibil
Injectabil Heparin sodium 100 UI/ml
Injectabil Dacarbazine 25 mg/ml
clorura de sodiu 0,9% 860
Incompatibilitate nespecificată Incompatibil
Injectabil Heparin sodium
Injectabil Dacarbazine
3267
Incompatibilitate nespecificată Incompatibil
Injectabil Heparin sodium
Injectabil Dacarbazine
3540
Compatibil
Injectabil Heparin sodium
Injectabil Daptomycin
2271
Compatibil
Injectabil Heparin sodium 98 UI/ml
Injectabil Daptomycin 19,6 mg/ml
clorura de sodiu 0,9% 1937
Precipitații imediate Incompatibil
Injectabil Heparin sodium
Injectabil Daunorubicin hydrochloride
3604
Incompatibilitate nespecificată Incompatibil
Injectabil Heparin sodium
Injectabil Daunorubicin hydrochloride
3540
Precipitații imediate Incompatibil
Injectabil Heparin sodium
Injectabil Daunorubicin hydrochloride liposome
3577
Turbiditate imediată Incompatibil
Injectabil Heparin sodium
Injectabil Daunorubicin/cytarabine liposomale 0,4 mg/mL
clorura de sodiu 0,9% 4654
Compatibil
Injectabil Heparin sodium 373 UI/ml
Injectabil Defibrotide 8 mg/ml
clorura de sodiu 0,9% 3728
Compatibil
Injectabil Heparin sodium 50 UI/ml
Injectabil Dexamethasone sodium phosphate 0.08 mg/ml
fara 317
Compatibil
Injectabil Heparin sodium
Injectabil Dexketoprofen
4981
Compatibil
Injectabil Heparin sodium 100 UI/ml
Injectabil Dexmedetomidine 4 µg/ml
clorura de sodiu 0,9% 1712
Compatibil
Injectabil Heparin sodium 10000 UI/ml
Injectabil Diatrizoate meglumine 283 mg/ml
fara 1085
Incompatibilitate nespecificată Incompatibil
Injectabil Heparin sodium
Injectabil Diazepam
3540
Compatibil
Injectabil Heparin sodium 100 UI/ml
Injectabil Diltiazem hydrochloride 1 mg/ml
314
Precipitații imediate Incompatibil
Injectabil Heparin sodium 20000 UI/ml
Injectabil Diltiazem hydrochloride 5 mg/ml
clorura de sodiu 0,9% 198
Compatibil
Injectabil Heparin sodium 100 UI/ml
Injectabil Diltiazem hydrochloride 1 mg/ml
Glucoza 5% 4556
Turbiditate imediată Incompatibil
Injectabil Heparin sodium 100 UI/ml
Injectabil Diltiazem hydrochloride 5 mg/ml
Glucoza 5% 4556
Compatibil
Injectabil Heparin sodium 20000 UI/ml
Injectabil Diltiazem hydrochloride 1 mg/ml
clorura de sodiu 0,9% 198
Compatibil
Injectabil Heparin sodium
Injectabil Diltiazem hydrochloride
5090
Compatibil
Injectabil Heparin sodium 80 >> 10000 UI/ml
Injectabil Diltiazem hydrochloride 1 & 5 mg/ml
clorura de sodiu 0,9% 198
Precipitații imediate Incompatibil
Injectabil Heparin sodium
Injectabil Dimenhydrinate
2087
Compatibil
Injectabil Heparin sodium 1 UI/ml
Injectabil Diphenhydramine hydrochloride 50 mg/ml
clorura de sodiu 0,9% 1228
Compatibil
Injectabil Heparin sodium 1 UI/ml
Injectabil Diphenhydramine hydrochloride 50 mg/ml
Glucoza 5% 1228
Compatibil
Injectabil Heparin sodium 1 UI/ml
Injectabil Diphenhydramine hydrochloride 50 mg/ml
Solutie Ringer lactat 1228
Precipitații după 4 ore Incompatibil
Injectabil Heparin sodium 100 UI/ml
Injectabil Dobutamine hydrochloride 4 mg/ml
314
Compatibil
Injectabil Heparin sodium 40 UI/ml
Injectabil Dobutamine hydrochloride 1 mg/ml
clorura de sodiu 0,9% 1058
Compatibil
Injectabil Heparin sodium 100 UI/ml
Injectabil Dobutamine hydrochloride 2 mg/ml
Glucoza 5% 1041
Precipitații imediate Incompatibil
Injectabil Heparin sodium 100 UI/ml
Injectabil Dobutamine hydrochloride 2 mg/ml
Glucoza 5% 1352
Turbiditate imediată Incompatibil
Injectabil Heparin sodium 100 UI/ml
Injectabil Dobutamine hydrochloride 4 mg/ml
Glucoza 5% 295
Precipitații imediate Incompatibil
Injectabil Heparin sodium
Injectabil Dobutamine hydrochloride
3540
Schimbarea culorii după 6 ore Incompatibil
Injectabil Heparin sodium 10000 UI/ml
Injectabil Dobutamine hydrochloride 2 mg/ml
Glucoza 5% 1041
Compatibil
Injectabil Heparin sodium 40 UI/ml
Injectabil Dobutamine hydrochloride 1 mg/ml
Glucoza 5% 1058
Compatibil
Injectabil Heparin sodium 50 UI/ml
Injectabil Dobutamine hydrochloride 1 mg/ml
fara 317
Compatibil
Injectabil Heparin sodium 100 UI/ml
Injectabil Docetaxel 0.9 mg/ml
Glucoza 5% 1754
Compatibil
Injectabil Heparin sodium 1 UI/ml
Injectabil Dopamine hydrochloride 40 mg/ml
clorura de sodiu 0,9% 1228
Compatibil
Injectabil Heparin sodium 50 UI/ml
Injectabil Dopamine hydrochloride 1.6 mg/ml
fara 317
Compatibil
Injectabil Heparin sodium 100 UI/ml
Injectabil Dopamine hydrochloride 3.2 mg/ml
314
Compatibil
Injectabil Heparin sodium 1 UI/ml
Injectabil Dopamine hydrochloride 40 mg/ml
Solutie Ringer lactat 1228
Compatibil
Injectabil Heparin sodium 200 UI/ml
Injectabil Dopamine hydrochloride 0.8 mg/ml
Glucoza 5% 738
Compatibil
Injectabil Heparin sodium 1 UI/ml
Injectabil Dopamine hydrochloride 40 mg/ml
Glucoza 5% 1228
Compatibil
Injectabil Heparin sodium 100 UI/ml
Injectabil Dopamine hydrochloride 3,2 mg/ml
4389
Incompatibilitate nespecificată Incompatibil
Injectabil Heparin sodium 187 UI/ml
Injectabil Dopamine hydrochloride 1,7 >> 3,4 mg/ml
Glucoza 5% 377
Compatibil
Injectabil Heparin sodium 100 UI/ml
Injectabil Doripenem 5 mg/ml
clorura de sodiu 0,9% 2262
Compatibil
Injectabil Heparin sodium 100 UI/ml
Injectabil Doripenem 5 mg/ml
Glucoza 5% 2262
Compatibil
Injectabil Heparin sodium 1 UI/ml
Injectabil Doxapram hydrochloride 2 mg/ml
Glucoza 5% 1802
Incompatibilitate nespecificată Incompatibil
Injectabil Heparin sodium
Injectabil Doxorubicin hydrochloride
3540
Precipitații imediate Incompatibil
Injectabil Heparin sodium
Injectabil Doxorubicin hydrochloride
3645
Precipitații imediate Incompatibil
Injectabil Heparin sodium 1000 UI/ml
Injectabil Doxorubicin hydrochloride 2 mg/ml
763
Compatibil
Injectabil Heparin sodium 1000 UI/ml
Injectabil Doxorubicin hydrochloride liposome peg 0.4 mg/ml
Glucoza 5% 251
Incompatibilitate nespecificată Incompatibil
Injectabil Heparin sodium 50 UI/ml
Injectabil Doxycycline hyclate 1 mg/ml
fara 317
Precipitații imediate Incompatibil
Injectabil Heparin sodium 1000 UI/ml
Injectabil Droperidol 2,5 mg/ml
763
Compatibil
Injectabil Heparin sodium 1 UI/ml
Injectabil Droperidol 1.25 mg/ml
clorura de sodiu 0,9% 1228
Compatibil
Injectabil Heparin sodium 1 UI/ml
Injectabil Droperidol 1.25 mg/ml
Solutie Ringer lactat 1228
Compatibil
Injectabil Heparin sodium 1 UI/ml
Injectabil Droperidol 1.25 mg/ml
Glucoza 5% 1228
Incompatibilitate nespecificată Incompatibil
Injectabil Heparin sodium
Injectabil Droperidol
3540
Compatibil
Injectabil Heparin sodium 45,45 UI/ml
Injectabil Enalaprilate 0,011 mg/ml
Glucoza 5% 963
Compatibil
Injectabil Heparin sodium 40 UI/ml
Injectabil Enalaprilate 0.05 mg/ml
clorura de sodiu 0,9% 1315
Compatibil
Injectabil Heparin sodium 50 UI/ml
Injectabil Enalaprilate 0.0125 mg/ml
clorura de sodiu 0,9% 1703
Compatibil
Injectabil Heparin sodium 1 UI/ml
Injectabil Epinephrine hydrochloride 100 µg/ml
Solutie Ringer lactat 1228
Compatibil
Injectabil Heparin sodium 100 UI/ml
Injectabil Epinephrine hydrochloride 20 µg/ml
314
Compatibil
Injectabil Heparin sodium 1 UI/ml
Injectabil Epinephrine hydrochloride 100 µg/ml
clorura de sodiu 0,9% 1228
Compatibil
Injectabil Heparin sodium 1 UI/ml
Injectabil Epinephrine hydrochloride 100 µg/ml
Glucoza 5% 1228
Incompatibilitate nespecificată Incompatibil
Injectabil Heparin sodium
Injectabil Epirubicin hydrochloride
3632
Compatibil
Injectabil Heparin sodium
Injectabil Eptifibatide
3934
Compatibil
Injectabil Heparin sodium 1000 UI/ml
Injectabil Eravacycline 0,6 mg/ml
clorura de sodiu 0,9% 4434
Turbiditate imediată Incompatibil
Injectabil Heparin sodium 1 UI/ml
Injectabil Ergotamine tartrate 0.5 mg/ml
clorura de sodiu 0,9% 1228
Precipitații după 4 ore Incompatibil
Injectabil Heparin sodium 1 UI/ml
Injectabil Ergotamine tartrate 0.5 mg/ml
Solutie Ringer lactat 1228
Precipitații după 4 ore Incompatibil
Injectabil Heparin sodium 1 UI/ml
Injectabil Ergotamine tartrate 0.5 mg/ml
Glucoza 5% 1228
Compatibil
Injectabil Heparin sodium 50 & 100 UI/ml
Injectabil Ertapenem 10 & 20 mg/ml
clorura de sodiu 0,9% 1906
Compatibil
Injectabil Heparin sodium 50 UI/ml
Injectabil Erythromycin lactobionate 3.3 mg/ml
fara 317
Incompatibilitate nespecificată Incompatibil
Injectabil Heparin sodium
Injectabil Erythromycin lactobionate
3674
Incompatibilitate nespecificată Incompatibil
Injectabil Heparin sodium
Injectabil Erythromycin lactobionate
3540
Compatibil
Injectabil Heparin sodium 50 UI/ml
Injectabil Esmolol hydrochloride 6 mg/ml
Glucoza 5% 174
Compatibil
Injectabil Heparin sodium 40 UI/ml
Injectabil Esmolol hydrochloride 10 mg/ml
Glucoza 5% 384
Compatibil
Injectabil Heparin sodium 500 UI/ml
Injectabil Esmolol hydrochloride 10 mg/ml
clorura de sodiu 0,9% 3823
Precipitații imediate Incompatibil
Injectabil Heparin sodium 1000 UI/ml
Injectabil Ethanol 70 %
apa ppi+ agent antibacterian 2221
Precipitații imediate Incompatibil
Injectabil Heparin sodium 1000 UI/ml
Injectabil Ethanol 70 %
apa pentru preparate injectabile 2221
Precipitații după 1 oră Incompatibil
Injectabil Heparin sodium 10 UI/ml
Injectabil Ethanol 70 %
apa ppi+ agent antibacterian 2221
Precipitații imediate Incompatibil
Injectabil Heparin sodium 10 UI/ml
Injectabil Ethanol 70 %
apa pentru preparate injectabile 2221
Compatibil
Injectabil Heparin sodium 100 UI/ml
Injectabil Etoposide phosphate 5 mg/ml
Glucoza 5% 1410
Compatibil
Injectabil Heparin sodium 40 UI/ml
Injectabil Famotidine
Glucoza 5% 397
Compatibil
Injectabil Heparin sodium 50 UI/ml
Injectabil Famotidine 0.2 mg/ml
Glucoza 5% 398
Compatibil
Injectabil Heparin sodium 40 UI/ml
Injectabil Famotidine 2 mg/ml
clorura de sodiu 0,9% 215
Compatibil
Injectabil Heparin sodium 100 UI/ml
Injectabil Fenoldopam mesylate 80 µg/ml
clorura de sodiu 0,9% 1803
Compatibil
Injectabil Heparin sodium 100 UI/ml
Injectabil Fentanyl citrate 50 µg/ml
4389
Compatibil
Injectabil Heparin sodium 1 UI/ml
Injectabil Fentanyl citrate 50 µg/ml
Glucoza 5% 1228
Compatibil
Injectabil Heparin sodium 1 UI/ml
Injectabil Fentanyl citrate 50 µg/ml
Solutie Ringer lactat 1228
Compatibil
Injectabil Heparin sodium 1 UI/ml
Injectabil Fentanyl citrate 50 µg/ml
clorura de sodiu 0,9% 1228
Compatibil
Injectabil Heparin sodium 100 UI/ml
Injectabil Fentanyl citrate 50 µg/ml
314
Precipitații imediate Incompatibil
Injectabil Heparin sodium 100 UI/ml
Injectabil Filgrastim 30 µg/ml
Glucoza 5% 244
Compatibil
Injectabil Heparin sodium 1000 UI/ml
Injectabil Fluconazole 2 mg/ml
clorura de sodiu 0,9% 496
Compatibil
Injectabil Heparin sodium 50 UI/ml
Injectabil Fluconazole 2 mg/ml
fara 317
Compatibil
Injectabil Heparin sodium 40 >> 1000 UI/ml
Injectabil Fludarabine phosphate 1 mg/ml
Glucoza 5% 492
Compatibil
Injectabil Heparin sodium 50 UI/ml
Injectabil Flumazenil 0,02 mg/ml
Glucoza 5% 187
Compatibil
Injectabil Heparin sodium 5 UI/ml
Injectabil Fluorouracil 0,8 mg/ml
clorura de sodiu 0,9% 156
Compatibil
Injectabil Heparin sodium 5 UI/ml
Injectabil Fluorouracil 0,8 mg/ml
Glucoza 5% 156
Compatibil
Injectabil Heparin sodium 1 UI/ml
Injectabil Fluorouracil 50 mg/ml
clorura de sodiu 0,9% 1228
Compatibil
Injectabil Heparin sodium 960 UI/ml
Injectabil Fluorouracil 24 mg/ml
Glucoza 5% 163
Compatibil
Injectabil Heparin sodium 1 UI/ml
Injectabil Fluorouracil 50 mg/ml
Glucoza 5% 1228
Compatibil
Injectabil Heparin sodium 1000 UI/ml
Injectabil Fluorouracil 50 mg/ml
763
Compatibil
Injectabil Heparin sodium 1 UI/ml
Injectabil Fluorouracil 50 mg/ml
Solutie Ringer lactat 1228
Compatibil
Injectabil Heparin sodium 1000 UI/ml
Injectabil Folinate calcium 10 mg/ml
763
Compatibil
Injectabil Heparin sodium 100 UI/ml
Injectabil Foscarnet sodium 24 mg/ml
Glucoza 5% 1135
Compatibil
Injectabil Heparin sodium 100 UI/ml
Injectabil Foscarnet sodium 24 mg/ml
clorura de sodiu 0,9% 1135
Compatibil
Injectabil Heparin sodium 1000 UI/ml
Injectabil Foscarnet sodium 24 mg/ml
fara 73
Compatibil
Injectabil Heparin sodium 1000 UI/ml
Injectabil Fosfomycin 30 mg/ml
Glucoza 5% 4055
Compatibil
Injectabil Heparin sodium 1000 UI/ml
Injectabil Fosfomycin 30 mg/ml
clorura de sodiu 0,9% 4055
Compatibil
Injectabil Heparin sodium 100 UI/ml
Injectabil Furosemide 10 mg/ml
314
Compatibil
Injectabil Heparin sodium 1 UI/ml
Injectabil Furosemide 10 mg/ml
clorura de sodiu 0,9% 1228
Precipitații după 5 ore Incompatibil
Injectabil Heparin sodium 100 UI/ml
Injectabil Furosemide 10 mg/ml
Glucoza 5% 4724
Compatibil
Injectabil Heparin sodium 20 UI/ml
Injectabil Furosemide 1 mg/ml
clorura de sodiu 0,9% 1232
Compatibil
Injectabil Heparin sodium 58,34 UI/ml
Injectabil Furosemide 5,21 mg/ml
Glucoza 5% 1289
Compatibil
Injectabil Heparin sodium
Injectabil Furosemide
3465
Compatibil
Injectabil Heparin sodium 1 UI/ml
Injectabil Furosemide 10 mg/ml
Solutie Ringer lactat 1228
Compatibil
Injectabil Heparin sodium 1000 UI/ml
Injectabil Furosemide 10 mg/ml
763
Compatibil
Injectabil Heparin sodium 10 UI/ml
Injectabil Furosemide 10 mg/ml
fara 3210
Compatibil
Injectabil Heparin sodium 500 UI/ml
Injectabil Furosemide 10 mg/ml
clorura de sodiu 0,9% 3823
Compatibil
Injectabil Heparin sodium 500 UI/ml
Injectabil Furosemide 10 mg/ml
fara 3134
Compatibil
Injectabil Heparin sodium 1 UI/ml
Injectabil Furosemide 10 mg/ml
Glucoza 5% 1228
Compatibil
Injectabil Heparin sodium 40 UI/ml
Injectabil Gallium nitrate 1 mg/ml
clorura de sodiu 0,9% 91
Compatibil
Injectabil Heparin sodium 100 UI/ml
Injectabil Gemcitabine hydrochloride 10 mg/ml
clorura de sodiu 0,9% 1423
Turbiditate imediată Incompatibil
Injectabil Heparin sodium 2500 UI/ml
Injectabil Gentamicin sulfate 3 mg/ml
4612
Incompatibilitate nespecificată Incompatibil
Injectabil Heparin sodium
Injectabil Gentamicin sulfate
3520
Incompatibilitate nespecificată Incompatibil
Injectabil Heparin sodium
Injectabil Gentamicin sulfate
3643
Precipitații imediate Incompatibil
Injectabil Heparin sodium
Injectabil Gentamicin sulfate
1022
Incompatibilitate nespecificată Incompatibil
Injectabil Heparin sodium 50 UI/ml
Injectabil Gentamicin sulfate 2 mg/ml
fara 317
Precipitații imediate Incompatibil
Injectabil Heparin sodium 10 >> 40 UI/ml
Injectabil Gentamicin sulfate 4 >> 40 mg/ml
1258
Precipitații imediate Incompatibil
Injectabil Heparin sodium 2500 UI/ml
Injectabil Gentamicin sulfate 4 & 5 mg/ml
4612
Incompatibilitate nespecificată Incompatibil
Injectabil Heparin sodium
Injectabil Gentamicin sulfate
3540
Compatibil
Injectabil Heparin sodium 2500 UI/ml
Injectabil Gentamicin sulfate 1 & 2 mg/ml
4612
Compatibil
Injectabil Heparin sodium 50 UI/ml
Injectabil Glycerophosphate disodium
clorura de sodiu 0,9% 4332
Compatibil
Injectabil Heparin sodium 100 UI/ml
Injectabil Granisetron hydrochloride 0.05 mg/ml
Glucoza 5% 182
Precipitații imediate Incompatibil
Injectabil Heparin sodium 100 & 200 UI/ml
Injectabil Haloperidol lactate 5 mg/ml
Glucoza 5% 617
Precipitații imediate Incompatibil
Injectabil Heparin sodium 100 & 200 UI/ml
Injectabil Haloperidol lactate 5 mg/ml
clorura de sodiu 0,9% 617
Compatibil
Injectabil Heparin sodium 500 UI/ml
Injectabil Haloperidol lactate 0.5 mg/ml
clorura de sodiu 0,9% 3823
Incompatibilitate nespecificată Incompatibil
Injectabil Heparin sodium
Injectabil Haloperidol lactate
3540
Compatibil
Injectabil Heparin sodium 100 UI/ml
Injectabil Hetastarch 60 mg/ml
specific de solvent 1721
Incompatibilitate nespecificată Incompatibil
Injectabil Heparin sodium
Injectabil Hyaluronidase
3617
Incompatibilitate nespecificată Incompatibil
Injectabil Heparin sodium
Injectabil Hyaluronidase
3184
Incompatibilitate nespecificată Incompatibil
Injectabil Heparin sodium
Injectabil Hyaluronidase
3540
Compatibil
Injectabil Heparin sodium 1 UI/ml
Injectabil Hydralazine hydrochloride 20 mg/ml
Glucoza 5% 1228
Compatibil
Injectabil Heparin sodium 1 UI/ml
Injectabil Hydralazine hydrochloride 20 mg/ml
Solutie Ringer lactat 1228
Compatibil
Injectabil Heparin sodium 1 UI/ml
Injectabil Hydralazine hydrochloride 20 mg/ml
clorura de sodiu 0,9% 1228
Compatibil
Injectabil Heparin sodium 100 UI/ml
Injectabil Hydrocortisone sodium succinate 125 mg/ml
clorura de sodiu 0,9% 132
Incompatibilitate nespecificată Incompatibil
Injectabil Heparin sodium
Injectabil Hydrocortisone sodium succinate
3540
Compatibil
Injectabil Heparin sodium 50 UI/ml
Injectabil Hydrocortisone sodium succinate 2 mg/ml
fara 317
Compatibil
Injectabil Heparin sodium 100 UI/ml
Injectabil Hydrocortisone sodium succinate 125 mg/ml
Glucoza 5% 132
Compatibil
Injectabil Heparin sodium
Injectabil Hydromorphone hydrochloride <12.5 mg/ml
clorura de sodiu 0,9% 66
Compatibil
Injectabil Heparin sodium 100 UI/ml
Injectabil Hydromorphone hydrochloride 1 mg/ml
314
Precipitații imediate Incompatibil
Injectabil Heparin sodium <12,5 UI/ml
Injectabil Hydromorphone hydrochloride >25 mg/ml
clorura de sodiu 0,9% 66
Compatibil
Injectabil Heparin sodium
Injectabil Hydromorphone hydrochloride <12.5 mg/ml
apa pentru preparate injectabile 66
Precipitații imediate Incompatibil
Injectabil Heparin sodium <1 UI/ml
Injectabil Hydromorphone hydrochloride >10 mg/ml
apa pentru preparate injectabile 66
Precipitații imediate Incompatibil
Injectabil Heparin sodium <12,5 UI/ml
Injectabil Hydromorphone hydrochloride >25 mg/ml
apa pentru preparate injectabile 66
Compatibil
Injectabil Heparin sodium 100 UI/ml
Injectabil Ibuprofen lysinate 10 mg/ml
apa pentru preparate injectabile 4419
Compatibil
Injectabil Heparin sodium 10 UI/ml
Injectabil Ibuprofen lysinate 10 mg/ml
apa pentru preparate injectabile 4419
Turbiditate imediată Incompatibil
Injectabil Heparin sodium 100 & 1000 UI/ml
Injectabil Idarubicin hydrochloride 1 mg/ml
clorura de sodiu 0,9% 491
Precipitații imediate Incompatibil
Injectabil Heparin sodium
Injectabil Idarubicin hydrochloride
5075
Compatibil
Injectabil Heparin sodium
Injectabil Imipenem-Cilastatin / Relebactam
4809
Compatibil
Injectabil Heparin sodium 1000 UI/ml
Injectabil Imipenem-Cilastatin / Relebactam 5 mg/ml
clorura de sodiu 0,9% 4433
Compatibil
Injectabil Heparin sodium 1000 UI/ml
Injectabil Imipenem-Cilastatin / Relebactam 5 mg/ml
Glucoza 5% 4433
Compatibil
Injectabil Heparin sodium 500 UI/ml
Injectabil Insulin 2 UI/ml
clorura de sodiu 0,9% 3823
Compatibil
Injectabil Heparin sodium 60 UI/ml
Injectabil Insulin 0.2 UI/ml
clorura de sodiu 0,9% 129
Compatibil
Injectabil Heparin sodium 50 & 400 UI/ml
Injectabil Insulin aspart 1 UI/ml
Glucoza 5% 1508
Compatibil
Injectabil Heparin sodium 50 & 400 UI/ml
Injectabil Insulin aspart 1 UI/ml
clorura de sodiu 0,9% 1508
Compatibil
Injectabil Heparin sodium 10000 UI/ml
Injectabil Iohexol 300 mg I/ml
fara 1085
Compatibil
Injectabil Heparin sodium 10000 UI/ml
Injectabil Ioxaglate 320 mg I/ml
fara 1085
Turbiditate imediată Incompatibil
Injectabil Heparin sodium 1000 UI/ml
Injectabil Isavuconazonium sulfate 1.5 mg/ml
clorura de sodiu 0,9% 3829
Turbiditate imediată Incompatibil
Injectabil Heparin sodium 1000 UI/ml
Injectabil Isavuconazonium sulfate 1.5 mg/ml
Glucoza 5% 3829
Compatibil
Injectabil Heparin sodium 1 UI/ml
Injectabil Isoprenaline hydrochloride 0.2 mg/ml
Glucoza 5% 1228
Compatibil
Injectabil Heparin sodium 1 UI/ml
Injectabil Isoprenaline hydrochloride 0.2 mg/ml
clorura de sodiu 0,9% 1228
Compatibil
Injectabil Heparin sodium 1 UI/ml
Injectabil Isoprenaline hydrochloride 0.2 mg/ml
Solutie Ringer lactat 1228
Incompatibilitate nespecificată Incompatibil
Injectabil Heparin sodium
Injectabil Kanamycin sulfate
3540
Precipitații imediate Incompatibil
Injectabil Heparin sodium 25000 UI/ml
Injectabil Ketamine hydrochloride 50 mg/ml
2109
Compatibil
Injectabil Heparin sodium 100 UI/ml
Injectabil Labetalol hydrochloride 2 mg/ml
314
Incompatibilitate nespecificată Incompatibil
Injectabil Heparin sodium 500 UI/ml
Injectabil Labetalol hydrochloride 4 mg/ml
clorura de sodiu 0,9% 3823
Incompatibilitate nespecificată Incompatibil
Injectabil Heparin sodium
Injectabil Labetalol hydrochloride
3540
Precipitații imediate Incompatibil
Injectabil Heparin sodium 100 UI/ml
Injectabil Labetalol hydrochloride 5 mg/ml
Glucoza 5% 295
Compatibil
Injectabil Heparin sodium 40 UI/ml
Injectabil Labetalol hydrochloride 1 mg/ml
Glucoza 5% 386
Compatibil
Injectabil Heparin sodium 100 UI/ml
Injectabil Lansoprazole 0.55 mg/ml
clorura de sodiu 0,9% 1625
Turbiditate în 4 ore Incompatibil
Injectabil Heparin sodium 100 UI/ml
Injectabil Levetiracetam 100 mg/ml
Glucoza 5% 4108
Turbiditate imediată Incompatibil
Injectabil Heparin sodium 208,3 UI/ml
Injectabil Levetiracetam 15 mg/ml
clorura de sodiu 0,9% 4698
Incompatibilitate nespecificată Incompatibil
Injectabil Heparin sodium
Injectabil Levofloxacine
3920
Precipitații imediate Incompatibil
Injectabil Heparin sodium 10 UI/ml
Injectabil Levofloxacine 5 mg/ml
Glucoza 5% 1072
Incompatibilitate nespecificată Incompatibil
Injectabil Heparin sodium
Injectabil Levomepromazine
3540
Compatibil
Injectabil Heparin sodium 100 UI/ml
Injectabil Levosimendan 2,5 mg/ml
Glucoza 5% 4389
Compatibil
Injectabil Heparin sodium 50 UI/ml
Injectabil Lidocaine hydrochloride 4 mg/ml
fara 317
Compatibil
Injectabil Heparin sodium 1000 UI/ml
Injectabil Linezolid 2 mg/ml
fara 1925
Compatibil
Injectabil Heparin sodium 10 >> 10000 UI/ml
Injectabil Linezolid 0.2 >> 1.92 mg/ml
clorura de sodiu 0,9% 2057
Compatibil
Injectabil Heparin sodium 417 UI/ml
Injectabil Lorazepam 0.33 mg/ml
clorura de sodiu 0,9% 186
Compatibil
Injectabil Heparin sodium 100 UI/ml
Injectabil Lorazepam 0.5 mg/ml
314
Compatibil
Injectabil Heparin sodium 1 UI/ml
Injectabil Magnesium sulfate 5 mg/ml
clorura de sodiu 0,9% 1228
Compatibil
Injectabil Heparin sodium 50 UI/ml
Injectabil Magnesium sulfate 15.6 mg/ml
clorura de sodiu 0,9% 2100
Compatibil
Injectabil Heparin sodium 1 UI/ml
Injectabil Magnesium sulfate 5 mg/ml
Solutie Ringer lactat 1228
Compatibil
Injectabil Heparin sodium 1 UI/ml
Injectabil Magnesium sulfate 5 mg/ml
Glucoza 5% 1228
Compatibil
Injectabil Heparin sodium 100 UI/ml
Injectabil Melphalan 0.1 mg/ml
clorura de sodiu 0,9% 169
Compatibil
Injectabil Heparin sodium 0.5 UI/ml
Injectabil Meropenem 0.5 mg/ml
Dianéal® 4.25% glucose (Baxter) 4180
Compatibil
Injectabil Heparin sodium 0.5 UI/ml
Injectabil Meropenem 0.5 mg/ml
Extraneal® (Baxter) 4180
Compatibil
Injectabil Heparin sodium 1000 UI/ml
Injectabil Meropenem 50 mg/ml
apa pentru preparate injectabile 4319
Compatibil
Injectabil Heparin sodium 1 UI/ml
Injectabil Meropenem 1 & 50 mg/ml
clorura de sodiu 0,9% 266
Compatibil
Injectabil Heparin sodium 0.5 UI/ml
Injectabil Meropenem 0.5 mg/ml
Dianéal® 1.5% glucose (Baxter) 4180
Compatibil
Injectabil Heparin sodium 20 UI/ml
Injectabil Meropenem 1 & 20 mg/ml
clorura de sodiu 0,9% 266
Compatibil
Injectabil Heparin sodium 0.5 UI/ml
Injectabil Meropenem 0.5 mg/ml
Dianéal® 2.5% glucose (Baxter) 4180
Compatibil
Injectabil Heparin sodium 50 UI/ml
Injectabil Methadone hydrochloride 0.2 mg/ml
Glucoza 5% 1506
Compatibil
Injectabil Heparin sodium 50 UI/ml
Injectabil Methadone hydrochloride 0.2 mg/ml
clorura de sodiu 0,9% 1506
Incompatibilitate nespecificată Incompatibil
Injectabil Heparin sodium
Injectabil Methotrexate sodium
3637
Compatibil
Injectabil Heparin sodium 1000 UI/ml
Injectabil Methotrexate sodium 25 mg/ml
763
Compatibil
Injectabil Heparin sodium 500 UI/ml
Injectabil Methotrexate sodium 30 mg/ml
clorura de sodiu 0,9% 150
Compatibil
Injectabil Heparin sodium 100 UI/ml
Injectabil Methylprednisolone sodium succinate 5 mg/ml
Glucoza 5% 132
Compatibil
Injectabil Heparin sodium 50 UI/ml
Injectabil Methylprednisolone sodium succinate 2.5 mg/ml
fara 317
Compatibil
Injectabil Heparin sodium 100 UI/ml
Injectabil Methylprednisolone sodium succinate 5 mg/ml
clorura de sodiu 0,9% 132
Compatibil
Injectabil Heparin sodium 1000 UI/ml
Injectabil Metoclopramide hydrochloride 5 mg/ml
763
Instabilitate chimică Incompatibil
Injectabil Heparin sodium 1000 UI/ml
Injectabil Metoprolol tartrate 1 mg/ml
fara 2346
Compatibil
Injectabil Heparin sodium 50 UI/ml
Injectabil Metronidazole 5 mg/ml
fara 317
Compatibil
Injectabil Heparin sodium 100 UI/ml
Injectabil Micafungin 1.5 mg/ml
clorura de sodiu 0,9% 2108
Turbiditate imediată Incompatibil
Injectabil Heparin sodium 208,3 UI/ml
Injectabil Midazolam hydrochloride 1 mg/ml
clorura de sodiu 0,9% 4698
Compatibil
Injectabil Heparin sodium 500 UI/ml
Injectabil Midazolam hydrochloride 2.1 mg/ml
clorura de sodiu 0,9% 3823
Compatibil
Injectabil Heparin sodium 417 UI/ml
Injectabil Midazolam hydrochloride 5 mg/ml
fara 186
Compatibil
Injectabil Heparin sodium 100 UI/ml
Injectabil Midazolam hydrochloride 5 mg/ml
4389
Compatibil
Injectabil Heparin sodium 100 UI/ml
Injectabil Midazolam hydrochloride 2 mg/ml
314
Compatibil
Injectabil Heparin sodium 200 UI/ml
Injectabil Milrinone lactate 0.8 mg/ml
Glucoza 5% 813
Compatibil
Injectabil Heparin sodium 100 UI/ml
Injectabil Milrinone lactate 0.2 mg/ml
314
Compatibil
Injectabil Heparin sodium 1 UI/ml
Injectabil Minocycline hydrochloride 0.2 mg/ml
Glucoza 5% 1228
Compatibil
Injectabil Heparin sodium 1 UI/ml
Injectabil Minocycline hydrochloride 0.2 mg/ml
Solutie Ringer lactat 1228
Compatibil
Injectabil Heparin sodium 1 UI/ml
Injectabil Minocycline hydrochloride 0.2 mg/ml
clorura de sodiu 0,9% 1228
Incompatibilitate nespecificată Incompatibil
Injectabil Heparin sodium
Injectabil Mitoxantrone dihydrochloride
3640
Incompatibilitate nespecificată Incompatibil
Injectabil Heparin sodium
Injectabil Morphine hydrochloride
5069
Compatibil
Injectabil Heparin sodium 100 & 200 UI/ml
Injectabil Morphine sulfate 1 >> 5 mg/ml
apa pentru preparate injectabile 341
Compatibil
Injectabil Heparin sodium 1 UI/ml
Injectabil Morphine sulfate 15 mg/ml
Solutie Ringer lactat 1228
Incompatibilitate nespecificată Incompatibil
Injectabil Heparin sodium
Injectabil Morphine sulfate
3531
Compatibil
Injectabil Heparin sodium 1 UI/ml
Injectabil Morphine sulfate 15 mg/ml
Glucoza 5% 1228
Compatibil
Injectabil Heparin sodium 1 UI/ml
Injectabil Morphine sulfate 15 mg/ml
clorura de sodiu 0,9% 1228
Compatibil
Injectabil Heparin sodium 60 UI/ml
Injectabil Morphine sulfate 1 mg/ml
clorura de sodiu 0,9% 406
Compatibil
Injectabil Heparin sodium 100 & 200 UI/ml
Injectabil Morphine sulfate 10 mg/ml
apa pentru preparate injectabile 341
Compatibil
Injectabil Heparin sodium 100 UI/ml
Injectabil Morphine sulfate 2 mg/ml
314
Instabilitate chimică Incompatibil
Injectabil Heparin sodium 100 & 200 UI/ml
Injectabil Morphine sulfate 1 >> 10 mg/ml
clorura de sodiu 0,9% 341
Compatibil
Injectabil Heparin sodium 1000 UI/ml
Injectabil N-acetylcysteine 200 mg/ml
fara 3766
Compatibil
Injectabil Heparin sodium 50 UI/ml
Injectabil Nafcillin sodium 20 mg/ml
fara 317
Compatibil
Injectabil Heparin sodium 1000 UI/ml
Injectabil Naloxone hydrochloride 0.4 mg/ml
fara 3408
Turbiditate imediată Incompatibil
Injectabil Heparin sodium 208,3 UI/ml
Injectabil Nefopam 1,7 mg/ml
clorura de sodiu 0,9% 4698
Compatibil
Injectabil Heparin sodium 1 UI/ml
Injectabil Neostigmine methylsulfate 0.5 mg/ml
Glucoza 5% 1228
Compatibil
Injectabil Heparin sodium 1 UI/ml
Injectabil Neostigmine methylsulfate 0.5 mg/ml
clorura de sodiu 0,9% 1228
Compatibil
Injectabil Heparin sodium 1 UI/ml
Injectabil Neostigmine methylsulfate 0.5 mg/ml
Solutie Ringer lactat 1228
Incompatibilitate nespecificată Incompatibil
Injectabil Heparin sodium
Injectabil Nesiritide
5048
Incompatibilitate nespecificată Incompatibil
Injectabil Heparin sodium
Injectabil Netilmicin sulfate
3540
Precipitații imediate Incompatibil
Injectabil Heparin sodium
Injectabil Netilmicin sulfate
1022
Precipitații imediate Incompatibil
Injectabil Heparin sodium 100 UI/ml
Injectabil Nicardipine hydrochloride 1 mg/ml
314
Incompatibilitate nespecificată Incompatibil
Injectabil Heparin sodium
Injectabil Nicardipine hydrochloride
3540
Compatibil
Injectabil Heparin sodium 40 UI/ml
Injectabil Nicardipine hydrochloride 0.1 mg/ml
Glucoza 5% 1490
Compatibil
Injectabil Heparin sodium 40 UI/ml
Injectabil Nicardipine hydrochloride 0.1 mg/ml
clorura de sodiu 0,9% 1490
Precipitații imediate Incompatibil
Injectabil Heparin sodium 100 UI/ml
Injectabil Nitroglycerin 1,6 >> 3,25 mg/ml
Glucoza 5% 295
Compatibil
Injectabil Heparin sodium 500 UI/ml
Injectabil Nitroglycerin 0.2 mg/ml
clorura de sodiu 0,9% 3823
Producția de bule de gaz Incompatibil
Injectabil Heparin sodium 50 UI/ml
Injectabil Nitroglycerin 0.2 mg/ml
fara 317
Compatibil
Injectabil Heparin sodium 500 UI/ml
Injectabil Nitroglycerin 0.2 mg/ml
Glucoza 5% 3823
Compatibil
Injectabil Heparin sodium 100 UI/ml
Injectabil Nitroglycerin 0.4 mg/ml
314
Compatibil
Injectabil Heparin sodium 50 UI/ml
Injectabil Nitroprusside sodium 0.2 mg/ml
fara 317
Compatibil
Injectabil Heparin sodium 100 UI/ml
Injectabil Nitroprusside sodium 0.2 mg/ml
Glucoza 5% 295
Compatibil
Injectabil Heparin sodium 100 UI/ml
Injectabil Norepinephrine bitartrate 0.128 mg/ml
314
Incompatibilitate nespecificată Incompatibil
Injectabil Heparin sodium
Injectabil Ofloxacin
3562
Compatibil
Injectabil Heparin sodium 40 UI/ml
Injectabil Ondansetron hydrochloride 1 mg/ml
clorura de sodiu 0,9% 334
Incompatibil
Injectabil Heparin sodium 200 UI/ml
Injectabil Ondansetron hydrochloride 1.6 mg/ml
1699
Turbiditate imediată Incompatibil
Injectabil Heparin sodium 100 UI/ml
Injectabil Oritavancin 0.8 >>1.2 mg/ml
Glucoza 5% 3152
Precipitații după 4 ore Incompatibil
Injectabil Heparin sodium 100 UI/ml
Injectabil Oritavancin 2 mg/ml
Glucoza 5% 3152
Compatibil
Injectabil Heparin sodium 208 UI/ml
Injectabil Ornidazole 31.25 mg/ml
clorura de sodiu 0,9% 4254
Compatibil
Injectabil Heparin sodium 1 UI/ml
Injectabil Oxacillin sodium 100 mg/ml
Glucoza 5% 1228
Compatibil
Injectabil Heparin sodium 1 UI/ml
Injectabil Oxacillin sodium 100 mg/ml
Solutie Ringer lactat 1228
Compatibil
Injectabil Heparin sodium 1 UI/ml
Injectabil Oxacillin sodium 100 mg/ml
clorura de sodiu 0,9% 1228
Compatibil
Injectabil Heparin sodium 100 UI/ml
Injectabil Oxaliplatin 0,5 mg/ml
Glucoza 5% 1662
Incompatibilitate nespecificată Incompatibil
Injectabil Heparin sodium
Injectabil Oxytetracycline hydrochloride
3540
Compatibil
Injectabil Heparin sodium 100 UI/ml
Injectabil Paclitaxel 1.2 mg/ml
Glucoza 5% 248
Compatibil
Injectabil Heparin sodium 100 UI/ml
Injectabil Palonosetron hydrochloride 50 µg/ml
Glucoza 5% 2279
Compatibil
Injectabil Heparin sodium 40 UI/ml
Injectabil Pancuronium bromide 0.05 mg/ml
Glucoza 5% 402
Precipitații după 1 oră Incompatibil
Injectabil Heparin sodium
Injectabil Pantoprazole sodium
2090
Compatibil
Injectabil Heparin sodium 208,3 UI/ml
Injectabil Paracetamol 10 mg/ml
clorura de sodiu 0,9% 4698
Compatibil
Injectabil Heparin sodium 1000 UI/ml
Injectabil Paracetamol 10 mg/ml
4742
Compatibil
Injectabil Heparin sodium 100 UI/ml
Injectabil Pemetrexed disodium 20 mg/ml
clorura de sodiu 0,9% 1953
Incompatibilitate nespecificată Incompatibil
Injectabil Heparin sodium
Injectabil Penicillin G potassium
3540
Compatibil
Injectabil Heparin sodium 50 UI/ml
Injectabil Penicillin G potassium 0.04 MUI/ml
fara 317
Incompatibilitate nespecificată Incompatibil
Injectabil Heparin sodium
Injectabil Penicillin G sodium
3540
Compatibil
Injectabil Heparin sodium 100 UI/ml
Injectabil Pentoxifyllin 5 mg/ml
clorura de sodiu 0,9% 4538
Turbiditate imediată Incompatibil
Injectabil Heparin sodium
Injectabil Pethidine hydrochloride
3525
Compatibil
Injectabil Heparin sodium 60 UI/ml
Injectabil Pethidine hydrochloride 10 mg/ml
clorura de sodiu 0,9% 406
Incompatibilitate nespecificată Incompatibil
Injectabil Heparin sodium
Injectabil Pethidine hydrochloride
3540
Precipitații imediate Incompatibil
Injectabil Heparin sodium 50 UI/ml
Injectabil Phenytoin sodium 2 mg/ml
fara 317
Compatibil
Injectabil Heparin sodium 50 UI/ml
Injectabil Piperacillin sodium 60 mg/ml
fara 317
Compatibil
Injectabil Heparin sodium 10 & 5000 UI/ml
Injectabil Piperacillin sodium 40 mg/ml
clorura de sodiu 0,9% 2037
Compatibil
Injectabil Heparin sodium 0.5 UI/ml
Injectabil Piperacillin sodium / tazobactam 0.5/0.0625 mg/ml
Dianéal® 2.5% glucose (Baxter) 4180
Compatibil
Injectabil Heparin sodium 0.5 UI/ml
Injectabil Piperacillin sodium / tazobactam 0.5/0.0625 mg/ml
Dianéal® 4.25% glucose (Baxter) 4180
Turbiditate imediată Incompatibil
Injectabil Heparin sodium 1000 UI/ml
Injectabil Plazomicin sulfate 24 mg/ml
clorura de sodiu 0,9% 4145
Incompatibilitate nespecificată Incompatibil
Injectabil Heparin sodium
Injectabil Polymyxine B
3540
Compatibil
Injectabil Heparin sodium 50 UI/ml
Injectabil Potassium chloride 200 mEq/l
fara 317
Compatibil
Injectabil Heparin sodium 1 UI/ml
Injectabil Procainamide hydrochloride 100 mg/ml
Solutie Ringer lactat 1228
Compatibil
Injectabil Heparin sodium 1 UI/ml
Injectabil Procainamide hydrochloride 100 mg/ml
clorura de sodiu 0,9% 1228
Compatibil
Injectabil Heparin sodium 1 UI/ml
Injectabil Prochlorperazine edysilate 5 mg/ml
clorura de sodiu 0,9% 1228
Compatibil
Injectabil Heparin sodium 3 >> 20 UI/ml
Nutritie parenterala (amestec binar) 791
Compatibil
Injectabil Heparin sodium 100 UI/ml
Nutritie parenterala (amestec binar) 301
Compatibil
Injectabil Heparin sodium 500 UI/ml
Nutritie parenterala (amestec binar) 939
Compatibil
Injectabil Heparin sodium 1 UI/ml
Injectabil Prochlorperazine edysilate 5 mg/ml
Solutie Ringer lactat 1228
Compatibil
Injectabil Heparin sodium 1 UI/ml
Injectabil Promethazine hydrochloride 50 mg/ml
clorura de sodiu 0,9% 1228
Compatibil
Injectabil Heparin sodium 1 UI/ml
Injectabil Promethazine hydrochloride 50 mg/ml
Solutie Ringer lactat 1228
Compatibil
Injectabil Heparin sodium 1 UI/ml
Injectabil Propranolol hydrochloride 1 mg/ml
Solutie Ringer lactat 1228
Compatibil
Injectabil Heparin sodium 1 UI/ml
Injectabil Propranolol hydrochloride 1 mg/ml
clorura de sodiu 0,9% 1228
Compatibil
Injectabil Heparin sodium 50 UI/ml
Injectabil Ranitidine hydrochloride 0,5 mg/ml
Glucoza 5% 396
Compatibil
Injectabil Heparin sodium 10 & 40 UI/ml
Injectabil Ranitidine hydrochloride 0.05 & 2 mg/ml
clorura de sodiu 0,9% 214
Compatibil
Injectabil Heparin sodium 50 UI/ml
Injectabil Ranitidine hydrochloride 1 mg/ml
fara 317
Compatibil
Injectabil Heparin sodium 1000 UI/ml
Injectabil Remdesivir 1 mg/ml
clorura de sodiu 0,9% 4768
Compatibil
Injectabil Heparin sodium 100 UI/ml
Injectabil Remifentanil hydrochloride 25 & 250 µg/ml
clorura de sodiu 0,9% 59
Compatibil
Injectabil Heparin sodium 500 UI/ml
Injectabil Remifentanil hydrochloride 100 µg/ml
clorura de sodiu 0,9% 3823
Compatibil
Injectabil Heparin sodium 500 UI/ml
NaHCO3 150
Compatibil
Injectabil Heparin sodium 1.4 UI/ml
Injectabil Piperacillin sodium / tazobactam 1.38/0.1725 mg/ml
Physionéal® 2.27 (Baxter) 4180
Compatibil
Injectabil Heparin sodium 1.4 UI/ml
Injectabil Piperacillin sodium / tazobactam 1.38/0.1725 mg/ml
Physionéal® 1.36 (Baxter) 4180
Compatibil
Injectabil Heparin sodium 0.5 UI/ml
Injectabil Piperacillin sodium / tazobactam 0.5/0.0625 mg/ml
Dianéal® 1.5% glucose (Baxter) 4180
Compatibil
Injectabil Heparin sodium 1.4 UI/ml
Injectabil Piperacillin sodium / tazobactam 1.38/0.1725 mg/ml
Physionéal® 3.86 (Baxter) 4180
Compatibil
Injectabil Heparin sodium 100 UI/ml
Injectabil Piperacillin sodium / tazobactam 40/5 mg/ml
Glucoza 5% 81
Compatibil
Injectabil Heparin sodium 0.5 UI/ml
Injectabil Piperacillin sodium / tazobactam 0.5/0.0625 mg/ml
Extraneal® (Baxter) 4180
Compatibil
Injectabil Heparin sodium 500 UI/ml
Injectabil Potassium chloride 10 mEq/l
clorura de sodiu 0,9% 3823
Compatibil
Injectabil Heparin sodium 58,34 UI/ml
Injectabil Potassium chloride 1250 mEq/l
Glucoza 5% 1289
Compatibil
Injectabil Heparin sodium
Injectabil Potassium phosphate
3781
Compatibil
Injectabil Heparin sodium 1 UI/ml
Injectabil Procainamide hydrochloride 100 mg/ml
Glucoza 5% 1228
Compatibil
Injectabil Heparin sodium 1 UI/ml
Injectabil Prochlorperazine edysilate 5 mg/ml
Glucoza 5% 1228
Compatibil
Injectabil Heparin sodium 1 UI/ml
Injectabil Promethazine hydrochloride 50 mg/ml
Glucoza 5% 1228
Incompatibilitate nespecificată Incompatibil
Injectabil Heparin sodium
Injectabil Promethazine hydrochloride
3540
Instabilitatea emulsiei după 1 oră Incompatibil
Injectabil Heparin sodium 1000 UI/ml
Injectabil Propofol
660
Compatibil
Injectabil Heparin sodium 100 UI/ml
Injectabil Propofol 10 mg/ml
fara 300
Compatibil
Injectabil Heparin sodium 1 UI/ml
Injectabil Propranolol hydrochloride 1 mg/ml
Glucoza 5% 1228
Compatibil
Injectabil Heparin sodium 100 UI/ml
Injectabil Ranitidine hydrochloride 1 mg/ml
314
Compatibil
Injectabil Heparin sodium 10 & 40 UI/ml
Injectabil Ranitidine hydrochloride 0.05 & 2 mg/ml
Glucoza 5% 214
Compatibil
Injectabil Heparin sodium 416.7 UI/ml
Injectabil Remifentanil hydrochloride 120 µg/ml
Glucoza 5% 3294
Compatibil
Injectabil Heparin sodium 416.7 UI/ml
Injectabil Remifentanil hydrochloride 120 µg/ml
Glucoza 5% 3176
Incompatibilitate nespecificată Incompatibil
Injectabil Heparin sodium
Injectabil Reteplase
2212
Compatibil
Injectabil Heparin sodium 20,458 >> 28,000 UI/ml
Nutriție parenterală (cu lipide) 1868
Incompatibilitate nespecificată Incompatibil
Injectabil Heparin sodium
Injectabil Reteplase
3540
Compatibil
Injectabil Heparin sodium 1000 UI/ml
Injectabil Salbutamol sulfate 1 mg/ml
fara 3216
Compatibil
Injectabil Heparin sodium 100 UI/ml
Injectabil Sargramostim 6 §15 µg/ml
clorura de sodiu 0,9% 891
Compatibil
Injectabil Heparin sodium 100 UI/ml
Injectabil Sargramostim 10 µg/ml
clorura de sodiu 0,9% 335
Compatibil
Injectabil Heparin sodium 1 UI/ml
Injectabil Scopolamine hydrobromide 0.86 mg/ml
clorura de sodiu 0,9% 1228
Compatibil
Injectabil Heparin sodium 1 UI/ml
Injectabil Scopolamine hydrobromide 0.86 mg/ml
Solutie Ringer lactat 1228
Compatibil
Injectabil Heparin sodium 1 UI/ml
Injectabil Scopolamine hydrobromide 0.86 mg/ml
Glucoza 5% 1228
Compatibil
Injectabil Heparin sodium 100 UI/ml
Injectabil Sildenafil citrate 0,6 mg/ml
Glucoza 5% 4845
Compatibil
Injectabil Heparin sodium 100 UI/ml
Injectabil Sildenafil citrate 0,06 mg/ml
Glucoza 5% 4845
Compatibil
Injectabil Heparin sodium 1 UI/ml
Injectabil Sildenafil citrate 0,4 mg/ml
Glucoza 5% 3923
Compatibil
Injectabil Heparin sodium 2 UI/ml
Injectabil Sildenafil citrate 0,6 mg/ml
Glucoza 5% 4845
Compatibil
Injectabil Heparin sodium
clorura de sodiu 0,9% 3540
Instabilitate imediată a emulsiei Incompatibil
Injectabil Heparin sodium 100 UI/ml
Nutriție parenterală (cu lipide) 132
Turbiditate imediată Incompatibil
Injectabil Heparin sodium 100 UI/ml
Injectabil Sildenafil citrate 0,6 mg/ml
Glucoza 5% 4845
Compatibil
Injectabil Heparin sodium 500 UI/ml
Injectabil Sodium bicarbonate 84 mg/ml
clorura de sodiu 0,9% 3823
Compatibil
Injectabil Heparin sodium
Injectabil Sodium bicarbonate
3466
Compatibil
Injectabil Heparin sodium 500 UI/ml
Injectabil Sodium bicarbonate 14 mg/ml
fara 150
Compatibil
Injectabil Heparin sodium 500 UI/ml
Injectabil Sodium bicarbonate 84 mg/ml
fara 3212
Compatibil
Injectabil Heparin sodium 208 UI/ml
Injectabil Spiramycine adipate 0.0625 MUI/ml
clorura de sodiu 0,9% 4254
Compatibil
Injectabil Heparin sodium 100 UI/ml
Injectabil Streptokinase 30000 UI/ml
Glucoza 5% 92
Incompatibilitate nespecificată Incompatibil
Injectabil Heparin sodium
Injectabil Streptomycin sulfate
3540
Compatibil
Injectabil Heparin sodium 416.7 UI/ml
Injectabil Sufentanil citrate 0.005 mg/ml
Glucoza 5% 3294
Compatibil
Injectabil Heparin sodium 1000 UI/ml
Injectabil Sugammadex 100 mg/ml
fara 3372
Compatibil
Injectabil Heparin sodium 10 UI/ml
Injectabil Tacrolimus 1000 µg/ml
clorura de sodiu 0,9% 479
Compatibil
Injectabil Heparin sodium 1000 UI/ml
Solutie Ringer lactat 4603
Compatibil
Injectabil Heparin sodium 1000 UI/ml
Injectabil Sulbactam/durlobactam 15/15 mg/ml
clorura de sodiu 0,9% 4801
Compatibil
Injectabil Heparin sodium 1000 UI/ml
Injectabil Tedizolid phosphate 0.8 mg/ml
clorura de sodiu 0,9% 3827
Compatibil
Injectabil Heparin sodium 10 >> 10000 UI/ml
Injectabil Teicoplanine 0.02 >> 10 mg/ml
clorura de sodiu 0,9% 2057
Turbiditate imediată Incompatibil
Injectabil Heparin sodium 1000 UI/ml
Injectabil Telavancin hydrochloride 7,5 mg/ml
Glucoza 5% 3254
Turbiditate imediată Incompatibil
Injectabil Heparin sodium 1000 UI/ml
Injectabil Telavancin hydrochloride 7,5 mg/ml
clorura de sodiu 0,9% 3254
Compatibil
Injectabil Heparin sodium 1000 UI/ml
Injectabil Telavancin hydrochloride 7.5 mg/ml
Solutie Ringer lactat 3254
Precipitații imediate Incompatibil
Injectabil Heparin sodium 1000 UI/ml
Injectabil Thiopental sodium 25 mg/ml
clorura de sodiu 0,9% 3767
Instabilitate imediată a emulsiei Incompatibil
Injectabil Heparin sodium 1 UI/ml
Nutriție parenterală (cu lipide) 1391
Compatibil
Injectabil Heparin sodium 100 UI/ml
Injectabil Teniposide 0.1 mg/ml
Glucoza 5% 905
Compatibil
Injectabil Heparin sodium 50 UI/ml
Injectabil Theophylline 4 mg/ml
fara 317
Compatibil
Injectabil Heparin sodium 100 UI/ml
Injectabil Thiopental sodium 25 mg/ml
314
Instabilitate imediată a emulsiei Incompatibil
Injectabil Heparin sodium 100 UI/ml
Nutriție parenterală (cu lipide) 1415
Compatibil
Injectabil Heparin sodium 500 UI/ml
Injectabil Thiopental sodium 60 mg/ml
clorura de sodiu 0,9% 3823
Compatibil
Injectabil Heparin sodium 100 UI/ml
Injectabil Thiotepa 1 mg/ml
Glucoza 5% 249
Compatibil
Injectabil Heparin sodium 50 UI/ml
Injectabil Ticarcillin / clavulanic acid 31 mg/ml
fara 317
Compatibil
Injectabil Heparin sodium 500 UI/ml
Injectabil Tirofiban 250 µg/ml
clorura de sodiu 0,9% 3823
Compatibil
Injectabil Heparin sodium 40 & 100 UI/ml
Injectabil Tirofiban 50 µg/ml
clorura de sodiu 0,9% 1420
Compatibil
Injectabil Heparin sodium
Glucoza 5% 3540
Compatibil
Injectabil Heparin sodium
Injectabil Tirofiban
1512
Compatibil
Injectabil Heparin sodium 40 & 100 UI/ml
Injectabil Tirofiban 50 µg/ml
Glucoza 5% 1420
Incompatibilitate nespecificată Incompatibil
Injectabil Heparin sodium 50 UI/ml
Injectabil Tobramycin sulfate 0.8 mg/ml
fara 317
Incompatibilitate nespecificată Incompatibil
Injectabil Heparin sodium
Injectabil Tobramycin sulfate
3540
Compatibil
Injectabil Heparin sodium
Injectabil Tranexamic acid
5016
Incompatibilitate nespecificată Incompatibil
Injectabil Heparin sodium
Injectabil Triflupromazine hydrochloride
3540
Compatibil
Injectabil Heparin sodium 500 UI/ml
Injectabil Urapidil 5 mg/ml
clorura de sodiu 0,9% 3823
Precipitații imediate Incompatibil
Injectabil Heparin sodium 0,5 >> 14,3 UI/ml
Injectabil Vancomycin hydrochloride 6,9 >> 14,3 mg/ml
Dianéal® PD1 4.25% Glucoza (Baxter) 2375
Incompatibilitate nespecificată Incompatibil
Injectabil Heparin sodium
Injectabil Vancomycin hydrochloride
3588
Incompatibilitate nespecificată Incompatibil
Injectabil Heparin sodium
Injectabil Vancomycin hydrochloride
3540
Compatibil
Injectabil Heparin sodium 0,5 >> 14,3 UI/ml
Injectabil Vancomycin hydrochloride 0,015 >> 6,8 mg/ml
Dianéal® PD2 2.5% glucose (Baxter) 2375
Precipitații imediate Incompatibil
Injectabil Heparin sodium 0,5 >> 14,3 UI/ml
Injectabil Vancomycin hydrochloride 6,9 >> 14,3 mg/ml
Dianéal® PD2 2.5% glucose (Baxter) 2375
Compatibil
Injectabil Heparin sodium 10 UI/ml
Injectabil Vancomycin hydrochloride 0.025 mg/ml
apa pentru preparate injectabile 3125
Compatibil
Injectabil Heparin sodium 0,5 >> 14,3 UI/ml
Injectabil Vancomycin hydrochloride 0,015 >> 6,8 mg/ml
Dianéal® PD1 4.25% Glucoza (Baxter) 2375
Incompatibilitate nespecificată Incompatibil
Injectabil Heparin sodium 50 UI/ml
Injectabil Vancomycin hydrochloride 6.6 mg/ml
fara 317
Compatibil
Injectabil Heparin sodium 100 UI/ml
Injectabil Vancomycin hydrochloride 0.025 mg/ml
clorura de sodiu 0,9% 1414
Compatibil
Injectabil Heparin sodium 10 UI/ml
Injectabil Vancomycin hydrochloride 2 mg/ml
clorura de sodiu 0,9% 2037
Precipitații imediate Incompatibil
Injectabil Heparin sodium 100 UI/ml
Injectabil Vancomycin hydrochloride 10 mg/ml
Nutritie parenterala (amestec binar) 132
Compatibil
Injectabil Heparin sodium 5000 UI/ml
Injectabil Vancomycin hydrochloride 2.5 mg/ml
clorura de sodiu 0,9% 2037
Compatibil
Injectabil Heparin sodium 100 UI/ml
Injectabil Vancomycin hydrochloride 0.025 mg/ml
clorura de sodiu 0,9% 895
Compatibil
Injectabil Heparin sodium 100 UI/ml
Injectabil Vasopressin 2 & 4 UI/ml
clorura de sodiu 0,9% 1801
Compatibil
Injectabil Heparin sodium 100 UI/ml
Injectabil Vecuronium bromide 1 mg/ml
314
Compatibil
Injectabil Heparin sodium 40 UI/ml
Injectabil Vecuronium bromide 0.1 mg/ml
Glucoza 5% 402
Compatibil
Injectabil Heparin sodium 20 UI/ml
Injectabil Verapamil hydrochloride 0.08 mg/ml
clorura de sodiu 0,9% 1057
Compatibil
Injectabil Heparin sodium 20 UI/ml
Injectabil Verapamil hydrochloride 0.08 mg/ml
Glucoza 5% 1057
Incompatibilitate nespecificată Incompatibil
Injectabil Heparin sodium
Injectabil Vinblastine sulfate
3540
Compatibil
Injectabil Heparin sodium 1000 UI/ml
Injectabil Vinblastine sulfate 1 mg/ml
763
Compatibil
Injectabil Heparin sodium 1000 UI/ml
Injectabil Vincristine sulfate 1 mg/ml
763
Compatibil
Injectabil Heparin sodium 100 UI/ml
Injectabil Vinorelbine tartrate 1 mg/ml
clorura de sodiu 0,9% 84
Compatibil
Injectabil Heparin sodium 100 UI/ml
Injectabil Vinorelbine tartrate 1 mg/ml
clorura de sodiu 0,9% 1070
Precipitații imediate Incompatibil
Injectabil Heparin sodium 10 & 100 UI/ml
Injectabil Vinorelbine tartrate 2 & 3 mg/ml
clorura de sodiu 0,9% 1070
Compatibil
Injectabil Heparin sodium 208 UI/ml
Injectabil Voriconazole 8 mg/ml
Glucoza 5% 4254
Compatibil
Injectabil Heparin sodium 208 UI/ml
Injectabil Voriconazole 8 mg/ml
clorura de sodiu 0,9% 4254
Compatibil
Injectabil Heparin sodium 100 UI/ml
Injectabil Warfarin sodium 2 mg/ml
Glucoza 5% 315
Compatibil
Injectabil Heparin sodium 100 UI/ml
Injectabil Zidovudine 4 mg/ml
Glucoza 5% 337

  Mentions Légales