Son güncelleme :
18/03/2026
Antikoagülan   Heparin sodium  
Enjeksiyon
Çözeltilerin stabilitesi Karışımlardaki stabilitesi Stabiliteyi etkileyen faktörler Uyumluluk Uygulama yöntemi Kaynaklar pdf
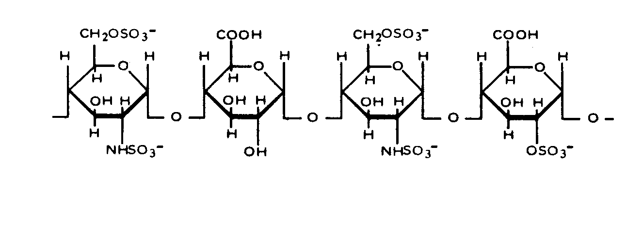
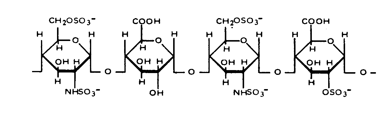
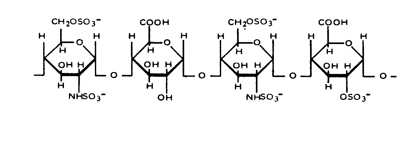
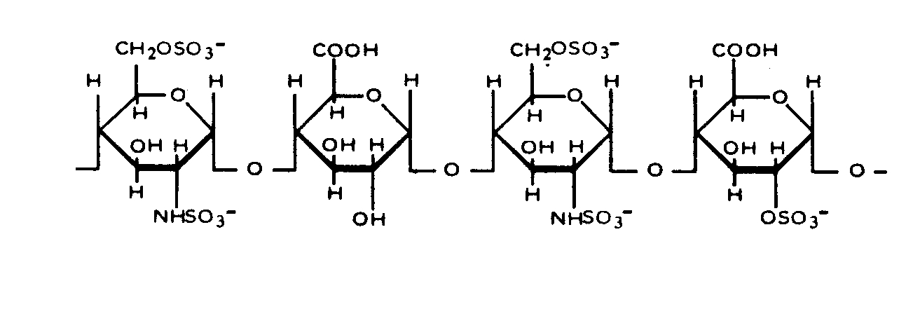
   Kimyasal yapı   

Ticari isim   Ticari isim     

Trade names are indicative and excipients composition can be different depending on the country and manufacturers

Arapin Şili
Ateroclar İtalya
Clarisco İtalya
Epsoclar İtalya
Hepaflex Finlandiya, Norveç
Hepamax Ekvador, Kolombiya, Şili
Heparin Amerika Birleşik Devletleri, Avusturya, Büyük Britanya, Danimarka, Finlandiya, Güney Afrika Cumhuriyeti, Hollanda, İsveç, İsviçre, Kanada, Macaristan, Norveç, rusça, Tayland, Türkiye, Yugoslavya, Yunanistan
Heparine Belçika, Fransa
Heparinised Avustralya
Heparstad Almanya
Liquemin İsviçre, Türkiye
Liquemine Brezilya
Monoparin Suudi Arabistan
Normoparin İtalya
Nuparin Ekvador
Pharepa İtalya
Riveparin Arjantin
Sobrius Arjantin, Ekvador
Thrombophob Almanya
Uyumluluk   Enjeksiyon    Uyumluluk : Heparin sodium              
Bu ekran, bu durumda uyumsuzluk tipiyle (çökelme, renk değişimi, bir emülsiyonun modifikasyonu, vb.) Uyumlulukları veya uyumsuzlukları gösterir. Burada gösterilen uyumluluklar çoğunlukla yalnızca fizikseldir ve her molekülün kimyasal stabilitesi nadiren değerlendirilir. Bu karışımların değerlendirilmesi, hastaya Y bölgesi uygulama olasılığını göz önünde bulundurmak için çalışıldı. Bu veriler önceden torba veya şırıngalarda karışım yapmak için kullanılamaz. Bu tür bilgiler "Karışımda stabilite" ekranında mevcuttur.
Bileşik Çözücü Kaynaklar
Uyumlu
Enjeksiyon Heparin sodium 100 UI/ml
Enjeksiyon Aciclovir sodium 5 mg/ml
Sodyum klorür % 0,9 2335
Uyumlu
Enjeksiyon Heparin sodium 50 UI/ml
Enjeksiyon Aciclovir sodium 5 mg/ml
Glukoz %5 336
Uyumlu
Enjeksiyon Heparin sodium 100 UI/ml
Enjeksiyon Aldesleukin 0.0338 MUI/ml
Glukoz %5 36
Uyumlu
Enjeksiyon Heparin sodium 100 UI/ml
Enjeksiyon Allopurinol sodium 3 mg/ml
Sodyum klorür % 0,9 307
Uyumlu
Enjeksiyon Heparin sodium 1 UI/ml
Enjeksiyon Alprostadil 20 µg/ml
Sodyum klorür % 0,9 4491
Uyumlu
Enjeksiyon Heparin sodium 1 UI/ml
Enjeksiyon Alprostadil 20 µg/ml
Glukoz %5 4651
24 saat sonra yağış uyumsuz
Enjeksiyon Heparin sodium 100 UI/ml
Enjeksiyon Alteplase 1 mg/ml
Enjeksiyonluk su 92
Belirtilmemiş uyumsuzluk uyumsuz
Enjeksiyon Heparin sodium
Enjeksiyon Alteplase
3540
Acil yağış uyumsuz
Enjeksiyon Heparin sodium 40 UI/ml
Enjeksiyon Alteplase 0.5 mg/ml
Enjeksiyonluk su 240
Belirtilmemiş uyumsuzluk uyumsuz
Enjeksiyon Heparin sodium
Enjeksiyon Alteplase
3616
Uyumlu
Enjeksiyon Heparin sodium 100 UI/ml
Enjeksiyon Amifostine 10 mg/ml
Glukoz %5 3
Acil yağış uyumsuz
Enjeksiyon Heparin sodium
Enjeksiyon Amikacin sulfate
1022
Belirtilmemiş uyumsuzluk uyumsuz
Enjeksiyon Heparin sodium
Enjeksiyon Amikacin sulfate
3549
Belirtilmemiş uyumsuzluk uyumsuz
Enjeksiyon Heparin sodium
Enjeksiyon Amikacin sulfate
3540
Belirtilmemiş uyumsuzluk uyumsuz
Enjeksiyon Heparin sodium 500 UI/ml
Enjeksiyon Amiodarone hydrochloride 15 mg/ml
Sodyum klorür % 0,9 3823
Belirtilmemiş uyumsuzluk uyumsuz
Enjeksiyon Heparin sodium
Enjeksiyon Amiodarone hydrochloride
3540
Anında bulanıklık uyumsuz
Enjeksiyon Heparin sodium 500 UI/ml
Enjeksiyon Amiodarone hydrochloride 15 mg/ml
Sodyum klorür % 0,9 3463
Belirtilmemiş uyumsuzluk uyumsuz
Enjeksiyon Heparin sodium
Enjeksiyon Amiodarone hydrochloride
3464
Belirtilmemiş uyumsuzluk uyumsuz
Enjeksiyon Heparin sodium 500 UI/ml
Enjeksiyon Amiodarone hydrochloride 15 mg/ml
Glukoz %5 3823
Anında bulanıklık uyumsuz
Enjeksiyon Heparin sodium 500 UI/ml
Enjeksiyon Amiodarone hydrochloride 15 mg/ml
Glukoz %5 3463
Uyumlu
Enjeksiyon Heparin sodium 208 UI/ml
Enjeksiyon Amoxicillin sodium 20.83 & 83.3 mg/ml
Sodyum klorür % 0,9 4254
Uyumlu
Enjeksiyon Heparin sodium 1000 UI/ml
Enjeksiyon Amoxicillin sodium / clavulanic acid 100/10 mg/ml
3824
Uyumlu
Enjeksiyon Heparin sodium
Enjeksiyon Ampicillin sodium
5088
Uyumlu
Enjeksiyon Heparin sodium 50 UI/ml
Enjeksiyon Ampicillin sodium 20 mg/ml
Yok 317
Uyumlu
Enjeksiyon Heparin sodium 50 UI/ml
Enjeksiyon Ampicillin sodium - sulbactam sodium 30 mg/ml
Yok 317
Acil yağış uyumsuz
Enjeksiyon Heparin sodium 40 UI/ml
Enjeksiyon Amsacrine 1 mg/ml
Glukoz %5 253
Uyumlu
Enjeksiyon Heparin sodium 100 UI/ml
Enjeksiyon Anidulafungin 0.5 mg/ml
Glukoz %5 1982
Acil yağış uyumsuz
Enjeksiyon Heparin sodium
Enjeksiyon Antithymocyte globulin (rabbit)
4958
Acil yağış uyumsuz
Enjeksiyon Heparin sodium 2 UI/ml
Enjeksiyon Antithymocyte globulin (rabbit) 0,2 & 0,3 mg/ml
Glukoz %5 1822
Uyumlu
Enjeksiyon Heparin sodium 100 UI/ml
Enjeksiyon Antithymocyte globulin (rabbit) 0,2 & 0,3 mg/ml
Glukoz %5 1822
Uyumlu
Enjeksiyon Heparin sodium 2 & 100 UI/ml
Enjeksiyon Antithymocyte globulin (rabbit) 0,2 & 0,3 mg/ml
Sodyum klorür % 0,9 1822
Uyumlu
Enjeksiyon Heparin sodium 40 UI/ml
Enjeksiyon Atracurium besylate 0.5 mg/ml
Glukoz %5 402
Uyumlu
Enjeksiyon Heparin sodium 1 UI/ml
Enjeksiyon Atropine sulfate 0.5 mg/ml
Glukoz %5 1228
Uyumlu
Enjeksiyon Heparin sodium 500 UI/ml
Parenteral beslenme (Lipidler) 4507
Acil yağış uyumsuz
Enjeksiyon Heparin sodium 1000 UI/ml
Enjeksiyon Amphotericin B cholesteryl sulfate complex 0.83 mg/ml
Glukoz %5 921
Belirtilmemiş uyumsuzluk uyumsuz
Enjeksiyon Heparin sodium
Enjeksiyon Ampicillin sodium
3540
Uyumlu
Enjeksiyon Heparin sodium 10 & 5000 UI/ml
Enjeksiyon Ampicillin sodium 10 mg/ml
Sodyum klorür % 0,9 2037
Uyumlu
Enjeksiyon Heparin sodium 1 UI/ml
Enjeksiyon Atropine sulfate 0.5 mg/ml
Laktatlı ringer 1228
Uyumlu
Enjeksiyon Heparin sodium 1 UI/ml
Enjeksiyon Atropine sulfate 0.5 mg/ml
Sodyum klorür % 0,9 1228
Uyumlu
Enjeksiyon Heparin sodium 100 UI/ml
Enjeksiyon Aztreonam 40 mg/ml
Glukoz %5 99
Uyumlu
Enjeksiyon Heparin sodium 50 UI/ml
Enjeksiyon Aztreonam 20 mg/ml
Yok 317
Uyumlu
Enjeksiyon Heparin sodium 1 UI/ml
Enjeksiyon Betamethasone sodium phosphate 3 mg/ml
Sodyum klorür % 0,9 1228
Uyumlu
Enjeksiyon Heparin sodium 1 UI/ml
Enjeksiyon Betamethasone sodium phosphate 3 mg/ml
Glukoz %5 1228
Uyumlu
Enjeksiyon Heparin sodium 1 UI/ml
Enjeksiyon Betamethasone sodium phosphate 3 mg/ml
Laktatlı ringer 1228
Uyumlu
Enjeksiyon Heparin sodium 100 UI/ml
Enjeksiyon Bivalirudin 5 mg/ml
Glukoz %5 1713
Acil yağış uyumsuz
Enjeksiyon Heparin sodium 192.3 UI/ml
Enjeksiyon Blinatumomab 0.125 & 0.375 µg/ml
Sodyum klorür % 0,9 3976
Uyumlu
Enjeksiyon Heparin sodium 1000 UI/ml
Enjeksiyon Caffeine 10 mg/ml
Yok 3964
Uyumlu
Enjeksiyon Heparin sodium 100 UI/ml
Enjeksiyon Caffeine 10 mg/ml
Sodyum klorür % 0,9 4837
Uyumlu
Enjeksiyon Heparin sodium 100 UI/ml
Enjeksiyon Caffeine citrate 20 mg/ml
Sodyum klorür % 0,9 4837
30 dakika sonra yağış uyumsuz
Enjeksiyon Heparin sodium 2 UI/ml
Enjeksiyon Calcium chloride 20 mg/ml
Glukoz %5 4732
Uyumlu
Enjeksiyon Heparin sodium 100 UI/ml
Enjeksiyon Calcium chloride 20 mg/ml
Glukoz %5 4732
Emülsiyonun anında dengesizliği uyumsuz
Enjeksiyon Heparin sodium
Enjeksiyon Calcium chloride
Parenteral beslenme (Lipidler) 1084
Emülsiyonun anında dengesizliği uyumsuz
Enjeksiyon Heparin sodium
Enjeksiyon Calcium gluconate
Parenteral beslenme (Lipidler) 1084
Acil yağış uyumsuz
Enjeksiyon Heparin sodium 100 UI/ml
Enjeksiyon Caspofungin acetate 0.5 mg/ml
Sodyum klorür % 0,9 2233
Acil yağış uyumsuz
Enjeksiyon Heparin sodium 100 UI/ml
Enjeksiyon Caspofungin acetate 0,7 mg/ml
Sodyum klorür % 0,9 2247
Belirtilmemiş uyumsuzluk uyumsuz
Enjeksiyon Heparin sodium
Enjeksiyon Cefalotin sodium
3540
Uyumlu
Enjeksiyon Heparin sodium 10 & 5000 UI/ml
Enjeksiyon Cefazolin sodium 10 mg/ml
Sodyum klorür % 0,9 2037
Uyumlu
Enjeksiyon Heparin sodium 50 UI/ml
Enjeksiyon Cefazolin sodium 20 mg/ml
Yok 317
Uyumlu
Enjeksiyon Heparin sodium 0.667 UI/ml
Enjeksiyon Cefazolin sodium 0.333 mg/ml
Dianéal® PD2 1.5% Glukoz (Baxter) 1979
Uyumlu
Enjeksiyon Heparin sodium 10 & 50 UI/ml
Enjeksiyon Cefepime dihydrochloride 4 mg/ml
Sodyum klorür % 0,9 3548
Uyumlu
Enjeksiyon Heparin sodium 10 & 50 UI/ml
Enjeksiyon Cefepime dihydrochloride 4 mg/ml
Glukoz %5 3548
Uyumlu
Enjeksiyon Heparin sodium 1000 UI/ml
Enjeksiyon Cefiderocol sulfate tosylate 20 mg/mL
Glukoz %5 4528
Uyumlu
Enjeksiyon Heparin sodium 1000 UI/ml
Enjeksiyon Cefiderocol sulfate tosylate 20 mg/mL
Sodyum klorür % 0,9 4528
Kimyasal kararsızlık uyumsuz
Enjeksiyon Heparin sodium 100 UI/ml
Enjeksiyon Cefmetazole sodium 100 mg/ml
Enjeksiyonluk su 93
Uyumlu
Enjeksiyon Heparin sodium 208 UI/ml
Enjeksiyon Cefotaxime sodium 41.6 & 125 mg/ml
Glukoz %5 4254
Uyumlu
Enjeksiyon Heparin sodium 208 UI/ml
Enjeksiyon Cefotaxime sodium 41.6 & 125 mg/ml
Sodyum klorür % 0,9 4254
Uyumlu
Enjeksiyon Heparin sodium 5000 UI/ml
Enjeksiyon Cefotaxime sodium 10 mg/ml
Enjeksiyonluk su 3125
Uyumlu
Enjeksiyon Heparin sodium 100 UI/ml
Enjeksiyon Ceftaroline fosamil 2,22 mg/ml
Laktatlı ringer 3249
Uyumlu
Enjeksiyon Heparin sodium 100 UI/ml
Enjeksiyon Ceftaroline fosamil 2,22 mg/ml
Sodyum klorür % 0,9 3249
Uyumlu
Enjeksiyon Heparin sodium 100 UI/ml
Enjeksiyon Ceftaroline fosamil 2,22 mg/ml
Glukoz %5 3249
Uyumlu
Enjeksiyon Heparin sodium 0.5 UI/ml
Enjeksiyon Ceftazidime 0.125 mg/ml
Extraneal® (Baxter) 4056
Uyumlu
Enjeksiyon Heparin sodium 0.5 UI/ml
Enjeksiyon Ceftazidime 0.125 mg/ml
Dianéal® PD2 4.25% Glukoz (Baxter) 4056
Uyumlu
Enjeksiyon Heparin sodium 50 UI/ml
Enjeksiyon Ceftazidime 20 mg/ml
Yok 317
Uyumlu
Enjeksiyon Heparin sodium 0.5 UI/ml
Enjeksiyon Ceftazidime 0.125 mg/ml
Dianéal® PD2 2.5% glucose (Baxter) 4056
Uyumlu
Enjeksiyon Heparin sodium 100 UI/ml
Enjeksiyon Ceftobiprole medocaril sodium 2 mg/ml
Sodyum klorür % 0,9 2269
Uyumlu
Enjeksiyon Heparin sodium 100 UI/ml
Enjeksiyon Ceftobiprole medocaril sodium 2 mg/ml
Glukoz %5 2269
Uyumlu
Enjeksiyon Heparin sodium 100 UI/ml
Enjeksiyon Ceftobiprole medocaril sodium 2 mg/ml
Laktatlı ringer 2269
Uyumlu
Enjeksiyon Heparin sodium 1000 UI/ml
Enjeksiyon Ceftolozane / tazobactam 10/5 mg/ml
Sodyum klorür % 0,9 3828
Uyumlu
Enjeksiyon Heparin sodium 1000 UI/ml
Enjeksiyon Ceftolozane / tazobactam 10/5 mg/ml
Glukoz %5 3828
Uyumlu
Enjeksiyon Heparin sodium 50 UI/ml
Enjeksiyon Ceftriaxone disodium 20 mg/ml
Yok 317
Uyumlu
Enjeksiyon Heparin sodium 10 & 50 UI/ml
Enjeksiyon Cefuroxime sodium
Sodyum klorür % 0,9 3687
Uyumlu
Enjeksiyon Heparin sodium 58,34 UI/ml
Enjeksiyon Chlorpromazine hydrochloride 0,26 mg/ml
Glukoz %5 1289
Uyumlu
Enjeksiyon Heparin sodium 1 UI/ml
Enjeksiyon Chlorpromazine hydrochloride 10 mg/ml
Sodyum klorür % 0,9 1228
Uyumlu
Enjeksiyon Heparin sodium 1 UI/ml
Enjeksiyon Chlorpromazine hydrochloride 10 mg/ml
Glukoz %5 1228
Belirtilmemiş uyumsuzluk uyumsuz
Enjeksiyon Heparin sodium
Enjeksiyon Chlorpromazine hydrochloride
3540
Uyumlu
Enjeksiyon Heparin sodium 1 UI/ml
Enjeksiyon Chlorpromazine hydrochloride 10 mg/ml
Laktatlı ringer 1228
Uyumlu
Enjeksiyon Heparin sodium 50 UI/ml
Enjeksiyon Cimetidine hydrochloride 6 mg/ml
Yok 317
Uyumlu
Enjeksiyon Heparin sodium 5000 & 10000 UI/ml
Enjeksiyon Ciprofloxacin lactate 0.4 & 0.6 mg/ml
Sodyum klorür % 0,9 2057
Acil yağış uyumsuz
Enjeksiyon Heparin sodium 10 >> 10000 UI/ml
Enjeksiyon Ciprofloxacin lactate 1 mg/ml
Sodyum klorür % 0,9 2057
Acil yağış uyumsuz
Enjeksiyon Heparin sodium 10 & 100 UI/ml
Enjeksiyon Ciprofloxacin lactate 0.2 mg/ml
Sodyum klorür % 0,9 2057
Belirtilmemiş uyumsuzluk uyumsuz
Enjeksiyon Heparin sodium
Enjeksiyon Ciprofloxacin lactate
3540
Acil yağış uyumsuz
Enjeksiyon Heparin sodium 10 >> 1000 UI/ml
Enjeksiyon Ciprofloxacin lactate 0.4 & 0.6 mg/ml
Sodyum klorür % 0,9 2057
Uyumlu
Enjeksiyon Heparin sodium 1000 >> 10000 UI/ml
Enjeksiyon Ciprofloxacin lactate 0.2 mg/ml
Sodyum klorür % 0,9 2057
Acil yağış uyumsuz
Enjeksiyon Heparin sodium 10 >> 5000 UI/ml
Enjeksiyon Ciprofloxacin lactate 0.8 mg/ml
Sodyum klorür % 0,9 2057
Uyumlu
Enjeksiyon Heparin sodium 10 >> 10000 UI/ml
Enjeksiyon Ciprofloxacin lactate 0.1 mg/ml
Sodyum klorür % 0,9 2057
Acil yağış uyumsuz
Enjeksiyon Heparin sodium 100 UI/ml
Enjeksiyon Ciprofloxacin lactate 2 mg/ml
Sodyum klorür % 0,9 288
Belirtilmemiş uyumsuzluk uyumsuz
Enjeksiyon Heparin sodium
Enjeksiyon Ciprofloxacin lactate
3529
Acil yağış uyumsuz
Enjeksiyon Heparin sodium 100 UI/ml
Enjeksiyon Ciprofloxacin lactate 2 mg/ml
Glukoz %5 288
Acil yağış uyumsuz
Enjeksiyon Heparin sodium 10 >> 1000 UI/ml
Enjeksiyon Ciprofloxacin lactate 2 mg/ml
Sodyum klorür % 0,9 289
Anında bulanıklık uyumsuz
Enjeksiyon Heparin sodium 10 UI/ml
Enjeksiyon Ciprofloxacin lactate 2 mg/ml
Yok 1393
Uyumlu
Enjeksiyon Heparin sodium 10000 UI/ml
Enjeksiyon Ciprofloxacin lactate 0.8 mg/ml
Sodyum klorür % 0,9 2057
Uyumlu
Enjeksiyon Heparin sodium 100 UI/ml
Enjeksiyon Cisatracurium besylate 0.1 & 2 mg/ml
Glukoz %5 299
Acil yağış uyumsuz
Enjeksiyon Heparin sodium 100 UI/ml
Enjeksiyon Cisatracurium besylate 5 mg/ml
Glukoz %5 299
Renk değişimi uyumsuz
Enjeksiyon Heparin sodium 500 UI/ml
Enjeksiyon Cisatracurium besylate 5 mg/ml
Sodyum klorür % 0,9 3463
Belirtilmemiş uyumsuzluk uyumsuz
Enjeksiyon Heparin sodium 500 UI/ml
Enjeksiyon Cisatracurium besylate 5 mg/ml
Sodyum klorür % 0,9 3823
Belirtilmemiş uyumsuzluk uyumsuz
Enjeksiyon Heparin sodium
Enjeksiyon Cisatracurium besylate
3540
Uyumlu
Enjeksiyon Heparin sodium 100 UI/ml
Enjeksiyon Cladribine 0.5 mg/ml
NaCl %0,9 + antibakteriyel 1496
Uyumlu
Enjeksiyon Heparin sodium 100 UI/ml
Enjeksiyon Cladribine 0.015 mg/ml
Sodyum klorür % 0,9 1496
Uyumlu
Enjeksiyon Heparin sodium 50 UI/ml
Enjeksiyon Clindamycin phosphate 12 mg/ml
Yok 317
Uyumlu
Enjeksiyon Heparin sodium 50 UI/ml
Enjeksiyon Clonidine hydrochloride 0.0075 mg/ml
Sodyum klorür % 0,9 1506
Uyumlu
Enjeksiyon Heparin sodium 50 UI/ml
Enjeksiyon Clonidine hydrochloride 0.0075 mg/ml
Glukoz %5 1506
Uyumlu
Enjeksiyon Heparin sodium 100 UI/ml
Enjeksiyon Cloxacillin sodium 100 mg/ml
Enjeksiyonluk su 3012
4 saat sonra yağış uyumsuz
Enjeksiyon Heparin sodium 208 UI/ml
Enjeksiyon Co-trimoxazole 3.2/0.64 & 80/16 mg/ml
Sodyum klorür % 0,9 4254
4 saat sonra yağış uyumsuz
Enjeksiyon Heparin sodium 208 UI/ml
Enjeksiyon Co-trimoxazole 3.2/0.64 & 80/16 mg/ml
Glukoz %5 4254
Uyumlu
Enjeksiyon Heparin sodium 1 UI/ml
Enjeksiyon Cyanocobalamine 0.1 mg/ml
Laktatlı ringer 1228
Uyumlu
Enjeksiyon Heparin sodium 1 UI/ml
Enjeksiyon Cyanocobalamine 0.1 mg/ml
Glukoz %5 1228
Uyumlu
Enjeksiyon Heparin sodium 1 UI/ml
Enjeksiyon Cyanocobalamine 0.1 mg/ml
Sodyum klorür % 0,9 1228
Belirtilmemiş uyumsuzluk uyumsuz
Enjeksiyon Heparin sodium
Enjeksiyon Cytarabine
3540
Belirtilmemiş uyumsuzluk uyumsuz
Enjeksiyon Heparin sodium
Enjeksiyon Cytarabine
3580
Belirtilmemiş uyumsuzluk uyumsuz
Enjeksiyon Heparin sodium
Enjeksiyon Dacarbazine
3605
Acil yağış uyumsuz
Enjeksiyon Heparin sodium 100 UI/ml
Enjeksiyon Dacarbazine 25 mg/ml
Sodyum klorür % 0,9 860
Belirtilmemiş uyumsuzluk uyumsuz
Enjeksiyon Heparin sodium
Enjeksiyon Dacarbazine
3267
Belirtilmemiş uyumsuzluk uyumsuz
Enjeksiyon Heparin sodium
Enjeksiyon Dacarbazine
3540
Uyumlu
Enjeksiyon Heparin sodium
Enjeksiyon Daptomycin
2271
Uyumlu
Enjeksiyon Heparin sodium 98 UI/ml
Enjeksiyon Daptomycin 19,6 mg/ml
Sodyum klorür % 0,9 1937
Acil yağış uyumsuz
Enjeksiyon Heparin sodium
Enjeksiyon Daunorubicin hydrochloride
3604
Belirtilmemiş uyumsuzluk uyumsuz
Enjeksiyon Heparin sodium
Enjeksiyon Daunorubicin hydrochloride
3540
Acil yağış uyumsuz
Enjeksiyon Heparin sodium
Enjeksiyon Daunorubicin hydrochloride liposome
3577
Anında bulanıklık uyumsuz
Enjeksiyon Heparin sodium
Enjeksiyon Daunorubicin/cytarabine liposomale 0,4 mg/mL
Sodyum klorür % 0,9 4654
Uyumlu
Enjeksiyon Heparin sodium 373 UI/ml
Enjeksiyon Defibrotide 8 mg/ml
Sodyum klorür % 0,9 3728
Uyumlu
Enjeksiyon Heparin sodium 50 UI/ml
Enjeksiyon Dexamethasone sodium phosphate 0.08 mg/ml
Yok 317
Uyumlu
Enjeksiyon Heparin sodium
Enjeksiyon Dexketoprofen
4981
Uyumlu
Enjeksiyon Heparin sodium 100 UI/ml
Enjeksiyon Dexmedetomidine 4 µg/ml
Sodyum klorür % 0,9 1712
Uyumlu
Enjeksiyon Heparin sodium 10000 UI/ml
Enjeksiyon Diatrizoate meglumine 283 mg/ml
Yok 1085
Belirtilmemiş uyumsuzluk uyumsuz
Enjeksiyon Heparin sodium
Enjeksiyon Diazepam
3540
Uyumlu
Enjeksiyon Heparin sodium 100 UI/ml
Enjeksiyon Diltiazem hydrochloride 1 mg/ml
314
Acil yağış uyumsuz
Enjeksiyon Heparin sodium 20000 UI/ml
Enjeksiyon Diltiazem hydrochloride 5 mg/ml
Sodyum klorür % 0,9 198
Uyumlu
Enjeksiyon Heparin sodium 100 UI/ml
Enjeksiyon Diltiazem hydrochloride 1 mg/ml
Glukoz %5 4556
Anında bulanıklık uyumsuz
Enjeksiyon Heparin sodium 100 UI/ml
Enjeksiyon Diltiazem hydrochloride 5 mg/ml
Glukoz %5 4556
Uyumlu
Enjeksiyon Heparin sodium 20000 UI/ml
Enjeksiyon Diltiazem hydrochloride 1 mg/ml
Sodyum klorür % 0,9 198
Uyumlu
Enjeksiyon Heparin sodium
Enjeksiyon Diltiazem hydrochloride
5090
Uyumlu
Enjeksiyon Heparin sodium 80 >> 10000 UI/ml
Enjeksiyon Diltiazem hydrochloride 1 & 5 mg/ml
Sodyum klorür % 0,9 198
Acil yağış uyumsuz
Enjeksiyon Heparin sodium
Enjeksiyon Dimenhydrinate
2087
Uyumlu
Enjeksiyon Heparin sodium 1 UI/ml
Enjeksiyon Diphenhydramine hydrochloride 50 mg/ml
Sodyum klorür % 0,9 1228
Uyumlu
Enjeksiyon Heparin sodium 1 UI/ml
Enjeksiyon Diphenhydramine hydrochloride 50 mg/ml
Glukoz %5 1228
Uyumlu
Enjeksiyon Heparin sodium 1 UI/ml
Enjeksiyon Diphenhydramine hydrochloride 50 mg/ml
Laktatlı ringer 1228
4 saat sonra yağış uyumsuz
Enjeksiyon Heparin sodium 100 UI/ml
Enjeksiyon Dobutamine hydrochloride 4 mg/ml
314
Uyumlu
Enjeksiyon Heparin sodium 40 UI/ml
Enjeksiyon Dobutamine hydrochloride 1 mg/ml
Sodyum klorür % 0,9 1058
Uyumlu
Enjeksiyon Heparin sodium 100 UI/ml
Enjeksiyon Dobutamine hydrochloride 2 mg/ml
Glukoz %5 1041
Acil yağış uyumsuz
Enjeksiyon Heparin sodium 100 UI/ml
Enjeksiyon Dobutamine hydrochloride 2 mg/ml
Glukoz %5 1352
Anında bulanıklık uyumsuz
Enjeksiyon Heparin sodium 100 UI/ml
Enjeksiyon Dobutamine hydrochloride 4 mg/ml
Glukoz %5 295
Acil yağış uyumsuz
Enjeksiyon Heparin sodium
Enjeksiyon Dobutamine hydrochloride
3540
6 saat sonra renk değişimi uyumsuz
Enjeksiyon Heparin sodium 10000 UI/ml
Enjeksiyon Dobutamine hydrochloride 2 mg/ml
Glukoz %5 1041
Uyumlu
Enjeksiyon Heparin sodium 40 UI/ml
Enjeksiyon Dobutamine hydrochloride 1 mg/ml
Glukoz %5 1058
Uyumlu
Enjeksiyon Heparin sodium 50 UI/ml
Enjeksiyon Dobutamine hydrochloride 1 mg/ml
Yok 317
Uyumlu
Enjeksiyon Heparin sodium 100 UI/ml
Enjeksiyon Docetaxel 0.9 mg/ml
Glukoz %5 1754
Uyumlu
Enjeksiyon Heparin sodium 1 UI/ml
Enjeksiyon Dopamine hydrochloride 40 mg/ml
Sodyum klorür % 0,9 1228
Uyumlu
Enjeksiyon Heparin sodium 50 UI/ml
Enjeksiyon Dopamine hydrochloride 1.6 mg/ml
Yok 317
Uyumlu
Enjeksiyon Heparin sodium 100 UI/ml
Enjeksiyon Dopamine hydrochloride 3.2 mg/ml
314
Uyumlu
Enjeksiyon Heparin sodium 1 UI/ml
Enjeksiyon Dopamine hydrochloride 40 mg/ml
Laktatlı ringer 1228
Uyumlu
Enjeksiyon Heparin sodium 200 UI/ml
Enjeksiyon Dopamine hydrochloride 0.8 mg/ml
Glukoz %5 738
Uyumlu
Enjeksiyon Heparin sodium 1 UI/ml
Enjeksiyon Dopamine hydrochloride 40 mg/ml
Glukoz %5 1228
Uyumlu
Enjeksiyon Heparin sodium 100 UI/ml
Enjeksiyon Dopamine hydrochloride 3,2 mg/ml
4389
Belirtilmemiş uyumsuzluk uyumsuz
Enjeksiyon Heparin sodium 187 UI/ml
Enjeksiyon Dopamine hydrochloride 1,7 >> 3,4 mg/ml
Glukoz %5 377
Uyumlu
Enjeksiyon Heparin sodium 100 UI/ml
Enjeksiyon Doripenem 5 mg/ml
Sodyum klorür % 0,9 2262
Uyumlu
Enjeksiyon Heparin sodium 100 UI/ml
Enjeksiyon Doripenem 5 mg/ml
Glukoz %5 2262
Uyumlu
Enjeksiyon Heparin sodium 1 UI/ml
Enjeksiyon Doxapram hydrochloride 2 mg/ml
Glukoz %5 1802
Belirtilmemiş uyumsuzluk uyumsuz
Enjeksiyon Heparin sodium
Enjeksiyon Doxorubicin hydrochloride
3540
Acil yağış uyumsuz
Enjeksiyon Heparin sodium
Enjeksiyon Doxorubicin hydrochloride
3645
Acil yağış uyumsuz
Enjeksiyon Heparin sodium 1000 UI/ml
Enjeksiyon Doxorubicin hydrochloride 2 mg/ml
763
Uyumlu
Enjeksiyon Heparin sodium 1000 UI/ml
Enjeksiyon Doxorubicin hydrochloride liposome peg 0.4 mg/ml
Glukoz %5 251
Belirtilmemiş uyumsuzluk uyumsuz
Enjeksiyon Heparin sodium 50 UI/ml
Enjeksiyon Doxycycline hyclate 1 mg/ml
Yok 317
Acil yağış uyumsuz
Enjeksiyon Heparin sodium 1000 UI/ml
Enjeksiyon Droperidol 2,5 mg/ml
763
Uyumlu
Enjeksiyon Heparin sodium 1 UI/ml
Enjeksiyon Droperidol 1.25 mg/ml
Sodyum klorür % 0,9 1228
Uyumlu
Enjeksiyon Heparin sodium 1 UI/ml
Enjeksiyon Droperidol 1.25 mg/ml
Laktatlı ringer 1228
Uyumlu
Enjeksiyon Heparin sodium 1 UI/ml
Enjeksiyon Droperidol 1.25 mg/ml
Glukoz %5 1228
Belirtilmemiş uyumsuzluk uyumsuz
Enjeksiyon Heparin sodium
Enjeksiyon Droperidol
3540
Uyumlu
Enjeksiyon Heparin sodium 45,45 UI/ml
Enjeksiyon Enalaprilate 0,011 mg/ml
Glukoz %5 963
Uyumlu
Enjeksiyon Heparin sodium 40 UI/ml
Enjeksiyon Enalaprilate 0.05 mg/ml
Sodyum klorür % 0,9 1315
Uyumlu
Enjeksiyon Heparin sodium 50 UI/ml
Enjeksiyon Enalaprilate 0.0125 mg/ml
Sodyum klorür % 0,9 1703
Uyumlu
Enjeksiyon Heparin sodium 1 UI/ml
Enjeksiyon Epinephrine hydrochloride 100 µg/ml
Laktatlı ringer 1228
Uyumlu
Enjeksiyon Heparin sodium 100 UI/ml
Enjeksiyon Epinephrine hydrochloride 20 µg/ml
314
Uyumlu
Enjeksiyon Heparin sodium 1 UI/ml
Enjeksiyon Epinephrine hydrochloride 100 µg/ml
Sodyum klorür % 0,9 1228
Uyumlu
Enjeksiyon Heparin sodium 1 UI/ml
Enjeksiyon Epinephrine hydrochloride 100 µg/ml
Glukoz %5 1228
Belirtilmemiş uyumsuzluk uyumsuz
Enjeksiyon Heparin sodium
Enjeksiyon Epirubicin hydrochloride
3632
Uyumlu
Enjeksiyon Heparin sodium
Enjeksiyon Eptifibatide
3934
Uyumlu
Enjeksiyon Heparin sodium 1000 UI/ml
Enjeksiyon Eravacycline 0,6 mg/ml
Sodyum klorür % 0,9 4434
Anında bulanıklık uyumsuz
Enjeksiyon Heparin sodium 1 UI/ml
Enjeksiyon Ergotamine tartrate 0.5 mg/ml
Sodyum klorür % 0,9 1228
4 saat sonra yağış uyumsuz
Enjeksiyon Heparin sodium 1 UI/ml
Enjeksiyon Ergotamine tartrate 0.5 mg/ml
Laktatlı ringer 1228
4 saat sonra yağış uyumsuz
Enjeksiyon Heparin sodium 1 UI/ml
Enjeksiyon Ergotamine tartrate 0.5 mg/ml
Glukoz %5 1228
Uyumlu
Enjeksiyon Heparin sodium 50 & 100 UI/ml
Enjeksiyon Ertapenem 10 & 20 mg/ml
Sodyum klorür % 0,9 1906
Uyumlu
Enjeksiyon Heparin sodium 50 UI/ml
Enjeksiyon Erythromycin lactobionate 3.3 mg/ml
Yok 317
Belirtilmemiş uyumsuzluk uyumsuz
Enjeksiyon Heparin sodium
Enjeksiyon Erythromycin lactobionate
3674
Belirtilmemiş uyumsuzluk uyumsuz
Enjeksiyon Heparin sodium
Enjeksiyon Erythromycin lactobionate
3540
Uyumlu
Enjeksiyon Heparin sodium 50 UI/ml
Enjeksiyon Esmolol hydrochloride 6 mg/ml
Glukoz %5 174
Uyumlu
Enjeksiyon Heparin sodium 40 UI/ml
Enjeksiyon Esmolol hydrochloride 10 mg/ml
Glukoz %5 384
Uyumlu
Enjeksiyon Heparin sodium 500 UI/ml
Enjeksiyon Esmolol hydrochloride 10 mg/ml
Sodyum klorür % 0,9 3823
Acil yağış uyumsuz
Enjeksiyon Heparin sodium 1000 UI/ml
Enjeksiyon Ethanol 70 %
Enjeksiyonluk su + antibakteriyel 2221
Acil yağış uyumsuz
Enjeksiyon Heparin sodium 1000 UI/ml
Enjeksiyon Ethanol 70 %
Enjeksiyonluk su 2221
1 saat sonra yağış uyumsuz
Enjeksiyon Heparin sodium 10 UI/ml
Enjeksiyon Ethanol 70 %
Enjeksiyonluk su + antibakteriyel 2221
Acil yağış uyumsuz
Enjeksiyon Heparin sodium 10 UI/ml
Enjeksiyon Ethanol 70 %
Enjeksiyonluk su 2221
Uyumlu
Enjeksiyon Heparin sodium 100 UI/ml
Enjeksiyon Etoposide phosphate 5 mg/ml
Glukoz %5 1410
Uyumlu
Enjeksiyon Heparin sodium 40 UI/ml
Enjeksiyon Famotidine
Glukoz %5 397
Uyumlu
Enjeksiyon Heparin sodium 50 UI/ml
Enjeksiyon Famotidine 0.2 mg/ml
Glukoz %5 398
Uyumlu
Enjeksiyon Heparin sodium 40 UI/ml
Enjeksiyon Famotidine 2 mg/ml
Sodyum klorür % 0,9 215
Uyumlu
Enjeksiyon Heparin sodium 100 UI/ml
Enjeksiyon Fenoldopam mesylate 80 µg/ml
Sodyum klorür % 0,9 1803
Uyumlu
Enjeksiyon Heparin sodium 100 UI/ml
Enjeksiyon Fentanyl citrate 50 µg/ml
4389
Uyumlu
Enjeksiyon Heparin sodium 1 UI/ml
Enjeksiyon Fentanyl citrate 50 µg/ml
Glukoz %5 1228
Uyumlu
Enjeksiyon Heparin sodium 1 UI/ml
Enjeksiyon Fentanyl citrate 50 µg/ml
Laktatlı ringer 1228
Uyumlu
Enjeksiyon Heparin sodium 1 UI/ml
Enjeksiyon Fentanyl citrate 50 µg/ml
Sodyum klorür % 0,9 1228
Uyumlu
Enjeksiyon Heparin sodium 100 UI/ml
Enjeksiyon Fentanyl citrate 50 µg/ml
314
Acil yağış uyumsuz
Enjeksiyon Heparin sodium 100 UI/ml
Enjeksiyon Filgrastim 30 µg/ml
Glukoz %5 244
Uyumlu
Enjeksiyon Heparin sodium 1000 UI/ml
Enjeksiyon Fluconazole 2 mg/ml
Sodyum klorür % 0,9 496
Uyumlu
Enjeksiyon Heparin sodium 50 UI/ml
Enjeksiyon Fluconazole 2 mg/ml
Yok 317
Uyumlu
Enjeksiyon Heparin sodium 40 >> 1000 UI/ml
Enjeksiyon Fludarabine phosphate 1 mg/ml
Glukoz %5 492
Uyumlu
Enjeksiyon Heparin sodium 50 UI/ml
Enjeksiyon Flumazenil 0,02 mg/ml
Glukoz %5 187
Uyumlu
Enjeksiyon Heparin sodium 5 UI/ml
Enjeksiyon Fluorouracil 0,8 mg/ml
Sodyum klorür % 0,9 156
Uyumlu
Enjeksiyon Heparin sodium 5 UI/ml
Enjeksiyon Fluorouracil 0,8 mg/ml
Glukoz %5 156
Uyumlu
Enjeksiyon Heparin sodium 1 UI/ml
Enjeksiyon Fluorouracil 50 mg/ml
Sodyum klorür % 0,9 1228
Uyumlu
Enjeksiyon Heparin sodium 960 UI/ml
Enjeksiyon Fluorouracil 24 mg/ml
Glukoz %5 163
Uyumlu
Enjeksiyon Heparin sodium 1 UI/ml
Enjeksiyon Fluorouracil 50 mg/ml
Glukoz %5 1228
Uyumlu
Enjeksiyon Heparin sodium 1000 UI/ml
Enjeksiyon Fluorouracil 50 mg/ml
763
Uyumlu
Enjeksiyon Heparin sodium 1 UI/ml
Enjeksiyon Fluorouracil 50 mg/ml
Laktatlı ringer 1228
Uyumlu
Enjeksiyon Heparin sodium 1000 UI/ml
Enjeksiyon Folinate calcium 10 mg/ml
763
Uyumlu
Enjeksiyon Heparin sodium 100 UI/ml
Enjeksiyon Foscarnet sodium 24 mg/ml
Glukoz %5 1135
Uyumlu
Enjeksiyon Heparin sodium 100 UI/ml
Enjeksiyon Foscarnet sodium 24 mg/ml
Sodyum klorür % 0,9 1135
Uyumlu
Enjeksiyon Heparin sodium 1000 UI/ml
Enjeksiyon Foscarnet sodium 24 mg/ml
Yok 73
Uyumlu
Enjeksiyon Heparin sodium 1000 UI/ml
Enjeksiyon Fosfomycin 30 mg/ml
Glukoz %5 4055
Uyumlu
Enjeksiyon Heparin sodium 1000 UI/ml
Enjeksiyon Fosfomycin 30 mg/ml
Sodyum klorür % 0,9 4055
Uyumlu
Enjeksiyon Heparin sodium 100 UI/ml
Enjeksiyon Furosemide 10 mg/ml
314
Uyumlu
Enjeksiyon Heparin sodium 1 UI/ml
Enjeksiyon Furosemide 10 mg/ml
Sodyum klorür % 0,9 1228
5 saat sonra yağış uyumsuz
Enjeksiyon Heparin sodium 100 UI/ml
Enjeksiyon Furosemide 10 mg/ml
Glukoz %5 4724
Uyumlu
Enjeksiyon Heparin sodium 20 UI/ml
Enjeksiyon Furosemide 1 mg/ml
Sodyum klorür % 0,9 1232
Uyumlu
Enjeksiyon Heparin sodium 58,34 UI/ml
Enjeksiyon Furosemide 5,21 mg/ml
Glukoz %5 1289
Uyumlu
Enjeksiyon Heparin sodium
Enjeksiyon Furosemide
3465
Uyumlu
Enjeksiyon Heparin sodium 1 UI/ml
Enjeksiyon Furosemide 10 mg/ml
Laktatlı ringer 1228
Uyumlu
Enjeksiyon Heparin sodium 1000 UI/ml
Enjeksiyon Furosemide 10 mg/ml
763
Uyumlu
Enjeksiyon Heparin sodium 10 UI/ml
Enjeksiyon Furosemide 10 mg/ml
Yok 3210
Uyumlu
Enjeksiyon Heparin sodium 500 UI/ml
Enjeksiyon Furosemide 10 mg/ml
Sodyum klorür % 0,9 3823
Uyumlu
Enjeksiyon Heparin sodium 500 UI/ml
Enjeksiyon Furosemide 10 mg/ml
Yok 3134
Uyumlu
Enjeksiyon Heparin sodium 1 UI/ml
Enjeksiyon Furosemide 10 mg/ml
Glukoz %5 1228
Uyumlu
Enjeksiyon Heparin sodium 40 UI/ml
Enjeksiyon Gallium nitrate 1 mg/ml
Sodyum klorür % 0,9 91
Uyumlu
Enjeksiyon Heparin sodium 100 UI/ml
Enjeksiyon Gemcitabine hydrochloride 10 mg/ml
Sodyum klorür % 0,9 1423
Anında bulanıklık uyumsuz
Enjeksiyon Heparin sodium 2500 UI/ml
Enjeksiyon Gentamicin sulfate 3 mg/ml
4612
Belirtilmemiş uyumsuzluk uyumsuz
Enjeksiyon Heparin sodium
Enjeksiyon Gentamicin sulfate
3520
Belirtilmemiş uyumsuzluk uyumsuz
Enjeksiyon Heparin sodium
Enjeksiyon Gentamicin sulfate
3643
Acil yağış uyumsuz
Enjeksiyon Heparin sodium
Enjeksiyon Gentamicin sulfate
1022
Belirtilmemiş uyumsuzluk uyumsuz
Enjeksiyon Heparin sodium 50 UI/ml
Enjeksiyon Gentamicin sulfate 2 mg/ml
Yok 317
Acil yağış uyumsuz
Enjeksiyon Heparin sodium 10 >> 40 UI/ml
Enjeksiyon Gentamicin sulfate 4 >> 40 mg/ml
1258
Acil yağış uyumsuz
Enjeksiyon Heparin sodium 2500 UI/ml
Enjeksiyon Gentamicin sulfate 4 & 5 mg/ml
4612
Belirtilmemiş uyumsuzluk uyumsuz
Enjeksiyon Heparin sodium
Enjeksiyon Gentamicin sulfate
3540
Uyumlu
Enjeksiyon Heparin sodium 2500 UI/ml
Enjeksiyon Gentamicin sulfate 1 & 2 mg/ml
4612
Uyumlu
Enjeksiyon Heparin sodium 50 UI/ml
Enjeksiyon Glycerophosphate disodium
Sodyum klorür % 0,9 4332
Uyumlu
Enjeksiyon Heparin sodium 100 UI/ml
Enjeksiyon Granisetron hydrochloride 0.05 mg/ml
Glukoz %5 182
Acil yağış uyumsuz
Enjeksiyon Heparin sodium 100 & 200 UI/ml
Enjeksiyon Haloperidol lactate 5 mg/ml
Glukoz %5 617
Acil yağış uyumsuz
Enjeksiyon Heparin sodium 100 & 200 UI/ml
Enjeksiyon Haloperidol lactate 5 mg/ml
Sodyum klorür % 0,9 617
Uyumlu
Enjeksiyon Heparin sodium 500 UI/ml
Enjeksiyon Haloperidol lactate 0.5 mg/ml
Sodyum klorür % 0,9 3823
Belirtilmemiş uyumsuzluk uyumsuz
Enjeksiyon Heparin sodium
Enjeksiyon Haloperidol lactate
3540
Uyumlu
Enjeksiyon Heparin sodium 100 UI/ml
Enjeksiyon Hetastarch 60 mg/ml
çözücü Özgül 1721
Belirtilmemiş uyumsuzluk uyumsuz
Enjeksiyon Heparin sodium
Enjeksiyon Hyaluronidase
3617
Belirtilmemiş uyumsuzluk uyumsuz
Enjeksiyon Heparin sodium
Enjeksiyon Hyaluronidase
3184
Belirtilmemiş uyumsuzluk uyumsuz
Enjeksiyon Heparin sodium
Enjeksiyon Hyaluronidase
3540
Uyumlu
Enjeksiyon Heparin sodium 1 UI/ml
Enjeksiyon Hydralazine hydrochloride 20 mg/ml
Glukoz %5 1228
Uyumlu
Enjeksiyon Heparin sodium 1 UI/ml
Enjeksiyon Hydralazine hydrochloride 20 mg/ml
Laktatlı ringer 1228
Uyumlu
Enjeksiyon Heparin sodium 1 UI/ml
Enjeksiyon Hydralazine hydrochloride 20 mg/ml
Sodyum klorür % 0,9 1228
Uyumlu
Enjeksiyon Heparin sodium 100 UI/ml
Enjeksiyon Hydrocortisone sodium succinate 125 mg/ml
Sodyum klorür % 0,9 132
Belirtilmemiş uyumsuzluk uyumsuz
Enjeksiyon Heparin sodium
Enjeksiyon Hydrocortisone sodium succinate
3540
Uyumlu
Enjeksiyon Heparin sodium 50 UI/ml
Enjeksiyon Hydrocortisone sodium succinate 2 mg/ml
Yok 317
Uyumlu
Enjeksiyon Heparin sodium 100 UI/ml
Enjeksiyon Hydrocortisone sodium succinate 125 mg/ml
Glukoz %5 132
Uyumlu
Enjeksiyon Heparin sodium
Enjeksiyon Hydromorphone hydrochloride <12.5 mg/ml
Sodyum klorür % 0,9 66
Uyumlu
Enjeksiyon Heparin sodium 100 UI/ml
Enjeksiyon Hydromorphone hydrochloride 1 mg/ml
314
Acil yağış uyumsuz
Enjeksiyon Heparin sodium <12,5 UI/ml
Enjeksiyon Hydromorphone hydrochloride >25 mg/ml
Sodyum klorür % 0,9 66
Uyumlu
Enjeksiyon Heparin sodium
Enjeksiyon Hydromorphone hydrochloride <12.5 mg/ml
Enjeksiyonluk su 66
Acil yağış uyumsuz
Enjeksiyon Heparin sodium <1 UI/ml
Enjeksiyon Hydromorphone hydrochloride >10 mg/ml
Enjeksiyonluk su 66
Acil yağış uyumsuz
Enjeksiyon Heparin sodium <12,5 UI/ml
Enjeksiyon Hydromorphone hydrochloride >25 mg/ml
Enjeksiyonluk su 66
Uyumlu
Enjeksiyon Heparin sodium 100 UI/ml
Enjeksiyon Ibuprofen lysinate 10 mg/ml
Enjeksiyonluk su 4419
Uyumlu
Enjeksiyon Heparin sodium 10 UI/ml
Enjeksiyon Ibuprofen lysinate 10 mg/ml
Enjeksiyonluk su 4419
Anında bulanıklık uyumsuz
Enjeksiyon Heparin sodium 100 & 1000 UI/ml
Enjeksiyon Idarubicin hydrochloride 1 mg/ml
Sodyum klorür % 0,9 491
Acil yağış uyumsuz
Enjeksiyon Heparin sodium
Enjeksiyon Idarubicin hydrochloride
5075
Uyumlu
Enjeksiyon Heparin sodium
Enjeksiyon Imipenem-Cilastatin / Relebactam
4809
Uyumlu
Enjeksiyon Heparin sodium 1000 UI/ml
Enjeksiyon Imipenem-Cilastatin / Relebactam 5 mg/ml
Sodyum klorür % 0,9 4433
Uyumlu
Enjeksiyon Heparin sodium 1000 UI/ml
Enjeksiyon Imipenem-Cilastatin / Relebactam 5 mg/ml
Glukoz %5 4433
Uyumlu
Enjeksiyon Heparin sodium 500 UI/ml
Enjeksiyon Insulin 2 UI/ml
Sodyum klorür % 0,9 3823
Uyumlu
Enjeksiyon Heparin sodium 60 UI/ml
Enjeksiyon Insulin 0.2 UI/ml
Sodyum klorür % 0,9 129
Uyumlu
Enjeksiyon Heparin sodium 50 & 400 UI/ml
Enjeksiyon Insulin aspart 1 UI/ml
Glukoz %5 1508
Uyumlu
Enjeksiyon Heparin sodium 50 & 400 UI/ml
Enjeksiyon Insulin aspart 1 UI/ml
Sodyum klorür % 0,9 1508
Uyumlu
Enjeksiyon Heparin sodium 10000 UI/ml
Enjeksiyon Iohexol 300 mg I/ml
Yok 1085
Uyumlu
Enjeksiyon Heparin sodium 10000 UI/ml
Enjeksiyon Ioxaglate 320 mg I/ml
Yok 1085
Anında bulanıklık uyumsuz
Enjeksiyon Heparin sodium 1000 UI/ml
Enjeksiyon Isavuconazonium sulfate 1.5 mg/ml
Sodyum klorür % 0,9 3829
Anında bulanıklık uyumsuz
Enjeksiyon Heparin sodium 1000 UI/ml
Enjeksiyon Isavuconazonium sulfate 1.5 mg/ml
Glukoz %5 3829
Uyumlu
Enjeksiyon Heparin sodium 1 UI/ml
Enjeksiyon Isoprenaline hydrochloride 0.2 mg/ml
Glukoz %5 1228
Uyumlu
Enjeksiyon Heparin sodium 1 UI/ml
Enjeksiyon Isoprenaline hydrochloride 0.2 mg/ml
Sodyum klorür % 0,9 1228
Uyumlu
Enjeksiyon Heparin sodium 1 UI/ml
Enjeksiyon Isoprenaline hydrochloride 0.2 mg/ml
Laktatlı ringer 1228
Belirtilmemiş uyumsuzluk uyumsuz
Enjeksiyon Heparin sodium
Enjeksiyon Kanamycin sulfate
3540
Acil yağış uyumsuz
Enjeksiyon Heparin sodium 25000 UI/ml
Enjeksiyon Ketamine hydrochloride 50 mg/ml
2109
Uyumlu
Enjeksiyon Heparin sodium 100 UI/ml
Enjeksiyon Labetalol hydrochloride 2 mg/ml
314
Belirtilmemiş uyumsuzluk uyumsuz
Enjeksiyon Heparin sodium 500 UI/ml
Enjeksiyon Labetalol hydrochloride 4 mg/ml
Sodyum klorür % 0,9 3823
Belirtilmemiş uyumsuzluk uyumsuz
Enjeksiyon Heparin sodium
Enjeksiyon Labetalol hydrochloride
3540
Acil yağış uyumsuz
Enjeksiyon Heparin sodium 100 UI/ml
Enjeksiyon Labetalol hydrochloride 5 mg/ml
Glukoz %5 295
Uyumlu
Enjeksiyon Heparin sodium 40 UI/ml
Enjeksiyon Labetalol hydrochloride 1 mg/ml
Glukoz %5 386
Uyumlu
Enjeksiyon Heparin sodium 100 UI/ml
Enjeksiyon Lansoprazole 0.55 mg/ml
Sodyum klorür % 0,9 1625
4 saat içinde bulanıklık uyumsuz
Enjeksiyon Heparin sodium 100 UI/ml
Enjeksiyon Levetiracetam 100 mg/ml
Glukoz %5 4108
Anında bulanıklık uyumsuz
Enjeksiyon Heparin sodium 208,3 UI/ml
Enjeksiyon Levetiracetam 15 mg/ml
Sodyum klorür % 0,9 4698
Belirtilmemiş uyumsuzluk uyumsuz
Enjeksiyon Heparin sodium
Enjeksiyon Levofloxacine
3920
Acil yağış uyumsuz
Enjeksiyon Heparin sodium 10 UI/ml
Enjeksiyon Levofloxacine 5 mg/ml
Glukoz %5 1072
Belirtilmemiş uyumsuzluk uyumsuz
Enjeksiyon Heparin sodium
Enjeksiyon Levomepromazine
3540
Uyumlu
Enjeksiyon Heparin sodium 100 UI/ml
Enjeksiyon Levosimendan 2,5 mg/ml
Glukoz %5 4389
Uyumlu
Enjeksiyon Heparin sodium 50 UI/ml
Enjeksiyon Lidocaine hydrochloride 4 mg/ml
Yok 317
Uyumlu
Enjeksiyon Heparin sodium 1000 UI/ml
Enjeksiyon Linezolid 2 mg/ml
Yok 1925
Uyumlu
Enjeksiyon Heparin sodium 10 >> 10000 UI/ml
Enjeksiyon Linezolid 0.2 >> 1.92 mg/ml
Sodyum klorür % 0,9 2057
Uyumlu
Enjeksiyon Heparin sodium 417 UI/ml
Enjeksiyon Lorazepam 0.33 mg/ml
Sodyum klorür % 0,9 186
Uyumlu
Enjeksiyon Heparin sodium 100 UI/ml
Enjeksiyon Lorazepam 0.5 mg/ml
314
Uyumlu
Enjeksiyon Heparin sodium 1 UI/ml
Enjeksiyon Magnesium sulfate 5 mg/ml
Sodyum klorür % 0,9 1228
Uyumlu
Enjeksiyon Heparin sodium 50 UI/ml
Enjeksiyon Magnesium sulfate 15.6 mg/ml
Sodyum klorür % 0,9 2100
Uyumlu
Enjeksiyon Heparin sodium 1 UI/ml
Enjeksiyon Magnesium sulfate 5 mg/ml
Laktatlı ringer 1228
Uyumlu
Enjeksiyon Heparin sodium 1 UI/ml
Enjeksiyon Magnesium sulfate 5 mg/ml
Glukoz %5 1228
Uyumlu
Enjeksiyon Heparin sodium 100 UI/ml
Enjeksiyon Melphalan 0.1 mg/ml
Sodyum klorür % 0,9 169
Uyumlu
Enjeksiyon Heparin sodium 0.5 UI/ml
Enjeksiyon Meropenem 0.5 mg/ml
Dianéal® 4.25% glucose (Baxter) 4180
Uyumlu
Enjeksiyon Heparin sodium 0.5 UI/ml
Enjeksiyon Meropenem 0.5 mg/ml
Extraneal® (Baxter) 4180
Uyumlu
Enjeksiyon Heparin sodium 1000 UI/ml
Enjeksiyon Meropenem 50 mg/ml
Enjeksiyonluk su 4319
Uyumlu
Enjeksiyon Heparin sodium 1 UI/ml
Enjeksiyon Meropenem 1 & 50 mg/ml
Sodyum klorür % 0,9 266
Uyumlu
Enjeksiyon Heparin sodium 0.5 UI/ml
Enjeksiyon Meropenem 0.5 mg/ml
Dianéal® 1.5% glucose (Baxter) 4180
Uyumlu
Enjeksiyon Heparin sodium 20 UI/ml
Enjeksiyon Meropenem 1 & 20 mg/ml
Sodyum klorür % 0,9 266
Uyumlu
Enjeksiyon Heparin sodium 0.5 UI/ml
Enjeksiyon Meropenem 0.5 mg/ml
Dianéal® 2.5% glucose (Baxter) 4180
Uyumlu
Enjeksiyon Heparin sodium 50 UI/ml
Enjeksiyon Methadone hydrochloride 0.2 mg/ml
Glukoz %5 1506
Uyumlu
Enjeksiyon Heparin sodium 50 UI/ml
Enjeksiyon Methadone hydrochloride 0.2 mg/ml
Sodyum klorür % 0,9 1506
Belirtilmemiş uyumsuzluk uyumsuz
Enjeksiyon Heparin sodium
Enjeksiyon Methotrexate sodium
3637
Uyumlu
Enjeksiyon Heparin sodium 1000 UI/ml
Enjeksiyon Methotrexate sodium 25 mg/ml
763
Uyumlu
Enjeksiyon Heparin sodium 500 UI/ml
Enjeksiyon Methotrexate sodium 30 mg/ml
Sodyum klorür % 0,9 150
Uyumlu
Enjeksiyon Heparin sodium 100 UI/ml
Enjeksiyon Methylprednisolone sodium succinate 5 mg/ml
Glukoz %5 132
Uyumlu
Enjeksiyon Heparin sodium 50 UI/ml
Enjeksiyon Methylprednisolone sodium succinate 2.5 mg/ml
Yok 317
Uyumlu
Enjeksiyon Heparin sodium 100 UI/ml
Enjeksiyon Methylprednisolone sodium succinate 5 mg/ml
Sodyum klorür % 0,9 132
Uyumlu
Enjeksiyon Heparin sodium 1000 UI/ml
Enjeksiyon Metoclopramide hydrochloride 5 mg/ml
763
Kimyasal kararsızlık uyumsuz
Enjeksiyon Heparin sodium 1000 UI/ml
Enjeksiyon Metoprolol tartrate 1 mg/ml
Yok 2346
Uyumlu
Enjeksiyon Heparin sodium 50 UI/ml
Enjeksiyon Metronidazole 5 mg/ml
Yok 317
Uyumlu
Enjeksiyon Heparin sodium 100 UI/ml
Enjeksiyon Micafungin 1.5 mg/ml
Sodyum klorür % 0,9 2108
Anında bulanıklık uyumsuz
Enjeksiyon Heparin sodium 208,3 UI/ml
Enjeksiyon Midazolam hydrochloride 1 mg/ml
Sodyum klorür % 0,9 4698
Uyumlu
Enjeksiyon Heparin sodium 500 UI/ml
Enjeksiyon Midazolam hydrochloride 2.1 mg/ml
Sodyum klorür % 0,9 3823
Uyumlu
Enjeksiyon Heparin sodium 417 UI/ml
Enjeksiyon Midazolam hydrochloride 5 mg/ml
Yok 186
Uyumlu
Enjeksiyon Heparin sodium 100 UI/ml
Enjeksiyon Midazolam hydrochloride 5 mg/ml
4389
Uyumlu
Enjeksiyon Heparin sodium 100 UI/ml
Enjeksiyon Midazolam hydrochloride 2 mg/ml
314
Uyumlu
Enjeksiyon Heparin sodium 200 UI/ml
Enjeksiyon Milrinone lactate 0.8 mg/ml
Glukoz %5 813
Uyumlu
Enjeksiyon Heparin sodium 100 UI/ml
Enjeksiyon Milrinone lactate 0.2 mg/ml
314
Uyumlu
Enjeksiyon Heparin sodium 1 UI/ml
Enjeksiyon Minocycline hydrochloride 0.2 mg/ml
Glukoz %5 1228
Uyumlu
Enjeksiyon Heparin sodium 1 UI/ml
Enjeksiyon Minocycline hydrochloride 0.2 mg/ml
Laktatlı ringer 1228
Uyumlu
Enjeksiyon Heparin sodium 1 UI/ml
Enjeksiyon Minocycline hydrochloride 0.2 mg/ml
Sodyum klorür % 0,9 1228
Belirtilmemiş uyumsuzluk uyumsuz
Enjeksiyon Heparin sodium
Enjeksiyon Mitoxantrone dihydrochloride
3640
Belirtilmemiş uyumsuzluk uyumsuz
Enjeksiyon Heparin sodium
Enjeksiyon Morphine hydrochloride
5069
Uyumlu
Enjeksiyon Heparin sodium 100 & 200 UI/ml
Enjeksiyon Morphine sulfate 1 >> 5 mg/ml
Enjeksiyonluk su 341
Uyumlu
Enjeksiyon Heparin sodium 1 UI/ml
Enjeksiyon Morphine sulfate 15 mg/ml
Laktatlı ringer 1228
Belirtilmemiş uyumsuzluk uyumsuz
Enjeksiyon Heparin sodium
Enjeksiyon Morphine sulfate
3531
Uyumlu
Enjeksiyon Heparin sodium 1 UI/ml
Enjeksiyon Morphine sulfate 15 mg/ml
Glukoz %5 1228
Uyumlu
Enjeksiyon Heparin sodium 1 UI/ml
Enjeksiyon Morphine sulfate 15 mg/ml
Sodyum klorür % 0,9 1228
Uyumlu
Enjeksiyon Heparin sodium 60 UI/ml
Enjeksiyon Morphine sulfate 1 mg/ml
Sodyum klorür % 0,9 406
Uyumlu
Enjeksiyon Heparin sodium 100 & 200 UI/ml
Enjeksiyon Morphine sulfate 10 mg/ml
Enjeksiyonluk su 341
Uyumlu
Enjeksiyon Heparin sodium 100 UI/ml
Enjeksiyon Morphine sulfate 2 mg/ml
314
Kimyasal kararsızlık uyumsuz
Enjeksiyon Heparin sodium 100 & 200 UI/ml
Enjeksiyon Morphine sulfate 1 >> 10 mg/ml
Sodyum klorür % 0,9 341
Uyumlu
Enjeksiyon Heparin sodium 1000 UI/ml
Enjeksiyon N-acetylcysteine 200 mg/ml
Yok 3766
Uyumlu
Enjeksiyon Heparin sodium 50 UI/ml
Enjeksiyon Nafcillin sodium 20 mg/ml
Yok 317
Uyumlu
Enjeksiyon Heparin sodium 1000 UI/ml
Enjeksiyon Naloxone hydrochloride 0.4 mg/ml
Yok 3408
Anında bulanıklık uyumsuz
Enjeksiyon Heparin sodium 208,3 UI/ml
Enjeksiyon Nefopam 1,7 mg/ml
Sodyum klorür % 0,9 4698
Uyumlu
Enjeksiyon Heparin sodium 1 UI/ml
Enjeksiyon Neostigmine methylsulfate 0.5 mg/ml
Glukoz %5 1228
Uyumlu
Enjeksiyon Heparin sodium 1 UI/ml
Enjeksiyon Neostigmine methylsulfate 0.5 mg/ml
Sodyum klorür % 0,9 1228
Uyumlu
Enjeksiyon Heparin sodium 1 UI/ml
Enjeksiyon Neostigmine methylsulfate 0.5 mg/ml
Laktatlı ringer 1228
Belirtilmemiş uyumsuzluk uyumsuz
Enjeksiyon Heparin sodium
Enjeksiyon Nesiritide
5048
Belirtilmemiş uyumsuzluk uyumsuz
Enjeksiyon Heparin sodium
Enjeksiyon Netilmicin sulfate
3540
Acil yağış uyumsuz
Enjeksiyon Heparin sodium
Enjeksiyon Netilmicin sulfate
1022
Acil yağış uyumsuz
Enjeksiyon Heparin sodium 100 UI/ml
Enjeksiyon Nicardipine hydrochloride 1 mg/ml
314
Belirtilmemiş uyumsuzluk uyumsuz
Enjeksiyon Heparin sodium
Enjeksiyon Nicardipine hydrochloride
3540
Uyumlu
Enjeksiyon Heparin sodium 40 UI/ml
Enjeksiyon Nicardipine hydrochloride 0.1 mg/ml
Glukoz %5 1490
Uyumlu
Enjeksiyon Heparin sodium 40 UI/ml
Enjeksiyon Nicardipine hydrochloride 0.1 mg/ml
Sodyum klorür % 0,9 1490
Acil yağış uyumsuz
Enjeksiyon Heparin sodium 100 UI/ml
Enjeksiyon Nitroglycerin 1,6 >> 3,25 mg/ml
Glukoz %5 295
Uyumlu
Enjeksiyon Heparin sodium 500 UI/ml
Enjeksiyon Nitroglycerin 0.2 mg/ml
Sodyum klorür % 0,9 3823
Gaz kabarcığı üretimi uyumsuz
Enjeksiyon Heparin sodium 50 UI/ml
Enjeksiyon Nitroglycerin 0.2 mg/ml
Yok 317
Uyumlu
Enjeksiyon Heparin sodium 500 UI/ml
Enjeksiyon Nitroglycerin 0.2 mg/ml
Glukoz %5 3823
Uyumlu
Enjeksiyon Heparin sodium 100 UI/ml
Enjeksiyon Nitroglycerin 0.4 mg/ml
314
Uyumlu
Enjeksiyon Heparin sodium 50 UI/ml
Enjeksiyon Nitroprusside sodium 0.2 mg/ml
Yok 317
Uyumlu
Enjeksiyon Heparin sodium 100 UI/ml
Enjeksiyon Nitroprusside sodium 0.2 mg/ml
Glukoz %5 295
Uyumlu
Enjeksiyon Heparin sodium 100 UI/ml
Enjeksiyon Norepinephrine bitartrate 0.128 mg/ml
314
Belirtilmemiş uyumsuzluk uyumsuz
Enjeksiyon Heparin sodium
Enjeksiyon Ofloxacin
3562
Uyumlu
Enjeksiyon Heparin sodium 40 UI/ml
Enjeksiyon Ondansetron hydrochloride 1 mg/ml
Sodyum klorür % 0,9 334
uyumsuz
Enjeksiyon Heparin sodium 200 UI/ml
Enjeksiyon Ondansetron hydrochloride 1.6 mg/ml
1699
Anında bulanıklık uyumsuz
Enjeksiyon Heparin sodium 100 UI/ml
Enjeksiyon Oritavancin 0.8 >>1.2 mg/ml
Glukoz %5 3152
4 saat sonra yağış uyumsuz
Enjeksiyon Heparin sodium 100 UI/ml
Enjeksiyon Oritavancin 2 mg/ml
Glukoz %5 3152
Uyumlu
Enjeksiyon Heparin sodium 208 UI/ml
Enjeksiyon Ornidazole 31.25 mg/ml
Sodyum klorür % 0,9 4254
Uyumlu
Enjeksiyon Heparin sodium 1 UI/ml
Enjeksiyon Oxacillin sodium 100 mg/ml
Glukoz %5 1228
Uyumlu
Enjeksiyon Heparin sodium 1 UI/ml
Enjeksiyon Oxacillin sodium 100 mg/ml
Laktatlı ringer 1228
Uyumlu
Enjeksiyon Heparin sodium 1 UI/ml
Enjeksiyon Oxacillin sodium 100 mg/ml
Sodyum klorür % 0,9 1228
Uyumlu
Enjeksiyon Heparin sodium 100 UI/ml
Enjeksiyon Oxaliplatin 0,5 mg/ml
Glukoz %5 1662
Belirtilmemiş uyumsuzluk uyumsuz
Enjeksiyon Heparin sodium
Enjeksiyon Oxytetracycline hydrochloride
3540
Uyumlu
Enjeksiyon Heparin sodium 100 UI/ml
Enjeksiyon Paclitaxel 1.2 mg/ml
Glukoz %5 248
Uyumlu
Enjeksiyon Heparin sodium 100 UI/ml
Enjeksiyon Palonosetron hydrochloride 50 µg/ml
Glukoz %5 2279
Uyumlu
Enjeksiyon Heparin sodium 40 UI/ml
Enjeksiyon Pancuronium bromide 0.05 mg/ml
Glukoz %5 402
1 saat sonra yağış uyumsuz
Enjeksiyon Heparin sodium
Enjeksiyon Pantoprazole sodium
2090
Uyumlu
Enjeksiyon Heparin sodium 208,3 UI/ml
Enjeksiyon Paracetamol 10 mg/ml
Sodyum klorür % 0,9 4698
Uyumlu
Enjeksiyon Heparin sodium 1000 UI/ml
Enjeksiyon Paracetamol 10 mg/ml
4742
Uyumlu
Enjeksiyon Heparin sodium 100 UI/ml
Enjeksiyon Pemetrexed disodium 20 mg/ml
Sodyum klorür % 0,9 1953
Belirtilmemiş uyumsuzluk uyumsuz
Enjeksiyon Heparin sodium
Enjeksiyon Penicillin G potassium
3540
Uyumlu
Enjeksiyon Heparin sodium 50 UI/ml
Enjeksiyon Penicillin G potassium 0.04 MUI/ml
Yok 317
Belirtilmemiş uyumsuzluk uyumsuz
Enjeksiyon Heparin sodium
Enjeksiyon Penicillin G sodium
3540
Uyumlu
Enjeksiyon Heparin sodium 100 UI/ml
Enjeksiyon Pentoxifyllin 5 mg/ml
Sodyum klorür % 0,9 4538
Anında bulanıklık uyumsuz
Enjeksiyon Heparin sodium
Enjeksiyon Pethidine hydrochloride
3525
Uyumlu
Enjeksiyon Heparin sodium 60 UI/ml
Enjeksiyon Pethidine hydrochloride 10 mg/ml
Sodyum klorür % 0,9 406
Belirtilmemiş uyumsuzluk uyumsuz
Enjeksiyon Heparin sodium
Enjeksiyon Pethidine hydrochloride
3540
Acil yağış uyumsuz
Enjeksiyon Heparin sodium 50 UI/ml
Enjeksiyon Phenytoin sodium 2 mg/ml
Yok 317
Uyumlu
Enjeksiyon Heparin sodium 50 UI/ml
Enjeksiyon Piperacillin sodium 60 mg/ml
Yok 317
Uyumlu
Enjeksiyon Heparin sodium 10 & 5000 UI/ml
Enjeksiyon Piperacillin sodium 40 mg/ml
Sodyum klorür % 0,9 2037
Uyumlu
Enjeksiyon Heparin sodium 0.5 UI/ml
Enjeksiyon Piperacillin sodium / tazobactam 0.5/0.0625 mg/ml
Dianéal® 2.5% glucose (Baxter) 4180
Uyumlu
Enjeksiyon Heparin sodium 0.5 UI/ml
Enjeksiyon Piperacillin sodium / tazobactam 0.5/0.0625 mg/ml
Dianéal® 4.25% glucose (Baxter) 4180
Anında bulanıklık uyumsuz
Enjeksiyon Heparin sodium 1000 UI/ml
Enjeksiyon Plazomicin sulfate 24 mg/ml
Sodyum klorür % 0,9 4145
Belirtilmemiş uyumsuzluk uyumsuz
Enjeksiyon Heparin sodium
Enjeksiyon Polymyxine B
3540
Uyumlu
Enjeksiyon Heparin sodium 50 UI/ml
Enjeksiyon Potassium chloride 200 mEq/l
Yok 317
Uyumlu
Enjeksiyon Heparin sodium 1 UI/ml
Enjeksiyon Procainamide hydrochloride 100 mg/ml
Laktatlı ringer 1228
Uyumlu
Enjeksiyon Heparin sodium 1 UI/ml
Enjeksiyon Procainamide hydrochloride 100 mg/ml
Sodyum klorür % 0,9 1228
Uyumlu
Enjeksiyon Heparin sodium 1 UI/ml
Enjeksiyon Prochlorperazine edysilate 5 mg/ml
Sodyum klorür % 0,9 1228
Uyumlu
Enjeksiyon Heparin sodium 3 >> 20 UI/ml
Parenteral beslenme (ikili karışım) 791
Uyumlu
Enjeksiyon Heparin sodium 100 UI/ml
Parenteral beslenme (ikili karışım) 301
Uyumlu
Enjeksiyon Heparin sodium 500 UI/ml
Parenteral beslenme (ikili karışım) 939
Uyumlu
Enjeksiyon Heparin sodium 1 UI/ml
Enjeksiyon Prochlorperazine edysilate 5 mg/ml
Laktatlı ringer 1228
Uyumlu
Enjeksiyon Heparin sodium 1 UI/ml
Enjeksiyon Promethazine hydrochloride 50 mg/ml
Sodyum klorür % 0,9 1228
Uyumlu
Enjeksiyon Heparin sodium 1 UI/ml
Enjeksiyon Promethazine hydrochloride 50 mg/ml
Laktatlı ringer 1228
Uyumlu
Enjeksiyon Heparin sodium 1 UI/ml
Enjeksiyon Propranolol hydrochloride 1 mg/ml
Laktatlı ringer 1228
Uyumlu
Enjeksiyon Heparin sodium 1 UI/ml
Enjeksiyon Propranolol hydrochloride 1 mg/ml
Sodyum klorür % 0,9 1228
Uyumlu
Enjeksiyon Heparin sodium 50 UI/ml
Enjeksiyon Ranitidine hydrochloride 0,5 mg/ml
Glukoz %5 396
Uyumlu
Enjeksiyon Heparin sodium 10 & 40 UI/ml
Enjeksiyon Ranitidine hydrochloride 0.05 & 2 mg/ml
Sodyum klorür % 0,9 214
Uyumlu
Enjeksiyon Heparin sodium 50 UI/ml
Enjeksiyon Ranitidine hydrochloride 1 mg/ml
Yok 317
Uyumlu
Enjeksiyon Heparin sodium 1000 UI/ml
Enjeksiyon Remdesivir 1 mg/ml
Sodyum klorür % 0,9 4768
Uyumlu
Enjeksiyon Heparin sodium 100 UI/ml
Enjeksiyon Remifentanil hydrochloride 25 & 250 µg/ml
Sodyum klorür % 0,9 59
Uyumlu
Enjeksiyon Heparin sodium 500 UI/ml
Enjeksiyon Remifentanil hydrochloride 100 µg/ml
Sodyum klorür % 0,9 3823
Uyumlu
Enjeksiyon Heparin sodium 500 UI/ml
NaHCO3 150
Uyumlu
Enjeksiyon Heparin sodium 1.4 UI/ml
Enjeksiyon Piperacillin sodium / tazobactam 1.38/0.1725 mg/ml
Physionéal® 2.27 (Baxter) 4180
Uyumlu
Enjeksiyon Heparin sodium 1.4 UI/ml
Enjeksiyon Piperacillin sodium / tazobactam 1.38/0.1725 mg/ml
Physionéal® 1.36 (Baxter) 4180
Uyumlu
Enjeksiyon Heparin sodium 0.5 UI/ml
Enjeksiyon Piperacillin sodium / tazobactam 0.5/0.0625 mg/ml
Dianéal® 1.5% glucose (Baxter) 4180
Uyumlu
Enjeksiyon Heparin sodium 1.4 UI/ml
Enjeksiyon Piperacillin sodium / tazobactam 1.38/0.1725 mg/ml
Physionéal® 3.86 (Baxter) 4180
Uyumlu
Enjeksiyon Heparin sodium 100 UI/ml
Enjeksiyon Piperacillin sodium / tazobactam 40/5 mg/ml
Glukoz %5 81
Uyumlu
Enjeksiyon Heparin sodium 0.5 UI/ml
Enjeksiyon Piperacillin sodium / tazobactam 0.5/0.0625 mg/ml
Extraneal® (Baxter) 4180
Uyumlu
Enjeksiyon Heparin sodium 500 UI/ml
Enjeksiyon Potassium chloride 10 mEq/l
Sodyum klorür % 0,9 3823
Uyumlu
Enjeksiyon Heparin sodium 58,34 UI/ml
Enjeksiyon Potassium chloride 1250 mEq/l
Glukoz %5 1289
Uyumlu
Enjeksiyon Heparin sodium
Enjeksiyon Potassium phosphate
3781
Uyumlu
Enjeksiyon Heparin sodium 1 UI/ml
Enjeksiyon Procainamide hydrochloride 100 mg/ml
Glukoz %5 1228
Uyumlu
Enjeksiyon Heparin sodium 1 UI/ml
Enjeksiyon Prochlorperazine edysilate 5 mg/ml
Glukoz %5 1228
Uyumlu
Enjeksiyon Heparin sodium 1 UI/ml
Enjeksiyon Promethazine hydrochloride 50 mg/ml
Glukoz %5 1228
Belirtilmemiş uyumsuzluk uyumsuz
Enjeksiyon Heparin sodium
Enjeksiyon Promethazine hydrochloride
3540
1 saat sonra emülsiyonun kararsızlığı uyumsuz
Enjeksiyon Heparin sodium 1000 UI/ml
Enjeksiyon Propofol
660
Uyumlu
Enjeksiyon Heparin sodium 100 UI/ml
Enjeksiyon Propofol 10 mg/ml
Yok 300
Uyumlu
Enjeksiyon Heparin sodium 1 UI/ml
Enjeksiyon Propranolol hydrochloride 1 mg/ml
Glukoz %5 1228
Uyumlu
Enjeksiyon Heparin sodium 100 UI/ml
Enjeksiyon Ranitidine hydrochloride 1 mg/ml
314
Uyumlu
Enjeksiyon Heparin sodium 10 & 40 UI/ml
Enjeksiyon Ranitidine hydrochloride 0.05 & 2 mg/ml
Glukoz %5 214
Uyumlu
Enjeksiyon Heparin sodium 416.7 UI/ml
Enjeksiyon Remifentanil hydrochloride 120 µg/ml
Glukoz %5 3294
Uyumlu
Enjeksiyon Heparin sodium 416.7 UI/ml
Enjeksiyon Remifentanil hydrochloride 120 µg/ml
Glukoz %5 3176
Belirtilmemiş uyumsuzluk uyumsuz
Enjeksiyon Heparin sodium
Enjeksiyon Reteplase
2212
Uyumlu
Enjeksiyon Heparin sodium 20,458 >> 28,000 UI/ml
Parenteral beslenme (Lipidler) 1868
Belirtilmemiş uyumsuzluk uyumsuz
Enjeksiyon Heparin sodium
Enjeksiyon Reteplase
3540
Uyumlu
Enjeksiyon Heparin sodium 1000 UI/ml
Enjeksiyon Salbutamol sulfate 1 mg/ml
Yok 3216
Uyumlu
Enjeksiyon Heparin sodium 100 UI/ml
Enjeksiyon Sargramostim 6 §15 µg/ml
Sodyum klorür % 0,9 891
Uyumlu
Enjeksiyon Heparin sodium 100 UI/ml
Enjeksiyon Sargramostim 10 µg/ml
Sodyum klorür % 0,9 335
Uyumlu
Enjeksiyon Heparin sodium 1 UI/ml
Enjeksiyon Scopolamine hydrobromide 0.86 mg/ml
Sodyum klorür % 0,9 1228
Uyumlu
Enjeksiyon Heparin sodium 1 UI/ml
Enjeksiyon Scopolamine hydrobromide 0.86 mg/ml
Laktatlı ringer 1228
Uyumlu
Enjeksiyon Heparin sodium 1 UI/ml
Enjeksiyon Scopolamine hydrobromide 0.86 mg/ml
Glukoz %5 1228
Uyumlu
Enjeksiyon Heparin sodium 100 UI/ml
Enjeksiyon Sildenafil citrate 0,6 mg/ml
Glukoz %5 4845
Uyumlu
Enjeksiyon Heparin sodium 100 UI/ml
Enjeksiyon Sildenafil citrate 0,06 mg/ml
Glukoz %5 4845
Uyumlu
Enjeksiyon Heparin sodium 1 UI/ml
Enjeksiyon Sildenafil citrate 0,4 mg/ml
Glukoz %5 3923
Uyumlu
Enjeksiyon Heparin sodium 2 UI/ml
Enjeksiyon Sildenafil citrate 0,6 mg/ml
Glukoz %5 4845
Uyumlu
Enjeksiyon Heparin sodium
Sodyum klorür % 0,9 3540
Emülsiyonun anında dengesizliği uyumsuz
Enjeksiyon Heparin sodium 100 UI/ml
Parenteral beslenme (Lipidler) 132
Anında bulanıklık uyumsuz
Enjeksiyon Heparin sodium 100 UI/ml
Enjeksiyon Sildenafil citrate 0,6 mg/ml
Glukoz %5 4845
Uyumlu
Enjeksiyon Heparin sodium 500 UI/ml
Enjeksiyon Sodium bicarbonate 84 mg/ml
Sodyum klorür % 0,9 3823
Uyumlu
Enjeksiyon Heparin sodium
Enjeksiyon Sodium bicarbonate
3466
Uyumlu
Enjeksiyon Heparin sodium 500 UI/ml
Enjeksiyon Sodium bicarbonate 14 mg/ml
Yok 150
Uyumlu
Enjeksiyon Heparin sodium 500 UI/ml
Enjeksiyon Sodium bicarbonate 84 mg/ml
Yok 3212
Uyumlu
Enjeksiyon Heparin sodium 208 UI/ml
Enjeksiyon Spiramycine adipate 0.0625 MUI/ml
Sodyum klorür % 0,9 4254
Uyumlu
Enjeksiyon Heparin sodium 100 UI/ml
Enjeksiyon Streptokinase 30000 UI/ml
Glukoz %5 92
Belirtilmemiş uyumsuzluk uyumsuz
Enjeksiyon Heparin sodium
Enjeksiyon Streptomycin sulfate
3540
Uyumlu
Enjeksiyon Heparin sodium 416.7 UI/ml
Enjeksiyon Sufentanil citrate 0.005 mg/ml
Glukoz %5 3294
Uyumlu
Enjeksiyon Heparin sodium 1000 UI/ml
Enjeksiyon Sugammadex 100 mg/ml
Yok 3372
Uyumlu
Enjeksiyon Heparin sodium 10 UI/ml
Enjeksiyon Tacrolimus 1000 µg/ml
Sodyum klorür % 0,9 479
Uyumlu
Enjeksiyon Heparin sodium 1000 UI/ml
Laktatlı ringer 4603
Uyumlu
Enjeksiyon Heparin sodium 1000 UI/ml
Enjeksiyon Sulbactam/durlobactam 15/15 mg/ml
Sodyum klorür % 0,9 4801
Uyumlu
Enjeksiyon Heparin sodium 1000 UI/ml
Enjeksiyon Tedizolid phosphate 0.8 mg/ml
Sodyum klorür % 0,9 3827
Uyumlu
Enjeksiyon Heparin sodium 10 >> 10000 UI/ml
Enjeksiyon Teicoplanine 0.02 >> 10 mg/ml
Sodyum klorür % 0,9 2057
Anında bulanıklık uyumsuz
Enjeksiyon Heparin sodium 1000 UI/ml
Enjeksiyon Telavancin hydrochloride 7,5 mg/ml
Glukoz %5 3254
Anında bulanıklık uyumsuz
Enjeksiyon Heparin sodium 1000 UI/ml
Enjeksiyon Telavancin hydrochloride 7,5 mg/ml
Sodyum klorür % 0,9 3254
Uyumlu
Enjeksiyon Heparin sodium 1000 UI/ml
Enjeksiyon Telavancin hydrochloride 7.5 mg/ml
Laktatlı ringer 3254
Acil yağış uyumsuz
Enjeksiyon Heparin sodium 1000 UI/ml
Enjeksiyon Thiopental sodium 25 mg/ml
Sodyum klorür % 0,9 3767
Emülsiyonun anında dengesizliği uyumsuz
Enjeksiyon Heparin sodium 1 UI/ml
Parenteral beslenme (Lipidler) 1391
Uyumlu
Enjeksiyon Heparin sodium 100 UI/ml
Enjeksiyon Teniposide 0.1 mg/ml
Glukoz %5 905
Uyumlu
Enjeksiyon Heparin sodium 50 UI/ml
Enjeksiyon Theophylline 4 mg/ml
Yok 317
Uyumlu
Enjeksiyon Heparin sodium 100 UI/ml
Enjeksiyon Thiopental sodium 25 mg/ml
314
Emülsiyonun anında dengesizliği uyumsuz
Enjeksiyon Heparin sodium 100 UI/ml
Parenteral beslenme (Lipidler) 1415
Uyumlu
Enjeksiyon Heparin sodium 500 UI/ml
Enjeksiyon Thiopental sodium 60 mg/ml
Sodyum klorür % 0,9 3823
Uyumlu
Enjeksiyon Heparin sodium 100 UI/ml
Enjeksiyon Thiotepa 1 mg/ml
Glukoz %5 249
Uyumlu
Enjeksiyon Heparin sodium 50 UI/ml
Enjeksiyon Ticarcillin / clavulanic acid 31 mg/ml
Yok 317
Uyumlu
Enjeksiyon Heparin sodium 500 UI/ml
Enjeksiyon Tirofiban 250 µg/ml
Sodyum klorür % 0,9 3823
Uyumlu
Enjeksiyon Heparin sodium 40 & 100 UI/ml
Enjeksiyon Tirofiban 50 µg/ml
Sodyum klorür % 0,9 1420
Uyumlu
Enjeksiyon Heparin sodium
Glukoz %5 3540
Uyumlu
Enjeksiyon Heparin sodium
Enjeksiyon Tirofiban
1512
Uyumlu
Enjeksiyon Heparin sodium 40 & 100 UI/ml
Enjeksiyon Tirofiban 50 µg/ml
Glukoz %5 1420
Belirtilmemiş uyumsuzluk uyumsuz
Enjeksiyon Heparin sodium 50 UI/ml
Enjeksiyon Tobramycin sulfate 0.8 mg/ml
Yok 317
Belirtilmemiş uyumsuzluk uyumsuz
Enjeksiyon Heparin sodium
Enjeksiyon Tobramycin sulfate
3540
Uyumlu
Enjeksiyon Heparin sodium
Enjeksiyon Tranexamic acid
5016
Belirtilmemiş uyumsuzluk uyumsuz
Enjeksiyon Heparin sodium
Enjeksiyon Triflupromazine hydrochloride
3540
Uyumlu
Enjeksiyon Heparin sodium 500 UI/ml
Enjeksiyon Urapidil 5 mg/ml
Sodyum klorür % 0,9 3823
Acil yağış uyumsuz
Enjeksiyon Heparin sodium 0,5 >> 14,3 UI/ml
Enjeksiyon Vancomycin hydrochloride 6,9 >> 14,3 mg/ml
Dianéal® PD1 4.25% Glukoz (Baxter) 2375
Belirtilmemiş uyumsuzluk uyumsuz
Enjeksiyon Heparin sodium
Enjeksiyon Vancomycin hydrochloride
3588
Belirtilmemiş uyumsuzluk uyumsuz
Enjeksiyon Heparin sodium
Enjeksiyon Vancomycin hydrochloride
3540
Uyumlu
Enjeksiyon Heparin sodium 0,5 >> 14,3 UI/ml
Enjeksiyon Vancomycin hydrochloride 0,015 >> 6,8 mg/ml
Dianéal® PD2 2.5% glucose (Baxter) 2375
Acil yağış uyumsuz
Enjeksiyon Heparin sodium 0,5 >> 14,3 UI/ml
Enjeksiyon Vancomycin hydrochloride 6,9 >> 14,3 mg/ml
Dianéal® PD2 2.5% glucose (Baxter) 2375
Uyumlu
Enjeksiyon Heparin sodium 10 UI/ml
Enjeksiyon Vancomycin hydrochloride 0.025 mg/ml
Enjeksiyonluk su 3125
Uyumlu
Enjeksiyon Heparin sodium 0,5 >> 14,3 UI/ml
Enjeksiyon Vancomycin hydrochloride 0,015 >> 6,8 mg/ml
Dianéal® PD1 4.25% Glukoz (Baxter) 2375
Belirtilmemiş uyumsuzluk uyumsuz
Enjeksiyon Heparin sodium 50 UI/ml
Enjeksiyon Vancomycin hydrochloride 6.6 mg/ml
Yok 317
Uyumlu
Enjeksiyon Heparin sodium 100 UI/ml
Enjeksiyon Vancomycin hydrochloride 0.025 mg/ml
Sodyum klorür % 0,9 1414
Uyumlu
Enjeksiyon Heparin sodium 10 UI/ml
Enjeksiyon Vancomycin hydrochloride 2 mg/ml
Sodyum klorür % 0,9 2037
Acil yağış uyumsuz
Enjeksiyon Heparin sodium 100 UI/ml
Enjeksiyon Vancomycin hydrochloride 10 mg/ml
Parenteral beslenme (ikili karışım) 132
Uyumlu
Enjeksiyon Heparin sodium 5000 UI/ml
Enjeksiyon Vancomycin hydrochloride 2.5 mg/ml
Sodyum klorür % 0,9 2037
Uyumlu
Enjeksiyon Heparin sodium 100 UI/ml
Enjeksiyon Vancomycin hydrochloride 0.025 mg/ml
Sodyum klorür % 0,9 895
Uyumlu
Enjeksiyon Heparin sodium 100 UI/ml
Enjeksiyon Vasopressin 2 & 4 UI/ml
Sodyum klorür % 0,9 1801
Uyumlu
Enjeksiyon Heparin sodium 100 UI/ml
Enjeksiyon Vecuronium bromide 1 mg/ml
314
Uyumlu
Enjeksiyon Heparin sodium 40 UI/ml
Enjeksiyon Vecuronium bromide 0.1 mg/ml
Glukoz %5 402
Uyumlu
Enjeksiyon Heparin sodium 20 UI/ml
Enjeksiyon Verapamil hydrochloride 0.08 mg/ml
Sodyum klorür % 0,9 1057
Uyumlu
Enjeksiyon Heparin sodium 20 UI/ml
Enjeksiyon Verapamil hydrochloride 0.08 mg/ml
Glukoz %5 1057
Belirtilmemiş uyumsuzluk uyumsuz
Enjeksiyon Heparin sodium
Enjeksiyon Vinblastine sulfate
3540
Uyumlu
Enjeksiyon Heparin sodium 1000 UI/ml
Enjeksiyon Vinblastine sulfate 1 mg/ml
763
Uyumlu
Enjeksiyon Heparin sodium 1000 UI/ml
Enjeksiyon Vincristine sulfate 1 mg/ml
763
Uyumlu
Enjeksiyon Heparin sodium 100 UI/ml
Enjeksiyon Vinorelbine tartrate 1 mg/ml
Sodyum klorür % 0,9 84
Uyumlu
Enjeksiyon Heparin sodium 100 UI/ml
Enjeksiyon Vinorelbine tartrate 1 mg/ml
Sodyum klorür % 0,9 1070
Acil yağış uyumsuz
Enjeksiyon Heparin sodium 10 & 100 UI/ml
Enjeksiyon Vinorelbine tartrate 2 & 3 mg/ml
Sodyum klorür % 0,9 1070
Uyumlu
Enjeksiyon Heparin sodium 208 UI/ml
Enjeksiyon Voriconazole 8 mg/ml
Glukoz %5 4254
Uyumlu
Enjeksiyon Heparin sodium 208 UI/ml
Enjeksiyon Voriconazole 8 mg/ml
Sodyum klorür % 0,9 4254
Uyumlu
Enjeksiyon Heparin sodium 100 UI/ml
Enjeksiyon Warfarin sodium 2 mg/ml
Glukoz %5 315
Uyumlu
Enjeksiyon Heparin sodium 100 UI/ml
Enjeksiyon Zidovudine 4 mg/ml
Glukoz %5 337

  Mentions Légales