Poslední aktualizace :
18/03/2026
Antikoagulans   Heparin sodium  
injekce
Stabilita roztoků Stabilita směsí Faktory ovlivňující stabilitu Kompatibilita Způsoby aplikace Odkazy pdf
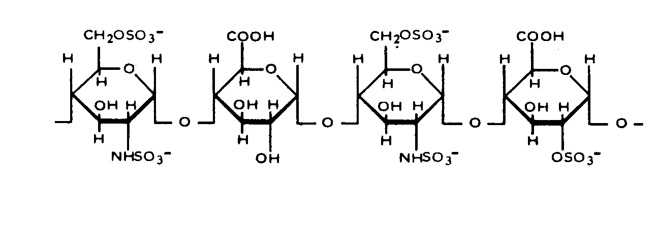
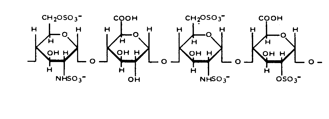
   Chemický vzorec  

Obchodní název   Obchodní název     

Trade names are indicative and excipients composition can be different depending on the country and manufacturers

Arapin Chile
Ateroclar Itálie
Clarisco Itálie
Epsoclar Itálie
Hepaflex Finsko, Norsko
Hepamax Chile, Ekvádor, Kolumbie
Heparin Dánsko, Finsko, Jihoafrická republika, Jugoslávie, Kanada, MaÔarsko, Nizozemsko, Norsko, Rakousko, rusky, Švédsko, Švýcarsko, Thajsko, Turecko, USA, Velká Británie, ÿecko
Heparine Belgie, Francie
Heparinised Austrálie
Heparstad NÏmecko
Liquemin Švýcarsko, Turecko
Liquemine BrazÌlie
Monoparin Saúdská Arábie
Normoparin Itálie
Nuparin Ekvádor
Pharepa Itálie
Riveparin Argentina
Sobrius Argentina, Ekvádor
Thrombophob NÏmecko
Kompatibilita   injekce   Kompatibilita : Heparin sodium              
Tato obrazovka ukazuje kompatibilitu nebo nekompatibilitu s, v tomto případě, typem nekompatibility (srážení, změna barvy, modifikace emulze atd.). Zde uvedené kompatibility jsou většinou pouze fyzikální, přičemž chemická stabilita každé molekuly je zřídka hodnocena. Hodnocení těchto směsí bylo studováno, aby se zvážila možnost podání Y-místa pacientovi. Tyto údaje nelze použít k přípravě směsí předem v pytlích nebo stříkačkách. Tento typ informací je k dispozici na obrazovce „Stabilita ve směsi“.
SlouËenina RozpouötÏdlo Odkazy
Kompatibilní
injekce Heparin sodium 100 UI/ml
injekce Aciclovir sodium 5 mg/ml
Chlorid sodný 0,9% 2335
Kompatibilní
injekce Heparin sodium 50 UI/ml
injekce Aciclovir sodium 5 mg/ml
GlukÛza 5% 336
Kompatibilní
injekce Heparin sodium 100 UI/ml
injekce Aldesleukin 0.0338 MUI/ml
GlukÛza 5% 36
Kompatibilní
injekce Heparin sodium 100 UI/ml
injekce Allopurinol sodium 3 mg/ml
Chlorid sodný 0,9% 307
Kompatibilní
injekce Heparin sodium 1 UI/ml
injekce Alprostadil 20 µg/ml
Chlorid sodný 0,9% 4491
Kompatibilní
injekce Heparin sodium 1 UI/ml
injekce Alprostadil 20 µg/ml
GlukÛza 5% 4651
Srážky po 24 hodinách Nekompatibilní
injekce Heparin sodium 100 UI/ml
injekce Alteplase 1 mg/ml
Voda pro injekci 92
Nespecifikovaná nekompatibilita Nekompatibilní
injekce Heparin sodium
injekce Alteplase
3540
Okamžité srážení Nekompatibilní
injekce Heparin sodium 40 UI/ml
injekce Alteplase 0.5 mg/ml
Voda pro injekci 240
Nespecifikovaná nekompatibilita Nekompatibilní
injekce Heparin sodium
injekce Alteplase
3616
Kompatibilní
injekce Heparin sodium 100 UI/ml
injekce Amifostine 10 mg/ml
GlukÛza 5% 3
Okamžité srážení Nekompatibilní
injekce Heparin sodium
injekce Amikacin sulfate
1022
Nespecifikovaná nekompatibilita Nekompatibilní
injekce Heparin sodium
injekce Amikacin sulfate
3549
Nespecifikovaná nekompatibilita Nekompatibilní
injekce Heparin sodium
injekce Amikacin sulfate
3540
Nespecifikovaná nekompatibilita Nekompatibilní
injekce Heparin sodium 500 UI/ml
injekce Amiodarone hydrochloride 15 mg/ml
Chlorid sodný 0,9% 3823
Nespecifikovaná nekompatibilita Nekompatibilní
injekce Heparin sodium
injekce Amiodarone hydrochloride
3540
Okamžitá zákal Nekompatibilní
injekce Heparin sodium 500 UI/ml
injekce Amiodarone hydrochloride 15 mg/ml
Chlorid sodný 0,9% 3463
Nespecifikovaná nekompatibilita Nekompatibilní
injekce Heparin sodium
injekce Amiodarone hydrochloride
3464
Nespecifikovaná nekompatibilita Nekompatibilní
injekce Heparin sodium 500 UI/ml
injekce Amiodarone hydrochloride 15 mg/ml
GlukÛza 5% 3823
Okamžitá zákal Nekompatibilní
injekce Heparin sodium 500 UI/ml
injekce Amiodarone hydrochloride 15 mg/ml
GlukÛza 5% 3463
Kompatibilní
injekce Heparin sodium 208 UI/ml
injekce Amoxicillin sodium 20.83 & 83.3 mg/ml
Chlorid sodný 0,9% 4254
Kompatibilní
injekce Heparin sodium 1000 UI/ml
injekce Amoxicillin sodium / clavulanic acid 100/10 mg/ml
3824
Kompatibilní
injekce Heparin sodium
injekce Ampicillin sodium
5088
Kompatibilní
injekce Heparin sodium 50 UI/ml
injekce Ampicillin sodium 20 mg/ml
Žádné 317
Kompatibilní
injekce Heparin sodium 50 UI/ml
injekce Ampicillin sodium - sulbactam sodium 30 mg/ml
Žádné 317
Okamžité srážení Nekompatibilní
injekce Heparin sodium 40 UI/ml
injekce Amsacrine 1 mg/ml
GlukÛza 5% 253
Kompatibilní
injekce Heparin sodium 100 UI/ml
injekce Anidulafungin 0.5 mg/ml
GlukÛza 5% 1982
Okamžité srážení Nekompatibilní
injekce Heparin sodium
injekce Antithymocyte globulin (rabbit)
4958
Okamžité srážení Nekompatibilní
injekce Heparin sodium 2 UI/ml
injekce Antithymocyte globulin (rabbit) 0,2 & 0,3 mg/ml
GlukÛza 5% 1822
Kompatibilní
injekce Heparin sodium 100 UI/ml
injekce Antithymocyte globulin (rabbit) 0,2 & 0,3 mg/ml
GlukÛza 5% 1822
Kompatibilní
injekce Heparin sodium 2 & 100 UI/ml
injekce Antithymocyte globulin (rabbit) 0,2 & 0,3 mg/ml
Chlorid sodný 0,9% 1822
Kompatibilní
injekce Heparin sodium 40 UI/ml
injekce Atracurium besylate 0.5 mg/ml
GlukÛza 5% 402
Kompatibilní
injekce Heparin sodium 1 UI/ml
injekce Atropine sulfate 0.5 mg/ml
GlukÛza 5% 1228
Kompatibilní
injekce Heparin sodium 500 UI/ml
Parenterální výživa (lipidy) 4507
Okamžité srážení Nekompatibilní
injekce Heparin sodium 1000 UI/ml
injekce Amphotericin B cholesteryl sulfate complex 0.83 mg/ml
GlukÛza 5% 921
Nespecifikovaná nekompatibilita Nekompatibilní
injekce Heparin sodium
injekce Ampicillin sodium
3540
Kompatibilní
injekce Heparin sodium 10 & 5000 UI/ml
injekce Ampicillin sodium 10 mg/ml
Chlorid sodný 0,9% 2037
Kompatibilní
injekce Heparin sodium 1 UI/ml
injekce Atropine sulfate 0.5 mg/ml
RingerŐs laktátový roztok 1228
Kompatibilní
injekce Heparin sodium 1 UI/ml
injekce Atropine sulfate 0.5 mg/ml
Chlorid sodný 0,9% 1228
Kompatibilní
injekce Heparin sodium 100 UI/ml
injekce Aztreonam 40 mg/ml
GlukÛza 5% 99
Kompatibilní
injekce Heparin sodium 50 UI/ml
injekce Aztreonam 20 mg/ml
Žádné 317
Kompatibilní
injekce Heparin sodium 1 UI/ml
injekce Betamethasone sodium phosphate 3 mg/ml
Chlorid sodný 0,9% 1228
Kompatibilní
injekce Heparin sodium 1 UI/ml
injekce Betamethasone sodium phosphate 3 mg/ml
GlukÛza 5% 1228
Kompatibilní
injekce Heparin sodium 1 UI/ml
injekce Betamethasone sodium phosphate 3 mg/ml
RingerŐs laktátový roztok 1228
Kompatibilní
injekce Heparin sodium 100 UI/ml
injekce Bivalirudin 5 mg/ml
GlukÛza 5% 1713
Okamžité srážení Nekompatibilní
injekce Heparin sodium 192.3 UI/ml
injekce Blinatumomab 0.125 & 0.375 µg/ml
Chlorid sodný 0,9% 3976
Kompatibilní
injekce Heparin sodium 1000 UI/ml
injekce Caffeine 10 mg/ml
Žádné 3964
Kompatibilní
injekce Heparin sodium 100 UI/ml
injekce Caffeine 10 mg/ml
Chlorid sodný 0,9% 4837
Kompatibilní
injekce Heparin sodium 100 UI/ml
injekce Caffeine citrate 20 mg/ml
Chlorid sodný 0,9% 4837
Srážení po 30 minutách Nekompatibilní
injekce Heparin sodium 2 UI/ml
injekce Calcium chloride 20 mg/ml
GlukÛza 5% 4732
Kompatibilní
injekce Heparin sodium 100 UI/ml
injekce Calcium chloride 20 mg/ml
GlukÛza 5% 4732
Okamžitá nestabilita emulze Nekompatibilní
injekce Heparin sodium
injekce Calcium chloride
Parenterální výživa (lipidy) 1084
Okamžitá nestabilita emulze Nekompatibilní
injekce Heparin sodium
injekce Calcium gluconate
Parenterální výživa (lipidy) 1084
Okamžité srážení Nekompatibilní
injekce Heparin sodium 100 UI/ml
injekce Caspofungin acetate 0.5 mg/ml
Chlorid sodný 0,9% 2233
Okamžité srážení Nekompatibilní
injekce Heparin sodium 100 UI/ml
injekce Caspofungin acetate 0,7 mg/ml
Chlorid sodný 0,9% 2247
Nespecifikovaná nekompatibilita Nekompatibilní
injekce Heparin sodium
injekce Cefalotin sodium
3540
Kompatibilní
injekce Heparin sodium 10 & 5000 UI/ml
injekce Cefazolin sodium 10 mg/ml
Chlorid sodný 0,9% 2037
Kompatibilní
injekce Heparin sodium 50 UI/ml
injekce Cefazolin sodium 20 mg/ml
Žádné 317
Kompatibilní
injekce Heparin sodium 0.667 UI/ml
injekce Cefazolin sodium 0.333 mg/ml
Dianéal® PD2 1.5% GlukÛza (Baxter) 1979
Kompatibilní
injekce Heparin sodium 10 & 50 UI/ml
injekce Cefepime dihydrochloride 4 mg/ml
Chlorid sodný 0,9% 3548
Kompatibilní
injekce Heparin sodium 10 & 50 UI/ml
injekce Cefepime dihydrochloride 4 mg/ml
GlukÛza 5% 3548
Kompatibilní
injekce Heparin sodium 1000 UI/ml
injekce Cefiderocol sulfate tosylate 20 mg/mL
GlukÛza 5% 4528
Kompatibilní
injekce Heparin sodium 1000 UI/ml
injekce Cefiderocol sulfate tosylate 20 mg/mL
Chlorid sodný 0,9% 4528
Chemická nestabilita Nekompatibilní
injekce Heparin sodium 100 UI/ml
injekce Cefmetazole sodium 100 mg/ml
Voda pro injekci 93
Kompatibilní
injekce Heparin sodium 208 UI/ml
injekce Cefotaxime sodium 41.6 & 125 mg/ml
GlukÛza 5% 4254
Kompatibilní
injekce Heparin sodium 208 UI/ml
injekce Cefotaxime sodium 41.6 & 125 mg/ml
Chlorid sodný 0,9% 4254
Kompatibilní
injekce Heparin sodium 5000 UI/ml
injekce Cefotaxime sodium 10 mg/ml
Voda pro injekci 3125
Kompatibilní
injekce Heparin sodium 100 UI/ml
injekce Ceftaroline fosamil 2,22 mg/ml
RingerŐs laktátový roztok 3249
Kompatibilní
injekce Heparin sodium 100 UI/ml
injekce Ceftaroline fosamil 2,22 mg/ml
Chlorid sodný 0,9% 3249
Kompatibilní
injekce Heparin sodium 100 UI/ml
injekce Ceftaroline fosamil 2,22 mg/ml
GlukÛza 5% 3249
Kompatibilní
injekce Heparin sodium 0.5 UI/ml
injekce Ceftazidime 0.125 mg/ml
Extraneal® (Baxter) 4056
Kompatibilní
injekce Heparin sodium 0.5 UI/ml
injekce Ceftazidime 0.125 mg/ml
Dianéal® PD2 4.25% GlukÛza (Baxter) 4056
Kompatibilní
injekce Heparin sodium 50 UI/ml
injekce Ceftazidime 20 mg/ml
Žádné 317
Kompatibilní
injekce Heparin sodium 0.5 UI/ml
injekce Ceftazidime 0.125 mg/ml
Dianéal® PD2 2.5% glucose (Baxter) 4056
Kompatibilní
injekce Heparin sodium 100 UI/ml
injekce Ceftobiprole medocaril sodium 2 mg/ml
Chlorid sodný 0,9% 2269
Kompatibilní
injekce Heparin sodium 100 UI/ml
injekce Ceftobiprole medocaril sodium 2 mg/ml
GlukÛza 5% 2269
Kompatibilní
injekce Heparin sodium 100 UI/ml
injekce Ceftobiprole medocaril sodium 2 mg/ml
RingerŐs laktátový roztok 2269
Kompatibilní
injekce Heparin sodium 1000 UI/ml
injekce Ceftolozane / tazobactam 10/5 mg/ml
Chlorid sodný 0,9% 3828
Kompatibilní
injekce Heparin sodium 1000 UI/ml
injekce Ceftolozane / tazobactam 10/5 mg/ml
GlukÛza 5% 3828
Kompatibilní
injekce Heparin sodium 50 UI/ml
injekce Ceftriaxone disodium 20 mg/ml
Žádné 317
Kompatibilní
injekce Heparin sodium 10 & 50 UI/ml
injekce Cefuroxime sodium
Chlorid sodný 0,9% 3687
Kompatibilní
injekce Heparin sodium 58,34 UI/ml
injekce Chlorpromazine hydrochloride 0,26 mg/ml
GlukÛza 5% 1289
Kompatibilní
injekce Heparin sodium 1 UI/ml
injekce Chlorpromazine hydrochloride 10 mg/ml
Chlorid sodný 0,9% 1228
Kompatibilní
injekce Heparin sodium 1 UI/ml
injekce Chlorpromazine hydrochloride 10 mg/ml
GlukÛza 5% 1228
Nespecifikovaná nekompatibilita Nekompatibilní
injekce Heparin sodium
injekce Chlorpromazine hydrochloride
3540
Kompatibilní
injekce Heparin sodium 1 UI/ml
injekce Chlorpromazine hydrochloride 10 mg/ml
RingerŐs laktátový roztok 1228
Kompatibilní
injekce Heparin sodium 50 UI/ml
injekce Cimetidine hydrochloride 6 mg/ml
Žádné 317
Kompatibilní
injekce Heparin sodium 5000 & 10000 UI/ml
injekce Ciprofloxacin lactate 0.4 & 0.6 mg/ml
Chlorid sodný 0,9% 2057
Okamžité srážení Nekompatibilní
injekce Heparin sodium 10 >> 10000 UI/ml
injekce Ciprofloxacin lactate 1 mg/ml
Chlorid sodný 0,9% 2057
Okamžité srážení Nekompatibilní
injekce Heparin sodium 10 & 100 UI/ml
injekce Ciprofloxacin lactate 0.2 mg/ml
Chlorid sodný 0,9% 2057
Nespecifikovaná nekompatibilita Nekompatibilní
injekce Heparin sodium
injekce Ciprofloxacin lactate
3540
Okamžité srážení Nekompatibilní
injekce Heparin sodium 10 >> 1000 UI/ml
injekce Ciprofloxacin lactate 0.4 & 0.6 mg/ml
Chlorid sodný 0,9% 2057
Kompatibilní
injekce Heparin sodium 1000 >> 10000 UI/ml
injekce Ciprofloxacin lactate 0.2 mg/ml
Chlorid sodný 0,9% 2057
Okamžité srážení Nekompatibilní
injekce Heparin sodium 10 >> 5000 UI/ml
injekce Ciprofloxacin lactate 0.8 mg/ml
Chlorid sodný 0,9% 2057
Kompatibilní
injekce Heparin sodium 10 >> 10000 UI/ml
injekce Ciprofloxacin lactate 0.1 mg/ml
Chlorid sodný 0,9% 2057
Okamžité srážení Nekompatibilní
injekce Heparin sodium 100 UI/ml
injekce Ciprofloxacin lactate 2 mg/ml
Chlorid sodný 0,9% 288
Nespecifikovaná nekompatibilita Nekompatibilní
injekce Heparin sodium
injekce Ciprofloxacin lactate
3529
Okamžité srážení Nekompatibilní
injekce Heparin sodium 100 UI/ml
injekce Ciprofloxacin lactate 2 mg/ml
GlukÛza 5% 288
Okamžité srážení Nekompatibilní
injekce Heparin sodium 10 >> 1000 UI/ml
injekce Ciprofloxacin lactate 2 mg/ml
Chlorid sodný 0,9% 289
Okamžitá zákal Nekompatibilní
injekce Heparin sodium 10 UI/ml
injekce Ciprofloxacin lactate 2 mg/ml
Žádné 1393
Kompatibilní
injekce Heparin sodium 10000 UI/ml
injekce Ciprofloxacin lactate 0.8 mg/ml
Chlorid sodný 0,9% 2057
Kompatibilní
injekce Heparin sodium 100 UI/ml
injekce Cisatracurium besylate 0.1 & 2 mg/ml
GlukÛza 5% 299
Okamžité srážení Nekompatibilní
injekce Heparin sodium 100 UI/ml
injekce Cisatracurium besylate 5 mg/ml
GlukÛza 5% 299
Změna barvy Nekompatibilní
injekce Heparin sodium 500 UI/ml
injekce Cisatracurium besylate 5 mg/ml
Chlorid sodný 0,9% 3463
Nespecifikovaná nekompatibilita Nekompatibilní
injekce Heparin sodium 500 UI/ml
injekce Cisatracurium besylate 5 mg/ml
Chlorid sodný 0,9% 3823
Nespecifikovaná nekompatibilita Nekompatibilní
injekce Heparin sodium
injekce Cisatracurium besylate
3540
Kompatibilní
injekce Heparin sodium 100 UI/ml
injekce Cladribine 0.5 mg/ml
NaCl 0,9% + antibakterial 1496
Kompatibilní
injekce Heparin sodium 100 UI/ml
injekce Cladribine 0.015 mg/ml
Chlorid sodný 0,9% 1496
Kompatibilní
injekce Heparin sodium 50 UI/ml
injekce Clindamycin phosphate 12 mg/ml
Žádné 317
Kompatibilní
injekce Heparin sodium 50 UI/ml
injekce Clonidine hydrochloride 0.0075 mg/ml
Chlorid sodný 0,9% 1506
Kompatibilní
injekce Heparin sodium 50 UI/ml
injekce Clonidine hydrochloride 0.0075 mg/ml
GlukÛza 5% 1506
Kompatibilní
injekce Heparin sodium 100 UI/ml
injekce Cloxacillin sodium 100 mg/ml
Voda pro injekci 3012
Srážky po 4 hodinách Nekompatibilní
injekce Heparin sodium 208 UI/ml
injekce Co-trimoxazole 3.2/0.64 & 80/16 mg/ml
Chlorid sodný 0,9% 4254
Srážky po 4 hodinách Nekompatibilní
injekce Heparin sodium 208 UI/ml
injekce Co-trimoxazole 3.2/0.64 & 80/16 mg/ml
GlukÛza 5% 4254
Kompatibilní
injekce Heparin sodium 1 UI/ml
injekce Cyanocobalamine 0.1 mg/ml
RingerŐs laktátový roztok 1228
Kompatibilní
injekce Heparin sodium 1 UI/ml
injekce Cyanocobalamine 0.1 mg/ml
GlukÛza 5% 1228
Kompatibilní
injekce Heparin sodium 1 UI/ml
injekce Cyanocobalamine 0.1 mg/ml
Chlorid sodný 0,9% 1228
Nespecifikovaná nekompatibilita Nekompatibilní
injekce Heparin sodium
injekce Cytarabine
3540
Nespecifikovaná nekompatibilita Nekompatibilní
injekce Heparin sodium
injekce Cytarabine
3580
Nespecifikovaná nekompatibilita Nekompatibilní
injekce Heparin sodium
injekce Dacarbazine
3605
Okamžité srážení Nekompatibilní
injekce Heparin sodium 100 UI/ml
injekce Dacarbazine 25 mg/ml
Chlorid sodný 0,9% 860
Nespecifikovaná nekompatibilita Nekompatibilní
injekce Heparin sodium
injekce Dacarbazine
3267
Nespecifikovaná nekompatibilita Nekompatibilní
injekce Heparin sodium
injekce Dacarbazine
3540
Kompatibilní
injekce Heparin sodium
injekce Daptomycin
2271
Kompatibilní
injekce Heparin sodium 98 UI/ml
injekce Daptomycin 19,6 mg/ml
Chlorid sodný 0,9% 1937
Okamžité srážení Nekompatibilní
injekce Heparin sodium
injekce Daunorubicin hydrochloride
3604
Nespecifikovaná nekompatibilita Nekompatibilní
injekce Heparin sodium
injekce Daunorubicin hydrochloride
3540
Okamžité srážení Nekompatibilní
injekce Heparin sodium
injekce Daunorubicin hydrochloride liposome
3577
Okamžitá zákal Nekompatibilní
injekce Heparin sodium
injekce Daunorubicin/cytarabine liposomale 0,4 mg/mL
Chlorid sodný 0,9% 4654
Kompatibilní
injekce Heparin sodium 373 UI/ml
injekce Defibrotide 8 mg/ml
Chlorid sodný 0,9% 3728
Kompatibilní
injekce Heparin sodium 50 UI/ml
injekce Dexamethasone sodium phosphate 0.08 mg/ml
Žádné 317
Kompatibilní
injekce Heparin sodium
injekce Dexketoprofen
4981
Kompatibilní
injekce Heparin sodium 100 UI/ml
injekce Dexmedetomidine 4 µg/ml
Chlorid sodný 0,9% 1712
Kompatibilní
injekce Heparin sodium 10000 UI/ml
injekce Diatrizoate meglumine 283 mg/ml
Žádné 1085
Nespecifikovaná nekompatibilita Nekompatibilní
injekce Heparin sodium
injekce Diazepam
3540
Kompatibilní
injekce Heparin sodium 100 UI/ml
injekce Diltiazem hydrochloride 1 mg/ml
314
Okamžité srážení Nekompatibilní
injekce Heparin sodium 20000 UI/ml
injekce Diltiazem hydrochloride 5 mg/ml
Chlorid sodný 0,9% 198
Kompatibilní
injekce Heparin sodium 100 UI/ml
injekce Diltiazem hydrochloride 1 mg/ml
GlukÛza 5% 4556
Okamžitá zákal Nekompatibilní
injekce Heparin sodium 100 UI/ml
injekce Diltiazem hydrochloride 5 mg/ml
GlukÛza 5% 4556
Kompatibilní
injekce Heparin sodium 20000 UI/ml
injekce Diltiazem hydrochloride 1 mg/ml
Chlorid sodný 0,9% 198
Kompatibilní
injekce Heparin sodium
injekce Diltiazem hydrochloride
5090
Kompatibilní
injekce Heparin sodium 80 >> 10000 UI/ml
injekce Diltiazem hydrochloride 1 & 5 mg/ml
Chlorid sodný 0,9% 198
Okamžité srážení Nekompatibilní
injekce Heparin sodium
injekce Dimenhydrinate
2087
Kompatibilní
injekce Heparin sodium 1 UI/ml
injekce Diphenhydramine hydrochloride 50 mg/ml
Chlorid sodný 0,9% 1228
Kompatibilní
injekce Heparin sodium 1 UI/ml
injekce Diphenhydramine hydrochloride 50 mg/ml
GlukÛza 5% 1228
Kompatibilní
injekce Heparin sodium 1 UI/ml
injekce Diphenhydramine hydrochloride 50 mg/ml
RingerŐs laktátový roztok 1228
Srážky po 4 hodinách Nekompatibilní
injekce Heparin sodium 100 UI/ml
injekce Dobutamine hydrochloride 4 mg/ml
314
Kompatibilní
injekce Heparin sodium 40 UI/ml
injekce Dobutamine hydrochloride 1 mg/ml
Chlorid sodný 0,9% 1058
Kompatibilní
injekce Heparin sodium 100 UI/ml
injekce Dobutamine hydrochloride 2 mg/ml
GlukÛza 5% 1041
Okamžité srážení Nekompatibilní
injekce Heparin sodium 100 UI/ml
injekce Dobutamine hydrochloride 2 mg/ml
GlukÛza 5% 1352
Okamžitá zákal Nekompatibilní
injekce Heparin sodium 100 UI/ml
injekce Dobutamine hydrochloride 4 mg/ml
GlukÛza 5% 295
Okamžité srážení Nekompatibilní
injekce Heparin sodium
injekce Dobutamine hydrochloride
3540
Změna barvy po 6 hodinách Nekompatibilní
injekce Heparin sodium 10000 UI/ml
injekce Dobutamine hydrochloride 2 mg/ml
GlukÛza 5% 1041
Kompatibilní
injekce Heparin sodium 40 UI/ml
injekce Dobutamine hydrochloride 1 mg/ml
GlukÛza 5% 1058
Kompatibilní
injekce Heparin sodium 50 UI/ml
injekce Dobutamine hydrochloride 1 mg/ml
Žádné 317
Kompatibilní
injekce Heparin sodium 100 UI/ml
injekce Docetaxel 0.9 mg/ml
GlukÛza 5% 1754
Kompatibilní
injekce Heparin sodium 1 UI/ml
injekce Dopamine hydrochloride 40 mg/ml
Chlorid sodný 0,9% 1228
Kompatibilní
injekce Heparin sodium 50 UI/ml
injekce Dopamine hydrochloride 1.6 mg/ml
Žádné 317
Kompatibilní
injekce Heparin sodium 100 UI/ml
injekce Dopamine hydrochloride 3.2 mg/ml
314
Kompatibilní
injekce Heparin sodium 1 UI/ml
injekce Dopamine hydrochloride 40 mg/ml
RingerŐs laktátový roztok 1228
Kompatibilní
injekce Heparin sodium 200 UI/ml
injekce Dopamine hydrochloride 0.8 mg/ml
GlukÛza 5% 738
Kompatibilní
injekce Heparin sodium 1 UI/ml
injekce Dopamine hydrochloride 40 mg/ml
GlukÛza 5% 1228
Kompatibilní
injekce Heparin sodium 100 UI/ml
injekce Dopamine hydrochloride 3,2 mg/ml
4389
Nespecifikovaná nekompatibilita Nekompatibilní
injekce Heparin sodium 187 UI/ml
injekce Dopamine hydrochloride 1,7 >> 3,4 mg/ml
GlukÛza 5% 377
Kompatibilní
injekce Heparin sodium 100 UI/ml
injekce Doripenem 5 mg/ml
Chlorid sodný 0,9% 2262
Kompatibilní
injekce Heparin sodium 100 UI/ml
injekce Doripenem 5 mg/ml
GlukÛza 5% 2262
Kompatibilní
injekce Heparin sodium 1 UI/ml
injekce Doxapram hydrochloride 2 mg/ml
GlukÛza 5% 1802
Nespecifikovaná nekompatibilita Nekompatibilní
injekce Heparin sodium
injekce Doxorubicin hydrochloride
3540
Okamžité srážení Nekompatibilní
injekce Heparin sodium
injekce Doxorubicin hydrochloride
3645
Okamžité srážení Nekompatibilní
injekce Heparin sodium 1000 UI/ml
injekce Doxorubicin hydrochloride 2 mg/ml
763
Kompatibilní
injekce Heparin sodium 1000 UI/ml
injekce Doxorubicin hydrochloride liposome peg 0.4 mg/ml
GlukÛza 5% 251
Nespecifikovaná nekompatibilita Nekompatibilní
injekce Heparin sodium 50 UI/ml
injekce Doxycycline hyclate 1 mg/ml
Žádné 317
Okamžité srážení Nekompatibilní
injekce Heparin sodium 1000 UI/ml
injekce Droperidol 2,5 mg/ml
763
Kompatibilní
injekce Heparin sodium 1 UI/ml
injekce Droperidol 1.25 mg/ml
Chlorid sodný 0,9% 1228
Kompatibilní
injekce Heparin sodium 1 UI/ml
injekce Droperidol 1.25 mg/ml
RingerŐs laktátový roztok 1228
Kompatibilní
injekce Heparin sodium 1 UI/ml
injekce Droperidol 1.25 mg/ml
GlukÛza 5% 1228
Nespecifikovaná nekompatibilita Nekompatibilní
injekce Heparin sodium
injekce Droperidol
3540
Kompatibilní
injekce Heparin sodium 45,45 UI/ml
injekce Enalaprilate 0,011 mg/ml
GlukÛza 5% 963
Kompatibilní
injekce Heparin sodium 40 UI/ml
injekce Enalaprilate 0.05 mg/ml
Chlorid sodný 0,9% 1315
Kompatibilní
injekce Heparin sodium 50 UI/ml
injekce Enalaprilate 0.0125 mg/ml
Chlorid sodný 0,9% 1703
Kompatibilní
injekce Heparin sodium 1 UI/ml
injekce Epinephrine hydrochloride 100 µg/ml
RingerŐs laktátový roztok 1228
Kompatibilní
injekce Heparin sodium 100 UI/ml
injekce Epinephrine hydrochloride 20 µg/ml
314
Kompatibilní
injekce Heparin sodium 1 UI/ml
injekce Epinephrine hydrochloride 100 µg/ml
Chlorid sodný 0,9% 1228
Kompatibilní
injekce Heparin sodium 1 UI/ml
injekce Epinephrine hydrochloride 100 µg/ml
GlukÛza 5% 1228
Nespecifikovaná nekompatibilita Nekompatibilní
injekce Heparin sodium
injekce Epirubicin hydrochloride
3632
Kompatibilní
injekce Heparin sodium
injekce Eptifibatide
3934
Kompatibilní
injekce Heparin sodium 1000 UI/ml
injekce Eravacycline 0,6 mg/ml
Chlorid sodný 0,9% 4434
Okamžitá zákal Nekompatibilní
injekce Heparin sodium 1 UI/ml
injekce Ergotamine tartrate 0.5 mg/ml
Chlorid sodný 0,9% 1228
Srážky po 4 hodinách Nekompatibilní
injekce Heparin sodium 1 UI/ml
injekce Ergotamine tartrate 0.5 mg/ml
RingerŐs laktátový roztok 1228
Srážky po 4 hodinách Nekompatibilní
injekce Heparin sodium 1 UI/ml
injekce Ergotamine tartrate 0.5 mg/ml
GlukÛza 5% 1228
Kompatibilní
injekce Heparin sodium 50 & 100 UI/ml
injekce Ertapenem 10 & 20 mg/ml
Chlorid sodný 0,9% 1906
Kompatibilní
injekce Heparin sodium 50 UI/ml
injekce Erythromycin lactobionate 3.3 mg/ml
Žádné 317
Nespecifikovaná nekompatibilita Nekompatibilní
injekce Heparin sodium
injekce Erythromycin lactobionate
3674
Nespecifikovaná nekompatibilita Nekompatibilní
injekce Heparin sodium
injekce Erythromycin lactobionate
3540
Kompatibilní
injekce Heparin sodium 50 UI/ml
injekce Esmolol hydrochloride 6 mg/ml
GlukÛza 5% 174
Kompatibilní
injekce Heparin sodium 40 UI/ml
injekce Esmolol hydrochloride 10 mg/ml
GlukÛza 5% 384
Kompatibilní
injekce Heparin sodium 500 UI/ml
injekce Esmolol hydrochloride 10 mg/ml
Chlorid sodný 0,9% 3823
Okamžité srážení Nekompatibilní
injekce Heparin sodium 1000 UI/ml
injekce Ethanol 70 %
Voda pro injekci +antibakteriální přísada 2221
Okamžité srážení Nekompatibilní
injekce Heparin sodium 1000 UI/ml
injekce Ethanol 70 %
Voda pro injekci 2221
Srážky po 1 hodině Nekompatibilní
injekce Heparin sodium 10 UI/ml
injekce Ethanol 70 %
Voda pro injekci +antibakteriální přísada 2221
Okamžité srážení Nekompatibilní
injekce Heparin sodium 10 UI/ml
injekce Ethanol 70 %
Voda pro injekci 2221
Kompatibilní
injekce Heparin sodium 100 UI/ml
injekce Etoposide phosphate 5 mg/ml
GlukÛza 5% 1410
Kompatibilní
injekce Heparin sodium 40 UI/ml
injekce Famotidine
GlukÛza 5% 397
Kompatibilní
injekce Heparin sodium 50 UI/ml
injekce Famotidine 0.2 mg/ml
GlukÛza 5% 398
Kompatibilní
injekce Heparin sodium 40 UI/ml
injekce Famotidine 2 mg/ml
Chlorid sodný 0,9% 215
Kompatibilní
injekce Heparin sodium 100 UI/ml
injekce Fenoldopam mesylate 80 µg/ml
Chlorid sodný 0,9% 1803
Kompatibilní
injekce Heparin sodium 100 UI/ml
injekce Fentanyl citrate 50 µg/ml
4389
Kompatibilní
injekce Heparin sodium 1 UI/ml
injekce Fentanyl citrate 50 µg/ml
GlukÛza 5% 1228
Kompatibilní
injekce Heparin sodium 1 UI/ml
injekce Fentanyl citrate 50 µg/ml
RingerŐs laktátový roztok 1228
Kompatibilní
injekce Heparin sodium 1 UI/ml
injekce Fentanyl citrate 50 µg/ml
Chlorid sodný 0,9% 1228
Kompatibilní
injekce Heparin sodium 100 UI/ml
injekce Fentanyl citrate 50 µg/ml
314
Okamžité srážení Nekompatibilní
injekce Heparin sodium 100 UI/ml
injekce Filgrastim 30 µg/ml
GlukÛza 5% 244
Kompatibilní
injekce Heparin sodium 1000 UI/ml
injekce Fluconazole 2 mg/ml
Chlorid sodný 0,9% 496
Kompatibilní
injekce Heparin sodium 50 UI/ml
injekce Fluconazole 2 mg/ml
Žádné 317
Kompatibilní
injekce Heparin sodium 40 >> 1000 UI/ml
injekce Fludarabine phosphate 1 mg/ml
GlukÛza 5% 492
Kompatibilní
injekce Heparin sodium 50 UI/ml
injekce Flumazenil 0,02 mg/ml
GlukÛza 5% 187
Kompatibilní
injekce Heparin sodium 5 UI/ml
injekce Fluorouracil 0,8 mg/ml
Chlorid sodný 0,9% 156
Kompatibilní
injekce Heparin sodium 5 UI/ml
injekce Fluorouracil 0,8 mg/ml
GlukÛza 5% 156
Kompatibilní
injekce Heparin sodium 1 UI/ml
injekce Fluorouracil 50 mg/ml
Chlorid sodný 0,9% 1228
Kompatibilní
injekce Heparin sodium 960 UI/ml
injekce Fluorouracil 24 mg/ml
GlukÛza 5% 163
Kompatibilní
injekce Heparin sodium 1 UI/ml
injekce Fluorouracil 50 mg/ml
GlukÛza 5% 1228
Kompatibilní
injekce Heparin sodium 1000 UI/ml
injekce Fluorouracil 50 mg/ml
763
Kompatibilní
injekce Heparin sodium 1 UI/ml
injekce Fluorouracil 50 mg/ml
RingerŐs laktátový roztok 1228
Kompatibilní
injekce Heparin sodium 1000 UI/ml
injekce Folinate calcium 10 mg/ml
763
Kompatibilní
injekce Heparin sodium 100 UI/ml
injekce Foscarnet sodium 24 mg/ml
GlukÛza 5% 1135
Kompatibilní
injekce Heparin sodium 100 UI/ml
injekce Foscarnet sodium 24 mg/ml
Chlorid sodný 0,9% 1135
Kompatibilní
injekce Heparin sodium 1000 UI/ml
injekce Foscarnet sodium 24 mg/ml
Žádné 73
Kompatibilní
injekce Heparin sodium 1000 UI/ml
injekce Fosfomycin 30 mg/ml
GlukÛza 5% 4055
Kompatibilní
injekce Heparin sodium 1000 UI/ml
injekce Fosfomycin 30 mg/ml
Chlorid sodný 0,9% 4055
Kompatibilní
injekce Heparin sodium 100 UI/ml
injekce Furosemide 10 mg/ml
314
Kompatibilní
injekce Heparin sodium 1 UI/ml
injekce Furosemide 10 mg/ml
Chlorid sodný 0,9% 1228
Srážky po 5 hodinách Nekompatibilní
injekce Heparin sodium 100 UI/ml
injekce Furosemide 10 mg/ml
GlukÛza 5% 4724
Kompatibilní
injekce Heparin sodium 20 UI/ml
injekce Furosemide 1 mg/ml
Chlorid sodný 0,9% 1232
Kompatibilní
injekce Heparin sodium 58,34 UI/ml
injekce Furosemide 5,21 mg/ml
GlukÛza 5% 1289
Kompatibilní
injekce Heparin sodium
injekce Furosemide
3465
Kompatibilní
injekce Heparin sodium 1 UI/ml
injekce Furosemide 10 mg/ml
RingerŐs laktátový roztok 1228
Kompatibilní
injekce Heparin sodium 1000 UI/ml
injekce Furosemide 10 mg/ml
763
Kompatibilní
injekce Heparin sodium 10 UI/ml
injekce Furosemide 10 mg/ml
Žádné 3210
Kompatibilní
injekce Heparin sodium 500 UI/ml
injekce Furosemide 10 mg/ml
Chlorid sodný 0,9% 3823
Kompatibilní
injekce Heparin sodium 500 UI/ml
injekce Furosemide 10 mg/ml
Žádné 3134
Kompatibilní
injekce Heparin sodium 1 UI/ml
injekce Furosemide 10 mg/ml
GlukÛza 5% 1228
Kompatibilní
injekce Heparin sodium 40 UI/ml
injekce Gallium nitrate 1 mg/ml
Chlorid sodný 0,9% 91
Kompatibilní
injekce Heparin sodium 100 UI/ml
injekce Gemcitabine hydrochloride 10 mg/ml
Chlorid sodný 0,9% 1423
Okamžitá zákal Nekompatibilní
injekce Heparin sodium 2500 UI/ml
injekce Gentamicin sulfate 3 mg/ml
4612
Nespecifikovaná nekompatibilita Nekompatibilní
injekce Heparin sodium
injekce Gentamicin sulfate
3520
Nespecifikovaná nekompatibilita Nekompatibilní
injekce Heparin sodium
injekce Gentamicin sulfate
3643
Okamžité srážení Nekompatibilní
injekce Heparin sodium
injekce Gentamicin sulfate
1022
Nespecifikovaná nekompatibilita Nekompatibilní
injekce Heparin sodium 50 UI/ml
injekce Gentamicin sulfate 2 mg/ml
Žádné 317
Okamžité srážení Nekompatibilní
injekce Heparin sodium 10 >> 40 UI/ml
injekce Gentamicin sulfate 4 >> 40 mg/ml
1258
Okamžité srážení Nekompatibilní
injekce Heparin sodium 2500 UI/ml
injekce Gentamicin sulfate 4 & 5 mg/ml
4612
Nespecifikovaná nekompatibilita Nekompatibilní
injekce Heparin sodium
injekce Gentamicin sulfate
3540
Kompatibilní
injekce Heparin sodium 2500 UI/ml
injekce Gentamicin sulfate 1 & 2 mg/ml
4612
Kompatibilní
injekce Heparin sodium 50 UI/ml
injekce Glycerophosphate disodium
Chlorid sodný 0,9% 4332
Kompatibilní
injekce Heparin sodium 100 UI/ml
injekce Granisetron hydrochloride 0.05 mg/ml
GlukÛza 5% 182
Okamžité srážení Nekompatibilní
injekce Heparin sodium 100 & 200 UI/ml
injekce Haloperidol lactate 5 mg/ml
GlukÛza 5% 617
Okamžité srážení Nekompatibilní
injekce Heparin sodium 100 & 200 UI/ml
injekce Haloperidol lactate 5 mg/ml
Chlorid sodný 0,9% 617
Kompatibilní
injekce Heparin sodium 500 UI/ml
injekce Haloperidol lactate 0.5 mg/ml
Chlorid sodný 0,9% 3823
Nespecifikovaná nekompatibilita Nekompatibilní
injekce Heparin sodium
injekce Haloperidol lactate
3540
Kompatibilní
injekce Heparin sodium 100 UI/ml
injekce Hetastarch 60 mg/ml
Zvláštní rozpouštědla 1721
Nespecifikovaná nekompatibilita Nekompatibilní
injekce Heparin sodium
injekce Hyaluronidase
3617
Nespecifikovaná nekompatibilita Nekompatibilní
injekce Heparin sodium
injekce Hyaluronidase
3184
Nespecifikovaná nekompatibilita Nekompatibilní
injekce Heparin sodium
injekce Hyaluronidase
3540
Kompatibilní
injekce Heparin sodium 1 UI/ml
injekce Hydralazine hydrochloride 20 mg/ml
GlukÛza 5% 1228
Kompatibilní
injekce Heparin sodium 1 UI/ml
injekce Hydralazine hydrochloride 20 mg/ml
RingerŐs laktátový roztok 1228
Kompatibilní
injekce Heparin sodium 1 UI/ml
injekce Hydralazine hydrochloride 20 mg/ml
Chlorid sodný 0,9% 1228
Kompatibilní
injekce Heparin sodium 100 UI/ml
injekce Hydrocortisone sodium succinate 125 mg/ml
Chlorid sodný 0,9% 132
Nespecifikovaná nekompatibilita Nekompatibilní
injekce Heparin sodium
injekce Hydrocortisone sodium succinate
3540
Kompatibilní
injekce Heparin sodium 50 UI/ml
injekce Hydrocortisone sodium succinate 2 mg/ml
Žádné 317
Kompatibilní
injekce Heparin sodium 100 UI/ml
injekce Hydrocortisone sodium succinate 125 mg/ml
GlukÛza 5% 132
Kompatibilní
injekce Heparin sodium
injekce Hydromorphone hydrochloride <12.5 mg/ml
Chlorid sodný 0,9% 66
Kompatibilní
injekce Heparin sodium 100 UI/ml
injekce Hydromorphone hydrochloride 1 mg/ml
314
Okamžité srážení Nekompatibilní
injekce Heparin sodium <12,5 UI/ml
injekce Hydromorphone hydrochloride >25 mg/ml
Chlorid sodný 0,9% 66
Kompatibilní
injekce Heparin sodium
injekce Hydromorphone hydrochloride <12.5 mg/ml
Voda pro injekci 66
Okamžité srážení Nekompatibilní
injekce Heparin sodium <1 UI/ml
injekce Hydromorphone hydrochloride >10 mg/ml
Voda pro injekci 66
Okamžité srážení Nekompatibilní
injekce Heparin sodium <12,5 UI/ml
injekce Hydromorphone hydrochloride >25 mg/ml
Voda pro injekci 66
Kompatibilní
injekce Heparin sodium 100 UI/ml
injekce Ibuprofen lysinate 10 mg/ml
Voda pro injekci 4419
Kompatibilní
injekce Heparin sodium 10 UI/ml
injekce Ibuprofen lysinate 10 mg/ml
Voda pro injekci 4419
Okamžitá zákal Nekompatibilní
injekce Heparin sodium 100 & 1000 UI/ml
injekce Idarubicin hydrochloride 1 mg/ml
Chlorid sodný 0,9% 491
Okamžité srážení Nekompatibilní
injekce Heparin sodium
injekce Idarubicin hydrochloride
5075
Kompatibilní
injekce Heparin sodium
injekce Imipenem-Cilastatin / Relebactam
4809
Kompatibilní
injekce Heparin sodium 1000 UI/ml
injekce Imipenem-Cilastatin / Relebactam 5 mg/ml
Chlorid sodný 0,9% 4433
Kompatibilní
injekce Heparin sodium 1000 UI/ml
injekce Imipenem-Cilastatin / Relebactam 5 mg/ml
GlukÛza 5% 4433
Kompatibilní
injekce Heparin sodium 500 UI/ml
injekce Insulin 2 UI/ml
Chlorid sodný 0,9% 3823
Kompatibilní
injekce Heparin sodium 60 UI/ml
injekce Insulin 0.2 UI/ml
Chlorid sodný 0,9% 129
Kompatibilní
injekce Heparin sodium 50 & 400 UI/ml
injekce Insulin aspart 1 UI/ml
GlukÛza 5% 1508
Kompatibilní
injekce Heparin sodium 50 & 400 UI/ml
injekce Insulin aspart 1 UI/ml
Chlorid sodný 0,9% 1508
Kompatibilní
injekce Heparin sodium 10000 UI/ml
injekce Iohexol 300 mg I/ml
Žádné 1085
Kompatibilní
injekce Heparin sodium 10000 UI/ml
injekce Ioxaglate 320 mg I/ml
Žádné 1085
Okamžitá zákal Nekompatibilní
injekce Heparin sodium 1000 UI/ml
injekce Isavuconazonium sulfate 1.5 mg/ml
Chlorid sodný 0,9% 3829
Okamžitá zákal Nekompatibilní
injekce Heparin sodium 1000 UI/ml
injekce Isavuconazonium sulfate 1.5 mg/ml
GlukÛza 5% 3829
Kompatibilní
injekce Heparin sodium 1 UI/ml
injekce Isoprenaline hydrochloride 0.2 mg/ml
GlukÛza 5% 1228
Kompatibilní
injekce Heparin sodium 1 UI/ml
injekce Isoprenaline hydrochloride 0.2 mg/ml
Chlorid sodný 0,9% 1228
Kompatibilní
injekce Heparin sodium 1 UI/ml
injekce Isoprenaline hydrochloride 0.2 mg/ml
RingerŐs laktátový roztok 1228
Nespecifikovaná nekompatibilita Nekompatibilní
injekce Heparin sodium
injekce Kanamycin sulfate
3540
Okamžité srážení Nekompatibilní
injekce Heparin sodium 25000 UI/ml
injekce Ketamine hydrochloride 50 mg/ml
2109
Kompatibilní
injekce Heparin sodium 100 UI/ml
injekce Labetalol hydrochloride 2 mg/ml
314
Nespecifikovaná nekompatibilita Nekompatibilní
injekce Heparin sodium 500 UI/ml
injekce Labetalol hydrochloride 4 mg/ml
Chlorid sodný 0,9% 3823
Nespecifikovaná nekompatibilita Nekompatibilní
injekce Heparin sodium
injekce Labetalol hydrochloride
3540
Okamžité srážení Nekompatibilní
injekce Heparin sodium 100 UI/ml
injekce Labetalol hydrochloride 5 mg/ml
GlukÛza 5% 295
Kompatibilní
injekce Heparin sodium 40 UI/ml
injekce Labetalol hydrochloride 1 mg/ml
GlukÛza 5% 386
Kompatibilní
injekce Heparin sodium 100 UI/ml
injekce Lansoprazole 0.55 mg/ml
Chlorid sodný 0,9% 1625
Zákal za 4 hodiny Nekompatibilní
injekce Heparin sodium 100 UI/ml
injekce Levetiracetam 100 mg/ml
GlukÛza 5% 4108
Okamžitá zákal Nekompatibilní
injekce Heparin sodium 208,3 UI/ml
injekce Levetiracetam 15 mg/ml
Chlorid sodný 0,9% 4698
Nespecifikovaná nekompatibilita Nekompatibilní
injekce Heparin sodium
injekce Levofloxacine
3920
Okamžité srážení Nekompatibilní
injekce Heparin sodium 10 UI/ml
injekce Levofloxacine 5 mg/ml
GlukÛza 5% 1072
Nespecifikovaná nekompatibilita Nekompatibilní
injekce Heparin sodium
injekce Levomepromazine
3540
Kompatibilní
injekce Heparin sodium 100 UI/ml
injekce Levosimendan 2,5 mg/ml
GlukÛza 5% 4389
Kompatibilní
injekce Heparin sodium 50 UI/ml
injekce Lidocaine hydrochloride 4 mg/ml
Žádné 317
Kompatibilní
injekce Heparin sodium 1000 UI/ml
injekce Linezolid 2 mg/ml
Žádné 1925
Kompatibilní
injekce Heparin sodium 10 >> 10000 UI/ml
injekce Linezolid 0.2 >> 1.92 mg/ml
Chlorid sodný 0,9% 2057
Kompatibilní
injekce Heparin sodium 417 UI/ml
injekce Lorazepam 0.33 mg/ml
Chlorid sodný 0,9% 186
Kompatibilní
injekce Heparin sodium 100 UI/ml
injekce Lorazepam 0.5 mg/ml
314
Kompatibilní
injekce Heparin sodium 1 UI/ml
injekce Magnesium sulfate 5 mg/ml
Chlorid sodný 0,9% 1228
Kompatibilní
injekce Heparin sodium 50 UI/ml
injekce Magnesium sulfate 15.6 mg/ml
Chlorid sodný 0,9% 2100
Kompatibilní
injekce Heparin sodium 1 UI/ml
injekce Magnesium sulfate 5 mg/ml
RingerŐs laktátový roztok 1228
Kompatibilní
injekce Heparin sodium 1 UI/ml
injekce Magnesium sulfate 5 mg/ml
GlukÛza 5% 1228
Kompatibilní
injekce Heparin sodium 100 UI/ml
injekce Melphalan 0.1 mg/ml
Chlorid sodný 0,9% 169
Kompatibilní
injekce Heparin sodium 0.5 UI/ml
injekce Meropenem 0.5 mg/ml
Dianéal® 4.25% glucose (Baxter) 4180
Kompatibilní
injekce Heparin sodium 0.5 UI/ml
injekce Meropenem 0.5 mg/ml
Extraneal® (Baxter) 4180
Kompatibilní
injekce Heparin sodium 1000 UI/ml
injekce Meropenem 50 mg/ml
Voda pro injekci 4319
Kompatibilní
injekce Heparin sodium 1 UI/ml
injekce Meropenem 1 & 50 mg/ml
Chlorid sodný 0,9% 266
Kompatibilní
injekce Heparin sodium 0.5 UI/ml
injekce Meropenem 0.5 mg/ml
Dianéal® 1.5% glucose (Baxter) 4180
Kompatibilní
injekce Heparin sodium 20 UI/ml
injekce Meropenem 1 & 20 mg/ml
Chlorid sodný 0,9% 266
Kompatibilní
injekce Heparin sodium 0.5 UI/ml
injekce Meropenem 0.5 mg/ml
Dianéal® 2.5% glucose (Baxter) 4180
Kompatibilní
injekce Heparin sodium 50 UI/ml
injekce Methadone hydrochloride 0.2 mg/ml
GlukÛza 5% 1506
Kompatibilní
injekce Heparin sodium 50 UI/ml
injekce Methadone hydrochloride 0.2 mg/ml
Chlorid sodný 0,9% 1506
Nespecifikovaná nekompatibilita Nekompatibilní
injekce Heparin sodium
injekce Methotrexate sodium
3637
Kompatibilní
injekce Heparin sodium 1000 UI/ml
injekce Methotrexate sodium 25 mg/ml
763
Kompatibilní
injekce Heparin sodium 500 UI/ml
injekce Methotrexate sodium 30 mg/ml
Chlorid sodný 0,9% 150
Kompatibilní
injekce Heparin sodium 100 UI/ml
injekce Methylprednisolone sodium succinate 5 mg/ml
GlukÛza 5% 132
Kompatibilní
injekce Heparin sodium 50 UI/ml
injekce Methylprednisolone sodium succinate 2.5 mg/ml
Žádné 317
Kompatibilní
injekce Heparin sodium 100 UI/ml
injekce Methylprednisolone sodium succinate 5 mg/ml
Chlorid sodný 0,9% 132
Kompatibilní
injekce Heparin sodium 1000 UI/ml
injekce Metoclopramide hydrochloride 5 mg/ml
763
Chemická nestabilita Nekompatibilní
injekce Heparin sodium 1000 UI/ml
injekce Metoprolol tartrate 1 mg/ml
Žádné 2346
Kompatibilní
injekce Heparin sodium 50 UI/ml
injekce Metronidazole 5 mg/ml
Žádné 317
Kompatibilní
injekce Heparin sodium 100 UI/ml
injekce Micafungin 1.5 mg/ml
Chlorid sodný 0,9% 2108
Okamžitá zákal Nekompatibilní
injekce Heparin sodium 208,3 UI/ml
injekce Midazolam hydrochloride 1 mg/ml
Chlorid sodný 0,9% 4698
Kompatibilní
injekce Heparin sodium 500 UI/ml
injekce Midazolam hydrochloride 2.1 mg/ml
Chlorid sodný 0,9% 3823
Kompatibilní
injekce Heparin sodium 417 UI/ml
injekce Midazolam hydrochloride 5 mg/ml
Žádné 186
Kompatibilní
injekce Heparin sodium 100 UI/ml
injekce Midazolam hydrochloride 5 mg/ml
4389
Kompatibilní
injekce Heparin sodium 100 UI/ml
injekce Midazolam hydrochloride 2 mg/ml
314
Kompatibilní
injekce Heparin sodium 200 UI/ml
injekce Milrinone lactate 0.8 mg/ml
GlukÛza 5% 813
Kompatibilní
injekce Heparin sodium 100 UI/ml
injekce Milrinone lactate 0.2 mg/ml
314
Kompatibilní
injekce Heparin sodium 1 UI/ml
injekce Minocycline hydrochloride 0.2 mg/ml
GlukÛza 5% 1228
Kompatibilní
injekce Heparin sodium 1 UI/ml
injekce Minocycline hydrochloride 0.2 mg/ml
RingerŐs laktátový roztok 1228
Kompatibilní
injekce Heparin sodium 1 UI/ml
injekce Minocycline hydrochloride 0.2 mg/ml
Chlorid sodný 0,9% 1228
Nespecifikovaná nekompatibilita Nekompatibilní
injekce Heparin sodium
injekce Mitoxantrone dihydrochloride
3640
Nespecifikovaná nekompatibilita Nekompatibilní
injekce Heparin sodium
injekce Morphine hydrochloride
5069
Kompatibilní
injekce Heparin sodium 100 & 200 UI/ml
injekce Morphine sulfate 1 >> 5 mg/ml
Voda pro injekci 341
Kompatibilní
injekce Heparin sodium 1 UI/ml
injekce Morphine sulfate 15 mg/ml
RingerŐs laktátový roztok 1228
Nespecifikovaná nekompatibilita Nekompatibilní
injekce Heparin sodium
injekce Morphine sulfate
3531
Kompatibilní
injekce Heparin sodium 1 UI/ml
injekce Morphine sulfate 15 mg/ml
GlukÛza 5% 1228
Kompatibilní
injekce Heparin sodium 1 UI/ml
injekce Morphine sulfate 15 mg/ml
Chlorid sodný 0,9% 1228
Kompatibilní
injekce Heparin sodium 60 UI/ml
injekce Morphine sulfate 1 mg/ml
Chlorid sodný 0,9% 406
Kompatibilní
injekce Heparin sodium 100 & 200 UI/ml
injekce Morphine sulfate 10 mg/ml
Voda pro injekci 341
Kompatibilní
injekce Heparin sodium 100 UI/ml
injekce Morphine sulfate 2 mg/ml
314
Chemická nestabilita Nekompatibilní
injekce Heparin sodium 100 & 200 UI/ml
injekce Morphine sulfate 1 >> 10 mg/ml
Chlorid sodný 0,9% 341
Kompatibilní
injekce Heparin sodium 1000 UI/ml
injekce N-acetylcysteine 200 mg/ml
Žádné 3766
Kompatibilní
injekce Heparin sodium 50 UI/ml
injekce Nafcillin sodium 20 mg/ml
Žádné 317
Kompatibilní
injekce Heparin sodium 1000 UI/ml
injekce Naloxone hydrochloride 0.4 mg/ml
Žádné 3408
Okamžitá zákal Nekompatibilní
injekce Heparin sodium 208,3 UI/ml
injekce Nefopam 1,7 mg/ml
Chlorid sodný 0,9% 4698
Kompatibilní
injekce Heparin sodium 1 UI/ml
injekce Neostigmine methylsulfate 0.5 mg/ml
GlukÛza 5% 1228
Kompatibilní
injekce Heparin sodium 1 UI/ml
injekce Neostigmine methylsulfate 0.5 mg/ml
Chlorid sodný 0,9% 1228
Kompatibilní
injekce Heparin sodium 1 UI/ml
injekce Neostigmine methylsulfate 0.5 mg/ml
RingerŐs laktátový roztok 1228
Nespecifikovaná nekompatibilita Nekompatibilní
injekce Heparin sodium
injekce Nesiritide
5048
Nespecifikovaná nekompatibilita Nekompatibilní
injekce Heparin sodium
injekce Netilmicin sulfate
3540
Okamžité srážení Nekompatibilní
injekce Heparin sodium
injekce Netilmicin sulfate
1022
Okamžité srážení Nekompatibilní
injekce Heparin sodium 100 UI/ml
injekce Nicardipine hydrochloride 1 mg/ml
314
Nespecifikovaná nekompatibilita Nekompatibilní
injekce Heparin sodium
injekce Nicardipine hydrochloride
3540
Kompatibilní
injekce Heparin sodium 40 UI/ml
injekce Nicardipine hydrochloride 0.1 mg/ml
GlukÛza 5% 1490
Kompatibilní
injekce Heparin sodium 40 UI/ml
injekce Nicardipine hydrochloride 0.1 mg/ml
Chlorid sodný 0,9% 1490
Okamžité srážení Nekompatibilní
injekce Heparin sodium 100 UI/ml
injekce Nitroglycerin 1,6 >> 3,25 mg/ml
GlukÛza 5% 295
Kompatibilní
injekce Heparin sodium 500 UI/ml
injekce Nitroglycerin 0.2 mg/ml
Chlorid sodný 0,9% 3823
Výroba plynových bublin Nekompatibilní
injekce Heparin sodium 50 UI/ml
injekce Nitroglycerin 0.2 mg/ml
Žádné 317
Kompatibilní
injekce Heparin sodium 500 UI/ml
injekce Nitroglycerin 0.2 mg/ml
GlukÛza 5% 3823
Kompatibilní
injekce Heparin sodium 100 UI/ml
injekce Nitroglycerin 0.4 mg/ml
314
Kompatibilní
injekce Heparin sodium 50 UI/ml
injekce Nitroprusside sodium 0.2 mg/ml
Žádné 317
Kompatibilní
injekce Heparin sodium 100 UI/ml
injekce Nitroprusside sodium 0.2 mg/ml
GlukÛza 5% 295
Kompatibilní
injekce Heparin sodium 100 UI/ml
injekce Norepinephrine bitartrate 0.128 mg/ml
314
Nespecifikovaná nekompatibilita Nekompatibilní
injekce Heparin sodium
injekce Ofloxacin
3562
Kompatibilní
injekce Heparin sodium 40 UI/ml
injekce Ondansetron hydrochloride 1 mg/ml
Chlorid sodný 0,9% 334
Nekompatibilní
injekce Heparin sodium 200 UI/ml
injekce Ondansetron hydrochloride 1.6 mg/ml
1699
Okamžitá zákal Nekompatibilní
injekce Heparin sodium 100 UI/ml
injekce Oritavancin 0.8 >>1.2 mg/ml
GlukÛza 5% 3152
Srážky po 4 hodinách Nekompatibilní
injekce Heparin sodium 100 UI/ml
injekce Oritavancin 2 mg/ml
GlukÛza 5% 3152
Kompatibilní
injekce Heparin sodium 208 UI/ml
injekce Ornidazole 31.25 mg/ml
Chlorid sodný 0,9% 4254
Kompatibilní
injekce Heparin sodium 1 UI/ml
injekce Oxacillin sodium 100 mg/ml
GlukÛza 5% 1228
Kompatibilní
injekce Heparin sodium 1 UI/ml
injekce Oxacillin sodium 100 mg/ml
RingerŐs laktátový roztok 1228
Kompatibilní
injekce Heparin sodium 1 UI/ml
injekce Oxacillin sodium 100 mg/ml
Chlorid sodný 0,9% 1228
Kompatibilní
injekce Heparin sodium 100 UI/ml
injekce Oxaliplatin 0,5 mg/ml
GlukÛza 5% 1662
Nespecifikovaná nekompatibilita Nekompatibilní
injekce Heparin sodium
injekce Oxytetracycline hydrochloride
3540
Kompatibilní
injekce Heparin sodium 100 UI/ml
injekce Paclitaxel 1.2 mg/ml
GlukÛza 5% 248
Kompatibilní
injekce Heparin sodium 100 UI/ml
injekce Palonosetron hydrochloride 50 µg/ml
GlukÛza 5% 2279
Kompatibilní
injekce Heparin sodium 40 UI/ml
injekce Pancuronium bromide 0.05 mg/ml
GlukÛza 5% 402
Srážky po 1 hodině Nekompatibilní
injekce Heparin sodium
injekce Pantoprazole sodium
2090
Kompatibilní
injekce Heparin sodium 208,3 UI/ml
injekce Paracetamol 10 mg/ml
Chlorid sodný 0,9% 4698
Kompatibilní
injekce Heparin sodium 1000 UI/ml
injekce Paracetamol 10 mg/ml
4742
Kompatibilní
injekce Heparin sodium 100 UI/ml
injekce Pemetrexed disodium 20 mg/ml
Chlorid sodný 0,9% 1953
Nespecifikovaná nekompatibilita Nekompatibilní
injekce Heparin sodium
injekce Penicillin G potassium
3540
Kompatibilní
injekce Heparin sodium 50 UI/ml
injekce Penicillin G potassium 0.04 MUI/ml
Žádné 317
Nespecifikovaná nekompatibilita Nekompatibilní
injekce Heparin sodium
injekce Penicillin G sodium
3540
Kompatibilní
injekce Heparin sodium 100 UI/ml
injekce Pentoxifyllin 5 mg/ml
Chlorid sodný 0,9% 4538
Okamžitá zákal Nekompatibilní
injekce Heparin sodium
injekce Pethidine hydrochloride
3525
Kompatibilní
injekce Heparin sodium 60 UI/ml
injekce Pethidine hydrochloride 10 mg/ml
Chlorid sodný 0,9% 406
Nespecifikovaná nekompatibilita Nekompatibilní
injekce Heparin sodium
injekce Pethidine hydrochloride
3540
Okamžité srážení Nekompatibilní
injekce Heparin sodium 50 UI/ml
injekce Phenytoin sodium 2 mg/ml
Žádné 317
Kompatibilní
injekce Heparin sodium 50 UI/ml
injekce Piperacillin sodium 60 mg/ml
Žádné 317
Kompatibilní
injekce Heparin sodium 10 & 5000 UI/ml
injekce Piperacillin sodium 40 mg/ml
Chlorid sodný 0,9% 2037
Kompatibilní
injekce Heparin sodium 0.5 UI/ml
injekce Piperacillin sodium / tazobactam 0.5/0.0625 mg/ml
Dianéal® 2.5% glucose (Baxter) 4180
Kompatibilní
injekce Heparin sodium 0.5 UI/ml
injekce Piperacillin sodium / tazobactam 0.5/0.0625 mg/ml
Dianéal® 4.25% glucose (Baxter) 4180
Okamžitá zákal Nekompatibilní
injekce Heparin sodium 1000 UI/ml
injekce Plazomicin sulfate 24 mg/ml
Chlorid sodný 0,9% 4145
Nespecifikovaná nekompatibilita Nekompatibilní
injekce Heparin sodium
injekce Polymyxine B
3540
Kompatibilní
injekce Heparin sodium 50 UI/ml
injekce Potassium chloride 200 mEq/l
Žádné 317
Kompatibilní
injekce Heparin sodium 1 UI/ml
injekce Procainamide hydrochloride 100 mg/ml
RingerŐs laktátový roztok 1228
Kompatibilní
injekce Heparin sodium 1 UI/ml
injekce Procainamide hydrochloride 100 mg/ml
Chlorid sodný 0,9% 1228
Kompatibilní
injekce Heparin sodium 1 UI/ml
injekce Prochlorperazine edysilate 5 mg/ml
Chlorid sodný 0,9% 1228
Kompatibilní
injekce Heparin sodium 3 >> 20 UI/ml
Parenterální výživa (binární směs) 791
Kompatibilní
injekce Heparin sodium 100 UI/ml
Parenterální výživa (binární směs) 301
Kompatibilní
injekce Heparin sodium 500 UI/ml
Parenterální výživa (binární směs) 939
Kompatibilní
injekce Heparin sodium 1 UI/ml
injekce Prochlorperazine edysilate 5 mg/ml
RingerŐs laktátový roztok 1228
Kompatibilní
injekce Heparin sodium 1 UI/ml
injekce Promethazine hydrochloride 50 mg/ml
Chlorid sodný 0,9% 1228
Kompatibilní
injekce Heparin sodium 1 UI/ml
injekce Promethazine hydrochloride 50 mg/ml
RingerŐs laktátový roztok 1228
Kompatibilní
injekce Heparin sodium 1 UI/ml
injekce Propranolol hydrochloride 1 mg/ml
RingerŐs laktátový roztok 1228
Kompatibilní
injekce Heparin sodium 1 UI/ml
injekce Propranolol hydrochloride 1 mg/ml
Chlorid sodný 0,9% 1228
Kompatibilní
injekce Heparin sodium 50 UI/ml
injekce Ranitidine hydrochloride 0,5 mg/ml
GlukÛza 5% 396
Kompatibilní
injekce Heparin sodium 10 & 40 UI/ml
injekce Ranitidine hydrochloride 0.05 & 2 mg/ml
Chlorid sodný 0,9% 214
Kompatibilní
injekce Heparin sodium 50 UI/ml
injekce Ranitidine hydrochloride 1 mg/ml
Žádné 317
Kompatibilní
injekce Heparin sodium 1000 UI/ml
injekce Remdesivir 1 mg/ml
Chlorid sodný 0,9% 4768
Kompatibilní
injekce Heparin sodium 100 UI/ml
injekce Remifentanil hydrochloride 25 & 250 µg/ml
Chlorid sodný 0,9% 59
Kompatibilní
injekce Heparin sodium 500 UI/ml
injekce Remifentanil hydrochloride 100 µg/ml
Chlorid sodný 0,9% 3823
Kompatibilní
injekce Heparin sodium 500 UI/ml
NaHCO3 150
Kompatibilní
injekce Heparin sodium 1.4 UI/ml
injekce Piperacillin sodium / tazobactam 1.38/0.1725 mg/ml
Physionéal® 2.27 (Baxter) 4180
Kompatibilní
injekce Heparin sodium 1.4 UI/ml
injekce Piperacillin sodium / tazobactam 1.38/0.1725 mg/ml
Physionéal® 1.36 (Baxter) 4180
Kompatibilní
injekce Heparin sodium 0.5 UI/ml
injekce Piperacillin sodium / tazobactam 0.5/0.0625 mg/ml
Dianéal® 1.5% glucose (Baxter) 4180
Kompatibilní
injekce Heparin sodium 1.4 UI/ml
injekce Piperacillin sodium / tazobactam 1.38/0.1725 mg/ml
Physionéal® 3.86 (Baxter) 4180
Kompatibilní
injekce Heparin sodium 100 UI/ml
injekce Piperacillin sodium / tazobactam 40/5 mg/ml
GlukÛza 5% 81
Kompatibilní
injekce Heparin sodium 0.5 UI/ml
injekce Piperacillin sodium / tazobactam 0.5/0.0625 mg/ml
Extraneal® (Baxter) 4180
Kompatibilní
injekce Heparin sodium 500 UI/ml
injekce Potassium chloride 10 mEq/l
Chlorid sodný 0,9% 3823
Kompatibilní
injekce Heparin sodium 58,34 UI/ml
injekce Potassium chloride 1250 mEq/l
GlukÛza 5% 1289
Kompatibilní
injekce Heparin sodium
injekce Potassium phosphate
3781
Kompatibilní
injekce Heparin sodium 1 UI/ml
injekce Procainamide hydrochloride 100 mg/ml
GlukÛza 5% 1228
Kompatibilní
injekce Heparin sodium 1 UI/ml
injekce Prochlorperazine edysilate 5 mg/ml
GlukÛza 5% 1228
Kompatibilní
injekce Heparin sodium 1 UI/ml
injekce Promethazine hydrochloride 50 mg/ml
GlukÛza 5% 1228
Nespecifikovaná nekompatibilita Nekompatibilní
injekce Heparin sodium
injekce Promethazine hydrochloride
3540
Nestabilita emulze po 1 hodině Nekompatibilní
injekce Heparin sodium 1000 UI/ml
injekce Propofol
660
Kompatibilní
injekce Heparin sodium 100 UI/ml
injekce Propofol 10 mg/ml
Žádné 300
Kompatibilní
injekce Heparin sodium 1 UI/ml
injekce Propranolol hydrochloride 1 mg/ml
GlukÛza 5% 1228
Kompatibilní
injekce Heparin sodium 100 UI/ml
injekce Ranitidine hydrochloride 1 mg/ml
314
Kompatibilní
injekce Heparin sodium 10 & 40 UI/ml
injekce Ranitidine hydrochloride 0.05 & 2 mg/ml
GlukÛza 5% 214
Kompatibilní
injekce Heparin sodium 416.7 UI/ml
injekce Remifentanil hydrochloride 120 µg/ml
GlukÛza 5% 3294
Kompatibilní
injekce Heparin sodium 416.7 UI/ml
injekce Remifentanil hydrochloride 120 µg/ml
GlukÛza 5% 3176
Nespecifikovaná nekompatibilita Nekompatibilní
injekce Heparin sodium
injekce Reteplase
2212
Kompatibilní
injekce Heparin sodium 20,458 >> 28,000 UI/ml
Parenterální výživa (lipidy) 1868
Nespecifikovaná nekompatibilita Nekompatibilní
injekce Heparin sodium
injekce Reteplase
3540
Kompatibilní
injekce Heparin sodium 1000 UI/ml
injekce Salbutamol sulfate 1 mg/ml
Žádné 3216
Kompatibilní
injekce Heparin sodium 100 UI/ml
injekce Sargramostim 6 §15 µg/ml
Chlorid sodný 0,9% 891
Kompatibilní
injekce Heparin sodium 100 UI/ml
injekce Sargramostim 10 µg/ml
Chlorid sodný 0,9% 335
Kompatibilní
injekce Heparin sodium 1 UI/ml
injekce Scopolamine hydrobromide 0.86 mg/ml
Chlorid sodný 0,9% 1228
Kompatibilní
injekce Heparin sodium 1 UI/ml
injekce Scopolamine hydrobromide 0.86 mg/ml
RingerŐs laktátový roztok 1228
Kompatibilní
injekce Heparin sodium 1 UI/ml
injekce Scopolamine hydrobromide 0.86 mg/ml
GlukÛza 5% 1228
Kompatibilní
injekce Heparin sodium 100 UI/ml
injekce Sildenafil citrate 0,6 mg/ml
GlukÛza 5% 4845
Kompatibilní
injekce Heparin sodium 100 UI/ml
injekce Sildenafil citrate 0,06 mg/ml
GlukÛza 5% 4845
Kompatibilní
injekce Heparin sodium 1 UI/ml
injekce Sildenafil citrate 0,4 mg/ml
GlukÛza 5% 3923
Kompatibilní
injekce Heparin sodium 2 UI/ml
injekce Sildenafil citrate 0,6 mg/ml
GlukÛza 5% 4845
Kompatibilní
injekce Heparin sodium
Chlorid sodný 0,9% 3540
Okamžitá nestabilita emulze Nekompatibilní
injekce Heparin sodium 100 UI/ml
Parenterální výživa (lipidy) 132
Okamžitá zákal Nekompatibilní
injekce Heparin sodium 100 UI/ml
injekce Sildenafil citrate 0,6 mg/ml
GlukÛza 5% 4845
Kompatibilní
injekce Heparin sodium 500 UI/ml
injekce Sodium bicarbonate 84 mg/ml
Chlorid sodný 0,9% 3823
Kompatibilní
injekce Heparin sodium
injekce Sodium bicarbonate
3466
Kompatibilní
injekce Heparin sodium 500 UI/ml
injekce Sodium bicarbonate 14 mg/ml
Žádné 150
Kompatibilní
injekce Heparin sodium 500 UI/ml
injekce Sodium bicarbonate 84 mg/ml
Žádné 3212
Kompatibilní
injekce Heparin sodium 208 UI/ml
injekce Spiramycine adipate 0.0625 MUI/ml
Chlorid sodný 0,9% 4254
Kompatibilní
injekce Heparin sodium 100 UI/ml
injekce Streptokinase 30000 UI/ml
GlukÛza 5% 92
Nespecifikovaná nekompatibilita Nekompatibilní
injekce Heparin sodium
injekce Streptomycin sulfate
3540
Kompatibilní
injekce Heparin sodium 416.7 UI/ml
injekce Sufentanil citrate 0.005 mg/ml
GlukÛza 5% 3294
Kompatibilní
injekce Heparin sodium 1000 UI/ml
injekce Sugammadex 100 mg/ml
Žádné 3372
Kompatibilní
injekce Heparin sodium 10 UI/ml
injekce Tacrolimus 1000 µg/ml
Chlorid sodný 0,9% 479
Kompatibilní
injekce Heparin sodium 1000 UI/ml
RingerŐs laktátový roztok 4603
Kompatibilní
injekce Heparin sodium 1000 UI/ml
injekce Sulbactam/durlobactam 15/15 mg/ml
Chlorid sodný 0,9% 4801
Kompatibilní
injekce Heparin sodium 1000 UI/ml
injekce Tedizolid phosphate 0.8 mg/ml
Chlorid sodný 0,9% 3827
Kompatibilní
injekce Heparin sodium 10 >> 10000 UI/ml
injekce Teicoplanine 0.02 >> 10 mg/ml
Chlorid sodný 0,9% 2057
Okamžitá zákal Nekompatibilní
injekce Heparin sodium 1000 UI/ml
injekce Telavancin hydrochloride 7,5 mg/ml
GlukÛza 5% 3254
Okamžitá zákal Nekompatibilní
injekce Heparin sodium 1000 UI/ml
injekce Telavancin hydrochloride 7,5 mg/ml
Chlorid sodný 0,9% 3254
Kompatibilní
injekce Heparin sodium 1000 UI/ml
injekce Telavancin hydrochloride 7.5 mg/ml
RingerŐs laktátový roztok 3254
Okamžité srážení Nekompatibilní
injekce Heparin sodium 1000 UI/ml
injekce Thiopental sodium 25 mg/ml
Chlorid sodný 0,9% 3767
Okamžitá nestabilita emulze Nekompatibilní
injekce Heparin sodium 1 UI/ml
Parenterální výživa (lipidy) 1391
Kompatibilní
injekce Heparin sodium 100 UI/ml
injekce Teniposide 0.1 mg/ml
GlukÛza 5% 905
Kompatibilní
injekce Heparin sodium 50 UI/ml
injekce Theophylline 4 mg/ml
Žádné 317
Kompatibilní
injekce Heparin sodium 100 UI/ml
injekce Thiopental sodium 25 mg/ml
314
Okamžitá nestabilita emulze Nekompatibilní
injekce Heparin sodium 100 UI/ml
Parenterální výživa (lipidy) 1415
Kompatibilní
injekce Heparin sodium 500 UI/ml
injekce Thiopental sodium 60 mg/ml
Chlorid sodný 0,9% 3823
Kompatibilní
injekce Heparin sodium 100 UI/ml
injekce Thiotepa 1 mg/ml
GlukÛza 5% 249
Kompatibilní
injekce Heparin sodium 50 UI/ml
injekce Ticarcillin / clavulanic acid 31 mg/ml
Žádné 317
Kompatibilní
injekce Heparin sodium 500 UI/ml
injekce Tirofiban 250 µg/ml
Chlorid sodný 0,9% 3823
Kompatibilní
injekce Heparin sodium 40 & 100 UI/ml
injekce Tirofiban 50 µg/ml
Chlorid sodný 0,9% 1420
Kompatibilní
injekce Heparin sodium
GlukÛza 5% 3540
Kompatibilní
injekce Heparin sodium
injekce Tirofiban
1512
Kompatibilní
injekce Heparin sodium 40 & 100 UI/ml
injekce Tirofiban 50 µg/ml
GlukÛza 5% 1420
Nespecifikovaná nekompatibilita Nekompatibilní
injekce Heparin sodium 50 UI/ml
injekce Tobramycin sulfate 0.8 mg/ml
Žádné 317
Nespecifikovaná nekompatibilita Nekompatibilní
injekce Heparin sodium
injekce Tobramycin sulfate
3540
Kompatibilní
injekce Heparin sodium
injekce Tranexamic acid
5016
Nespecifikovaná nekompatibilita Nekompatibilní
injekce Heparin sodium
injekce Triflupromazine hydrochloride
3540
Kompatibilní
injekce Heparin sodium 500 UI/ml
injekce Urapidil 5 mg/ml
Chlorid sodný 0,9% 3823
Okamžité srážení Nekompatibilní
injekce Heparin sodium 0,5 >> 14,3 UI/ml
injekce Vancomycin hydrochloride 6,9 >> 14,3 mg/ml
Dianéal® PD1 4.25% GlukÛza (Baxter) 2375
Nespecifikovaná nekompatibilita Nekompatibilní
injekce Heparin sodium
injekce Vancomycin hydrochloride
3588
Nespecifikovaná nekompatibilita Nekompatibilní
injekce Heparin sodium
injekce Vancomycin hydrochloride
3540
Kompatibilní
injekce Heparin sodium 0,5 >> 14,3 UI/ml
injekce Vancomycin hydrochloride 0,015 >> 6,8 mg/ml
Dianéal® PD2 2.5% glucose (Baxter) 2375
Okamžité srážení Nekompatibilní
injekce Heparin sodium 0,5 >> 14,3 UI/ml
injekce Vancomycin hydrochloride 6,9 >> 14,3 mg/ml
Dianéal® PD2 2.5% glucose (Baxter) 2375
Kompatibilní
injekce Heparin sodium 10 UI/ml
injekce Vancomycin hydrochloride 0.025 mg/ml
Voda pro injekci 3125
Kompatibilní
injekce Heparin sodium 0,5 >> 14,3 UI/ml
injekce Vancomycin hydrochloride 0,015 >> 6,8 mg/ml
Dianéal® PD1 4.25% GlukÛza (Baxter) 2375
Nespecifikovaná nekompatibilita Nekompatibilní
injekce Heparin sodium 50 UI/ml
injekce Vancomycin hydrochloride 6.6 mg/ml
Žádné 317
Kompatibilní
injekce Heparin sodium 100 UI/ml
injekce Vancomycin hydrochloride 0.025 mg/ml
Chlorid sodný 0,9% 1414
Kompatibilní
injekce Heparin sodium 10 UI/ml
injekce Vancomycin hydrochloride 2 mg/ml
Chlorid sodný 0,9% 2037
Okamžité srážení Nekompatibilní
injekce Heparin sodium 100 UI/ml
injekce Vancomycin hydrochloride 10 mg/ml
Parenterální výživa (binární směs) 132
Kompatibilní
injekce Heparin sodium 5000 UI/ml
injekce Vancomycin hydrochloride 2.5 mg/ml
Chlorid sodný 0,9% 2037
Kompatibilní
injekce Heparin sodium 100 UI/ml
injekce Vancomycin hydrochloride 0.025 mg/ml
Chlorid sodný 0,9% 895
Kompatibilní
injekce Heparin sodium 100 UI/ml
injekce Vasopressin 2 & 4 UI/ml
Chlorid sodný 0,9% 1801
Kompatibilní
injekce Heparin sodium 100 UI/ml
injekce Vecuronium bromide 1 mg/ml
314
Kompatibilní
injekce Heparin sodium 40 UI/ml
injekce Vecuronium bromide 0.1 mg/ml
GlukÛza 5% 402
Kompatibilní
injekce Heparin sodium 20 UI/ml
injekce Verapamil hydrochloride 0.08 mg/ml
Chlorid sodný 0,9% 1057
Kompatibilní
injekce Heparin sodium 20 UI/ml
injekce Verapamil hydrochloride 0.08 mg/ml
GlukÛza 5% 1057
Nespecifikovaná nekompatibilita Nekompatibilní
injekce Heparin sodium
injekce Vinblastine sulfate
3540
Kompatibilní
injekce Heparin sodium 1000 UI/ml
injekce Vinblastine sulfate 1 mg/ml
763
Kompatibilní
injekce Heparin sodium 1000 UI/ml
injekce Vincristine sulfate 1 mg/ml
763
Kompatibilní
injekce Heparin sodium 100 UI/ml
injekce Vinorelbine tartrate 1 mg/ml
Chlorid sodný 0,9% 84
Kompatibilní
injekce Heparin sodium 100 UI/ml
injekce Vinorelbine tartrate 1 mg/ml
Chlorid sodný 0,9% 1070
Okamžité srážení Nekompatibilní
injekce Heparin sodium 10 & 100 UI/ml
injekce Vinorelbine tartrate 2 & 3 mg/ml
Chlorid sodný 0,9% 1070
Kompatibilní
injekce Heparin sodium 208 UI/ml
injekce Voriconazole 8 mg/ml
GlukÛza 5% 4254
Kompatibilní
injekce Heparin sodium 208 UI/ml
injekce Voriconazole 8 mg/ml
Chlorid sodný 0,9% 4254
Kompatibilní
injekce Heparin sodium 100 UI/ml
injekce Warfarin sodium 2 mg/ml
GlukÛza 5% 315
Kompatibilní
injekce Heparin sodium 100 UI/ml
injekce Zidovudine 4 mg/ml
GlukÛza 5% 337

  Mentions Légales