Poslední aktualizace :
18/03/2026
Antikoaguliantas   Heparin sodium  
Įpurškimas
Tirpalų stabilumas Mišinių stabilumas Stabilumą lemiantys veiksniai Suderinamumas Leidimo būdai Bibliografija pdf
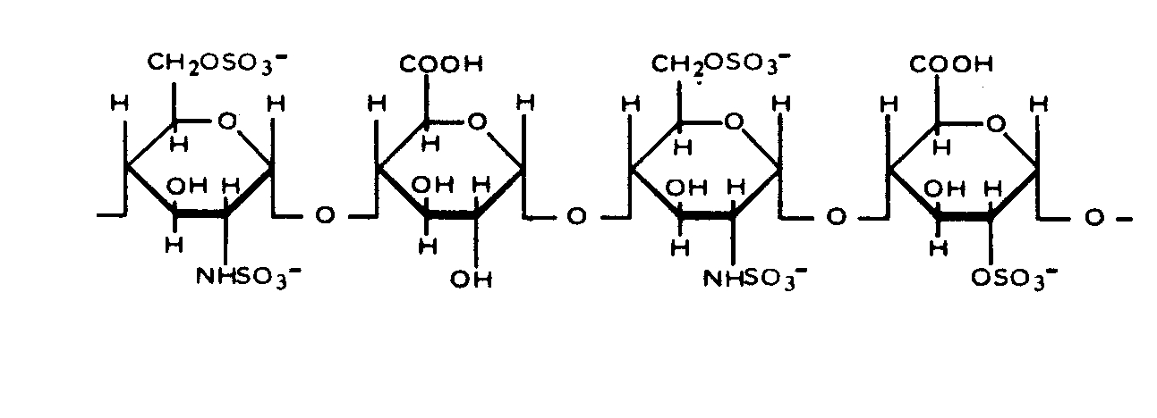
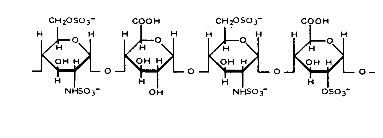
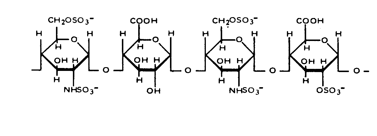
   Cheminė sandara  

Prekinis pavadinimas   Prekinis pavadinimas     

Trade names are indicative and excipients composition can be different depending on the country and manufacturers

Arapin Čilė
Ateroclar Italija
Clarisco Italija
Epsoclar Italija
Hepaflex Norvegija, Suomija
Hepamax Čilė, Ekvadoras, Kolumbija
Heparin Austrija, Danija, Didžioji Britanija, Graikija, Jugoslavija, Jungtinės Amerikos Valstijos, Kanada, Norvegija, Olandija, Pietų Afrikos Respublika, rusų, Suomija, Švedija, Šveicarija, Tailandas, Turkija, Vengrija
Heparine Belgija, Prancūzija
Heparinised Australija
Heparstad Vokietija
Liquemin Šveicarija, Turkija
Liquemine Brazilija
Monoparin Saudo Arabija
Normoparin Italija
Nuparin Ekvadoras
Pharepa Italija
Riveparin Argentina
Sobrius Argentina, Ekvadoras
Thrombophob Vokietija
Suderinamumas   Įpurškimas   Suderinamumas : Heparin sodium              
explication_incompatibilite_molecules
Molekulė Tirpiklis Nuorodos
Suderinamas
Įpurškimas Heparin sodium 100 UI/ml
Įpurškimas Aciclovir sodium 5 mg/ml
Natrio chloridas 0,9% 2335
Suderinamas
Įpurškimas Heparin sodium 50 UI/ml
Įpurškimas Aciclovir sodium 5 mg/ml
Gliukozė 5% 336
Suderinamas
Įpurškimas Heparin sodium 100 UI/ml
Įpurškimas Aldesleukin 0.0338 MUI/ml
Gliukozė 5% 36
Suderinamas
Įpurškimas Heparin sodium 100 UI/ml
Įpurškimas Allopurinol sodium 3 mg/ml
Natrio chloridas 0,9% 307
Suderinamas
Įpurškimas Heparin sodium 1 UI/ml
Įpurškimas Alprostadil 20 µg/ml
Natrio chloridas 0,9% 4491
Suderinamas
Įpurškimas Heparin sodium 1 UI/ml
Įpurškimas Alprostadil 20 µg/ml
Gliukozė 5% 4651
Krituliai po 24 valandų Nesuderinamas
Įpurškimas Heparin sodium 100 UI/ml
Įpurškimas Alteplase 1 mg/ml
Vanduo injekcijoms 92
Nepatikslintas nesuderinamumas Nesuderinamas
Įpurškimas Heparin sodium
Įpurškimas Alteplase
3540
Nedelsiant krituliai Nesuderinamas
Įpurškimas Heparin sodium 40 UI/ml
Įpurškimas Alteplase 0.5 mg/ml
Vanduo injekcijoms 240
Nepatikslintas nesuderinamumas Nesuderinamas
Įpurškimas Heparin sodium
Įpurškimas Alteplase
3616
Suderinamas
Įpurškimas Heparin sodium 100 UI/ml
Įpurškimas Amifostine 10 mg/ml
Gliukozė 5% 3
Nedelsiant krituliai Nesuderinamas
Įpurškimas Heparin sodium
Įpurškimas Amikacin sulfate
1022
Nepatikslintas nesuderinamumas Nesuderinamas
Įpurškimas Heparin sodium
Įpurškimas Amikacin sulfate
3549
Nepatikslintas nesuderinamumas Nesuderinamas
Įpurškimas Heparin sodium
Įpurškimas Amikacin sulfate
3540
Nepatikslintas nesuderinamumas Nesuderinamas
Įpurškimas Heparin sodium 500 UI/ml
Įpurškimas Amiodarone hydrochloride 15 mg/ml
Natrio chloridas 0,9% 3823
Nepatikslintas nesuderinamumas Nesuderinamas
Įpurškimas Heparin sodium
Įpurškimas Amiodarone hydrochloride
3540
Tiesioginis drumstumas Nesuderinamas
Įpurškimas Heparin sodium 500 UI/ml
Įpurškimas Amiodarone hydrochloride 15 mg/ml
Natrio chloridas 0,9% 3463
Nepatikslintas nesuderinamumas Nesuderinamas
Įpurškimas Heparin sodium
Įpurškimas Amiodarone hydrochloride
3464
Nepatikslintas nesuderinamumas Nesuderinamas
Įpurškimas Heparin sodium 500 UI/ml
Įpurškimas Amiodarone hydrochloride 15 mg/ml
Gliukozė 5% 3823
Tiesioginis drumstumas Nesuderinamas
Įpurškimas Heparin sodium 500 UI/ml
Įpurškimas Amiodarone hydrochloride 15 mg/ml
Gliukozė 5% 3463
Suderinamas
Įpurškimas Heparin sodium 208 UI/ml
Įpurškimas Amoxicillin sodium 20.83 & 83.3 mg/ml
Natrio chloridas 0,9% 4254
Suderinamas
Įpurškimas Heparin sodium 1000 UI/ml
Įpurškimas Amoxicillin sodium / clavulanic acid 100/10 mg/ml
3824
Suderinamas
Įpurškimas Heparin sodium
Įpurškimas Ampicillin sodium
5088
Suderinamas
Įpurškimas Heparin sodium 50 UI/ml
Įpurškimas Ampicillin sodium 20 mg/ml
Nėra 317
Suderinamas
Įpurškimas Heparin sodium 50 UI/ml
Įpurškimas Ampicillin sodium - sulbactam sodium 30 mg/ml
Nėra 317
Nedelsiant krituliai Nesuderinamas
Įpurškimas Heparin sodium 40 UI/ml
Įpurškimas Amsacrine 1 mg/ml
Gliukozė 5% 253
Suderinamas
Įpurškimas Heparin sodium 100 UI/ml
Įpurškimas Anidulafungin 0.5 mg/ml
Gliukozė 5% 1982
Nedelsiant krituliai Nesuderinamas
Įpurškimas Heparin sodium
Įpurškimas Antithymocyte globulin (rabbit)
4958
Nedelsiant krituliai Nesuderinamas
Įpurškimas Heparin sodium 2 UI/ml
Įpurškimas Antithymocyte globulin (rabbit) 0,2 & 0,3 mg/ml
Gliukozė 5% 1822
Suderinamas
Įpurškimas Heparin sodium 100 UI/ml
Įpurškimas Antithymocyte globulin (rabbit) 0,2 & 0,3 mg/ml
Gliukozė 5% 1822
Suderinamas
Įpurškimas Heparin sodium 2 & 100 UI/ml
Įpurškimas Antithymocyte globulin (rabbit) 0,2 & 0,3 mg/ml
Natrio chloridas 0,9% 1822
Suderinamas
Įpurškimas Heparin sodium 40 UI/ml
Įpurškimas Atracurium besylate 0.5 mg/ml
Gliukozė 5% 402
Suderinamas
Įpurškimas Heparin sodium 1 UI/ml
Įpurškimas Atropine sulfate 0.5 mg/ml
Gliukozė 5% 1228
Suderinamas
Įpurškimas Heparin sodium 500 UI/ml
Parenteriniu būdu (su lipidų) 4507
Nedelsiant krituliai Nesuderinamas
Įpurškimas Heparin sodium 1000 UI/ml
Įpurškimas Amphotericin B cholesteryl sulfate complex 0.83 mg/ml
Gliukozė 5% 921
Nepatikslintas nesuderinamumas Nesuderinamas
Įpurškimas Heparin sodium
Įpurškimas Ampicillin sodium
3540
Suderinamas
Įpurškimas Heparin sodium 10 & 5000 UI/ml
Įpurškimas Ampicillin sodium 10 mg/ml
Natrio chloridas 0,9% 2037
Suderinamas
Įpurškimas Heparin sodium 1 UI/ml
Įpurškimas Atropine sulfate 0.5 mg/ml
Ringerio laktato tirpalas 1228
Suderinamas
Įpurškimas Heparin sodium 1 UI/ml
Įpurškimas Atropine sulfate 0.5 mg/ml
Natrio chloridas 0,9% 1228
Suderinamas
Įpurškimas Heparin sodium 100 UI/ml
Įpurškimas Aztreonam 40 mg/ml
Gliukozė 5% 99
Suderinamas
Įpurškimas Heparin sodium 50 UI/ml
Įpurškimas Aztreonam 20 mg/ml
Nėra 317
Suderinamas
Įpurškimas Heparin sodium 1 UI/ml
Įpurškimas Betamethasone sodium phosphate 3 mg/ml
Natrio chloridas 0,9% 1228
Suderinamas
Įpurškimas Heparin sodium 1 UI/ml
Įpurškimas Betamethasone sodium phosphate 3 mg/ml
Gliukozė 5% 1228
Suderinamas
Įpurškimas Heparin sodium 1 UI/ml
Įpurškimas Betamethasone sodium phosphate 3 mg/ml
Ringerio laktato tirpalas 1228
Suderinamas
Įpurškimas Heparin sodium 100 UI/ml
Įpurškimas Bivalirudin 5 mg/ml
Gliukozė 5% 1713
Nedelsiant krituliai Nesuderinamas
Įpurškimas Heparin sodium 192.3 UI/ml
Įpurškimas Blinatumomab 0.125 & 0.375 µg/ml
Natrio chloridas 0,9% 3976
Suderinamas
Įpurškimas Heparin sodium 1000 UI/ml
Įpurškimas Caffeine 10 mg/ml
Nėra 3964
Suderinamas
Įpurškimas Heparin sodium 100 UI/ml
Įpurškimas Caffeine 10 mg/ml
Natrio chloridas 0,9% 4837
Suderinamas
Įpurškimas Heparin sodium 100 UI/ml
Įpurškimas Caffeine citrate 20 mg/ml
Natrio chloridas 0,9% 4837
Krituliai po 30 minučių Nesuderinamas
Įpurškimas Heparin sodium 2 UI/ml
Įpurškimas Calcium chloride 20 mg/ml
Gliukozė 5% 4732
Suderinamas
Įpurškimas Heparin sodium 100 UI/ml
Įpurškimas Calcium chloride 20 mg/ml
Gliukozė 5% 4732
Skubus emulsijos nestabilumas Nesuderinamas
Įpurškimas Heparin sodium
Įpurškimas Calcium chloride
Parenteriniu būdu (su lipidų) 1084
Skubus emulsijos nestabilumas Nesuderinamas
Įpurškimas Heparin sodium
Įpurškimas Calcium gluconate
Parenteriniu būdu (su lipidų) 1084
Nedelsiant krituliai Nesuderinamas
Įpurškimas Heparin sodium 100 UI/ml
Įpurškimas Caspofungin acetate 0.5 mg/ml
Natrio chloridas 0,9% 2233
Nedelsiant krituliai Nesuderinamas
Įpurškimas Heparin sodium 100 UI/ml
Įpurškimas Caspofungin acetate 0,7 mg/ml
Natrio chloridas 0,9% 2247
Nepatikslintas nesuderinamumas Nesuderinamas
Įpurškimas Heparin sodium
Įpurškimas Cefalotin sodium
3540
Suderinamas
Įpurškimas Heparin sodium 10 & 5000 UI/ml
Įpurškimas Cefazolin sodium 10 mg/ml
Natrio chloridas 0,9% 2037
Suderinamas
Įpurškimas Heparin sodium 50 UI/ml
Įpurškimas Cefazolin sodium 20 mg/ml
Nėra 317
Suderinamas
Įpurškimas Heparin sodium 0.667 UI/ml
Įpurškimas Cefazolin sodium 0.333 mg/ml
Dianéal® PD2 1.5% Gliukozė (Baxter) 1979
Suderinamas
Įpurškimas Heparin sodium 10 & 50 UI/ml
Įpurškimas Cefepime dihydrochloride 4 mg/ml
Natrio chloridas 0,9% 3548
Suderinamas
Įpurškimas Heparin sodium 10 & 50 UI/ml
Įpurškimas Cefepime dihydrochloride 4 mg/ml
Gliukozė 5% 3548
Suderinamas
Įpurškimas Heparin sodium 1000 UI/ml
Įpurškimas Cefiderocol sulfate tosylate 20 mg/mL
Gliukozė 5% 4528
Suderinamas
Įpurškimas Heparin sodium 1000 UI/ml
Įpurškimas Cefiderocol sulfate tosylate 20 mg/mL
Natrio chloridas 0,9% 4528
Cheminis nestabilumas Nesuderinamas
Įpurškimas Heparin sodium 100 UI/ml
Įpurškimas Cefmetazole sodium 100 mg/ml
Vanduo injekcijoms 93
Suderinamas
Įpurškimas Heparin sodium 208 UI/ml
Įpurškimas Cefotaxime sodium 41.6 & 125 mg/ml
Gliukozė 5% 4254
Suderinamas
Įpurškimas Heparin sodium 208 UI/ml
Įpurškimas Cefotaxime sodium 41.6 & 125 mg/ml
Natrio chloridas 0,9% 4254
Suderinamas
Įpurškimas Heparin sodium 5000 UI/ml
Įpurškimas Cefotaxime sodium 10 mg/ml
Vanduo injekcijoms 3125
Suderinamas
Įpurškimas Heparin sodium 100 UI/ml
Įpurškimas Ceftaroline fosamil 2,22 mg/ml
Ringerio laktato tirpalas 3249
Suderinamas
Įpurškimas Heparin sodium 100 UI/ml
Įpurškimas Ceftaroline fosamil 2,22 mg/ml
Natrio chloridas 0,9% 3249
Suderinamas
Įpurškimas Heparin sodium 100 UI/ml
Įpurškimas Ceftaroline fosamil 2,22 mg/ml
Gliukozė 5% 3249
Suderinamas
Įpurškimas Heparin sodium 0.5 UI/ml
Įpurškimas Ceftazidime 0.125 mg/ml
Extraneal® (Baxter) 4056
Suderinamas
Įpurškimas Heparin sodium 0.5 UI/ml
Įpurškimas Ceftazidime 0.125 mg/ml
Dianéal® PD2 4.25% Gliukozė (Baxter) 4056
Suderinamas
Įpurškimas Heparin sodium 50 UI/ml
Įpurškimas Ceftazidime 20 mg/ml
Nėra 317
Suderinamas
Įpurškimas Heparin sodium 0.5 UI/ml
Įpurškimas Ceftazidime 0.125 mg/ml
Dianéal® PD2 2.5% glucose (Baxter) 4056
Suderinamas
Įpurškimas Heparin sodium 100 UI/ml
Įpurškimas Ceftobiprole medocaril sodium 2 mg/ml
Natrio chloridas 0,9% 2269
Suderinamas
Įpurškimas Heparin sodium 100 UI/ml
Įpurškimas Ceftobiprole medocaril sodium 2 mg/ml
Gliukozė 5% 2269
Suderinamas
Įpurškimas Heparin sodium 100 UI/ml
Įpurškimas Ceftobiprole medocaril sodium 2 mg/ml
Ringerio laktato tirpalas 2269
Suderinamas
Įpurškimas Heparin sodium 1000 UI/ml
Įpurškimas Ceftolozane / tazobactam 10/5 mg/ml
Natrio chloridas 0,9% 3828
Suderinamas
Įpurškimas Heparin sodium 1000 UI/ml
Įpurškimas Ceftolozane / tazobactam 10/5 mg/ml
Gliukozė 5% 3828
Suderinamas
Įpurškimas Heparin sodium 50 UI/ml
Įpurškimas Ceftriaxone disodium 20 mg/ml
Nėra 317
Suderinamas
Įpurškimas Heparin sodium 10 & 50 UI/ml
Įpurškimas Cefuroxime sodium
Natrio chloridas 0,9% 3687
Suderinamas
Įpurškimas Heparin sodium 58,34 UI/ml
Įpurškimas Chlorpromazine hydrochloride 0,26 mg/ml
Gliukozė 5% 1289
Suderinamas
Įpurškimas Heparin sodium 1 UI/ml
Įpurškimas Chlorpromazine hydrochloride 10 mg/ml
Natrio chloridas 0,9% 1228
Suderinamas
Įpurškimas Heparin sodium 1 UI/ml
Įpurškimas Chlorpromazine hydrochloride 10 mg/ml
Gliukozė 5% 1228
Nepatikslintas nesuderinamumas Nesuderinamas
Įpurškimas Heparin sodium
Įpurškimas Chlorpromazine hydrochloride
3540
Suderinamas
Įpurškimas Heparin sodium 1 UI/ml
Įpurškimas Chlorpromazine hydrochloride 10 mg/ml
Ringerio laktato tirpalas 1228
Suderinamas
Įpurškimas Heparin sodium 50 UI/ml
Įpurškimas Cimetidine hydrochloride 6 mg/ml
Nėra 317
Suderinamas
Įpurškimas Heparin sodium 5000 & 10000 UI/ml
Įpurškimas Ciprofloxacin lactate 0.4 & 0.6 mg/ml
Natrio chloridas 0,9% 2057
Nedelsiant krituliai Nesuderinamas
Įpurškimas Heparin sodium 10 >> 10000 UI/ml
Įpurškimas Ciprofloxacin lactate 1 mg/ml
Natrio chloridas 0,9% 2057
Nedelsiant krituliai Nesuderinamas
Įpurškimas Heparin sodium 10 & 100 UI/ml
Įpurškimas Ciprofloxacin lactate 0.2 mg/ml
Natrio chloridas 0,9% 2057
Nepatikslintas nesuderinamumas Nesuderinamas
Įpurškimas Heparin sodium
Įpurškimas Ciprofloxacin lactate
3540
Nedelsiant krituliai Nesuderinamas
Įpurškimas Heparin sodium 10 >> 1000 UI/ml
Įpurškimas Ciprofloxacin lactate 0.4 & 0.6 mg/ml
Natrio chloridas 0,9% 2057
Suderinamas
Įpurškimas Heparin sodium 1000 >> 10000 UI/ml
Įpurškimas Ciprofloxacin lactate 0.2 mg/ml
Natrio chloridas 0,9% 2057
Nedelsiant krituliai Nesuderinamas
Įpurškimas Heparin sodium 10 >> 5000 UI/ml
Įpurškimas Ciprofloxacin lactate 0.8 mg/ml
Natrio chloridas 0,9% 2057
Suderinamas
Įpurškimas Heparin sodium 10 >> 10000 UI/ml
Įpurškimas Ciprofloxacin lactate 0.1 mg/ml
Natrio chloridas 0,9% 2057
Nedelsiant krituliai Nesuderinamas
Įpurškimas Heparin sodium 100 UI/ml
Įpurškimas Ciprofloxacin lactate 2 mg/ml
Natrio chloridas 0,9% 288
Nepatikslintas nesuderinamumas Nesuderinamas
Įpurškimas Heparin sodium
Įpurškimas Ciprofloxacin lactate
3529
Nedelsiant krituliai Nesuderinamas
Įpurškimas Heparin sodium 100 UI/ml
Įpurškimas Ciprofloxacin lactate 2 mg/ml
Gliukozė 5% 288
Nedelsiant krituliai Nesuderinamas
Įpurškimas Heparin sodium 10 >> 1000 UI/ml
Įpurškimas Ciprofloxacin lactate 2 mg/ml
Natrio chloridas 0,9% 289
Tiesioginis drumstumas Nesuderinamas
Įpurškimas Heparin sodium 10 UI/ml
Įpurškimas Ciprofloxacin lactate 2 mg/ml
Nėra 1393
Suderinamas
Įpurškimas Heparin sodium 10000 UI/ml
Įpurškimas Ciprofloxacin lactate 0.8 mg/ml
Natrio chloridas 0,9% 2057
Suderinamas
Įpurškimas Heparin sodium 100 UI/ml
Įpurškimas Cisatracurium besylate 0.1 & 2 mg/ml
Gliukozė 5% 299
Nedelsiant krituliai Nesuderinamas
Įpurškimas Heparin sodium 100 UI/ml
Įpurškimas Cisatracurium besylate 5 mg/ml
Gliukozė 5% 299
Spalvos pasikeitimas Nesuderinamas
Įpurškimas Heparin sodium 500 UI/ml
Įpurškimas Cisatracurium besylate 5 mg/ml
Natrio chloridas 0,9% 3463
Nepatikslintas nesuderinamumas Nesuderinamas
Įpurškimas Heparin sodium 500 UI/ml
Įpurškimas Cisatracurium besylate 5 mg/ml
Natrio chloridas 0,9% 3823
Nepatikslintas nesuderinamumas Nesuderinamas
Įpurškimas Heparin sodium
Įpurškimas Cisatracurium besylate
3540
Suderinamas
Įpurškimas Heparin sodium 100 UI/ml
Įpurškimas Cladribine 0.5 mg/ml
NaCl 0,9% + antibakterinis 1496
Suderinamas
Įpurškimas Heparin sodium 100 UI/ml
Įpurškimas Cladribine 0.015 mg/ml
Natrio chloridas 0,9% 1496
Suderinamas
Įpurškimas Heparin sodium 50 UI/ml
Įpurškimas Clindamycin phosphate 12 mg/ml
Nėra 317
Suderinamas
Įpurškimas Heparin sodium 50 UI/ml
Įpurškimas Clonidine hydrochloride 0.0075 mg/ml
Natrio chloridas 0,9% 1506
Suderinamas
Įpurškimas Heparin sodium 50 UI/ml
Įpurškimas Clonidine hydrochloride 0.0075 mg/ml
Gliukozė 5% 1506
Suderinamas
Įpurškimas Heparin sodium 100 UI/ml
Įpurškimas Cloxacillin sodium 100 mg/ml
Vanduo injekcijoms 3012
Krituliai po 4 valandų Nesuderinamas
Įpurškimas Heparin sodium 208 UI/ml
Įpurškimas Co-trimoxazole 3.2/0.64 & 80/16 mg/ml
Natrio chloridas 0,9% 4254
Krituliai po 4 valandų Nesuderinamas
Įpurškimas Heparin sodium 208 UI/ml
Įpurškimas Co-trimoxazole 3.2/0.64 & 80/16 mg/ml
Gliukozė 5% 4254
Suderinamas
Įpurškimas Heparin sodium 1 UI/ml
Įpurškimas Cyanocobalamine 0.1 mg/ml
Ringerio laktato tirpalas 1228
Suderinamas
Įpurškimas Heparin sodium 1 UI/ml
Įpurškimas Cyanocobalamine 0.1 mg/ml
Gliukozė 5% 1228
Suderinamas
Įpurškimas Heparin sodium 1 UI/ml
Įpurškimas Cyanocobalamine 0.1 mg/ml
Natrio chloridas 0,9% 1228
Nepatikslintas nesuderinamumas Nesuderinamas
Įpurškimas Heparin sodium
Įpurškimas Cytarabine
3540
Nepatikslintas nesuderinamumas Nesuderinamas
Įpurškimas Heparin sodium
Įpurškimas Cytarabine
3580
Nepatikslintas nesuderinamumas Nesuderinamas
Įpurškimas Heparin sodium
Įpurškimas Dacarbazine
3605
Nedelsiant krituliai Nesuderinamas
Įpurškimas Heparin sodium 100 UI/ml
Įpurškimas Dacarbazine 25 mg/ml
Natrio chloridas 0,9% 860
Nepatikslintas nesuderinamumas Nesuderinamas
Įpurškimas Heparin sodium
Įpurškimas Dacarbazine
3267
Nepatikslintas nesuderinamumas Nesuderinamas
Įpurškimas Heparin sodium
Įpurškimas Dacarbazine
3540
Suderinamas
Įpurškimas Heparin sodium
Įpurškimas Daptomycin
2271
Suderinamas
Įpurškimas Heparin sodium 98 UI/ml
Įpurškimas Daptomycin 19,6 mg/ml
Natrio chloridas 0,9% 1937
Nedelsiant krituliai Nesuderinamas
Įpurškimas Heparin sodium
Įpurškimas Daunorubicin hydrochloride
3604
Nepatikslintas nesuderinamumas Nesuderinamas
Įpurškimas Heparin sodium
Įpurškimas Daunorubicin hydrochloride
3540
Nedelsiant krituliai Nesuderinamas
Įpurškimas Heparin sodium
Įpurškimas Daunorubicin hydrochloride liposome
3577
Tiesioginis drumstumas Nesuderinamas
Įpurškimas Heparin sodium
Įpurškimas Daunorubicin/cytarabine liposomale 0,4 mg/mL
Natrio chloridas 0,9% 4654
Suderinamas
Įpurškimas Heparin sodium 373 UI/ml
Įpurškimas Defibrotide 8 mg/ml
Natrio chloridas 0,9% 3728
Suderinamas
Įpurškimas Heparin sodium 50 UI/ml
Įpurškimas Dexamethasone sodium phosphate 0.08 mg/ml
Nėra 317
Suderinamas
Įpurškimas Heparin sodium
Įpurškimas Dexketoprofen
4981
Suderinamas
Įpurškimas Heparin sodium 100 UI/ml
Įpurškimas Dexmedetomidine 4 µg/ml
Natrio chloridas 0,9% 1712
Suderinamas
Įpurškimas Heparin sodium 10000 UI/ml
Įpurškimas Diatrizoate meglumine 283 mg/ml
Nėra 1085
Nepatikslintas nesuderinamumas Nesuderinamas
Įpurškimas Heparin sodium
Įpurškimas Diazepam
3540
Suderinamas
Įpurškimas Heparin sodium 100 UI/ml
Įpurškimas Diltiazem hydrochloride 1 mg/ml
314
Nedelsiant krituliai Nesuderinamas
Įpurškimas Heparin sodium 20000 UI/ml
Įpurškimas Diltiazem hydrochloride 5 mg/ml
Natrio chloridas 0,9% 198
Suderinamas
Įpurškimas Heparin sodium 100 UI/ml
Įpurškimas Diltiazem hydrochloride 1 mg/ml
Gliukozė 5% 4556
Tiesioginis drumstumas Nesuderinamas
Įpurškimas Heparin sodium 100 UI/ml
Įpurškimas Diltiazem hydrochloride 5 mg/ml
Gliukozė 5% 4556
Suderinamas
Įpurškimas Heparin sodium 20000 UI/ml
Įpurškimas Diltiazem hydrochloride 1 mg/ml
Natrio chloridas 0,9% 198
Suderinamas
Įpurškimas Heparin sodium
Įpurškimas Diltiazem hydrochloride
5090
Suderinamas
Įpurškimas Heparin sodium 80 >> 10000 UI/ml
Įpurškimas Diltiazem hydrochloride 1 & 5 mg/ml
Natrio chloridas 0,9% 198
Nedelsiant krituliai Nesuderinamas
Įpurškimas Heparin sodium
Įpurškimas Dimenhydrinate
2087
Suderinamas
Įpurškimas Heparin sodium 1 UI/ml
Įpurškimas Diphenhydramine hydrochloride 50 mg/ml
Natrio chloridas 0,9% 1228
Suderinamas
Įpurškimas Heparin sodium 1 UI/ml
Įpurškimas Diphenhydramine hydrochloride 50 mg/ml
Gliukozė 5% 1228
Suderinamas
Įpurškimas Heparin sodium 1 UI/ml
Įpurškimas Diphenhydramine hydrochloride 50 mg/ml
Ringerio laktato tirpalas 1228
Krituliai po 4 valandų Nesuderinamas
Įpurškimas Heparin sodium 100 UI/ml
Įpurškimas Dobutamine hydrochloride 4 mg/ml
314
Suderinamas
Įpurškimas Heparin sodium 40 UI/ml
Įpurškimas Dobutamine hydrochloride 1 mg/ml
Natrio chloridas 0,9% 1058
Suderinamas
Įpurškimas Heparin sodium 100 UI/ml
Įpurškimas Dobutamine hydrochloride 2 mg/ml
Gliukozė 5% 1041
Nedelsiant krituliai Nesuderinamas
Įpurškimas Heparin sodium 100 UI/ml
Įpurškimas Dobutamine hydrochloride 2 mg/ml
Gliukozė 5% 1352
Tiesioginis drumstumas Nesuderinamas
Įpurškimas Heparin sodium 100 UI/ml
Įpurškimas Dobutamine hydrochloride 4 mg/ml
Gliukozė 5% 295
Nedelsiant krituliai Nesuderinamas
Įpurškimas Heparin sodium
Įpurškimas Dobutamine hydrochloride
3540
Spalvos pasikeitimas po 6 valandų Nesuderinamas
Įpurškimas Heparin sodium 10000 UI/ml
Įpurškimas Dobutamine hydrochloride 2 mg/ml
Gliukozė 5% 1041
Suderinamas
Įpurškimas Heparin sodium 40 UI/ml
Įpurškimas Dobutamine hydrochloride 1 mg/ml
Gliukozė 5% 1058
Suderinamas
Įpurškimas Heparin sodium 50 UI/ml
Įpurškimas Dobutamine hydrochloride 1 mg/ml
Nėra 317
Suderinamas
Įpurškimas Heparin sodium 100 UI/ml
Įpurškimas Docetaxel 0.9 mg/ml
Gliukozė 5% 1754
Suderinamas
Įpurškimas Heparin sodium 1 UI/ml
Įpurškimas Dopamine hydrochloride 40 mg/ml
Natrio chloridas 0,9% 1228
Suderinamas
Įpurškimas Heparin sodium 50 UI/ml
Įpurškimas Dopamine hydrochloride 1.6 mg/ml
Nėra 317
Suderinamas
Įpurškimas Heparin sodium 100 UI/ml
Įpurškimas Dopamine hydrochloride 3.2 mg/ml
314
Suderinamas
Įpurškimas Heparin sodium 1 UI/ml
Įpurškimas Dopamine hydrochloride 40 mg/ml
Ringerio laktato tirpalas 1228
Suderinamas
Įpurškimas Heparin sodium 200 UI/ml
Įpurškimas Dopamine hydrochloride 0.8 mg/ml
Gliukozė 5% 738
Suderinamas
Įpurškimas Heparin sodium 1 UI/ml
Įpurškimas Dopamine hydrochloride 40 mg/ml
Gliukozė 5% 1228
Suderinamas
Įpurškimas Heparin sodium 100 UI/ml
Įpurškimas Dopamine hydrochloride 3,2 mg/ml
4389
Nepatikslintas nesuderinamumas Nesuderinamas
Įpurškimas Heparin sodium 187 UI/ml
Įpurškimas Dopamine hydrochloride 1,7 >> 3,4 mg/ml
Gliukozė 5% 377
Suderinamas
Įpurškimas Heparin sodium 100 UI/ml
Įpurškimas Doripenem 5 mg/ml
Natrio chloridas 0,9% 2262
Suderinamas
Įpurškimas Heparin sodium 100 UI/ml
Įpurškimas Doripenem 5 mg/ml
Gliukozė 5% 2262
Suderinamas
Įpurškimas Heparin sodium 1 UI/ml
Įpurškimas Doxapram hydrochloride 2 mg/ml
Gliukozė 5% 1802
Nepatikslintas nesuderinamumas Nesuderinamas
Įpurškimas Heparin sodium
Įpurškimas Doxorubicin hydrochloride
3540
Nedelsiant krituliai Nesuderinamas
Įpurškimas Heparin sodium
Įpurškimas Doxorubicin hydrochloride
3645
Nedelsiant krituliai Nesuderinamas
Įpurškimas Heparin sodium 1000 UI/ml
Įpurškimas Doxorubicin hydrochloride 2 mg/ml
763
Suderinamas
Įpurškimas Heparin sodium 1000 UI/ml
Įpurškimas Doxorubicin hydrochloride liposome peg 0.4 mg/ml
Gliukozė 5% 251
Nepatikslintas nesuderinamumas Nesuderinamas
Įpurškimas Heparin sodium 50 UI/ml
Įpurškimas Doxycycline hyclate 1 mg/ml
Nėra 317
Nedelsiant krituliai Nesuderinamas
Įpurškimas Heparin sodium 1000 UI/ml
Įpurškimas Droperidol 2,5 mg/ml
763
Suderinamas
Įpurškimas Heparin sodium 1 UI/ml
Įpurškimas Droperidol 1.25 mg/ml
Natrio chloridas 0,9% 1228
Suderinamas
Įpurškimas Heparin sodium 1 UI/ml
Įpurškimas Droperidol 1.25 mg/ml
Ringerio laktato tirpalas 1228
Suderinamas
Įpurškimas Heparin sodium 1 UI/ml
Įpurškimas Droperidol 1.25 mg/ml
Gliukozė 5% 1228
Nepatikslintas nesuderinamumas Nesuderinamas
Įpurškimas Heparin sodium
Įpurškimas Droperidol
3540
Suderinamas
Įpurškimas Heparin sodium 45,45 UI/ml
Įpurškimas Enalaprilate 0,011 mg/ml
Gliukozė 5% 963
Suderinamas
Įpurškimas Heparin sodium 40 UI/ml
Įpurškimas Enalaprilate 0.05 mg/ml
Natrio chloridas 0,9% 1315
Suderinamas
Įpurškimas Heparin sodium 50 UI/ml
Įpurškimas Enalaprilate 0.0125 mg/ml
Natrio chloridas 0,9% 1703
Suderinamas
Įpurškimas Heparin sodium 1 UI/ml
Įpurškimas Epinephrine hydrochloride 100 µg/ml
Ringerio laktato tirpalas 1228
Suderinamas
Įpurškimas Heparin sodium 100 UI/ml
Įpurškimas Epinephrine hydrochloride 20 µg/ml
314
Suderinamas
Įpurškimas Heparin sodium 1 UI/ml
Įpurškimas Epinephrine hydrochloride 100 µg/ml
Natrio chloridas 0,9% 1228
Suderinamas
Įpurškimas Heparin sodium 1 UI/ml
Įpurškimas Epinephrine hydrochloride 100 µg/ml
Gliukozė 5% 1228
Nepatikslintas nesuderinamumas Nesuderinamas
Įpurškimas Heparin sodium
Įpurškimas Epirubicin hydrochloride
3632
Suderinamas
Įpurškimas Heparin sodium
Įpurškimas Eptifibatide
3934
Suderinamas
Įpurškimas Heparin sodium 1000 UI/ml
Įpurškimas Eravacycline 0,6 mg/ml
Natrio chloridas 0,9% 4434
Tiesioginis drumstumas Nesuderinamas
Įpurškimas Heparin sodium 1 UI/ml
Įpurškimas Ergotamine tartrate 0.5 mg/ml
Natrio chloridas 0,9% 1228
Krituliai po 4 valandų Nesuderinamas
Įpurškimas Heparin sodium 1 UI/ml
Įpurškimas Ergotamine tartrate 0.5 mg/ml
Ringerio laktato tirpalas 1228
Krituliai po 4 valandų Nesuderinamas
Įpurškimas Heparin sodium 1 UI/ml
Įpurškimas Ergotamine tartrate 0.5 mg/ml
Gliukozė 5% 1228
Suderinamas
Įpurškimas Heparin sodium 50 & 100 UI/ml
Įpurškimas Ertapenem 10 & 20 mg/ml
Natrio chloridas 0,9% 1906
Suderinamas
Įpurškimas Heparin sodium 50 UI/ml
Įpurškimas Erythromycin lactobionate 3.3 mg/ml
Nėra 317
Nepatikslintas nesuderinamumas Nesuderinamas
Įpurškimas Heparin sodium
Įpurškimas Erythromycin lactobionate
3674
Nepatikslintas nesuderinamumas Nesuderinamas
Įpurškimas Heparin sodium
Įpurškimas Erythromycin lactobionate
3540
Suderinamas
Įpurškimas Heparin sodium 50 UI/ml
Įpurškimas Esmolol hydrochloride 6 mg/ml
Gliukozė 5% 174
Suderinamas
Įpurškimas Heparin sodium 40 UI/ml
Įpurškimas Esmolol hydrochloride 10 mg/ml
Gliukozė 5% 384
Suderinamas
Įpurškimas Heparin sodium 500 UI/ml
Įpurškimas Esmolol hydrochloride 10 mg/ml
Natrio chloridas 0,9% 3823
Nedelsiant krituliai Nesuderinamas
Įpurškimas Heparin sodium 1000 UI/ml
Įpurškimas Ethanol 70 %
Vanduo injekcijoms + antibakterinis 2221
Nedelsiant krituliai Nesuderinamas
Įpurškimas Heparin sodium 1000 UI/ml
Įpurškimas Ethanol 70 %
Vanduo injekcijoms 2221
Krituliai po 1 valandos Nesuderinamas
Įpurškimas Heparin sodium 10 UI/ml
Įpurškimas Ethanol 70 %
Vanduo injekcijoms + antibakterinis 2221
Nedelsiant krituliai Nesuderinamas
Įpurškimas Heparin sodium 10 UI/ml
Įpurškimas Ethanol 70 %
Vanduo injekcijoms 2221
Suderinamas
Įpurškimas Heparin sodium 100 UI/ml
Įpurškimas Etoposide phosphate 5 mg/ml
Gliukozė 5% 1410
Suderinamas
Įpurškimas Heparin sodium 40 UI/ml
Įpurškimas Famotidine
Gliukozė 5% 397
Suderinamas
Įpurškimas Heparin sodium 50 UI/ml
Įpurškimas Famotidine 0.2 mg/ml
Gliukozė 5% 398
Suderinamas
Įpurškimas Heparin sodium 40 UI/ml
Įpurškimas Famotidine 2 mg/ml
Natrio chloridas 0,9% 215
Suderinamas
Įpurškimas Heparin sodium 100 UI/ml
Įpurškimas Fenoldopam mesylate 80 µg/ml
Natrio chloridas 0,9% 1803
Suderinamas
Įpurškimas Heparin sodium 100 UI/ml
Įpurškimas Fentanyl citrate 50 µg/ml
4389
Suderinamas
Įpurškimas Heparin sodium 1 UI/ml
Įpurškimas Fentanyl citrate 50 µg/ml
Gliukozė 5% 1228
Suderinamas
Įpurškimas Heparin sodium 1 UI/ml
Įpurškimas Fentanyl citrate 50 µg/ml
Ringerio laktato tirpalas 1228
Suderinamas
Įpurškimas Heparin sodium 1 UI/ml
Įpurškimas Fentanyl citrate 50 µg/ml
Natrio chloridas 0,9% 1228
Suderinamas
Įpurškimas Heparin sodium 100 UI/ml
Įpurškimas Fentanyl citrate 50 µg/ml
314
Nedelsiant krituliai Nesuderinamas
Įpurškimas Heparin sodium 100 UI/ml
Įpurškimas Filgrastim 30 µg/ml
Gliukozė 5% 244
Suderinamas
Įpurškimas Heparin sodium 1000 UI/ml
Įpurškimas Fluconazole 2 mg/ml
Natrio chloridas 0,9% 496
Suderinamas
Įpurškimas Heparin sodium 50 UI/ml
Įpurškimas Fluconazole 2 mg/ml
Nėra 317
Suderinamas
Įpurškimas Heparin sodium 40 >> 1000 UI/ml
Įpurškimas Fludarabine phosphate 1 mg/ml
Gliukozė 5% 492
Suderinamas
Įpurškimas Heparin sodium 50 UI/ml
Įpurškimas Flumazenil 0,02 mg/ml
Gliukozė 5% 187
Suderinamas
Įpurškimas Heparin sodium 5 UI/ml
Įpurškimas Fluorouracil 0,8 mg/ml
Natrio chloridas 0,9% 156
Suderinamas
Įpurškimas Heparin sodium 5 UI/ml
Įpurškimas Fluorouracil 0,8 mg/ml
Gliukozė 5% 156
Suderinamas
Įpurškimas Heparin sodium 1 UI/ml
Įpurškimas Fluorouracil 50 mg/ml
Natrio chloridas 0,9% 1228
Suderinamas
Įpurškimas Heparin sodium 960 UI/ml
Įpurškimas Fluorouracil 24 mg/ml
Gliukozė 5% 163
Suderinamas
Įpurškimas Heparin sodium 1 UI/ml
Įpurškimas Fluorouracil 50 mg/ml
Gliukozė 5% 1228
Suderinamas
Įpurškimas Heparin sodium 1000 UI/ml
Įpurškimas Fluorouracil 50 mg/ml
763
Suderinamas
Įpurškimas Heparin sodium 1 UI/ml
Įpurškimas Fluorouracil 50 mg/ml
Ringerio laktato tirpalas 1228
Suderinamas
Įpurškimas Heparin sodium 1000 UI/ml
Įpurškimas Folinate calcium 10 mg/ml
763
Suderinamas
Įpurškimas Heparin sodium 100 UI/ml
Įpurškimas Foscarnet sodium 24 mg/ml
Gliukozė 5% 1135
Suderinamas
Įpurškimas Heparin sodium 100 UI/ml
Įpurškimas Foscarnet sodium 24 mg/ml
Natrio chloridas 0,9% 1135
Suderinamas
Įpurškimas Heparin sodium 1000 UI/ml
Įpurškimas Foscarnet sodium 24 mg/ml
Nėra 73
Suderinamas
Įpurškimas Heparin sodium 1000 UI/ml
Įpurškimas Fosfomycin 30 mg/ml
Gliukozė 5% 4055
Suderinamas
Įpurškimas Heparin sodium 1000 UI/ml
Įpurškimas Fosfomycin 30 mg/ml
Natrio chloridas 0,9% 4055
Suderinamas
Įpurškimas Heparin sodium 100 UI/ml
Įpurškimas Furosemide 10 mg/ml
314
Suderinamas
Įpurškimas Heparin sodium 1 UI/ml
Įpurškimas Furosemide 10 mg/ml
Natrio chloridas 0,9% 1228
Krituliai po 5 valandų Nesuderinamas
Įpurškimas Heparin sodium 100 UI/ml
Įpurškimas Furosemide 10 mg/ml
Gliukozė 5% 4724
Suderinamas
Įpurškimas Heparin sodium 20 UI/ml
Įpurškimas Furosemide 1 mg/ml
Natrio chloridas 0,9% 1232
Suderinamas
Įpurškimas Heparin sodium 58,34 UI/ml
Įpurškimas Furosemide 5,21 mg/ml
Gliukozė 5% 1289
Suderinamas
Įpurškimas Heparin sodium
Įpurškimas Furosemide
3465
Suderinamas
Įpurškimas Heparin sodium 1 UI/ml
Įpurškimas Furosemide 10 mg/ml
Ringerio laktato tirpalas 1228
Suderinamas
Įpurškimas Heparin sodium 1000 UI/ml
Įpurškimas Furosemide 10 mg/ml
763
Suderinamas
Įpurškimas Heparin sodium 10 UI/ml
Įpurškimas Furosemide 10 mg/ml
Nėra 3210
Suderinamas
Įpurškimas Heparin sodium 500 UI/ml
Įpurškimas Furosemide 10 mg/ml
Natrio chloridas 0,9% 3823
Suderinamas
Įpurškimas Heparin sodium 500 UI/ml
Įpurškimas Furosemide 10 mg/ml
Nėra 3134
Suderinamas
Įpurškimas Heparin sodium 1 UI/ml
Įpurškimas Furosemide 10 mg/ml
Gliukozė 5% 1228
Suderinamas
Įpurškimas Heparin sodium 40 UI/ml
Įpurškimas Gallium nitrate 1 mg/ml
Natrio chloridas 0,9% 91
Suderinamas
Įpurškimas Heparin sodium 100 UI/ml
Įpurškimas Gemcitabine hydrochloride 10 mg/ml
Natrio chloridas 0,9% 1423
Tiesioginis drumstumas Nesuderinamas
Įpurškimas Heparin sodium 2500 UI/ml
Įpurškimas Gentamicin sulfate 3 mg/ml
4612
Nepatikslintas nesuderinamumas Nesuderinamas
Įpurškimas Heparin sodium
Įpurškimas Gentamicin sulfate
3520
Nepatikslintas nesuderinamumas Nesuderinamas
Įpurškimas Heparin sodium
Įpurškimas Gentamicin sulfate
3643
Nedelsiant krituliai Nesuderinamas
Įpurškimas Heparin sodium
Įpurškimas Gentamicin sulfate
1022
Nepatikslintas nesuderinamumas Nesuderinamas
Įpurškimas Heparin sodium 50 UI/ml
Įpurškimas Gentamicin sulfate 2 mg/ml
Nėra 317
Nedelsiant krituliai Nesuderinamas
Įpurškimas Heparin sodium 10 >> 40 UI/ml
Įpurškimas Gentamicin sulfate 4 >> 40 mg/ml
1258
Nedelsiant krituliai Nesuderinamas
Įpurškimas Heparin sodium 2500 UI/ml
Įpurškimas Gentamicin sulfate 4 & 5 mg/ml
4612
Nepatikslintas nesuderinamumas Nesuderinamas
Įpurškimas Heparin sodium
Įpurškimas Gentamicin sulfate
3540
Suderinamas
Įpurškimas Heparin sodium 2500 UI/ml
Įpurškimas Gentamicin sulfate 1 & 2 mg/ml
4612
Suderinamas
Įpurškimas Heparin sodium 50 UI/ml
Įpurškimas Glycerophosphate disodium
Natrio chloridas 0,9% 4332
Suderinamas
Įpurškimas Heparin sodium 100 UI/ml
Įpurškimas Granisetron hydrochloride 0.05 mg/ml
Gliukozė 5% 182
Nedelsiant krituliai Nesuderinamas
Įpurškimas Heparin sodium 100 & 200 UI/ml
Įpurškimas Haloperidol lactate 5 mg/ml
Gliukozė 5% 617
Nedelsiant krituliai Nesuderinamas
Įpurškimas Heparin sodium 100 & 200 UI/ml
Įpurškimas Haloperidol lactate 5 mg/ml
Natrio chloridas 0,9% 617
Suderinamas
Įpurškimas Heparin sodium 500 UI/ml
Įpurškimas Haloperidol lactate 0.5 mg/ml
Natrio chloridas 0,9% 3823
Nepatikslintas nesuderinamumas Nesuderinamas
Įpurškimas Heparin sodium
Įpurškimas Haloperidol lactate
3540
Suderinamas
Įpurškimas Heparin sodium 100 UI/ml
Įpurškimas Hetastarch 60 mg/ml
specifinis tirpiklis 1721
Nepatikslintas nesuderinamumas Nesuderinamas
Įpurškimas Heparin sodium
Įpurškimas Hyaluronidase
3617
Nepatikslintas nesuderinamumas Nesuderinamas
Įpurškimas Heparin sodium
Įpurškimas Hyaluronidase
3184
Nepatikslintas nesuderinamumas Nesuderinamas
Įpurškimas Heparin sodium
Įpurškimas Hyaluronidase
3540
Suderinamas
Įpurškimas Heparin sodium 1 UI/ml
Įpurškimas Hydralazine hydrochloride 20 mg/ml
Gliukozė 5% 1228
Suderinamas
Įpurškimas Heparin sodium 1 UI/ml
Įpurškimas Hydralazine hydrochloride 20 mg/ml
Ringerio laktato tirpalas 1228
Suderinamas
Įpurškimas Heparin sodium 1 UI/ml
Įpurškimas Hydralazine hydrochloride 20 mg/ml
Natrio chloridas 0,9% 1228
Suderinamas
Įpurškimas Heparin sodium 100 UI/ml
Įpurškimas Hydrocortisone sodium succinate 125 mg/ml
Natrio chloridas 0,9% 132
Nepatikslintas nesuderinamumas Nesuderinamas
Įpurškimas Heparin sodium
Įpurškimas Hydrocortisone sodium succinate
3540
Suderinamas
Įpurškimas Heparin sodium 50 UI/ml
Įpurškimas Hydrocortisone sodium succinate 2 mg/ml
Nėra 317
Suderinamas
Įpurškimas Heparin sodium 100 UI/ml
Įpurškimas Hydrocortisone sodium succinate 125 mg/ml
Gliukozė 5% 132
Suderinamas
Įpurškimas Heparin sodium
Įpurškimas Hydromorphone hydrochloride <12.5 mg/ml
Natrio chloridas 0,9% 66
Suderinamas
Įpurškimas Heparin sodium 100 UI/ml
Įpurškimas Hydromorphone hydrochloride 1 mg/ml
314
Nedelsiant krituliai Nesuderinamas
Įpurškimas Heparin sodium <12,5 UI/ml
Įpurškimas Hydromorphone hydrochloride >25 mg/ml
Natrio chloridas 0,9% 66
Suderinamas
Įpurškimas Heparin sodium
Įpurškimas Hydromorphone hydrochloride <12.5 mg/ml
Vanduo injekcijoms 66
Nedelsiant krituliai Nesuderinamas
Įpurškimas Heparin sodium <1 UI/ml
Įpurškimas Hydromorphone hydrochloride >10 mg/ml
Vanduo injekcijoms 66
Nedelsiant krituliai Nesuderinamas
Įpurškimas Heparin sodium <12,5 UI/ml
Įpurškimas Hydromorphone hydrochloride >25 mg/ml
Vanduo injekcijoms 66
Suderinamas
Įpurškimas Heparin sodium 100 UI/ml
Įpurškimas Ibuprofen lysinate 10 mg/ml
Vanduo injekcijoms 4419
Suderinamas
Įpurškimas Heparin sodium 10 UI/ml
Įpurškimas Ibuprofen lysinate 10 mg/ml
Vanduo injekcijoms 4419
Tiesioginis drumstumas Nesuderinamas
Įpurškimas Heparin sodium 100 & 1000 UI/ml
Įpurškimas Idarubicin hydrochloride 1 mg/ml
Natrio chloridas 0,9% 491
Nedelsiant krituliai Nesuderinamas
Įpurškimas Heparin sodium
Įpurškimas Idarubicin hydrochloride
5075
Suderinamas
Įpurškimas Heparin sodium
Įpurškimas Imipenem-Cilastatin / Relebactam
4809
Suderinamas
Įpurškimas Heparin sodium 1000 UI/ml
Įpurškimas Imipenem-Cilastatin / Relebactam 5 mg/ml
Natrio chloridas 0,9% 4433
Suderinamas
Įpurškimas Heparin sodium 1000 UI/ml
Įpurškimas Imipenem-Cilastatin / Relebactam 5 mg/ml
Gliukozė 5% 4433
Suderinamas
Įpurškimas Heparin sodium 500 UI/ml
Įpurškimas Insulin 2 UI/ml
Natrio chloridas 0,9% 3823
Suderinamas
Įpurškimas Heparin sodium 60 UI/ml
Įpurškimas Insulin 0.2 UI/ml
Natrio chloridas 0,9% 129
Suderinamas
Įpurškimas Heparin sodium 50 & 400 UI/ml
Įpurškimas Insulin aspart 1 UI/ml
Gliukozė 5% 1508
Suderinamas
Įpurškimas Heparin sodium 50 & 400 UI/ml
Įpurškimas Insulin aspart 1 UI/ml
Natrio chloridas 0,9% 1508
Suderinamas
Įpurškimas Heparin sodium 10000 UI/ml
Įpurškimas Iohexol 300 mg I/ml
Nėra 1085
Suderinamas
Įpurškimas Heparin sodium 10000 UI/ml
Įpurškimas Ioxaglate 320 mg I/ml
Nėra 1085
Tiesioginis drumstumas Nesuderinamas
Įpurškimas Heparin sodium 1000 UI/ml
Įpurškimas Isavuconazonium sulfate 1.5 mg/ml
Natrio chloridas 0,9% 3829
Tiesioginis drumstumas Nesuderinamas
Įpurškimas Heparin sodium 1000 UI/ml
Įpurškimas Isavuconazonium sulfate 1.5 mg/ml
Gliukozė 5% 3829
Suderinamas
Įpurškimas Heparin sodium 1 UI/ml
Įpurškimas Isoprenaline hydrochloride 0.2 mg/ml
Gliukozė 5% 1228
Suderinamas
Įpurškimas Heparin sodium 1 UI/ml
Įpurškimas Isoprenaline hydrochloride 0.2 mg/ml
Natrio chloridas 0,9% 1228
Suderinamas
Įpurškimas Heparin sodium 1 UI/ml
Įpurškimas Isoprenaline hydrochloride 0.2 mg/ml
Ringerio laktato tirpalas 1228
Nepatikslintas nesuderinamumas Nesuderinamas
Įpurškimas Heparin sodium
Įpurškimas Kanamycin sulfate
3540
Nedelsiant krituliai Nesuderinamas
Įpurškimas Heparin sodium 25000 UI/ml
Įpurškimas Ketamine hydrochloride 50 mg/ml
2109
Suderinamas
Įpurškimas Heparin sodium 100 UI/ml
Įpurškimas Labetalol hydrochloride 2 mg/ml
314
Nepatikslintas nesuderinamumas Nesuderinamas
Įpurškimas Heparin sodium 500 UI/ml
Įpurškimas Labetalol hydrochloride 4 mg/ml
Natrio chloridas 0,9% 3823
Nepatikslintas nesuderinamumas Nesuderinamas
Įpurškimas Heparin sodium
Įpurškimas Labetalol hydrochloride
3540
Nedelsiant krituliai Nesuderinamas
Įpurškimas Heparin sodium 100 UI/ml
Įpurškimas Labetalol hydrochloride 5 mg/ml
Gliukozė 5% 295
Suderinamas
Įpurškimas Heparin sodium 40 UI/ml
Įpurškimas Labetalol hydrochloride 1 mg/ml
Gliukozė 5% 386
Suderinamas
Įpurškimas Heparin sodium 100 UI/ml
Įpurškimas Lansoprazole 0.55 mg/ml
Natrio chloridas 0,9% 1625
Troebelheid in 4 uur Nesuderinamas
Įpurškimas Heparin sodium 100 UI/ml
Įpurškimas Levetiracetam 100 mg/ml
Gliukozė 5% 4108
Tiesioginis drumstumas Nesuderinamas
Įpurškimas Heparin sodium 208,3 UI/ml
Įpurškimas Levetiracetam 15 mg/ml
Natrio chloridas 0,9% 4698
Nepatikslintas nesuderinamumas Nesuderinamas
Įpurškimas Heparin sodium
Įpurškimas Levofloxacine
3920
Nedelsiant krituliai Nesuderinamas
Įpurškimas Heparin sodium 10 UI/ml
Įpurškimas Levofloxacine 5 mg/ml
Gliukozė 5% 1072
Nepatikslintas nesuderinamumas Nesuderinamas
Įpurškimas Heparin sodium
Įpurškimas Levomepromazine
3540
Suderinamas
Įpurškimas Heparin sodium 100 UI/ml
Įpurškimas Levosimendan 2,5 mg/ml
Gliukozė 5% 4389
Suderinamas
Įpurškimas Heparin sodium 50 UI/ml
Įpurškimas Lidocaine hydrochloride 4 mg/ml
Nėra 317
Suderinamas
Įpurškimas Heparin sodium 1000 UI/ml
Įpurškimas Linezolid 2 mg/ml
Nėra 1925
Suderinamas
Įpurškimas Heparin sodium 10 >> 10000 UI/ml
Įpurškimas Linezolid 0.2 >> 1.92 mg/ml
Natrio chloridas 0,9% 2057
Suderinamas
Įpurškimas Heparin sodium 417 UI/ml
Įpurškimas Lorazepam 0.33 mg/ml
Natrio chloridas 0,9% 186
Suderinamas
Įpurškimas Heparin sodium 100 UI/ml
Įpurškimas Lorazepam 0.5 mg/ml
314
Suderinamas
Įpurškimas Heparin sodium 1 UI/ml
Įpurškimas Magnesium sulfate 5 mg/ml
Natrio chloridas 0,9% 1228
Suderinamas
Įpurškimas Heparin sodium 50 UI/ml
Įpurškimas Magnesium sulfate 15.6 mg/ml
Natrio chloridas 0,9% 2100
Suderinamas
Įpurškimas Heparin sodium 1 UI/ml
Įpurškimas Magnesium sulfate 5 mg/ml
Ringerio laktato tirpalas 1228
Suderinamas
Įpurškimas Heparin sodium 1 UI/ml
Įpurškimas Magnesium sulfate 5 mg/ml
Gliukozė 5% 1228
Suderinamas
Įpurškimas Heparin sodium 100 UI/ml
Įpurškimas Melphalan 0.1 mg/ml
Natrio chloridas 0,9% 169
Suderinamas
Įpurškimas Heparin sodium 0.5 UI/ml
Įpurškimas Meropenem 0.5 mg/ml
Dianéal® 4.25% glucose (Baxter) 4180
Suderinamas
Įpurškimas Heparin sodium 0.5 UI/ml
Įpurškimas Meropenem 0.5 mg/ml
Extraneal® (Baxter) 4180
Suderinamas
Įpurškimas Heparin sodium 1000 UI/ml
Įpurškimas Meropenem 50 mg/ml
Vanduo injekcijoms 4319
Suderinamas
Įpurškimas Heparin sodium 1 UI/ml
Įpurškimas Meropenem 1 & 50 mg/ml
Natrio chloridas 0,9% 266
Suderinamas
Įpurškimas Heparin sodium 0.5 UI/ml
Įpurškimas Meropenem 0.5 mg/ml
Dianéal® 1.5% glucose (Baxter) 4180
Suderinamas
Įpurškimas Heparin sodium 20 UI/ml
Įpurškimas Meropenem 1 & 20 mg/ml
Natrio chloridas 0,9% 266
Suderinamas
Įpurškimas Heparin sodium 0.5 UI/ml
Įpurškimas Meropenem 0.5 mg/ml
Dianéal® 2.5% glucose (Baxter) 4180
Suderinamas
Įpurškimas Heparin sodium 50 UI/ml
Įpurškimas Methadone hydrochloride 0.2 mg/ml
Gliukozė 5% 1506
Suderinamas
Įpurškimas Heparin sodium 50 UI/ml
Įpurškimas Methadone hydrochloride 0.2 mg/ml
Natrio chloridas 0,9% 1506
Nepatikslintas nesuderinamumas Nesuderinamas
Įpurškimas Heparin sodium
Įpurškimas Methotrexate sodium
3637
Suderinamas
Įpurškimas Heparin sodium 1000 UI/ml
Įpurškimas Methotrexate sodium 25 mg/ml
763
Suderinamas
Įpurškimas Heparin sodium 500 UI/ml
Įpurškimas Methotrexate sodium 30 mg/ml
Natrio chloridas 0,9% 150
Suderinamas
Įpurškimas Heparin sodium 100 UI/ml
Įpurškimas Methylprednisolone sodium succinate 5 mg/ml
Gliukozė 5% 132
Suderinamas
Įpurškimas Heparin sodium 50 UI/ml
Įpurškimas Methylprednisolone sodium succinate 2.5 mg/ml
Nėra 317
Suderinamas
Įpurškimas Heparin sodium 100 UI/ml
Įpurškimas Methylprednisolone sodium succinate 5 mg/ml
Natrio chloridas 0,9% 132
Suderinamas
Įpurškimas Heparin sodium 1000 UI/ml
Įpurškimas Metoclopramide hydrochloride 5 mg/ml
763
Cheminis nestabilumas Nesuderinamas
Įpurškimas Heparin sodium 1000 UI/ml
Įpurškimas Metoprolol tartrate 1 mg/ml
Nėra 2346
Suderinamas
Įpurškimas Heparin sodium 50 UI/ml
Įpurškimas Metronidazole 5 mg/ml
Nėra 317
Suderinamas
Įpurškimas Heparin sodium 100 UI/ml
Įpurškimas Micafungin 1.5 mg/ml
Natrio chloridas 0,9% 2108
Tiesioginis drumstumas Nesuderinamas
Įpurškimas Heparin sodium 208,3 UI/ml
Įpurškimas Midazolam hydrochloride 1 mg/ml
Natrio chloridas 0,9% 4698
Suderinamas
Įpurškimas Heparin sodium 500 UI/ml
Įpurškimas Midazolam hydrochloride 2.1 mg/ml
Natrio chloridas 0,9% 3823
Suderinamas
Įpurškimas Heparin sodium 417 UI/ml
Įpurškimas Midazolam hydrochloride 5 mg/ml
Nėra 186
Suderinamas
Įpurškimas Heparin sodium 100 UI/ml
Įpurškimas Midazolam hydrochloride 5 mg/ml
4389
Suderinamas
Įpurškimas Heparin sodium 100 UI/ml
Įpurškimas Midazolam hydrochloride 2 mg/ml
314
Suderinamas
Įpurškimas Heparin sodium 200 UI/ml
Įpurškimas Milrinone lactate 0.8 mg/ml
Gliukozė 5% 813
Suderinamas
Įpurškimas Heparin sodium 100 UI/ml
Įpurškimas Milrinone lactate 0.2 mg/ml
314
Suderinamas
Įpurškimas Heparin sodium 1 UI/ml
Įpurškimas Minocycline hydrochloride 0.2 mg/ml
Gliukozė 5% 1228
Suderinamas
Įpurškimas Heparin sodium 1 UI/ml
Įpurškimas Minocycline hydrochloride 0.2 mg/ml
Ringerio laktato tirpalas 1228
Suderinamas
Įpurškimas Heparin sodium 1 UI/ml
Įpurškimas Minocycline hydrochloride 0.2 mg/ml
Natrio chloridas 0,9% 1228
Nepatikslintas nesuderinamumas Nesuderinamas
Įpurškimas Heparin sodium
Įpurškimas Mitoxantrone dihydrochloride
3640
Nepatikslintas nesuderinamumas Nesuderinamas
Įpurškimas Heparin sodium
Įpurškimas Morphine hydrochloride
5069
Suderinamas
Įpurškimas Heparin sodium 100 & 200 UI/ml
Įpurškimas Morphine sulfate 1 >> 5 mg/ml
Vanduo injekcijoms 341
Suderinamas
Įpurškimas Heparin sodium 1 UI/ml
Įpurškimas Morphine sulfate 15 mg/ml
Ringerio laktato tirpalas 1228
Nepatikslintas nesuderinamumas Nesuderinamas
Įpurškimas Heparin sodium
Įpurškimas Morphine sulfate
3531
Suderinamas
Įpurškimas Heparin sodium 1 UI/ml
Įpurškimas Morphine sulfate 15 mg/ml
Gliukozė 5% 1228
Suderinamas
Įpurškimas Heparin sodium 1 UI/ml
Įpurškimas Morphine sulfate 15 mg/ml
Natrio chloridas 0,9% 1228
Suderinamas
Įpurškimas Heparin sodium 60 UI/ml
Įpurškimas Morphine sulfate 1 mg/ml
Natrio chloridas 0,9% 406
Suderinamas
Įpurškimas Heparin sodium 100 & 200 UI/ml
Įpurškimas Morphine sulfate 10 mg/ml
Vanduo injekcijoms 341
Suderinamas
Įpurškimas Heparin sodium 100 UI/ml
Įpurškimas Morphine sulfate 2 mg/ml
314
Cheminis nestabilumas Nesuderinamas
Įpurškimas Heparin sodium 100 & 200 UI/ml
Įpurškimas Morphine sulfate 1 >> 10 mg/ml
Natrio chloridas 0,9% 341
Suderinamas
Įpurškimas Heparin sodium 1000 UI/ml
Įpurškimas N-acetylcysteine 200 mg/ml
Nėra 3766
Suderinamas
Įpurškimas Heparin sodium 50 UI/ml
Įpurškimas Nafcillin sodium 20 mg/ml
Nėra 317
Suderinamas
Įpurškimas Heparin sodium 1000 UI/ml
Įpurškimas Naloxone hydrochloride 0.4 mg/ml
Nėra 3408
Tiesioginis drumstumas Nesuderinamas
Įpurškimas Heparin sodium 208,3 UI/ml
Įpurškimas Nefopam 1,7 mg/ml
Natrio chloridas 0,9% 4698
Suderinamas
Įpurškimas Heparin sodium 1 UI/ml
Įpurškimas Neostigmine methylsulfate 0.5 mg/ml
Gliukozė 5% 1228
Suderinamas
Įpurškimas Heparin sodium 1 UI/ml
Įpurškimas Neostigmine methylsulfate 0.5 mg/ml
Natrio chloridas 0,9% 1228
Suderinamas
Įpurškimas Heparin sodium 1 UI/ml
Įpurškimas Neostigmine methylsulfate 0.5 mg/ml
Ringerio laktato tirpalas 1228
Nepatikslintas nesuderinamumas Nesuderinamas
Įpurškimas Heparin sodium
Įpurškimas Nesiritide
5048
Nepatikslintas nesuderinamumas Nesuderinamas
Įpurškimas Heparin sodium
Įpurškimas Netilmicin sulfate
3540
Nedelsiant krituliai Nesuderinamas
Įpurškimas Heparin sodium
Įpurškimas Netilmicin sulfate
1022
Nedelsiant krituliai Nesuderinamas
Įpurškimas Heparin sodium 100 UI/ml
Įpurškimas Nicardipine hydrochloride 1 mg/ml
314
Nepatikslintas nesuderinamumas Nesuderinamas
Įpurškimas Heparin sodium
Įpurškimas Nicardipine hydrochloride
3540
Suderinamas
Įpurškimas Heparin sodium 40 UI/ml
Įpurškimas Nicardipine hydrochloride 0.1 mg/ml
Gliukozė 5% 1490
Suderinamas
Įpurškimas Heparin sodium 40 UI/ml
Įpurškimas Nicardipine hydrochloride 0.1 mg/ml
Natrio chloridas 0,9% 1490
Nedelsiant krituliai Nesuderinamas
Įpurškimas Heparin sodium 100 UI/ml
Įpurškimas Nitroglycerin 1,6 >> 3,25 mg/ml
Gliukozė 5% 295
Suderinamas
Įpurškimas Heparin sodium 500 UI/ml
Įpurškimas Nitroglycerin 0.2 mg/ml
Natrio chloridas 0,9% 3823
Dujų burbulų susidarymas Nesuderinamas
Įpurškimas Heparin sodium 50 UI/ml
Įpurškimas Nitroglycerin 0.2 mg/ml
Nėra 317
Suderinamas
Įpurškimas Heparin sodium 500 UI/ml
Įpurškimas Nitroglycerin 0.2 mg/ml
Gliukozė 5% 3823
Suderinamas
Įpurškimas Heparin sodium 100 UI/ml
Įpurškimas Nitroglycerin 0.4 mg/ml
314
Suderinamas
Įpurškimas Heparin sodium 50 UI/ml
Įpurškimas Nitroprusside sodium 0.2 mg/ml
Nėra 317
Suderinamas
Įpurškimas Heparin sodium 100 UI/ml
Įpurškimas Nitroprusside sodium 0.2 mg/ml
Gliukozė 5% 295
Suderinamas
Įpurškimas Heparin sodium 100 UI/ml
Įpurškimas Norepinephrine bitartrate 0.128 mg/ml
314
Nepatikslintas nesuderinamumas Nesuderinamas
Įpurškimas Heparin sodium
Įpurškimas Ofloxacin
3562
Suderinamas
Įpurškimas Heparin sodium 40 UI/ml
Įpurškimas Ondansetron hydrochloride 1 mg/ml
Natrio chloridas 0,9% 334
Nesuderinamas
Įpurškimas Heparin sodium 200 UI/ml
Įpurškimas Ondansetron hydrochloride 1.6 mg/ml
1699
Tiesioginis drumstumas Nesuderinamas
Įpurškimas Heparin sodium 100 UI/ml
Įpurškimas Oritavancin 0.8 >>1.2 mg/ml
Gliukozė 5% 3152
Krituliai po 4 valandų Nesuderinamas
Įpurškimas Heparin sodium 100 UI/ml
Įpurškimas Oritavancin 2 mg/ml
Gliukozė 5% 3152
Suderinamas
Įpurškimas Heparin sodium 208 UI/ml
Įpurškimas Ornidazole 31.25 mg/ml
Natrio chloridas 0,9% 4254
Suderinamas
Įpurškimas Heparin sodium 1 UI/ml
Įpurškimas Oxacillin sodium 100 mg/ml
Gliukozė 5% 1228
Suderinamas
Įpurškimas Heparin sodium 1 UI/ml
Įpurškimas Oxacillin sodium 100 mg/ml
Ringerio laktato tirpalas 1228
Suderinamas
Įpurškimas Heparin sodium 1 UI/ml
Įpurškimas Oxacillin sodium 100 mg/ml
Natrio chloridas 0,9% 1228
Suderinamas
Įpurškimas Heparin sodium 100 UI/ml
Įpurškimas Oxaliplatin 0,5 mg/ml
Gliukozė 5% 1662
Nepatikslintas nesuderinamumas Nesuderinamas
Įpurškimas Heparin sodium
Įpurškimas Oxytetracycline hydrochloride
3540
Suderinamas
Įpurškimas Heparin sodium 100 UI/ml
Įpurškimas Paclitaxel 1.2 mg/ml
Gliukozė 5% 248
Suderinamas
Įpurškimas Heparin sodium 100 UI/ml
Įpurškimas Palonosetron hydrochloride 50 µg/ml
Gliukozė 5% 2279
Suderinamas
Įpurškimas Heparin sodium 40 UI/ml
Įpurškimas Pancuronium bromide 0.05 mg/ml
Gliukozė 5% 402
Krituliai po 1 valandos Nesuderinamas
Įpurškimas Heparin sodium
Įpurškimas Pantoprazole sodium
2090
Suderinamas
Įpurškimas Heparin sodium 208,3 UI/ml
Įpurškimas Paracetamol 10 mg/ml
Natrio chloridas 0,9% 4698
Suderinamas
Įpurškimas Heparin sodium 1000 UI/ml
Įpurškimas Paracetamol 10 mg/ml
4742
Suderinamas
Įpurškimas Heparin sodium 100 UI/ml
Įpurškimas Pemetrexed disodium 20 mg/ml
Natrio chloridas 0,9% 1953
Nepatikslintas nesuderinamumas Nesuderinamas
Įpurškimas Heparin sodium
Įpurškimas Penicillin G potassium
3540
Suderinamas
Įpurškimas Heparin sodium 50 UI/ml
Įpurškimas Penicillin G potassium 0.04 MUI/ml
Nėra 317
Nepatikslintas nesuderinamumas Nesuderinamas
Įpurškimas Heparin sodium
Įpurškimas Penicillin G sodium
3540
Suderinamas
Įpurškimas Heparin sodium 100 UI/ml
Įpurškimas Pentoxifyllin 5 mg/ml
Natrio chloridas 0,9% 4538
Tiesioginis drumstumas Nesuderinamas
Įpurškimas Heparin sodium
Įpurškimas Pethidine hydrochloride
3525
Suderinamas
Įpurškimas Heparin sodium 60 UI/ml
Įpurškimas Pethidine hydrochloride 10 mg/ml
Natrio chloridas 0,9% 406
Nepatikslintas nesuderinamumas Nesuderinamas
Įpurškimas Heparin sodium
Įpurškimas Pethidine hydrochloride
3540
Nedelsiant krituliai Nesuderinamas
Įpurškimas Heparin sodium 50 UI/ml
Įpurškimas Phenytoin sodium 2 mg/ml
Nėra 317
Suderinamas
Įpurškimas Heparin sodium 50 UI/ml
Įpurškimas Piperacillin sodium 60 mg/ml
Nėra 317
Suderinamas
Įpurškimas Heparin sodium 10 & 5000 UI/ml
Įpurškimas Piperacillin sodium 40 mg/ml
Natrio chloridas 0,9% 2037
Suderinamas
Įpurškimas Heparin sodium 0.5 UI/ml
Įpurškimas Piperacillin sodium / tazobactam 0.5/0.0625 mg/ml
Dianéal® 2.5% glucose (Baxter) 4180
Suderinamas
Įpurškimas Heparin sodium 0.5 UI/ml
Įpurškimas Piperacillin sodium / tazobactam 0.5/0.0625 mg/ml
Dianéal® 4.25% glucose (Baxter) 4180
Tiesioginis drumstumas Nesuderinamas
Įpurškimas Heparin sodium 1000 UI/ml
Įpurškimas Plazomicin sulfate 24 mg/ml
Natrio chloridas 0,9% 4145
Nepatikslintas nesuderinamumas Nesuderinamas
Įpurškimas Heparin sodium
Įpurškimas Polymyxine B
3540
Suderinamas
Įpurškimas Heparin sodium 50 UI/ml
Įpurškimas Potassium chloride 200 mEq/l
Nėra 317
Suderinamas
Įpurškimas Heparin sodium 1 UI/ml
Įpurškimas Procainamide hydrochloride 100 mg/ml
Ringerio laktato tirpalas 1228
Suderinamas
Įpurškimas Heparin sodium 1 UI/ml
Įpurškimas Procainamide hydrochloride 100 mg/ml
Natrio chloridas 0,9% 1228
Suderinamas
Įpurškimas Heparin sodium 1 UI/ml
Įpurškimas Prochlorperazine edysilate 5 mg/ml
Natrio chloridas 0,9% 1228
Suderinamas
Įpurškimas Heparin sodium 3 >> 20 UI/ml
Parenterinis maitinimas (lipidų nemokamai) 791
Suderinamas
Įpurškimas Heparin sodium 100 UI/ml
Parenterinis maitinimas (lipidų nemokamai) 301
Suderinamas
Įpurškimas Heparin sodium 500 UI/ml
Parenterinis maitinimas (lipidų nemokamai) 939
Suderinamas
Įpurškimas Heparin sodium 1 UI/ml
Įpurškimas Prochlorperazine edysilate 5 mg/ml
Ringerio laktato tirpalas 1228
Suderinamas
Įpurškimas Heparin sodium 1 UI/ml
Įpurškimas Promethazine hydrochloride 50 mg/ml
Natrio chloridas 0,9% 1228
Suderinamas
Įpurškimas Heparin sodium 1 UI/ml
Įpurškimas Promethazine hydrochloride 50 mg/ml
Ringerio laktato tirpalas 1228
Suderinamas
Įpurškimas Heparin sodium 1 UI/ml
Įpurškimas Propranolol hydrochloride 1 mg/ml
Ringerio laktato tirpalas 1228
Suderinamas
Įpurškimas Heparin sodium 1 UI/ml
Įpurškimas Propranolol hydrochloride 1 mg/ml
Natrio chloridas 0,9% 1228
Suderinamas
Įpurškimas Heparin sodium 50 UI/ml
Įpurškimas Ranitidine hydrochloride 0,5 mg/ml
Gliukozė 5% 396
Suderinamas
Įpurškimas Heparin sodium 10 & 40 UI/ml
Įpurškimas Ranitidine hydrochloride 0.05 & 2 mg/ml
Natrio chloridas 0,9% 214
Suderinamas
Įpurškimas Heparin sodium 50 UI/ml
Įpurškimas Ranitidine hydrochloride 1 mg/ml
Nėra 317
Suderinamas
Įpurškimas Heparin sodium 1000 UI/ml
Įpurškimas Remdesivir 1 mg/ml
Natrio chloridas 0,9% 4768
Suderinamas
Įpurškimas Heparin sodium 100 UI/ml
Įpurškimas Remifentanil hydrochloride 25 & 250 µg/ml
Natrio chloridas 0,9% 59
Suderinamas
Įpurškimas Heparin sodium 500 UI/ml
Įpurškimas Remifentanil hydrochloride 100 µg/ml
Natrio chloridas 0,9% 3823
Suderinamas
Įpurškimas Heparin sodium 500 UI/ml
NaHCO3 150
Suderinamas
Įpurškimas Heparin sodium 1.4 UI/ml
Įpurškimas Piperacillin sodium / tazobactam 1.38/0.1725 mg/ml
Physionéal® 2.27 (Baxter) 4180
Suderinamas
Įpurškimas Heparin sodium 1.4 UI/ml
Įpurškimas Piperacillin sodium / tazobactam 1.38/0.1725 mg/ml
Physionéal® 1.36 (Baxter) 4180
Suderinamas
Įpurškimas Heparin sodium 0.5 UI/ml
Įpurškimas Piperacillin sodium / tazobactam 0.5/0.0625 mg/ml
Dianéal® 1.5% glucose (Baxter) 4180
Suderinamas
Įpurškimas Heparin sodium 1.4 UI/ml
Įpurškimas Piperacillin sodium / tazobactam 1.38/0.1725 mg/ml
Physionéal® 3.86 (Baxter) 4180
Suderinamas
Įpurškimas Heparin sodium 100 UI/ml
Įpurškimas Piperacillin sodium / tazobactam 40/5 mg/ml
Gliukozė 5% 81
Suderinamas
Įpurškimas Heparin sodium 0.5 UI/ml
Įpurškimas Piperacillin sodium / tazobactam 0.5/0.0625 mg/ml
Extraneal® (Baxter) 4180
Suderinamas
Įpurškimas Heparin sodium 500 UI/ml
Įpurškimas Potassium chloride 10 mEq/l
Natrio chloridas 0,9% 3823
Suderinamas
Įpurškimas Heparin sodium 58,34 UI/ml
Įpurškimas Potassium chloride 1250 mEq/l
Gliukozė 5% 1289
Suderinamas
Įpurškimas Heparin sodium
Įpurškimas Potassium phosphate
3781
Suderinamas
Įpurškimas Heparin sodium 1 UI/ml
Įpurškimas Procainamide hydrochloride 100 mg/ml
Gliukozė 5% 1228
Suderinamas
Įpurškimas Heparin sodium 1 UI/ml
Įpurškimas Prochlorperazine edysilate 5 mg/ml
Gliukozė 5% 1228
Suderinamas
Įpurškimas Heparin sodium 1 UI/ml
Įpurškimas Promethazine hydrochloride 50 mg/ml
Gliukozė 5% 1228
Nepatikslintas nesuderinamumas Nesuderinamas
Įpurškimas Heparin sodium
Įpurškimas Promethazine hydrochloride
3540
Emulsijos nestabilumas po 1 valandos Nesuderinamas
Įpurškimas Heparin sodium 1000 UI/ml
Įpurškimas Propofol
660
Suderinamas
Įpurškimas Heparin sodium 100 UI/ml
Įpurškimas Propofol 10 mg/ml
Nėra 300
Suderinamas
Įpurškimas Heparin sodium 1 UI/ml
Įpurškimas Propranolol hydrochloride 1 mg/ml
Gliukozė 5% 1228
Suderinamas
Įpurškimas Heparin sodium 100 UI/ml
Įpurškimas Ranitidine hydrochloride 1 mg/ml
314
Suderinamas
Įpurškimas Heparin sodium 10 & 40 UI/ml
Įpurškimas Ranitidine hydrochloride 0.05 & 2 mg/ml
Gliukozė 5% 214
Suderinamas
Įpurškimas Heparin sodium 416.7 UI/ml
Įpurškimas Remifentanil hydrochloride 120 µg/ml
Gliukozė 5% 3294
Suderinamas
Įpurškimas Heparin sodium 416.7 UI/ml
Įpurškimas Remifentanil hydrochloride 120 µg/ml
Gliukozė 5% 3176
Nepatikslintas nesuderinamumas Nesuderinamas
Įpurškimas Heparin sodium
Įpurškimas Reteplase
2212
Suderinamas
Įpurškimas Heparin sodium 20,458 >> 28,000 UI/ml
Parenteriniu būdu (su lipidų) 1868
Nepatikslintas nesuderinamumas Nesuderinamas
Įpurškimas Heparin sodium
Įpurškimas Reteplase
3540
Suderinamas
Įpurškimas Heparin sodium 1000 UI/ml
Įpurškimas Salbutamol sulfate 1 mg/ml
Nėra 3216
Suderinamas
Įpurškimas Heparin sodium 100 UI/ml
Įpurškimas Sargramostim 6 §15 µg/ml
Natrio chloridas 0,9% 891
Suderinamas
Įpurškimas Heparin sodium 100 UI/ml
Įpurškimas Sargramostim 10 µg/ml
Natrio chloridas 0,9% 335
Suderinamas
Įpurškimas Heparin sodium 1 UI/ml
Įpurškimas Scopolamine hydrobromide 0.86 mg/ml
Natrio chloridas 0,9% 1228
Suderinamas
Įpurškimas Heparin sodium 1 UI/ml
Įpurškimas Scopolamine hydrobromide 0.86 mg/ml
Ringerio laktato tirpalas 1228
Suderinamas
Įpurškimas Heparin sodium 1 UI/ml
Įpurškimas Scopolamine hydrobromide 0.86 mg/ml
Gliukozė 5% 1228
Suderinamas
Įpurškimas Heparin sodium 100 UI/ml
Įpurškimas Sildenafil citrate 0,6 mg/ml
Gliukozė 5% 4845
Suderinamas
Įpurškimas Heparin sodium 100 UI/ml
Įpurškimas Sildenafil citrate 0,06 mg/ml
Gliukozė 5% 4845
Suderinamas
Įpurškimas Heparin sodium 1 UI/ml
Įpurškimas Sildenafil citrate 0,4 mg/ml
Gliukozė 5% 3923
Suderinamas
Įpurškimas Heparin sodium 2 UI/ml
Įpurškimas Sildenafil citrate 0,6 mg/ml
Gliukozė 5% 4845
Suderinamas
Įpurškimas Heparin sodium
Natrio chloridas 0,9% 3540
Skubus emulsijos nestabilumas Nesuderinamas
Įpurškimas Heparin sodium 100 UI/ml
Parenteriniu būdu (su lipidų) 132
Tiesioginis drumstumas Nesuderinamas
Įpurškimas Heparin sodium 100 UI/ml
Įpurškimas Sildenafil citrate 0,6 mg/ml
Gliukozė 5% 4845
Suderinamas
Įpurškimas Heparin sodium 500 UI/ml
Įpurškimas Sodium bicarbonate 84 mg/ml
Natrio chloridas 0,9% 3823
Suderinamas
Įpurškimas Heparin sodium
Įpurškimas Sodium bicarbonate
3466
Suderinamas
Įpurškimas Heparin sodium 500 UI/ml
Įpurškimas Sodium bicarbonate 14 mg/ml
Nėra 150
Suderinamas
Įpurškimas Heparin sodium 500 UI/ml
Įpurškimas Sodium bicarbonate 84 mg/ml
Nėra 3212
Suderinamas
Įpurškimas Heparin sodium 208 UI/ml
Įpurškimas Spiramycine adipate 0.0625 MUI/ml
Natrio chloridas 0,9% 4254
Suderinamas
Įpurškimas Heparin sodium 100 UI/ml
Įpurškimas Streptokinase 30000 UI/ml
Gliukozė 5% 92
Nepatikslintas nesuderinamumas Nesuderinamas
Įpurškimas Heparin sodium
Įpurškimas Streptomycin sulfate
3540
Suderinamas
Įpurškimas Heparin sodium 416.7 UI/ml
Įpurškimas Sufentanil citrate 0.005 mg/ml
Gliukozė 5% 3294
Suderinamas
Įpurškimas Heparin sodium 1000 UI/ml
Įpurškimas Sugammadex 100 mg/ml
Nėra 3372
Suderinamas
Įpurškimas Heparin sodium 10 UI/ml
Įpurškimas Tacrolimus 1000 µg/ml
Natrio chloridas 0,9% 479
Suderinamas
Įpurškimas Heparin sodium 1000 UI/ml
Ringerio laktato tirpalas 4603
Suderinamas
Įpurškimas Heparin sodium 1000 UI/ml
Įpurškimas Sulbactam/durlobactam 15/15 mg/ml
Natrio chloridas 0,9% 4801
Suderinamas
Įpurškimas Heparin sodium 1000 UI/ml
Įpurškimas Tedizolid phosphate 0.8 mg/ml
Natrio chloridas 0,9% 3827
Suderinamas
Įpurškimas Heparin sodium 10 >> 10000 UI/ml
Įpurškimas Teicoplanine 0.02 >> 10 mg/ml
Natrio chloridas 0,9% 2057
Tiesioginis drumstumas Nesuderinamas
Įpurškimas Heparin sodium 1000 UI/ml
Įpurškimas Telavancin hydrochloride 7,5 mg/ml
Gliukozė 5% 3254
Tiesioginis drumstumas Nesuderinamas
Įpurškimas Heparin sodium 1000 UI/ml
Įpurškimas Telavancin hydrochloride 7,5 mg/ml
Natrio chloridas 0,9% 3254
Suderinamas
Įpurškimas Heparin sodium 1000 UI/ml
Įpurškimas Telavancin hydrochloride 7.5 mg/ml
Ringerio laktato tirpalas 3254
Nedelsiant krituliai Nesuderinamas
Įpurškimas Heparin sodium 1000 UI/ml
Įpurškimas Thiopental sodium 25 mg/ml
Natrio chloridas 0,9% 3767
Skubus emulsijos nestabilumas Nesuderinamas
Įpurškimas Heparin sodium 1 UI/ml
Parenteriniu būdu (su lipidų) 1391
Suderinamas
Įpurškimas Heparin sodium 100 UI/ml
Įpurškimas Teniposide 0.1 mg/ml
Gliukozė 5% 905
Suderinamas
Įpurškimas Heparin sodium 50 UI/ml
Įpurškimas Theophylline 4 mg/ml
Nėra 317
Suderinamas
Įpurškimas Heparin sodium 100 UI/ml
Įpurškimas Thiopental sodium 25 mg/ml
314
Skubus emulsijos nestabilumas Nesuderinamas
Įpurškimas Heparin sodium 100 UI/ml
Parenteriniu būdu (su lipidų) 1415
Suderinamas
Įpurškimas Heparin sodium 500 UI/ml
Įpurškimas Thiopental sodium 60 mg/ml
Natrio chloridas 0,9% 3823
Suderinamas
Įpurškimas Heparin sodium 100 UI/ml
Įpurškimas Thiotepa 1 mg/ml
Gliukozė 5% 249
Suderinamas
Įpurškimas Heparin sodium 50 UI/ml
Įpurškimas Ticarcillin / clavulanic acid 31 mg/ml
Nėra 317
Suderinamas
Įpurškimas Heparin sodium 500 UI/ml
Įpurškimas Tirofiban 250 µg/ml
Natrio chloridas 0,9% 3823
Suderinamas
Įpurškimas Heparin sodium 40 & 100 UI/ml
Įpurškimas Tirofiban 50 µg/ml
Natrio chloridas 0,9% 1420
Suderinamas
Įpurškimas Heparin sodium
Gliukozė 5% 3540
Suderinamas
Įpurškimas Heparin sodium
Įpurškimas Tirofiban
1512
Suderinamas
Įpurškimas Heparin sodium 40 & 100 UI/ml
Įpurškimas Tirofiban 50 µg/ml
Gliukozė 5% 1420
Nepatikslintas nesuderinamumas Nesuderinamas
Įpurškimas Heparin sodium 50 UI/ml
Įpurškimas Tobramycin sulfate 0.8 mg/ml
Nėra 317
Nepatikslintas nesuderinamumas Nesuderinamas
Įpurškimas Heparin sodium
Įpurškimas Tobramycin sulfate
3540
Suderinamas
Įpurškimas Heparin sodium
Įpurškimas Tranexamic acid
5016
Nepatikslintas nesuderinamumas Nesuderinamas
Įpurškimas Heparin sodium
Įpurškimas Triflupromazine hydrochloride
3540
Suderinamas
Įpurškimas Heparin sodium 500 UI/ml
Įpurškimas Urapidil 5 mg/ml
Natrio chloridas 0,9% 3823
Nedelsiant krituliai Nesuderinamas
Įpurškimas Heparin sodium 0,5 >> 14,3 UI/ml
Įpurškimas Vancomycin hydrochloride 6,9 >> 14,3 mg/ml
Dianéal® PD1 4.25% Gliukozė (Baxter) 2375
Nepatikslintas nesuderinamumas Nesuderinamas
Įpurškimas Heparin sodium
Įpurškimas Vancomycin hydrochloride
3588
Nepatikslintas nesuderinamumas Nesuderinamas
Įpurškimas Heparin sodium
Įpurškimas Vancomycin hydrochloride
3540
Suderinamas
Įpurškimas Heparin sodium 0,5 >> 14,3 UI/ml
Įpurškimas Vancomycin hydrochloride 0,015 >> 6,8 mg/ml
Dianéal® PD2 2.5% glucose (Baxter) 2375
Nedelsiant krituliai Nesuderinamas
Įpurškimas Heparin sodium 0,5 >> 14,3 UI/ml
Įpurškimas Vancomycin hydrochloride 6,9 >> 14,3 mg/ml
Dianéal® PD2 2.5% glucose (Baxter) 2375
Suderinamas
Įpurškimas Heparin sodium 10 UI/ml
Įpurškimas Vancomycin hydrochloride 0.025 mg/ml
Vanduo injekcijoms 3125
Suderinamas
Įpurškimas Heparin sodium 0,5 >> 14,3 UI/ml
Įpurškimas Vancomycin hydrochloride 0,015 >> 6,8 mg/ml
Dianéal® PD1 4.25% Gliukozė (Baxter) 2375
Nepatikslintas nesuderinamumas Nesuderinamas
Įpurškimas Heparin sodium 50 UI/ml
Įpurškimas Vancomycin hydrochloride 6.6 mg/ml
Nėra 317
Suderinamas
Įpurškimas Heparin sodium 100 UI/ml
Įpurškimas Vancomycin hydrochloride 0.025 mg/ml
Natrio chloridas 0,9% 1414
Suderinamas
Įpurškimas Heparin sodium 10 UI/ml
Įpurškimas Vancomycin hydrochloride 2 mg/ml
Natrio chloridas 0,9% 2037
Nedelsiant krituliai Nesuderinamas
Įpurškimas Heparin sodium 100 UI/ml
Įpurškimas Vancomycin hydrochloride 10 mg/ml
Parenterinis maitinimas (lipidų nemokamai) 132
Suderinamas
Įpurškimas Heparin sodium 5000 UI/ml
Įpurškimas Vancomycin hydrochloride 2.5 mg/ml
Natrio chloridas 0,9% 2037
Suderinamas
Įpurškimas Heparin sodium 100 UI/ml
Įpurškimas Vancomycin hydrochloride 0.025 mg/ml
Natrio chloridas 0,9% 895
Suderinamas
Įpurškimas Heparin sodium 100 UI/ml
Įpurškimas Vasopressin 2 & 4 UI/ml
Natrio chloridas 0,9% 1801
Suderinamas
Įpurškimas Heparin sodium 100 UI/ml
Įpurškimas Vecuronium bromide 1 mg/ml
314
Suderinamas
Įpurškimas Heparin sodium 40 UI/ml
Įpurškimas Vecuronium bromide 0.1 mg/ml
Gliukozė 5% 402
Suderinamas
Įpurškimas Heparin sodium 20 UI/ml
Įpurškimas Verapamil hydrochloride 0.08 mg/ml
Natrio chloridas 0,9% 1057
Suderinamas
Įpurškimas Heparin sodium 20 UI/ml
Įpurškimas Verapamil hydrochloride 0.08 mg/ml
Gliukozė 5% 1057
Nepatikslintas nesuderinamumas Nesuderinamas
Įpurškimas Heparin sodium
Įpurškimas Vinblastine sulfate
3540
Suderinamas
Įpurškimas Heparin sodium 1000 UI/ml
Įpurškimas Vinblastine sulfate 1 mg/ml
763
Suderinamas
Įpurškimas Heparin sodium 1000 UI/ml
Įpurškimas Vincristine sulfate 1 mg/ml
763
Suderinamas
Įpurškimas Heparin sodium 100 UI/ml
Įpurškimas Vinorelbine tartrate 1 mg/ml
Natrio chloridas 0,9% 84
Suderinamas
Įpurškimas Heparin sodium 100 UI/ml
Įpurškimas Vinorelbine tartrate 1 mg/ml
Natrio chloridas 0,9% 1070
Nedelsiant krituliai Nesuderinamas
Įpurškimas Heparin sodium 10 & 100 UI/ml
Įpurškimas Vinorelbine tartrate 2 & 3 mg/ml
Natrio chloridas 0,9% 1070
Suderinamas
Įpurškimas Heparin sodium 208 UI/ml
Įpurškimas Voriconazole 8 mg/ml
Gliukozė 5% 4254
Suderinamas
Įpurškimas Heparin sodium 208 UI/ml
Įpurškimas Voriconazole 8 mg/ml
Natrio chloridas 0,9% 4254
Suderinamas
Įpurškimas Heparin sodium 100 UI/ml
Įpurškimas Warfarin sodium 2 mg/ml
Gliukozė 5% 315
Suderinamas
Įpurškimas Heparin sodium 100 UI/ml
Įpurškimas Zidovudine 4 mg/ml
Gliukozė 5% 337

  Mentions Légales