Dernière mise à jour :
17/12/2025
Antibiotique   Gentamicin sulfate  
injectable
Collyre
Stabilité des solutions Stabilité en mélange Facteur influençant la stabilité Compatibilités Voie d’administration Bibliographie pdf
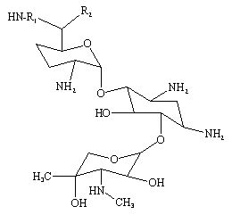
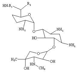
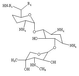
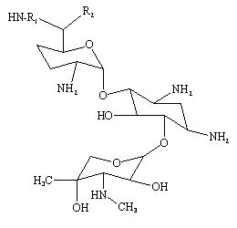
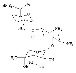
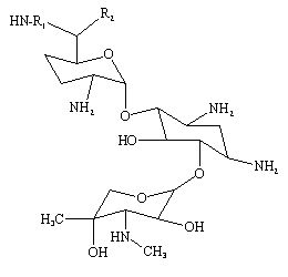
   Structure chimique  

Noms commerciaux   Noms commerciaux     

Les noms commerciaux sont donnés à titre indicatif et la composition en excipients peut être différente selon les pays et selon les laboratoires

Azupel Pérou
Cidomycin Egypte, Grande Bretagne, Tunisie
Dabroson Grèce
Epigent Egypte
Garalone Portugal
Garamicina Brésil, Colombie, Equateur, Mexique
Garamycin Croatie, Danemark, Egypte, Emirats Arabes Unis , Grèce, Inde, Norvège, Pays bas, Pologne, Suisse
Genmisin Turquie
Gensif Turquie
Gensumycin Finlande, Norvège, Suède
Genta-Gobens Espagne
Gentalline Maroc
Gentamen Maroc
Genticin Emirats Arabes Unis , Grande Bretagne, Irlande
Gentreks Turquie
Hexamycin Danemark
Plurisemina Argentine
Refobacin Allemagne, Autriche, Colombie, Egypte
Rupegen Argentine
Stabilité des solutions   injectable   Stabilité des solutions : Gentamicin sulfate     
Contenant Solvant Concentration Température Conservation Durée de stabilité Bibliographie
Verre Chlorure de sodium 0,9% 10 mg/ml 4°C A l’abri de la lumière
84 Jour
1486
Méthode biologique

Polyvinyl chlorure Chlorure de sodium 0,9% 1 mg/ml -20°C A l’abri de la lumière
30 Jour
573
Méthode biologique

Polyvinyl chlorure Chlorure de sodium 0,9% 1 mg/ml 25°C Lumière
48 Heure
434

Polyvinyl chlorure Chlorure de sodium 0,9% 1 mg/ml 4°C A l’abri de la lumière
48 Heure
434

Polyvinyl chlorure Chlorure de sodium 0,9% 1,2 mg/ml -20°C A l’abri de la lumière
28 Jour
565
Niveau de preuve D

Polyvinyl chlorure Glucose 5% 1 mg/ml -20°C A l’abri de la lumière
30 Jour
573
Méthode biologique

Polyvinyl chlorure Glucose 5% 1 mg/ml 25°C Lumière
48 Heure
434

Données conflictuelles
Polyvinyl chlorure Glucose 5% 1 mg/ml 4°C A l’abri de la lumière
48 Heure
434

Polyvinyl chlorure Glucose 5% 1,2 mg/ml -20°C A l’abri de la lumière
28 Jour
565
Niveau de preuve D

Polyvinyl chlorure Glucose 5% 1,6 mg/ml -20°C A l’abri de la lumière
30 Jour
576
Méthode biologique

Polyvinyl chlorure Extraneal® (Baxter) 0,02 mg/ml 25°C A l’abri de la lumière
14 Jour
3888
Niveau de preuve D

Polyvinyl chlorure Extraneal® (Baxter) 0,02 mg/ml 37°C A l’abri de la lumière
14 Jour
3888
Niveau de preuve D

Polyvinyl chlorure Extraneal® (Baxter) 0,02 mg/ml 4°C A l’abri de la lumière
14 Jour
3888
Niveau de preuve D

Polyéthylène Eau pour préparation injectable 2,5 mg/ml 25°C Avec ou sans lumière
112 Jour
3141
Niveau de preuve B

Ethylène vinyl acétate Chlorure de sodium 0,9% 0,85 mg/ml 23°C A l’abri de la lumière
7 Jour
1704
Niveau de preuve A +

Ethylène vinyl acétate Chlorure de sodium 0,9% 0,85 mg/ml 4°C A l’abri de la lumière
30 Jour
1704
Niveau de preuve A +

Seringue polypropylène Chlorure de sodium 0,9% 30 mg/ml 22°C-23°C Lumière
48 Heure
639
Niveau de preuve D

Elastomère en polyisoprène Chlorure de sodium 0,9% 0,5 & 5 mg/ml 25°C Non précisée
24 Heure
604
Données de stabilité du fabricant

Elastomère en polyisoprène Chlorure de sodium 0,9% 0,5 & 5 mg/ml 4°C A l’abri de la lumière
10 Jour
604
Données de stabilité du fabricant

Elastomère en polyisoprène Glucose 5% 0,5 & 5 mg/ml 25°C Non précisée
24 Heure
604
Données de stabilité du fabricant

Données conflictuelles
Elastomère en polyisoprène Glucose 5% 0,5 & 5 mg/ml 4°C A l’abri de la lumière
10 Jour
604
Données de stabilité du fabricant

Non précisé Eau pour préparation injectable 2,5 mg/ml 37°C Non précisée
96 Heure
3952
Niveau de preuve A


  Mentions Légales