Ultimo aggiornamento :
18/03/2026
Anticoagulante   Heparin sodium  
Iniezione
Stabilità in soluzione Stabilità in miscela Fattori che influenzano la stabilità Compatibilità metodo di iniezione Bibliografia pdf
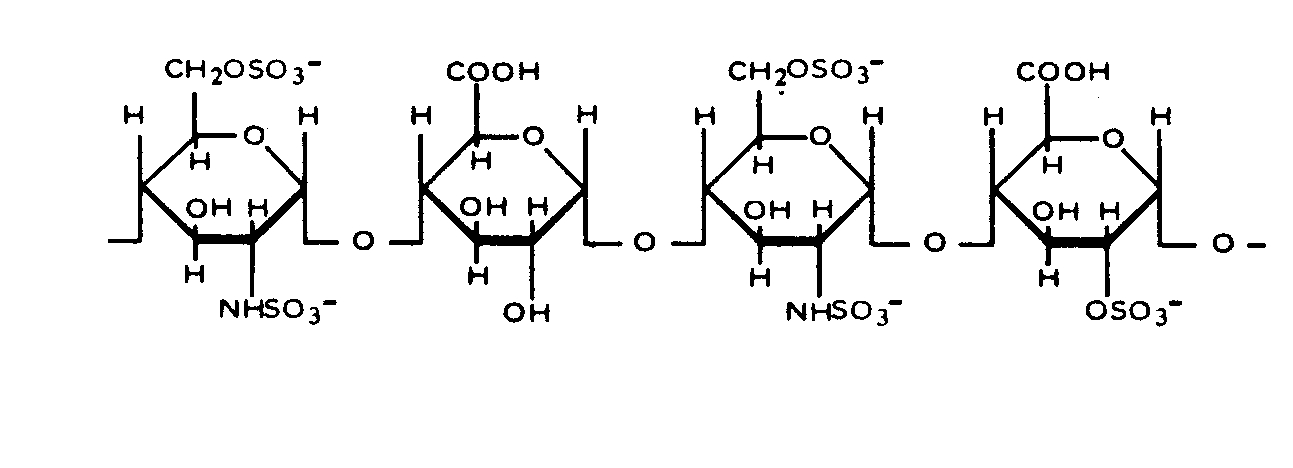
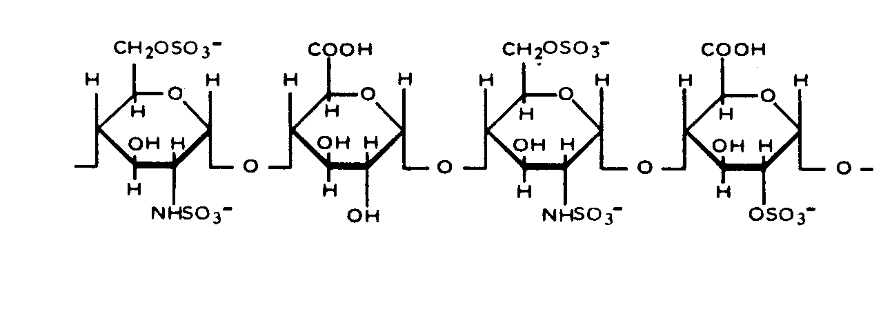
   Struttura chimica  

Nome commerciale   Nome commerciale     

Trade names are indicative and excipients composition can be different depending on the country and manufacturers

Arapin Chile
Ateroclar Italia
Clarisco Italia
Epsoclar Italia
Hepaflex Finlandia, Norvegia
Hepamax Chile, Colombia, Ecuador
Heparin Africa del Sud, Austria, Canada, Danimarca, Finlandia, Gran Bretagna, Grecia, Iugoslavia, Norvegia, Paesi Bassi, russo, Stati Uniti d’America, Svezia, Svizzera, Tailandia, Turchia, Ungheria
Heparine Belgio, Francia
Heparinised Australia
Heparstad Germania
Liquemin Svizzera, Turchia
Liquemine Brasile
Monoparin Arabia Saudita
Normoparin Italia
Nuparin Ecuador
Pharepa Italia
Riveparin Argentina
Sobrius Argentina, Ecuador
Thrombophob Germania
Compatibilità   Iniezione   Compatibilità : Heparin sodium              
explication_incompatibilite_molecules
Molecola Solvente Bibliografia
Compatibile
Iniezione Heparin sodium 100 UI/ml
Iniezione Aciclovir sodium 5 mg/ml
Cloruro di sodio 0,9% 2335
Compatibile
Iniezione Heparin sodium 50 UI/ml
Iniezione Aciclovir sodium 5 mg/ml
Glucosio 5% 336
Compatibile
Iniezione Heparin sodium 100 UI/ml
Iniezione Aldesleukin 0.0338 MUI/ml
Glucosio 5% 36
Compatibile
Iniezione Heparin sodium 100 UI/ml
Iniezione Allopurinol sodium 3 mg/ml
Cloruro di sodio 0,9% 307
Compatibile
Iniezione Heparin sodium 1 UI/ml
Iniezione Alprostadil 20 µg/ml
Cloruro di sodio 0,9% 4491
Compatibile
Iniezione Heparin sodium 1 UI/ml
Iniezione Alprostadil 20 µg/ml
Glucosio 5% 4651
Precipitazioni dopo 24 ore Incompatibile
Iniezione Heparin sodium 100 UI/ml
Iniezione Alteplase 1 mg/ml
Acqua per preparato iniettabile 92
Incompatibilità non specificata Incompatibile
Iniezione Heparin sodium
Iniezione Alteplase
3540
Precipitazioni immediate Incompatibile
Iniezione Heparin sodium 40 UI/ml
Iniezione Alteplase 0.5 mg/ml
Acqua per preparato iniettabile 240
Incompatibilità non specificata Incompatibile
Iniezione Heparin sodium
Iniezione Alteplase
3616
Compatibile
Iniezione Heparin sodium 100 UI/ml
Iniezione Amifostine 10 mg/ml
Glucosio 5% 3
Precipitazioni immediate Incompatibile
Iniezione Heparin sodium
Iniezione Amikacin sulfate
1022
Incompatibilità non specificata Incompatibile
Iniezione Heparin sodium
Iniezione Amikacin sulfate
3549
Incompatibilità non specificata Incompatibile
Iniezione Heparin sodium
Iniezione Amikacin sulfate
3540
Incompatibilità non specificata Incompatibile
Iniezione Heparin sodium 500 UI/ml
Iniezione Amiodarone hydrochloride 15 mg/ml
Cloruro di sodio 0,9% 3823
Incompatibilità non specificata Incompatibile
Iniezione Heparin sodium
Iniezione Amiodarone hydrochloride
3540
Torbidità immediata Incompatibile
Iniezione Heparin sodium 500 UI/ml
Iniezione Amiodarone hydrochloride 15 mg/ml
Cloruro di sodio 0,9% 3463
Incompatibilità non specificata Incompatibile
Iniezione Heparin sodium
Iniezione Amiodarone hydrochloride
3464
Incompatibilità non specificata Incompatibile
Iniezione Heparin sodium 500 UI/ml
Iniezione Amiodarone hydrochloride 15 mg/ml
Glucosio 5% 3823
Torbidità immediata Incompatibile
Iniezione Heparin sodium 500 UI/ml
Iniezione Amiodarone hydrochloride 15 mg/ml
Glucosio 5% 3463
Compatibile
Iniezione Heparin sodium 208 UI/ml
Iniezione Amoxicillin sodium 20.83 & 83.3 mg/ml
Cloruro di sodio 0,9% 4254
Compatibile
Iniezione Heparin sodium 1000 UI/ml
Iniezione Amoxicillin sodium / clavulanic acid 100/10 mg/ml
3824
Compatibile
Iniezione Heparin sodium
Iniezione Ampicillin sodium
5088
Compatibile
Iniezione Heparin sodium 50 UI/ml
Iniezione Ampicillin sodium 20 mg/ml
Nessuno 317
Compatibile
Iniezione Heparin sodium 50 UI/ml
Iniezione Ampicillin sodium - sulbactam sodium 30 mg/ml
Nessuno 317
Precipitazioni immediate Incompatibile
Iniezione Heparin sodium 40 UI/ml
Iniezione Amsacrine 1 mg/ml
Glucosio 5% 253
Compatibile
Iniezione Heparin sodium 100 UI/ml
Iniezione Anidulafungin 0.5 mg/ml
Glucosio 5% 1982
Precipitazioni immediate Incompatibile
Iniezione Heparin sodium
Iniezione Antithymocyte globulin (rabbit)
4958
Precipitazioni immediate Incompatibile
Iniezione Heparin sodium 2 UI/ml
Iniezione Antithymocyte globulin (rabbit) 0,2 & 0,3 mg/ml
Glucosio 5% 1822
Compatibile
Iniezione Heparin sodium 100 UI/ml
Iniezione Antithymocyte globulin (rabbit) 0,2 & 0,3 mg/ml
Glucosio 5% 1822
Compatibile
Iniezione Heparin sodium 2 & 100 UI/ml
Iniezione Antithymocyte globulin (rabbit) 0,2 & 0,3 mg/ml
Cloruro di sodio 0,9% 1822
Compatibile
Iniezione Heparin sodium 40 UI/ml
Iniezione Atracurium besylate 0.5 mg/ml
Glucosio 5% 402
Compatibile
Iniezione Heparin sodium 1 UI/ml
Iniezione Atropine sulfate 0.5 mg/ml
Glucosio 5% 1228
Compatibile
Iniezione Heparin sodium 500 UI/ml
Nutrizione parenterale (con lipidi) 4507
Precipitazioni immediate Incompatibile
Iniezione Heparin sodium 1000 UI/ml
Iniezione Amphotericin B cholesteryl sulfate complex 0.83 mg/ml
Glucosio 5% 921
Incompatibilità non specificata Incompatibile
Iniezione Heparin sodium
Iniezione Ampicillin sodium
3540
Compatibile
Iniezione Heparin sodium 10 & 5000 UI/ml
Iniezione Ampicillin sodium 10 mg/ml
Cloruro di sodio 0,9% 2037
Compatibile
Iniezione Heparin sodium 1 UI/ml
Iniezione Atropine sulfate 0.5 mg/ml
Ringer lattato 1228
Compatibile
Iniezione Heparin sodium 1 UI/ml
Iniezione Atropine sulfate 0.5 mg/ml
Cloruro di sodio 0,9% 1228
Compatibile
Iniezione Heparin sodium 100 UI/ml
Iniezione Aztreonam 40 mg/ml
Glucosio 5% 99
Compatibile
Iniezione Heparin sodium 50 UI/ml
Iniezione Aztreonam 20 mg/ml
Nessuno 317
Compatibile
Iniezione Heparin sodium 1 UI/ml
Iniezione Betamethasone sodium phosphate 3 mg/ml
Cloruro di sodio 0,9% 1228
Compatibile
Iniezione Heparin sodium 1 UI/ml
Iniezione Betamethasone sodium phosphate 3 mg/ml
Glucosio 5% 1228
Compatibile
Iniezione Heparin sodium 1 UI/ml
Iniezione Betamethasone sodium phosphate 3 mg/ml
Ringer lattato 1228
Compatibile
Iniezione Heparin sodium 100 UI/ml
Iniezione Bivalirudin 5 mg/ml
Glucosio 5% 1713
Precipitazioni immediate Incompatibile
Iniezione Heparin sodium 192.3 UI/ml
Iniezione Blinatumomab 0.125 & 0.375 µg/ml
Cloruro di sodio 0,9% 3976
Compatibile
Iniezione Heparin sodium 1000 UI/ml
Iniezione Caffeine 10 mg/ml
Nessuno 3964
Compatibile
Iniezione Heparin sodium 100 UI/ml
Iniezione Caffeine 10 mg/ml
Cloruro di sodio 0,9% 4837
Compatibile
Iniezione Heparin sodium 100 UI/ml
Iniezione Caffeine citrate 20 mg/ml
Cloruro di sodio 0,9% 4837
Precipitazioni dopo 30 minuti Incompatibile
Iniezione Heparin sodium 2 UI/ml
Iniezione Calcium chloride 20 mg/ml
Glucosio 5% 4732
Compatibile
Iniezione Heparin sodium 100 UI/ml
Iniezione Calcium chloride 20 mg/ml
Glucosio 5% 4732
Instabilità immediata dell'emulsione Incompatibile
Iniezione Heparin sodium
Iniezione Calcium chloride
Nutrizione parenterale (con lipidi) 1084
Instabilità immediata dell'emulsione Incompatibile
Iniezione Heparin sodium
Iniezione Calcium gluconate
Nutrizione parenterale (con lipidi) 1084
Precipitazioni immediate Incompatibile
Iniezione Heparin sodium 100 UI/ml
Iniezione Caspofungin acetate 0.5 mg/ml
Cloruro di sodio 0,9% 2233
Precipitazioni immediate Incompatibile
Iniezione Heparin sodium 100 UI/ml
Iniezione Caspofungin acetate 0,7 mg/ml
Cloruro di sodio 0,9% 2247
Incompatibilità non specificata Incompatibile
Iniezione Heparin sodium
Iniezione Cefalotin sodium
3540
Compatibile
Iniezione Heparin sodium 10 & 5000 UI/ml
Iniezione Cefazolin sodium 10 mg/ml
Cloruro di sodio 0,9% 2037
Compatibile
Iniezione Heparin sodium 50 UI/ml
Iniezione Cefazolin sodium 20 mg/ml
Nessuno 317
Compatibile
Iniezione Heparin sodium 0.667 UI/ml
Iniezione Cefazolin sodium 0.333 mg/ml
Dianéal® PD2 1.5% Glucosio (Baxter) 1979
Compatibile
Iniezione Heparin sodium 10 & 50 UI/ml
Iniezione Cefepime dihydrochloride 4 mg/ml
Cloruro di sodio 0,9% 3548
Compatibile
Iniezione Heparin sodium 10 & 50 UI/ml
Iniezione Cefepime dihydrochloride 4 mg/ml
Glucosio 5% 3548
Compatibile
Iniezione Heparin sodium 1000 UI/ml
Iniezione Cefiderocol sulfate tosylate 20 mg/mL
Glucosio 5% 4528
Compatibile
Iniezione Heparin sodium 1000 UI/ml
Iniezione Cefiderocol sulfate tosylate 20 mg/mL
Cloruro di sodio 0,9% 4528
Instabilità chimica Incompatibile
Iniezione Heparin sodium 100 UI/ml
Iniezione Cefmetazole sodium 100 mg/ml
Acqua per preparato iniettabile 93
Compatibile
Iniezione Heparin sodium 208 UI/ml
Iniezione Cefotaxime sodium 41.6 & 125 mg/ml
Glucosio 5% 4254
Compatibile
Iniezione Heparin sodium 208 UI/ml
Iniezione Cefotaxime sodium 41.6 & 125 mg/ml
Cloruro di sodio 0,9% 4254
Compatibile
Iniezione Heparin sodium 5000 UI/ml
Iniezione Cefotaxime sodium 10 mg/ml
Acqua per preparato iniettabile 3125
Compatibile
Iniezione Heparin sodium 100 UI/ml
Iniezione Ceftaroline fosamil 2,22 mg/ml
Ringer lattato 3249
Compatibile
Iniezione Heparin sodium 100 UI/ml
Iniezione Ceftaroline fosamil 2,22 mg/ml
Cloruro di sodio 0,9% 3249
Compatibile
Iniezione Heparin sodium 100 UI/ml
Iniezione Ceftaroline fosamil 2,22 mg/ml
Glucosio 5% 3249
Compatibile
Iniezione Heparin sodium 0.5 UI/ml
Iniezione Ceftazidime 0.125 mg/ml
Extraneal® (Baxter) 4056
Compatibile
Iniezione Heparin sodium 0.5 UI/ml
Iniezione Ceftazidime 0.125 mg/ml
Dianéal® PD2 4.25% Glucosio (Baxter) 4056
Compatibile
Iniezione Heparin sodium 50 UI/ml
Iniezione Ceftazidime 20 mg/ml
Nessuno 317
Compatibile
Iniezione Heparin sodium 0.5 UI/ml
Iniezione Ceftazidime 0.125 mg/ml
Dianéal® PD2 2.5% glucose (Baxter) 4056
Compatibile
Iniezione Heparin sodium 100 UI/ml
Iniezione Ceftobiprole medocaril sodium 2 mg/ml
Cloruro di sodio 0,9% 2269
Compatibile
Iniezione Heparin sodium 100 UI/ml
Iniezione Ceftobiprole medocaril sodium 2 mg/ml
Glucosio 5% 2269
Compatibile
Iniezione Heparin sodium 100 UI/ml
Iniezione Ceftobiprole medocaril sodium 2 mg/ml
Ringer lattato 2269
Compatibile
Iniezione Heparin sodium 1000 UI/ml
Iniezione Ceftolozane / tazobactam 10/5 mg/ml
Cloruro di sodio 0,9% 3828
Compatibile
Iniezione Heparin sodium 1000 UI/ml
Iniezione Ceftolozane / tazobactam 10/5 mg/ml
Glucosio 5% 3828
Compatibile
Iniezione Heparin sodium 50 UI/ml
Iniezione Ceftriaxone disodium 20 mg/ml
Nessuno 317
Compatibile
Iniezione Heparin sodium 10 & 50 UI/ml
Iniezione Cefuroxime sodium
Cloruro di sodio 0,9% 3687
Compatibile
Iniezione Heparin sodium 58,34 UI/ml
Iniezione Chlorpromazine hydrochloride 0,26 mg/ml
Glucosio 5% 1289
Compatibile
Iniezione Heparin sodium 1 UI/ml
Iniezione Chlorpromazine hydrochloride 10 mg/ml
Cloruro di sodio 0,9% 1228
Compatibile
Iniezione Heparin sodium 1 UI/ml
Iniezione Chlorpromazine hydrochloride 10 mg/ml
Glucosio 5% 1228
Incompatibilità non specificata Incompatibile
Iniezione Heparin sodium
Iniezione Chlorpromazine hydrochloride
3540
Compatibile
Iniezione Heparin sodium 1 UI/ml
Iniezione Chlorpromazine hydrochloride 10 mg/ml
Ringer lattato 1228
Compatibile
Iniezione Heparin sodium 50 UI/ml
Iniezione Cimetidine hydrochloride 6 mg/ml
Nessuno 317
Compatibile
Iniezione Heparin sodium 5000 & 10000 UI/ml
Iniezione Ciprofloxacin lactate 0.4 & 0.6 mg/ml
Cloruro di sodio 0,9% 2057
Precipitazioni immediate Incompatibile
Iniezione Heparin sodium 10 >> 10000 UI/ml
Iniezione Ciprofloxacin lactate 1 mg/ml
Cloruro di sodio 0,9% 2057
Precipitazioni immediate Incompatibile
Iniezione Heparin sodium 10 & 100 UI/ml
Iniezione Ciprofloxacin lactate 0.2 mg/ml
Cloruro di sodio 0,9% 2057
Incompatibilità non specificata Incompatibile
Iniezione Heparin sodium
Iniezione Ciprofloxacin lactate
3540
Precipitazioni immediate Incompatibile
Iniezione Heparin sodium 10 >> 1000 UI/ml
Iniezione Ciprofloxacin lactate 0.4 & 0.6 mg/ml
Cloruro di sodio 0,9% 2057
Compatibile
Iniezione Heparin sodium 1000 >> 10000 UI/ml
Iniezione Ciprofloxacin lactate 0.2 mg/ml
Cloruro di sodio 0,9% 2057
Precipitazioni immediate Incompatibile
Iniezione Heparin sodium 10 >> 5000 UI/ml
Iniezione Ciprofloxacin lactate 0.8 mg/ml
Cloruro di sodio 0,9% 2057
Compatibile
Iniezione Heparin sodium 10 >> 10000 UI/ml
Iniezione Ciprofloxacin lactate 0.1 mg/ml
Cloruro di sodio 0,9% 2057
Precipitazioni immediate Incompatibile
Iniezione Heparin sodium 100 UI/ml
Iniezione Ciprofloxacin lactate 2 mg/ml
Cloruro di sodio 0,9% 288
Incompatibilità non specificata Incompatibile
Iniezione Heparin sodium
Iniezione Ciprofloxacin lactate
3529
Precipitazioni immediate Incompatibile
Iniezione Heparin sodium 100 UI/ml
Iniezione Ciprofloxacin lactate 2 mg/ml
Glucosio 5% 288
Precipitazioni immediate Incompatibile
Iniezione Heparin sodium 10 >> 1000 UI/ml
Iniezione Ciprofloxacin lactate 2 mg/ml
Cloruro di sodio 0,9% 289
Torbidità immediata Incompatibile
Iniezione Heparin sodium 10 UI/ml
Iniezione Ciprofloxacin lactate 2 mg/ml
Nessuno 1393
Compatibile
Iniezione Heparin sodium 10000 UI/ml
Iniezione Ciprofloxacin lactate 0.8 mg/ml
Cloruro di sodio 0,9% 2057
Compatibile
Iniezione Heparin sodium 100 UI/ml
Iniezione Cisatracurium besylate 0.1 & 2 mg/ml
Glucosio 5% 299
Precipitazioni immediate Incompatibile
Iniezione Heparin sodium 100 UI/ml
Iniezione Cisatracurium besylate 5 mg/ml
Glucosio 5% 299
Cambio di colore Incompatibile
Iniezione Heparin sodium 500 UI/ml
Iniezione Cisatracurium besylate 5 mg/ml
Cloruro di sodio 0,9% 3463
Incompatibilità non specificata Incompatibile
Iniezione Heparin sodium 500 UI/ml
Iniezione Cisatracurium besylate 5 mg/ml
Cloruro di sodio 0,9% 3823
Incompatibilità non specificata Incompatibile
Iniezione Heparin sodium
Iniezione Cisatracurium besylate
3540
Compatibile
Iniezione Heparin sodium 100 UI/ml
Iniezione Cladribine 0.5 mg/ml
NaCl 0,9% + sostanza batteriostatica 1496
Compatibile
Iniezione Heparin sodium 100 UI/ml
Iniezione Cladribine 0.015 mg/ml
Cloruro di sodio 0,9% 1496
Compatibile
Iniezione Heparin sodium 50 UI/ml
Iniezione Clindamycin phosphate 12 mg/ml
Nessuno 317
Compatibile
Iniezione Heparin sodium 50 UI/ml
Iniezione Clonidine hydrochloride 0.0075 mg/ml
Cloruro di sodio 0,9% 1506
Compatibile
Iniezione Heparin sodium 50 UI/ml
Iniezione Clonidine hydrochloride 0.0075 mg/ml
Glucosio 5% 1506
Compatibile
Iniezione Heparin sodium 100 UI/ml
Iniezione Cloxacillin sodium 100 mg/ml
Acqua per preparato iniettabile 3012
Precipitazioni dopo 4 ore Incompatibile
Iniezione Heparin sodium 208 UI/ml
Iniezione Co-trimoxazole 3.2/0.64 & 80/16 mg/ml
Cloruro di sodio 0,9% 4254
Precipitazioni dopo 4 ore Incompatibile
Iniezione Heparin sodium 208 UI/ml
Iniezione Co-trimoxazole 3.2/0.64 & 80/16 mg/ml
Glucosio 5% 4254
Compatibile
Iniezione Heparin sodium 1 UI/ml
Iniezione Cyanocobalamine 0.1 mg/ml
Ringer lattato 1228
Compatibile
Iniezione Heparin sodium 1 UI/ml
Iniezione Cyanocobalamine 0.1 mg/ml
Glucosio 5% 1228
Compatibile
Iniezione Heparin sodium 1 UI/ml
Iniezione Cyanocobalamine 0.1 mg/ml
Cloruro di sodio 0,9% 1228
Incompatibilità non specificata Incompatibile
Iniezione Heparin sodium
Iniezione Cytarabine
3540
Incompatibilità non specificata Incompatibile
Iniezione Heparin sodium
Iniezione Cytarabine
3580
Incompatibilità non specificata Incompatibile
Iniezione Heparin sodium
Iniezione Dacarbazine
3605
Precipitazioni immediate Incompatibile
Iniezione Heparin sodium 100 UI/ml
Iniezione Dacarbazine 25 mg/ml
Cloruro di sodio 0,9% 860
Incompatibilità non specificata Incompatibile
Iniezione Heparin sodium
Iniezione Dacarbazine
3267
Incompatibilità non specificata Incompatibile
Iniezione Heparin sodium
Iniezione Dacarbazine
3540
Compatibile
Iniezione Heparin sodium
Iniezione Daptomycin
2271
Compatibile
Iniezione Heparin sodium 98 UI/ml
Iniezione Daptomycin 19,6 mg/ml
Cloruro di sodio 0,9% 1937
Precipitazioni immediate Incompatibile
Iniezione Heparin sodium
Iniezione Daunorubicin hydrochloride
3604
Incompatibilità non specificata Incompatibile
Iniezione Heparin sodium
Iniezione Daunorubicin hydrochloride
3540
Precipitazioni immediate Incompatibile
Iniezione Heparin sodium
Iniezione Daunorubicin hydrochloride liposome
3577
Torbidità immediata Incompatibile
Iniezione Heparin sodium
Iniezione Daunorubicin/cytarabine liposomale 0,4 mg/mL
Cloruro di sodio 0,9% 4654
Compatibile
Iniezione Heparin sodium 373 UI/ml
Iniezione Defibrotide 8 mg/ml
Cloruro di sodio 0,9% 3728
Compatibile
Iniezione Heparin sodium 50 UI/ml
Iniezione Dexamethasone sodium phosphate 0.08 mg/ml
Nessuno 317
Compatibile
Iniezione Heparin sodium
Iniezione Dexketoprofen
4981
Compatibile
Iniezione Heparin sodium 100 UI/ml
Iniezione Dexmedetomidine 4 µg/ml
Cloruro di sodio 0,9% 1712
Compatibile
Iniezione Heparin sodium 10000 UI/ml
Iniezione Diatrizoate meglumine 283 mg/ml
Nessuno 1085
Incompatibilità non specificata Incompatibile
Iniezione Heparin sodium
Iniezione Diazepam
3540
Compatibile
Iniezione Heparin sodium 100 UI/ml
Iniezione Diltiazem hydrochloride 1 mg/ml
314
Precipitazioni immediate Incompatibile
Iniezione Heparin sodium 20000 UI/ml
Iniezione Diltiazem hydrochloride 5 mg/ml
Cloruro di sodio 0,9% 198
Compatibile
Iniezione Heparin sodium 100 UI/ml
Iniezione Diltiazem hydrochloride 1 mg/ml
Glucosio 5% 4556
Torbidità immediata Incompatibile
Iniezione Heparin sodium 100 UI/ml
Iniezione Diltiazem hydrochloride 5 mg/ml
Glucosio 5% 4556
Compatibile
Iniezione Heparin sodium 20000 UI/ml
Iniezione Diltiazem hydrochloride 1 mg/ml
Cloruro di sodio 0,9% 198
Compatibile
Iniezione Heparin sodium
Iniezione Diltiazem hydrochloride
5090
Compatibile
Iniezione Heparin sodium 80 >> 10000 UI/ml
Iniezione Diltiazem hydrochloride 1 & 5 mg/ml
Cloruro di sodio 0,9% 198
Precipitazioni immediate Incompatibile
Iniezione Heparin sodium
Iniezione Dimenhydrinate
2087
Compatibile
Iniezione Heparin sodium 1 UI/ml
Iniezione Diphenhydramine hydrochloride 50 mg/ml
Cloruro di sodio 0,9% 1228
Compatibile
Iniezione Heparin sodium 1 UI/ml
Iniezione Diphenhydramine hydrochloride 50 mg/ml
Glucosio 5% 1228
Compatibile
Iniezione Heparin sodium 1 UI/ml
Iniezione Diphenhydramine hydrochloride 50 mg/ml
Ringer lattato 1228
Precipitazioni dopo 4 ore Incompatibile
Iniezione Heparin sodium 100 UI/ml
Iniezione Dobutamine hydrochloride 4 mg/ml
314
Compatibile
Iniezione Heparin sodium 40 UI/ml
Iniezione Dobutamine hydrochloride 1 mg/ml
Cloruro di sodio 0,9% 1058
Compatibile
Iniezione Heparin sodium 100 UI/ml
Iniezione Dobutamine hydrochloride 2 mg/ml
Glucosio 5% 1041
Precipitazioni immediate Incompatibile
Iniezione Heparin sodium 100 UI/ml
Iniezione Dobutamine hydrochloride 2 mg/ml
Glucosio 5% 1352
Torbidità immediata Incompatibile
Iniezione Heparin sodium 100 UI/ml
Iniezione Dobutamine hydrochloride 4 mg/ml
Glucosio 5% 295
Precipitazioni immediate Incompatibile
Iniezione Heparin sodium
Iniezione Dobutamine hydrochloride
3540
Cambio colore dopo 6 ore Incompatibile
Iniezione Heparin sodium 10000 UI/ml
Iniezione Dobutamine hydrochloride 2 mg/ml
Glucosio 5% 1041
Compatibile
Iniezione Heparin sodium 40 UI/ml
Iniezione Dobutamine hydrochloride 1 mg/ml
Glucosio 5% 1058
Compatibile
Iniezione Heparin sodium 50 UI/ml
Iniezione Dobutamine hydrochloride 1 mg/ml
Nessuno 317
Compatibile
Iniezione Heparin sodium 100 UI/ml
Iniezione Docetaxel 0.9 mg/ml
Glucosio 5% 1754
Compatibile
Iniezione Heparin sodium 1 UI/ml
Iniezione Dopamine hydrochloride 40 mg/ml
Cloruro di sodio 0,9% 1228
Compatibile
Iniezione Heparin sodium 50 UI/ml
Iniezione Dopamine hydrochloride 1.6 mg/ml
Nessuno 317
Compatibile
Iniezione Heparin sodium 100 UI/ml
Iniezione Dopamine hydrochloride 3.2 mg/ml
314
Compatibile
Iniezione Heparin sodium 1 UI/ml
Iniezione Dopamine hydrochloride 40 mg/ml
Ringer lattato 1228
Compatibile
Iniezione Heparin sodium 200 UI/ml
Iniezione Dopamine hydrochloride 0.8 mg/ml
Glucosio 5% 738
Compatibile
Iniezione Heparin sodium 1 UI/ml
Iniezione Dopamine hydrochloride 40 mg/ml
Glucosio 5% 1228
Compatibile
Iniezione Heparin sodium 100 UI/ml
Iniezione Dopamine hydrochloride 3,2 mg/ml
4389
Incompatibilità non specificata Incompatibile
Iniezione Heparin sodium 187 UI/ml
Iniezione Dopamine hydrochloride 1,7 >> 3,4 mg/ml
Glucosio 5% 377
Compatibile
Iniezione Heparin sodium 100 UI/ml
Iniezione Doripenem 5 mg/ml
Cloruro di sodio 0,9% 2262
Compatibile
Iniezione Heparin sodium 100 UI/ml
Iniezione Doripenem 5 mg/ml
Glucosio 5% 2262
Compatibile
Iniezione Heparin sodium 1 UI/ml
Iniezione Doxapram hydrochloride 2 mg/ml
Glucosio 5% 1802
Incompatibilità non specificata Incompatibile
Iniezione Heparin sodium
Iniezione Doxorubicin hydrochloride
3540
Precipitazioni immediate Incompatibile
Iniezione Heparin sodium
Iniezione Doxorubicin hydrochloride
3645
Precipitazioni immediate Incompatibile
Iniezione Heparin sodium 1000 UI/ml
Iniezione Doxorubicin hydrochloride 2 mg/ml
763
Compatibile
Iniezione Heparin sodium 1000 UI/ml
Iniezione Doxorubicin hydrochloride liposome peg 0.4 mg/ml
Glucosio 5% 251
Incompatibilità non specificata Incompatibile
Iniezione Heparin sodium 50 UI/ml
Iniezione Doxycycline hyclate 1 mg/ml
Nessuno 317
Precipitazioni immediate Incompatibile
Iniezione Heparin sodium 1000 UI/ml
Iniezione Droperidol 2,5 mg/ml
763
Compatibile
Iniezione Heparin sodium 1 UI/ml
Iniezione Droperidol 1.25 mg/ml
Cloruro di sodio 0,9% 1228
Compatibile
Iniezione Heparin sodium 1 UI/ml
Iniezione Droperidol 1.25 mg/ml
Ringer lattato 1228
Compatibile
Iniezione Heparin sodium 1 UI/ml
Iniezione Droperidol 1.25 mg/ml
Glucosio 5% 1228
Incompatibilità non specificata Incompatibile
Iniezione Heparin sodium
Iniezione Droperidol
3540
Compatibile
Iniezione Heparin sodium 45,45 UI/ml
Iniezione Enalaprilate 0,011 mg/ml
Glucosio 5% 963
Compatibile
Iniezione Heparin sodium 40 UI/ml
Iniezione Enalaprilate 0.05 mg/ml
Cloruro di sodio 0,9% 1315
Compatibile
Iniezione Heparin sodium 50 UI/ml
Iniezione Enalaprilate 0.0125 mg/ml
Cloruro di sodio 0,9% 1703
Compatibile
Iniezione Heparin sodium 1 UI/ml
Iniezione Epinephrine hydrochloride 100 µg/ml
Ringer lattato 1228
Compatibile
Iniezione Heparin sodium 100 UI/ml
Iniezione Epinephrine hydrochloride 20 µg/ml
314
Compatibile
Iniezione Heparin sodium 1 UI/ml
Iniezione Epinephrine hydrochloride 100 µg/ml
Cloruro di sodio 0,9% 1228
Compatibile
Iniezione Heparin sodium 1 UI/ml
Iniezione Epinephrine hydrochloride 100 µg/ml
Glucosio 5% 1228
Incompatibilità non specificata Incompatibile
Iniezione Heparin sodium
Iniezione Epirubicin hydrochloride
3632
Compatibile
Iniezione Heparin sodium
Iniezione Eptifibatide
3934
Compatibile
Iniezione Heparin sodium 1000 UI/ml
Iniezione Eravacycline 0,6 mg/ml
Cloruro di sodio 0,9% 4434
Torbidità immediata Incompatibile
Iniezione Heparin sodium 1 UI/ml
Iniezione Ergotamine tartrate 0.5 mg/ml
Cloruro di sodio 0,9% 1228
Precipitazioni dopo 4 ore Incompatibile
Iniezione Heparin sodium 1 UI/ml
Iniezione Ergotamine tartrate 0.5 mg/ml
Ringer lattato 1228
Precipitazioni dopo 4 ore Incompatibile
Iniezione Heparin sodium 1 UI/ml
Iniezione Ergotamine tartrate 0.5 mg/ml
Glucosio 5% 1228
Compatibile
Iniezione Heparin sodium 50 & 100 UI/ml
Iniezione Ertapenem 10 & 20 mg/ml
Cloruro di sodio 0,9% 1906
Compatibile
Iniezione Heparin sodium 50 UI/ml
Iniezione Erythromycin lactobionate 3.3 mg/ml
Nessuno 317
Incompatibilità non specificata Incompatibile
Iniezione Heparin sodium
Iniezione Erythromycin lactobionate
3674
Incompatibilità non specificata Incompatibile
Iniezione Heparin sodium
Iniezione Erythromycin lactobionate
3540
Compatibile
Iniezione Heparin sodium 50 UI/ml
Iniezione Esmolol hydrochloride 6 mg/ml
Glucosio 5% 174
Compatibile
Iniezione Heparin sodium 40 UI/ml
Iniezione Esmolol hydrochloride 10 mg/ml
Glucosio 5% 384
Compatibile
Iniezione Heparin sodium 500 UI/ml
Iniezione Esmolol hydrochloride 10 mg/ml
Cloruro di sodio 0,9% 3823
Precipitazioni immediate Incompatibile
Iniezione Heparin sodium 1000 UI/ml
Iniezione Ethanol 70 %
Acqua + sostanza batteriostatica 2221
Precipitazioni immediate Incompatibile
Iniezione Heparin sodium 1000 UI/ml
Iniezione Ethanol 70 %
Acqua per preparato iniettabile 2221
Precipitazioni dopo 1 ora Incompatibile
Iniezione Heparin sodium 10 UI/ml
Iniezione Ethanol 70 %
Acqua + sostanza batteriostatica 2221
Precipitazioni immediate Incompatibile
Iniezione Heparin sodium 10 UI/ml
Iniezione Ethanol 70 %
Acqua per preparato iniettabile 2221
Compatibile
Iniezione Heparin sodium 100 UI/ml
Iniezione Etoposide phosphate 5 mg/ml
Glucosio 5% 1410
Compatibile
Iniezione Heparin sodium 40 UI/ml
Iniezione Famotidine
Glucosio 5% 397
Compatibile
Iniezione Heparin sodium 50 UI/ml
Iniezione Famotidine 0.2 mg/ml
Glucosio 5% 398
Compatibile
Iniezione Heparin sodium 40 UI/ml
Iniezione Famotidine 2 mg/ml
Cloruro di sodio 0,9% 215
Compatibile
Iniezione Heparin sodium 100 UI/ml
Iniezione Fenoldopam mesylate 80 µg/ml
Cloruro di sodio 0,9% 1803
Compatibile
Iniezione Heparin sodium 100 UI/ml
Iniezione Fentanyl citrate 50 µg/ml
4389
Compatibile
Iniezione Heparin sodium 1 UI/ml
Iniezione Fentanyl citrate 50 µg/ml
Glucosio 5% 1228
Compatibile
Iniezione Heparin sodium 1 UI/ml
Iniezione Fentanyl citrate 50 µg/ml
Ringer lattato 1228
Compatibile
Iniezione Heparin sodium 1 UI/ml
Iniezione Fentanyl citrate 50 µg/ml
Cloruro di sodio 0,9% 1228
Compatibile
Iniezione Heparin sodium 100 UI/ml
Iniezione Fentanyl citrate 50 µg/ml
314
Precipitazioni immediate Incompatibile
Iniezione Heparin sodium 100 UI/ml
Iniezione Filgrastim 30 µg/ml
Glucosio 5% 244
Compatibile
Iniezione Heparin sodium 1000 UI/ml
Iniezione Fluconazole 2 mg/ml
Cloruro di sodio 0,9% 496
Compatibile
Iniezione Heparin sodium 50 UI/ml
Iniezione Fluconazole 2 mg/ml
Nessuno 317
Compatibile
Iniezione Heparin sodium 40 >> 1000 UI/ml
Iniezione Fludarabine phosphate 1 mg/ml
Glucosio 5% 492
Compatibile
Iniezione Heparin sodium 50 UI/ml
Iniezione Flumazenil 0,02 mg/ml
Glucosio 5% 187
Compatibile
Iniezione Heparin sodium 5 UI/ml
Iniezione Fluorouracil 0,8 mg/ml
Cloruro di sodio 0,9% 156
Compatibile
Iniezione Heparin sodium 5 UI/ml
Iniezione Fluorouracil 0,8 mg/ml
Glucosio 5% 156
Compatibile
Iniezione Heparin sodium 1 UI/ml
Iniezione Fluorouracil 50 mg/ml
Cloruro di sodio 0,9% 1228
Compatibile
Iniezione Heparin sodium 960 UI/ml
Iniezione Fluorouracil 24 mg/ml
Glucosio 5% 163
Compatibile
Iniezione Heparin sodium 1 UI/ml
Iniezione Fluorouracil 50 mg/ml
Glucosio 5% 1228
Compatibile
Iniezione Heparin sodium 1000 UI/ml
Iniezione Fluorouracil 50 mg/ml
763
Compatibile
Iniezione Heparin sodium 1 UI/ml
Iniezione Fluorouracil 50 mg/ml
Ringer lattato 1228
Compatibile
Iniezione Heparin sodium 1000 UI/ml
Iniezione Folinate calcium 10 mg/ml
763
Compatibile
Iniezione Heparin sodium 100 UI/ml
Iniezione Foscarnet sodium 24 mg/ml
Glucosio 5% 1135
Compatibile
Iniezione Heparin sodium 100 UI/ml
Iniezione Foscarnet sodium 24 mg/ml
Cloruro di sodio 0,9% 1135
Compatibile
Iniezione Heparin sodium 1000 UI/ml
Iniezione Foscarnet sodium 24 mg/ml
Nessuno 73
Compatibile
Iniezione Heparin sodium 1000 UI/ml
Iniezione Fosfomycin 30 mg/ml
Glucosio 5% 4055
Compatibile
Iniezione Heparin sodium 1000 UI/ml
Iniezione Fosfomycin 30 mg/ml
Cloruro di sodio 0,9% 4055
Compatibile
Iniezione Heparin sodium 100 UI/ml
Iniezione Furosemide 10 mg/ml
314
Compatibile
Iniezione Heparin sodium 1 UI/ml
Iniezione Furosemide 10 mg/ml
Cloruro di sodio 0,9% 1228
Precipitazioni dopo 5 ore Incompatibile
Iniezione Heparin sodium 100 UI/ml
Iniezione Furosemide 10 mg/ml
Glucosio 5% 4724
Compatibile
Iniezione Heparin sodium 20 UI/ml
Iniezione Furosemide 1 mg/ml
Cloruro di sodio 0,9% 1232
Compatibile
Iniezione Heparin sodium 58,34 UI/ml
Iniezione Furosemide 5,21 mg/ml
Glucosio 5% 1289
Compatibile
Iniezione Heparin sodium
Iniezione Furosemide
3465
Compatibile
Iniezione Heparin sodium 1 UI/ml
Iniezione Furosemide 10 mg/ml
Ringer lattato 1228
Compatibile
Iniezione Heparin sodium 1000 UI/ml
Iniezione Furosemide 10 mg/ml
763
Compatibile
Iniezione Heparin sodium 10 UI/ml
Iniezione Furosemide 10 mg/ml
Nessuno 3210
Compatibile
Iniezione Heparin sodium 500 UI/ml
Iniezione Furosemide 10 mg/ml
Cloruro di sodio 0,9% 3823
Compatibile
Iniezione Heparin sodium 500 UI/ml
Iniezione Furosemide 10 mg/ml
Nessuno 3134
Compatibile
Iniezione Heparin sodium 1 UI/ml
Iniezione Furosemide 10 mg/ml
Glucosio 5% 1228
Compatibile
Iniezione Heparin sodium 40 UI/ml
Iniezione Gallium nitrate 1 mg/ml
Cloruro di sodio 0,9% 91
Compatibile
Iniezione Heparin sodium 100 UI/ml
Iniezione Gemcitabine hydrochloride 10 mg/ml
Cloruro di sodio 0,9% 1423
Torbidità immediata Incompatibile
Iniezione Heparin sodium 2500 UI/ml
Iniezione Gentamicin sulfate 3 mg/ml
4612
Incompatibilità non specificata Incompatibile
Iniezione Heparin sodium
Iniezione Gentamicin sulfate
3520
Incompatibilità non specificata Incompatibile
Iniezione Heparin sodium
Iniezione Gentamicin sulfate
3643
Precipitazioni immediate Incompatibile
Iniezione Heparin sodium
Iniezione Gentamicin sulfate
1022
Incompatibilità non specificata Incompatibile
Iniezione Heparin sodium 50 UI/ml
Iniezione Gentamicin sulfate 2 mg/ml
Nessuno 317
Precipitazioni immediate Incompatibile
Iniezione Heparin sodium 10 >> 40 UI/ml
Iniezione Gentamicin sulfate 4 >> 40 mg/ml
1258
Precipitazioni immediate Incompatibile
Iniezione Heparin sodium 2500 UI/ml
Iniezione Gentamicin sulfate 4 & 5 mg/ml
4612
Incompatibilità non specificata Incompatibile
Iniezione Heparin sodium
Iniezione Gentamicin sulfate
3540
Compatibile
Iniezione Heparin sodium 2500 UI/ml
Iniezione Gentamicin sulfate 1 & 2 mg/ml
4612
Compatibile
Iniezione Heparin sodium 50 UI/ml
Iniezione Glycerophosphate disodium
Cloruro di sodio 0,9% 4332
Compatibile
Iniezione Heparin sodium 100 UI/ml
Iniezione Granisetron hydrochloride 0.05 mg/ml
Glucosio 5% 182
Precipitazioni immediate Incompatibile
Iniezione Heparin sodium 100 & 200 UI/ml
Iniezione Haloperidol lactate 5 mg/ml
Glucosio 5% 617
Precipitazioni immediate Incompatibile
Iniezione Heparin sodium 100 & 200 UI/ml
Iniezione Haloperidol lactate 5 mg/ml
Cloruro di sodio 0,9% 617
Compatibile
Iniezione Heparin sodium 500 UI/ml
Iniezione Haloperidol lactate 0.5 mg/ml
Cloruro di sodio 0,9% 3823
Incompatibilità non specificata Incompatibile
Iniezione Heparin sodium
Iniezione Haloperidol lactate
3540
Compatibile
Iniezione Heparin sodium 100 UI/ml
Iniezione Hetastarch 60 mg/ml
solvente specifico 1721
Incompatibilità non specificata Incompatibile
Iniezione Heparin sodium
Iniezione Hyaluronidase
3617
Incompatibilità non specificata Incompatibile
Iniezione Heparin sodium
Iniezione Hyaluronidase
3184
Incompatibilità non specificata Incompatibile
Iniezione Heparin sodium
Iniezione Hyaluronidase
3540
Compatibile
Iniezione Heparin sodium 1 UI/ml
Iniezione Hydralazine hydrochloride 20 mg/ml
Glucosio 5% 1228
Compatibile
Iniezione Heparin sodium 1 UI/ml
Iniezione Hydralazine hydrochloride 20 mg/ml
Ringer lattato 1228
Compatibile
Iniezione Heparin sodium 1 UI/ml
Iniezione Hydralazine hydrochloride 20 mg/ml
Cloruro di sodio 0,9% 1228
Compatibile
Iniezione Heparin sodium 100 UI/ml
Iniezione Hydrocortisone sodium succinate 125 mg/ml
Cloruro di sodio 0,9% 132
Incompatibilità non specificata Incompatibile
Iniezione Heparin sodium
Iniezione Hydrocortisone sodium succinate
3540
Compatibile
Iniezione Heparin sodium 50 UI/ml
Iniezione Hydrocortisone sodium succinate 2 mg/ml
Nessuno 317
Compatibile
Iniezione Heparin sodium 100 UI/ml
Iniezione Hydrocortisone sodium succinate 125 mg/ml
Glucosio 5% 132
Compatibile
Iniezione Heparin sodium
Iniezione Hydromorphone hydrochloride <12.5 mg/ml
Cloruro di sodio 0,9% 66
Compatibile
Iniezione Heparin sodium 100 UI/ml
Iniezione Hydromorphone hydrochloride 1 mg/ml
314
Precipitazioni immediate Incompatibile
Iniezione Heparin sodium <12,5 UI/ml
Iniezione Hydromorphone hydrochloride >25 mg/ml
Cloruro di sodio 0,9% 66
Compatibile
Iniezione Heparin sodium
Iniezione Hydromorphone hydrochloride <12.5 mg/ml
Acqua per preparato iniettabile 66
Precipitazioni immediate Incompatibile
Iniezione Heparin sodium <1 UI/ml
Iniezione Hydromorphone hydrochloride >10 mg/ml
Acqua per preparato iniettabile 66
Precipitazioni immediate Incompatibile
Iniezione Heparin sodium <12,5 UI/ml
Iniezione Hydromorphone hydrochloride >25 mg/ml
Acqua per preparato iniettabile 66
Compatibile
Iniezione Heparin sodium 100 UI/ml
Iniezione Ibuprofen lysinate 10 mg/ml
Acqua per preparato iniettabile 4419
Compatibile
Iniezione Heparin sodium 10 UI/ml
Iniezione Ibuprofen lysinate 10 mg/ml
Acqua per preparato iniettabile 4419
Torbidità immediata Incompatibile
Iniezione Heparin sodium 100 & 1000 UI/ml
Iniezione Idarubicin hydrochloride 1 mg/ml
Cloruro di sodio 0,9% 491
Precipitazioni immediate Incompatibile
Iniezione Heparin sodium
Iniezione Idarubicin hydrochloride
5075
Compatibile
Iniezione Heparin sodium
Iniezione Imipenem-Cilastatin / Relebactam
4809
Compatibile
Iniezione Heparin sodium 1000 UI/ml
Iniezione Imipenem-Cilastatin / Relebactam 5 mg/ml
Cloruro di sodio 0,9% 4433
Compatibile
Iniezione Heparin sodium 1000 UI/ml
Iniezione Imipenem-Cilastatin / Relebactam 5 mg/ml
Glucosio 5% 4433
Compatibile
Iniezione Heparin sodium 500 UI/ml
Iniezione Insulin 2 UI/ml
Cloruro di sodio 0,9% 3823
Compatibile
Iniezione Heparin sodium 60 UI/ml
Iniezione Insulin 0.2 UI/ml
Cloruro di sodio 0,9% 129
Compatibile
Iniezione Heparin sodium 50 & 400 UI/ml
Iniezione Insulin aspart 1 UI/ml
Glucosio 5% 1508
Compatibile
Iniezione Heparin sodium 50 & 400 UI/ml
Iniezione Insulin aspart 1 UI/ml
Cloruro di sodio 0,9% 1508
Compatibile
Iniezione Heparin sodium 10000 UI/ml
Iniezione Iohexol 300 mg I/ml
Nessuno 1085
Compatibile
Iniezione Heparin sodium 10000 UI/ml
Iniezione Ioxaglate 320 mg I/ml
Nessuno 1085
Torbidità immediata Incompatibile
Iniezione Heparin sodium 1000 UI/ml
Iniezione Isavuconazonium sulfate 1.5 mg/ml
Cloruro di sodio 0,9% 3829
Torbidità immediata Incompatibile
Iniezione Heparin sodium 1000 UI/ml
Iniezione Isavuconazonium sulfate 1.5 mg/ml
Glucosio 5% 3829
Compatibile
Iniezione Heparin sodium 1 UI/ml
Iniezione Isoprenaline hydrochloride 0.2 mg/ml
Glucosio 5% 1228
Compatibile
Iniezione Heparin sodium 1 UI/ml
Iniezione Isoprenaline hydrochloride 0.2 mg/ml
Cloruro di sodio 0,9% 1228
Compatibile
Iniezione Heparin sodium 1 UI/ml
Iniezione Isoprenaline hydrochloride 0.2 mg/ml
Ringer lattato 1228
Incompatibilità non specificata Incompatibile
Iniezione Heparin sodium
Iniezione Kanamycin sulfate
3540
Precipitazioni immediate Incompatibile
Iniezione Heparin sodium 25000 UI/ml
Iniezione Ketamine hydrochloride 50 mg/ml
2109
Compatibile
Iniezione Heparin sodium 100 UI/ml
Iniezione Labetalol hydrochloride 2 mg/ml
314
Incompatibilità non specificata Incompatibile
Iniezione Heparin sodium 500 UI/ml
Iniezione Labetalol hydrochloride 4 mg/ml
Cloruro di sodio 0,9% 3823
Incompatibilità non specificata Incompatibile
Iniezione Heparin sodium
Iniezione Labetalol hydrochloride
3540
Precipitazioni immediate Incompatibile
Iniezione Heparin sodium 100 UI/ml
Iniezione Labetalol hydrochloride 5 mg/ml
Glucosio 5% 295
Compatibile
Iniezione Heparin sodium 40 UI/ml
Iniezione Labetalol hydrochloride 1 mg/ml
Glucosio 5% 386
Compatibile
Iniezione Heparin sodium 100 UI/ml
Iniezione Lansoprazole 0.55 mg/ml
Cloruro di sodio 0,9% 1625
Torbidità in 4 ore Incompatibile
Iniezione Heparin sodium 100 UI/ml
Iniezione Levetiracetam 100 mg/ml
Glucosio 5% 4108
Torbidità immediata Incompatibile
Iniezione Heparin sodium 208,3 UI/ml
Iniezione Levetiracetam 15 mg/ml
Cloruro di sodio 0,9% 4698
Incompatibilità non specificata Incompatibile
Iniezione Heparin sodium
Iniezione Levofloxacine
3920
Precipitazioni immediate Incompatibile
Iniezione Heparin sodium 10 UI/ml
Iniezione Levofloxacine 5 mg/ml
Glucosio 5% 1072
Incompatibilità non specificata Incompatibile
Iniezione Heparin sodium
Iniezione Levomepromazine
3540
Compatibile
Iniezione Heparin sodium 100 UI/ml
Iniezione Levosimendan 2,5 mg/ml
Glucosio 5% 4389
Compatibile
Iniezione Heparin sodium 50 UI/ml
Iniezione Lidocaine hydrochloride 4 mg/ml
Nessuno 317
Compatibile
Iniezione Heparin sodium 1000 UI/ml
Iniezione Linezolid 2 mg/ml
Nessuno 1925
Compatibile
Iniezione Heparin sodium 10 >> 10000 UI/ml
Iniezione Linezolid 0.2 >> 1.92 mg/ml
Cloruro di sodio 0,9% 2057
Compatibile
Iniezione Heparin sodium 417 UI/ml
Iniezione Lorazepam 0.33 mg/ml
Cloruro di sodio 0,9% 186
Compatibile
Iniezione Heparin sodium 100 UI/ml
Iniezione Lorazepam 0.5 mg/ml
314
Compatibile
Iniezione Heparin sodium 1 UI/ml
Iniezione Magnesium sulfate 5 mg/ml
Cloruro di sodio 0,9% 1228
Compatibile
Iniezione Heparin sodium 50 UI/ml
Iniezione Magnesium sulfate 15.6 mg/ml
Cloruro di sodio 0,9% 2100
Compatibile
Iniezione Heparin sodium 1 UI/ml
Iniezione Magnesium sulfate 5 mg/ml
Ringer lattato 1228
Compatibile
Iniezione Heparin sodium 1 UI/ml
Iniezione Magnesium sulfate 5 mg/ml
Glucosio 5% 1228
Compatibile
Iniezione Heparin sodium 100 UI/ml
Iniezione Melphalan 0.1 mg/ml
Cloruro di sodio 0,9% 169
Compatibile
Iniezione Heparin sodium 0.5 UI/ml
Iniezione Meropenem 0.5 mg/ml
Dianéal® 4.25% glucose (Baxter) 4180
Compatibile
Iniezione Heparin sodium 0.5 UI/ml
Iniezione Meropenem 0.5 mg/ml
Extraneal® (Baxter) 4180
Compatibile
Iniezione Heparin sodium 1000 UI/ml
Iniezione Meropenem 50 mg/ml
Acqua per preparato iniettabile 4319
Compatibile
Iniezione Heparin sodium 1 UI/ml
Iniezione Meropenem 1 & 50 mg/ml
Cloruro di sodio 0,9% 266
Compatibile
Iniezione Heparin sodium 0.5 UI/ml
Iniezione Meropenem 0.5 mg/ml
Dianéal® 1.5% glucose (Baxter) 4180
Compatibile
Iniezione Heparin sodium 20 UI/ml
Iniezione Meropenem 1 & 20 mg/ml
Cloruro di sodio 0,9% 266
Compatibile
Iniezione Heparin sodium 0.5 UI/ml
Iniezione Meropenem 0.5 mg/ml
Dianéal® 2.5% glucose (Baxter) 4180
Compatibile
Iniezione Heparin sodium 50 UI/ml
Iniezione Methadone hydrochloride 0.2 mg/ml
Glucosio 5% 1506
Compatibile
Iniezione Heparin sodium 50 UI/ml
Iniezione Methadone hydrochloride 0.2 mg/ml
Cloruro di sodio 0,9% 1506
Incompatibilità non specificata Incompatibile
Iniezione Heparin sodium
Iniezione Methotrexate sodium
3637
Compatibile
Iniezione Heparin sodium 1000 UI/ml
Iniezione Methotrexate sodium 25 mg/ml
763
Compatibile
Iniezione Heparin sodium 500 UI/ml
Iniezione Methotrexate sodium 30 mg/ml
Cloruro di sodio 0,9% 150
Compatibile
Iniezione Heparin sodium 100 UI/ml
Iniezione Methylprednisolone sodium succinate 5 mg/ml
Glucosio 5% 132
Compatibile
Iniezione Heparin sodium 50 UI/ml
Iniezione Methylprednisolone sodium succinate 2.5 mg/ml
Nessuno 317
Compatibile
Iniezione Heparin sodium 100 UI/ml
Iniezione Methylprednisolone sodium succinate 5 mg/ml
Cloruro di sodio 0,9% 132
Compatibile
Iniezione Heparin sodium 1000 UI/ml
Iniezione Metoclopramide hydrochloride 5 mg/ml
763
Instabilità chimica Incompatibile
Iniezione Heparin sodium 1000 UI/ml
Iniezione Metoprolol tartrate 1 mg/ml
Nessuno 2346
Compatibile
Iniezione Heparin sodium 50 UI/ml
Iniezione Metronidazole 5 mg/ml
Nessuno 317
Compatibile
Iniezione Heparin sodium 100 UI/ml
Iniezione Micafungin 1.5 mg/ml
Cloruro di sodio 0,9% 2108
Torbidità immediata Incompatibile
Iniezione Heparin sodium 208,3 UI/ml
Iniezione Midazolam hydrochloride 1 mg/ml
Cloruro di sodio 0,9% 4698
Compatibile
Iniezione Heparin sodium 500 UI/ml
Iniezione Midazolam hydrochloride 2.1 mg/ml
Cloruro di sodio 0,9% 3823
Compatibile
Iniezione Heparin sodium 417 UI/ml
Iniezione Midazolam hydrochloride 5 mg/ml
Nessuno 186
Compatibile
Iniezione Heparin sodium 100 UI/ml
Iniezione Midazolam hydrochloride 5 mg/ml
4389
Compatibile
Iniezione Heparin sodium 100 UI/ml
Iniezione Midazolam hydrochloride 2 mg/ml
314
Compatibile
Iniezione Heparin sodium 200 UI/ml
Iniezione Milrinone lactate 0.8 mg/ml
Glucosio 5% 813
Compatibile
Iniezione Heparin sodium 100 UI/ml
Iniezione Milrinone lactate 0.2 mg/ml
314
Compatibile
Iniezione Heparin sodium 1 UI/ml
Iniezione Minocycline hydrochloride 0.2 mg/ml
Glucosio 5% 1228
Compatibile
Iniezione Heparin sodium 1 UI/ml
Iniezione Minocycline hydrochloride 0.2 mg/ml
Ringer lattato 1228
Compatibile
Iniezione Heparin sodium 1 UI/ml
Iniezione Minocycline hydrochloride 0.2 mg/ml
Cloruro di sodio 0,9% 1228
Incompatibilità non specificata Incompatibile
Iniezione Heparin sodium
Iniezione Mitoxantrone dihydrochloride
3640
Incompatibilità non specificata Incompatibile
Iniezione Heparin sodium
Iniezione Morphine hydrochloride
5069
Compatibile
Iniezione Heparin sodium 100 & 200 UI/ml
Iniezione Morphine sulfate 1 >> 5 mg/ml
Acqua per preparato iniettabile 341
Compatibile
Iniezione Heparin sodium 1 UI/ml
Iniezione Morphine sulfate 15 mg/ml
Ringer lattato 1228
Incompatibilità non specificata Incompatibile
Iniezione Heparin sodium
Iniezione Morphine sulfate
3531
Compatibile
Iniezione Heparin sodium 1 UI/ml
Iniezione Morphine sulfate 15 mg/ml
Glucosio 5% 1228
Compatibile
Iniezione Heparin sodium 1 UI/ml
Iniezione Morphine sulfate 15 mg/ml
Cloruro di sodio 0,9% 1228
Compatibile
Iniezione Heparin sodium 60 UI/ml
Iniezione Morphine sulfate 1 mg/ml
Cloruro di sodio 0,9% 406
Compatibile
Iniezione Heparin sodium 100 & 200 UI/ml
Iniezione Morphine sulfate 10 mg/ml
Acqua per preparato iniettabile 341
Compatibile
Iniezione Heparin sodium 100 UI/ml
Iniezione Morphine sulfate 2 mg/ml
314
Instabilità chimica Incompatibile
Iniezione Heparin sodium 100 & 200 UI/ml
Iniezione Morphine sulfate 1 >> 10 mg/ml
Cloruro di sodio 0,9% 341
Compatibile
Iniezione Heparin sodium 1000 UI/ml
Iniezione N-acetylcysteine 200 mg/ml
Nessuno 3766
Compatibile
Iniezione Heparin sodium 50 UI/ml
Iniezione Nafcillin sodium 20 mg/ml
Nessuno 317
Compatibile
Iniezione Heparin sodium 1000 UI/ml
Iniezione Naloxone hydrochloride 0.4 mg/ml
Nessuno 3408
Torbidità immediata Incompatibile
Iniezione Heparin sodium 208,3 UI/ml
Iniezione Nefopam 1,7 mg/ml
Cloruro di sodio 0,9% 4698
Compatibile
Iniezione Heparin sodium 1 UI/ml
Iniezione Neostigmine methylsulfate 0.5 mg/ml
Glucosio 5% 1228
Compatibile
Iniezione Heparin sodium 1 UI/ml
Iniezione Neostigmine methylsulfate 0.5 mg/ml
Cloruro di sodio 0,9% 1228
Compatibile
Iniezione Heparin sodium 1 UI/ml
Iniezione Neostigmine methylsulfate 0.5 mg/ml
Ringer lattato 1228
Incompatibilità non specificata Incompatibile
Iniezione Heparin sodium
Iniezione Nesiritide
5048
Incompatibilità non specificata Incompatibile
Iniezione Heparin sodium
Iniezione Netilmicin sulfate
3540
Precipitazioni immediate Incompatibile
Iniezione Heparin sodium
Iniezione Netilmicin sulfate
1022
Precipitazioni immediate Incompatibile
Iniezione Heparin sodium 100 UI/ml
Iniezione Nicardipine hydrochloride 1 mg/ml
314
Incompatibilità non specificata Incompatibile
Iniezione Heparin sodium
Iniezione Nicardipine hydrochloride
3540
Compatibile
Iniezione Heparin sodium 40 UI/ml
Iniezione Nicardipine hydrochloride 0.1 mg/ml
Glucosio 5% 1490
Compatibile
Iniezione Heparin sodium 40 UI/ml
Iniezione Nicardipine hydrochloride 0.1 mg/ml
Cloruro di sodio 0,9% 1490
Precipitazioni immediate Incompatibile
Iniezione Heparin sodium 100 UI/ml
Iniezione Nitroglycerin 1,6 >> 3,25 mg/ml
Glucosio 5% 295
Compatibile
Iniezione Heparin sodium 500 UI/ml
Iniezione Nitroglycerin 0.2 mg/ml
Cloruro di sodio 0,9% 3823
Produzione di bolle di gas Incompatibile
Iniezione Heparin sodium 50 UI/ml
Iniezione Nitroglycerin 0.2 mg/ml
Nessuno 317
Compatibile
Iniezione Heparin sodium 500 UI/ml
Iniezione Nitroglycerin 0.2 mg/ml
Glucosio 5% 3823
Compatibile
Iniezione Heparin sodium 100 UI/ml
Iniezione Nitroglycerin 0.4 mg/ml
314
Compatibile
Iniezione Heparin sodium 50 UI/ml
Iniezione Nitroprusside sodium 0.2 mg/ml
Nessuno 317
Compatibile
Iniezione Heparin sodium 100 UI/ml
Iniezione Nitroprusside sodium 0.2 mg/ml
Glucosio 5% 295
Compatibile
Iniezione Heparin sodium 100 UI/ml
Iniezione Norepinephrine bitartrate 0.128 mg/ml
314
Incompatibilità non specificata Incompatibile
Iniezione Heparin sodium
Iniezione Ofloxacin
3562
Compatibile
Iniezione Heparin sodium 40 UI/ml
Iniezione Ondansetron hydrochloride 1 mg/ml
Cloruro di sodio 0,9% 334
Incompatibile
Iniezione Heparin sodium 200 UI/ml
Iniezione Ondansetron hydrochloride 1.6 mg/ml
1699
Torbidità immediata Incompatibile
Iniezione Heparin sodium 100 UI/ml
Iniezione Oritavancin 0.8 >>1.2 mg/ml
Glucosio 5% 3152
Precipitazioni dopo 4 ore Incompatibile
Iniezione Heparin sodium 100 UI/ml
Iniezione Oritavancin 2 mg/ml
Glucosio 5% 3152
Compatibile
Iniezione Heparin sodium 208 UI/ml
Iniezione Ornidazole 31.25 mg/ml
Cloruro di sodio 0,9% 4254
Compatibile
Iniezione Heparin sodium 1 UI/ml
Iniezione Oxacillin sodium 100 mg/ml
Glucosio 5% 1228
Compatibile
Iniezione Heparin sodium 1 UI/ml
Iniezione Oxacillin sodium 100 mg/ml
Ringer lattato 1228
Compatibile
Iniezione Heparin sodium 1 UI/ml
Iniezione Oxacillin sodium 100 mg/ml
Cloruro di sodio 0,9% 1228
Compatibile
Iniezione Heparin sodium 100 UI/ml
Iniezione Oxaliplatin 0,5 mg/ml
Glucosio 5% 1662
Incompatibilità non specificata Incompatibile
Iniezione Heparin sodium
Iniezione Oxytetracycline hydrochloride
3540
Compatibile
Iniezione Heparin sodium 100 UI/ml
Iniezione Paclitaxel 1.2 mg/ml
Glucosio 5% 248
Compatibile
Iniezione Heparin sodium 100 UI/ml
Iniezione Palonosetron hydrochloride 50 µg/ml
Glucosio 5% 2279
Compatibile
Iniezione Heparin sodium 40 UI/ml
Iniezione Pancuronium bromide 0.05 mg/ml
Glucosio 5% 402
Precipitazioni dopo 1 ora Incompatibile
Iniezione Heparin sodium
Iniezione Pantoprazole sodium
2090
Compatibile
Iniezione Heparin sodium 208,3 UI/ml
Iniezione Paracetamol 10 mg/ml
Cloruro di sodio 0,9% 4698
Compatibile
Iniezione Heparin sodium 1000 UI/ml
Iniezione Paracetamol 10 mg/ml
4742
Compatibile
Iniezione Heparin sodium 100 UI/ml
Iniezione Pemetrexed disodium 20 mg/ml
Cloruro di sodio 0,9% 1953
Incompatibilità non specificata Incompatibile
Iniezione Heparin sodium
Iniezione Penicillin G potassium
3540
Compatibile
Iniezione Heparin sodium 50 UI/ml
Iniezione Penicillin G potassium 0.04 MUI/ml
Nessuno 317
Incompatibilità non specificata Incompatibile
Iniezione Heparin sodium
Iniezione Penicillin G sodium
3540
Compatibile
Iniezione Heparin sodium 100 UI/ml
Iniezione Pentoxifyllin 5 mg/ml
Cloruro di sodio 0,9% 4538
Torbidità immediata Incompatibile
Iniezione Heparin sodium
Iniezione Pethidine hydrochloride
3525
Compatibile
Iniezione Heparin sodium 60 UI/ml
Iniezione Pethidine hydrochloride 10 mg/ml
Cloruro di sodio 0,9% 406
Incompatibilità non specificata Incompatibile
Iniezione Heparin sodium
Iniezione Pethidine hydrochloride
3540
Precipitazioni immediate Incompatibile
Iniezione Heparin sodium 50 UI/ml
Iniezione Phenytoin sodium 2 mg/ml
Nessuno 317
Compatibile
Iniezione Heparin sodium 50 UI/ml
Iniezione Piperacillin sodium 60 mg/ml
Nessuno 317
Compatibile
Iniezione Heparin sodium 10 & 5000 UI/ml
Iniezione Piperacillin sodium 40 mg/ml
Cloruro di sodio 0,9% 2037
Compatibile
Iniezione Heparin sodium 0.5 UI/ml
Iniezione Piperacillin sodium / tazobactam 0.5/0.0625 mg/ml
Dianéal® 2.5% glucose (Baxter) 4180
Compatibile
Iniezione Heparin sodium 0.5 UI/ml
Iniezione Piperacillin sodium / tazobactam 0.5/0.0625 mg/ml
Dianéal® 4.25% glucose (Baxter) 4180
Torbidità immediata Incompatibile
Iniezione Heparin sodium 1000 UI/ml
Iniezione Plazomicin sulfate 24 mg/ml
Cloruro di sodio 0,9% 4145
Incompatibilità non specificata Incompatibile
Iniezione Heparin sodium
Iniezione Polymyxine B
3540
Compatibile
Iniezione Heparin sodium 50 UI/ml
Iniezione Potassium chloride 200 mEq/l
Nessuno 317
Compatibile
Iniezione Heparin sodium 1 UI/ml
Iniezione Procainamide hydrochloride 100 mg/ml
Ringer lattato 1228
Compatibile
Iniezione Heparin sodium 1 UI/ml
Iniezione Procainamide hydrochloride 100 mg/ml
Cloruro di sodio 0,9% 1228
Compatibile
Iniezione Heparin sodium 1 UI/ml
Iniezione Prochlorperazine edysilate 5 mg/ml
Cloruro di sodio 0,9% 1228
Compatibile
Iniezione Heparin sodium 3 >> 20 UI/ml
Nutrizione parenterale (privo di lipidi) 791
Compatibile
Iniezione Heparin sodium 100 UI/ml
Nutrizione parenterale (privo di lipidi) 301
Compatibile
Iniezione Heparin sodium 500 UI/ml
Nutrizione parenterale (privo di lipidi) 939
Compatibile
Iniezione Heparin sodium 1 UI/ml
Iniezione Prochlorperazine edysilate 5 mg/ml
Ringer lattato 1228
Compatibile
Iniezione Heparin sodium 1 UI/ml
Iniezione Promethazine hydrochloride 50 mg/ml
Cloruro di sodio 0,9% 1228
Compatibile
Iniezione Heparin sodium 1 UI/ml
Iniezione Promethazine hydrochloride 50 mg/ml
Ringer lattato 1228
Compatibile
Iniezione Heparin sodium 1 UI/ml
Iniezione Propranolol hydrochloride 1 mg/ml
Ringer lattato 1228
Compatibile
Iniezione Heparin sodium 1 UI/ml
Iniezione Propranolol hydrochloride 1 mg/ml
Cloruro di sodio 0,9% 1228
Compatibile
Iniezione Heparin sodium 50 UI/ml
Iniezione Ranitidine hydrochloride 0,5 mg/ml
Glucosio 5% 396
Compatibile
Iniezione Heparin sodium 10 & 40 UI/ml
Iniezione Ranitidine hydrochloride 0.05 & 2 mg/ml
Cloruro di sodio 0,9% 214
Compatibile
Iniezione Heparin sodium 50 UI/ml
Iniezione Ranitidine hydrochloride 1 mg/ml
Nessuno 317
Compatibile
Iniezione Heparin sodium 1000 UI/ml
Iniezione Remdesivir 1 mg/ml
Cloruro di sodio 0,9% 4768
Compatibile
Iniezione Heparin sodium 100 UI/ml
Iniezione Remifentanil hydrochloride 25 & 250 µg/ml
Cloruro di sodio 0,9% 59
Compatibile
Iniezione Heparin sodium 500 UI/ml
Iniezione Remifentanil hydrochloride 100 µg/ml
Cloruro di sodio 0,9% 3823
Compatibile
Iniezione Heparin sodium 500 UI/ml
NaHCO3 150
Compatibile
Iniezione Heparin sodium 1.4 UI/ml
Iniezione Piperacillin sodium / tazobactam 1.38/0.1725 mg/ml
Physionéal® 2.27 (Baxter) 4180
Compatibile
Iniezione Heparin sodium 1.4 UI/ml
Iniezione Piperacillin sodium / tazobactam 1.38/0.1725 mg/ml
Physionéal® 1.36 (Baxter) 4180
Compatibile
Iniezione Heparin sodium 0.5 UI/ml
Iniezione Piperacillin sodium / tazobactam 0.5/0.0625 mg/ml
Dianéal® 1.5% glucose (Baxter) 4180
Compatibile
Iniezione Heparin sodium 1.4 UI/ml
Iniezione Piperacillin sodium / tazobactam 1.38/0.1725 mg/ml
Physionéal® 3.86 (Baxter) 4180
Compatibile
Iniezione Heparin sodium 100 UI/ml
Iniezione Piperacillin sodium / tazobactam 40/5 mg/ml
Glucosio 5% 81
Compatibile
Iniezione Heparin sodium 0.5 UI/ml
Iniezione Piperacillin sodium / tazobactam 0.5/0.0625 mg/ml
Extraneal® (Baxter) 4180
Compatibile
Iniezione Heparin sodium 500 UI/ml
Iniezione Potassium chloride 10 mEq/l
Cloruro di sodio 0,9% 3823
Compatibile
Iniezione Heparin sodium 58,34 UI/ml
Iniezione Potassium chloride 1250 mEq/l
Glucosio 5% 1289
Compatibile
Iniezione Heparin sodium
Iniezione Potassium phosphate
3781
Compatibile
Iniezione Heparin sodium 1 UI/ml
Iniezione Procainamide hydrochloride 100 mg/ml
Glucosio 5% 1228
Compatibile
Iniezione Heparin sodium 1 UI/ml
Iniezione Prochlorperazine edysilate 5 mg/ml
Glucosio 5% 1228
Compatibile
Iniezione Heparin sodium 1 UI/ml
Iniezione Promethazine hydrochloride 50 mg/ml
Glucosio 5% 1228
Incompatibilità non specificata Incompatibile
Iniezione Heparin sodium
Iniezione Promethazine hydrochloride
3540
Instabilità dell'emulsione dopo 1 ora Incompatibile
Iniezione Heparin sodium 1000 UI/ml
Iniezione Propofol
660
Compatibile
Iniezione Heparin sodium 100 UI/ml
Iniezione Propofol 10 mg/ml
Nessuno 300
Compatibile
Iniezione Heparin sodium 1 UI/ml
Iniezione Propranolol hydrochloride 1 mg/ml
Glucosio 5% 1228
Compatibile
Iniezione Heparin sodium 100 UI/ml
Iniezione Ranitidine hydrochloride 1 mg/ml
314
Compatibile
Iniezione Heparin sodium 10 & 40 UI/ml
Iniezione Ranitidine hydrochloride 0.05 & 2 mg/ml
Glucosio 5% 214
Compatibile
Iniezione Heparin sodium 416.7 UI/ml
Iniezione Remifentanil hydrochloride 120 µg/ml
Glucosio 5% 3294
Compatibile
Iniezione Heparin sodium 416.7 UI/ml
Iniezione Remifentanil hydrochloride 120 µg/ml
Glucosio 5% 3176
Incompatibilità non specificata Incompatibile
Iniezione Heparin sodium
Iniezione Reteplase
2212
Compatibile
Iniezione Heparin sodium 20,458 >> 28,000 UI/ml
Nutrizione parenterale (con lipidi) 1868
Incompatibilità non specificata Incompatibile
Iniezione Heparin sodium
Iniezione Reteplase
3540
Compatibile
Iniezione Heparin sodium 1000 UI/ml
Iniezione Salbutamol sulfate 1 mg/ml
Nessuno 3216
Compatibile
Iniezione Heparin sodium 100 UI/ml
Iniezione Sargramostim 6 §15 µg/ml
Cloruro di sodio 0,9% 891
Compatibile
Iniezione Heparin sodium 100 UI/ml
Iniezione Sargramostim 10 µg/ml
Cloruro di sodio 0,9% 335
Compatibile
Iniezione Heparin sodium 1 UI/ml
Iniezione Scopolamine hydrobromide 0.86 mg/ml
Cloruro di sodio 0,9% 1228
Compatibile
Iniezione Heparin sodium 1 UI/ml
Iniezione Scopolamine hydrobromide 0.86 mg/ml
Ringer lattato 1228
Compatibile
Iniezione Heparin sodium 1 UI/ml
Iniezione Scopolamine hydrobromide 0.86 mg/ml
Glucosio 5% 1228
Compatibile
Iniezione Heparin sodium 100 UI/ml
Iniezione Sildenafil citrate 0,6 mg/ml
Glucosio 5% 4845
Compatibile
Iniezione Heparin sodium 100 UI/ml
Iniezione Sildenafil citrate 0,06 mg/ml
Glucosio 5% 4845
Compatibile
Iniezione Heparin sodium 1 UI/ml
Iniezione Sildenafil citrate 0,4 mg/ml
Glucosio 5% 3923
Compatibile
Iniezione Heparin sodium 2 UI/ml
Iniezione Sildenafil citrate 0,6 mg/ml
Glucosio 5% 4845
Compatibile
Iniezione Heparin sodium
Cloruro di sodio 0,9% 3540
Instabilità immediata dell'emulsione Incompatibile
Iniezione Heparin sodium 100 UI/ml
Nutrizione parenterale (con lipidi) 132
Torbidità immediata Incompatibile
Iniezione Heparin sodium 100 UI/ml
Iniezione Sildenafil citrate 0,6 mg/ml
Glucosio 5% 4845
Compatibile
Iniezione Heparin sodium 500 UI/ml
Iniezione Sodium bicarbonate 84 mg/ml
Cloruro di sodio 0,9% 3823
Compatibile
Iniezione Heparin sodium
Iniezione Sodium bicarbonate
3466
Compatibile
Iniezione Heparin sodium 500 UI/ml
Iniezione Sodium bicarbonate 14 mg/ml
Nessuno 150
Compatibile
Iniezione Heparin sodium 500 UI/ml
Iniezione Sodium bicarbonate 84 mg/ml
Nessuno 3212
Compatibile
Iniezione Heparin sodium 208 UI/ml
Iniezione Spiramycine adipate 0.0625 MUI/ml
Cloruro di sodio 0,9% 4254
Compatibile
Iniezione Heparin sodium 100 UI/ml
Iniezione Streptokinase 30000 UI/ml
Glucosio 5% 92
Incompatibilità non specificata Incompatibile
Iniezione Heparin sodium
Iniezione Streptomycin sulfate
3540
Compatibile
Iniezione Heparin sodium 416.7 UI/ml
Iniezione Sufentanil citrate 0.005 mg/ml
Glucosio 5% 3294
Compatibile
Iniezione Heparin sodium 1000 UI/ml
Iniezione Sugammadex 100 mg/ml
Nessuno 3372
Compatibile
Iniezione Heparin sodium 10 UI/ml
Iniezione Tacrolimus 1000 µg/ml
Cloruro di sodio 0,9% 479
Compatibile
Iniezione Heparin sodium 1000 UI/ml
Ringer lattato 4603
Compatibile
Iniezione Heparin sodium 1000 UI/ml
Iniezione Sulbactam/durlobactam 15/15 mg/ml
Cloruro di sodio 0,9% 4801
Compatibile
Iniezione Heparin sodium 1000 UI/ml
Iniezione Tedizolid phosphate 0.8 mg/ml
Cloruro di sodio 0,9% 3827
Compatibile
Iniezione Heparin sodium 10 >> 10000 UI/ml
Iniezione Teicoplanine 0.02 >> 10 mg/ml
Cloruro di sodio 0,9% 2057
Torbidità immediata Incompatibile
Iniezione Heparin sodium 1000 UI/ml
Iniezione Telavancin hydrochloride 7,5 mg/ml
Glucosio 5% 3254
Torbidità immediata Incompatibile
Iniezione Heparin sodium 1000 UI/ml
Iniezione Telavancin hydrochloride 7,5 mg/ml
Cloruro di sodio 0,9% 3254
Compatibile
Iniezione Heparin sodium 1000 UI/ml
Iniezione Telavancin hydrochloride 7.5 mg/ml
Ringer lattato 3254
Precipitazioni immediate Incompatibile
Iniezione Heparin sodium 1000 UI/ml
Iniezione Thiopental sodium 25 mg/ml
Cloruro di sodio 0,9% 3767
Instabilità immediata dell'emulsione Incompatibile
Iniezione Heparin sodium 1 UI/ml
Nutrizione parenterale (con lipidi) 1391
Compatibile
Iniezione Heparin sodium 100 UI/ml
Iniezione Teniposide 0.1 mg/ml
Glucosio 5% 905
Compatibile
Iniezione Heparin sodium 50 UI/ml
Iniezione Theophylline 4 mg/ml
Nessuno 317
Compatibile
Iniezione Heparin sodium 100 UI/ml
Iniezione Thiopental sodium 25 mg/ml
314
Instabilità immediata dell'emulsione Incompatibile
Iniezione Heparin sodium 100 UI/ml
Nutrizione parenterale (con lipidi) 1415
Compatibile
Iniezione Heparin sodium 500 UI/ml
Iniezione Thiopental sodium 60 mg/ml
Cloruro di sodio 0,9% 3823
Compatibile
Iniezione Heparin sodium 100 UI/ml
Iniezione Thiotepa 1 mg/ml
Glucosio 5% 249
Compatibile
Iniezione Heparin sodium 50 UI/ml
Iniezione Ticarcillin / clavulanic acid 31 mg/ml
Nessuno 317
Compatibile
Iniezione Heparin sodium 500 UI/ml
Iniezione Tirofiban 250 µg/ml
Cloruro di sodio 0,9% 3823
Compatibile
Iniezione Heparin sodium 40 & 100 UI/ml
Iniezione Tirofiban 50 µg/ml
Cloruro di sodio 0,9% 1420
Compatibile
Iniezione Heparin sodium
Glucosio 5% 3540
Compatibile
Iniezione Heparin sodium
Iniezione Tirofiban
1512
Compatibile
Iniezione Heparin sodium 40 & 100 UI/ml
Iniezione Tirofiban 50 µg/ml
Glucosio 5% 1420
Incompatibilità non specificata Incompatibile
Iniezione Heparin sodium 50 UI/ml
Iniezione Tobramycin sulfate 0.8 mg/ml
Nessuno 317
Incompatibilità non specificata Incompatibile
Iniezione Heparin sodium
Iniezione Tobramycin sulfate
3540
Compatibile
Iniezione Heparin sodium
Iniezione Tranexamic acid
5016
Incompatibilità non specificata Incompatibile
Iniezione Heparin sodium
Iniezione Triflupromazine hydrochloride
3540
Compatibile
Iniezione Heparin sodium 500 UI/ml
Iniezione Urapidil 5 mg/ml
Cloruro di sodio 0,9% 3823
Precipitazioni immediate Incompatibile
Iniezione Heparin sodium 0,5 >> 14,3 UI/ml
Iniezione Vancomycin hydrochloride 6,9 >> 14,3 mg/ml
Dianéal® PD1 4.25% Glucosio (Baxter) 2375
Incompatibilità non specificata Incompatibile
Iniezione Heparin sodium
Iniezione Vancomycin hydrochloride
3588
Incompatibilità non specificata Incompatibile
Iniezione Heparin sodium
Iniezione Vancomycin hydrochloride
3540
Compatibile
Iniezione Heparin sodium 0,5 >> 14,3 UI/ml
Iniezione Vancomycin hydrochloride 0,015 >> 6,8 mg/ml
Dianéal® PD2 2.5% glucose (Baxter) 2375
Precipitazioni immediate Incompatibile
Iniezione Heparin sodium 0,5 >> 14,3 UI/ml
Iniezione Vancomycin hydrochloride 6,9 >> 14,3 mg/ml
Dianéal® PD2 2.5% glucose (Baxter) 2375
Compatibile
Iniezione Heparin sodium 10 UI/ml
Iniezione Vancomycin hydrochloride 0.025 mg/ml
Acqua per preparato iniettabile 3125
Compatibile
Iniezione Heparin sodium 0,5 >> 14,3 UI/ml
Iniezione Vancomycin hydrochloride 0,015 >> 6,8 mg/ml
Dianéal® PD1 4.25% Glucosio (Baxter) 2375
Incompatibilità non specificata Incompatibile
Iniezione Heparin sodium 50 UI/ml
Iniezione Vancomycin hydrochloride 6.6 mg/ml
Nessuno 317
Compatibile
Iniezione Heparin sodium 100 UI/ml
Iniezione Vancomycin hydrochloride 0.025 mg/ml
Cloruro di sodio 0,9% 1414
Compatibile
Iniezione Heparin sodium 10 UI/ml
Iniezione Vancomycin hydrochloride 2 mg/ml
Cloruro di sodio 0,9% 2037
Precipitazioni immediate Incompatibile
Iniezione Heparin sodium 100 UI/ml
Iniezione Vancomycin hydrochloride 10 mg/ml
Nutrizione parenterale (privo di lipidi) 132
Compatibile
Iniezione Heparin sodium 5000 UI/ml
Iniezione Vancomycin hydrochloride 2.5 mg/ml
Cloruro di sodio 0,9% 2037
Compatibile
Iniezione Heparin sodium 100 UI/ml
Iniezione Vancomycin hydrochloride 0.025 mg/ml
Cloruro di sodio 0,9% 895
Compatibile
Iniezione Heparin sodium 100 UI/ml
Iniezione Vasopressin 2 & 4 UI/ml
Cloruro di sodio 0,9% 1801
Compatibile
Iniezione Heparin sodium 100 UI/ml
Iniezione Vecuronium bromide 1 mg/ml
314
Compatibile
Iniezione Heparin sodium 40 UI/ml
Iniezione Vecuronium bromide 0.1 mg/ml
Glucosio 5% 402
Compatibile
Iniezione Heparin sodium 20 UI/ml
Iniezione Verapamil hydrochloride 0.08 mg/ml
Cloruro di sodio 0,9% 1057
Compatibile
Iniezione Heparin sodium 20 UI/ml
Iniezione Verapamil hydrochloride 0.08 mg/ml
Glucosio 5% 1057
Incompatibilità non specificata Incompatibile
Iniezione Heparin sodium
Iniezione Vinblastine sulfate
3540
Compatibile
Iniezione Heparin sodium 1000 UI/ml
Iniezione Vinblastine sulfate 1 mg/ml
763
Compatibile
Iniezione Heparin sodium 1000 UI/ml
Iniezione Vincristine sulfate 1 mg/ml
763
Compatibile
Iniezione Heparin sodium 100 UI/ml
Iniezione Vinorelbine tartrate 1 mg/ml
Cloruro di sodio 0,9% 84
Compatibile
Iniezione Heparin sodium 100 UI/ml
Iniezione Vinorelbine tartrate 1 mg/ml
Cloruro di sodio 0,9% 1070
Precipitazioni immediate Incompatibile
Iniezione Heparin sodium 10 & 100 UI/ml
Iniezione Vinorelbine tartrate 2 & 3 mg/ml
Cloruro di sodio 0,9% 1070
Compatibile
Iniezione Heparin sodium 208 UI/ml
Iniezione Voriconazole 8 mg/ml
Glucosio 5% 4254
Compatibile
Iniezione Heparin sodium 208 UI/ml
Iniezione Voriconazole 8 mg/ml
Cloruro di sodio 0,9% 4254
Compatibile
Iniezione Heparin sodium 100 UI/ml
Iniezione Warfarin sodium 2 mg/ml
Glucosio 5% 315
Compatibile
Iniezione Heparin sodium 100 UI/ml
Iniezione Zidovudine 4 mg/ml
Glucosio 5% 337

  Mentions Légales