Pēdējā atjaunošana :
18/03/2026
Antikoagulants   Heparin sodium  
Injekcija
Šķīduma stabilitāte Maisījuma stabilitāte Stabilitāti ietekmējoši faktori Saderība Levadīšanas veids Literatūras saraksts pdf
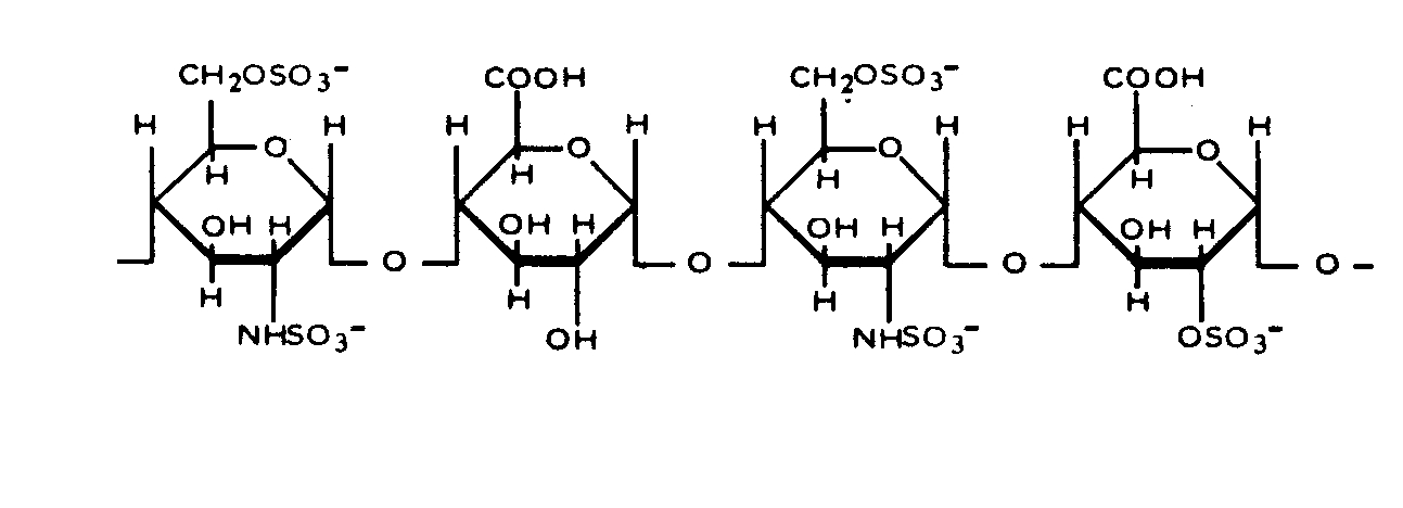
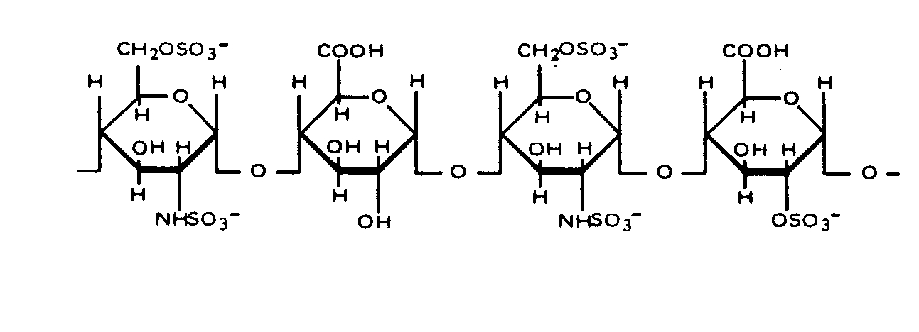
   Ķīmiskā uzbūve   

Oriģinālais nosaukums   Oriģinālais nosaukums     

Tirdzniecības nosaukumi ir apzīmējoši un palīgvielas var atšķirties dažādām valstīm un laboratorijām

Arapin Čīle
Ateroclar Itālija
Clarisco Itālija
Epsoclar Itālija
Hepaflex Norvēģija, Somija
Hepamax Čīle, Ekvadora, Kolumbija
Heparin Amerikas Savienotās Valstis, Austrija, Dānija, Dienvidāfrikas Republika, Dienvidslāvija, Grieķija, Holande, Kanāda, krievu, Lielbritānija, Norvēģija, Somija, Šveice, Taizeme, Turcija, Ungārija, Zviedrija
Heparine Beļģija, Francija
Heparinised Austrālija
Heparstad Vācija
Liquemin Šveice, Turcija
Liquemine Brazīlija
Monoparin Saūda Arābija
Normoparin Itālija
Nuparin Ekvadora
Pharepa Itālija
Riveparin Argentīna
Sobrius Argentīna, Ekvadora
Thrombophob Vācija
Saderība   Injekcija   Saderība : Heparin sodium              
Šī tabula parāda zāļu saderību vai nesaderību, pēc iespējas arī nesaderības tipu (precipitācija, krāsas maiņa, emulsijas sadalīšanās utt). Parādītas šeit saderības ir pārsvarā tikai fizikālās, pēc iespējas tiek parādīta ķīmiskā stabilitāte katrai molekulai. Šo maisījumu analīze tikai veikta, lai izprastu iespējamību ievadīt zāles Y-savienojuma vietā sistēmā pacientam. Šie dati nevar tikt izmantoti, lai pagatavot zāļu maisījumus vēlākai lietošanai maisos vai šļircēs. Šī informācija ir pieejama sadaļā "Maisījuma stabilitāte".
Savienojums Šķīdinātājs Literatūras saraksts
Savietojams
Injekcija Heparin sodium 100 UI/ml
Injekcija Aciclovir sodium 5 mg/ml
Nātrija hlorīds 0.9% 2335
Savietojams
Injekcija Heparin sodium 50 UI/ml
Injekcija Aciclovir sodium 5 mg/ml
5% glikoze 336
Savietojams
Injekcija Heparin sodium 100 UI/ml
Injekcija Aldesleukin 0.0338 MUI/ml
5% glikoze 36
Savietojams
Injekcija Heparin sodium 100 UI/ml
Injekcija Allopurinol sodium 3 mg/ml
Nātrija hlorīds 0.9% 307
Savietojams
Injekcija Heparin sodium 1 UI/ml
Injekcija Alprostadil 20 µg/ml
Nātrija hlorīds 0.9% 4491
Savietojams
Injekcija Heparin sodium 1 UI/ml
Injekcija Alprostadil 20 µg/ml
5% glikoze 4651
Nokrišņi pēc 24 stundām Nesavienojams
Injekcija Heparin sodium 100 UI/ml
Injekcija Alteplase 1 mg/ml
Ūdens injekcijām 92
Neprecizēta nesaderība Nesavienojams
Injekcija Heparin sodium
Injekcija Alteplase
3540
Tūlītēji nokrišņi Nesavienojams
Injekcija Heparin sodium 40 UI/ml
Injekcija Alteplase 0.5 mg/ml
Ūdens injekcijām 240
Neprecizēta nesaderība Nesavienojams
Injekcija Heparin sodium
Injekcija Alteplase
3616
Savietojams
Injekcija Heparin sodium 100 UI/ml
Injekcija Amifostine 10 mg/ml
5% glikoze 3
Tūlītēji nokrišņi Nesavienojams
Injekcija Heparin sodium
Injekcija Amikacin sulfate
1022
Neprecizēta nesaderība Nesavienojams
Injekcija Heparin sodium
Injekcija Amikacin sulfate
3549
Neprecizēta nesaderība Nesavienojams
Injekcija Heparin sodium
Injekcija Amikacin sulfate
3540
Neprecizēta nesaderība Nesavienojams
Injekcija Heparin sodium 500 UI/ml
Injekcija Amiodarone hydrochloride 15 mg/ml
Nātrija hlorīds 0.9% 3823
Neprecizēta nesaderība Nesavienojams
Injekcija Heparin sodium
Injekcija Amiodarone hydrochloride
3540
Tūlītēja duļķainība Nesavienojams
Injekcija Heparin sodium 500 UI/ml
Injekcija Amiodarone hydrochloride 15 mg/ml
Nātrija hlorīds 0.9% 3463
Neprecizēta nesaderība Nesavienojams
Injekcija Heparin sodium
Injekcija Amiodarone hydrochloride
3464
Neprecizēta nesaderība Nesavienojams
Injekcija Heparin sodium 500 UI/ml
Injekcija Amiodarone hydrochloride 15 mg/ml
5% glikoze 3823
Tūlītēja duļķainība Nesavienojams
Injekcija Heparin sodium 500 UI/ml
Injekcija Amiodarone hydrochloride 15 mg/ml
5% glikoze 3463
Savietojams
Injekcija Heparin sodium 208 UI/ml
Injekcija Amoxicillin sodium 20.83 & 83.3 mg/ml
Nātrija hlorīds 0.9% 4254
Savietojams
Injekcija Heparin sodium 1000 UI/ml
Injekcija Amoxicillin sodium / clavulanic acid 100/10 mg/ml
3824
Savietojams
Injekcija Heparin sodium
Injekcija Ampicillin sodium
5088
Savietojams
Injekcija Heparin sodium 50 UI/ml
Injekcija Ampicillin sodium 20 mg/ml
Nekāds 317
Savietojams
Injekcija Heparin sodium 50 UI/ml
Injekcija Ampicillin sodium - sulbactam sodium 30 mg/ml
Nekāds 317
Tūlītēji nokrišņi Nesavienojams
Injekcija Heparin sodium 40 UI/ml
Injekcija Amsacrine 1 mg/ml
5% glikoze 253
Savietojams
Injekcija Heparin sodium 100 UI/ml
Injekcija Anidulafungin 0.5 mg/ml
5% glikoze 1982
Tūlītēji nokrišņi Nesavienojams
Injekcija Heparin sodium
Injekcija Antithymocyte globulin (rabbit)
4958
Tūlītēji nokrišņi Nesavienojams
Injekcija Heparin sodium 2 UI/ml
Injekcija Antithymocyte globulin (rabbit) 0,2 & 0,3 mg/ml
5% glikoze 1822
Savietojams
Injekcija Heparin sodium 100 UI/ml
Injekcija Antithymocyte globulin (rabbit) 0,2 & 0,3 mg/ml
5% glikoze 1822
Savietojams
Injekcija Heparin sodium 2 & 100 UI/ml
Injekcija Antithymocyte globulin (rabbit) 0,2 & 0,3 mg/ml
Nātrija hlorīds 0.9% 1822
Savietojams
Injekcija Heparin sodium 40 UI/ml
Injekcija Atracurium besylate 0.5 mg/ml
5% glikoze 402
Savietojams
Injekcija Heparin sodium 1 UI/ml
Injekcija Atropine sulfate 0.5 mg/ml
5% glikoze 1228
Savietojams
Injekcija Heparin sodium 500 UI/ml
Parenterāla barošana (ar lipīdiem) 4507
Tūlītēji nokrišņi Nesavienojams
Injekcija Heparin sodium 1000 UI/ml
Injekcija Amphotericin B cholesteryl sulfate complex 0.83 mg/ml
5% glikoze 921
Neprecizēta nesaderība Nesavienojams
Injekcija Heparin sodium
Injekcija Ampicillin sodium
3540
Savietojams
Injekcija Heparin sodium 10 & 5000 UI/ml
Injekcija Ampicillin sodium 10 mg/ml
Nātrija hlorīds 0.9% 2037
Savietojams
Injekcija Heparin sodium 1 UI/ml
Injekcija Atropine sulfate 0.5 mg/ml
Ringera laktāta šķīdums 1228
Savietojams
Injekcija Heparin sodium 1 UI/ml
Injekcija Atropine sulfate 0.5 mg/ml
Nātrija hlorīds 0.9% 1228
Savietojams
Injekcija Heparin sodium 100 UI/ml
Injekcija Aztreonam 40 mg/ml
5% glikoze 99
Savietojams
Injekcija Heparin sodium 50 UI/ml
Injekcija Aztreonam 20 mg/ml
Nekāds 317
Savietojams
Injekcija Heparin sodium 1 UI/ml
Injekcija Betamethasone sodium phosphate 3 mg/ml
Nātrija hlorīds 0.9% 1228
Savietojams
Injekcija Heparin sodium 1 UI/ml
Injekcija Betamethasone sodium phosphate 3 mg/ml
5% glikoze 1228
Savietojams
Injekcija Heparin sodium 1 UI/ml
Injekcija Betamethasone sodium phosphate 3 mg/ml
Ringera laktāta šķīdums 1228
Savietojams
Injekcija Heparin sodium 100 UI/ml
Injekcija Bivalirudin 5 mg/ml
5% glikoze 1713
Tūlītēji nokrišņi Nesavienojams
Injekcija Heparin sodium 192.3 UI/ml
Injekcija Blinatumomab 0.125 & 0.375 µg/ml
Nātrija hlorīds 0.9% 3976
Savietojams
Injekcija Heparin sodium 1000 UI/ml
Injekcija Caffeine 10 mg/ml
Nekāds 3964
Savietojams
Injekcija Heparin sodium 100 UI/ml
Injekcija Caffeine 10 mg/ml
Nātrija hlorīds 0.9% 4837
Savietojams
Injekcija Heparin sodium 100 UI/ml
Injekcija Caffeine citrate 20 mg/ml
Nātrija hlorīds 0.9% 4837
Nokrišņi pēc 30 minūtēm Nesavienojams
Injekcija Heparin sodium 2 UI/ml
Injekcija Calcium chloride 20 mg/ml
5% glikoze 4732
Savietojams
Injekcija Heparin sodium 100 UI/ml
Injekcija Calcium chloride 20 mg/ml
5% glikoze 4732
Tūlītēja emulsijas nestabilitāte Nesavienojams
Injekcija Heparin sodium
Injekcija Calcium chloride
Parenterāla barošana (ar lipīdiem) 1084
Tūlītēja emulsijas nestabilitāte Nesavienojams
Injekcija Heparin sodium
Injekcija Calcium gluconate
Parenterāla barošana (ar lipīdiem) 1084
Tūlītēji nokrišņi Nesavienojams
Injekcija Heparin sodium 100 UI/ml
Injekcija Caspofungin acetate 0.5 mg/ml
Nātrija hlorīds 0.9% 2233
Tūlītēji nokrišņi Nesavienojams
Injekcija Heparin sodium 100 UI/ml
Injekcija Caspofungin acetate 0,7 mg/ml
Nātrija hlorīds 0.9% 2247
Neprecizēta nesaderība Nesavienojams
Injekcija Heparin sodium
Injekcija Cefalotin sodium
3540
Savietojams
Injekcija Heparin sodium 10 & 5000 UI/ml
Injekcija Cefazolin sodium 10 mg/ml
Nātrija hlorīds 0.9% 2037
Savietojams
Injekcija Heparin sodium 50 UI/ml
Injekcija Cefazolin sodium 20 mg/ml
Nekāds 317
Savietojams
Injekcija Heparin sodium 0.667 UI/ml
Injekcija Cefazolin sodium 0.333 mg/ml
Dianéal® PD2 1.5% glikoze (Baxter) 1979
Savietojams
Injekcija Heparin sodium 10 & 50 UI/ml
Injekcija Cefepime dihydrochloride 4 mg/ml
Nātrija hlorīds 0.9% 3548
Savietojams
Injekcija Heparin sodium 10 & 50 UI/ml
Injekcija Cefepime dihydrochloride 4 mg/ml
5% glikoze 3548
Savietojams
Injekcija Heparin sodium 1000 UI/ml
Injekcija Cefiderocol sulfate tosylate 20 mg/mL
5% glikoze 4528
Savietojams
Injekcija Heparin sodium 1000 UI/ml
Injekcija Cefiderocol sulfate tosylate 20 mg/mL
Nātrija hlorīds 0.9% 4528
Ķīmiskā nestabilitāte Nesavienojams
Injekcija Heparin sodium 100 UI/ml
Injekcija Cefmetazole sodium 100 mg/ml
Ūdens injekcijām 93
Savietojams
Injekcija Heparin sodium 208 UI/ml
Injekcija Cefotaxime sodium 41.6 & 125 mg/ml
5% glikoze 4254
Savietojams
Injekcija Heparin sodium 208 UI/ml
Injekcija Cefotaxime sodium 41.6 & 125 mg/ml
Nātrija hlorīds 0.9% 4254
Savietojams
Injekcija Heparin sodium 5000 UI/ml
Injekcija Cefotaxime sodium 10 mg/ml
Ūdens injekcijām 3125
Savietojams
Injekcija Heparin sodium 100 UI/ml
Injekcija Ceftaroline fosamil 2,22 mg/ml
Ringera laktāta šķīdums 3249
Savietojams
Injekcija Heparin sodium 100 UI/ml
Injekcija Ceftaroline fosamil 2,22 mg/ml
Nātrija hlorīds 0.9% 3249
Savietojams
Injekcija Heparin sodium 100 UI/ml
Injekcija Ceftaroline fosamil 2,22 mg/ml
5% glikoze 3249
Savietojams
Injekcija Heparin sodium 0.5 UI/ml
Injekcija Ceftazidime 0.125 mg/ml
Extraneal® (Baxter) 4056
Savietojams
Injekcija Heparin sodium 0.5 UI/ml
Injekcija Ceftazidime 0.125 mg/ml
Dianéal® PD2 4.25% glikoze (Baxter) 4056
Savietojams
Injekcija Heparin sodium 50 UI/ml
Injekcija Ceftazidime 20 mg/ml
Nekāds 317
Savietojams
Injekcija Heparin sodium 0.5 UI/ml
Injekcija Ceftazidime 0.125 mg/ml
Dianéal® PD2 2.5% glucose (Baxter) 4056
Savietojams
Injekcija Heparin sodium 100 UI/ml
Injekcija Ceftobiprole medocaril sodium 2 mg/ml
Nātrija hlorīds 0.9% 2269
Savietojams
Injekcija Heparin sodium 100 UI/ml
Injekcija Ceftobiprole medocaril sodium 2 mg/ml
5% glikoze 2269
Savietojams
Injekcija Heparin sodium 100 UI/ml
Injekcija Ceftobiprole medocaril sodium 2 mg/ml
Ringera laktāta šķīdums 2269
Savietojams
Injekcija Heparin sodium 1000 UI/ml
Injekcija Ceftolozane / tazobactam 10/5 mg/ml
Nātrija hlorīds 0.9% 3828
Savietojams
Injekcija Heparin sodium 1000 UI/ml
Injekcija Ceftolozane / tazobactam 10/5 mg/ml
5% glikoze 3828
Savietojams
Injekcija Heparin sodium 50 UI/ml
Injekcija Ceftriaxone disodium 20 mg/ml
Nekāds 317
Savietojams
Injekcija Heparin sodium 10 & 50 UI/ml
Injekcija Cefuroxime sodium
Nātrija hlorīds 0.9% 3687
Savietojams
Injekcija Heparin sodium 58,34 UI/ml
Injekcija Chlorpromazine hydrochloride 0,26 mg/ml
5% glikoze 1289
Savietojams
Injekcija Heparin sodium 1 UI/ml
Injekcija Chlorpromazine hydrochloride 10 mg/ml
Nātrija hlorīds 0.9% 1228
Savietojams
Injekcija Heparin sodium 1 UI/ml
Injekcija Chlorpromazine hydrochloride 10 mg/ml
5% glikoze 1228
Neprecizēta nesaderība Nesavienojams
Injekcija Heparin sodium
Injekcija Chlorpromazine hydrochloride
3540
Savietojams
Injekcija Heparin sodium 1 UI/ml
Injekcija Chlorpromazine hydrochloride 10 mg/ml
Ringera laktāta šķīdums 1228
Savietojams
Injekcija Heparin sodium 50 UI/ml
Injekcija Cimetidine hydrochloride 6 mg/ml
Nekāds 317
Savietojams
Injekcija Heparin sodium 5000 & 10000 UI/ml
Injekcija Ciprofloxacin lactate 0.4 & 0.6 mg/ml
Nātrija hlorīds 0.9% 2057
Tūlītēji nokrišņi Nesavienojams
Injekcija Heparin sodium 10 >> 10000 UI/ml
Injekcija Ciprofloxacin lactate 1 mg/ml
Nātrija hlorīds 0.9% 2057
Tūlītēji nokrišņi Nesavienojams
Injekcija Heparin sodium 10 & 100 UI/ml
Injekcija Ciprofloxacin lactate 0.2 mg/ml
Nātrija hlorīds 0.9% 2057
Neprecizēta nesaderība Nesavienojams
Injekcija Heparin sodium
Injekcija Ciprofloxacin lactate
3540
Tūlītēji nokrišņi Nesavienojams
Injekcija Heparin sodium 10 >> 1000 UI/ml
Injekcija Ciprofloxacin lactate 0.4 & 0.6 mg/ml
Nātrija hlorīds 0.9% 2057
Savietojams
Injekcija Heparin sodium 1000 >> 10000 UI/ml
Injekcija Ciprofloxacin lactate 0.2 mg/ml
Nātrija hlorīds 0.9% 2057
Tūlītēji nokrišņi Nesavienojams
Injekcija Heparin sodium 10 >> 5000 UI/ml
Injekcija Ciprofloxacin lactate 0.8 mg/ml
Nātrija hlorīds 0.9% 2057
Savietojams
Injekcija Heparin sodium 10 >> 10000 UI/ml
Injekcija Ciprofloxacin lactate 0.1 mg/ml
Nātrija hlorīds 0.9% 2057
Tūlītēji nokrišņi Nesavienojams
Injekcija Heparin sodium 100 UI/ml
Injekcija Ciprofloxacin lactate 2 mg/ml
Nātrija hlorīds 0.9% 288
Neprecizēta nesaderība Nesavienojams
Injekcija Heparin sodium
Injekcija Ciprofloxacin lactate
3529
Tūlītēji nokrišņi Nesavienojams
Injekcija Heparin sodium 100 UI/ml
Injekcija Ciprofloxacin lactate 2 mg/ml
5% glikoze 288
Tūlītēji nokrišņi Nesavienojams
Injekcija Heparin sodium 10 >> 1000 UI/ml
Injekcija Ciprofloxacin lactate 2 mg/ml
Nātrija hlorīds 0.9% 289
Tūlītēja duļķainība Nesavienojams
Injekcija Heparin sodium 10 UI/ml
Injekcija Ciprofloxacin lactate 2 mg/ml
Nekāds 1393
Savietojams
Injekcija Heparin sodium 10000 UI/ml
Injekcija Ciprofloxacin lactate 0.8 mg/ml
Nātrija hlorīds 0.9% 2057
Savietojams
Injekcija Heparin sodium 100 UI/ml
Injekcija Cisatracurium besylate 0.1 & 2 mg/ml
5% glikoze 299
Tūlītēji nokrišņi Nesavienojams
Injekcija Heparin sodium 100 UI/ml
Injekcija Cisatracurium besylate 5 mg/ml
5% glikoze 299
Krāsu maiņa Nesavienojams
Injekcija Heparin sodium 500 UI/ml
Injekcija Cisatracurium besylate 5 mg/ml
Nātrija hlorīds 0.9% 3463
Neprecizēta nesaderība Nesavienojams
Injekcija Heparin sodium 500 UI/ml
Injekcija Cisatracurium besylate 5 mg/ml
Nātrija hlorīds 0.9% 3823
Neprecizēta nesaderība Nesavienojams
Injekcija Heparin sodium
Injekcija Cisatracurium besylate
3540
Savietojams
Injekcija Heparin sodium 100 UI/ml
Injekcija Cladribine 0.5 mg/ml
0.9% NaCl + antibakteriāls 1496
Savietojams
Injekcija Heparin sodium 100 UI/ml
Injekcija Cladribine 0.015 mg/ml
Nātrija hlorīds 0.9% 1496
Savietojams
Injekcija Heparin sodium 50 UI/ml
Injekcija Clindamycin phosphate 12 mg/ml
Nekāds 317
Savietojams
Injekcija Heparin sodium 50 UI/ml
Injekcija Clonidine hydrochloride 0.0075 mg/ml
Nātrija hlorīds 0.9% 1506
Savietojams
Injekcija Heparin sodium 50 UI/ml
Injekcija Clonidine hydrochloride 0.0075 mg/ml
5% glikoze 1506
Savietojams
Injekcija Heparin sodium 100 UI/ml
Injekcija Cloxacillin sodium 100 mg/ml
Ūdens injekcijām 3012
Nokrišņi pēc 4 stundām Nesavienojams
Injekcija Heparin sodium 208 UI/ml
Injekcija Co-trimoxazole 3.2/0.64 & 80/16 mg/ml
Nātrija hlorīds 0.9% 4254
Nokrišņi pēc 4 stundām Nesavienojams
Injekcija Heparin sodium 208 UI/ml
Injekcija Co-trimoxazole 3.2/0.64 & 80/16 mg/ml
5% glikoze 4254
Savietojams
Injekcija Heparin sodium 1 UI/ml
Injekcija Cyanocobalamine 0.1 mg/ml
Ringera laktāta šķīdums 1228
Savietojams
Injekcija Heparin sodium 1 UI/ml
Injekcija Cyanocobalamine 0.1 mg/ml
5% glikoze 1228
Savietojams
Injekcija Heparin sodium 1 UI/ml
Injekcija Cyanocobalamine 0.1 mg/ml
Nātrija hlorīds 0.9% 1228
Neprecizēta nesaderība Nesavienojams
Injekcija Heparin sodium
Injekcija Cytarabine
3540
Neprecizēta nesaderība Nesavienojams
Injekcija Heparin sodium
Injekcija Cytarabine
3580
Neprecizēta nesaderība Nesavienojams
Injekcija Heparin sodium
Injekcija Dacarbazine
3605
Tūlītēji nokrišņi Nesavienojams
Injekcija Heparin sodium 100 UI/ml
Injekcija Dacarbazine 25 mg/ml
Nātrija hlorīds 0.9% 860
Neprecizēta nesaderība Nesavienojams
Injekcija Heparin sodium
Injekcija Dacarbazine
3267
Neprecizēta nesaderība Nesavienojams
Injekcija Heparin sodium
Injekcija Dacarbazine
3540
Savietojams
Injekcija Heparin sodium
Injekcija Daptomycin
2271
Savietojams
Injekcija Heparin sodium 98 UI/ml
Injekcija Daptomycin 19,6 mg/ml
Nātrija hlorīds 0.9% 1937
Tūlītēji nokrišņi Nesavienojams
Injekcija Heparin sodium
Injekcija Daunorubicin hydrochloride
3604
Neprecizēta nesaderība Nesavienojams
Injekcija Heparin sodium
Injekcija Daunorubicin hydrochloride
3540
Tūlītēji nokrišņi Nesavienojams
Injekcija Heparin sodium
Injekcija Daunorubicin hydrochloride liposome
3577
Tūlītēja duļķainība Nesavienojams
Injekcija Heparin sodium
Injekcija Daunorubicin/cytarabine liposomale 0,4 mg/mL
Nātrija hlorīds 0.9% 4654
Savietojams
Injekcija Heparin sodium 373 UI/ml
Injekcija Defibrotide 8 mg/ml
Nātrija hlorīds 0.9% 3728
Savietojams
Injekcija Heparin sodium 50 UI/ml
Injekcija Dexamethasone sodium phosphate 0.08 mg/ml
Nekāds 317
Savietojams
Injekcija Heparin sodium
Injekcija Dexketoprofen
4981
Savietojams
Injekcija Heparin sodium 100 UI/ml
Injekcija Dexmedetomidine 4 µg/ml
Nātrija hlorīds 0.9% 1712
Savietojams
Injekcija Heparin sodium 10000 UI/ml
Injekcija Diatrizoate meglumine 283 mg/ml
Nekāds 1085
Neprecizēta nesaderība Nesavienojams
Injekcija Heparin sodium
Injekcija Diazepam
3540
Savietojams
Injekcija Heparin sodium 100 UI/ml
Injekcija Diltiazem hydrochloride 1 mg/ml
314
Tūlītēji nokrišņi Nesavienojams
Injekcija Heparin sodium 20000 UI/ml
Injekcija Diltiazem hydrochloride 5 mg/ml
Nātrija hlorīds 0.9% 198
Savietojams
Injekcija Heparin sodium 100 UI/ml
Injekcija Diltiazem hydrochloride 1 mg/ml
5% glikoze 4556
Tūlītēja duļķainība Nesavienojams
Injekcija Heparin sodium 100 UI/ml
Injekcija Diltiazem hydrochloride 5 mg/ml
5% glikoze 4556
Savietojams
Injekcija Heparin sodium 20000 UI/ml
Injekcija Diltiazem hydrochloride 1 mg/ml
Nātrija hlorīds 0.9% 198
Savietojams
Injekcija Heparin sodium
Injekcija Diltiazem hydrochloride
5090
Savietojams
Injekcija Heparin sodium 80 >> 10000 UI/ml
Injekcija Diltiazem hydrochloride 1 & 5 mg/ml
Nātrija hlorīds 0.9% 198
Tūlītēji nokrišņi Nesavienojams
Injekcija Heparin sodium
Injekcija Dimenhydrinate
2087
Savietojams
Injekcija Heparin sodium 1 UI/ml
Injekcija Diphenhydramine hydrochloride 50 mg/ml
Nātrija hlorīds 0.9% 1228
Savietojams
Injekcija Heparin sodium 1 UI/ml
Injekcija Diphenhydramine hydrochloride 50 mg/ml
5% glikoze 1228
Savietojams
Injekcija Heparin sodium 1 UI/ml
Injekcija Diphenhydramine hydrochloride 50 mg/ml
Ringera laktāta šķīdums 1228
Nokrišņi pēc 4 stundām Nesavienojams
Injekcija Heparin sodium 100 UI/ml
Injekcija Dobutamine hydrochloride 4 mg/ml
314
Savietojams
Injekcija Heparin sodium 40 UI/ml
Injekcija Dobutamine hydrochloride 1 mg/ml
Nātrija hlorīds 0.9% 1058
Savietojams
Injekcija Heparin sodium 100 UI/ml
Injekcija Dobutamine hydrochloride 2 mg/ml
5% glikoze 1041
Tūlītēji nokrišņi Nesavienojams
Injekcija Heparin sodium 100 UI/ml
Injekcija Dobutamine hydrochloride 2 mg/ml
5% glikoze 1352
Tūlītēja duļķainība Nesavienojams
Injekcija Heparin sodium 100 UI/ml
Injekcija Dobutamine hydrochloride 4 mg/ml
5% glikoze 295
Tūlītēji nokrišņi Nesavienojams
Injekcija Heparin sodium
Injekcija Dobutamine hydrochloride
3540
Krāsas maiņa pēc 6 stundām Nesavienojams
Injekcija Heparin sodium 10000 UI/ml
Injekcija Dobutamine hydrochloride 2 mg/ml
5% glikoze 1041
Savietojams
Injekcija Heparin sodium 40 UI/ml
Injekcija Dobutamine hydrochloride 1 mg/ml
5% glikoze 1058
Savietojams
Injekcija Heparin sodium 50 UI/ml
Injekcija Dobutamine hydrochloride 1 mg/ml
Nekāds 317
Savietojams
Injekcija Heparin sodium 100 UI/ml
Injekcija Docetaxel 0.9 mg/ml
5% glikoze 1754
Savietojams
Injekcija Heparin sodium 1 UI/ml
Injekcija Dopamine hydrochloride 40 mg/ml
Nātrija hlorīds 0.9% 1228
Savietojams
Injekcija Heparin sodium 50 UI/ml
Injekcija Dopamine hydrochloride 1.6 mg/ml
Nekāds 317
Savietojams
Injekcija Heparin sodium 100 UI/ml
Injekcija Dopamine hydrochloride 3.2 mg/ml
314
Savietojams
Injekcija Heparin sodium 1 UI/ml
Injekcija Dopamine hydrochloride 40 mg/ml
Ringera laktāta šķīdums 1228
Savietojams
Injekcija Heparin sodium 200 UI/ml
Injekcija Dopamine hydrochloride 0.8 mg/ml
5% glikoze 738
Savietojams
Injekcija Heparin sodium 1 UI/ml
Injekcija Dopamine hydrochloride 40 mg/ml
5% glikoze 1228
Savietojams
Injekcija Heparin sodium 100 UI/ml
Injekcija Dopamine hydrochloride 3,2 mg/ml
4389
Neprecizēta nesaderība Nesavienojams
Injekcija Heparin sodium 187 UI/ml
Injekcija Dopamine hydrochloride 1,7 >> 3,4 mg/ml
5% glikoze 377
Savietojams
Injekcija Heparin sodium 100 UI/ml
Injekcija Doripenem 5 mg/ml
Nātrija hlorīds 0.9% 2262
Savietojams
Injekcija Heparin sodium 100 UI/ml
Injekcija Doripenem 5 mg/ml
5% glikoze 2262
Savietojams
Injekcija Heparin sodium 1 UI/ml
Injekcija Doxapram hydrochloride 2 mg/ml
5% glikoze 1802
Neprecizēta nesaderība Nesavienojams
Injekcija Heparin sodium
Injekcija Doxorubicin hydrochloride
3540
Tūlītēji nokrišņi Nesavienojams
Injekcija Heparin sodium
Injekcija Doxorubicin hydrochloride
3645
Tūlītēji nokrišņi Nesavienojams
Injekcija Heparin sodium 1000 UI/ml
Injekcija Doxorubicin hydrochloride 2 mg/ml
763
Savietojams
Injekcija Heparin sodium 1000 UI/ml
Injekcija Doxorubicin hydrochloride liposome peg 0.4 mg/ml
5% glikoze 251
Neprecizēta nesaderība Nesavienojams
Injekcija Heparin sodium 50 UI/ml
Injekcija Doxycycline hyclate 1 mg/ml
Nekāds 317
Tūlītēji nokrišņi Nesavienojams
Injekcija Heparin sodium 1000 UI/ml
Injekcija Droperidol 2,5 mg/ml
763
Savietojams
Injekcija Heparin sodium 1 UI/ml
Injekcija Droperidol 1.25 mg/ml
Nātrija hlorīds 0.9% 1228
Savietojams
Injekcija Heparin sodium 1 UI/ml
Injekcija Droperidol 1.25 mg/ml
Ringera laktāta šķīdums 1228
Savietojams
Injekcija Heparin sodium 1 UI/ml
Injekcija Droperidol 1.25 mg/ml
5% glikoze 1228
Neprecizēta nesaderība Nesavienojams
Injekcija Heparin sodium
Injekcija Droperidol
3540
Savietojams
Injekcija Heparin sodium 45,45 UI/ml
Injekcija Enalaprilate 0,011 mg/ml
5% glikoze 963
Savietojams
Injekcija Heparin sodium 40 UI/ml
Injekcija Enalaprilate 0.05 mg/ml
Nātrija hlorīds 0.9% 1315
Savietojams
Injekcija Heparin sodium 50 UI/ml
Injekcija Enalaprilate 0.0125 mg/ml
Nātrija hlorīds 0.9% 1703
Savietojams
Injekcija Heparin sodium 1 UI/ml
Injekcija Epinephrine hydrochloride 100 µg/ml
Ringera laktāta šķīdums 1228
Savietojams
Injekcija Heparin sodium 100 UI/ml
Injekcija Epinephrine hydrochloride 20 µg/ml
314
Savietojams
Injekcija Heparin sodium 1 UI/ml
Injekcija Epinephrine hydrochloride 100 µg/ml
Nātrija hlorīds 0.9% 1228
Savietojams
Injekcija Heparin sodium 1 UI/ml
Injekcija Epinephrine hydrochloride 100 µg/ml
5% glikoze 1228
Neprecizēta nesaderība Nesavienojams
Injekcija Heparin sodium
Injekcija Epirubicin hydrochloride
3632
Savietojams
Injekcija Heparin sodium
Injekcija Eptifibatide
3934
Savietojams
Injekcija Heparin sodium 1000 UI/ml
Injekcija Eravacycline 0,6 mg/ml
Nātrija hlorīds 0.9% 4434
Tūlītēja duļķainība Nesavienojams
Injekcija Heparin sodium 1 UI/ml
Injekcija Ergotamine tartrate 0.5 mg/ml
Nātrija hlorīds 0.9% 1228
Nokrišņi pēc 4 stundām Nesavienojams
Injekcija Heparin sodium 1 UI/ml
Injekcija Ergotamine tartrate 0.5 mg/ml
Ringera laktāta šķīdums 1228
Nokrišņi pēc 4 stundām Nesavienojams
Injekcija Heparin sodium 1 UI/ml
Injekcija Ergotamine tartrate 0.5 mg/ml
5% glikoze 1228
Savietojams
Injekcija Heparin sodium 50 & 100 UI/ml
Injekcija Ertapenem 10 & 20 mg/ml
Nātrija hlorīds 0.9% 1906
Savietojams
Injekcija Heparin sodium 50 UI/ml
Injekcija Erythromycin lactobionate 3.3 mg/ml
Nekāds 317
Neprecizēta nesaderība Nesavienojams
Injekcija Heparin sodium
Injekcija Erythromycin lactobionate
3674
Neprecizēta nesaderība Nesavienojams
Injekcija Heparin sodium
Injekcija Erythromycin lactobionate
3540
Savietojams
Injekcija Heparin sodium 50 UI/ml
Injekcija Esmolol hydrochloride 6 mg/ml
5% glikoze 174
Savietojams
Injekcija Heparin sodium 40 UI/ml
Injekcija Esmolol hydrochloride 10 mg/ml
5% glikoze 384
Savietojams
Injekcija Heparin sodium 500 UI/ml
Injekcija Esmolol hydrochloride 10 mg/ml
Nātrija hlorīds 0.9% 3823
Tūlītēji nokrišņi Nesavienojams
Injekcija Heparin sodium 1000 UI/ml
Injekcija Ethanol 70 %
Ūdens injekcijām + antibakteriāls 2221
Tūlītēji nokrišņi Nesavienojams
Injekcija Heparin sodium 1000 UI/ml
Injekcija Ethanol 70 %
Ūdens injekcijām 2221
Nokrišņi pēc 1 stundas Nesavienojams
Injekcija Heparin sodium 10 UI/ml
Injekcija Ethanol 70 %
Ūdens injekcijām + antibakteriāls 2221
Tūlītēji nokrišņi Nesavienojams
Injekcija Heparin sodium 10 UI/ml
Injekcija Ethanol 70 %
Ūdens injekcijām 2221
Savietojams
Injekcija Heparin sodium 100 UI/ml
Injekcija Etoposide phosphate 5 mg/ml
5% glikoze 1410
Savietojams
Injekcija Heparin sodium 40 UI/ml
Injekcija Famotidine
5% glikoze 397
Savietojams
Injekcija Heparin sodium 50 UI/ml
Injekcija Famotidine 0.2 mg/ml
5% glikoze 398
Savietojams
Injekcija Heparin sodium 40 UI/ml
Injekcija Famotidine 2 mg/ml
Nātrija hlorīds 0.9% 215
Savietojams
Injekcija Heparin sodium 100 UI/ml
Injekcija Fenoldopam mesylate 80 µg/ml
Nātrija hlorīds 0.9% 1803
Savietojams
Injekcija Heparin sodium 100 UI/ml
Injekcija Fentanyl citrate 50 µg/ml
4389
Savietojams
Injekcija Heparin sodium 1 UI/ml
Injekcija Fentanyl citrate 50 µg/ml
5% glikoze 1228
Savietojams
Injekcija Heparin sodium 1 UI/ml
Injekcija Fentanyl citrate 50 µg/ml
Ringera laktāta šķīdums 1228
Savietojams
Injekcija Heparin sodium 1 UI/ml
Injekcija Fentanyl citrate 50 µg/ml
Nātrija hlorīds 0.9% 1228
Savietojams
Injekcija Heparin sodium 100 UI/ml
Injekcija Fentanyl citrate 50 µg/ml
314
Tūlītēji nokrišņi Nesavienojams
Injekcija Heparin sodium 100 UI/ml
Injekcija Filgrastim 30 µg/ml
5% glikoze 244
Savietojams
Injekcija Heparin sodium 1000 UI/ml
Injekcija Fluconazole 2 mg/ml
Nātrija hlorīds 0.9% 496
Savietojams
Injekcija Heparin sodium 50 UI/ml
Injekcija Fluconazole 2 mg/ml
Nekāds 317
Savietojams
Injekcija Heparin sodium 40 >> 1000 UI/ml
Injekcija Fludarabine phosphate 1 mg/ml
5% glikoze 492
Savietojams
Injekcija Heparin sodium 50 UI/ml
Injekcija Flumazenil 0,02 mg/ml
5% glikoze 187
Savietojams
Injekcija Heparin sodium 5 UI/ml
Injekcija Fluorouracil 0,8 mg/ml
Nātrija hlorīds 0.9% 156
Savietojams
Injekcija Heparin sodium 5 UI/ml
Injekcija Fluorouracil 0,8 mg/ml
5% glikoze 156
Savietojams
Injekcija Heparin sodium 1 UI/ml
Injekcija Fluorouracil 50 mg/ml
Nātrija hlorīds 0.9% 1228
Savietojams
Injekcija Heparin sodium 960 UI/ml
Injekcija Fluorouracil 24 mg/ml
5% glikoze 163
Savietojams
Injekcija Heparin sodium 1 UI/ml
Injekcija Fluorouracil 50 mg/ml
5% glikoze 1228
Savietojams
Injekcija Heparin sodium 1000 UI/ml
Injekcija Fluorouracil 50 mg/ml
763
Savietojams
Injekcija Heparin sodium 1 UI/ml
Injekcija Fluorouracil 50 mg/ml
Ringera laktāta šķīdums 1228
Savietojams
Injekcija Heparin sodium 1000 UI/ml
Injekcija Folinate calcium 10 mg/ml
763
Savietojams
Injekcija Heparin sodium 100 UI/ml
Injekcija Foscarnet sodium 24 mg/ml
5% glikoze 1135
Savietojams
Injekcija Heparin sodium 100 UI/ml
Injekcija Foscarnet sodium 24 mg/ml
Nātrija hlorīds 0.9% 1135
Savietojams
Injekcija Heparin sodium 1000 UI/ml
Injekcija Foscarnet sodium 24 mg/ml
Nekāds 73
Savietojams
Injekcija Heparin sodium 1000 UI/ml
Injekcija Fosfomycin 30 mg/ml
5% glikoze 4055
Savietojams
Injekcija Heparin sodium 1000 UI/ml
Injekcija Fosfomycin 30 mg/ml
Nātrija hlorīds 0.9% 4055
Savietojams
Injekcija Heparin sodium 100 UI/ml
Injekcija Furosemide 10 mg/ml
314
Savietojams
Injekcija Heparin sodium 1 UI/ml
Injekcija Furosemide 10 mg/ml
Nātrija hlorīds 0.9% 1228
Nokrišņi pēc 5 stundām Nesavienojams
Injekcija Heparin sodium 100 UI/ml
Injekcija Furosemide 10 mg/ml
5% glikoze 4724
Savietojams
Injekcija Heparin sodium 20 UI/ml
Injekcija Furosemide 1 mg/ml
Nātrija hlorīds 0.9% 1232
Savietojams
Injekcija Heparin sodium 58,34 UI/ml
Injekcija Furosemide 5,21 mg/ml
5% glikoze 1289
Savietojams
Injekcija Heparin sodium
Injekcija Furosemide
3465
Savietojams
Injekcija Heparin sodium 1 UI/ml
Injekcija Furosemide 10 mg/ml
Ringera laktāta šķīdums 1228
Savietojams
Injekcija Heparin sodium 1000 UI/ml
Injekcija Furosemide 10 mg/ml
763
Savietojams
Injekcija Heparin sodium 10 UI/ml
Injekcija Furosemide 10 mg/ml
Nekāds 3210
Savietojams
Injekcija Heparin sodium 500 UI/ml
Injekcija Furosemide 10 mg/ml
Nātrija hlorīds 0.9% 3823
Savietojams
Injekcija Heparin sodium 500 UI/ml
Injekcija Furosemide 10 mg/ml
Nekāds 3134
Savietojams
Injekcija Heparin sodium 1 UI/ml
Injekcija Furosemide 10 mg/ml
5% glikoze 1228
Savietojams
Injekcija Heparin sodium 40 UI/ml
Injekcija Gallium nitrate 1 mg/ml
Nātrija hlorīds 0.9% 91
Savietojams
Injekcija Heparin sodium 100 UI/ml
Injekcija Gemcitabine hydrochloride 10 mg/ml
Nātrija hlorīds 0.9% 1423
Tūlītēja duļķainība Nesavienojams
Injekcija Heparin sodium 2500 UI/ml
Injekcija Gentamicin sulfate 3 mg/ml
4612
Neprecizēta nesaderība Nesavienojams
Injekcija Heparin sodium
Injekcija Gentamicin sulfate
3520
Neprecizēta nesaderība Nesavienojams
Injekcija Heparin sodium
Injekcija Gentamicin sulfate
3643
Tūlītēji nokrišņi Nesavienojams
Injekcija Heparin sodium
Injekcija Gentamicin sulfate
1022
Neprecizēta nesaderība Nesavienojams
Injekcija Heparin sodium 50 UI/ml
Injekcija Gentamicin sulfate 2 mg/ml
Nekāds 317
Tūlītēji nokrišņi Nesavienojams
Injekcija Heparin sodium 10 >> 40 UI/ml
Injekcija Gentamicin sulfate 4 >> 40 mg/ml
1258
Tūlītēji nokrišņi Nesavienojams
Injekcija Heparin sodium 2500 UI/ml
Injekcija Gentamicin sulfate 4 & 5 mg/ml
4612
Neprecizēta nesaderība Nesavienojams
Injekcija Heparin sodium
Injekcija Gentamicin sulfate
3540
Savietojams
Injekcija Heparin sodium 2500 UI/ml
Injekcija Gentamicin sulfate 1 & 2 mg/ml
4612
Savietojams
Injekcija Heparin sodium 50 UI/ml
Injekcija Glycerophosphate disodium
Nātrija hlorīds 0.9% 4332
Savietojams
Injekcija Heparin sodium 100 UI/ml
Injekcija Granisetron hydrochloride 0.05 mg/ml
5% glikoze 182
Tūlītēji nokrišņi Nesavienojams
Injekcija Heparin sodium 100 & 200 UI/ml
Injekcija Haloperidol lactate 5 mg/ml
5% glikoze 617
Tūlītēji nokrišņi Nesavienojams
Injekcija Heparin sodium 100 & 200 UI/ml
Injekcija Haloperidol lactate 5 mg/ml
Nātrija hlorīds 0.9% 617
Savietojams
Injekcija Heparin sodium 500 UI/ml
Injekcija Haloperidol lactate 0.5 mg/ml
Nātrija hlorīds 0.9% 3823
Neprecizēta nesaderība Nesavienojams
Injekcija Heparin sodium
Injekcija Haloperidol lactate
3540
Savietojams
Injekcija Heparin sodium 100 UI/ml
Injekcija Hetastarch 60 mg/ml
īpašu šķīdinātāju 1721
Neprecizēta nesaderība Nesavienojams
Injekcija Heparin sodium
Injekcija Hyaluronidase
3617
Neprecizēta nesaderība Nesavienojams
Injekcija Heparin sodium
Injekcija Hyaluronidase
3184
Neprecizēta nesaderība Nesavienojams
Injekcija Heparin sodium
Injekcija Hyaluronidase
3540
Savietojams
Injekcija Heparin sodium 1 UI/ml
Injekcija Hydralazine hydrochloride 20 mg/ml
5% glikoze 1228
Savietojams
Injekcija Heparin sodium 1 UI/ml
Injekcija Hydralazine hydrochloride 20 mg/ml
Ringera laktāta šķīdums 1228
Savietojams
Injekcija Heparin sodium 1 UI/ml
Injekcija Hydralazine hydrochloride 20 mg/ml
Nātrija hlorīds 0.9% 1228
Savietojams
Injekcija Heparin sodium 100 UI/ml
Injekcija Hydrocortisone sodium succinate 125 mg/ml
Nātrija hlorīds 0.9% 132
Neprecizēta nesaderība Nesavienojams
Injekcija Heparin sodium
Injekcija Hydrocortisone sodium succinate
3540
Savietojams
Injekcija Heparin sodium 50 UI/ml
Injekcija Hydrocortisone sodium succinate 2 mg/ml
Nekāds 317
Savietojams
Injekcija Heparin sodium 100 UI/ml
Injekcija Hydrocortisone sodium succinate 125 mg/ml
5% glikoze 132
Savietojams
Injekcija Heparin sodium
Injekcija Hydromorphone hydrochloride <12.5 mg/ml
Nātrija hlorīds 0.9% 66
Savietojams
Injekcija Heparin sodium 100 UI/ml
Injekcija Hydromorphone hydrochloride 1 mg/ml
314
Tūlītēji nokrišņi Nesavienojams
Injekcija Heparin sodium <12,5 UI/ml
Injekcija Hydromorphone hydrochloride >25 mg/ml
Nātrija hlorīds 0.9% 66
Savietojams
Injekcija Heparin sodium
Injekcija Hydromorphone hydrochloride <12.5 mg/ml
Ūdens injekcijām 66
Tūlītēji nokrišņi Nesavienojams
Injekcija Heparin sodium <1 UI/ml
Injekcija Hydromorphone hydrochloride >10 mg/ml
Ūdens injekcijām 66
Tūlītēji nokrišņi Nesavienojams
Injekcija Heparin sodium <12,5 UI/ml
Injekcija Hydromorphone hydrochloride >25 mg/ml
Ūdens injekcijām 66
Savietojams
Injekcija Heparin sodium 100 UI/ml
Injekcija Ibuprofen lysinate 10 mg/ml
Ūdens injekcijām 4419
Savietojams
Injekcija Heparin sodium 10 UI/ml
Injekcija Ibuprofen lysinate 10 mg/ml
Ūdens injekcijām 4419
Tūlītēja duļķainība Nesavienojams
Injekcija Heparin sodium 100 & 1000 UI/ml
Injekcija Idarubicin hydrochloride 1 mg/ml
Nātrija hlorīds 0.9% 491
Tūlītēji nokrišņi Nesavienojams
Injekcija Heparin sodium
Injekcija Idarubicin hydrochloride
5075
Savietojams
Injekcija Heparin sodium
Injekcija Imipenem-Cilastatin / Relebactam
4809
Savietojams
Injekcija Heparin sodium 1000 UI/ml
Injekcija Imipenem-Cilastatin / Relebactam 5 mg/ml
Nātrija hlorīds 0.9% 4433
Savietojams
Injekcija Heparin sodium 1000 UI/ml
Injekcija Imipenem-Cilastatin / Relebactam 5 mg/ml
5% glikoze 4433
Savietojams
Injekcija Heparin sodium 500 UI/ml
Injekcija Insulin 2 UI/ml
Nātrija hlorīds 0.9% 3823
Savietojams
Injekcija Heparin sodium 60 UI/ml
Injekcija Insulin 0.2 UI/ml
Nātrija hlorīds 0.9% 129
Savietojams
Injekcija Heparin sodium 50 & 400 UI/ml
Injekcija Insulin aspart 1 UI/ml
5% glikoze 1508
Savietojams
Injekcija Heparin sodium 50 & 400 UI/ml
Injekcija Insulin aspart 1 UI/ml
Nātrija hlorīds 0.9% 1508
Savietojams
Injekcija Heparin sodium 10000 UI/ml
Injekcija Iohexol 300 mg I/ml
Nekāds 1085
Savietojams
Injekcija Heparin sodium 10000 UI/ml
Injekcija Ioxaglate 320 mg I/ml
Nekāds 1085
Tūlītēja duļķainība Nesavienojams
Injekcija Heparin sodium 1000 UI/ml
Injekcija Isavuconazonium sulfate 1.5 mg/ml
Nātrija hlorīds 0.9% 3829
Tūlītēja duļķainība Nesavienojams
Injekcija Heparin sodium 1000 UI/ml
Injekcija Isavuconazonium sulfate 1.5 mg/ml
5% glikoze 3829
Savietojams
Injekcija Heparin sodium 1 UI/ml
Injekcija Isoprenaline hydrochloride 0.2 mg/ml
5% glikoze 1228
Savietojams
Injekcija Heparin sodium 1 UI/ml
Injekcija Isoprenaline hydrochloride 0.2 mg/ml
Nātrija hlorīds 0.9% 1228
Savietojams
Injekcija Heparin sodium 1 UI/ml
Injekcija Isoprenaline hydrochloride 0.2 mg/ml
Ringera laktāta šķīdums 1228
Neprecizēta nesaderība Nesavienojams
Injekcija Heparin sodium
Injekcija Kanamycin sulfate
3540
Tūlītēji nokrišņi Nesavienojams
Injekcija Heparin sodium 25000 UI/ml
Injekcija Ketamine hydrochloride 50 mg/ml
2109
Savietojams
Injekcija Heparin sodium 100 UI/ml
Injekcija Labetalol hydrochloride 2 mg/ml
314
Neprecizēta nesaderība Nesavienojams
Injekcija Heparin sodium 500 UI/ml
Injekcija Labetalol hydrochloride 4 mg/ml
Nātrija hlorīds 0.9% 3823
Neprecizēta nesaderība Nesavienojams
Injekcija Heparin sodium
Injekcija Labetalol hydrochloride
3540
Tūlītēji nokrišņi Nesavienojams
Injekcija Heparin sodium 100 UI/ml
Injekcija Labetalol hydrochloride 5 mg/ml
5% glikoze 295
Savietojams
Injekcija Heparin sodium 40 UI/ml
Injekcija Labetalol hydrochloride 1 mg/ml
5% glikoze 386
Savietojams
Injekcija Heparin sodium 100 UI/ml
Injekcija Lansoprazole 0.55 mg/ml
Nātrija hlorīds 0.9% 1625
Drumstumas per 4 valandas Nesavienojams
Injekcija Heparin sodium 100 UI/ml
Injekcija Levetiracetam 100 mg/ml
5% glikoze 4108
Tūlītēja duļķainība Nesavienojams
Injekcija Heparin sodium 208,3 UI/ml
Injekcija Levetiracetam 15 mg/ml
Nātrija hlorīds 0.9% 4698
Neprecizēta nesaderība Nesavienojams
Injekcija Heparin sodium
Injekcija Levofloxacine
3920
Tūlītēji nokrišņi Nesavienojams
Injekcija Heparin sodium 10 UI/ml
Injekcija Levofloxacine 5 mg/ml
5% glikoze 1072
Neprecizēta nesaderība Nesavienojams
Injekcija Heparin sodium
Injekcija Levomepromazine
3540
Savietojams
Injekcija Heparin sodium 100 UI/ml
Injekcija Levosimendan 2,5 mg/ml
5% glikoze 4389
Savietojams
Injekcija Heparin sodium 50 UI/ml
Injekcija Lidocaine hydrochloride 4 mg/ml
Nekāds 317
Savietojams
Injekcija Heparin sodium 1000 UI/ml
Injekcija Linezolid 2 mg/ml
Nekāds 1925
Savietojams
Injekcija Heparin sodium 10 >> 10000 UI/ml
Injekcija Linezolid 0.2 >> 1.92 mg/ml
Nātrija hlorīds 0.9% 2057
Savietojams
Injekcija Heparin sodium 417 UI/ml
Injekcija Lorazepam 0.33 mg/ml
Nātrija hlorīds 0.9% 186
Savietojams
Injekcija Heparin sodium 100 UI/ml
Injekcija Lorazepam 0.5 mg/ml
314
Savietojams
Injekcija Heparin sodium 1 UI/ml
Injekcija Magnesium sulfate 5 mg/ml
Nātrija hlorīds 0.9% 1228
Savietojams
Injekcija Heparin sodium 50 UI/ml
Injekcija Magnesium sulfate 15.6 mg/ml
Nātrija hlorīds 0.9% 2100
Savietojams
Injekcija Heparin sodium 1 UI/ml
Injekcija Magnesium sulfate 5 mg/ml
Ringera laktāta šķīdums 1228
Savietojams
Injekcija Heparin sodium 1 UI/ml
Injekcija Magnesium sulfate 5 mg/ml
5% glikoze 1228
Savietojams
Injekcija Heparin sodium 100 UI/ml
Injekcija Melphalan 0.1 mg/ml
Nātrija hlorīds 0.9% 169
Savietojams
Injekcija Heparin sodium 0.5 UI/ml
Injekcija Meropenem 0.5 mg/ml
Dianéal® 4.25% glucose (Baxter) 4180
Savietojams
Injekcija Heparin sodium 0.5 UI/ml
Injekcija Meropenem 0.5 mg/ml
Extraneal® (Baxter) 4180
Savietojams
Injekcija Heparin sodium 1000 UI/ml
Injekcija Meropenem 50 mg/ml
Ūdens injekcijām 4319
Savietojams
Injekcija Heparin sodium 1 UI/ml
Injekcija Meropenem 1 & 50 mg/ml
Nātrija hlorīds 0.9% 266
Savietojams
Injekcija Heparin sodium 0.5 UI/ml
Injekcija Meropenem 0.5 mg/ml
Dianéal® 1.5% glucose (Baxter) 4180
Savietojams
Injekcija Heparin sodium 20 UI/ml
Injekcija Meropenem 1 & 20 mg/ml
Nātrija hlorīds 0.9% 266
Savietojams
Injekcija Heparin sodium 0.5 UI/ml
Injekcija Meropenem 0.5 mg/ml
Dianéal® 2.5% glucose (Baxter) 4180
Savietojams
Injekcija Heparin sodium 50 UI/ml
Injekcija Methadone hydrochloride 0.2 mg/ml
5% glikoze 1506
Savietojams
Injekcija Heparin sodium 50 UI/ml
Injekcija Methadone hydrochloride 0.2 mg/ml
Nātrija hlorīds 0.9% 1506
Neprecizēta nesaderība Nesavienojams
Injekcija Heparin sodium
Injekcija Methotrexate sodium
3637
Savietojams
Injekcija Heparin sodium 1000 UI/ml
Injekcija Methotrexate sodium 25 mg/ml
763
Savietojams
Injekcija Heparin sodium 500 UI/ml
Injekcija Methotrexate sodium 30 mg/ml
Nātrija hlorīds 0.9% 150
Savietojams
Injekcija Heparin sodium 100 UI/ml
Injekcija Methylprednisolone sodium succinate 5 mg/ml
5% glikoze 132
Savietojams
Injekcija Heparin sodium 50 UI/ml
Injekcija Methylprednisolone sodium succinate 2.5 mg/ml
Nekāds 317
Savietojams
Injekcija Heparin sodium 100 UI/ml
Injekcija Methylprednisolone sodium succinate 5 mg/ml
Nātrija hlorīds 0.9% 132
Savietojams
Injekcija Heparin sodium 1000 UI/ml
Injekcija Metoclopramide hydrochloride 5 mg/ml
763
Ķīmiskā nestabilitāte Nesavienojams
Injekcija Heparin sodium 1000 UI/ml
Injekcija Metoprolol tartrate 1 mg/ml
Nekāds 2346
Savietojams
Injekcija Heparin sodium 50 UI/ml
Injekcija Metronidazole 5 mg/ml
Nekāds 317
Savietojams
Injekcija Heparin sodium 100 UI/ml
Injekcija Micafungin 1.5 mg/ml
Nātrija hlorīds 0.9% 2108
Tūlītēja duļķainība Nesavienojams
Injekcija Heparin sodium 208,3 UI/ml
Injekcija Midazolam hydrochloride 1 mg/ml
Nātrija hlorīds 0.9% 4698
Savietojams
Injekcija Heparin sodium 500 UI/ml
Injekcija Midazolam hydrochloride 2.1 mg/ml
Nātrija hlorīds 0.9% 3823
Savietojams
Injekcija Heparin sodium 417 UI/ml
Injekcija Midazolam hydrochloride 5 mg/ml
Nekāds 186
Savietojams
Injekcija Heparin sodium 100 UI/ml
Injekcija Midazolam hydrochloride 5 mg/ml
4389
Savietojams
Injekcija Heparin sodium 100 UI/ml
Injekcija Midazolam hydrochloride 2 mg/ml
314
Savietojams
Injekcija Heparin sodium 200 UI/ml
Injekcija Milrinone lactate 0.8 mg/ml
5% glikoze 813
Savietojams
Injekcija Heparin sodium 100 UI/ml
Injekcija Milrinone lactate 0.2 mg/ml
314
Savietojams
Injekcija Heparin sodium 1 UI/ml
Injekcija Minocycline hydrochloride 0.2 mg/ml
5% glikoze 1228
Savietojams
Injekcija Heparin sodium 1 UI/ml
Injekcija Minocycline hydrochloride 0.2 mg/ml
Ringera laktāta šķīdums 1228
Savietojams
Injekcija Heparin sodium 1 UI/ml
Injekcija Minocycline hydrochloride 0.2 mg/ml
Nātrija hlorīds 0.9% 1228
Neprecizēta nesaderība Nesavienojams
Injekcija Heparin sodium
Injekcija Mitoxantrone dihydrochloride
3640
Neprecizēta nesaderība Nesavienojams
Injekcija Heparin sodium
Injekcija Morphine hydrochloride
5069
Savietojams
Injekcija Heparin sodium 100 & 200 UI/ml
Injekcija Morphine sulfate 1 >> 5 mg/ml
Ūdens injekcijām 341
Savietojams
Injekcija Heparin sodium 1 UI/ml
Injekcija Morphine sulfate 15 mg/ml
Ringera laktāta šķīdums 1228
Neprecizēta nesaderība Nesavienojams
Injekcija Heparin sodium
Injekcija Morphine sulfate
3531
Savietojams
Injekcija Heparin sodium 1 UI/ml
Injekcija Morphine sulfate 15 mg/ml
5% glikoze 1228
Savietojams
Injekcija Heparin sodium 1 UI/ml
Injekcija Morphine sulfate 15 mg/ml
Nātrija hlorīds 0.9% 1228
Savietojams
Injekcija Heparin sodium 60 UI/ml
Injekcija Morphine sulfate 1 mg/ml
Nātrija hlorīds 0.9% 406
Savietojams
Injekcija Heparin sodium 100 & 200 UI/ml
Injekcija Morphine sulfate 10 mg/ml
Ūdens injekcijām 341
Savietojams
Injekcija Heparin sodium 100 UI/ml
Injekcija Morphine sulfate 2 mg/ml
314
Ķīmiskā nestabilitāte Nesavienojams
Injekcija Heparin sodium 100 & 200 UI/ml
Injekcija Morphine sulfate 1 >> 10 mg/ml
Nātrija hlorīds 0.9% 341
Savietojams
Injekcija Heparin sodium 1000 UI/ml
Injekcija N-acetylcysteine 200 mg/ml
Nekāds 3766
Savietojams
Injekcija Heparin sodium 50 UI/ml
Injekcija Nafcillin sodium 20 mg/ml
Nekāds 317
Savietojams
Injekcija Heparin sodium 1000 UI/ml
Injekcija Naloxone hydrochloride 0.4 mg/ml
Nekāds 3408
Tūlītēja duļķainība Nesavienojams
Injekcija Heparin sodium 208,3 UI/ml
Injekcija Nefopam 1,7 mg/ml
Nātrija hlorīds 0.9% 4698
Savietojams
Injekcija Heparin sodium 1 UI/ml
Injekcija Neostigmine methylsulfate 0.5 mg/ml
5% glikoze 1228
Savietojams
Injekcija Heparin sodium 1 UI/ml
Injekcija Neostigmine methylsulfate 0.5 mg/ml
Nātrija hlorīds 0.9% 1228
Savietojams
Injekcija Heparin sodium 1 UI/ml
Injekcija Neostigmine methylsulfate 0.5 mg/ml
Ringera laktāta šķīdums 1228
Neprecizēta nesaderība Nesavienojams
Injekcija Heparin sodium
Injekcija Nesiritide
5048
Neprecizēta nesaderība Nesavienojams
Injekcija Heparin sodium
Injekcija Netilmicin sulfate
3540
Tūlītēji nokrišņi Nesavienojams
Injekcija Heparin sodium
Injekcija Netilmicin sulfate
1022
Tūlītēji nokrišņi Nesavienojams
Injekcija Heparin sodium 100 UI/ml
Injekcija Nicardipine hydrochloride 1 mg/ml
314
Neprecizēta nesaderība Nesavienojams
Injekcija Heparin sodium
Injekcija Nicardipine hydrochloride
3540
Savietojams
Injekcija Heparin sodium 40 UI/ml
Injekcija Nicardipine hydrochloride 0.1 mg/ml
5% glikoze 1490
Savietojams
Injekcija Heparin sodium 40 UI/ml
Injekcija Nicardipine hydrochloride 0.1 mg/ml
Nātrija hlorīds 0.9% 1490
Tūlītēji nokrišņi Nesavienojams
Injekcija Heparin sodium 100 UI/ml
Injekcija Nitroglycerin 1,6 >> 3,25 mg/ml
5% glikoze 295
Savietojams
Injekcija Heparin sodium 500 UI/ml
Injekcija Nitroglycerin 0.2 mg/ml
Nātrija hlorīds 0.9% 3823
Gāzes burbuļu veidošanās Nesavienojams
Injekcija Heparin sodium 50 UI/ml
Injekcija Nitroglycerin 0.2 mg/ml
Nekāds 317
Savietojams
Injekcija Heparin sodium 500 UI/ml
Injekcija Nitroglycerin 0.2 mg/ml
5% glikoze 3823
Savietojams
Injekcija Heparin sodium 100 UI/ml
Injekcija Nitroglycerin 0.4 mg/ml
314
Savietojams
Injekcija Heparin sodium 50 UI/ml
Injekcija Nitroprusside sodium 0.2 mg/ml
Nekāds 317
Savietojams
Injekcija Heparin sodium 100 UI/ml
Injekcija Nitroprusside sodium 0.2 mg/ml
5% glikoze 295
Savietojams
Injekcija Heparin sodium 100 UI/ml
Injekcija Norepinephrine bitartrate 0.128 mg/ml
314
Neprecizēta nesaderība Nesavienojams
Injekcija Heparin sodium
Injekcija Ofloxacin
3562
Savietojams
Injekcija Heparin sodium 40 UI/ml
Injekcija Ondansetron hydrochloride 1 mg/ml
Nātrija hlorīds 0.9% 334
Nesavienojams
Injekcija Heparin sodium 200 UI/ml
Injekcija Ondansetron hydrochloride 1.6 mg/ml
1699
Tūlītēja duļķainība Nesavienojams
Injekcija Heparin sodium 100 UI/ml
Injekcija Oritavancin 0.8 >>1.2 mg/ml
5% glikoze 3152
Nokrišņi pēc 4 stundām Nesavienojams
Injekcija Heparin sodium 100 UI/ml
Injekcija Oritavancin 2 mg/ml
5% glikoze 3152
Savietojams
Injekcija Heparin sodium 208 UI/ml
Injekcija Ornidazole 31.25 mg/ml
Nātrija hlorīds 0.9% 4254
Savietojams
Injekcija Heparin sodium 1 UI/ml
Injekcija Oxacillin sodium 100 mg/ml
5% glikoze 1228
Savietojams
Injekcija Heparin sodium 1 UI/ml
Injekcija Oxacillin sodium 100 mg/ml
Ringera laktāta šķīdums 1228
Savietojams
Injekcija Heparin sodium 1 UI/ml
Injekcija Oxacillin sodium 100 mg/ml
Nātrija hlorīds 0.9% 1228
Savietojams
Injekcija Heparin sodium 100 UI/ml
Injekcija Oxaliplatin 0,5 mg/ml
5% glikoze 1662
Neprecizēta nesaderība Nesavienojams
Injekcija Heparin sodium
Injekcija Oxytetracycline hydrochloride
3540
Savietojams
Injekcija Heparin sodium 100 UI/ml
Injekcija Paclitaxel 1.2 mg/ml
5% glikoze 248
Savietojams
Injekcija Heparin sodium 100 UI/ml
Injekcija Palonosetron hydrochloride 50 µg/ml
5% glikoze 2279
Savietojams
Injekcija Heparin sodium 40 UI/ml
Injekcija Pancuronium bromide 0.05 mg/ml
5% glikoze 402
Nokrišņi pēc 1 stundas Nesavienojams
Injekcija Heparin sodium
Injekcija Pantoprazole sodium
2090
Savietojams
Injekcija Heparin sodium 208,3 UI/ml
Injekcija Paracetamol 10 mg/ml
Nātrija hlorīds 0.9% 4698
Savietojams
Injekcija Heparin sodium 1000 UI/ml
Injekcija Paracetamol 10 mg/ml
4742
Savietojams
Injekcija Heparin sodium 100 UI/ml
Injekcija Pemetrexed disodium 20 mg/ml
Nātrija hlorīds 0.9% 1953
Neprecizēta nesaderība Nesavienojams
Injekcija Heparin sodium
Injekcija Penicillin G potassium
3540
Savietojams
Injekcija Heparin sodium 50 UI/ml
Injekcija Penicillin G potassium 0.04 MUI/ml
Nekāds 317
Neprecizēta nesaderība Nesavienojams
Injekcija Heparin sodium
Injekcija Penicillin G sodium
3540
Savietojams
Injekcija Heparin sodium 100 UI/ml
Injekcija Pentoxifyllin 5 mg/ml
Nātrija hlorīds 0.9% 4538
Tūlītēja duļķainība Nesavienojams
Injekcija Heparin sodium
Injekcija Pethidine hydrochloride
3525
Savietojams
Injekcija Heparin sodium 60 UI/ml
Injekcija Pethidine hydrochloride 10 mg/ml
Nātrija hlorīds 0.9% 406
Neprecizēta nesaderība Nesavienojams
Injekcija Heparin sodium
Injekcija Pethidine hydrochloride
3540
Tūlītēji nokrišņi Nesavienojams
Injekcija Heparin sodium 50 UI/ml
Injekcija Phenytoin sodium 2 mg/ml
Nekāds 317
Savietojams
Injekcija Heparin sodium 50 UI/ml
Injekcija Piperacillin sodium 60 mg/ml
Nekāds 317
Savietojams
Injekcija Heparin sodium 10 & 5000 UI/ml
Injekcija Piperacillin sodium 40 mg/ml
Nātrija hlorīds 0.9% 2037
Savietojams
Injekcija Heparin sodium 0.5 UI/ml
Injekcija Piperacillin sodium / tazobactam 0.5/0.0625 mg/ml
Dianéal® 2.5% glucose (Baxter) 4180
Savietojams
Injekcija Heparin sodium 0.5 UI/ml
Injekcija Piperacillin sodium / tazobactam 0.5/0.0625 mg/ml
Dianéal® 4.25% glucose (Baxter) 4180
Tūlītēja duļķainība Nesavienojams
Injekcija Heparin sodium 1000 UI/ml
Injekcija Plazomicin sulfate 24 mg/ml
Nātrija hlorīds 0.9% 4145
Neprecizēta nesaderība Nesavienojams
Injekcija Heparin sodium
Injekcija Polymyxine B
3540
Savietojams
Injekcija Heparin sodium 50 UI/ml
Injekcija Potassium chloride 200 mEq/l
Nekāds 317
Savietojams
Injekcija Heparin sodium 1 UI/ml
Injekcija Procainamide hydrochloride 100 mg/ml
Ringera laktāta šķīdums 1228
Savietojams
Injekcija Heparin sodium 1 UI/ml
Injekcija Procainamide hydrochloride 100 mg/ml
Nātrija hlorīds 0.9% 1228
Savietojams
Injekcija Heparin sodium 1 UI/ml
Injekcija Prochlorperazine edysilate 5 mg/ml
Nātrija hlorīds 0.9% 1228
Savietojams
Injekcija Heparin sodium 3 >> 20 UI/ml
Parenterāla barošana (lipīdu-free) 791
Savietojams
Injekcija Heparin sodium 100 UI/ml
Parenterāla barošana (lipīdu-free) 301
Savietojams
Injekcija Heparin sodium 500 UI/ml
Parenterāla barošana (lipīdu-free) 939
Savietojams
Injekcija Heparin sodium 1 UI/ml
Injekcija Prochlorperazine edysilate 5 mg/ml
Ringera laktāta šķīdums 1228
Savietojams
Injekcija Heparin sodium 1 UI/ml
Injekcija Promethazine hydrochloride 50 mg/ml
Nātrija hlorīds 0.9% 1228
Savietojams
Injekcija Heparin sodium 1 UI/ml
Injekcija Promethazine hydrochloride 50 mg/ml
Ringera laktāta šķīdums 1228
Savietojams
Injekcija Heparin sodium 1 UI/ml
Injekcija Propranolol hydrochloride 1 mg/ml
Ringera laktāta šķīdums 1228
Savietojams
Injekcija Heparin sodium 1 UI/ml
Injekcija Propranolol hydrochloride 1 mg/ml
Nātrija hlorīds 0.9% 1228
Savietojams
Injekcija Heparin sodium 50 UI/ml
Injekcija Ranitidine hydrochloride 0,5 mg/ml
5% glikoze 396
Savietojams
Injekcija Heparin sodium 10 & 40 UI/ml
Injekcija Ranitidine hydrochloride 0.05 & 2 mg/ml
Nātrija hlorīds 0.9% 214
Savietojams
Injekcija Heparin sodium 50 UI/ml
Injekcija Ranitidine hydrochloride 1 mg/ml
Nekāds 317
Savietojams
Injekcija Heparin sodium 1000 UI/ml
Injekcija Remdesivir 1 mg/ml
Nātrija hlorīds 0.9% 4768
Savietojams
Injekcija Heparin sodium 100 UI/ml
Injekcija Remifentanil hydrochloride 25 & 250 µg/ml
Nātrija hlorīds 0.9% 59
Savietojams
Injekcija Heparin sodium 500 UI/ml
Injekcija Remifentanil hydrochloride 100 µg/ml
Nātrija hlorīds 0.9% 3823
Savietojams
Injekcija Heparin sodium 500 UI/ml
NaHCO3 150
Savietojams
Injekcija Heparin sodium 1.4 UI/ml
Injekcija Piperacillin sodium / tazobactam 1.38/0.1725 mg/ml
Physionéal® 2.27 (Baxter) 4180
Savietojams
Injekcija Heparin sodium 1.4 UI/ml
Injekcija Piperacillin sodium / tazobactam 1.38/0.1725 mg/ml
Physionéal® 1.36 (Baxter) 4180
Savietojams
Injekcija Heparin sodium 0.5 UI/ml
Injekcija Piperacillin sodium / tazobactam 0.5/0.0625 mg/ml
Dianéal® 1.5% glucose (Baxter) 4180
Savietojams
Injekcija Heparin sodium 1.4 UI/ml
Injekcija Piperacillin sodium / tazobactam 1.38/0.1725 mg/ml
Physionéal® 3.86 (Baxter) 4180
Savietojams
Injekcija Heparin sodium 100 UI/ml
Injekcija Piperacillin sodium / tazobactam 40/5 mg/ml
5% glikoze 81
Savietojams
Injekcija Heparin sodium 0.5 UI/ml
Injekcija Piperacillin sodium / tazobactam 0.5/0.0625 mg/ml
Extraneal® (Baxter) 4180
Savietojams
Injekcija Heparin sodium 500 UI/ml
Injekcija Potassium chloride 10 mEq/l
Nātrija hlorīds 0.9% 3823
Savietojams
Injekcija Heparin sodium 58,34 UI/ml
Injekcija Potassium chloride 1250 mEq/l
5% glikoze 1289
Savietojams
Injekcija Heparin sodium
Injekcija Potassium phosphate
3781
Savietojams
Injekcija Heparin sodium 1 UI/ml
Injekcija Procainamide hydrochloride 100 mg/ml
5% glikoze 1228
Savietojams
Injekcija Heparin sodium 1 UI/ml
Injekcija Prochlorperazine edysilate 5 mg/ml
5% glikoze 1228
Savietojams
Injekcija Heparin sodium 1 UI/ml
Injekcija Promethazine hydrochloride 50 mg/ml
5% glikoze 1228
Neprecizēta nesaderība Nesavienojams
Injekcija Heparin sodium
Injekcija Promethazine hydrochloride
3540
Emulsijas nestabilitāte pēc 1 stundas Nesavienojams
Injekcija Heparin sodium 1000 UI/ml
Injekcija Propofol
660
Savietojams
Injekcija Heparin sodium 100 UI/ml
Injekcija Propofol 10 mg/ml
Nekāds 300
Savietojams
Injekcija Heparin sodium 1 UI/ml
Injekcija Propranolol hydrochloride 1 mg/ml
5% glikoze 1228
Savietojams
Injekcija Heparin sodium 100 UI/ml
Injekcija Ranitidine hydrochloride 1 mg/ml
314
Savietojams
Injekcija Heparin sodium 10 & 40 UI/ml
Injekcija Ranitidine hydrochloride 0.05 & 2 mg/ml
5% glikoze 214
Savietojams
Injekcija Heparin sodium 416.7 UI/ml
Injekcija Remifentanil hydrochloride 120 µg/ml
5% glikoze 3294
Savietojams
Injekcija Heparin sodium 416.7 UI/ml
Injekcija Remifentanil hydrochloride 120 µg/ml
5% glikoze 3176
Neprecizēta nesaderība Nesavienojams
Injekcija Heparin sodium
Injekcija Reteplase
2212
Savietojams
Injekcija Heparin sodium 20,458 >> 28,000 UI/ml
Parenterāla barošana (ar lipīdiem) 1868
Neprecizēta nesaderība Nesavienojams
Injekcija Heparin sodium
Injekcija Reteplase
3540
Savietojams
Injekcija Heparin sodium 1000 UI/ml
Injekcija Salbutamol sulfate 1 mg/ml
Nekāds 3216
Savietojams
Injekcija Heparin sodium 100 UI/ml
Injekcija Sargramostim 6 §15 µg/ml
Nātrija hlorīds 0.9% 891
Savietojams
Injekcija Heparin sodium 100 UI/ml
Injekcija Sargramostim 10 µg/ml
Nātrija hlorīds 0.9% 335
Savietojams
Injekcija Heparin sodium 1 UI/ml
Injekcija Scopolamine hydrobromide 0.86 mg/ml
Nātrija hlorīds 0.9% 1228
Savietojams
Injekcija Heparin sodium 1 UI/ml
Injekcija Scopolamine hydrobromide 0.86 mg/ml
Ringera laktāta šķīdums 1228
Savietojams
Injekcija Heparin sodium 1 UI/ml
Injekcija Scopolamine hydrobromide 0.86 mg/ml
5% glikoze 1228
Savietojams
Injekcija Heparin sodium 100 UI/ml
Injekcija Sildenafil citrate 0,6 mg/ml
5% glikoze 4845
Savietojams
Injekcija Heparin sodium 100 UI/ml
Injekcija Sildenafil citrate 0,06 mg/ml
5% glikoze 4845
Savietojams
Injekcija Heparin sodium 1 UI/ml
Injekcija Sildenafil citrate 0,4 mg/ml
5% glikoze 3923
Savietojams
Injekcija Heparin sodium 2 UI/ml
Injekcija Sildenafil citrate 0,6 mg/ml
5% glikoze 4845
Savietojams
Injekcija Heparin sodium
Nātrija hlorīds 0.9% 3540
Tūlītēja emulsijas nestabilitāte Nesavienojams
Injekcija Heparin sodium 100 UI/ml
Parenterāla barošana (ar lipīdiem) 132
Tūlītēja duļķainība Nesavienojams
Injekcija Heparin sodium 100 UI/ml
Injekcija Sildenafil citrate 0,6 mg/ml
5% glikoze 4845
Savietojams
Injekcija Heparin sodium 500 UI/ml
Injekcija Sodium bicarbonate 84 mg/ml
Nātrija hlorīds 0.9% 3823
Savietojams
Injekcija Heparin sodium
Injekcija Sodium bicarbonate
3466
Savietojams
Injekcija Heparin sodium 500 UI/ml
Injekcija Sodium bicarbonate 14 mg/ml
Nekāds 150
Savietojams
Injekcija Heparin sodium 500 UI/ml
Injekcija Sodium bicarbonate 84 mg/ml
Nekāds 3212
Savietojams
Injekcija Heparin sodium 208 UI/ml
Injekcija Spiramycine adipate 0.0625 MUI/ml
Nātrija hlorīds 0.9% 4254
Savietojams
Injekcija Heparin sodium 100 UI/ml
Injekcija Streptokinase 30000 UI/ml
5% glikoze 92
Neprecizēta nesaderība Nesavienojams
Injekcija Heparin sodium
Injekcija Streptomycin sulfate
3540
Savietojams
Injekcija Heparin sodium 416.7 UI/ml
Injekcija Sufentanil citrate 0.005 mg/ml
5% glikoze 3294
Savietojams
Injekcija Heparin sodium 1000 UI/ml
Injekcija Sugammadex 100 mg/ml
Nekāds 3372
Savietojams
Injekcija Heparin sodium 10 UI/ml
Injekcija Tacrolimus 1000 µg/ml
Nātrija hlorīds 0.9% 479
Savietojams
Injekcija Heparin sodium 1000 UI/ml
Ringera laktāta šķīdums 4603
Savietojams
Injekcija Heparin sodium 1000 UI/ml
Injekcija Sulbactam/durlobactam 15/15 mg/ml
Nātrija hlorīds 0.9% 4801
Savietojams
Injekcija Heparin sodium 1000 UI/ml
Injekcija Tedizolid phosphate 0.8 mg/ml
Nātrija hlorīds 0.9% 3827
Savietojams
Injekcija Heparin sodium 10 >> 10000 UI/ml
Injekcija Teicoplanine 0.02 >> 10 mg/ml
Nātrija hlorīds 0.9% 2057
Tūlītēja duļķainība Nesavienojams
Injekcija Heparin sodium 1000 UI/ml
Injekcija Telavancin hydrochloride 7,5 mg/ml
5% glikoze 3254
Tūlītēja duļķainība Nesavienojams
Injekcija Heparin sodium 1000 UI/ml
Injekcija Telavancin hydrochloride 7,5 mg/ml
Nātrija hlorīds 0.9% 3254
Savietojams
Injekcija Heparin sodium 1000 UI/ml
Injekcija Telavancin hydrochloride 7.5 mg/ml
Ringera laktāta šķīdums 3254
Tūlītēji nokrišņi Nesavienojams
Injekcija Heparin sodium 1000 UI/ml
Injekcija Thiopental sodium 25 mg/ml
Nātrija hlorīds 0.9% 3767
Tūlītēja emulsijas nestabilitāte Nesavienojams
Injekcija Heparin sodium 1 UI/ml
Parenterāla barošana (ar lipīdiem) 1391
Savietojams
Injekcija Heparin sodium 100 UI/ml
Injekcija Teniposide 0.1 mg/ml
5% glikoze 905
Savietojams
Injekcija Heparin sodium 50 UI/ml
Injekcija Theophylline 4 mg/ml
Nekāds 317
Savietojams
Injekcija Heparin sodium 100 UI/ml
Injekcija Thiopental sodium 25 mg/ml
314
Tūlītēja emulsijas nestabilitāte Nesavienojams
Injekcija Heparin sodium 100 UI/ml
Parenterāla barošana (ar lipīdiem) 1415
Savietojams
Injekcija Heparin sodium 500 UI/ml
Injekcija Thiopental sodium 60 mg/ml
Nātrija hlorīds 0.9% 3823
Savietojams
Injekcija Heparin sodium 100 UI/ml
Injekcija Thiotepa 1 mg/ml
5% glikoze 249
Savietojams
Injekcija Heparin sodium 50 UI/ml
Injekcija Ticarcillin / clavulanic acid 31 mg/ml
Nekāds 317
Savietojams
Injekcija Heparin sodium 500 UI/ml
Injekcija Tirofiban 250 µg/ml
Nātrija hlorīds 0.9% 3823
Savietojams
Injekcija Heparin sodium 40 & 100 UI/ml
Injekcija Tirofiban 50 µg/ml
Nātrija hlorīds 0.9% 1420
Savietojams
Injekcija Heparin sodium
5% glikoze 3540
Savietojams
Injekcija Heparin sodium
Injekcija Tirofiban
1512
Savietojams
Injekcija Heparin sodium 40 & 100 UI/ml
Injekcija Tirofiban 50 µg/ml
5% glikoze 1420
Neprecizēta nesaderība Nesavienojams
Injekcija Heparin sodium 50 UI/ml
Injekcija Tobramycin sulfate 0.8 mg/ml
Nekāds 317
Neprecizēta nesaderība Nesavienojams
Injekcija Heparin sodium
Injekcija Tobramycin sulfate
3540
Savietojams
Injekcija Heparin sodium
Injekcija Tranexamic acid
5016
Neprecizēta nesaderība Nesavienojams
Injekcija Heparin sodium
Injekcija Triflupromazine hydrochloride
3540
Savietojams
Injekcija Heparin sodium 500 UI/ml
Injekcija Urapidil 5 mg/ml
Nātrija hlorīds 0.9% 3823
Tūlītēji nokrišņi Nesavienojams
Injekcija Heparin sodium 0,5 >> 14,3 UI/ml
Injekcija Vancomycin hydrochloride 6,9 >> 14,3 mg/ml
Dianéal® PD1 4.25% glikoze (Baxter) 2375
Neprecizēta nesaderība Nesavienojams
Injekcija Heparin sodium
Injekcija Vancomycin hydrochloride
3588
Neprecizēta nesaderība Nesavienojams
Injekcija Heparin sodium
Injekcija Vancomycin hydrochloride
3540
Savietojams
Injekcija Heparin sodium 0,5 >> 14,3 UI/ml
Injekcija Vancomycin hydrochloride 0,015 >> 6,8 mg/ml
Dianéal® PD2 2.5% glucose (Baxter) 2375
Tūlītēji nokrišņi Nesavienojams
Injekcija Heparin sodium 0,5 >> 14,3 UI/ml
Injekcija Vancomycin hydrochloride 6,9 >> 14,3 mg/ml
Dianéal® PD2 2.5% glucose (Baxter) 2375
Savietojams
Injekcija Heparin sodium 10 UI/ml
Injekcija Vancomycin hydrochloride 0.025 mg/ml
Ūdens injekcijām 3125
Savietojams
Injekcija Heparin sodium 0,5 >> 14,3 UI/ml
Injekcija Vancomycin hydrochloride 0,015 >> 6,8 mg/ml
Dianéal® PD1 4.25% glikoze (Baxter) 2375
Neprecizēta nesaderība Nesavienojams
Injekcija Heparin sodium 50 UI/ml
Injekcija Vancomycin hydrochloride 6.6 mg/ml
Nekāds 317
Savietojams
Injekcija Heparin sodium 100 UI/ml
Injekcija Vancomycin hydrochloride 0.025 mg/ml
Nātrija hlorīds 0.9% 1414
Savietojams
Injekcija Heparin sodium 10 UI/ml
Injekcija Vancomycin hydrochloride 2 mg/ml
Nātrija hlorīds 0.9% 2037
Tūlītēji nokrišņi Nesavienojams
Injekcija Heparin sodium 100 UI/ml
Injekcija Vancomycin hydrochloride 10 mg/ml
Parenterāla barošana (lipīdu-free) 132
Savietojams
Injekcija Heparin sodium 5000 UI/ml
Injekcija Vancomycin hydrochloride 2.5 mg/ml
Nātrija hlorīds 0.9% 2037
Savietojams
Injekcija Heparin sodium 100 UI/ml
Injekcija Vancomycin hydrochloride 0.025 mg/ml
Nātrija hlorīds 0.9% 895
Savietojams
Injekcija Heparin sodium 100 UI/ml
Injekcija Vasopressin 2 & 4 UI/ml
Nātrija hlorīds 0.9% 1801
Savietojams
Injekcija Heparin sodium 100 UI/ml
Injekcija Vecuronium bromide 1 mg/ml
314
Savietojams
Injekcija Heparin sodium 40 UI/ml
Injekcija Vecuronium bromide 0.1 mg/ml
5% glikoze 402
Savietojams
Injekcija Heparin sodium 20 UI/ml
Injekcija Verapamil hydrochloride 0.08 mg/ml
Nātrija hlorīds 0.9% 1057
Savietojams
Injekcija Heparin sodium 20 UI/ml
Injekcija Verapamil hydrochloride 0.08 mg/ml
5% glikoze 1057
Neprecizēta nesaderība Nesavienojams
Injekcija Heparin sodium
Injekcija Vinblastine sulfate
3540
Savietojams
Injekcija Heparin sodium 1000 UI/ml
Injekcija Vinblastine sulfate 1 mg/ml
763
Savietojams
Injekcija Heparin sodium 1000 UI/ml
Injekcija Vincristine sulfate 1 mg/ml
763
Savietojams
Injekcija Heparin sodium 100 UI/ml
Injekcija Vinorelbine tartrate 1 mg/ml
Nātrija hlorīds 0.9% 84
Savietojams
Injekcija Heparin sodium 100 UI/ml
Injekcija Vinorelbine tartrate 1 mg/ml
Nātrija hlorīds 0.9% 1070
Tūlītēji nokrišņi Nesavienojams
Injekcija Heparin sodium 10 & 100 UI/ml
Injekcija Vinorelbine tartrate 2 & 3 mg/ml
Nātrija hlorīds 0.9% 1070
Savietojams
Injekcija Heparin sodium 208 UI/ml
Injekcija Voriconazole 8 mg/ml
5% glikoze 4254
Savietojams
Injekcija Heparin sodium 208 UI/ml
Injekcija Voriconazole 8 mg/ml
Nātrija hlorīds 0.9% 4254
Savietojams
Injekcija Heparin sodium 100 UI/ml
Injekcija Warfarin sodium 2 mg/ml
5% glikoze 315
Savietojams
Injekcija Heparin sodium 100 UI/ml
Injekcija Zidovudine 4 mg/ml
5% glikoze 337

  Mentions Légales