最新更新 :
18/03/2026
抗凝血药   Heparin sodium  
注射液
溶液稳定性 混合物稳定性 影响稳定性的因素 兼容性 用药途径 引用文献 PDF
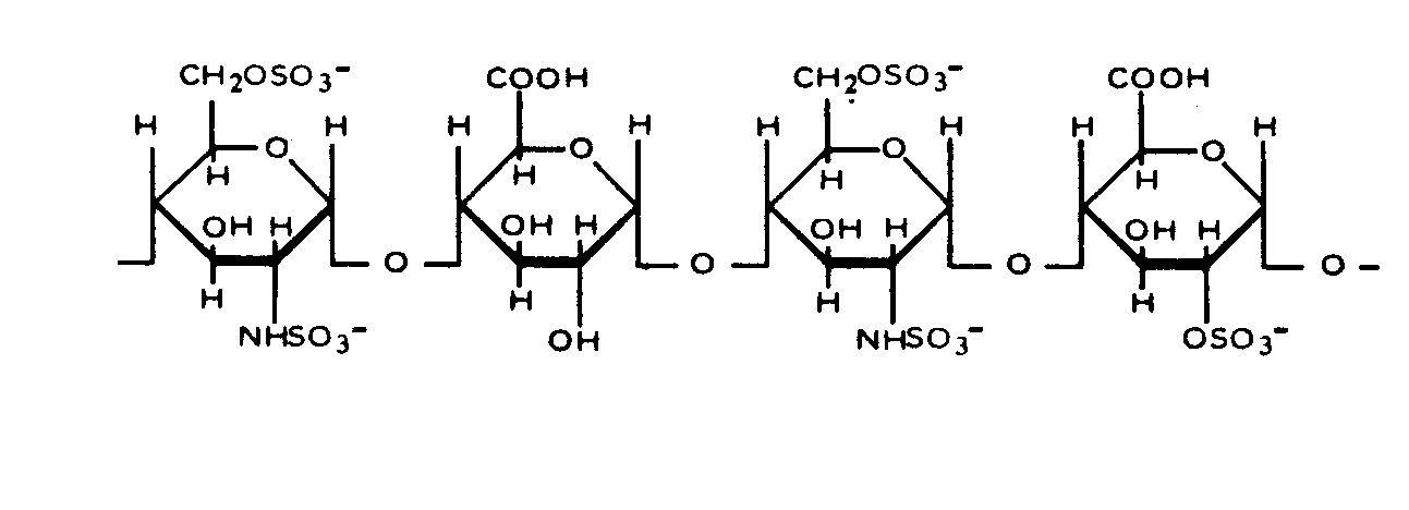
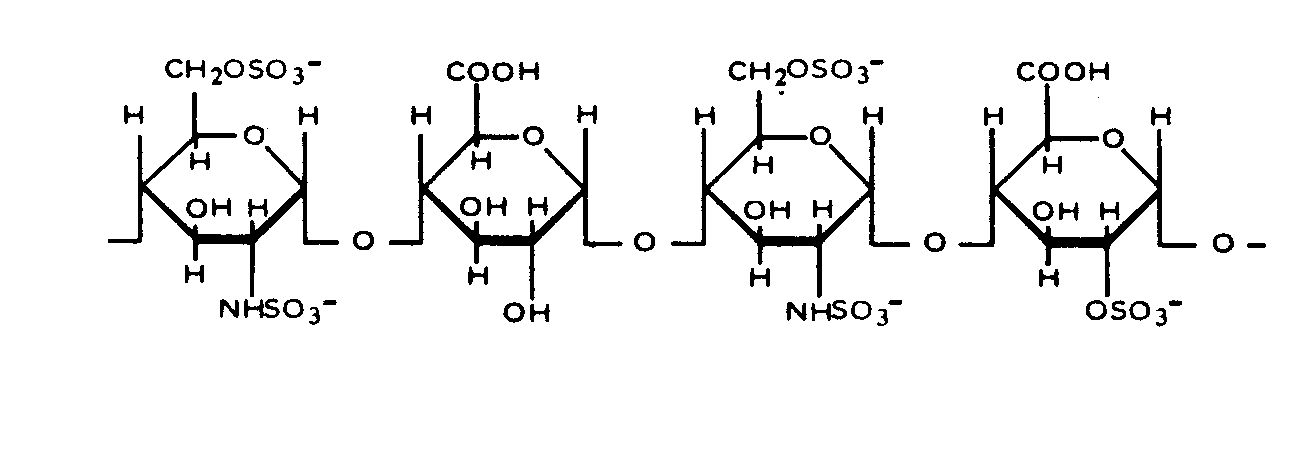
   化学式  

商品名   商品名     

商品名仅供参考, 药品所用的辅料可能依国家或厂商不同有所不同。

Arapin 智利
Ateroclar 意大利
Clarisco 意大利
Epsoclar 意大利
Hepaflex 挪威, 芬兰
Hepamax 厄瓜多尔, 哥伦比亚, 智利
Heparin 丹麦, 俄罗斯, 加拿大, 匈牙利, 南非, 土耳其, 塞尔维亚, 奥地利, 希腊, 挪威, 泰国, 瑞典, 瑞士, 美国, 芬兰, 英国, 荷兰
Heparine 比利时, 法国
Heparinised 澳大利亚
Heparstad 德国
Liquemin 土耳其, 瑞士
Liquemine 巴西
Monoparin 沙特阿拉伯
Normoparin 意大利
Nuparin 厄瓜多尔
Pharepa 意大利
Riveparin 阿根廷
Sobrius 厄瓜多尔, 阿根廷
Thrombophob 德国
兼容性   注射液   兼容性 : Heparin sodium              
This screen indicates the compatibilities or incompatibilities with, in this case, the type of incompatibility (precipitation, color change, modification of an emulsion, etc.). The compatibilities shown here are mostly physical only, with the chemical stability of each molecule rarely being assessed. The evaluation of these mixtures was studied to consider the possibility of Y-site administration to the patient. These data cannot be used for making mixtures in advance in bags or syringes. This type of information is available in the screen "Stability in mixture ».
分子 溶剂 引用文献
兼容
注射液 Heparin sodium 100 UI/ml
注射液 Aciclovir sodium 5 mg/ml
NaCl 0,9% 2335
兼容
注射液 Heparin sodium 50 UI/ml
注射液 Aciclovir sodium 5 mg/ml
葡萄糖5% 336
兼容
注射液 Heparin sodium 100 UI/ml
注射液 Aldesleukin 0.0338 MUI/ml
葡萄糖5% 36
兼容
注射液 Heparin sodium 100 UI/ml
注射液 Allopurinol sodium 3 mg/ml
NaCl 0,9% 307
兼容
注射液 Heparin sodium 1 UI/ml
注射液 Alprostadil 20 µg/ml
NaCl 0,9% 4491
兼容
注射液 Heparin sodium 1 UI/ml
注射液 Alprostadil 20 µg/ml
葡萄糖5% 4651
24小時後出現沉澱 不相容
注射液 Heparin sodium 100 UI/ml
注射液 Alteplase 1 mg/ml
注射用水 92
未指定的不兼容性 不相容
注射液 Heparin sodium
注射液 Alteplase
3540
立即沉澱 不相容
注射液 Heparin sodium 40 UI/ml
注射液 Alteplase 0.5 mg/ml
注射用水 240
未指定的不兼容性 不相容
注射液 Heparin sodium
注射液 Alteplase
3616
兼容
注射液 Heparin sodium 100 UI/ml
注射液 Amifostine 10 mg/ml
葡萄糖5% 3
立即沉澱 不相容
注射液 Heparin sodium
注射液 Amikacin sulfate
1022
未指定的不兼容性 不相容
注射液 Heparin sodium
注射液 Amikacin sulfate
3549
未指定的不兼容性 不相容
注射液 Heparin sodium
注射液 Amikacin sulfate
3540
未指定的不兼容性 不相容
注射液 Heparin sodium 500 UI/ml
注射液 Amiodarone hydrochloride 15 mg/ml
NaCl 0,9% 3823
未指定的不兼容性 不相容
注射液 Heparin sodium
注射液 Amiodarone hydrochloride
3540
立即渾濁 不相容
注射液 Heparin sodium 500 UI/ml
注射液 Amiodarone hydrochloride 15 mg/ml
NaCl 0,9% 3463
未指定的不兼容性 不相容
注射液 Heparin sodium
注射液 Amiodarone hydrochloride
3464
未指定的不兼容性 不相容
注射液 Heparin sodium 500 UI/ml
注射液 Amiodarone hydrochloride 15 mg/ml
葡萄糖5% 3823
立即渾濁 不相容
注射液 Heparin sodium 500 UI/ml
注射液 Amiodarone hydrochloride 15 mg/ml
葡萄糖5% 3463
兼容
注射液 Heparin sodium 208 UI/ml
注射液 Amoxicillin sodium 20.83 & 83.3 mg/ml
NaCl 0,9% 4254
兼容
注射液 Heparin sodium 1000 UI/ml
注射液 Amoxicillin sodium / clavulanic acid 100/10 mg/ml
3824
兼容
注射液 Heparin sodium
注射液 Ampicillin sodium
5088
兼容
注射液 Heparin sodium 50 UI/ml
注射液 Ampicillin sodium 20 mg/ml
无 317
兼容
注射液 Heparin sodium 50 UI/ml
注射液 Ampicillin sodium - sulbactam sodium 30 mg/ml
无 317
立即沉澱 不相容
注射液 Heparin sodium 40 UI/ml
注射液 Amsacrine 1 mg/ml
葡萄糖5% 253
兼容
注射液 Heparin sodium 100 UI/ml
注射液 Anidulafungin 0.5 mg/ml
葡萄糖5% 1982
立即沉澱 不相容
注射液 Heparin sodium
注射液 Antithymocyte globulin (rabbit)
4958
立即沉澱 不相容
注射液 Heparin sodium 2 UI/ml
注射液 Antithymocyte globulin (rabbit) 0,2 & 0,3 mg/ml
葡萄糖5% 1822
兼容
注射液 Heparin sodium 100 UI/ml
注射液 Antithymocyte globulin (rabbit) 0,2 & 0,3 mg/ml
葡萄糖5% 1822
兼容
注射液 Heparin sodium 2 & 100 UI/ml
注射液 Antithymocyte globulin (rabbit) 0,2 & 0,3 mg/ml
NaCl 0,9% 1822
兼容
注射液 Heparin sodium 40 UI/ml
注射液 Atracurium besylate 0.5 mg/ml
葡萄糖5% 402
兼容
注射液 Heparin sodium 1 UI/ml
注射液 Atropine sulfate 0.5 mg/ml
葡萄糖5% 1228
兼容
注射液 Heparin sodium 500 UI/ml
肠外营养(含脂肪) 4507
立即沉澱 不相容
注射液 Heparin sodium 1000 UI/ml
注射液 Amphotericin B cholesteryl sulfate complex 0.83 mg/ml
葡萄糖5% 921
未指定的不兼容性 不相容
注射液 Heparin sodium
注射液 Ampicillin sodium
3540
兼容
注射液 Heparin sodium 10 & 5000 UI/ml
注射液 Ampicillin sodium 10 mg/ml
NaCl 0,9% 2037
兼容
注射液 Heparin sodium 1 UI/ml
注射液 Atropine sulfate 0.5 mg/ml
Ringer乳酸溶液 1228
兼容
注射液 Heparin sodium 1 UI/ml
注射液 Atropine sulfate 0.5 mg/ml
NaCl 0,9% 1228
兼容
注射液 Heparin sodium 100 UI/ml
注射液 Aztreonam 40 mg/ml
葡萄糖5% 99
兼容
注射液 Heparin sodium 50 UI/ml
注射液 Aztreonam 20 mg/ml
无 317
兼容
注射液 Heparin sodium 1 UI/ml
注射液 Betamethasone sodium phosphate 3 mg/ml
NaCl 0,9% 1228
兼容
注射液 Heparin sodium 1 UI/ml
注射液 Betamethasone sodium phosphate 3 mg/ml
葡萄糖5% 1228
兼容
注射液 Heparin sodium 1 UI/ml
注射液 Betamethasone sodium phosphate 3 mg/ml
Ringer乳酸溶液 1228
兼容
注射液 Heparin sodium 100 UI/ml
注射液 Bivalirudin 5 mg/ml
葡萄糖5% 1713
立即沉澱 不相容
注射液 Heparin sodium 192.3 UI/ml
注射液 Blinatumomab 0.125 & 0.375 µg/ml
NaCl 0,9% 3976
兼容
注射液 Heparin sodium 1000 UI/ml
注射液 Caffeine 10 mg/ml
无 3964
兼容
注射液 Heparin sodium 100 UI/ml
注射液 Caffeine 10 mg/ml
NaCl 0,9% 4837
兼容
注射液 Heparin sodium 100 UI/ml
注射液 Caffeine citrate 20 mg/ml
NaCl 0,9% 4837
30分鐘後析出 不相容
注射液 Heparin sodium 2 UI/ml
注射液 Calcium chloride 20 mg/ml
葡萄糖5% 4732
兼容
注射液 Heparin sodium 100 UI/ml
注射液 Calcium chloride 20 mg/ml
葡萄糖5% 4732
乳液立即不穩定 不相容
注射液 Heparin sodium
注射液 Calcium chloride
肠外营养(含脂肪) 1084
乳液立即不穩定 不相容
注射液 Heparin sodium
注射液 Calcium gluconate
肠外营养(含脂肪) 1084
立即沉澱 不相容
注射液 Heparin sodium 100 UI/ml
注射液 Caspofungin acetate 0.5 mg/ml
NaCl 0,9% 2233
立即沉澱 不相容
注射液 Heparin sodium 100 UI/ml
注射液 Caspofungin acetate 0,7 mg/ml
NaCl 0,9% 2247
未指定的不兼容性 不相容
注射液 Heparin sodium
注射液 Cefalotin sodium
3540
兼容
注射液 Heparin sodium 10 & 5000 UI/ml
注射液 Cefazolin sodium 10 mg/ml
NaCl 0,9% 2037
兼容
注射液 Heparin sodium 50 UI/ml
注射液 Cefazolin sodium 20 mg/ml
无 317
兼容
注射液 Heparin sodium 0.667 UI/ml
注射液 Cefazolin sodium 0.333 mg/ml
Dianéal® PD2 1.5% 葡萄糖 (Baxter) 1979
兼容
注射液 Heparin sodium 10 & 50 UI/ml
注射液 Cefepime dihydrochloride 4 mg/ml
NaCl 0,9% 3548
兼容
注射液 Heparin sodium 10 & 50 UI/ml
注射液 Cefepime dihydrochloride 4 mg/ml
葡萄糖5% 3548
兼容
注射液 Heparin sodium 1000 UI/ml
注射液 Cefiderocol sulfate tosylate 20 mg/mL
葡萄糖5% 4528
兼容
注射液 Heparin sodium 1000 UI/ml
注射液 Cefiderocol sulfate tosylate 20 mg/mL
NaCl 0,9% 4528
化學不穩定性 不相容
注射液 Heparin sodium 100 UI/ml
注射液 Cefmetazole sodium 100 mg/ml
注射用水 93
兼容
注射液 Heparin sodium 208 UI/ml
注射液 Cefotaxime sodium 41.6 & 125 mg/ml
葡萄糖5% 4254
兼容
注射液 Heparin sodium 208 UI/ml
注射液 Cefotaxime sodium 41.6 & 125 mg/ml
NaCl 0,9% 4254
兼容
注射液 Heparin sodium 5000 UI/ml
注射液 Cefotaxime sodium 10 mg/ml
注射用水 3125
兼容
注射液 Heparin sodium 100 UI/ml
注射液 Ceftaroline fosamil 2,22 mg/ml
Ringer乳酸溶液 3249
兼容
注射液 Heparin sodium 100 UI/ml
注射液 Ceftaroline fosamil 2,22 mg/ml
NaCl 0,9% 3249
兼容
注射液 Heparin sodium 100 UI/ml
注射液 Ceftaroline fosamil 2,22 mg/ml
葡萄糖5% 3249
兼容
注射液 Heparin sodium 0.5 UI/ml
注射液 Ceftazidime 0.125 mg/ml
Extraneal® (Baxter) 4056
兼容
注射液 Heparin sodium 0.5 UI/ml
注射液 Ceftazidime 0.125 mg/ml
Dianéal® PD2 4.25% 葡萄糖(Baxter) 4056
兼容
注射液 Heparin sodium 50 UI/ml
注射液 Ceftazidime 20 mg/ml
无 317
兼容
注射液 Heparin sodium 0.5 UI/ml
注射液 Ceftazidime 0.125 mg/ml
Dianéal® PD2 2.5% 葡萄糖 (Baxter) 4056
兼容
注射液 Heparin sodium 100 UI/ml
注射液 Ceftobiprole medocaril sodium 2 mg/ml
NaCl 0,9% 2269
兼容
注射液 Heparin sodium 100 UI/ml
注射液 Ceftobiprole medocaril sodium 2 mg/ml
葡萄糖5% 2269
兼容
注射液 Heparin sodium 100 UI/ml
注射液 Ceftobiprole medocaril sodium 2 mg/ml
Ringer乳酸溶液 2269
兼容
注射液 Heparin sodium 1000 UI/ml
注射液 Ceftolozane / tazobactam 10/5 mg/ml
NaCl 0,9% 3828
兼容
注射液 Heparin sodium 1000 UI/ml
注射液 Ceftolozane / tazobactam 10/5 mg/ml
葡萄糖5% 3828
兼容
注射液 Heparin sodium 50 UI/ml
注射液 Ceftriaxone disodium 20 mg/ml
无 317
兼容
注射液 Heparin sodium 10 & 50 UI/ml
注射液 Cefuroxime sodium
NaCl 0,9% 3687
兼容
注射液 Heparin sodium 58,34 UI/ml
注射液 Chlorpromazine hydrochloride 0,26 mg/ml
葡萄糖5% 1289
兼容
注射液 Heparin sodium 1 UI/ml
注射液 Chlorpromazine hydrochloride 10 mg/ml
NaCl 0,9% 1228
兼容
注射液 Heparin sodium 1 UI/ml
注射液 Chlorpromazine hydrochloride 10 mg/ml
葡萄糖5% 1228
未指定的不兼容性 不相容
注射液 Heparin sodium
注射液 Chlorpromazine hydrochloride
3540
兼容
注射液 Heparin sodium 1 UI/ml
注射液 Chlorpromazine hydrochloride 10 mg/ml
Ringer乳酸溶液 1228
兼容
注射液 Heparin sodium 50 UI/ml
注射液 Cimetidine hydrochloride 6 mg/ml
无 317
兼容
注射液 Heparin sodium 5000 & 10000 UI/ml
注射液 Ciprofloxacin lactate 0.4 & 0.6 mg/ml
NaCl 0,9% 2057
立即沉澱 不相容
注射液 Heparin sodium 10 >> 10000 UI/ml
注射液 Ciprofloxacin lactate 1 mg/ml
NaCl 0,9% 2057
立即沉澱 不相容
注射液 Heparin sodium 10 & 100 UI/ml
注射液 Ciprofloxacin lactate 0.2 mg/ml
NaCl 0,9% 2057
未指定的不兼容性 不相容
注射液 Heparin sodium
注射液 Ciprofloxacin lactate
3540
立即沉澱 不相容
注射液 Heparin sodium 10 >> 1000 UI/ml
注射液 Ciprofloxacin lactate 0.4 & 0.6 mg/ml
NaCl 0,9% 2057
兼容
注射液 Heparin sodium 1000 >> 10000 UI/ml
注射液 Ciprofloxacin lactate 0.2 mg/ml
NaCl 0,9% 2057
立即沉澱 不相容
注射液 Heparin sodium 10 >> 5000 UI/ml
注射液 Ciprofloxacin lactate 0.8 mg/ml
NaCl 0,9% 2057
兼容
注射液 Heparin sodium 10 >> 10000 UI/ml
注射液 Ciprofloxacin lactate 0.1 mg/ml
NaCl 0,9% 2057
立即沉澱 不相容
注射液 Heparin sodium 100 UI/ml
注射液 Ciprofloxacin lactate 2 mg/ml
NaCl 0,9% 288
未指定的不兼容性 不相容
注射液 Heparin sodium
注射液 Ciprofloxacin lactate
3529
立即沉澱 不相容
注射液 Heparin sodium 100 UI/ml
注射液 Ciprofloxacin lactate 2 mg/ml
葡萄糖5% 288
立即沉澱 不相容
注射液 Heparin sodium 10 >> 1000 UI/ml
注射液 Ciprofloxacin lactate 2 mg/ml
NaCl 0,9% 289
立即渾濁 不相容
注射液 Heparin sodium 10 UI/ml
注射液 Ciprofloxacin lactate 2 mg/ml
无 1393
兼容
注射液 Heparin sodium 10000 UI/ml
注射液 Ciprofloxacin lactate 0.8 mg/ml
NaCl 0,9% 2057
兼容
注射液 Heparin sodium 100 UI/ml
注射液 Cisatracurium besylate 0.1 & 2 mg/ml
葡萄糖5% 299
立即沉澱 不相容
注射液 Heparin sodium 100 UI/ml
注射液 Cisatracurium besylate 5 mg/ml
葡萄糖5% 299
顏色變化 不相容
注射液 Heparin sodium 500 UI/ml
注射液 Cisatracurium besylate 5 mg/ml
NaCl 0,9% 3463
未指定的不兼容性 不相容
注射液 Heparin sodium 500 UI/ml
注射液 Cisatracurium besylate 5 mg/ml
NaCl 0,9% 3823
未指定的不兼容性 不相容
注射液 Heparin sodium
注射液 Cisatracurium besylate
3540
兼容
注射液 Heparin sodium 100 UI/ml
注射液 Cladribine 0.5 mg/ml
NaCl 0,9%+抗生素 1496
兼容
注射液 Heparin sodium 100 UI/ml
注射液 Cladribine 0.015 mg/ml
NaCl 0,9% 1496
兼容
注射液 Heparin sodium 50 UI/ml
注射液 Clindamycin phosphate 12 mg/ml
无 317
兼容
注射液 Heparin sodium 50 UI/ml
注射液 Clonidine hydrochloride 0.0075 mg/ml
NaCl 0,9% 1506
兼容
注射液 Heparin sodium 50 UI/ml
注射液 Clonidine hydrochloride 0.0075 mg/ml
葡萄糖5% 1506
兼容
注射液 Heparin sodium 100 UI/ml
注射液 Cloxacillin sodium 100 mg/ml
注射用水 3012
4小時後出現沉澱 不相容
注射液 Heparin sodium 208 UI/ml
注射液 Co-trimoxazole 3.2/0.64 & 80/16 mg/ml
NaCl 0,9% 4254
4小時後出現沉澱 不相容
注射液 Heparin sodium 208 UI/ml
注射液 Co-trimoxazole 3.2/0.64 & 80/16 mg/ml
葡萄糖5% 4254
兼容
注射液 Heparin sodium 1 UI/ml
注射液 Cyanocobalamine 0.1 mg/ml
Ringer乳酸溶液 1228
兼容
注射液 Heparin sodium 1 UI/ml
注射液 Cyanocobalamine 0.1 mg/ml
葡萄糖5% 1228
兼容
注射液 Heparin sodium 1 UI/ml
注射液 Cyanocobalamine 0.1 mg/ml
NaCl 0,9% 1228
未指定的不兼容性 不相容
注射液 Heparin sodium
注射液 Cytarabine
3540
未指定的不兼容性 不相容
注射液 Heparin sodium
注射液 Cytarabine
3580
未指定的不兼容性 不相容
注射液 Heparin sodium
注射液 Dacarbazine
3605
立即沉澱 不相容
注射液 Heparin sodium 100 UI/ml
注射液 Dacarbazine 25 mg/ml
NaCl 0,9% 860
未指定的不兼容性 不相容
注射液 Heparin sodium
注射液 Dacarbazine
3267
未指定的不兼容性 不相容
注射液 Heparin sodium
注射液 Dacarbazine
3540
兼容
注射液 Heparin sodium
注射液 Daptomycin
2271
兼容
注射液 Heparin sodium 98 UI/ml
注射液 Daptomycin 19,6 mg/ml
NaCl 0,9% 1937
立即沉澱 不相容
注射液 Heparin sodium
注射液 Daunorubicin hydrochloride
3604
未指定的不兼容性 不相容
注射液 Heparin sodium
注射液 Daunorubicin hydrochloride
3540
立即沉澱 不相容
注射液 Heparin sodium
注射液 Daunorubicin hydrochloride liposome
3577
立即渾濁 不相容
注射液 Heparin sodium
注射液 Daunorubicin/cytarabine liposomale 0,4 mg/mL
NaCl 0,9% 4654
兼容
注射液 Heparin sodium 373 UI/ml
注射液 Defibrotide 8 mg/ml
NaCl 0,9% 3728
兼容
注射液 Heparin sodium 50 UI/ml
注射液 Dexamethasone sodium phosphate 0.08 mg/ml
无 317
兼容
注射液 Heparin sodium
注射液 Dexketoprofen
4981
兼容
注射液 Heparin sodium 100 UI/ml
注射液 Dexmedetomidine 4 µg/ml
NaCl 0,9% 1712
兼容
注射液 Heparin sodium 10000 UI/ml
注射液 Diatrizoate meglumine 283 mg/ml
无 1085
未指定的不兼容性 不相容
注射液 Heparin sodium
注射液 Diazepam
3540
兼容
注射液 Heparin sodium 100 UI/ml
注射液 Diltiazem hydrochloride 1 mg/ml
314
立即沉澱 不相容
注射液 Heparin sodium 20000 UI/ml
注射液 Diltiazem hydrochloride 5 mg/ml
NaCl 0,9% 198
兼容
注射液 Heparin sodium 100 UI/ml
注射液 Diltiazem hydrochloride 1 mg/ml
葡萄糖5% 4556
立即渾濁 不相容
注射液 Heparin sodium 100 UI/ml
注射液 Diltiazem hydrochloride 5 mg/ml
葡萄糖5% 4556
兼容
注射液 Heparin sodium 20000 UI/ml
注射液 Diltiazem hydrochloride 1 mg/ml
NaCl 0,9% 198
兼容
注射液 Heparin sodium
注射液 Diltiazem hydrochloride
5090
兼容
注射液 Heparin sodium 80 >> 10000 UI/ml
注射液 Diltiazem hydrochloride 1 & 5 mg/ml
NaCl 0,9% 198
立即沉澱 不相容
注射液 Heparin sodium
注射液 Dimenhydrinate
2087
兼容
注射液 Heparin sodium 1 UI/ml
注射液 Diphenhydramine hydrochloride 50 mg/ml
NaCl 0,9% 1228
兼容
注射液 Heparin sodium 1 UI/ml
注射液 Diphenhydramine hydrochloride 50 mg/ml
葡萄糖5% 1228
兼容
注射液 Heparin sodium 1 UI/ml
注射液 Diphenhydramine hydrochloride 50 mg/ml
Ringer乳酸溶液 1228
4小時後出現沉澱 不相容
注射液 Heparin sodium 100 UI/ml
注射液 Dobutamine hydrochloride 4 mg/ml
314
兼容
注射液 Heparin sodium 40 UI/ml
注射液 Dobutamine hydrochloride 1 mg/ml
NaCl 0,9% 1058
兼容
注射液 Heparin sodium 100 UI/ml
注射液 Dobutamine hydrochloride 2 mg/ml
葡萄糖5% 1041
立即沉澱 不相容
注射液 Heparin sodium 100 UI/ml
注射液 Dobutamine hydrochloride 2 mg/ml
葡萄糖5% 1352
立即渾濁 不相容
注射液 Heparin sodium 100 UI/ml
注射液 Dobutamine hydrochloride 4 mg/ml
葡萄糖5% 295
立即沉澱 不相容
注射液 Heparin sodium
注射液 Dobutamine hydrochloride
3540
6小時後變色 不相容
注射液 Heparin sodium 10000 UI/ml
注射液 Dobutamine hydrochloride 2 mg/ml
葡萄糖5% 1041
兼容
注射液 Heparin sodium 40 UI/ml
注射液 Dobutamine hydrochloride 1 mg/ml
葡萄糖5% 1058
兼容
注射液 Heparin sodium 50 UI/ml
注射液 Dobutamine hydrochloride 1 mg/ml
无 317
兼容
注射液 Heparin sodium 100 UI/ml
注射液 Docetaxel 0.9 mg/ml
葡萄糖5% 1754
兼容
注射液 Heparin sodium 1 UI/ml
注射液 Dopamine hydrochloride 40 mg/ml
NaCl 0,9% 1228
兼容
注射液 Heparin sodium 50 UI/ml
注射液 Dopamine hydrochloride 1.6 mg/ml
无 317
兼容
注射液 Heparin sodium 100 UI/ml
注射液 Dopamine hydrochloride 3.2 mg/ml
314
兼容
注射液 Heparin sodium 1 UI/ml
注射液 Dopamine hydrochloride 40 mg/ml
Ringer乳酸溶液 1228
兼容
注射液 Heparin sodium 200 UI/ml
注射液 Dopamine hydrochloride 0.8 mg/ml
葡萄糖5% 738
兼容
注射液 Heparin sodium 1 UI/ml
注射液 Dopamine hydrochloride 40 mg/ml
葡萄糖5% 1228
兼容
注射液 Heparin sodium 100 UI/ml
注射液 Dopamine hydrochloride 3,2 mg/ml
4389
未指定的不兼容性 不相容
注射液 Heparin sodium 187 UI/ml
注射液 Dopamine hydrochloride 1,7 >> 3,4 mg/ml
葡萄糖5% 377
兼容
注射液 Heparin sodium 100 UI/ml
注射液 Doripenem 5 mg/ml
NaCl 0,9% 2262
兼容
注射液 Heparin sodium 100 UI/ml
注射液 Doripenem 5 mg/ml
葡萄糖5% 2262
兼容
注射液 Heparin sodium 1 UI/ml
注射液 Doxapram hydrochloride 2 mg/ml
葡萄糖5% 1802
未指定的不兼容性 不相容
注射液 Heparin sodium
注射液 Doxorubicin hydrochloride
3540
立即沉澱 不相容
注射液 Heparin sodium
注射液 Doxorubicin hydrochloride
3645
立即沉澱 不相容
注射液 Heparin sodium 1000 UI/ml
注射液 Doxorubicin hydrochloride 2 mg/ml
763
兼容
注射液 Heparin sodium 1000 UI/ml
注射液 Doxorubicin hydrochloride liposome peg 0.4 mg/ml
葡萄糖5% 251
未指定的不兼容性 不相容
注射液 Heparin sodium 50 UI/ml
注射液 Doxycycline hyclate 1 mg/ml
无 317
立即沉澱 不相容
注射液 Heparin sodium 1000 UI/ml
注射液 Droperidol 2,5 mg/ml
763
兼容
注射液 Heparin sodium 1 UI/ml
注射液 Droperidol 1.25 mg/ml
NaCl 0,9% 1228
兼容
注射液 Heparin sodium 1 UI/ml
注射液 Droperidol 1.25 mg/ml
Ringer乳酸溶液 1228
兼容
注射液 Heparin sodium 1 UI/ml
注射液 Droperidol 1.25 mg/ml
葡萄糖5% 1228
未指定的不兼容性 不相容
注射液 Heparin sodium
注射液 Droperidol
3540
兼容
注射液 Heparin sodium 45,45 UI/ml
注射液 Enalaprilate 0,011 mg/ml
葡萄糖5% 963
兼容
注射液 Heparin sodium 40 UI/ml
注射液 Enalaprilate 0.05 mg/ml
NaCl 0,9% 1315
兼容
注射液 Heparin sodium 50 UI/ml
注射液 Enalaprilate 0.0125 mg/ml
NaCl 0,9% 1703
兼容
注射液 Heparin sodium 1 UI/ml
注射液 Epinephrine hydrochloride 100 µg/ml
Ringer乳酸溶液 1228
兼容
注射液 Heparin sodium 100 UI/ml
注射液 Epinephrine hydrochloride 20 µg/ml
314
兼容
注射液 Heparin sodium 1 UI/ml
注射液 Epinephrine hydrochloride 100 µg/ml
NaCl 0,9% 1228
兼容
注射液 Heparin sodium 1 UI/ml
注射液 Epinephrine hydrochloride 100 µg/ml
葡萄糖5% 1228
未指定的不兼容性 不相容
注射液 Heparin sodium
注射液 Epirubicin hydrochloride
3632
兼容
注射液 Heparin sodium
注射液 Eptifibatide
3934
兼容
注射液 Heparin sodium 1000 UI/ml
注射液 Eravacycline 0,6 mg/ml
NaCl 0,9% 4434
立即渾濁 不相容
注射液 Heparin sodium 1 UI/ml
注射液 Ergotamine tartrate 0.5 mg/ml
NaCl 0,9% 1228
4小時後出現沉澱 不相容
注射液 Heparin sodium 1 UI/ml
注射液 Ergotamine tartrate 0.5 mg/ml
Ringer乳酸溶液 1228
4小時後出現沉澱 不相容
注射液 Heparin sodium 1 UI/ml
注射液 Ergotamine tartrate 0.5 mg/ml
葡萄糖5% 1228
兼容
注射液 Heparin sodium 50 & 100 UI/ml
注射液 Ertapenem 10 & 20 mg/ml
NaCl 0,9% 1906
兼容
注射液 Heparin sodium 50 UI/ml
注射液 Erythromycin lactobionate 3.3 mg/ml
无 317
未指定的不兼容性 不相容
注射液 Heparin sodium
注射液 Erythromycin lactobionate
3674
未指定的不兼容性 不相容
注射液 Heparin sodium
注射液 Erythromycin lactobionate
3540
兼容
注射液 Heparin sodium 50 UI/ml
注射液 Esmolol hydrochloride 6 mg/ml
葡萄糖5% 174
兼容
注射液 Heparin sodium 40 UI/ml
注射液 Esmolol hydrochloride 10 mg/ml
葡萄糖5% 384
兼容
注射液 Heparin sodium 500 UI/ml
注射液 Esmolol hydrochloride 10 mg/ml
NaCl 0,9% 3823
立即沉澱 不相容
注射液 Heparin sodium 1000 UI/ml
注射液 Ethanol 70 %
注射用水+抗生素 2221
立即沉澱 不相容
注射液 Heparin sodium 1000 UI/ml
注射液 Ethanol 70 %
注射用水 2221
1小時後析出 不相容
注射液 Heparin sodium 10 UI/ml
注射液 Ethanol 70 %
注射用水+抗生素 2221
立即沉澱 不相容
注射液 Heparin sodium 10 UI/ml
注射液 Ethanol 70 %
注射用水 2221
兼容
注射液 Heparin sodium 100 UI/ml
注射液 Etoposide phosphate 5 mg/ml
葡萄糖5% 1410
兼容
注射液 Heparin sodium 40 UI/ml
注射液 Famotidine
葡萄糖5% 397
兼容
注射液 Heparin sodium 50 UI/ml
注射液 Famotidine 0.2 mg/ml
葡萄糖5% 398
兼容
注射液 Heparin sodium 40 UI/ml
注射液 Famotidine 2 mg/ml
NaCl 0,9% 215
兼容
注射液 Heparin sodium 100 UI/ml
注射液 Fenoldopam mesylate 80 µg/ml
NaCl 0,9% 1803
兼容
注射液 Heparin sodium 100 UI/ml
注射液 Fentanyl citrate 50 µg/ml
4389
兼容
注射液 Heparin sodium 1 UI/ml
注射液 Fentanyl citrate 50 µg/ml
葡萄糖5% 1228
兼容
注射液 Heparin sodium 1 UI/ml
注射液 Fentanyl citrate 50 µg/ml
Ringer乳酸溶液 1228
兼容
注射液 Heparin sodium 1 UI/ml
注射液 Fentanyl citrate 50 µg/ml
NaCl 0,9% 1228
兼容
注射液 Heparin sodium 100 UI/ml
注射液 Fentanyl citrate 50 µg/ml
314
立即沉澱 不相容
注射液 Heparin sodium 100 UI/ml
注射液 Filgrastim 30 µg/ml
葡萄糖5% 244
兼容
注射液 Heparin sodium 1000 UI/ml
注射液 Fluconazole 2 mg/ml
NaCl 0,9% 496
兼容
注射液 Heparin sodium 50 UI/ml
注射液 Fluconazole 2 mg/ml
无 317
兼容
注射液 Heparin sodium 40 >> 1000 UI/ml
注射液 Fludarabine phosphate 1 mg/ml
葡萄糖5% 492
兼容
注射液 Heparin sodium 50 UI/ml
注射液 Flumazenil 0,02 mg/ml
葡萄糖5% 187
兼容
注射液 Heparin sodium 5 UI/ml
注射液 Fluorouracil 0,8 mg/ml
NaCl 0,9% 156
兼容
注射液 Heparin sodium 5 UI/ml
注射液 Fluorouracil 0,8 mg/ml
葡萄糖5% 156
兼容
注射液 Heparin sodium 1 UI/ml
注射液 Fluorouracil 50 mg/ml
NaCl 0,9% 1228
兼容
注射液 Heparin sodium 960 UI/ml
注射液 Fluorouracil 24 mg/ml
葡萄糖5% 163
兼容
注射液 Heparin sodium 1 UI/ml
注射液 Fluorouracil 50 mg/ml
葡萄糖5% 1228
兼容
注射液 Heparin sodium 1000 UI/ml
注射液 Fluorouracil 50 mg/ml
763
兼容
注射液 Heparin sodium 1 UI/ml
注射液 Fluorouracil 50 mg/ml
Ringer乳酸溶液 1228
兼容
注射液 Heparin sodium 1000 UI/ml
注射液 Folinate calcium 10 mg/ml
763
兼容
注射液 Heparin sodium 100 UI/ml
注射液 Foscarnet sodium 24 mg/ml
葡萄糖5% 1135
兼容
注射液 Heparin sodium 100 UI/ml
注射液 Foscarnet sodium 24 mg/ml
NaCl 0,9% 1135
兼容
注射液 Heparin sodium 1000 UI/ml
注射液 Foscarnet sodium 24 mg/ml
无 73
兼容
注射液 Heparin sodium 1000 UI/ml
注射液 Fosfomycin 30 mg/ml
葡萄糖5% 4055
兼容
注射液 Heparin sodium 1000 UI/ml
注射液 Fosfomycin 30 mg/ml
NaCl 0,9% 4055
兼容
注射液 Heparin sodium 100 UI/ml
注射液 Furosemide 10 mg/ml
314
兼容
注射液 Heparin sodium 1 UI/ml
注射液 Furosemide 10 mg/ml
NaCl 0,9% 1228
5小時後出現沉澱 不相容
注射液 Heparin sodium 100 UI/ml
注射液 Furosemide 10 mg/ml
葡萄糖5% 4724
兼容
注射液 Heparin sodium 20 UI/ml
注射液 Furosemide 1 mg/ml
NaCl 0,9% 1232
兼容
注射液 Heparin sodium 58,34 UI/ml
注射液 Furosemide 5,21 mg/ml
葡萄糖5% 1289
兼容
注射液 Heparin sodium
注射液 Furosemide
3465
兼容
注射液 Heparin sodium 1 UI/ml
注射液 Furosemide 10 mg/ml
Ringer乳酸溶液 1228
兼容
注射液 Heparin sodium 1000 UI/ml
注射液 Furosemide 10 mg/ml
763
兼容
注射液 Heparin sodium 10 UI/ml
注射液 Furosemide 10 mg/ml
无 3210
兼容
注射液 Heparin sodium 500 UI/ml
注射液 Furosemide 10 mg/ml
NaCl 0,9% 3823
兼容
注射液 Heparin sodium 500 UI/ml
注射液 Furosemide 10 mg/ml
无 3134
兼容
注射液 Heparin sodium 1 UI/ml
注射液 Furosemide 10 mg/ml
葡萄糖5% 1228
兼容
注射液 Heparin sodium 40 UI/ml
注射液 Gallium nitrate 1 mg/ml
NaCl 0,9% 91
兼容
注射液 Heparin sodium 100 UI/ml
注射液 Gemcitabine hydrochloride 10 mg/ml
NaCl 0,9% 1423
立即渾濁 不相容
注射液 Heparin sodium 2500 UI/ml
注射液 Gentamicin sulfate 3 mg/ml
4612
未指定的不兼容性 不相容
注射液 Heparin sodium
注射液 Gentamicin sulfate
3520
未指定的不兼容性 不相容
注射液 Heparin sodium
注射液 Gentamicin sulfate
3643
立即沉澱 不相容
注射液 Heparin sodium
注射液 Gentamicin sulfate
1022
未指定的不兼容性 不相容
注射液 Heparin sodium 50 UI/ml
注射液 Gentamicin sulfate 2 mg/ml
无 317
立即沉澱 不相容
注射液 Heparin sodium 10 >> 40 UI/ml
注射液 Gentamicin sulfate 4 >> 40 mg/ml
1258
立即沉澱 不相容
注射液 Heparin sodium 2500 UI/ml
注射液 Gentamicin sulfate 4 & 5 mg/ml
4612
未指定的不兼容性 不相容
注射液 Heparin sodium
注射液 Gentamicin sulfate
3540
兼容
注射液 Heparin sodium 2500 UI/ml
注射液 Gentamicin sulfate 1 & 2 mg/ml
4612
兼容
注射液 Heparin sodium 50 UI/ml
注射液 Glycerophosphate disodium
NaCl 0,9% 4332
兼容
注射液 Heparin sodium 100 UI/ml
注射液 Granisetron hydrochloride 0.05 mg/ml
葡萄糖5% 182
立即沉澱 不相容
注射液 Heparin sodium 100 & 200 UI/ml
注射液 Haloperidol lactate 5 mg/ml
葡萄糖5% 617
立即沉澱 不相容
注射液 Heparin sodium 100 & 200 UI/ml
注射液 Haloperidol lactate 5 mg/ml
NaCl 0,9% 617
兼容
注射液 Heparin sodium 500 UI/ml
注射液 Haloperidol lactate 0.5 mg/ml
NaCl 0,9% 3823
未指定的不兼容性 不相容
注射液 Heparin sodium
注射液 Haloperidol lactate
3540
兼容
注射液 Heparin sodium 100 UI/ml
注射液 Hetastarch 60 mg/ml
特定溶液 1721
未指定的不兼容性 不相容
注射液 Heparin sodium
注射液 Hyaluronidase
3617
未指定的不兼容性 不相容
注射液 Heparin sodium
注射液 Hyaluronidase
3184
未指定的不兼容性 不相容
注射液 Heparin sodium
注射液 Hyaluronidase
3540
兼容
注射液 Heparin sodium 1 UI/ml
注射液 Hydralazine hydrochloride 20 mg/ml
葡萄糖5% 1228
兼容
注射液 Heparin sodium 1 UI/ml
注射液 Hydralazine hydrochloride 20 mg/ml
Ringer乳酸溶液 1228
兼容
注射液 Heparin sodium 1 UI/ml
注射液 Hydralazine hydrochloride 20 mg/ml
NaCl 0,9% 1228
兼容
注射液 Heparin sodium 100 UI/ml
注射液 Hydrocortisone sodium succinate 125 mg/ml
NaCl 0,9% 132
未指定的不兼容性 不相容
注射液 Heparin sodium
注射液 Hydrocortisone sodium succinate
3540
兼容
注射液 Heparin sodium 50 UI/ml
注射液 Hydrocortisone sodium succinate 2 mg/ml
无 317
兼容
注射液 Heparin sodium 100 UI/ml
注射液 Hydrocortisone sodium succinate 125 mg/ml
葡萄糖5% 132
兼容
注射液 Heparin sodium
注射液 Hydromorphone hydrochloride <12.5 mg/ml
NaCl 0,9% 66
兼容
注射液 Heparin sodium 100 UI/ml
注射液 Hydromorphone hydrochloride 1 mg/ml
314
立即沉澱 不相容
注射液 Heparin sodium <12,5 UI/ml
注射液 Hydromorphone hydrochloride >25 mg/ml
NaCl 0,9% 66
兼容
注射液 Heparin sodium
注射液 Hydromorphone hydrochloride <12.5 mg/ml
注射用水 66
立即沉澱 不相容
注射液 Heparin sodium <1 UI/ml
注射液 Hydromorphone hydrochloride >10 mg/ml
注射用水 66
立即沉澱 不相容
注射液 Heparin sodium <12,5 UI/ml
注射液 Hydromorphone hydrochloride >25 mg/ml
注射用水 66
兼容
注射液 Heparin sodium 100 UI/ml
注射液 Ibuprofen lysinate 10 mg/ml
注射用水 4419
兼容
注射液 Heparin sodium 10 UI/ml
注射液 Ibuprofen lysinate 10 mg/ml
注射用水 4419
立即渾濁 不相容
注射液 Heparin sodium 100 & 1000 UI/ml
注射液 Idarubicin hydrochloride 1 mg/ml
NaCl 0,9% 491
立即沉澱 不相容
注射液 Heparin sodium
注射液 Idarubicin hydrochloride
5075
兼容
注射液 Heparin sodium
注射液 Imipenem-Cilastatin / Relebactam
4809
兼容
注射液 Heparin sodium 1000 UI/ml
注射液 Imipenem-Cilastatin / Relebactam 5 mg/ml
NaCl 0,9% 4433
兼容
注射液 Heparin sodium 1000 UI/ml
注射液 Imipenem-Cilastatin / Relebactam 5 mg/ml
葡萄糖5% 4433
兼容
注射液 Heparin sodium 500 UI/ml
注射液 Insulin 2 UI/ml
NaCl 0,9% 3823
兼容
注射液 Heparin sodium 60 UI/ml
注射液 Insulin 0.2 UI/ml
NaCl 0,9% 129
兼容
注射液 Heparin sodium 50 & 400 UI/ml
注射液 Insulin aspart 1 UI/ml
葡萄糖5% 1508
兼容
注射液 Heparin sodium 50 & 400 UI/ml
注射液 Insulin aspart 1 UI/ml
NaCl 0,9% 1508
兼容
注射液 Heparin sodium 10000 UI/ml
注射液 Iohexol 300 mg I/ml
无 1085
兼容
注射液 Heparin sodium 10000 UI/ml
注射液 Ioxaglate 320 mg I/ml
无 1085
立即渾濁 不相容
注射液 Heparin sodium 1000 UI/ml
注射液 Isavuconazonium sulfate 1.5 mg/ml
NaCl 0,9% 3829
立即渾濁 不相容
注射液 Heparin sodium 1000 UI/ml
注射液 Isavuconazonium sulfate 1.5 mg/ml
葡萄糖5% 3829
兼容
注射液 Heparin sodium 1 UI/ml
注射液 Isoprenaline hydrochloride 0.2 mg/ml
葡萄糖5% 1228
兼容
注射液 Heparin sodium 1 UI/ml
注射液 Isoprenaline hydrochloride 0.2 mg/ml
NaCl 0,9% 1228
兼容
注射液 Heparin sodium 1 UI/ml
注射液 Isoprenaline hydrochloride 0.2 mg/ml
Ringer乳酸溶液 1228
未指定的不兼容性 不相容
注射液 Heparin sodium
注射液 Kanamycin sulfate
3540
立即沉澱 不相容
注射液 Heparin sodium 25000 UI/ml
注射液 Ketamine hydrochloride 50 mg/ml
2109
兼容
注射液 Heparin sodium 100 UI/ml
注射液 Labetalol hydrochloride 2 mg/ml
314
未指定的不兼容性 不相容
注射液 Heparin sodium 500 UI/ml
注射液 Labetalol hydrochloride 4 mg/ml
NaCl 0,9% 3823
未指定的不兼容性 不相容
注射液 Heparin sodium
注射液 Labetalol hydrochloride
3540
立即沉澱 不相容
注射液 Heparin sodium 100 UI/ml
注射液 Labetalol hydrochloride 5 mg/ml
葡萄糖5% 295
兼容
注射液 Heparin sodium 40 UI/ml
注射液 Labetalol hydrochloride 1 mg/ml
葡萄糖5% 386
兼容
注射液 Heparin sodium 100 UI/ml
注射液 Lansoprazole 0.55 mg/ml
NaCl 0,9% 1625
4小時內渾濁 不相容
注射液 Heparin sodium 100 UI/ml
注射液 Levetiracetam 100 mg/ml
葡萄糖5% 4108
立即渾濁 不相容
注射液 Heparin sodium 208,3 UI/ml
注射液 Levetiracetam 15 mg/ml
NaCl 0,9% 4698
未指定的不兼容性 不相容
注射液 Heparin sodium
注射液 Levofloxacine
3920
立即沉澱 不相容
注射液 Heparin sodium 10 UI/ml
注射液 Levofloxacine 5 mg/ml
葡萄糖5% 1072
未指定的不兼容性 不相容
注射液 Heparin sodium
注射液 Levomepromazine
3540
兼容
注射液 Heparin sodium 100 UI/ml
注射液 Levosimendan 2,5 mg/ml
葡萄糖5% 4389
兼容
注射液 Heparin sodium 50 UI/ml
注射液 Lidocaine hydrochloride 4 mg/ml
无 317
兼容
注射液 Heparin sodium 1000 UI/ml
注射液 Linezolid 2 mg/ml
无 1925
兼容
注射液 Heparin sodium 10 >> 10000 UI/ml
注射液 Linezolid 0.2 >> 1.92 mg/ml
NaCl 0,9% 2057
兼容
注射液 Heparin sodium 417 UI/ml
注射液 Lorazepam 0.33 mg/ml
NaCl 0,9% 186
兼容
注射液 Heparin sodium 100 UI/ml
注射液 Lorazepam 0.5 mg/ml
314
兼容
注射液 Heparin sodium 1 UI/ml
注射液 Magnesium sulfate 5 mg/ml
NaCl 0,9% 1228
兼容
注射液 Heparin sodium 50 UI/ml
注射液 Magnesium sulfate 15.6 mg/ml
NaCl 0,9% 2100
兼容
注射液 Heparin sodium 1 UI/ml
注射液 Magnesium sulfate 5 mg/ml
Ringer乳酸溶液 1228
兼容
注射液 Heparin sodium 1 UI/ml
注射液 Magnesium sulfate 5 mg/ml
葡萄糖5% 1228
兼容
注射液 Heparin sodium 100 UI/ml
注射液 Melphalan 0.1 mg/ml
NaCl 0,9% 169
兼容
注射液 Heparin sodium 0.5 UI/ml
注射液 Meropenem 0.5 mg/ml
Dianéal® 4.25% glucose (Baxter) 4180
兼容
注射液 Heparin sodium 0.5 UI/ml
注射液 Meropenem 0.5 mg/ml
Extraneal® (Baxter) 4180
兼容
注射液 Heparin sodium 1000 UI/ml
注射液 Meropenem 50 mg/ml
注射用水 4319
兼容
注射液 Heparin sodium 1 UI/ml
注射液 Meropenem 1 & 50 mg/ml
NaCl 0,9% 266
兼容
注射液 Heparin sodium 0.5 UI/ml
注射液 Meropenem 0.5 mg/ml
Dianéal® 1.5% glucose (Baxter) 4180
兼容
注射液 Heparin sodium 20 UI/ml
注射液 Meropenem 1 & 20 mg/ml
NaCl 0,9% 266
兼容
注射液 Heparin sodium 0.5 UI/ml
注射液 Meropenem 0.5 mg/ml
Dianéal® 2.5% glucose (Baxter) 4180
兼容
注射液 Heparin sodium 50 UI/ml
注射液 Methadone hydrochloride 0.2 mg/ml
葡萄糖5% 1506
兼容
注射液 Heparin sodium 50 UI/ml
注射液 Methadone hydrochloride 0.2 mg/ml
NaCl 0,9% 1506
未指定的不兼容性 不相容
注射液 Heparin sodium
注射液 Methotrexate sodium
3637
兼容
注射液 Heparin sodium 1000 UI/ml
注射液 Methotrexate sodium 25 mg/ml
763
兼容
注射液 Heparin sodium 500 UI/ml
注射液 Methotrexate sodium 30 mg/ml
NaCl 0,9% 150
兼容
注射液 Heparin sodium 100 UI/ml
注射液 Methylprednisolone sodium succinate 5 mg/ml
葡萄糖5% 132
兼容
注射液 Heparin sodium 50 UI/ml
注射液 Methylprednisolone sodium succinate 2.5 mg/ml
无 317
兼容
注射液 Heparin sodium 100 UI/ml
注射液 Methylprednisolone sodium succinate 5 mg/ml
NaCl 0,9% 132
兼容
注射液 Heparin sodium 1000 UI/ml
注射液 Metoclopramide hydrochloride 5 mg/ml
763
化學不穩定性 不相容
注射液 Heparin sodium 1000 UI/ml
注射液 Metoprolol tartrate 1 mg/ml
无 2346
兼容
注射液 Heparin sodium 50 UI/ml
注射液 Metronidazole 5 mg/ml
无 317
兼容
注射液 Heparin sodium 100 UI/ml
注射液 Micafungin 1.5 mg/ml
NaCl 0,9% 2108
立即渾濁 不相容
注射液 Heparin sodium 208,3 UI/ml
注射液 Midazolam hydrochloride 1 mg/ml
NaCl 0,9% 4698
兼容
注射液 Heparin sodium 500 UI/ml
注射液 Midazolam hydrochloride 2.1 mg/ml
NaCl 0,9% 3823
兼容
注射液 Heparin sodium 417 UI/ml
注射液 Midazolam hydrochloride 5 mg/ml
无 186
兼容
注射液 Heparin sodium 100 UI/ml
注射液 Midazolam hydrochloride 5 mg/ml
4389
兼容
注射液 Heparin sodium 100 UI/ml
注射液 Midazolam hydrochloride 2 mg/ml
314
兼容
注射液 Heparin sodium 200 UI/ml
注射液 Milrinone lactate 0.8 mg/ml
葡萄糖5% 813
兼容
注射液 Heparin sodium 100 UI/ml
注射液 Milrinone lactate 0.2 mg/ml
314
兼容
注射液 Heparin sodium 1 UI/ml
注射液 Minocycline hydrochloride 0.2 mg/ml
葡萄糖5% 1228
兼容
注射液 Heparin sodium 1 UI/ml
注射液 Minocycline hydrochloride 0.2 mg/ml
Ringer乳酸溶液 1228
兼容
注射液 Heparin sodium 1 UI/ml
注射液 Minocycline hydrochloride 0.2 mg/ml
NaCl 0,9% 1228
未指定的不兼容性 不相容
注射液 Heparin sodium
注射液 Mitoxantrone dihydrochloride
3640
未指定的不兼容性 不相容
注射液 Heparin sodium
注射液 Morphine hydrochloride
5069
兼容
注射液 Heparin sodium 100 & 200 UI/ml
注射液 Morphine sulfate 1 >> 5 mg/ml
注射用水 341
兼容
注射液 Heparin sodium 1 UI/ml
注射液 Morphine sulfate 15 mg/ml
Ringer乳酸溶液 1228
未指定的不兼容性 不相容
注射液 Heparin sodium
注射液 Morphine sulfate
3531
兼容
注射液 Heparin sodium 1 UI/ml
注射液 Morphine sulfate 15 mg/ml
葡萄糖5% 1228
兼容
注射液 Heparin sodium 1 UI/ml
注射液 Morphine sulfate 15 mg/ml
NaCl 0,9% 1228
兼容
注射液 Heparin sodium 60 UI/ml
注射液 Morphine sulfate 1 mg/ml
NaCl 0,9% 406
兼容
注射液 Heparin sodium 100 & 200 UI/ml
注射液 Morphine sulfate 10 mg/ml
注射用水 341
兼容
注射液 Heparin sodium 100 UI/ml
注射液 Morphine sulfate 2 mg/ml
314
化學不穩定性 不相容
注射液 Heparin sodium 100 & 200 UI/ml
注射液 Morphine sulfate 1 >> 10 mg/ml
NaCl 0,9% 341
兼容
注射液 Heparin sodium 1000 UI/ml
注射液 N-acetylcysteine 200 mg/ml
无 3766
兼容
注射液 Heparin sodium 50 UI/ml
注射液 Nafcillin sodium 20 mg/ml
无 317
兼容
注射液 Heparin sodium 1000 UI/ml
注射液 Naloxone hydrochloride 0.4 mg/ml
无 3408
立即渾濁 不相容
注射液 Heparin sodium 208,3 UI/ml
注射液 Nefopam 1,7 mg/ml
NaCl 0,9% 4698
兼容
注射液 Heparin sodium 1 UI/ml
注射液 Neostigmine methylsulfate 0.5 mg/ml
葡萄糖5% 1228
兼容
注射液 Heparin sodium 1 UI/ml
注射液 Neostigmine methylsulfate 0.5 mg/ml
NaCl 0,9% 1228
兼容
注射液 Heparin sodium 1 UI/ml
注射液 Neostigmine methylsulfate 0.5 mg/ml
Ringer乳酸溶液 1228
未指定的不兼容性 不相容
注射液 Heparin sodium
注射液 Nesiritide
5048
未指定的不兼容性 不相容
注射液 Heparin sodium
注射液 Netilmicin sulfate
3540
立即沉澱 不相容
注射液 Heparin sodium
注射液 Netilmicin sulfate
1022
立即沉澱 不相容
注射液 Heparin sodium 100 UI/ml
注射液 Nicardipine hydrochloride 1 mg/ml
314
未指定的不兼容性 不相容
注射液 Heparin sodium
注射液 Nicardipine hydrochloride
3540
兼容
注射液 Heparin sodium 40 UI/ml
注射液 Nicardipine hydrochloride 0.1 mg/ml
葡萄糖5% 1490
兼容
注射液 Heparin sodium 40 UI/ml
注射液 Nicardipine hydrochloride 0.1 mg/ml
NaCl 0,9% 1490
立即沉澱 不相容
注射液 Heparin sodium 100 UI/ml
注射液 Nitroglycerin 1,6 >> 3,25 mg/ml
葡萄糖5% 295
兼容
注射液 Heparin sodium 500 UI/ml
注射液 Nitroglycerin 0.2 mg/ml
NaCl 0,9% 3823
產生氣泡 不相容
注射液 Heparin sodium 50 UI/ml
注射液 Nitroglycerin 0.2 mg/ml
无 317
兼容
注射液 Heparin sodium 500 UI/ml
注射液 Nitroglycerin 0.2 mg/ml
葡萄糖5% 3823
兼容
注射液 Heparin sodium 100 UI/ml
注射液 Nitroglycerin 0.4 mg/ml
314
兼容
注射液 Heparin sodium 50 UI/ml
注射液 Nitroprusside sodium 0.2 mg/ml
无 317
兼容
注射液 Heparin sodium 100 UI/ml
注射液 Nitroprusside sodium 0.2 mg/ml
葡萄糖5% 295
兼容
注射液 Heparin sodium 100 UI/ml
注射液 Norepinephrine bitartrate 0.128 mg/ml
314
未指定的不兼容性 不相容
注射液 Heparin sodium
注射液 Ofloxacin
3562
兼容
注射液 Heparin sodium 40 UI/ml
注射液 Ondansetron hydrochloride 1 mg/ml
NaCl 0,9% 334
不相容
注射液 Heparin sodium 200 UI/ml
注射液 Ondansetron hydrochloride 1.6 mg/ml
1699
立即渾濁 不相容
注射液 Heparin sodium 100 UI/ml
注射液 Oritavancin 0.8 >>1.2 mg/ml
葡萄糖5% 3152
4小時後出現沉澱 不相容
注射液 Heparin sodium 100 UI/ml
注射液 Oritavancin 2 mg/ml
葡萄糖5% 3152
兼容
注射液 Heparin sodium 208 UI/ml
注射液 Ornidazole 31.25 mg/ml
NaCl 0,9% 4254
兼容
注射液 Heparin sodium 1 UI/ml
注射液 Oxacillin sodium 100 mg/ml
葡萄糖5% 1228
兼容
注射液 Heparin sodium 1 UI/ml
注射液 Oxacillin sodium 100 mg/ml
Ringer乳酸溶液 1228
兼容
注射液 Heparin sodium 1 UI/ml
注射液 Oxacillin sodium 100 mg/ml
NaCl 0,9% 1228
兼容
注射液 Heparin sodium 100 UI/ml
注射液 Oxaliplatin 0,5 mg/ml
葡萄糖5% 1662
未指定的不兼容性 不相容
注射液 Heparin sodium
注射液 Oxytetracycline hydrochloride
3540
兼容
注射液 Heparin sodium 100 UI/ml
注射液 Paclitaxel 1.2 mg/ml
葡萄糖5% 248
兼容
注射液 Heparin sodium 100 UI/ml
注射液 Palonosetron hydrochloride 50 µg/ml
葡萄糖5% 2279
兼容
注射液 Heparin sodium 40 UI/ml
注射液 Pancuronium bromide 0.05 mg/ml
葡萄糖5% 402
1小時後析出 不相容
注射液 Heparin sodium
注射液 Pantoprazole sodium
2090
兼容
注射液 Heparin sodium 208,3 UI/ml
注射液 Paracetamol 10 mg/ml
NaCl 0,9% 4698
兼容
注射液 Heparin sodium 1000 UI/ml
注射液 Paracetamol 10 mg/ml
4742
兼容
注射液 Heparin sodium 100 UI/ml
注射液 Pemetrexed disodium 20 mg/ml
NaCl 0,9% 1953
未指定的不兼容性 不相容
注射液 Heparin sodium
注射液 Penicillin G potassium
3540
兼容
注射液 Heparin sodium 50 UI/ml
注射液 Penicillin G potassium 0.04 MUI/ml
无 317
未指定的不兼容性 不相容
注射液 Heparin sodium
注射液 Penicillin G sodium
3540
兼容
注射液 Heparin sodium 100 UI/ml
注射液 Pentoxifyllin 5 mg/ml
NaCl 0,9% 4538
立即渾濁 不相容
注射液 Heparin sodium
注射液 Pethidine hydrochloride
3525
兼容
注射液 Heparin sodium 60 UI/ml
注射液 Pethidine hydrochloride 10 mg/ml
NaCl 0,9% 406
未指定的不兼容性 不相容
注射液 Heparin sodium
注射液 Pethidine hydrochloride
3540
立即沉澱 不相容
注射液 Heparin sodium 50 UI/ml
注射液 Phenytoin sodium 2 mg/ml
无 317
兼容
注射液 Heparin sodium 50 UI/ml
注射液 Piperacillin sodium 60 mg/ml
无 317
兼容
注射液 Heparin sodium 10 & 5000 UI/ml
注射液 Piperacillin sodium 40 mg/ml
NaCl 0,9% 2037
兼容
注射液 Heparin sodium 0.5 UI/ml
注射液 Piperacillin sodium / tazobactam 0.5/0.0625 mg/ml
Dianéal® 2.5% glucose (Baxter) 4180
兼容
注射液 Heparin sodium 0.5 UI/ml
注射液 Piperacillin sodium / tazobactam 0.5/0.0625 mg/ml
Dianéal® 4.25% glucose (Baxter) 4180
立即渾濁 不相容
注射液 Heparin sodium 1000 UI/ml
注射液 Plazomicin sulfate 24 mg/ml
NaCl 0,9% 4145
未指定的不兼容性 不相容
注射液 Heparin sodium
注射液 Polymyxine B
3540
兼容
注射液 Heparin sodium 50 UI/ml
注射液 Potassium chloride 200 mEq/l
无 317
兼容
注射液 Heparin sodium 1 UI/ml
注射液 Procainamide hydrochloride 100 mg/ml
Ringer乳酸溶液 1228
兼容
注射液 Heparin sodium 1 UI/ml
注射液 Procainamide hydrochloride 100 mg/ml
NaCl 0,9% 1228
兼容
注射液 Heparin sodium 1 UI/ml
注射液 Prochlorperazine edysilate 5 mg/ml
NaCl 0,9% 1228
兼容
注射液 Heparin sodium 3 >> 20 UI/ml
肠外营养(二种混合物) 791
兼容
注射液 Heparin sodium 100 UI/ml
肠外营养(二种混合物) 301
兼容
注射液 Heparin sodium 500 UI/ml
肠外营养(二种混合物) 939
兼容
注射液 Heparin sodium 1 UI/ml
注射液 Prochlorperazine edysilate 5 mg/ml
Ringer乳酸溶液 1228
兼容
注射液 Heparin sodium 1 UI/ml
注射液 Promethazine hydrochloride 50 mg/ml
NaCl 0,9% 1228
兼容
注射液 Heparin sodium 1 UI/ml
注射液 Promethazine hydrochloride 50 mg/ml
Ringer乳酸溶液 1228
兼容
注射液 Heparin sodium 1 UI/ml
注射液 Propranolol hydrochloride 1 mg/ml
Ringer乳酸溶液 1228
兼容
注射液 Heparin sodium 1 UI/ml
注射液 Propranolol hydrochloride 1 mg/ml
NaCl 0,9% 1228
兼容
注射液 Heparin sodium 50 UI/ml
注射液 Ranitidine hydrochloride 0,5 mg/ml
葡萄糖5% 396
兼容
注射液 Heparin sodium 10 & 40 UI/ml
注射液 Ranitidine hydrochloride 0.05 & 2 mg/ml
NaCl 0,9% 214
兼容
注射液 Heparin sodium 50 UI/ml
注射液 Ranitidine hydrochloride 1 mg/ml
无 317
兼容
注射液 Heparin sodium 1000 UI/ml
注射液 Remdesivir 1 mg/ml
NaCl 0,9% 4768
兼容
注射液 Heparin sodium 100 UI/ml
注射液 Remifentanil hydrochloride 25 & 250 µg/ml
NaCl 0,9% 59
兼容
注射液 Heparin sodium 500 UI/ml
注射液 Remifentanil hydrochloride 100 µg/ml
NaCl 0,9% 3823
兼容
注射液 Heparin sodium 500 UI/ml
NaHCO3 150
兼容
注射液 Heparin sodium 1.4 UI/ml
注射液 Piperacillin sodium / tazobactam 1.38/0.1725 mg/ml
Physionéal® 2.27 (Baxter) 4180
兼容
注射液 Heparin sodium 1.4 UI/ml
注射液 Piperacillin sodium / tazobactam 1.38/0.1725 mg/ml
Physionéal® 1.36 (Baxter) 4180
兼容
注射液 Heparin sodium 0.5 UI/ml
注射液 Piperacillin sodium / tazobactam 0.5/0.0625 mg/ml
Dianéal® 1.5% glucose (Baxter) 4180
兼容
注射液 Heparin sodium 1.4 UI/ml
注射液 Piperacillin sodium / tazobactam 1.38/0.1725 mg/ml
Physionéal® 3.86 (Baxter) 4180
兼容
注射液 Heparin sodium 100 UI/ml
注射液 Piperacillin sodium / tazobactam 40/5 mg/ml
葡萄糖5% 81
兼容
注射液 Heparin sodium 0.5 UI/ml
注射液 Piperacillin sodium / tazobactam 0.5/0.0625 mg/ml
Extraneal® (Baxter) 4180
兼容
注射液 Heparin sodium 500 UI/ml
注射液 Potassium chloride 10 mEq/l
NaCl 0,9% 3823
兼容
注射液 Heparin sodium 58,34 UI/ml
注射液 Potassium chloride 1250 mEq/l
葡萄糖5% 1289
兼容
注射液 Heparin sodium
注射液 Potassium phosphate
3781
兼容
注射液 Heparin sodium 1 UI/ml
注射液 Procainamide hydrochloride 100 mg/ml
葡萄糖5% 1228
兼容
注射液 Heparin sodium 1 UI/ml
注射液 Prochlorperazine edysilate 5 mg/ml
葡萄糖5% 1228
兼容
注射液 Heparin sodium 1 UI/ml
注射液 Promethazine hydrochloride 50 mg/ml
葡萄糖5% 1228
未指定的不兼容性 不相容
注射液 Heparin sodium
注射液 Promethazine hydrochloride
3540
1小時後乳液的不穩定性 不相容
注射液 Heparin sodium 1000 UI/ml
注射液 Propofol
660
兼容
注射液 Heparin sodium 100 UI/ml
注射液 Propofol 10 mg/ml
无 300
兼容
注射液 Heparin sodium 1 UI/ml
注射液 Propranolol hydrochloride 1 mg/ml
葡萄糖5% 1228
兼容
注射液 Heparin sodium 100 UI/ml
注射液 Ranitidine hydrochloride 1 mg/ml
314
兼容
注射液 Heparin sodium 10 & 40 UI/ml
注射液 Ranitidine hydrochloride 0.05 & 2 mg/ml
葡萄糖5% 214
兼容
注射液 Heparin sodium 416.7 UI/ml
注射液 Remifentanil hydrochloride 120 µg/ml
葡萄糖5% 3294
兼容
注射液 Heparin sodium 416.7 UI/ml
注射液 Remifentanil hydrochloride 120 µg/ml
葡萄糖5% 3176
未指定的不兼容性 不相容
注射液 Heparin sodium
注射液 Reteplase
2212
兼容
注射液 Heparin sodium 20,458 >> 28,000 UI/ml
肠外营养(含脂肪) 1868
未指定的不兼容性 不相容
注射液 Heparin sodium
注射液 Reteplase
3540
兼容
注射液 Heparin sodium 1000 UI/ml
注射液 Salbutamol sulfate 1 mg/ml
无 3216
兼容
注射液 Heparin sodium 100 UI/ml
注射液 Sargramostim 6 §15 µg/ml
NaCl 0,9% 891
兼容
注射液 Heparin sodium 100 UI/ml
注射液 Sargramostim 10 µg/ml
NaCl 0,9% 335
兼容
注射液 Heparin sodium 1 UI/ml
注射液 Scopolamine hydrobromide 0.86 mg/ml
NaCl 0,9% 1228
兼容
注射液 Heparin sodium 1 UI/ml
注射液 Scopolamine hydrobromide 0.86 mg/ml
Ringer乳酸溶液 1228
兼容
注射液 Heparin sodium 1 UI/ml
注射液 Scopolamine hydrobromide 0.86 mg/ml
葡萄糖5% 1228
兼容
注射液 Heparin sodium 100 UI/ml
注射液 Sildenafil citrate 0,6 mg/ml
葡萄糖5% 4845
兼容
注射液 Heparin sodium 100 UI/ml
注射液 Sildenafil citrate 0,06 mg/ml
葡萄糖5% 4845
兼容
注射液 Heparin sodium 1 UI/ml
注射液 Sildenafil citrate 0,4 mg/ml
葡萄糖5% 3923
兼容
注射液 Heparin sodium 2 UI/ml
注射液 Sildenafil citrate 0,6 mg/ml
葡萄糖5% 4845
兼容
注射液 Heparin sodium
NaCl 0,9% 3540
乳液立即不穩定 不相容
注射液 Heparin sodium 100 UI/ml
肠外营养(含脂肪) 132
立即渾濁 不相容
注射液 Heparin sodium 100 UI/ml
注射液 Sildenafil citrate 0,6 mg/ml
葡萄糖5% 4845
兼容
注射液 Heparin sodium 500 UI/ml
注射液 Sodium bicarbonate 84 mg/ml
NaCl 0,9% 3823
兼容
注射液 Heparin sodium
注射液 Sodium bicarbonate
3466
兼容
注射液 Heparin sodium 500 UI/ml
注射液 Sodium bicarbonate 14 mg/ml
无 150
兼容
注射液 Heparin sodium 500 UI/ml
注射液 Sodium bicarbonate 84 mg/ml
无 3212
兼容
注射液 Heparin sodium 208 UI/ml
注射液 Spiramycine adipate 0.0625 MUI/ml
NaCl 0,9% 4254
兼容
注射液 Heparin sodium 100 UI/ml
注射液 Streptokinase 30000 UI/ml
葡萄糖5% 92
未指定的不兼容性 不相容
注射液 Heparin sodium
注射液 Streptomycin sulfate
3540
兼容
注射液 Heparin sodium 416.7 UI/ml
注射液 Sufentanil citrate 0.005 mg/ml
葡萄糖5% 3294
兼容
注射液 Heparin sodium 1000 UI/ml
注射液 Sugammadex 100 mg/ml
无 3372
兼容
注射液 Heparin sodium 10 UI/ml
注射液 Tacrolimus 1000 µg/ml
NaCl 0,9% 479
兼容
注射液 Heparin sodium 1000 UI/ml
Ringer乳酸溶液 4603
兼容
注射液 Heparin sodium 1000 UI/ml
注射液 Sulbactam/durlobactam 15/15 mg/ml
NaCl 0,9% 4801
兼容
注射液 Heparin sodium 1000 UI/ml
注射液 Tedizolid phosphate 0.8 mg/ml
NaCl 0,9% 3827
兼容
注射液 Heparin sodium 10 >> 10000 UI/ml
注射液 Teicoplanine 0.02 >> 10 mg/ml
NaCl 0,9% 2057
立即渾濁 不相容
注射液 Heparin sodium 1000 UI/ml
注射液 Telavancin hydrochloride 7,5 mg/ml
葡萄糖5% 3254
立即渾濁 不相容
注射液 Heparin sodium 1000 UI/ml
注射液 Telavancin hydrochloride 7,5 mg/ml
NaCl 0,9% 3254
兼容
注射液 Heparin sodium 1000 UI/ml
注射液 Telavancin hydrochloride 7.5 mg/ml
Ringer乳酸溶液 3254
立即沉澱 不相容
注射液 Heparin sodium 1000 UI/ml
注射液 Thiopental sodium 25 mg/ml
NaCl 0,9% 3767
乳液立即不穩定 不相容
注射液 Heparin sodium 1 UI/ml
肠外营养(含脂肪) 1391
兼容
注射液 Heparin sodium 100 UI/ml
注射液 Teniposide 0.1 mg/ml
葡萄糖5% 905
兼容
注射液 Heparin sodium 50 UI/ml
注射液 Theophylline 4 mg/ml
无 317
兼容
注射液 Heparin sodium 100 UI/ml
注射液 Thiopental sodium 25 mg/ml
314
乳液立即不穩定 不相容
注射液 Heparin sodium 100 UI/ml
肠外营养(含脂肪) 1415
兼容
注射液 Heparin sodium 500 UI/ml
注射液 Thiopental sodium 60 mg/ml
NaCl 0,9% 3823
兼容
注射液 Heparin sodium 100 UI/ml
注射液 Thiotepa 1 mg/ml
葡萄糖5% 249
兼容
注射液 Heparin sodium 50 UI/ml
注射液 Ticarcillin / clavulanic acid 31 mg/ml
无 317
兼容
注射液 Heparin sodium 500 UI/ml
注射液 Tirofiban 250 µg/ml
NaCl 0,9% 3823
兼容
注射液 Heparin sodium 40 & 100 UI/ml
注射液 Tirofiban 50 µg/ml
NaCl 0,9% 1420
兼容
注射液 Heparin sodium
葡萄糖5% 3540
兼容
注射液 Heparin sodium
注射液 Tirofiban
1512
兼容
注射液 Heparin sodium 40 & 100 UI/ml
注射液 Tirofiban 50 µg/ml
葡萄糖5% 1420
未指定的不兼容性 不相容
注射液 Heparin sodium 50 UI/ml
注射液 Tobramycin sulfate 0.8 mg/ml
无 317
未指定的不兼容性 不相容
注射液 Heparin sodium
注射液 Tobramycin sulfate
3540
兼容
注射液 Heparin sodium
注射液 Tranexamic acid
5016
未指定的不兼容性 不相容
注射液 Heparin sodium
注射液 Triflupromazine hydrochloride
3540
兼容
注射液 Heparin sodium 500 UI/ml
注射液 Urapidil 5 mg/ml
NaCl 0,9% 3823
立即沉澱 不相容
注射液 Heparin sodium 0,5 >> 14,3 UI/ml
注射液 Vancomycin hydrochloride 6,9 >> 14,3 mg/ml
Dianéal® PD1 4.25% 葡萄糖 (Baxter) 2375
未指定的不兼容性 不相容
注射液 Heparin sodium
注射液 Vancomycin hydrochloride
3588
未指定的不兼容性 不相容
注射液 Heparin sodium
注射液 Vancomycin hydrochloride
3540
兼容
注射液 Heparin sodium 0,5 >> 14,3 UI/ml
注射液 Vancomycin hydrochloride 0,015 >> 6,8 mg/ml
Dianéal® PD2 2.5% 葡萄糖 (Baxter) 2375
立即沉澱 不相容
注射液 Heparin sodium 0,5 >> 14,3 UI/ml
注射液 Vancomycin hydrochloride 6,9 >> 14,3 mg/ml
Dianéal® PD2 2.5% 葡萄糖 (Baxter) 2375
兼容
注射液 Heparin sodium 10 UI/ml
注射液 Vancomycin hydrochloride 0.025 mg/ml
注射用水 3125
兼容
注射液 Heparin sodium 0,5 >> 14,3 UI/ml
注射液 Vancomycin hydrochloride 0,015 >> 6,8 mg/ml
Dianéal® PD1 4.25% 葡萄糖 (Baxter) 2375
未指定的不兼容性 不相容
注射液 Heparin sodium 50 UI/ml
注射液 Vancomycin hydrochloride 6.6 mg/ml
无 317
兼容
注射液 Heparin sodium 100 UI/ml
注射液 Vancomycin hydrochloride 0.025 mg/ml
NaCl 0,9% 1414
兼容
注射液 Heparin sodium 10 UI/ml
注射液 Vancomycin hydrochloride 2 mg/ml
NaCl 0,9% 2037
立即沉澱 不相容
注射液 Heparin sodium 100 UI/ml
注射液 Vancomycin hydrochloride 10 mg/ml
肠外营养(二种混合物) 132
兼容
注射液 Heparin sodium 5000 UI/ml
注射液 Vancomycin hydrochloride 2.5 mg/ml
NaCl 0,9% 2037
兼容
注射液 Heparin sodium 100 UI/ml
注射液 Vancomycin hydrochloride 0.025 mg/ml
NaCl 0,9% 895
兼容
注射液 Heparin sodium 100 UI/ml
注射液 Vasopressin 2 & 4 UI/ml
NaCl 0,9% 1801
兼容
注射液 Heparin sodium 100 UI/ml
注射液 Vecuronium bromide 1 mg/ml
314
兼容
注射液 Heparin sodium 40 UI/ml
注射液 Vecuronium bromide 0.1 mg/ml
葡萄糖5% 402
兼容
注射液 Heparin sodium 20 UI/ml
注射液 Verapamil hydrochloride 0.08 mg/ml
NaCl 0,9% 1057
兼容
注射液 Heparin sodium 20 UI/ml
注射液 Verapamil hydrochloride 0.08 mg/ml
葡萄糖5% 1057
未指定的不兼容性 不相容
注射液 Heparin sodium
注射液 Vinblastine sulfate
3540
兼容
注射液 Heparin sodium 1000 UI/ml
注射液 Vinblastine sulfate 1 mg/ml
763
兼容
注射液 Heparin sodium 1000 UI/ml
注射液 Vincristine sulfate 1 mg/ml
763
兼容
注射液 Heparin sodium 100 UI/ml
注射液 Vinorelbine tartrate 1 mg/ml
NaCl 0,9% 84
兼容
注射液 Heparin sodium 100 UI/ml
注射液 Vinorelbine tartrate 1 mg/ml
NaCl 0,9% 1070
立即沉澱 不相容
注射液 Heparin sodium 10 & 100 UI/ml
注射液 Vinorelbine tartrate 2 & 3 mg/ml
NaCl 0,9% 1070
兼容
注射液 Heparin sodium 208 UI/ml
注射液 Voriconazole 8 mg/ml
葡萄糖5% 4254
兼容
注射液 Heparin sodium 208 UI/ml
注射液 Voriconazole 8 mg/ml
NaCl 0,9% 4254
兼容
注射液 Heparin sodium 100 UI/ml
注射液 Warfarin sodium 2 mg/ml
葡萄糖5% 315
兼容
注射液 Heparin sodium 100 UI/ml
注射液 Zidovudine 4 mg/ml
葡萄糖5% 337

  Mentions Légales