Viimeisin päivitys :
18/03/2026
Antikoagulantit   Heparin sodium  
Injektioneste
Stabilius liuoksessa Stabilius seoksissa Tekijät, jotka vaikuttavat stabiliuteen Yhteensopivuus Antotapa Viitteet pdf
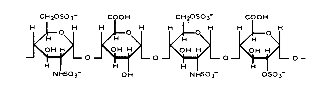
   Kemiallinen rakenne  

Kauppanimi   Kauppanimi     

Trade names are indicative and excipients composition can be different depending on the country and manufacturers

Arapin Chile
Ateroclar Italia
Clarisco Italia
Epsoclar Italia
Hepaflex Norja, Suomi
Hepamax Chile, Ecuador, Kolumbia
Heparin Etelä-Afrikka, Hollanti, Iso-Britannia, Itävalta, Jugoslavia, Kanada, Kreikka, Norja, Ruotsi, Suomi, Sveitsi, Tanska, Thaimaa, Turkki, Unkari, venäjä, Yhdysvallat
Heparine Belgia, Ranska
Heparinised Australia
Heparstad Saksa
Liquemin Sveitsi, Turkki
Liquemine Brasilia
Monoparin Saudi-Arabia
Normoparin Italia
Nuparin Ecuador
Pharepa Italia
Riveparin Argentiina
Sobrius Argentiina, Ecuador
Thrombophob Saksa
Yhteensopivuus   Injektioneste   Yhteensopivuus : Heparin sodium              
Tämä näyttö osoittaa yhteensopivuuden tai yhteensopimattomuuden yhteensopimattomuuden tyypin kanssa (saostuminen, värinmuutos, emulsiomuutos jne.). Tässä esitetty yhteensopivuus on useimmissa tapauksissa vain fysikaalinen, ja kunkin molekyylin kemiallista stabiilisuutta arvioidaan harvoin. Näiden seosten arviointia tutkittiin mahdollisuuden antaa Y-kohta potilaalle. Näitä tietoja ei voida käyttää seosten valmistamiseen etukäteen pusseissa tai ruiskuissa. Tämäntyyppiset tiedot ovat saatavilla "Stabiilisuus seoksessa" -näytössä.
Yhdiste Liuotin Viitteet
Yhteensopiva
Injektioneste Heparin sodium 100 UI/ml
Injektioneste Aciclovir sodium 5 mg/ml
Natriumkloridi 0,9% 2335
Yhteensopiva
Injektioneste Heparin sodium 50 UI/ml
Injektioneste Aciclovir sodium 5 mg/ml
Glukoosi 5% 336
Yhteensopiva
Injektioneste Heparin sodium 100 UI/ml
Injektioneste Aldesleukin 0.0338 MUI/ml
Glukoosi 5% 36
Yhteensopiva
Injektioneste Heparin sodium 100 UI/ml
Injektioneste Allopurinol sodium 3 mg/ml
Natriumkloridi 0,9% 307
Yhteensopiva
Injektioneste Heparin sodium 1 UI/ml
Injektioneste Alprostadil 20 µg/ml
Natriumkloridi 0,9% 4491
Yhteensopiva
Injektioneste Heparin sodium 1 UI/ml
Injektioneste Alprostadil 20 µg/ml
Glukoosi 5% 4651
Sademäärä 24 tunnin kuluttua yhteensopimaton
Injektioneste Heparin sodium 100 UI/ml
Injektioneste Alteplase 1 mg/ml
Injektionesteisiin käytettävä vesi 92
Määrittelemätön yhteensopimattomuus yhteensopimaton
Injektioneste Heparin sodium
Injektioneste Alteplase
3540
Välittömät sateet yhteensopimaton
Injektioneste Heparin sodium 40 UI/ml
Injektioneste Alteplase 0.5 mg/ml
Injektionesteisiin käytettävä vesi 240
Määrittelemätön yhteensopimattomuus yhteensopimaton
Injektioneste Heparin sodium
Injektioneste Alteplase
3616
Yhteensopiva
Injektioneste Heparin sodium 100 UI/ml
Injektioneste Amifostine 10 mg/ml
Glukoosi 5% 3
Välittömät sateet yhteensopimaton
Injektioneste Heparin sodium
Injektioneste Amikacin sulfate
1022
Määrittelemätön yhteensopimattomuus yhteensopimaton
Injektioneste Heparin sodium
Injektioneste Amikacin sulfate
3549
Määrittelemätön yhteensopimattomuus yhteensopimaton
Injektioneste Heparin sodium
Injektioneste Amikacin sulfate
3540
Määrittelemätön yhteensopimattomuus yhteensopimaton
Injektioneste Heparin sodium 500 UI/ml
Injektioneste Amiodarone hydrochloride 15 mg/ml
Natriumkloridi 0,9% 3823
Määrittelemätön yhteensopimattomuus yhteensopimaton
Injektioneste Heparin sodium
Injektioneste Amiodarone hydrochloride
3540
Välitön sameus yhteensopimaton
Injektioneste Heparin sodium 500 UI/ml
Injektioneste Amiodarone hydrochloride 15 mg/ml
Natriumkloridi 0,9% 3463
Määrittelemätön yhteensopimattomuus yhteensopimaton
Injektioneste Heparin sodium
Injektioneste Amiodarone hydrochloride
3464
Määrittelemätön yhteensopimattomuus yhteensopimaton
Injektioneste Heparin sodium 500 UI/ml
Injektioneste Amiodarone hydrochloride 15 mg/ml
Glukoosi 5% 3823
Välitön sameus yhteensopimaton
Injektioneste Heparin sodium 500 UI/ml
Injektioneste Amiodarone hydrochloride 15 mg/ml
Glukoosi 5% 3463
Yhteensopiva
Injektioneste Heparin sodium 208 UI/ml
Injektioneste Amoxicillin sodium 20.83 & 83.3 mg/ml
Natriumkloridi 0,9% 4254
Yhteensopiva
Injektioneste Heparin sodium 1000 UI/ml
Injektioneste Amoxicillin sodium / clavulanic acid 100/10 mg/ml
3824
Yhteensopiva
Injektioneste Heparin sodium
Injektioneste Ampicillin sodium
5088
Yhteensopiva
Injektioneste Heparin sodium 50 UI/ml
Injektioneste Ampicillin sodium 20 mg/ml
Ei mikään 317
Yhteensopiva
Injektioneste Heparin sodium 50 UI/ml
Injektioneste Ampicillin sodium - sulbactam sodium 30 mg/ml
Ei mikään 317
Välittömät sateet yhteensopimaton
Injektioneste Heparin sodium 40 UI/ml
Injektioneste Amsacrine 1 mg/ml
Glukoosi 5% 253
Yhteensopiva
Injektioneste Heparin sodium 100 UI/ml
Injektioneste Anidulafungin 0.5 mg/ml
Glukoosi 5% 1982
Välittömät sateet yhteensopimaton
Injektioneste Heparin sodium
Injektioneste Antithymocyte globulin (rabbit)
4958
Välittömät sateet yhteensopimaton
Injektioneste Heparin sodium 2 UI/ml
Injektioneste Antithymocyte globulin (rabbit) 0,2 & 0,3 mg/ml
Glukoosi 5% 1822
Yhteensopiva
Injektioneste Heparin sodium 100 UI/ml
Injektioneste Antithymocyte globulin (rabbit) 0,2 & 0,3 mg/ml
Glukoosi 5% 1822
Yhteensopiva
Injektioneste Heparin sodium 2 & 100 UI/ml
Injektioneste Antithymocyte globulin (rabbit) 0,2 & 0,3 mg/ml
Natriumkloridi 0,9% 1822
Yhteensopiva
Injektioneste Heparin sodium 40 UI/ml
Injektioneste Atracurium besylate 0.5 mg/ml
Glukoosi 5% 402
Yhteensopiva
Injektioneste Heparin sodium 1 UI/ml
Injektioneste Atropine sulfate 0.5 mg/ml
Glukoosi 5% 1228
Yhteensopiva
Injektioneste Heparin sodium 500 UI/ml
Parenteraalinen (lipidien) 4507
Välittömät sateet yhteensopimaton
Injektioneste Heparin sodium 1000 UI/ml
Injektioneste Amphotericin B cholesteryl sulfate complex 0.83 mg/ml
Glukoosi 5% 921
Määrittelemätön yhteensopimattomuus yhteensopimaton
Injektioneste Heparin sodium
Injektioneste Ampicillin sodium
3540
Yhteensopiva
Injektioneste Heparin sodium 10 & 5000 UI/ml
Injektioneste Ampicillin sodium 10 mg/ml
Natriumkloridi 0,9% 2037
Yhteensopiva
Injektioneste Heparin sodium 1 UI/ml
Injektioneste Atropine sulfate 0.5 mg/ml
Ringerlaktaattiliuos 1228
Yhteensopiva
Injektioneste Heparin sodium 1 UI/ml
Injektioneste Atropine sulfate 0.5 mg/ml
Natriumkloridi 0,9% 1228
Yhteensopiva
Injektioneste Heparin sodium 100 UI/ml
Injektioneste Aztreonam 40 mg/ml
Glukoosi 5% 99
Yhteensopiva
Injektioneste Heparin sodium 50 UI/ml
Injektioneste Aztreonam 20 mg/ml
Ei mikään 317
Yhteensopiva
Injektioneste Heparin sodium 1 UI/ml
Injektioneste Betamethasone sodium phosphate 3 mg/ml
Natriumkloridi 0,9% 1228
Yhteensopiva
Injektioneste Heparin sodium 1 UI/ml
Injektioneste Betamethasone sodium phosphate 3 mg/ml
Glukoosi 5% 1228
Yhteensopiva
Injektioneste Heparin sodium 1 UI/ml
Injektioneste Betamethasone sodium phosphate 3 mg/ml
Ringerlaktaattiliuos 1228
Yhteensopiva
Injektioneste Heparin sodium 100 UI/ml
Injektioneste Bivalirudin 5 mg/ml
Glukoosi 5% 1713
Välittömät sateet yhteensopimaton
Injektioneste Heparin sodium 192.3 UI/ml
Injektioneste Blinatumomab 0.125 & 0.375 µg/ml
Natriumkloridi 0,9% 3976
Yhteensopiva
Injektioneste Heparin sodium 1000 UI/ml
Injektioneste Caffeine 10 mg/ml
Ei mikään 3964
Yhteensopiva
Injektioneste Heparin sodium 100 UI/ml
Injektioneste Caffeine 10 mg/ml
Natriumkloridi 0,9% 4837
Yhteensopiva
Injektioneste Heparin sodium 100 UI/ml
Injektioneste Caffeine citrate 20 mg/ml
Natriumkloridi 0,9% 4837
Sademäärä 30 minuutin kuluttua yhteensopimaton
Injektioneste Heparin sodium 2 UI/ml
Injektioneste Calcium chloride 20 mg/ml
Glukoosi 5% 4732
Yhteensopiva
Injektioneste Heparin sodium 100 UI/ml
Injektioneste Calcium chloride 20 mg/ml
Glukoosi 5% 4732
Emulsion välitön epävakaus yhteensopimaton
Injektioneste Heparin sodium
Injektioneste Calcium chloride
Parenteraalinen (lipidien) 1084
Emulsion välitön epävakaus yhteensopimaton
Injektioneste Heparin sodium
Injektioneste Calcium gluconate
Parenteraalinen (lipidien) 1084
Välittömät sateet yhteensopimaton
Injektioneste Heparin sodium 100 UI/ml
Injektioneste Caspofungin acetate 0.5 mg/ml
Natriumkloridi 0,9% 2233
Välittömät sateet yhteensopimaton
Injektioneste Heparin sodium 100 UI/ml
Injektioneste Caspofungin acetate 0,7 mg/ml
Natriumkloridi 0,9% 2247
Määrittelemätön yhteensopimattomuus yhteensopimaton
Injektioneste Heparin sodium
Injektioneste Cefalotin sodium
3540
Yhteensopiva
Injektioneste Heparin sodium 10 & 5000 UI/ml
Injektioneste Cefazolin sodium 10 mg/ml
Natriumkloridi 0,9% 2037
Yhteensopiva
Injektioneste Heparin sodium 50 UI/ml
Injektioneste Cefazolin sodium 20 mg/ml
Ei mikään 317
Yhteensopiva
Injektioneste Heparin sodium 0.667 UI/ml
Injektioneste Cefazolin sodium 0.333 mg/ml
Dianéal® PD2 1.5% Glukoosi (Baxter) 1979
Yhteensopiva
Injektioneste Heparin sodium 10 & 50 UI/ml
Injektioneste Cefepime dihydrochloride 4 mg/ml
Natriumkloridi 0,9% 3548
Yhteensopiva
Injektioneste Heparin sodium 10 & 50 UI/ml
Injektioneste Cefepime dihydrochloride 4 mg/ml
Glukoosi 5% 3548
Yhteensopiva
Injektioneste Heparin sodium 1000 UI/ml
Injektioneste Cefiderocol sulfate tosylate 20 mg/mL
Glukoosi 5% 4528
Yhteensopiva
Injektioneste Heparin sodium 1000 UI/ml
Injektioneste Cefiderocol sulfate tosylate 20 mg/mL
Natriumkloridi 0,9% 4528
Kemiallinen epävakaus yhteensopimaton
Injektioneste Heparin sodium 100 UI/ml
Injektioneste Cefmetazole sodium 100 mg/ml
Injektionesteisiin käytettävä vesi 93
Yhteensopiva
Injektioneste Heparin sodium 208 UI/ml
Injektioneste Cefotaxime sodium 41.6 & 125 mg/ml
Glukoosi 5% 4254
Yhteensopiva
Injektioneste Heparin sodium 208 UI/ml
Injektioneste Cefotaxime sodium 41.6 & 125 mg/ml
Natriumkloridi 0,9% 4254
Yhteensopiva
Injektioneste Heparin sodium 5000 UI/ml
Injektioneste Cefotaxime sodium 10 mg/ml
Injektionesteisiin käytettävä vesi 3125
Yhteensopiva
Injektioneste Heparin sodium 100 UI/ml
Injektioneste Ceftaroline fosamil 2,22 mg/ml
Ringerlaktaattiliuos 3249
Yhteensopiva
Injektioneste Heparin sodium 100 UI/ml
Injektioneste Ceftaroline fosamil 2,22 mg/ml
Natriumkloridi 0,9% 3249
Yhteensopiva
Injektioneste Heparin sodium 100 UI/ml
Injektioneste Ceftaroline fosamil 2,22 mg/ml
Glukoosi 5% 3249
Yhteensopiva
Injektioneste Heparin sodium 0.5 UI/ml
Injektioneste Ceftazidime 0.125 mg/ml
Extraneal® (Baxter) 4056
Yhteensopiva
Injektioneste Heparin sodium 0.5 UI/ml
Injektioneste Ceftazidime 0.125 mg/ml
Dianéal® PD2 4.25% Glukoosi (Baxter) 4056
Yhteensopiva
Injektioneste Heparin sodium 50 UI/ml
Injektioneste Ceftazidime 20 mg/ml
Ei mikään 317
Yhteensopiva
Injektioneste Heparin sodium 0.5 UI/ml
Injektioneste Ceftazidime 0.125 mg/ml
Dianéal® PD2 2.5% glucose (Baxter) 4056
Yhteensopiva
Injektioneste Heparin sodium 100 UI/ml
Injektioneste Ceftobiprole medocaril sodium 2 mg/ml
Natriumkloridi 0,9% 2269
Yhteensopiva
Injektioneste Heparin sodium 100 UI/ml
Injektioneste Ceftobiprole medocaril sodium 2 mg/ml
Glukoosi 5% 2269
Yhteensopiva
Injektioneste Heparin sodium 100 UI/ml
Injektioneste Ceftobiprole medocaril sodium 2 mg/ml
Ringerlaktaattiliuos 2269
Yhteensopiva
Injektioneste Heparin sodium 1000 UI/ml
Injektioneste Ceftolozane / tazobactam 10/5 mg/ml
Natriumkloridi 0,9% 3828
Yhteensopiva
Injektioneste Heparin sodium 1000 UI/ml
Injektioneste Ceftolozane / tazobactam 10/5 mg/ml
Glukoosi 5% 3828
Yhteensopiva
Injektioneste Heparin sodium 50 UI/ml
Injektioneste Ceftriaxone disodium 20 mg/ml
Ei mikään 317
Yhteensopiva
Injektioneste Heparin sodium 10 & 50 UI/ml
Injektioneste Cefuroxime sodium
Natriumkloridi 0,9% 3687
Yhteensopiva
Injektioneste Heparin sodium 58,34 UI/ml
Injektioneste Chlorpromazine hydrochloride 0,26 mg/ml
Glukoosi 5% 1289
Yhteensopiva
Injektioneste Heparin sodium 1 UI/ml
Injektioneste Chlorpromazine hydrochloride 10 mg/ml
Natriumkloridi 0,9% 1228
Yhteensopiva
Injektioneste Heparin sodium 1 UI/ml
Injektioneste Chlorpromazine hydrochloride 10 mg/ml
Glukoosi 5% 1228
Määrittelemätön yhteensopimattomuus yhteensopimaton
Injektioneste Heparin sodium
Injektioneste Chlorpromazine hydrochloride
3540
Yhteensopiva
Injektioneste Heparin sodium 1 UI/ml
Injektioneste Chlorpromazine hydrochloride 10 mg/ml
Ringerlaktaattiliuos 1228
Yhteensopiva
Injektioneste Heparin sodium 50 UI/ml
Injektioneste Cimetidine hydrochloride 6 mg/ml
Ei mikään 317
Yhteensopiva
Injektioneste Heparin sodium 5000 & 10000 UI/ml
Injektioneste Ciprofloxacin lactate 0.4 & 0.6 mg/ml
Natriumkloridi 0,9% 2057
Välittömät sateet yhteensopimaton
Injektioneste Heparin sodium 10 >> 10000 UI/ml
Injektioneste Ciprofloxacin lactate 1 mg/ml
Natriumkloridi 0,9% 2057
Välittömät sateet yhteensopimaton
Injektioneste Heparin sodium 10 & 100 UI/ml
Injektioneste Ciprofloxacin lactate 0.2 mg/ml
Natriumkloridi 0,9% 2057
Määrittelemätön yhteensopimattomuus yhteensopimaton
Injektioneste Heparin sodium
Injektioneste Ciprofloxacin lactate
3540
Välittömät sateet yhteensopimaton
Injektioneste Heparin sodium 10 >> 1000 UI/ml
Injektioneste Ciprofloxacin lactate 0.4 & 0.6 mg/ml
Natriumkloridi 0,9% 2057
Yhteensopiva
Injektioneste Heparin sodium 1000 >> 10000 UI/ml
Injektioneste Ciprofloxacin lactate 0.2 mg/ml
Natriumkloridi 0,9% 2057
Välittömät sateet yhteensopimaton
Injektioneste Heparin sodium 10 >> 5000 UI/ml
Injektioneste Ciprofloxacin lactate 0.8 mg/ml
Natriumkloridi 0,9% 2057
Yhteensopiva
Injektioneste Heparin sodium 10 >> 10000 UI/ml
Injektioneste Ciprofloxacin lactate 0.1 mg/ml
Natriumkloridi 0,9% 2057
Välittömät sateet yhteensopimaton
Injektioneste Heparin sodium 100 UI/ml
Injektioneste Ciprofloxacin lactate 2 mg/ml
Natriumkloridi 0,9% 288
Määrittelemätön yhteensopimattomuus yhteensopimaton
Injektioneste Heparin sodium
Injektioneste Ciprofloxacin lactate
3529
Välittömät sateet yhteensopimaton
Injektioneste Heparin sodium 100 UI/ml
Injektioneste Ciprofloxacin lactate 2 mg/ml
Glukoosi 5% 288
Välittömät sateet yhteensopimaton
Injektioneste Heparin sodium 10 >> 1000 UI/ml
Injektioneste Ciprofloxacin lactate 2 mg/ml
Natriumkloridi 0,9% 289
Välitön sameus yhteensopimaton
Injektioneste Heparin sodium 10 UI/ml
Injektioneste Ciprofloxacin lactate 2 mg/ml
Ei mikään 1393
Yhteensopiva
Injektioneste Heparin sodium 10000 UI/ml
Injektioneste Ciprofloxacin lactate 0.8 mg/ml
Natriumkloridi 0,9% 2057
Yhteensopiva
Injektioneste Heparin sodium 100 UI/ml
Injektioneste Cisatracurium besylate 0.1 & 2 mg/ml
Glukoosi 5% 299
Välittömät sateet yhteensopimaton
Injektioneste Heparin sodium 100 UI/ml
Injektioneste Cisatracurium besylate 5 mg/ml
Glukoosi 5% 299
Värinvaihto yhteensopimaton
Injektioneste Heparin sodium 500 UI/ml
Injektioneste Cisatracurium besylate 5 mg/ml
Natriumkloridi 0,9% 3463
Määrittelemätön yhteensopimattomuus yhteensopimaton
Injektioneste Heparin sodium 500 UI/ml
Injektioneste Cisatracurium besylate 5 mg/ml
Natriumkloridi 0,9% 3823
Määrittelemätön yhteensopimattomuus yhteensopimaton
Injektioneste Heparin sodium
Injektioneste Cisatracurium besylate
3540
Yhteensopiva
Injektioneste Heparin sodium 100 UI/ml
Injektioneste Cladribine 0.5 mg/ml
Natriumkloridi 0,9%, sisältää säilytysaineen 1496
Yhteensopiva
Injektioneste Heparin sodium 100 UI/ml
Injektioneste Cladribine 0.015 mg/ml
Natriumkloridi 0,9% 1496
Yhteensopiva
Injektioneste Heparin sodium 50 UI/ml
Injektioneste Clindamycin phosphate 12 mg/ml
Ei mikään 317
Yhteensopiva
Injektioneste Heparin sodium 50 UI/ml
Injektioneste Clonidine hydrochloride 0.0075 mg/ml
Natriumkloridi 0,9% 1506
Yhteensopiva
Injektioneste Heparin sodium 50 UI/ml
Injektioneste Clonidine hydrochloride 0.0075 mg/ml
Glukoosi 5% 1506
Yhteensopiva
Injektioneste Heparin sodium 100 UI/ml
Injektioneste Cloxacillin sodium 100 mg/ml
Injektionesteisiin käytettävä vesi 3012
Sade 4 tunnin kuluttua yhteensopimaton
Injektioneste Heparin sodium 208 UI/ml
Injektioneste Co-trimoxazole 3.2/0.64 & 80/16 mg/ml
Natriumkloridi 0,9% 4254
Sade 4 tunnin kuluttua yhteensopimaton
Injektioneste Heparin sodium 208 UI/ml
Injektioneste Co-trimoxazole 3.2/0.64 & 80/16 mg/ml
Glukoosi 5% 4254
Yhteensopiva
Injektioneste Heparin sodium 1 UI/ml
Injektioneste Cyanocobalamine 0.1 mg/ml
Ringerlaktaattiliuos 1228
Yhteensopiva
Injektioneste Heparin sodium 1 UI/ml
Injektioneste Cyanocobalamine 0.1 mg/ml
Glukoosi 5% 1228
Yhteensopiva
Injektioneste Heparin sodium 1 UI/ml
Injektioneste Cyanocobalamine 0.1 mg/ml
Natriumkloridi 0,9% 1228
Määrittelemätön yhteensopimattomuus yhteensopimaton
Injektioneste Heparin sodium
Injektioneste Cytarabine
3540
Määrittelemätön yhteensopimattomuus yhteensopimaton
Injektioneste Heparin sodium
Injektioneste Cytarabine
3580
Määrittelemätön yhteensopimattomuus yhteensopimaton
Injektioneste Heparin sodium
Injektioneste Dacarbazine
3605
Välittömät sateet yhteensopimaton
Injektioneste Heparin sodium 100 UI/ml
Injektioneste Dacarbazine 25 mg/ml
Natriumkloridi 0,9% 860
Määrittelemätön yhteensopimattomuus yhteensopimaton
Injektioneste Heparin sodium
Injektioneste Dacarbazine
3267
Määrittelemätön yhteensopimattomuus yhteensopimaton
Injektioneste Heparin sodium
Injektioneste Dacarbazine
3540
Yhteensopiva
Injektioneste Heparin sodium
Injektioneste Daptomycin
2271
Yhteensopiva
Injektioneste Heparin sodium 98 UI/ml
Injektioneste Daptomycin 19,6 mg/ml
Natriumkloridi 0,9% 1937
Välittömät sateet yhteensopimaton
Injektioneste Heparin sodium
Injektioneste Daunorubicin hydrochloride
3604
Määrittelemätön yhteensopimattomuus yhteensopimaton
Injektioneste Heparin sodium
Injektioneste Daunorubicin hydrochloride
3540
Välittömät sateet yhteensopimaton
Injektioneste Heparin sodium
Injektioneste Daunorubicin hydrochloride liposome
3577
Välitön sameus yhteensopimaton
Injektioneste Heparin sodium
Injektioneste Daunorubicin/cytarabine liposomale 0,4 mg/mL
Natriumkloridi 0,9% 4654
Yhteensopiva
Injektioneste Heparin sodium 373 UI/ml
Injektioneste Defibrotide 8 mg/ml
Natriumkloridi 0,9% 3728
Yhteensopiva
Injektioneste Heparin sodium 50 UI/ml
Injektioneste Dexamethasone sodium phosphate 0.08 mg/ml
Ei mikään 317
Yhteensopiva
Injektioneste Heparin sodium
Injektioneste Dexketoprofen
4981
Yhteensopiva
Injektioneste Heparin sodium 100 UI/ml
Injektioneste Dexmedetomidine 4 µg/ml
Natriumkloridi 0,9% 1712
Yhteensopiva
Injektioneste Heparin sodium 10000 UI/ml
Injektioneste Diatrizoate meglumine 283 mg/ml
Ei mikään 1085
Määrittelemätön yhteensopimattomuus yhteensopimaton
Injektioneste Heparin sodium
Injektioneste Diazepam
3540
Yhteensopiva
Injektioneste Heparin sodium 100 UI/ml
Injektioneste Diltiazem hydrochloride 1 mg/ml
314
Välittömät sateet yhteensopimaton
Injektioneste Heparin sodium 20000 UI/ml
Injektioneste Diltiazem hydrochloride 5 mg/ml
Natriumkloridi 0,9% 198
Yhteensopiva
Injektioneste Heparin sodium 100 UI/ml
Injektioneste Diltiazem hydrochloride 1 mg/ml
Glukoosi 5% 4556
Välitön sameus yhteensopimaton
Injektioneste Heparin sodium 100 UI/ml
Injektioneste Diltiazem hydrochloride 5 mg/ml
Glukoosi 5% 4556
Yhteensopiva
Injektioneste Heparin sodium 20000 UI/ml
Injektioneste Diltiazem hydrochloride 1 mg/ml
Natriumkloridi 0,9% 198
Yhteensopiva
Injektioneste Heparin sodium
Injektioneste Diltiazem hydrochloride
5090
Yhteensopiva
Injektioneste Heparin sodium 80 >> 10000 UI/ml
Injektioneste Diltiazem hydrochloride 1 & 5 mg/ml
Natriumkloridi 0,9% 198
Välittömät sateet yhteensopimaton
Injektioneste Heparin sodium
Injektioneste Dimenhydrinate
2087
Yhteensopiva
Injektioneste Heparin sodium 1 UI/ml
Injektioneste Diphenhydramine hydrochloride 50 mg/ml
Natriumkloridi 0,9% 1228
Yhteensopiva
Injektioneste Heparin sodium 1 UI/ml
Injektioneste Diphenhydramine hydrochloride 50 mg/ml
Glukoosi 5% 1228
Yhteensopiva
Injektioneste Heparin sodium 1 UI/ml
Injektioneste Diphenhydramine hydrochloride 50 mg/ml
Ringerlaktaattiliuos 1228
Sade 4 tunnin kuluttua yhteensopimaton
Injektioneste Heparin sodium 100 UI/ml
Injektioneste Dobutamine hydrochloride 4 mg/ml
314
Yhteensopiva
Injektioneste Heparin sodium 40 UI/ml
Injektioneste Dobutamine hydrochloride 1 mg/ml
Natriumkloridi 0,9% 1058
Yhteensopiva
Injektioneste Heparin sodium 100 UI/ml
Injektioneste Dobutamine hydrochloride 2 mg/ml
Glukoosi 5% 1041
Välittömät sateet yhteensopimaton
Injektioneste Heparin sodium 100 UI/ml
Injektioneste Dobutamine hydrochloride 2 mg/ml
Glukoosi 5% 1352
Välitön sameus yhteensopimaton
Injektioneste Heparin sodium 100 UI/ml
Injektioneste Dobutamine hydrochloride 4 mg/ml
Glukoosi 5% 295
Välittömät sateet yhteensopimaton
Injektioneste Heparin sodium
Injektioneste Dobutamine hydrochloride
3540
Värinvaihto 6 tunnin kuluttua yhteensopimaton
Injektioneste Heparin sodium 10000 UI/ml
Injektioneste Dobutamine hydrochloride 2 mg/ml
Glukoosi 5% 1041
Yhteensopiva
Injektioneste Heparin sodium 40 UI/ml
Injektioneste Dobutamine hydrochloride 1 mg/ml
Glukoosi 5% 1058
Yhteensopiva
Injektioneste Heparin sodium 50 UI/ml
Injektioneste Dobutamine hydrochloride 1 mg/ml
Ei mikään 317
Yhteensopiva
Injektioneste Heparin sodium 100 UI/ml
Injektioneste Docetaxel 0.9 mg/ml
Glukoosi 5% 1754
Yhteensopiva
Injektioneste Heparin sodium 1 UI/ml
Injektioneste Dopamine hydrochloride 40 mg/ml
Natriumkloridi 0,9% 1228
Yhteensopiva
Injektioneste Heparin sodium 50 UI/ml
Injektioneste Dopamine hydrochloride 1.6 mg/ml
Ei mikään 317
Yhteensopiva
Injektioneste Heparin sodium 100 UI/ml
Injektioneste Dopamine hydrochloride 3.2 mg/ml
314
Yhteensopiva
Injektioneste Heparin sodium 1 UI/ml
Injektioneste Dopamine hydrochloride 40 mg/ml
Ringerlaktaattiliuos 1228
Yhteensopiva
Injektioneste Heparin sodium 200 UI/ml
Injektioneste Dopamine hydrochloride 0.8 mg/ml
Glukoosi 5% 738
Yhteensopiva
Injektioneste Heparin sodium 1 UI/ml
Injektioneste Dopamine hydrochloride 40 mg/ml
Glukoosi 5% 1228
Yhteensopiva
Injektioneste Heparin sodium 100 UI/ml
Injektioneste Dopamine hydrochloride 3,2 mg/ml
4389
Määrittelemätön yhteensopimattomuus yhteensopimaton
Injektioneste Heparin sodium 187 UI/ml
Injektioneste Dopamine hydrochloride 1,7 >> 3,4 mg/ml
Glukoosi 5% 377
Yhteensopiva
Injektioneste Heparin sodium 100 UI/ml
Injektioneste Doripenem 5 mg/ml
Natriumkloridi 0,9% 2262
Yhteensopiva
Injektioneste Heparin sodium 100 UI/ml
Injektioneste Doripenem 5 mg/ml
Glukoosi 5% 2262
Yhteensopiva
Injektioneste Heparin sodium 1 UI/ml
Injektioneste Doxapram hydrochloride 2 mg/ml
Glukoosi 5% 1802
Määrittelemätön yhteensopimattomuus yhteensopimaton
Injektioneste Heparin sodium
Injektioneste Doxorubicin hydrochloride
3540
Välittömät sateet yhteensopimaton
Injektioneste Heparin sodium
Injektioneste Doxorubicin hydrochloride
3645
Välittömät sateet yhteensopimaton
Injektioneste Heparin sodium 1000 UI/ml
Injektioneste Doxorubicin hydrochloride 2 mg/ml
763
Yhteensopiva
Injektioneste Heparin sodium 1000 UI/ml
Injektioneste Doxorubicin hydrochloride liposome peg 0.4 mg/ml
Glukoosi 5% 251
Määrittelemätön yhteensopimattomuus yhteensopimaton
Injektioneste Heparin sodium 50 UI/ml
Injektioneste Doxycycline hyclate 1 mg/ml
Ei mikään 317
Välittömät sateet yhteensopimaton
Injektioneste Heparin sodium 1000 UI/ml
Injektioneste Droperidol 2,5 mg/ml
763
Yhteensopiva
Injektioneste Heparin sodium 1 UI/ml
Injektioneste Droperidol 1.25 mg/ml
Natriumkloridi 0,9% 1228
Yhteensopiva
Injektioneste Heparin sodium 1 UI/ml
Injektioneste Droperidol 1.25 mg/ml
Ringerlaktaattiliuos 1228
Yhteensopiva
Injektioneste Heparin sodium 1 UI/ml
Injektioneste Droperidol 1.25 mg/ml
Glukoosi 5% 1228
Määrittelemätön yhteensopimattomuus yhteensopimaton
Injektioneste Heparin sodium
Injektioneste Droperidol
3540
Yhteensopiva
Injektioneste Heparin sodium 45,45 UI/ml
Injektioneste Enalaprilate 0,011 mg/ml
Glukoosi 5% 963
Yhteensopiva
Injektioneste Heparin sodium 40 UI/ml
Injektioneste Enalaprilate 0.05 mg/ml
Natriumkloridi 0,9% 1315
Yhteensopiva
Injektioneste Heparin sodium 50 UI/ml
Injektioneste Enalaprilate 0.0125 mg/ml
Natriumkloridi 0,9% 1703
Yhteensopiva
Injektioneste Heparin sodium 1 UI/ml
Injektioneste Epinephrine hydrochloride 100 µg/ml
Ringerlaktaattiliuos 1228
Yhteensopiva
Injektioneste Heparin sodium 100 UI/ml
Injektioneste Epinephrine hydrochloride 20 µg/ml
314
Yhteensopiva
Injektioneste Heparin sodium 1 UI/ml
Injektioneste Epinephrine hydrochloride 100 µg/ml
Natriumkloridi 0,9% 1228
Yhteensopiva
Injektioneste Heparin sodium 1 UI/ml
Injektioneste Epinephrine hydrochloride 100 µg/ml
Glukoosi 5% 1228
Määrittelemätön yhteensopimattomuus yhteensopimaton
Injektioneste Heparin sodium
Injektioneste Epirubicin hydrochloride
3632
Yhteensopiva
Injektioneste Heparin sodium
Injektioneste Eptifibatide
3934
Yhteensopiva
Injektioneste Heparin sodium 1000 UI/ml
Injektioneste Eravacycline 0,6 mg/ml
Natriumkloridi 0,9% 4434
Välitön sameus yhteensopimaton
Injektioneste Heparin sodium 1 UI/ml
Injektioneste Ergotamine tartrate 0.5 mg/ml
Natriumkloridi 0,9% 1228
Sade 4 tunnin kuluttua yhteensopimaton
Injektioneste Heparin sodium 1 UI/ml
Injektioneste Ergotamine tartrate 0.5 mg/ml
Ringerlaktaattiliuos 1228
Sade 4 tunnin kuluttua yhteensopimaton
Injektioneste Heparin sodium 1 UI/ml
Injektioneste Ergotamine tartrate 0.5 mg/ml
Glukoosi 5% 1228
Yhteensopiva
Injektioneste Heparin sodium 50 & 100 UI/ml
Injektioneste Ertapenem 10 & 20 mg/ml
Natriumkloridi 0,9% 1906
Yhteensopiva
Injektioneste Heparin sodium 50 UI/ml
Injektioneste Erythromycin lactobionate 3.3 mg/ml
Ei mikään 317
Määrittelemätön yhteensopimattomuus yhteensopimaton
Injektioneste Heparin sodium
Injektioneste Erythromycin lactobionate
3674
Määrittelemätön yhteensopimattomuus yhteensopimaton
Injektioneste Heparin sodium
Injektioneste Erythromycin lactobionate
3540
Yhteensopiva
Injektioneste Heparin sodium 50 UI/ml
Injektioneste Esmolol hydrochloride 6 mg/ml
Glukoosi 5% 174
Yhteensopiva
Injektioneste Heparin sodium 40 UI/ml
Injektioneste Esmolol hydrochloride 10 mg/ml
Glukoosi 5% 384
Yhteensopiva
Injektioneste Heparin sodium 500 UI/ml
Injektioneste Esmolol hydrochloride 10 mg/ml
Natriumkloridi 0,9% 3823
Välittömät sateet yhteensopimaton
Injektioneste Heparin sodium 1000 UI/ml
Injektioneste Ethanol 70 %
Injektionesteisiin käytettävä vesi, sisältää säilytysaineen 2221
Välittömät sateet yhteensopimaton
Injektioneste Heparin sodium 1000 UI/ml
Injektioneste Ethanol 70 %
Injektionesteisiin käytettävä vesi 2221
Sade 1 tunnin kuluttua yhteensopimaton
Injektioneste Heparin sodium 10 UI/ml
Injektioneste Ethanol 70 %
Injektionesteisiin käytettävä vesi, sisältää säilytysaineen 2221
Välittömät sateet yhteensopimaton
Injektioneste Heparin sodium 10 UI/ml
Injektioneste Ethanol 70 %
Injektionesteisiin käytettävä vesi 2221
Yhteensopiva
Injektioneste Heparin sodium 100 UI/ml
Injektioneste Etoposide phosphate 5 mg/ml
Glukoosi 5% 1410
Yhteensopiva
Injektioneste Heparin sodium 40 UI/ml
Injektioneste Famotidine
Glukoosi 5% 397
Yhteensopiva
Injektioneste Heparin sodium 50 UI/ml
Injektioneste Famotidine 0.2 mg/ml
Glukoosi 5% 398
Yhteensopiva
Injektioneste Heparin sodium 40 UI/ml
Injektioneste Famotidine 2 mg/ml
Natriumkloridi 0,9% 215
Yhteensopiva
Injektioneste Heparin sodium 100 UI/ml
Injektioneste Fenoldopam mesylate 80 µg/ml
Natriumkloridi 0,9% 1803
Yhteensopiva
Injektioneste Heparin sodium 100 UI/ml
Injektioneste Fentanyl citrate 50 µg/ml
4389
Yhteensopiva
Injektioneste Heparin sodium 1 UI/ml
Injektioneste Fentanyl citrate 50 µg/ml
Glukoosi 5% 1228
Yhteensopiva
Injektioneste Heparin sodium 1 UI/ml
Injektioneste Fentanyl citrate 50 µg/ml
Ringerlaktaattiliuos 1228
Yhteensopiva
Injektioneste Heparin sodium 1 UI/ml
Injektioneste Fentanyl citrate 50 µg/ml
Natriumkloridi 0,9% 1228
Yhteensopiva
Injektioneste Heparin sodium 100 UI/ml
Injektioneste Fentanyl citrate 50 µg/ml
314
Välittömät sateet yhteensopimaton
Injektioneste Heparin sodium 100 UI/ml
Injektioneste Filgrastim 30 µg/ml
Glukoosi 5% 244
Yhteensopiva
Injektioneste Heparin sodium 1000 UI/ml
Injektioneste Fluconazole 2 mg/ml
Natriumkloridi 0,9% 496
Yhteensopiva
Injektioneste Heparin sodium 50 UI/ml
Injektioneste Fluconazole 2 mg/ml
Ei mikään 317
Yhteensopiva
Injektioneste Heparin sodium 40 >> 1000 UI/ml
Injektioneste Fludarabine phosphate 1 mg/ml
Glukoosi 5% 492
Yhteensopiva
Injektioneste Heparin sodium 50 UI/ml
Injektioneste Flumazenil 0,02 mg/ml
Glukoosi 5% 187
Yhteensopiva
Injektioneste Heparin sodium 5 UI/ml
Injektioneste Fluorouracil 0,8 mg/ml
Natriumkloridi 0,9% 156
Yhteensopiva
Injektioneste Heparin sodium 5 UI/ml
Injektioneste Fluorouracil 0,8 mg/ml
Glukoosi 5% 156
Yhteensopiva
Injektioneste Heparin sodium 1 UI/ml
Injektioneste Fluorouracil 50 mg/ml
Natriumkloridi 0,9% 1228
Yhteensopiva
Injektioneste Heparin sodium 960 UI/ml
Injektioneste Fluorouracil 24 mg/ml
Glukoosi 5% 163
Yhteensopiva
Injektioneste Heparin sodium 1 UI/ml
Injektioneste Fluorouracil 50 mg/ml
Glukoosi 5% 1228
Yhteensopiva
Injektioneste Heparin sodium 1000 UI/ml
Injektioneste Fluorouracil 50 mg/ml
763
Yhteensopiva
Injektioneste Heparin sodium 1 UI/ml
Injektioneste Fluorouracil 50 mg/ml
Ringerlaktaattiliuos 1228
Yhteensopiva
Injektioneste Heparin sodium 1000 UI/ml
Injektioneste Folinate calcium 10 mg/ml
763
Yhteensopiva
Injektioneste Heparin sodium 100 UI/ml
Injektioneste Foscarnet sodium 24 mg/ml
Glukoosi 5% 1135
Yhteensopiva
Injektioneste Heparin sodium 100 UI/ml
Injektioneste Foscarnet sodium 24 mg/ml
Natriumkloridi 0,9% 1135
Yhteensopiva
Injektioneste Heparin sodium 1000 UI/ml
Injektioneste Foscarnet sodium 24 mg/ml
Ei mikään 73
Yhteensopiva
Injektioneste Heparin sodium 1000 UI/ml
Injektioneste Fosfomycin 30 mg/ml
Glukoosi 5% 4055
Yhteensopiva
Injektioneste Heparin sodium 1000 UI/ml
Injektioneste Fosfomycin 30 mg/ml
Natriumkloridi 0,9% 4055
Yhteensopiva
Injektioneste Heparin sodium 100 UI/ml
Injektioneste Furosemide 10 mg/ml
314
Yhteensopiva
Injektioneste Heparin sodium 1 UI/ml
Injektioneste Furosemide 10 mg/ml
Natriumkloridi 0,9% 1228
Sade 5 tunnin kuluttua yhteensopimaton
Injektioneste Heparin sodium 100 UI/ml
Injektioneste Furosemide 10 mg/ml
Glukoosi 5% 4724
Yhteensopiva
Injektioneste Heparin sodium 20 UI/ml
Injektioneste Furosemide 1 mg/ml
Natriumkloridi 0,9% 1232
Yhteensopiva
Injektioneste Heparin sodium 58,34 UI/ml
Injektioneste Furosemide 5,21 mg/ml
Glukoosi 5% 1289
Yhteensopiva
Injektioneste Heparin sodium
Injektioneste Furosemide
3465
Yhteensopiva
Injektioneste Heparin sodium 1 UI/ml
Injektioneste Furosemide 10 mg/ml
Ringerlaktaattiliuos 1228
Yhteensopiva
Injektioneste Heparin sodium 1000 UI/ml
Injektioneste Furosemide 10 mg/ml
763
Yhteensopiva
Injektioneste Heparin sodium 10 UI/ml
Injektioneste Furosemide 10 mg/ml
Ei mikään 3210
Yhteensopiva
Injektioneste Heparin sodium 500 UI/ml
Injektioneste Furosemide 10 mg/ml
Natriumkloridi 0,9% 3823
Yhteensopiva
Injektioneste Heparin sodium 500 UI/ml
Injektioneste Furosemide 10 mg/ml
Ei mikään 3134
Yhteensopiva
Injektioneste Heparin sodium 1 UI/ml
Injektioneste Furosemide 10 mg/ml
Glukoosi 5% 1228
Yhteensopiva
Injektioneste Heparin sodium 40 UI/ml
Injektioneste Gallium nitrate 1 mg/ml
Natriumkloridi 0,9% 91
Yhteensopiva
Injektioneste Heparin sodium 100 UI/ml
Injektioneste Gemcitabine hydrochloride 10 mg/ml
Natriumkloridi 0,9% 1423
Välitön sameus yhteensopimaton
Injektioneste Heparin sodium 2500 UI/ml
Injektioneste Gentamicin sulfate 3 mg/ml
4612
Määrittelemätön yhteensopimattomuus yhteensopimaton
Injektioneste Heparin sodium
Injektioneste Gentamicin sulfate
3520
Määrittelemätön yhteensopimattomuus yhteensopimaton
Injektioneste Heparin sodium
Injektioneste Gentamicin sulfate
3643
Välittömät sateet yhteensopimaton
Injektioneste Heparin sodium
Injektioneste Gentamicin sulfate
1022
Määrittelemätön yhteensopimattomuus yhteensopimaton
Injektioneste Heparin sodium 50 UI/ml
Injektioneste Gentamicin sulfate 2 mg/ml
Ei mikään 317
Välittömät sateet yhteensopimaton
Injektioneste Heparin sodium 10 >> 40 UI/ml
Injektioneste Gentamicin sulfate 4 >> 40 mg/ml
1258
Välittömät sateet yhteensopimaton
Injektioneste Heparin sodium 2500 UI/ml
Injektioneste Gentamicin sulfate 4 & 5 mg/ml
4612
Määrittelemätön yhteensopimattomuus yhteensopimaton
Injektioneste Heparin sodium
Injektioneste Gentamicin sulfate
3540
Yhteensopiva
Injektioneste Heparin sodium 2500 UI/ml
Injektioneste Gentamicin sulfate 1 & 2 mg/ml
4612
Yhteensopiva
Injektioneste Heparin sodium 50 UI/ml
Injektioneste Glycerophosphate disodium
Natriumkloridi 0,9% 4332
Yhteensopiva
Injektioneste Heparin sodium 100 UI/ml
Injektioneste Granisetron hydrochloride 0.05 mg/ml
Glukoosi 5% 182
Välittömät sateet yhteensopimaton
Injektioneste Heparin sodium 100 & 200 UI/ml
Injektioneste Haloperidol lactate 5 mg/ml
Glukoosi 5% 617
Välittömät sateet yhteensopimaton
Injektioneste Heparin sodium 100 & 200 UI/ml
Injektioneste Haloperidol lactate 5 mg/ml
Natriumkloridi 0,9% 617
Yhteensopiva
Injektioneste Heparin sodium 500 UI/ml
Injektioneste Haloperidol lactate 0.5 mg/ml
Natriumkloridi 0,9% 3823
Määrittelemätön yhteensopimattomuus yhteensopimaton
Injektioneste Heparin sodium
Injektioneste Haloperidol lactate
3540
Yhteensopiva
Injektioneste Heparin sodium 100 UI/ml
Injektioneste Hetastarch 60 mg/ml
spesifiseen liuottimeen 1721
Määrittelemätön yhteensopimattomuus yhteensopimaton
Injektioneste Heparin sodium
Injektioneste Hyaluronidase
3617
Määrittelemätön yhteensopimattomuus yhteensopimaton
Injektioneste Heparin sodium
Injektioneste Hyaluronidase
3184
Määrittelemätön yhteensopimattomuus yhteensopimaton
Injektioneste Heparin sodium
Injektioneste Hyaluronidase
3540
Yhteensopiva
Injektioneste Heparin sodium 1 UI/ml
Injektioneste Hydralazine hydrochloride 20 mg/ml
Glukoosi 5% 1228
Yhteensopiva
Injektioneste Heparin sodium 1 UI/ml
Injektioneste Hydralazine hydrochloride 20 mg/ml
Ringerlaktaattiliuos 1228
Yhteensopiva
Injektioneste Heparin sodium 1 UI/ml
Injektioneste Hydralazine hydrochloride 20 mg/ml
Natriumkloridi 0,9% 1228
Yhteensopiva
Injektioneste Heparin sodium 100 UI/ml
Injektioneste Hydrocortisone sodium succinate 125 mg/ml
Natriumkloridi 0,9% 132
Määrittelemätön yhteensopimattomuus yhteensopimaton
Injektioneste Heparin sodium
Injektioneste Hydrocortisone sodium succinate
3540
Yhteensopiva
Injektioneste Heparin sodium 50 UI/ml
Injektioneste Hydrocortisone sodium succinate 2 mg/ml
Ei mikään 317
Yhteensopiva
Injektioneste Heparin sodium 100 UI/ml
Injektioneste Hydrocortisone sodium succinate 125 mg/ml
Glukoosi 5% 132
Yhteensopiva
Injektioneste Heparin sodium
Injektioneste Hydromorphone hydrochloride <12.5 mg/ml
Natriumkloridi 0,9% 66
Yhteensopiva
Injektioneste Heparin sodium 100 UI/ml
Injektioneste Hydromorphone hydrochloride 1 mg/ml
314
Välittömät sateet yhteensopimaton
Injektioneste Heparin sodium <12,5 UI/ml
Injektioneste Hydromorphone hydrochloride >25 mg/ml
Natriumkloridi 0,9% 66
Yhteensopiva
Injektioneste Heparin sodium
Injektioneste Hydromorphone hydrochloride <12.5 mg/ml
Injektionesteisiin käytettävä vesi 66
Välittömät sateet yhteensopimaton
Injektioneste Heparin sodium <1 UI/ml
Injektioneste Hydromorphone hydrochloride >10 mg/ml
Injektionesteisiin käytettävä vesi 66
Välittömät sateet yhteensopimaton
Injektioneste Heparin sodium <12,5 UI/ml
Injektioneste Hydromorphone hydrochloride >25 mg/ml
Injektionesteisiin käytettävä vesi 66
Yhteensopiva
Injektioneste Heparin sodium 100 UI/ml
Injektioneste Ibuprofen lysinate 10 mg/ml
Injektionesteisiin käytettävä vesi 4419
Yhteensopiva
Injektioneste Heparin sodium 10 UI/ml
Injektioneste Ibuprofen lysinate 10 mg/ml
Injektionesteisiin käytettävä vesi 4419
Välitön sameus yhteensopimaton
Injektioneste Heparin sodium 100 & 1000 UI/ml
Injektioneste Idarubicin hydrochloride 1 mg/ml
Natriumkloridi 0,9% 491
Välittömät sateet yhteensopimaton
Injektioneste Heparin sodium
Injektioneste Idarubicin hydrochloride
5075
Yhteensopiva
Injektioneste Heparin sodium
Injektioneste Imipenem-Cilastatin / Relebactam
4809
Yhteensopiva
Injektioneste Heparin sodium 1000 UI/ml
Injektioneste Imipenem-Cilastatin / Relebactam 5 mg/ml
Natriumkloridi 0,9% 4433
Yhteensopiva
Injektioneste Heparin sodium 1000 UI/ml
Injektioneste Imipenem-Cilastatin / Relebactam 5 mg/ml
Glukoosi 5% 4433
Yhteensopiva
Injektioneste Heparin sodium 500 UI/ml
Injektioneste Insulin 2 UI/ml
Natriumkloridi 0,9% 3823
Yhteensopiva
Injektioneste Heparin sodium 60 UI/ml
Injektioneste Insulin 0.2 UI/ml
Natriumkloridi 0,9% 129
Yhteensopiva
Injektioneste Heparin sodium 50 & 400 UI/ml
Injektioneste Insulin aspart 1 UI/ml
Glukoosi 5% 1508
Yhteensopiva
Injektioneste Heparin sodium 50 & 400 UI/ml
Injektioneste Insulin aspart 1 UI/ml
Natriumkloridi 0,9% 1508
Yhteensopiva
Injektioneste Heparin sodium 10000 UI/ml
Injektioneste Iohexol 300 mg I/ml
Ei mikään 1085
Yhteensopiva
Injektioneste Heparin sodium 10000 UI/ml
Injektioneste Ioxaglate 320 mg I/ml
Ei mikään 1085
Välitön sameus yhteensopimaton
Injektioneste Heparin sodium 1000 UI/ml
Injektioneste Isavuconazonium sulfate 1.5 mg/ml
Natriumkloridi 0,9% 3829
Välitön sameus yhteensopimaton
Injektioneste Heparin sodium 1000 UI/ml
Injektioneste Isavuconazonium sulfate 1.5 mg/ml
Glukoosi 5% 3829
Yhteensopiva
Injektioneste Heparin sodium 1 UI/ml
Injektioneste Isoprenaline hydrochloride 0.2 mg/ml
Glukoosi 5% 1228
Yhteensopiva
Injektioneste Heparin sodium 1 UI/ml
Injektioneste Isoprenaline hydrochloride 0.2 mg/ml
Natriumkloridi 0,9% 1228
Yhteensopiva
Injektioneste Heparin sodium 1 UI/ml
Injektioneste Isoprenaline hydrochloride 0.2 mg/ml
Ringerlaktaattiliuos 1228
Määrittelemätön yhteensopimattomuus yhteensopimaton
Injektioneste Heparin sodium
Injektioneste Kanamycin sulfate
3540
Välittömät sateet yhteensopimaton
Injektioneste Heparin sodium 25000 UI/ml
Injektioneste Ketamine hydrochloride 50 mg/ml
2109
Yhteensopiva
Injektioneste Heparin sodium 100 UI/ml
Injektioneste Labetalol hydrochloride 2 mg/ml
314
Määrittelemätön yhteensopimattomuus yhteensopimaton
Injektioneste Heparin sodium 500 UI/ml
Injektioneste Labetalol hydrochloride 4 mg/ml
Natriumkloridi 0,9% 3823
Määrittelemätön yhteensopimattomuus yhteensopimaton
Injektioneste Heparin sodium
Injektioneste Labetalol hydrochloride
3540
Välittömät sateet yhteensopimaton
Injektioneste Heparin sodium 100 UI/ml
Injektioneste Labetalol hydrochloride 5 mg/ml
Glukoosi 5% 295
Yhteensopiva
Injektioneste Heparin sodium 40 UI/ml
Injektioneste Labetalol hydrochloride 1 mg/ml
Glukoosi 5% 386
Yhteensopiva
Injektioneste Heparin sodium 100 UI/ml
Injektioneste Lansoprazole 0.55 mg/ml
Natriumkloridi 0,9% 1625
Sameus 4 tunnissa yhteensopimaton
Injektioneste Heparin sodium 100 UI/ml
Injektioneste Levetiracetam 100 mg/ml
Glukoosi 5% 4108
Välitön sameus yhteensopimaton
Injektioneste Heparin sodium 208,3 UI/ml
Injektioneste Levetiracetam 15 mg/ml
Natriumkloridi 0,9% 4698
Määrittelemätön yhteensopimattomuus yhteensopimaton
Injektioneste Heparin sodium
Injektioneste Levofloxacine
3920
Välittömät sateet yhteensopimaton
Injektioneste Heparin sodium 10 UI/ml
Injektioneste Levofloxacine 5 mg/ml
Glukoosi 5% 1072
Määrittelemätön yhteensopimattomuus yhteensopimaton
Injektioneste Heparin sodium
Injektioneste Levomepromazine
3540
Yhteensopiva
Injektioneste Heparin sodium 100 UI/ml
Injektioneste Levosimendan 2,5 mg/ml
Glukoosi 5% 4389
Yhteensopiva
Injektioneste Heparin sodium 50 UI/ml
Injektioneste Lidocaine hydrochloride 4 mg/ml
Ei mikään 317
Yhteensopiva
Injektioneste Heparin sodium 1000 UI/ml
Injektioneste Linezolid 2 mg/ml
Ei mikään 1925
Yhteensopiva
Injektioneste Heparin sodium 10 >> 10000 UI/ml
Injektioneste Linezolid 0.2 >> 1.92 mg/ml
Natriumkloridi 0,9% 2057
Yhteensopiva
Injektioneste Heparin sodium 417 UI/ml
Injektioneste Lorazepam 0.33 mg/ml
Natriumkloridi 0,9% 186
Yhteensopiva
Injektioneste Heparin sodium 100 UI/ml
Injektioneste Lorazepam 0.5 mg/ml
314
Yhteensopiva
Injektioneste Heparin sodium 1 UI/ml
Injektioneste Magnesium sulfate 5 mg/ml
Natriumkloridi 0,9% 1228
Yhteensopiva
Injektioneste Heparin sodium 50 UI/ml
Injektioneste Magnesium sulfate 15.6 mg/ml
Natriumkloridi 0,9% 2100
Yhteensopiva
Injektioneste Heparin sodium 1 UI/ml
Injektioneste Magnesium sulfate 5 mg/ml
Ringerlaktaattiliuos 1228
Yhteensopiva
Injektioneste Heparin sodium 1 UI/ml
Injektioneste Magnesium sulfate 5 mg/ml
Glukoosi 5% 1228
Yhteensopiva
Injektioneste Heparin sodium 100 UI/ml
Injektioneste Melphalan 0.1 mg/ml
Natriumkloridi 0,9% 169
Yhteensopiva
Injektioneste Heparin sodium 0.5 UI/ml
Injektioneste Meropenem 0.5 mg/ml
Dianéal® 4.25% glucose (Baxter) 4180
Yhteensopiva
Injektioneste Heparin sodium 0.5 UI/ml
Injektioneste Meropenem 0.5 mg/ml
Extraneal® (Baxter) 4180
Yhteensopiva
Injektioneste Heparin sodium 1000 UI/ml
Injektioneste Meropenem 50 mg/ml
Injektionesteisiin käytettävä vesi 4319
Yhteensopiva
Injektioneste Heparin sodium 1 UI/ml
Injektioneste Meropenem 1 & 50 mg/ml
Natriumkloridi 0,9% 266
Yhteensopiva
Injektioneste Heparin sodium 0.5 UI/ml
Injektioneste Meropenem 0.5 mg/ml
Dianéal® 1.5% glucose (Baxter) 4180
Yhteensopiva
Injektioneste Heparin sodium 20 UI/ml
Injektioneste Meropenem 1 & 20 mg/ml
Natriumkloridi 0,9% 266
Yhteensopiva
Injektioneste Heparin sodium 0.5 UI/ml
Injektioneste Meropenem 0.5 mg/ml
Dianéal® 2.5% glucose (Baxter) 4180
Yhteensopiva
Injektioneste Heparin sodium 50 UI/ml
Injektioneste Methadone hydrochloride 0.2 mg/ml
Glukoosi 5% 1506
Yhteensopiva
Injektioneste Heparin sodium 50 UI/ml
Injektioneste Methadone hydrochloride 0.2 mg/ml
Natriumkloridi 0,9% 1506
Määrittelemätön yhteensopimattomuus yhteensopimaton
Injektioneste Heparin sodium
Injektioneste Methotrexate sodium
3637
Yhteensopiva
Injektioneste Heparin sodium 1000 UI/ml
Injektioneste Methotrexate sodium 25 mg/ml
763
Yhteensopiva
Injektioneste Heparin sodium 500 UI/ml
Injektioneste Methotrexate sodium 30 mg/ml
Natriumkloridi 0,9% 150
Yhteensopiva
Injektioneste Heparin sodium 100 UI/ml
Injektioneste Methylprednisolone sodium succinate 5 mg/ml
Glukoosi 5% 132
Yhteensopiva
Injektioneste Heparin sodium 50 UI/ml
Injektioneste Methylprednisolone sodium succinate 2.5 mg/ml
Ei mikään 317
Yhteensopiva
Injektioneste Heparin sodium 100 UI/ml
Injektioneste Methylprednisolone sodium succinate 5 mg/ml
Natriumkloridi 0,9% 132
Yhteensopiva
Injektioneste Heparin sodium 1000 UI/ml
Injektioneste Metoclopramide hydrochloride 5 mg/ml
763
Kemiallinen epävakaus yhteensopimaton
Injektioneste Heparin sodium 1000 UI/ml
Injektioneste Metoprolol tartrate 1 mg/ml
Ei mikään 2346
Yhteensopiva
Injektioneste Heparin sodium 50 UI/ml
Injektioneste Metronidazole 5 mg/ml
Ei mikään 317
Yhteensopiva
Injektioneste Heparin sodium 100 UI/ml
Injektioneste Micafungin 1.5 mg/ml
Natriumkloridi 0,9% 2108
Välitön sameus yhteensopimaton
Injektioneste Heparin sodium 208,3 UI/ml
Injektioneste Midazolam hydrochloride 1 mg/ml
Natriumkloridi 0,9% 4698
Yhteensopiva
Injektioneste Heparin sodium 500 UI/ml
Injektioneste Midazolam hydrochloride 2.1 mg/ml
Natriumkloridi 0,9% 3823
Yhteensopiva
Injektioneste Heparin sodium 417 UI/ml
Injektioneste Midazolam hydrochloride 5 mg/ml
Ei mikään 186
Yhteensopiva
Injektioneste Heparin sodium 100 UI/ml
Injektioneste Midazolam hydrochloride 5 mg/ml
4389
Yhteensopiva
Injektioneste Heparin sodium 100 UI/ml
Injektioneste Midazolam hydrochloride 2 mg/ml
314
Yhteensopiva
Injektioneste Heparin sodium 200 UI/ml
Injektioneste Milrinone lactate 0.8 mg/ml
Glukoosi 5% 813
Yhteensopiva
Injektioneste Heparin sodium 100 UI/ml
Injektioneste Milrinone lactate 0.2 mg/ml
314
Yhteensopiva
Injektioneste Heparin sodium 1 UI/ml
Injektioneste Minocycline hydrochloride 0.2 mg/ml
Glukoosi 5% 1228
Yhteensopiva
Injektioneste Heparin sodium 1 UI/ml
Injektioneste Minocycline hydrochloride 0.2 mg/ml
Ringerlaktaattiliuos 1228
Yhteensopiva
Injektioneste Heparin sodium 1 UI/ml
Injektioneste Minocycline hydrochloride 0.2 mg/ml
Natriumkloridi 0,9% 1228
Määrittelemätön yhteensopimattomuus yhteensopimaton
Injektioneste Heparin sodium
Injektioneste Mitoxantrone dihydrochloride
3640
Määrittelemätön yhteensopimattomuus yhteensopimaton
Injektioneste Heparin sodium
Injektioneste Morphine hydrochloride
5069
Yhteensopiva
Injektioneste Heparin sodium 100 & 200 UI/ml
Injektioneste Morphine sulfate 1 >> 5 mg/ml
Injektionesteisiin käytettävä vesi 341
Yhteensopiva
Injektioneste Heparin sodium 1 UI/ml
Injektioneste Morphine sulfate 15 mg/ml
Ringerlaktaattiliuos 1228
Määrittelemätön yhteensopimattomuus yhteensopimaton
Injektioneste Heparin sodium
Injektioneste Morphine sulfate
3531
Yhteensopiva
Injektioneste Heparin sodium 1 UI/ml
Injektioneste Morphine sulfate 15 mg/ml
Glukoosi 5% 1228
Yhteensopiva
Injektioneste Heparin sodium 1 UI/ml
Injektioneste Morphine sulfate 15 mg/ml
Natriumkloridi 0,9% 1228
Yhteensopiva
Injektioneste Heparin sodium 60 UI/ml
Injektioneste Morphine sulfate 1 mg/ml
Natriumkloridi 0,9% 406
Yhteensopiva
Injektioneste Heparin sodium 100 & 200 UI/ml
Injektioneste Morphine sulfate 10 mg/ml
Injektionesteisiin käytettävä vesi 341
Yhteensopiva
Injektioneste Heparin sodium 100 UI/ml
Injektioneste Morphine sulfate 2 mg/ml
314
Kemiallinen epävakaus yhteensopimaton
Injektioneste Heparin sodium 100 & 200 UI/ml
Injektioneste Morphine sulfate 1 >> 10 mg/ml
Natriumkloridi 0,9% 341
Yhteensopiva
Injektioneste Heparin sodium 1000 UI/ml
Injektioneste N-acetylcysteine 200 mg/ml
Ei mikään 3766
Yhteensopiva
Injektioneste Heparin sodium 50 UI/ml
Injektioneste Nafcillin sodium 20 mg/ml
Ei mikään 317
Yhteensopiva
Injektioneste Heparin sodium 1000 UI/ml
Injektioneste Naloxone hydrochloride 0.4 mg/ml
Ei mikään 3408
Välitön sameus yhteensopimaton
Injektioneste Heparin sodium 208,3 UI/ml
Injektioneste Nefopam 1,7 mg/ml
Natriumkloridi 0,9% 4698
Yhteensopiva
Injektioneste Heparin sodium 1 UI/ml
Injektioneste Neostigmine methylsulfate 0.5 mg/ml
Glukoosi 5% 1228
Yhteensopiva
Injektioneste Heparin sodium 1 UI/ml
Injektioneste Neostigmine methylsulfate 0.5 mg/ml
Natriumkloridi 0,9% 1228
Yhteensopiva
Injektioneste Heparin sodium 1 UI/ml
Injektioneste Neostigmine methylsulfate 0.5 mg/ml
Ringerlaktaattiliuos 1228
Määrittelemätön yhteensopimattomuus yhteensopimaton
Injektioneste Heparin sodium
Injektioneste Nesiritide
5048
Määrittelemätön yhteensopimattomuus yhteensopimaton
Injektioneste Heparin sodium
Injektioneste Netilmicin sulfate
3540
Välittömät sateet yhteensopimaton
Injektioneste Heparin sodium
Injektioneste Netilmicin sulfate
1022
Välittömät sateet yhteensopimaton
Injektioneste Heparin sodium 100 UI/ml
Injektioneste Nicardipine hydrochloride 1 mg/ml
314
Määrittelemätön yhteensopimattomuus yhteensopimaton
Injektioneste Heparin sodium
Injektioneste Nicardipine hydrochloride
3540
Yhteensopiva
Injektioneste Heparin sodium 40 UI/ml
Injektioneste Nicardipine hydrochloride 0.1 mg/ml
Glukoosi 5% 1490
Yhteensopiva
Injektioneste Heparin sodium 40 UI/ml
Injektioneste Nicardipine hydrochloride 0.1 mg/ml
Natriumkloridi 0,9% 1490
Välittömät sateet yhteensopimaton
Injektioneste Heparin sodium 100 UI/ml
Injektioneste Nitroglycerin 1,6 >> 3,25 mg/ml
Glukoosi 5% 295
Yhteensopiva
Injektioneste Heparin sodium 500 UI/ml
Injektioneste Nitroglycerin 0.2 mg/ml
Natriumkloridi 0,9% 3823
Kaasukuplien tuotanto yhteensopimaton
Injektioneste Heparin sodium 50 UI/ml
Injektioneste Nitroglycerin 0.2 mg/ml
Ei mikään 317
Yhteensopiva
Injektioneste Heparin sodium 500 UI/ml
Injektioneste Nitroglycerin 0.2 mg/ml
Glukoosi 5% 3823
Yhteensopiva
Injektioneste Heparin sodium 100 UI/ml
Injektioneste Nitroglycerin 0.4 mg/ml
314
Yhteensopiva
Injektioneste Heparin sodium 50 UI/ml
Injektioneste Nitroprusside sodium 0.2 mg/ml
Ei mikään 317
Yhteensopiva
Injektioneste Heparin sodium 100 UI/ml
Injektioneste Nitroprusside sodium 0.2 mg/ml
Glukoosi 5% 295
Yhteensopiva
Injektioneste Heparin sodium 100 UI/ml
Injektioneste Norepinephrine bitartrate 0.128 mg/ml
314
Määrittelemätön yhteensopimattomuus yhteensopimaton
Injektioneste Heparin sodium
Injektioneste Ofloxacin
3562
Yhteensopiva
Injektioneste Heparin sodium 40 UI/ml
Injektioneste Ondansetron hydrochloride 1 mg/ml
Natriumkloridi 0,9% 334
yhteensopimaton
Injektioneste Heparin sodium 200 UI/ml
Injektioneste Ondansetron hydrochloride 1.6 mg/ml
1699
Välitön sameus yhteensopimaton
Injektioneste Heparin sodium 100 UI/ml
Injektioneste Oritavancin 0.8 >>1.2 mg/ml
Glukoosi 5% 3152
Sade 4 tunnin kuluttua yhteensopimaton
Injektioneste Heparin sodium 100 UI/ml
Injektioneste Oritavancin 2 mg/ml
Glukoosi 5% 3152
Yhteensopiva
Injektioneste Heparin sodium 208 UI/ml
Injektioneste Ornidazole 31.25 mg/ml
Natriumkloridi 0,9% 4254
Yhteensopiva
Injektioneste Heparin sodium 1 UI/ml
Injektioneste Oxacillin sodium 100 mg/ml
Glukoosi 5% 1228
Yhteensopiva
Injektioneste Heparin sodium 1 UI/ml
Injektioneste Oxacillin sodium 100 mg/ml
Ringerlaktaattiliuos 1228
Yhteensopiva
Injektioneste Heparin sodium 1 UI/ml
Injektioneste Oxacillin sodium 100 mg/ml
Natriumkloridi 0,9% 1228
Yhteensopiva
Injektioneste Heparin sodium 100 UI/ml
Injektioneste Oxaliplatin 0,5 mg/ml
Glukoosi 5% 1662
Määrittelemätön yhteensopimattomuus yhteensopimaton
Injektioneste Heparin sodium
Injektioneste Oxytetracycline hydrochloride
3540
Yhteensopiva
Injektioneste Heparin sodium 100 UI/ml
Injektioneste Paclitaxel 1.2 mg/ml
Glukoosi 5% 248
Yhteensopiva
Injektioneste Heparin sodium 100 UI/ml
Injektioneste Palonosetron hydrochloride 50 µg/ml
Glukoosi 5% 2279
Yhteensopiva
Injektioneste Heparin sodium 40 UI/ml
Injektioneste Pancuronium bromide 0.05 mg/ml
Glukoosi 5% 402
Sade 1 tunnin kuluttua yhteensopimaton
Injektioneste Heparin sodium
Injektioneste Pantoprazole sodium
2090
Yhteensopiva
Injektioneste Heparin sodium 208,3 UI/ml
Injektioneste Paracetamol 10 mg/ml
Natriumkloridi 0,9% 4698
Yhteensopiva
Injektioneste Heparin sodium 1000 UI/ml
Injektioneste Paracetamol 10 mg/ml
4742
Yhteensopiva
Injektioneste Heparin sodium 100 UI/ml
Injektioneste Pemetrexed disodium 20 mg/ml
Natriumkloridi 0,9% 1953
Määrittelemätön yhteensopimattomuus yhteensopimaton
Injektioneste Heparin sodium
Injektioneste Penicillin G potassium
3540
Yhteensopiva
Injektioneste Heparin sodium 50 UI/ml
Injektioneste Penicillin G potassium 0.04 MUI/ml
Ei mikään 317
Määrittelemätön yhteensopimattomuus yhteensopimaton
Injektioneste Heparin sodium
Injektioneste Penicillin G sodium
3540
Yhteensopiva
Injektioneste Heparin sodium 100 UI/ml
Injektioneste Pentoxifyllin 5 mg/ml
Natriumkloridi 0,9% 4538
Välitön sameus yhteensopimaton
Injektioneste Heparin sodium
Injektioneste Pethidine hydrochloride
3525
Yhteensopiva
Injektioneste Heparin sodium 60 UI/ml
Injektioneste Pethidine hydrochloride 10 mg/ml
Natriumkloridi 0,9% 406
Määrittelemätön yhteensopimattomuus yhteensopimaton
Injektioneste Heparin sodium
Injektioneste Pethidine hydrochloride
3540
Välittömät sateet yhteensopimaton
Injektioneste Heparin sodium 50 UI/ml
Injektioneste Phenytoin sodium 2 mg/ml
Ei mikään 317
Yhteensopiva
Injektioneste Heparin sodium 50 UI/ml
Injektioneste Piperacillin sodium 60 mg/ml
Ei mikään 317
Yhteensopiva
Injektioneste Heparin sodium 10 & 5000 UI/ml
Injektioneste Piperacillin sodium 40 mg/ml
Natriumkloridi 0,9% 2037
Yhteensopiva
Injektioneste Heparin sodium 0.5 UI/ml
Injektioneste Piperacillin sodium / tazobactam 0.5/0.0625 mg/ml
Dianéal® 2.5% glucose (Baxter) 4180
Yhteensopiva
Injektioneste Heparin sodium 0.5 UI/ml
Injektioneste Piperacillin sodium / tazobactam 0.5/0.0625 mg/ml
Dianéal® 4.25% glucose (Baxter) 4180
Välitön sameus yhteensopimaton
Injektioneste Heparin sodium 1000 UI/ml
Injektioneste Plazomicin sulfate 24 mg/ml
Natriumkloridi 0,9% 4145
Määrittelemätön yhteensopimattomuus yhteensopimaton
Injektioneste Heparin sodium
Injektioneste Polymyxine B
3540
Yhteensopiva
Injektioneste Heparin sodium 50 UI/ml
Injektioneste Potassium chloride 200 mEq/l
Ei mikään 317
Yhteensopiva
Injektioneste Heparin sodium 1 UI/ml
Injektioneste Procainamide hydrochloride 100 mg/ml
Ringerlaktaattiliuos 1228
Yhteensopiva
Injektioneste Heparin sodium 1 UI/ml
Injektioneste Procainamide hydrochloride 100 mg/ml
Natriumkloridi 0,9% 1228
Yhteensopiva
Injektioneste Heparin sodium 1 UI/ml
Injektioneste Prochlorperazine edysilate 5 mg/ml
Natriumkloridi 0,9% 1228
Yhteensopiva
Injektioneste Heparin sodium 3 >> 20 UI/ml
Parenteraalisesti (rasva-free) 791
Yhteensopiva
Injektioneste Heparin sodium 100 UI/ml
Parenteraalisesti (rasva-free) 301
Yhteensopiva
Injektioneste Heparin sodium 500 UI/ml
Parenteraalisesti (rasva-free) 939
Yhteensopiva
Injektioneste Heparin sodium 1 UI/ml
Injektioneste Prochlorperazine edysilate 5 mg/ml
Ringerlaktaattiliuos 1228
Yhteensopiva
Injektioneste Heparin sodium 1 UI/ml
Injektioneste Promethazine hydrochloride 50 mg/ml
Natriumkloridi 0,9% 1228
Yhteensopiva
Injektioneste Heparin sodium 1 UI/ml
Injektioneste Promethazine hydrochloride 50 mg/ml
Ringerlaktaattiliuos 1228
Yhteensopiva
Injektioneste Heparin sodium 1 UI/ml
Injektioneste Propranolol hydrochloride 1 mg/ml
Ringerlaktaattiliuos 1228
Yhteensopiva
Injektioneste Heparin sodium 1 UI/ml
Injektioneste Propranolol hydrochloride 1 mg/ml
Natriumkloridi 0,9% 1228
Yhteensopiva
Injektioneste Heparin sodium 50 UI/ml
Injektioneste Ranitidine hydrochloride 0,5 mg/ml
Glukoosi 5% 396
Yhteensopiva
Injektioneste Heparin sodium 10 & 40 UI/ml
Injektioneste Ranitidine hydrochloride 0.05 & 2 mg/ml
Natriumkloridi 0,9% 214
Yhteensopiva
Injektioneste Heparin sodium 50 UI/ml
Injektioneste Ranitidine hydrochloride 1 mg/ml
Ei mikään 317
Yhteensopiva
Injektioneste Heparin sodium 1000 UI/ml
Injektioneste Remdesivir 1 mg/ml
Natriumkloridi 0,9% 4768
Yhteensopiva
Injektioneste Heparin sodium 100 UI/ml
Injektioneste Remifentanil hydrochloride 25 & 250 µg/ml
Natriumkloridi 0,9% 59
Yhteensopiva
Injektioneste Heparin sodium 500 UI/ml
Injektioneste Remifentanil hydrochloride 100 µg/ml
Natriumkloridi 0,9% 3823
Yhteensopiva
Injektioneste Heparin sodium 500 UI/ml
NaHCO3 150
Yhteensopiva
Injektioneste Heparin sodium 1.4 UI/ml
Injektioneste Piperacillin sodium / tazobactam 1.38/0.1725 mg/ml
Physionéal® 2.27 (Baxter) 4180
Yhteensopiva
Injektioneste Heparin sodium 1.4 UI/ml
Injektioneste Piperacillin sodium / tazobactam 1.38/0.1725 mg/ml
Physionéal® 1.36 (Baxter) 4180
Yhteensopiva
Injektioneste Heparin sodium 0.5 UI/ml
Injektioneste Piperacillin sodium / tazobactam 0.5/0.0625 mg/ml
Dianéal® 1.5% glucose (Baxter) 4180
Yhteensopiva
Injektioneste Heparin sodium 1.4 UI/ml
Injektioneste Piperacillin sodium / tazobactam 1.38/0.1725 mg/ml
Physionéal® 3.86 (Baxter) 4180
Yhteensopiva
Injektioneste Heparin sodium 100 UI/ml
Injektioneste Piperacillin sodium / tazobactam 40/5 mg/ml
Glukoosi 5% 81
Yhteensopiva
Injektioneste Heparin sodium 0.5 UI/ml
Injektioneste Piperacillin sodium / tazobactam 0.5/0.0625 mg/ml
Extraneal® (Baxter) 4180
Yhteensopiva
Injektioneste Heparin sodium 500 UI/ml
Injektioneste Potassium chloride 10 mEq/l
Natriumkloridi 0,9% 3823
Yhteensopiva
Injektioneste Heparin sodium 58,34 UI/ml
Injektioneste Potassium chloride 1250 mEq/l
Glukoosi 5% 1289
Yhteensopiva
Injektioneste Heparin sodium
Injektioneste Potassium phosphate
3781
Yhteensopiva
Injektioneste Heparin sodium 1 UI/ml
Injektioneste Procainamide hydrochloride 100 mg/ml
Glukoosi 5% 1228
Yhteensopiva
Injektioneste Heparin sodium 1 UI/ml
Injektioneste Prochlorperazine edysilate 5 mg/ml
Glukoosi 5% 1228
Yhteensopiva
Injektioneste Heparin sodium 1 UI/ml
Injektioneste Promethazine hydrochloride 50 mg/ml
Glukoosi 5% 1228
Määrittelemätön yhteensopimattomuus yhteensopimaton
Injektioneste Heparin sodium
Injektioneste Promethazine hydrochloride
3540
Emulsion epästabiilisuus tunnin kuluttua yhteensopimaton
Injektioneste Heparin sodium 1000 UI/ml
Injektioneste Propofol
660
Yhteensopiva
Injektioneste Heparin sodium 100 UI/ml
Injektioneste Propofol 10 mg/ml
Ei mikään 300
Yhteensopiva
Injektioneste Heparin sodium 1 UI/ml
Injektioneste Propranolol hydrochloride 1 mg/ml
Glukoosi 5% 1228
Yhteensopiva
Injektioneste Heparin sodium 100 UI/ml
Injektioneste Ranitidine hydrochloride 1 mg/ml
314
Yhteensopiva
Injektioneste Heparin sodium 10 & 40 UI/ml
Injektioneste Ranitidine hydrochloride 0.05 & 2 mg/ml
Glukoosi 5% 214
Yhteensopiva
Injektioneste Heparin sodium 416.7 UI/ml
Injektioneste Remifentanil hydrochloride 120 µg/ml
Glukoosi 5% 3294
Yhteensopiva
Injektioneste Heparin sodium 416.7 UI/ml
Injektioneste Remifentanil hydrochloride 120 µg/ml
Glukoosi 5% 3176
Määrittelemätön yhteensopimattomuus yhteensopimaton
Injektioneste Heparin sodium
Injektioneste Reteplase
2212
Yhteensopiva
Injektioneste Heparin sodium 20,458 >> 28,000 UI/ml
Parenteraalinen (lipidien) 1868
Määrittelemätön yhteensopimattomuus yhteensopimaton
Injektioneste Heparin sodium
Injektioneste Reteplase
3540
Yhteensopiva
Injektioneste Heparin sodium 1000 UI/ml
Injektioneste Salbutamol sulfate 1 mg/ml
Ei mikään 3216
Yhteensopiva
Injektioneste Heparin sodium 100 UI/ml
Injektioneste Sargramostim 6 §15 µg/ml
Natriumkloridi 0,9% 891
Yhteensopiva
Injektioneste Heparin sodium 100 UI/ml
Injektioneste Sargramostim 10 µg/ml
Natriumkloridi 0,9% 335
Yhteensopiva
Injektioneste Heparin sodium 1 UI/ml
Injektioneste Scopolamine hydrobromide 0.86 mg/ml
Natriumkloridi 0,9% 1228
Yhteensopiva
Injektioneste Heparin sodium 1 UI/ml
Injektioneste Scopolamine hydrobromide 0.86 mg/ml
Ringerlaktaattiliuos 1228
Yhteensopiva
Injektioneste Heparin sodium 1 UI/ml
Injektioneste Scopolamine hydrobromide 0.86 mg/ml
Glukoosi 5% 1228
Yhteensopiva
Injektioneste Heparin sodium 100 UI/ml
Injektioneste Sildenafil citrate 0,6 mg/ml
Glukoosi 5% 4845
Yhteensopiva
Injektioneste Heparin sodium 100 UI/ml
Injektioneste Sildenafil citrate 0,06 mg/ml
Glukoosi 5% 4845
Yhteensopiva
Injektioneste Heparin sodium 1 UI/ml
Injektioneste Sildenafil citrate 0,4 mg/ml
Glukoosi 5% 3923
Yhteensopiva
Injektioneste Heparin sodium 2 UI/ml
Injektioneste Sildenafil citrate 0,6 mg/ml
Glukoosi 5% 4845
Yhteensopiva
Injektioneste Heparin sodium
Natriumkloridi 0,9% 3540
Emulsion välitön epävakaus yhteensopimaton
Injektioneste Heparin sodium 100 UI/ml
Parenteraalinen (lipidien) 132
Välitön sameus yhteensopimaton
Injektioneste Heparin sodium 100 UI/ml
Injektioneste Sildenafil citrate 0,6 mg/ml
Glukoosi 5% 4845
Yhteensopiva
Injektioneste Heparin sodium 500 UI/ml
Injektioneste Sodium bicarbonate 84 mg/ml
Natriumkloridi 0,9% 3823
Yhteensopiva
Injektioneste Heparin sodium
Injektioneste Sodium bicarbonate
3466
Yhteensopiva
Injektioneste Heparin sodium 500 UI/ml
Injektioneste Sodium bicarbonate 14 mg/ml
Ei mikään 150
Yhteensopiva
Injektioneste Heparin sodium 500 UI/ml
Injektioneste Sodium bicarbonate 84 mg/ml
Ei mikään 3212
Yhteensopiva
Injektioneste Heparin sodium 208 UI/ml
Injektioneste Spiramycine adipate 0.0625 MUI/ml
Natriumkloridi 0,9% 4254
Yhteensopiva
Injektioneste Heparin sodium 100 UI/ml
Injektioneste Streptokinase 30000 UI/ml
Glukoosi 5% 92
Määrittelemätön yhteensopimattomuus yhteensopimaton
Injektioneste Heparin sodium
Injektioneste Streptomycin sulfate
3540
Yhteensopiva
Injektioneste Heparin sodium 416.7 UI/ml
Injektioneste Sufentanil citrate 0.005 mg/ml
Glukoosi 5% 3294
Yhteensopiva
Injektioneste Heparin sodium 1000 UI/ml
Injektioneste Sugammadex 100 mg/ml
Ei mikään 3372
Yhteensopiva
Injektioneste Heparin sodium 10 UI/ml
Injektioneste Tacrolimus 1000 µg/ml
Natriumkloridi 0,9% 479
Yhteensopiva
Injektioneste Heparin sodium 1000 UI/ml
Ringerlaktaattiliuos 4603
Yhteensopiva
Injektioneste Heparin sodium 1000 UI/ml
Injektioneste Sulbactam/durlobactam 15/15 mg/ml
Natriumkloridi 0,9% 4801
Yhteensopiva
Injektioneste Heparin sodium 1000 UI/ml
Injektioneste Tedizolid phosphate 0.8 mg/ml
Natriumkloridi 0,9% 3827
Yhteensopiva
Injektioneste Heparin sodium 10 >> 10000 UI/ml
Injektioneste Teicoplanine 0.02 >> 10 mg/ml
Natriumkloridi 0,9% 2057
Välitön sameus yhteensopimaton
Injektioneste Heparin sodium 1000 UI/ml
Injektioneste Telavancin hydrochloride 7,5 mg/ml
Glukoosi 5% 3254
Välitön sameus yhteensopimaton
Injektioneste Heparin sodium 1000 UI/ml
Injektioneste Telavancin hydrochloride 7,5 mg/ml
Natriumkloridi 0,9% 3254
Yhteensopiva
Injektioneste Heparin sodium 1000 UI/ml
Injektioneste Telavancin hydrochloride 7.5 mg/ml
Ringerlaktaattiliuos 3254
Välittömät sateet yhteensopimaton
Injektioneste Heparin sodium 1000 UI/ml
Injektioneste Thiopental sodium 25 mg/ml
Natriumkloridi 0,9% 3767
Emulsion välitön epävakaus yhteensopimaton
Injektioneste Heparin sodium 1 UI/ml
Parenteraalinen (lipidien) 1391
Yhteensopiva
Injektioneste Heparin sodium 100 UI/ml
Injektioneste Teniposide 0.1 mg/ml
Glukoosi 5% 905
Yhteensopiva
Injektioneste Heparin sodium 50 UI/ml
Injektioneste Theophylline 4 mg/ml
Ei mikään 317
Yhteensopiva
Injektioneste Heparin sodium 100 UI/ml
Injektioneste Thiopental sodium 25 mg/ml
314
Emulsion välitön epävakaus yhteensopimaton
Injektioneste Heparin sodium 100 UI/ml
Parenteraalinen (lipidien) 1415
Yhteensopiva
Injektioneste Heparin sodium 500 UI/ml
Injektioneste Thiopental sodium 60 mg/ml
Natriumkloridi 0,9% 3823
Yhteensopiva
Injektioneste Heparin sodium 100 UI/ml
Injektioneste Thiotepa 1 mg/ml
Glukoosi 5% 249
Yhteensopiva
Injektioneste Heparin sodium 50 UI/ml
Injektioneste Ticarcillin / clavulanic acid 31 mg/ml
Ei mikään 317
Yhteensopiva
Injektioneste Heparin sodium 500 UI/ml
Injektioneste Tirofiban 250 µg/ml
Natriumkloridi 0,9% 3823
Yhteensopiva
Injektioneste Heparin sodium 40 & 100 UI/ml
Injektioneste Tirofiban 50 µg/ml
Natriumkloridi 0,9% 1420
Yhteensopiva
Injektioneste Heparin sodium
Glukoosi 5% 3540
Yhteensopiva
Injektioneste Heparin sodium
Injektioneste Tirofiban
1512
Yhteensopiva
Injektioneste Heparin sodium 40 & 100 UI/ml
Injektioneste Tirofiban 50 µg/ml
Glukoosi 5% 1420
Määrittelemätön yhteensopimattomuus yhteensopimaton
Injektioneste Heparin sodium 50 UI/ml
Injektioneste Tobramycin sulfate 0.8 mg/ml
Ei mikään 317
Määrittelemätön yhteensopimattomuus yhteensopimaton
Injektioneste Heparin sodium
Injektioneste Tobramycin sulfate
3540
Yhteensopiva
Injektioneste Heparin sodium
Injektioneste Tranexamic acid
5016
Määrittelemätön yhteensopimattomuus yhteensopimaton
Injektioneste Heparin sodium
Injektioneste Triflupromazine hydrochloride
3540
Yhteensopiva
Injektioneste Heparin sodium 500 UI/ml
Injektioneste Urapidil 5 mg/ml
Natriumkloridi 0,9% 3823
Välittömät sateet yhteensopimaton
Injektioneste Heparin sodium 0,5 >> 14,3 UI/ml
Injektioneste Vancomycin hydrochloride 6,9 >> 14,3 mg/ml
Dianéal® PD1 4.25% Glukoosi (Baxter) 2375
Määrittelemätön yhteensopimattomuus yhteensopimaton
Injektioneste Heparin sodium
Injektioneste Vancomycin hydrochloride
3588
Määrittelemätön yhteensopimattomuus yhteensopimaton
Injektioneste Heparin sodium
Injektioneste Vancomycin hydrochloride
3540
Yhteensopiva
Injektioneste Heparin sodium 0,5 >> 14,3 UI/ml
Injektioneste Vancomycin hydrochloride 0,015 >> 6,8 mg/ml
Dianéal® PD2 2.5% glucose (Baxter) 2375
Välittömät sateet yhteensopimaton
Injektioneste Heparin sodium 0,5 >> 14,3 UI/ml
Injektioneste Vancomycin hydrochloride 6,9 >> 14,3 mg/ml
Dianéal® PD2 2.5% glucose (Baxter) 2375
Yhteensopiva
Injektioneste Heparin sodium 10 UI/ml
Injektioneste Vancomycin hydrochloride 0.025 mg/ml
Injektionesteisiin käytettävä vesi 3125
Yhteensopiva
Injektioneste Heparin sodium 0,5 >> 14,3 UI/ml
Injektioneste Vancomycin hydrochloride 0,015 >> 6,8 mg/ml
Dianéal® PD1 4.25% Glukoosi (Baxter) 2375
Määrittelemätön yhteensopimattomuus yhteensopimaton
Injektioneste Heparin sodium 50 UI/ml
Injektioneste Vancomycin hydrochloride 6.6 mg/ml
Ei mikään 317
Yhteensopiva
Injektioneste Heparin sodium 100 UI/ml
Injektioneste Vancomycin hydrochloride 0.025 mg/ml
Natriumkloridi 0,9% 1414
Yhteensopiva
Injektioneste Heparin sodium 10 UI/ml
Injektioneste Vancomycin hydrochloride 2 mg/ml
Natriumkloridi 0,9% 2037
Välittömät sateet yhteensopimaton
Injektioneste Heparin sodium 100 UI/ml
Injektioneste Vancomycin hydrochloride 10 mg/ml
Parenteraalisesti (rasva-free) 132
Yhteensopiva
Injektioneste Heparin sodium 5000 UI/ml
Injektioneste Vancomycin hydrochloride 2.5 mg/ml
Natriumkloridi 0,9% 2037
Yhteensopiva
Injektioneste Heparin sodium 100 UI/ml
Injektioneste Vancomycin hydrochloride 0.025 mg/ml
Natriumkloridi 0,9% 895
Yhteensopiva
Injektioneste Heparin sodium 100 UI/ml
Injektioneste Vasopressin 2 & 4 UI/ml
Natriumkloridi 0,9% 1801
Yhteensopiva
Injektioneste Heparin sodium 100 UI/ml
Injektioneste Vecuronium bromide 1 mg/ml
314
Yhteensopiva
Injektioneste Heparin sodium 40 UI/ml
Injektioneste Vecuronium bromide 0.1 mg/ml
Glukoosi 5% 402
Yhteensopiva
Injektioneste Heparin sodium 20 UI/ml
Injektioneste Verapamil hydrochloride 0.08 mg/ml
Natriumkloridi 0,9% 1057
Yhteensopiva
Injektioneste Heparin sodium 20 UI/ml
Injektioneste Verapamil hydrochloride 0.08 mg/ml
Glukoosi 5% 1057
Määrittelemätön yhteensopimattomuus yhteensopimaton
Injektioneste Heparin sodium
Injektioneste Vinblastine sulfate
3540
Yhteensopiva
Injektioneste Heparin sodium 1000 UI/ml
Injektioneste Vinblastine sulfate 1 mg/ml
763
Yhteensopiva
Injektioneste Heparin sodium 1000 UI/ml
Injektioneste Vincristine sulfate 1 mg/ml
763
Yhteensopiva
Injektioneste Heparin sodium 100 UI/ml
Injektioneste Vinorelbine tartrate 1 mg/ml
Natriumkloridi 0,9% 84
Yhteensopiva
Injektioneste Heparin sodium 100 UI/ml
Injektioneste Vinorelbine tartrate 1 mg/ml
Natriumkloridi 0,9% 1070
Välittömät sateet yhteensopimaton
Injektioneste Heparin sodium 10 & 100 UI/ml
Injektioneste Vinorelbine tartrate 2 & 3 mg/ml
Natriumkloridi 0,9% 1070
Yhteensopiva
Injektioneste Heparin sodium 208 UI/ml
Injektioneste Voriconazole 8 mg/ml
Glukoosi 5% 4254
Yhteensopiva
Injektioneste Heparin sodium 208 UI/ml
Injektioneste Voriconazole 8 mg/ml
Natriumkloridi 0,9% 4254
Yhteensopiva
Injektioneste Heparin sodium 100 UI/ml
Injektioneste Warfarin sodium 2 mg/ml
Glukoosi 5% 315
Yhteensopiva
Injektioneste Heparin sodium 100 UI/ml
Injektioneste Zidovudine 4 mg/ml
Glukoosi 5% 337

  Mentions Légales