Siste oppdatering :
18/03/2026
Antikoagulantia   Heparin sodium  
Injeksjon
Oppløsningsstabilitet Stabilitet i blandinger Faktorer som påvirker stabiliteten Kompatibilitet Administrasjonsmåte Referanser pdf
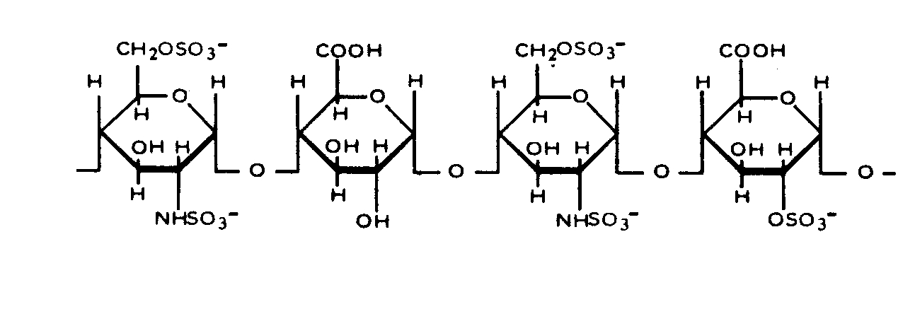
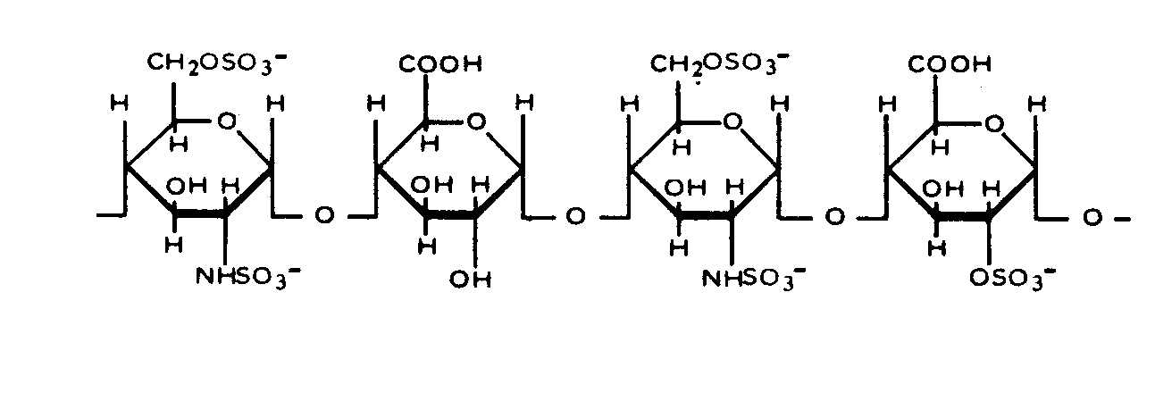
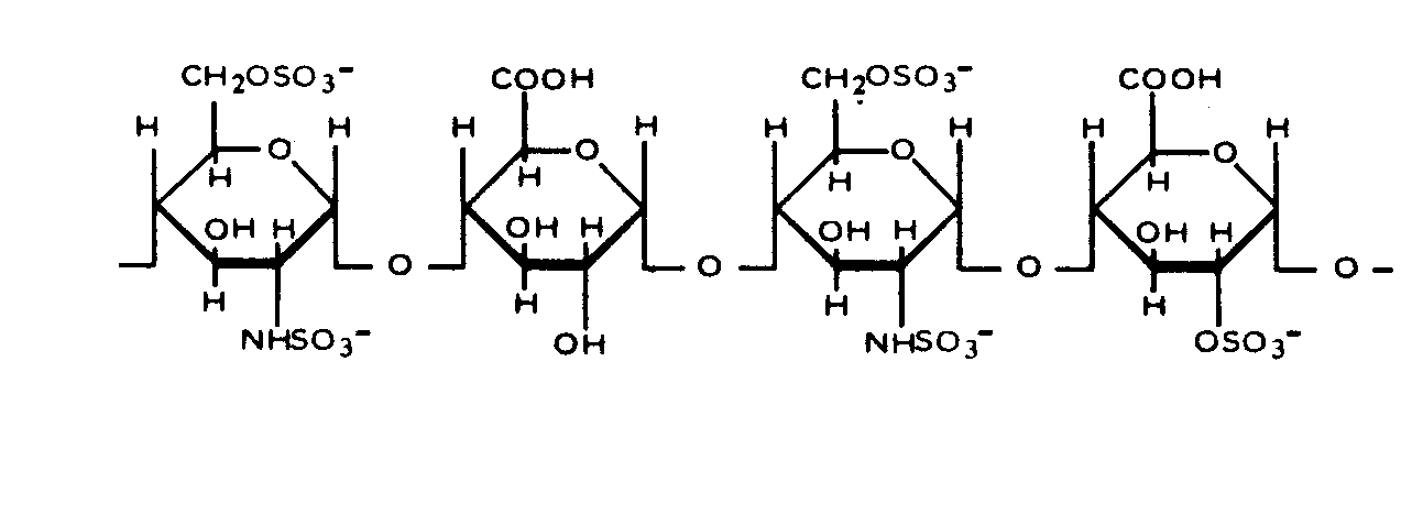
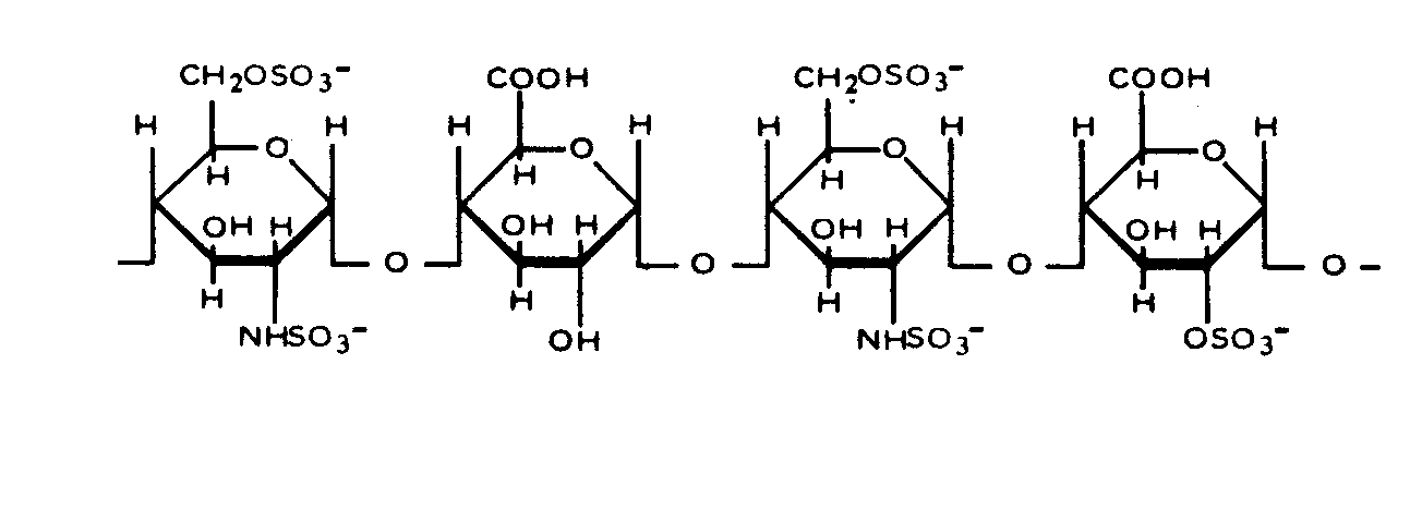
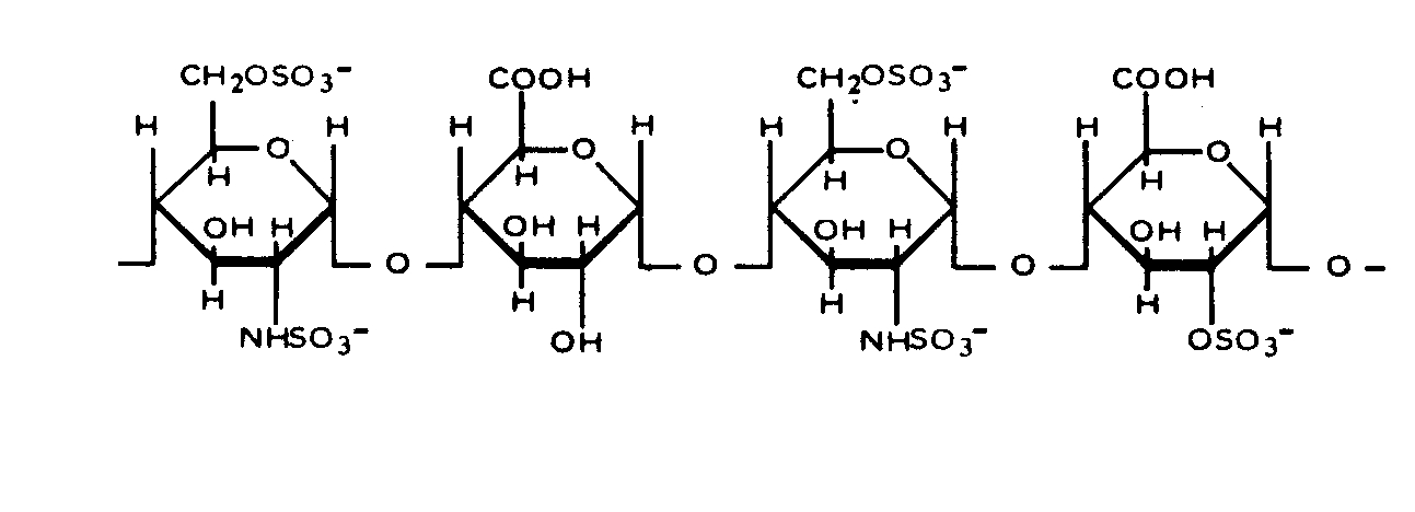
   Kjemisk struktur  

Handelsnavn   Handelsnavn     

Handelsnavn er veiledende og sammensetning av hjelpestoffer kan være forskjellig avhengig av land og produsent

Arapin Chile
Ateroclar Italia
Clarisco Italia
Epsoclar Italia
Hepaflex Finland, Norge
Hepamax Chile, Colombia, Ecuador
Heparin Canada, Danmark, Finland, Hellas, Jugoslavia, Nederland, Norge, russisk, Storbritannia, Sveits, Sverige, Sør-Afrika, Thailand, Tyrkia, Ungarn, USA, Østerrike
Heparine Belgia, Frankrike
Heparinised Australia
Heparstad Tyskland
Liquemin Sveits, Tyrkia
Liquemine Brasil
Monoparin Saudi-Arabia
Normoparin Italia
Nuparin Ecuador
Pharepa Italia
Riveparin Argentina
Sobrius Argentina, Ecuador
Thrombophob Tyskland
Kompatibilitet   Injeksjon   Kompatibilitet : Heparin sodium              
Dette skjermbildet viser kompatibilitet eller inkompatibilitet med, i dette tilfellet, typen inkompatibilitet (nedbør, fargeendring, modifisering av en emulsjon, etc.). Kompatibilitetene som er vist her, er for det meste bare fysiske, og den kjemiske stabiliteten til hvert molekyl blir sjelden vurdert. Evalueringen av disse blandingene ble studert for å vurdere muligheten for Y-stedadministrasjon til pasienten. Disse dataene kan ikke brukes til å lage blandinger på forhånd i poser eller sprøyter. Denne typen informasjon er tilgjengelig på skjermen "Stabilitet i blanding".
Legemiddel Oppløsningsmiddel Referanser
Kompatibel
Injeksjon Heparin sodium 100 UI/ml
Injeksjon Aciclovir sodium 5 mg/ml
Natriumklorid 0,9 % 2335
Kompatibel
Injeksjon Heparin sodium 50 UI/ml
Injeksjon Aciclovir sodium 5 mg/ml
Glukose 5 % 336
Kompatibel
Injeksjon Heparin sodium 100 UI/ml
Injeksjon Aldesleukin 0.0338 MUI/ml
Glukose 5 % 36
Kompatibel
Injeksjon Heparin sodium 100 UI/ml
Injeksjon Allopurinol sodium 3 mg/ml
Natriumklorid 0,9 % 307
Kompatibel
Injeksjon Heparin sodium 1 UI/ml
Injeksjon Alprostadil 20 µg/ml
Natriumklorid 0,9 % 4491
Kompatibel
Injeksjon Heparin sodium 1 UI/ml
Injeksjon Alprostadil 20 µg/ml
Glukose 5 % 4651
Nedbør etter 24 timer Uforenlig
Injeksjon Heparin sodium 100 UI/ml
Injeksjon Alteplase 1 mg/ml
Vann til injeksjon 92
Uspesifisert inkompatibilitet Uforenlig
Injeksjon Heparin sodium
Injeksjon Alteplase
3540
Umiddelbar nedbør Uforenlig
Injeksjon Heparin sodium 40 UI/ml
Injeksjon Alteplase 0.5 mg/ml
Vann til injeksjon 240
Uspesifisert inkompatibilitet Uforenlig
Injeksjon Heparin sodium
Injeksjon Alteplase
3616
Kompatibel
Injeksjon Heparin sodium 100 UI/ml
Injeksjon Amifostine 10 mg/ml
Glukose 5 % 3
Umiddelbar nedbør Uforenlig
Injeksjon Heparin sodium
Injeksjon Amikacin sulfate
1022
Uspesifisert inkompatibilitet Uforenlig
Injeksjon Heparin sodium
Injeksjon Amikacin sulfate
3549
Uspesifisert inkompatibilitet Uforenlig
Injeksjon Heparin sodium
Injeksjon Amikacin sulfate
3540
Uspesifisert inkompatibilitet Uforenlig
Injeksjon Heparin sodium 500 UI/ml
Injeksjon Amiodarone hydrochloride 15 mg/ml
Natriumklorid 0,9 % 3823
Uspesifisert inkompatibilitet Uforenlig
Injeksjon Heparin sodium
Injeksjon Amiodarone hydrochloride
3540
Umiddelbar turbiditet Uforenlig
Injeksjon Heparin sodium 500 UI/ml
Injeksjon Amiodarone hydrochloride 15 mg/ml
Natriumklorid 0,9 % 3463
Uspesifisert inkompatibilitet Uforenlig
Injeksjon Heparin sodium
Injeksjon Amiodarone hydrochloride
3464
Uspesifisert inkompatibilitet Uforenlig
Injeksjon Heparin sodium 500 UI/ml
Injeksjon Amiodarone hydrochloride 15 mg/ml
Glukose 5 % 3823
Umiddelbar turbiditet Uforenlig
Injeksjon Heparin sodium 500 UI/ml
Injeksjon Amiodarone hydrochloride 15 mg/ml
Glukose 5 % 3463
Kompatibel
Injeksjon Heparin sodium 208 UI/ml
Injeksjon Amoxicillin sodium 20.83 & 83.3 mg/ml
Natriumklorid 0,9 % 4254
Kompatibel
Injeksjon Heparin sodium 1000 UI/ml
Injeksjon Amoxicillin sodium / clavulanic acid 100/10 mg/ml
3824
Kompatibel
Injeksjon Heparin sodium
Injeksjon Ampicillin sodium
5088
Kompatibel
Injeksjon Heparin sodium 50 UI/ml
Injeksjon Ampicillin sodium 20 mg/ml
Ingen 317
Kompatibel
Injeksjon Heparin sodium 50 UI/ml
Injeksjon Ampicillin sodium - sulbactam sodium 30 mg/ml
Ingen 317
Umiddelbar nedbør Uforenlig
Injeksjon Heparin sodium 40 UI/ml
Injeksjon Amsacrine 1 mg/ml
Glukose 5 % 253
Kompatibel
Injeksjon Heparin sodium 100 UI/ml
Injeksjon Anidulafungin 0.5 mg/ml
Glukose 5 % 1982
Umiddelbar nedbør Uforenlig
Injeksjon Heparin sodium
Injeksjon Antithymocyte globulin (rabbit)
4958
Umiddelbar nedbør Uforenlig
Injeksjon Heparin sodium 2 UI/ml
Injeksjon Antithymocyte globulin (rabbit) 0,2 & 0,3 mg/ml
Glukose 5 % 1822
Kompatibel
Injeksjon Heparin sodium 100 UI/ml
Injeksjon Antithymocyte globulin (rabbit) 0,2 & 0,3 mg/ml
Glukose 5 % 1822
Kompatibel
Injeksjon Heparin sodium 2 & 100 UI/ml
Injeksjon Antithymocyte globulin (rabbit) 0,2 & 0,3 mg/ml
Natriumklorid 0,9 % 1822
Kompatibel
Injeksjon Heparin sodium 40 UI/ml
Injeksjon Atracurium besylate 0.5 mg/ml
Glukose 5 % 402
Kompatibel
Injeksjon Heparin sodium 1 UI/ml
Injeksjon Atropine sulfate 0.5 mg/ml
Glukose 5 % 1228
Kompatibel
Injeksjon Heparin sodium 500 UI/ml
Parenteral ernæring (med lipider) 4507
Umiddelbar nedbør Uforenlig
Injeksjon Heparin sodium 1000 UI/ml
Injeksjon Amphotericin B cholesteryl sulfate complex 0.83 mg/ml
Glukose 5 % 921
Uspesifisert inkompatibilitet Uforenlig
Injeksjon Heparin sodium
Injeksjon Ampicillin sodium
3540
Kompatibel
Injeksjon Heparin sodium 10 & 5000 UI/ml
Injeksjon Ampicillin sodium 10 mg/ml
Natriumklorid 0,9 % 2037
Kompatibel
Injeksjon Heparin sodium 1 UI/ml
Injeksjon Atropine sulfate 0.5 mg/ml
Ringers laktatoppløsning 1228
Kompatibel
Injeksjon Heparin sodium 1 UI/ml
Injeksjon Atropine sulfate 0.5 mg/ml
Natriumklorid 0,9 % 1228
Kompatibel
Injeksjon Heparin sodium 100 UI/ml
Injeksjon Aztreonam 40 mg/ml
Glukose 5 % 99
Kompatibel
Injeksjon Heparin sodium 50 UI/ml
Injeksjon Aztreonam 20 mg/ml
Ingen 317
Kompatibel
Injeksjon Heparin sodium 1 UI/ml
Injeksjon Betamethasone sodium phosphate 3 mg/ml
Natriumklorid 0,9 % 1228
Kompatibel
Injeksjon Heparin sodium 1 UI/ml
Injeksjon Betamethasone sodium phosphate 3 mg/ml
Glukose 5 % 1228
Kompatibel
Injeksjon Heparin sodium 1 UI/ml
Injeksjon Betamethasone sodium phosphate 3 mg/ml
Ringers laktatoppløsning 1228
Kompatibel
Injeksjon Heparin sodium 100 UI/ml
Injeksjon Bivalirudin 5 mg/ml
Glukose 5 % 1713
Umiddelbar nedbør Uforenlig
Injeksjon Heparin sodium 192.3 UI/ml
Injeksjon Blinatumomab 0.125 & 0.375 µg/ml
Natriumklorid 0,9 % 3976
Kompatibel
Injeksjon Heparin sodium 1000 UI/ml
Injeksjon Caffeine 10 mg/ml
Ingen 3964
Kompatibel
Injeksjon Heparin sodium 100 UI/ml
Injeksjon Caffeine 10 mg/ml
Natriumklorid 0,9 % 4837
Kompatibel
Injeksjon Heparin sodium 100 UI/ml
Injeksjon Caffeine citrate 20 mg/ml
Natriumklorid 0,9 % 4837
Nedbør etter 30 minutter Uforenlig
Injeksjon Heparin sodium 2 UI/ml
Injeksjon Calcium chloride 20 mg/ml
Glukose 5 % 4732
Kompatibel
Injeksjon Heparin sodium 100 UI/ml
Injeksjon Calcium chloride 20 mg/ml
Glukose 5 % 4732
Umiddelbar ustabilitet av emulsjonen Uforenlig
Injeksjon Heparin sodium
Injeksjon Calcium chloride
Parenteral ernæring (med lipider) 1084
Umiddelbar ustabilitet av emulsjonen Uforenlig
Injeksjon Heparin sodium
Injeksjon Calcium gluconate
Parenteral ernæring (med lipider) 1084
Umiddelbar nedbør Uforenlig
Injeksjon Heparin sodium 100 UI/ml
Injeksjon Caspofungin acetate 0.5 mg/ml
Natriumklorid 0,9 % 2233
Umiddelbar nedbør Uforenlig
Injeksjon Heparin sodium 100 UI/ml
Injeksjon Caspofungin acetate 0,7 mg/ml
Natriumklorid 0,9 % 2247
Uspesifisert inkompatibilitet Uforenlig
Injeksjon Heparin sodium
Injeksjon Cefalotin sodium
3540
Kompatibel
Injeksjon Heparin sodium 10 & 5000 UI/ml
Injeksjon Cefazolin sodium 10 mg/ml
Natriumklorid 0,9 % 2037
Kompatibel
Injeksjon Heparin sodium 50 UI/ml
Injeksjon Cefazolin sodium 20 mg/ml
Ingen 317
Kompatibel
Injeksjon Heparin sodium 0.667 UI/ml
Injeksjon Cefazolin sodium 0.333 mg/ml
Dianéal® PD2 1.5% Glukose (Baxter) 1979
Kompatibel
Injeksjon Heparin sodium 10 & 50 UI/ml
Injeksjon Cefepime dihydrochloride 4 mg/ml
Natriumklorid 0,9 % 3548
Kompatibel
Injeksjon Heparin sodium 10 & 50 UI/ml
Injeksjon Cefepime dihydrochloride 4 mg/ml
Glukose 5 % 3548
Kompatibel
Injeksjon Heparin sodium 1000 UI/ml
Injeksjon Cefiderocol sulfate tosylate 20 mg/mL
Glukose 5 % 4528
Kompatibel
Injeksjon Heparin sodium 1000 UI/ml
Injeksjon Cefiderocol sulfate tosylate 20 mg/mL
Natriumklorid 0,9 % 4528
Kjemisk ustabilitet Uforenlig
Injeksjon Heparin sodium 100 UI/ml
Injeksjon Cefmetazole sodium 100 mg/ml
Vann til injeksjon 93
Kompatibel
Injeksjon Heparin sodium 208 UI/ml
Injeksjon Cefotaxime sodium 41.6 & 125 mg/ml
Glukose 5 % 4254
Kompatibel
Injeksjon Heparin sodium 208 UI/ml
Injeksjon Cefotaxime sodium 41.6 & 125 mg/ml
Natriumklorid 0,9 % 4254
Kompatibel
Injeksjon Heparin sodium 5000 UI/ml
Injeksjon Cefotaxime sodium 10 mg/ml
Vann til injeksjon 3125
Kompatibel
Injeksjon Heparin sodium 100 UI/ml
Injeksjon Ceftaroline fosamil 2,22 mg/ml
Ringers laktatoppløsning 3249
Kompatibel
Injeksjon Heparin sodium 100 UI/ml
Injeksjon Ceftaroline fosamil 2,22 mg/ml
Natriumklorid 0,9 % 3249
Kompatibel
Injeksjon Heparin sodium 100 UI/ml
Injeksjon Ceftaroline fosamil 2,22 mg/ml
Glukose 5 % 3249
Kompatibel
Injeksjon Heparin sodium 0.5 UI/ml
Injeksjon Ceftazidime 0.125 mg/ml
Extraneal® (Baxter) 4056
Kompatibel
Injeksjon Heparin sodium 0.5 UI/ml
Injeksjon Ceftazidime 0.125 mg/ml
Dianéal® PD2 4.25% Glukose (Baxter) 4056
Kompatibel
Injeksjon Heparin sodium 50 UI/ml
Injeksjon Ceftazidime 20 mg/ml
Ingen 317
Kompatibel
Injeksjon Heparin sodium 0.5 UI/ml
Injeksjon Ceftazidime 0.125 mg/ml
Dianéal® PD2 2.5% glucose (Baxter) 4056
Kompatibel
Injeksjon Heparin sodium 100 UI/ml
Injeksjon Ceftobiprole medocaril sodium 2 mg/ml
Natriumklorid 0,9 % 2269
Kompatibel
Injeksjon Heparin sodium 100 UI/ml
Injeksjon Ceftobiprole medocaril sodium 2 mg/ml
Glukose 5 % 2269
Kompatibel
Injeksjon Heparin sodium 100 UI/ml
Injeksjon Ceftobiprole medocaril sodium 2 mg/ml
Ringers laktatoppløsning 2269
Kompatibel
Injeksjon Heparin sodium 1000 UI/ml
Injeksjon Ceftolozane / tazobactam 10/5 mg/ml
Natriumklorid 0,9 % 3828
Kompatibel
Injeksjon Heparin sodium 1000 UI/ml
Injeksjon Ceftolozane / tazobactam 10/5 mg/ml
Glukose 5 % 3828
Kompatibel
Injeksjon Heparin sodium 50 UI/ml
Injeksjon Ceftriaxone disodium 20 mg/ml
Ingen 317
Kompatibel
Injeksjon Heparin sodium 10 & 50 UI/ml
Injeksjon Cefuroxime sodium
Natriumklorid 0,9 % 3687
Kompatibel
Injeksjon Heparin sodium 58,34 UI/ml
Injeksjon Chlorpromazine hydrochloride 0,26 mg/ml
Glukose 5 % 1289
Kompatibel
Injeksjon Heparin sodium 1 UI/ml
Injeksjon Chlorpromazine hydrochloride 10 mg/ml
Natriumklorid 0,9 % 1228
Kompatibel
Injeksjon Heparin sodium 1 UI/ml
Injeksjon Chlorpromazine hydrochloride 10 mg/ml
Glukose 5 % 1228
Uspesifisert inkompatibilitet Uforenlig
Injeksjon Heparin sodium
Injeksjon Chlorpromazine hydrochloride
3540
Kompatibel
Injeksjon Heparin sodium 1 UI/ml
Injeksjon Chlorpromazine hydrochloride 10 mg/ml
Ringers laktatoppløsning 1228
Kompatibel
Injeksjon Heparin sodium 50 UI/ml
Injeksjon Cimetidine hydrochloride 6 mg/ml
Ingen 317
Kompatibel
Injeksjon Heparin sodium 5000 & 10000 UI/ml
Injeksjon Ciprofloxacin lactate 0.4 & 0.6 mg/ml
Natriumklorid 0,9 % 2057
Umiddelbar nedbør Uforenlig
Injeksjon Heparin sodium 10 >> 10000 UI/ml
Injeksjon Ciprofloxacin lactate 1 mg/ml
Natriumklorid 0,9 % 2057
Umiddelbar nedbør Uforenlig
Injeksjon Heparin sodium 10 & 100 UI/ml
Injeksjon Ciprofloxacin lactate 0.2 mg/ml
Natriumklorid 0,9 % 2057
Uspesifisert inkompatibilitet Uforenlig
Injeksjon Heparin sodium
Injeksjon Ciprofloxacin lactate
3540
Umiddelbar nedbør Uforenlig
Injeksjon Heparin sodium 10 >> 1000 UI/ml
Injeksjon Ciprofloxacin lactate 0.4 & 0.6 mg/ml
Natriumklorid 0,9 % 2057
Kompatibel
Injeksjon Heparin sodium 1000 >> 10000 UI/ml
Injeksjon Ciprofloxacin lactate 0.2 mg/ml
Natriumklorid 0,9 % 2057
Umiddelbar nedbør Uforenlig
Injeksjon Heparin sodium 10 >> 5000 UI/ml
Injeksjon Ciprofloxacin lactate 0.8 mg/ml
Natriumklorid 0,9 % 2057
Kompatibel
Injeksjon Heparin sodium 10 >> 10000 UI/ml
Injeksjon Ciprofloxacin lactate 0.1 mg/ml
Natriumklorid 0,9 % 2057
Umiddelbar nedbør Uforenlig
Injeksjon Heparin sodium 100 UI/ml
Injeksjon Ciprofloxacin lactate 2 mg/ml
Natriumklorid 0,9 % 288
Uspesifisert inkompatibilitet Uforenlig
Injeksjon Heparin sodium
Injeksjon Ciprofloxacin lactate
3529
Umiddelbar nedbør Uforenlig
Injeksjon Heparin sodium 100 UI/ml
Injeksjon Ciprofloxacin lactate 2 mg/ml
Glukose 5 % 288
Umiddelbar nedbør Uforenlig
Injeksjon Heparin sodium 10 >> 1000 UI/ml
Injeksjon Ciprofloxacin lactate 2 mg/ml
Natriumklorid 0,9 % 289
Umiddelbar turbiditet Uforenlig
Injeksjon Heparin sodium 10 UI/ml
Injeksjon Ciprofloxacin lactate 2 mg/ml
Ingen 1393
Kompatibel
Injeksjon Heparin sodium 10000 UI/ml
Injeksjon Ciprofloxacin lactate 0.8 mg/ml
Natriumklorid 0,9 % 2057
Kompatibel
Injeksjon Heparin sodium 100 UI/ml
Injeksjon Cisatracurium besylate 0.1 & 2 mg/ml
Glukose 5 % 299
Umiddelbar nedbør Uforenlig
Injeksjon Heparin sodium 100 UI/ml
Injeksjon Cisatracurium besylate 5 mg/ml
Glukose 5 % 299
Fargeendring Uforenlig
Injeksjon Heparin sodium 500 UI/ml
Injeksjon Cisatracurium besylate 5 mg/ml
Natriumklorid 0,9 % 3463
Uspesifisert inkompatibilitet Uforenlig
Injeksjon Heparin sodium 500 UI/ml
Injeksjon Cisatracurium besylate 5 mg/ml
Natriumklorid 0,9 % 3823
Uspesifisert inkompatibilitet Uforenlig
Injeksjon Heparin sodium
Injeksjon Cisatracurium besylate
3540
Kompatibel
Injeksjon Heparin sodium 100 UI/ml
Injeksjon Cladribine 0.5 mg/ml
NaCl 0,9% + antibakterielt middel 1496
Kompatibel
Injeksjon Heparin sodium 100 UI/ml
Injeksjon Cladribine 0.015 mg/ml
Natriumklorid 0,9 % 1496
Kompatibel
Injeksjon Heparin sodium 50 UI/ml
Injeksjon Clindamycin phosphate 12 mg/ml
Ingen 317
Kompatibel
Injeksjon Heparin sodium 50 UI/ml
Injeksjon Clonidine hydrochloride 0.0075 mg/ml
Natriumklorid 0,9 % 1506
Kompatibel
Injeksjon Heparin sodium 50 UI/ml
Injeksjon Clonidine hydrochloride 0.0075 mg/ml
Glukose 5 % 1506
Kompatibel
Injeksjon Heparin sodium 100 UI/ml
Injeksjon Cloxacillin sodium 100 mg/ml
Vann til injeksjon 3012
Nedbør etter 4 timer Uforenlig
Injeksjon Heparin sodium 208 UI/ml
Injeksjon Co-trimoxazole 3.2/0.64 & 80/16 mg/ml
Natriumklorid 0,9 % 4254
Nedbør etter 4 timer Uforenlig
Injeksjon Heparin sodium 208 UI/ml
Injeksjon Co-trimoxazole 3.2/0.64 & 80/16 mg/ml
Glukose 5 % 4254
Kompatibel
Injeksjon Heparin sodium 1 UI/ml
Injeksjon Cyanocobalamine 0.1 mg/ml
Ringers laktatoppløsning 1228
Kompatibel
Injeksjon Heparin sodium 1 UI/ml
Injeksjon Cyanocobalamine 0.1 mg/ml
Glukose 5 % 1228
Kompatibel
Injeksjon Heparin sodium 1 UI/ml
Injeksjon Cyanocobalamine 0.1 mg/ml
Natriumklorid 0,9 % 1228
Uspesifisert inkompatibilitet Uforenlig
Injeksjon Heparin sodium
Injeksjon Cytarabine
3540
Uspesifisert inkompatibilitet Uforenlig
Injeksjon Heparin sodium
Injeksjon Cytarabine
3580
Uspesifisert inkompatibilitet Uforenlig
Injeksjon Heparin sodium
Injeksjon Dacarbazine
3605
Umiddelbar nedbør Uforenlig
Injeksjon Heparin sodium 100 UI/ml
Injeksjon Dacarbazine 25 mg/ml
Natriumklorid 0,9 % 860
Uspesifisert inkompatibilitet Uforenlig
Injeksjon Heparin sodium
Injeksjon Dacarbazine
3267
Uspesifisert inkompatibilitet Uforenlig
Injeksjon Heparin sodium
Injeksjon Dacarbazine
3540
Kompatibel
Injeksjon Heparin sodium
Injeksjon Daptomycin
2271
Kompatibel
Injeksjon Heparin sodium 98 UI/ml
Injeksjon Daptomycin 19,6 mg/ml
Natriumklorid 0,9 % 1937
Umiddelbar nedbør Uforenlig
Injeksjon Heparin sodium
Injeksjon Daunorubicin hydrochloride
3604
Uspesifisert inkompatibilitet Uforenlig
Injeksjon Heparin sodium
Injeksjon Daunorubicin hydrochloride
3540
Umiddelbar nedbør Uforenlig
Injeksjon Heparin sodium
Injeksjon Daunorubicin hydrochloride liposome
3577
Umiddelbar turbiditet Uforenlig
Injeksjon Heparin sodium
Injeksjon Daunorubicin/cytarabine liposomale 0,4 mg/mL
Natriumklorid 0,9 % 4654
Kompatibel
Injeksjon Heparin sodium 373 UI/ml
Injeksjon Defibrotide 8 mg/ml
Natriumklorid 0,9 % 3728
Kompatibel
Injeksjon Heparin sodium 50 UI/ml
Injeksjon Dexamethasone sodium phosphate 0.08 mg/ml
Ingen 317
Kompatibel
Injeksjon Heparin sodium
Injeksjon Dexketoprofen
4981
Kompatibel
Injeksjon Heparin sodium 100 UI/ml
Injeksjon Dexmedetomidine 4 µg/ml
Natriumklorid 0,9 % 1712
Kompatibel
Injeksjon Heparin sodium 10000 UI/ml
Injeksjon Diatrizoate meglumine 283 mg/ml
Ingen 1085
Uspesifisert inkompatibilitet Uforenlig
Injeksjon Heparin sodium
Injeksjon Diazepam
3540
Kompatibel
Injeksjon Heparin sodium 100 UI/ml
Injeksjon Diltiazem hydrochloride 1 mg/ml
314
Umiddelbar nedbør Uforenlig
Injeksjon Heparin sodium 20000 UI/ml
Injeksjon Diltiazem hydrochloride 5 mg/ml
Natriumklorid 0,9 % 198
Kompatibel
Injeksjon Heparin sodium 100 UI/ml
Injeksjon Diltiazem hydrochloride 1 mg/ml
Glukose 5 % 4556
Umiddelbar turbiditet Uforenlig
Injeksjon Heparin sodium 100 UI/ml
Injeksjon Diltiazem hydrochloride 5 mg/ml
Glukose 5 % 4556
Kompatibel
Injeksjon Heparin sodium 20000 UI/ml
Injeksjon Diltiazem hydrochloride 1 mg/ml
Natriumklorid 0,9 % 198
Kompatibel
Injeksjon Heparin sodium
Injeksjon Diltiazem hydrochloride
5090
Kompatibel
Injeksjon Heparin sodium 80 >> 10000 UI/ml
Injeksjon Diltiazem hydrochloride 1 & 5 mg/ml
Natriumklorid 0,9 % 198
Umiddelbar nedbør Uforenlig
Injeksjon Heparin sodium
Injeksjon Dimenhydrinate
2087
Kompatibel
Injeksjon Heparin sodium 1 UI/ml
Injeksjon Diphenhydramine hydrochloride 50 mg/ml
Natriumklorid 0,9 % 1228
Kompatibel
Injeksjon Heparin sodium 1 UI/ml
Injeksjon Diphenhydramine hydrochloride 50 mg/ml
Glukose 5 % 1228
Kompatibel
Injeksjon Heparin sodium 1 UI/ml
Injeksjon Diphenhydramine hydrochloride 50 mg/ml
Ringers laktatoppløsning 1228
Nedbør etter 4 timer Uforenlig
Injeksjon Heparin sodium 100 UI/ml
Injeksjon Dobutamine hydrochloride 4 mg/ml
314
Kompatibel
Injeksjon Heparin sodium 40 UI/ml
Injeksjon Dobutamine hydrochloride 1 mg/ml
Natriumklorid 0,9 % 1058
Kompatibel
Injeksjon Heparin sodium 100 UI/ml
Injeksjon Dobutamine hydrochloride 2 mg/ml
Glukose 5 % 1041
Umiddelbar nedbør Uforenlig
Injeksjon Heparin sodium 100 UI/ml
Injeksjon Dobutamine hydrochloride 2 mg/ml
Glukose 5 % 1352
Umiddelbar turbiditet Uforenlig
Injeksjon Heparin sodium 100 UI/ml
Injeksjon Dobutamine hydrochloride 4 mg/ml
Glukose 5 % 295
Umiddelbar nedbør Uforenlig
Injeksjon Heparin sodium
Injeksjon Dobutamine hydrochloride
3540
Fargeendring etter 6 timer Uforenlig
Injeksjon Heparin sodium 10000 UI/ml
Injeksjon Dobutamine hydrochloride 2 mg/ml
Glukose 5 % 1041
Kompatibel
Injeksjon Heparin sodium 40 UI/ml
Injeksjon Dobutamine hydrochloride 1 mg/ml
Glukose 5 % 1058
Kompatibel
Injeksjon Heparin sodium 50 UI/ml
Injeksjon Dobutamine hydrochloride 1 mg/ml
Ingen 317
Kompatibel
Injeksjon Heparin sodium 100 UI/ml
Injeksjon Docetaxel 0.9 mg/ml
Glukose 5 % 1754
Kompatibel
Injeksjon Heparin sodium 1 UI/ml
Injeksjon Dopamine hydrochloride 40 mg/ml
Natriumklorid 0,9 % 1228
Kompatibel
Injeksjon Heparin sodium 50 UI/ml
Injeksjon Dopamine hydrochloride 1.6 mg/ml
Ingen 317
Kompatibel
Injeksjon Heparin sodium 100 UI/ml
Injeksjon Dopamine hydrochloride 3.2 mg/ml
314
Kompatibel
Injeksjon Heparin sodium 1 UI/ml
Injeksjon Dopamine hydrochloride 40 mg/ml
Ringers laktatoppløsning 1228
Kompatibel
Injeksjon Heparin sodium 200 UI/ml
Injeksjon Dopamine hydrochloride 0.8 mg/ml
Glukose 5 % 738
Kompatibel
Injeksjon Heparin sodium 1 UI/ml
Injeksjon Dopamine hydrochloride 40 mg/ml
Glukose 5 % 1228
Kompatibel
Injeksjon Heparin sodium 100 UI/ml
Injeksjon Dopamine hydrochloride 3,2 mg/ml
4389
Uspesifisert inkompatibilitet Uforenlig
Injeksjon Heparin sodium 187 UI/ml
Injeksjon Dopamine hydrochloride 1,7 >> 3,4 mg/ml
Glukose 5 % 377
Kompatibel
Injeksjon Heparin sodium 100 UI/ml
Injeksjon Doripenem 5 mg/ml
Natriumklorid 0,9 % 2262
Kompatibel
Injeksjon Heparin sodium 100 UI/ml
Injeksjon Doripenem 5 mg/ml
Glukose 5 % 2262
Kompatibel
Injeksjon Heparin sodium 1 UI/ml
Injeksjon Doxapram hydrochloride 2 mg/ml
Glukose 5 % 1802
Uspesifisert inkompatibilitet Uforenlig
Injeksjon Heparin sodium
Injeksjon Doxorubicin hydrochloride
3540
Umiddelbar nedbør Uforenlig
Injeksjon Heparin sodium
Injeksjon Doxorubicin hydrochloride
3645
Umiddelbar nedbør Uforenlig
Injeksjon Heparin sodium 1000 UI/ml
Injeksjon Doxorubicin hydrochloride 2 mg/ml
763
Kompatibel
Injeksjon Heparin sodium 1000 UI/ml
Injeksjon Doxorubicin hydrochloride liposome peg 0.4 mg/ml
Glukose 5 % 251
Uspesifisert inkompatibilitet Uforenlig
Injeksjon Heparin sodium 50 UI/ml
Injeksjon Doxycycline hyclate 1 mg/ml
Ingen 317
Umiddelbar nedbør Uforenlig
Injeksjon Heparin sodium 1000 UI/ml
Injeksjon Droperidol 2,5 mg/ml
763
Kompatibel
Injeksjon Heparin sodium 1 UI/ml
Injeksjon Droperidol 1.25 mg/ml
Natriumklorid 0,9 % 1228
Kompatibel
Injeksjon Heparin sodium 1 UI/ml
Injeksjon Droperidol 1.25 mg/ml
Ringers laktatoppløsning 1228
Kompatibel
Injeksjon Heparin sodium 1 UI/ml
Injeksjon Droperidol 1.25 mg/ml
Glukose 5 % 1228
Uspesifisert inkompatibilitet Uforenlig
Injeksjon Heparin sodium
Injeksjon Droperidol
3540
Kompatibel
Injeksjon Heparin sodium 45,45 UI/ml
Injeksjon Enalaprilate 0,011 mg/ml
Glukose 5 % 963
Kompatibel
Injeksjon Heparin sodium 40 UI/ml
Injeksjon Enalaprilate 0.05 mg/ml
Natriumklorid 0,9 % 1315
Kompatibel
Injeksjon Heparin sodium 50 UI/ml
Injeksjon Enalaprilate 0.0125 mg/ml
Natriumklorid 0,9 % 1703
Kompatibel
Injeksjon Heparin sodium 1 UI/ml
Injeksjon Epinephrine hydrochloride 100 µg/ml
Ringers laktatoppløsning 1228
Kompatibel
Injeksjon Heparin sodium 100 UI/ml
Injeksjon Epinephrine hydrochloride 20 µg/ml
314
Kompatibel
Injeksjon Heparin sodium 1 UI/ml
Injeksjon Epinephrine hydrochloride 100 µg/ml
Natriumklorid 0,9 % 1228
Kompatibel
Injeksjon Heparin sodium 1 UI/ml
Injeksjon Epinephrine hydrochloride 100 µg/ml
Glukose 5 % 1228
Uspesifisert inkompatibilitet Uforenlig
Injeksjon Heparin sodium
Injeksjon Epirubicin hydrochloride
3632
Kompatibel
Injeksjon Heparin sodium
Injeksjon Eptifibatide
3934
Kompatibel
Injeksjon Heparin sodium 1000 UI/ml
Injeksjon Eravacycline 0,6 mg/ml
Natriumklorid 0,9 % 4434
Umiddelbar turbiditet Uforenlig
Injeksjon Heparin sodium 1 UI/ml
Injeksjon Ergotamine tartrate 0.5 mg/ml
Natriumklorid 0,9 % 1228
Nedbør etter 4 timer Uforenlig
Injeksjon Heparin sodium 1 UI/ml
Injeksjon Ergotamine tartrate 0.5 mg/ml
Ringers laktatoppløsning 1228
Nedbør etter 4 timer Uforenlig
Injeksjon Heparin sodium 1 UI/ml
Injeksjon Ergotamine tartrate 0.5 mg/ml
Glukose 5 % 1228
Kompatibel
Injeksjon Heparin sodium 50 & 100 UI/ml
Injeksjon Ertapenem 10 & 20 mg/ml
Natriumklorid 0,9 % 1906
Kompatibel
Injeksjon Heparin sodium 50 UI/ml
Injeksjon Erythromycin lactobionate 3.3 mg/ml
Ingen 317
Uspesifisert inkompatibilitet Uforenlig
Injeksjon Heparin sodium
Injeksjon Erythromycin lactobionate
3674
Uspesifisert inkompatibilitet Uforenlig
Injeksjon Heparin sodium
Injeksjon Erythromycin lactobionate
3540
Kompatibel
Injeksjon Heparin sodium 50 UI/ml
Injeksjon Esmolol hydrochloride 6 mg/ml
Glukose 5 % 174
Kompatibel
Injeksjon Heparin sodium 40 UI/ml
Injeksjon Esmolol hydrochloride 10 mg/ml
Glukose 5 % 384
Kompatibel
Injeksjon Heparin sodium 500 UI/ml
Injeksjon Esmolol hydrochloride 10 mg/ml
Natriumklorid 0,9 % 3823
Umiddelbar nedbør Uforenlig
Injeksjon Heparin sodium 1000 UI/ml
Injeksjon Ethanol 70 %
Vann til injeksjon + antibakterielt middel 2221
Umiddelbar nedbør Uforenlig
Injeksjon Heparin sodium 1000 UI/ml
Injeksjon Ethanol 70 %
Vann til injeksjon 2221
Nedbør etter 1 time Uforenlig
Injeksjon Heparin sodium 10 UI/ml
Injeksjon Ethanol 70 %
Vann til injeksjon + antibakterielt middel 2221
Umiddelbar nedbør Uforenlig
Injeksjon Heparin sodium 10 UI/ml
Injeksjon Ethanol 70 %
Vann til injeksjon 2221
Kompatibel
Injeksjon Heparin sodium 100 UI/ml
Injeksjon Etoposide phosphate 5 mg/ml
Glukose 5 % 1410
Kompatibel
Injeksjon Heparin sodium 40 UI/ml
Injeksjon Famotidine
Glukose 5 % 397
Kompatibel
Injeksjon Heparin sodium 50 UI/ml
Injeksjon Famotidine 0.2 mg/ml
Glukose 5 % 398
Kompatibel
Injeksjon Heparin sodium 40 UI/ml
Injeksjon Famotidine 2 mg/ml
Natriumklorid 0,9 % 215
Kompatibel
Injeksjon Heparin sodium 100 UI/ml
Injeksjon Fenoldopam mesylate 80 µg/ml
Natriumklorid 0,9 % 1803
Kompatibel
Injeksjon Heparin sodium 100 UI/ml
Injeksjon Fentanyl citrate 50 µg/ml
4389
Kompatibel
Injeksjon Heparin sodium 1 UI/ml
Injeksjon Fentanyl citrate 50 µg/ml
Glukose 5 % 1228
Kompatibel
Injeksjon Heparin sodium 1 UI/ml
Injeksjon Fentanyl citrate 50 µg/ml
Ringers laktatoppløsning 1228
Kompatibel
Injeksjon Heparin sodium 1 UI/ml
Injeksjon Fentanyl citrate 50 µg/ml
Natriumklorid 0,9 % 1228
Kompatibel
Injeksjon Heparin sodium 100 UI/ml
Injeksjon Fentanyl citrate 50 µg/ml
314
Umiddelbar nedbør Uforenlig
Injeksjon Heparin sodium 100 UI/ml
Injeksjon Filgrastim 30 µg/ml
Glukose 5 % 244
Kompatibel
Injeksjon Heparin sodium 1000 UI/ml
Injeksjon Fluconazole 2 mg/ml
Natriumklorid 0,9 % 496
Kompatibel
Injeksjon Heparin sodium 50 UI/ml
Injeksjon Fluconazole 2 mg/ml
Ingen 317
Kompatibel
Injeksjon Heparin sodium 40 >> 1000 UI/ml
Injeksjon Fludarabine phosphate 1 mg/ml
Glukose 5 % 492
Kompatibel
Injeksjon Heparin sodium 50 UI/ml
Injeksjon Flumazenil 0,02 mg/ml
Glukose 5 % 187
Kompatibel
Injeksjon Heparin sodium 5 UI/ml
Injeksjon Fluorouracil 0,8 mg/ml
Natriumklorid 0,9 % 156
Kompatibel
Injeksjon Heparin sodium 5 UI/ml
Injeksjon Fluorouracil 0,8 mg/ml
Glukose 5 % 156
Kompatibel
Injeksjon Heparin sodium 1 UI/ml
Injeksjon Fluorouracil 50 mg/ml
Natriumklorid 0,9 % 1228
Kompatibel
Injeksjon Heparin sodium 960 UI/ml
Injeksjon Fluorouracil 24 mg/ml
Glukose 5 % 163
Kompatibel
Injeksjon Heparin sodium 1 UI/ml
Injeksjon Fluorouracil 50 mg/ml
Glukose 5 % 1228
Kompatibel
Injeksjon Heparin sodium 1000 UI/ml
Injeksjon Fluorouracil 50 mg/ml
763
Kompatibel
Injeksjon Heparin sodium 1 UI/ml
Injeksjon Fluorouracil 50 mg/ml
Ringers laktatoppløsning 1228
Kompatibel
Injeksjon Heparin sodium 1000 UI/ml
Injeksjon Folinate calcium 10 mg/ml
763
Kompatibel
Injeksjon Heparin sodium 100 UI/ml
Injeksjon Foscarnet sodium 24 mg/ml
Glukose 5 % 1135
Kompatibel
Injeksjon Heparin sodium 100 UI/ml
Injeksjon Foscarnet sodium 24 mg/ml
Natriumklorid 0,9 % 1135
Kompatibel
Injeksjon Heparin sodium 1000 UI/ml
Injeksjon Foscarnet sodium 24 mg/ml
Ingen 73
Kompatibel
Injeksjon Heparin sodium 1000 UI/ml
Injeksjon Fosfomycin 30 mg/ml
Glukose 5 % 4055
Kompatibel
Injeksjon Heparin sodium 1000 UI/ml
Injeksjon Fosfomycin 30 mg/ml
Natriumklorid 0,9 % 4055
Kompatibel
Injeksjon Heparin sodium 100 UI/ml
Injeksjon Furosemide 10 mg/ml
314
Kompatibel
Injeksjon Heparin sodium 1 UI/ml
Injeksjon Furosemide 10 mg/ml
Natriumklorid 0,9 % 1228
Nedbør etter 5 timer Uforenlig
Injeksjon Heparin sodium 100 UI/ml
Injeksjon Furosemide 10 mg/ml
Glukose 5 % 4724
Kompatibel
Injeksjon Heparin sodium 20 UI/ml
Injeksjon Furosemide 1 mg/ml
Natriumklorid 0,9 % 1232
Kompatibel
Injeksjon Heparin sodium 58,34 UI/ml
Injeksjon Furosemide 5,21 mg/ml
Glukose 5 % 1289
Kompatibel
Injeksjon Heparin sodium
Injeksjon Furosemide
3465
Kompatibel
Injeksjon Heparin sodium 1 UI/ml
Injeksjon Furosemide 10 mg/ml
Ringers laktatoppløsning 1228
Kompatibel
Injeksjon Heparin sodium 1000 UI/ml
Injeksjon Furosemide 10 mg/ml
763
Kompatibel
Injeksjon Heparin sodium 10 UI/ml
Injeksjon Furosemide 10 mg/ml
Ingen 3210
Kompatibel
Injeksjon Heparin sodium 500 UI/ml
Injeksjon Furosemide 10 mg/ml
Natriumklorid 0,9 % 3823
Kompatibel
Injeksjon Heparin sodium 500 UI/ml
Injeksjon Furosemide 10 mg/ml
Ingen 3134
Kompatibel
Injeksjon Heparin sodium 1 UI/ml
Injeksjon Furosemide 10 mg/ml
Glukose 5 % 1228
Kompatibel
Injeksjon Heparin sodium 40 UI/ml
Injeksjon Gallium nitrate 1 mg/ml
Natriumklorid 0,9 % 91
Kompatibel
Injeksjon Heparin sodium 100 UI/ml
Injeksjon Gemcitabine hydrochloride 10 mg/ml
Natriumklorid 0,9 % 1423
Umiddelbar turbiditet Uforenlig
Injeksjon Heparin sodium 2500 UI/ml
Injeksjon Gentamicin sulfate 3 mg/ml
4612
Uspesifisert inkompatibilitet Uforenlig
Injeksjon Heparin sodium
Injeksjon Gentamicin sulfate
3520
Uspesifisert inkompatibilitet Uforenlig
Injeksjon Heparin sodium
Injeksjon Gentamicin sulfate
3643
Umiddelbar nedbør Uforenlig
Injeksjon Heparin sodium
Injeksjon Gentamicin sulfate
1022
Uspesifisert inkompatibilitet Uforenlig
Injeksjon Heparin sodium 50 UI/ml
Injeksjon Gentamicin sulfate 2 mg/ml
Ingen 317
Umiddelbar nedbør Uforenlig
Injeksjon Heparin sodium 10 >> 40 UI/ml
Injeksjon Gentamicin sulfate 4 >> 40 mg/ml
1258
Umiddelbar nedbør Uforenlig
Injeksjon Heparin sodium 2500 UI/ml
Injeksjon Gentamicin sulfate 4 & 5 mg/ml
4612
Uspesifisert inkompatibilitet Uforenlig
Injeksjon Heparin sodium
Injeksjon Gentamicin sulfate
3540
Kompatibel
Injeksjon Heparin sodium 2500 UI/ml
Injeksjon Gentamicin sulfate 1 & 2 mg/ml
4612
Kompatibel
Injeksjon Heparin sodium 50 UI/ml
Injeksjon Glycerophosphate disodium
Natriumklorid 0,9 % 4332
Kompatibel
Injeksjon Heparin sodium 100 UI/ml
Injeksjon Granisetron hydrochloride 0.05 mg/ml
Glukose 5 % 182
Umiddelbar nedbør Uforenlig
Injeksjon Heparin sodium 100 & 200 UI/ml
Injeksjon Haloperidol lactate 5 mg/ml
Glukose 5 % 617
Umiddelbar nedbør Uforenlig
Injeksjon Heparin sodium 100 & 200 UI/ml
Injeksjon Haloperidol lactate 5 mg/ml
Natriumklorid 0,9 % 617
Kompatibel
Injeksjon Heparin sodium 500 UI/ml
Injeksjon Haloperidol lactate 0.5 mg/ml
Natriumklorid 0,9 % 3823
Uspesifisert inkompatibilitet Uforenlig
Injeksjon Heparin sodium
Injeksjon Haloperidol lactate
3540
Kompatibel
Injeksjon Heparin sodium 100 UI/ml
Injeksjon Hetastarch 60 mg/ml
spesifikk løsemiddel 1721
Uspesifisert inkompatibilitet Uforenlig
Injeksjon Heparin sodium
Injeksjon Hyaluronidase
3617
Uspesifisert inkompatibilitet Uforenlig
Injeksjon Heparin sodium
Injeksjon Hyaluronidase
3184
Uspesifisert inkompatibilitet Uforenlig
Injeksjon Heparin sodium
Injeksjon Hyaluronidase
3540
Kompatibel
Injeksjon Heparin sodium 1 UI/ml
Injeksjon Hydralazine hydrochloride 20 mg/ml
Glukose 5 % 1228
Kompatibel
Injeksjon Heparin sodium 1 UI/ml
Injeksjon Hydralazine hydrochloride 20 mg/ml
Ringers laktatoppløsning 1228
Kompatibel
Injeksjon Heparin sodium 1 UI/ml
Injeksjon Hydralazine hydrochloride 20 mg/ml
Natriumklorid 0,9 % 1228
Kompatibel
Injeksjon Heparin sodium 100 UI/ml
Injeksjon Hydrocortisone sodium succinate 125 mg/ml
Natriumklorid 0,9 % 132
Uspesifisert inkompatibilitet Uforenlig
Injeksjon Heparin sodium
Injeksjon Hydrocortisone sodium succinate
3540
Kompatibel
Injeksjon Heparin sodium 50 UI/ml
Injeksjon Hydrocortisone sodium succinate 2 mg/ml
Ingen 317
Kompatibel
Injeksjon Heparin sodium 100 UI/ml
Injeksjon Hydrocortisone sodium succinate 125 mg/ml
Glukose 5 % 132
Kompatibel
Injeksjon Heparin sodium
Injeksjon Hydromorphone hydrochloride <12.5 mg/ml
Natriumklorid 0,9 % 66
Kompatibel
Injeksjon Heparin sodium 100 UI/ml
Injeksjon Hydromorphone hydrochloride 1 mg/ml
314
Umiddelbar nedbør Uforenlig
Injeksjon Heparin sodium <12,5 UI/ml
Injeksjon Hydromorphone hydrochloride >25 mg/ml
Natriumklorid 0,9 % 66
Kompatibel
Injeksjon Heparin sodium
Injeksjon Hydromorphone hydrochloride <12.5 mg/ml
Vann til injeksjon 66
Umiddelbar nedbør Uforenlig
Injeksjon Heparin sodium <1 UI/ml
Injeksjon Hydromorphone hydrochloride >10 mg/ml
Vann til injeksjon 66
Umiddelbar nedbør Uforenlig
Injeksjon Heparin sodium <12,5 UI/ml
Injeksjon Hydromorphone hydrochloride >25 mg/ml
Vann til injeksjon 66
Kompatibel
Injeksjon Heparin sodium 100 UI/ml
Injeksjon Ibuprofen lysinate 10 mg/ml
Vann til injeksjon 4419
Kompatibel
Injeksjon Heparin sodium 10 UI/ml
Injeksjon Ibuprofen lysinate 10 mg/ml
Vann til injeksjon 4419
Umiddelbar turbiditet Uforenlig
Injeksjon Heparin sodium 100 & 1000 UI/ml
Injeksjon Idarubicin hydrochloride 1 mg/ml
Natriumklorid 0,9 % 491
Umiddelbar nedbør Uforenlig
Injeksjon Heparin sodium
Injeksjon Idarubicin hydrochloride
5075
Kompatibel
Injeksjon Heparin sodium
Injeksjon Imipenem-Cilastatin / Relebactam
4809
Kompatibel
Injeksjon Heparin sodium 1000 UI/ml
Injeksjon Imipenem-Cilastatin / Relebactam 5 mg/ml
Natriumklorid 0,9 % 4433
Kompatibel
Injeksjon Heparin sodium 1000 UI/ml
Injeksjon Imipenem-Cilastatin / Relebactam 5 mg/ml
Glukose 5 % 4433
Kompatibel
Injeksjon Heparin sodium 500 UI/ml
Injeksjon Insulin 2 UI/ml
Natriumklorid 0,9 % 3823
Kompatibel
Injeksjon Heparin sodium 60 UI/ml
Injeksjon Insulin 0.2 UI/ml
Natriumklorid 0,9 % 129
Kompatibel
Injeksjon Heparin sodium 50 & 400 UI/ml
Injeksjon Insulin aspart 1 UI/ml
Glukose 5 % 1508
Kompatibel
Injeksjon Heparin sodium 50 & 400 UI/ml
Injeksjon Insulin aspart 1 UI/ml
Natriumklorid 0,9 % 1508
Kompatibel
Injeksjon Heparin sodium 10000 UI/ml
Injeksjon Iohexol 300 mg I/ml
Ingen 1085
Kompatibel
Injeksjon Heparin sodium 10000 UI/ml
Injeksjon Ioxaglate 320 mg I/ml
Ingen 1085
Umiddelbar turbiditet Uforenlig
Injeksjon Heparin sodium 1000 UI/ml
Injeksjon Isavuconazonium sulfate 1.5 mg/ml
Natriumklorid 0,9 % 3829
Umiddelbar turbiditet Uforenlig
Injeksjon Heparin sodium 1000 UI/ml
Injeksjon Isavuconazonium sulfate 1.5 mg/ml
Glukose 5 % 3829
Kompatibel
Injeksjon Heparin sodium 1 UI/ml
Injeksjon Isoprenaline hydrochloride 0.2 mg/ml
Glukose 5 % 1228
Kompatibel
Injeksjon Heparin sodium 1 UI/ml
Injeksjon Isoprenaline hydrochloride 0.2 mg/ml
Natriumklorid 0,9 % 1228
Kompatibel
Injeksjon Heparin sodium 1 UI/ml
Injeksjon Isoprenaline hydrochloride 0.2 mg/ml
Ringers laktatoppløsning 1228
Uspesifisert inkompatibilitet Uforenlig
Injeksjon Heparin sodium
Injeksjon Kanamycin sulfate
3540
Umiddelbar nedbør Uforenlig
Injeksjon Heparin sodium 25000 UI/ml
Injeksjon Ketamine hydrochloride 50 mg/ml
2109
Kompatibel
Injeksjon Heparin sodium 100 UI/ml
Injeksjon Labetalol hydrochloride 2 mg/ml
314
Uspesifisert inkompatibilitet Uforenlig
Injeksjon Heparin sodium 500 UI/ml
Injeksjon Labetalol hydrochloride 4 mg/ml
Natriumklorid 0,9 % 3823
Uspesifisert inkompatibilitet Uforenlig
Injeksjon Heparin sodium
Injeksjon Labetalol hydrochloride
3540
Umiddelbar nedbør Uforenlig
Injeksjon Heparin sodium 100 UI/ml
Injeksjon Labetalol hydrochloride 5 mg/ml
Glukose 5 % 295
Kompatibel
Injeksjon Heparin sodium 40 UI/ml
Injeksjon Labetalol hydrochloride 1 mg/ml
Glukose 5 % 386
Kompatibel
Injeksjon Heparin sodium 100 UI/ml
Injeksjon Lansoprazole 0.55 mg/ml
Natriumklorid 0,9 % 1625
Turbiditet på 4 timer Uforenlig
Injeksjon Heparin sodium 100 UI/ml
Injeksjon Levetiracetam 100 mg/ml
Glukose 5 % 4108
Umiddelbar turbiditet Uforenlig
Injeksjon Heparin sodium 208,3 UI/ml
Injeksjon Levetiracetam 15 mg/ml
Natriumklorid 0,9 % 4698
Uspesifisert inkompatibilitet Uforenlig
Injeksjon Heparin sodium
Injeksjon Levofloxacine
3920
Umiddelbar nedbør Uforenlig
Injeksjon Heparin sodium 10 UI/ml
Injeksjon Levofloxacine 5 mg/ml
Glukose 5 % 1072
Uspesifisert inkompatibilitet Uforenlig
Injeksjon Heparin sodium
Injeksjon Levomepromazine
3540
Kompatibel
Injeksjon Heparin sodium 100 UI/ml
Injeksjon Levosimendan 2,5 mg/ml
Glukose 5 % 4389
Kompatibel
Injeksjon Heparin sodium 50 UI/ml
Injeksjon Lidocaine hydrochloride 4 mg/ml
Ingen 317
Kompatibel
Injeksjon Heparin sodium 1000 UI/ml
Injeksjon Linezolid 2 mg/ml
Ingen 1925
Kompatibel
Injeksjon Heparin sodium 10 >> 10000 UI/ml
Injeksjon Linezolid 0.2 >> 1.92 mg/ml
Natriumklorid 0,9 % 2057
Kompatibel
Injeksjon Heparin sodium 417 UI/ml
Injeksjon Lorazepam 0.33 mg/ml
Natriumklorid 0,9 % 186
Kompatibel
Injeksjon Heparin sodium 100 UI/ml
Injeksjon Lorazepam 0.5 mg/ml
314
Kompatibel
Injeksjon Heparin sodium 1 UI/ml
Injeksjon Magnesium sulfate 5 mg/ml
Natriumklorid 0,9 % 1228
Kompatibel
Injeksjon Heparin sodium 50 UI/ml
Injeksjon Magnesium sulfate 15.6 mg/ml
Natriumklorid 0,9 % 2100
Kompatibel
Injeksjon Heparin sodium 1 UI/ml
Injeksjon Magnesium sulfate 5 mg/ml
Ringers laktatoppløsning 1228
Kompatibel
Injeksjon Heparin sodium 1 UI/ml
Injeksjon Magnesium sulfate 5 mg/ml
Glukose 5 % 1228
Kompatibel
Injeksjon Heparin sodium 100 UI/ml
Injeksjon Melphalan 0.1 mg/ml
Natriumklorid 0,9 % 169
Kompatibel
Injeksjon Heparin sodium 0.5 UI/ml
Injeksjon Meropenem 0.5 mg/ml
Dianéal® 4.25% glucose (Baxter) 4180
Kompatibel
Injeksjon Heparin sodium 0.5 UI/ml
Injeksjon Meropenem 0.5 mg/ml
Extraneal® (Baxter) 4180
Kompatibel
Injeksjon Heparin sodium 1000 UI/ml
Injeksjon Meropenem 50 mg/ml
Vann til injeksjon 4319
Kompatibel
Injeksjon Heparin sodium 1 UI/ml
Injeksjon Meropenem 1 & 50 mg/ml
Natriumklorid 0,9 % 266
Kompatibel
Injeksjon Heparin sodium 0.5 UI/ml
Injeksjon Meropenem 0.5 mg/ml
Dianéal® 1.5% glucose (Baxter) 4180
Kompatibel
Injeksjon Heparin sodium 20 UI/ml
Injeksjon Meropenem 1 & 20 mg/ml
Natriumklorid 0,9 % 266
Kompatibel
Injeksjon Heparin sodium 0.5 UI/ml
Injeksjon Meropenem 0.5 mg/ml
Dianéal® 2.5% glucose (Baxter) 4180
Kompatibel
Injeksjon Heparin sodium 50 UI/ml
Injeksjon Methadone hydrochloride 0.2 mg/ml
Glukose 5 % 1506
Kompatibel
Injeksjon Heparin sodium 50 UI/ml
Injeksjon Methadone hydrochloride 0.2 mg/ml
Natriumklorid 0,9 % 1506
Uspesifisert inkompatibilitet Uforenlig
Injeksjon Heparin sodium
Injeksjon Methotrexate sodium
3637
Kompatibel
Injeksjon Heparin sodium 1000 UI/ml
Injeksjon Methotrexate sodium 25 mg/ml
763
Kompatibel
Injeksjon Heparin sodium 500 UI/ml
Injeksjon Methotrexate sodium 30 mg/ml
Natriumklorid 0,9 % 150
Kompatibel
Injeksjon Heparin sodium 100 UI/ml
Injeksjon Methylprednisolone sodium succinate 5 mg/ml
Glukose 5 % 132
Kompatibel
Injeksjon Heparin sodium 50 UI/ml
Injeksjon Methylprednisolone sodium succinate 2.5 mg/ml
Ingen 317
Kompatibel
Injeksjon Heparin sodium 100 UI/ml
Injeksjon Methylprednisolone sodium succinate 5 mg/ml
Natriumklorid 0,9 % 132
Kompatibel
Injeksjon Heparin sodium 1000 UI/ml
Injeksjon Metoclopramide hydrochloride 5 mg/ml
763
Kjemisk ustabilitet Uforenlig
Injeksjon Heparin sodium 1000 UI/ml
Injeksjon Metoprolol tartrate 1 mg/ml
Ingen 2346
Kompatibel
Injeksjon Heparin sodium 50 UI/ml
Injeksjon Metronidazole 5 mg/ml
Ingen 317
Kompatibel
Injeksjon Heparin sodium 100 UI/ml
Injeksjon Micafungin 1.5 mg/ml
Natriumklorid 0,9 % 2108
Umiddelbar turbiditet Uforenlig
Injeksjon Heparin sodium 208,3 UI/ml
Injeksjon Midazolam hydrochloride 1 mg/ml
Natriumklorid 0,9 % 4698
Kompatibel
Injeksjon Heparin sodium 500 UI/ml
Injeksjon Midazolam hydrochloride 2.1 mg/ml
Natriumklorid 0,9 % 3823
Kompatibel
Injeksjon Heparin sodium 417 UI/ml
Injeksjon Midazolam hydrochloride 5 mg/ml
Ingen 186
Kompatibel
Injeksjon Heparin sodium 100 UI/ml
Injeksjon Midazolam hydrochloride 5 mg/ml
4389
Kompatibel
Injeksjon Heparin sodium 100 UI/ml
Injeksjon Midazolam hydrochloride 2 mg/ml
314
Kompatibel
Injeksjon Heparin sodium 200 UI/ml
Injeksjon Milrinone lactate 0.8 mg/ml
Glukose 5 % 813
Kompatibel
Injeksjon Heparin sodium 100 UI/ml
Injeksjon Milrinone lactate 0.2 mg/ml
314
Kompatibel
Injeksjon Heparin sodium 1 UI/ml
Injeksjon Minocycline hydrochloride 0.2 mg/ml
Glukose 5 % 1228
Kompatibel
Injeksjon Heparin sodium 1 UI/ml
Injeksjon Minocycline hydrochloride 0.2 mg/ml
Ringers laktatoppløsning 1228
Kompatibel
Injeksjon Heparin sodium 1 UI/ml
Injeksjon Minocycline hydrochloride 0.2 mg/ml
Natriumklorid 0,9 % 1228
Uspesifisert inkompatibilitet Uforenlig
Injeksjon Heparin sodium
Injeksjon Mitoxantrone dihydrochloride
3640
Uspesifisert inkompatibilitet Uforenlig
Injeksjon Heparin sodium
Injeksjon Morphine hydrochloride
5069
Kompatibel
Injeksjon Heparin sodium 100 & 200 UI/ml
Injeksjon Morphine sulfate 1 >> 5 mg/ml
Vann til injeksjon 341
Kompatibel
Injeksjon Heparin sodium 1 UI/ml
Injeksjon Morphine sulfate 15 mg/ml
Ringers laktatoppløsning 1228
Uspesifisert inkompatibilitet Uforenlig
Injeksjon Heparin sodium
Injeksjon Morphine sulfate
3531
Kompatibel
Injeksjon Heparin sodium 1 UI/ml
Injeksjon Morphine sulfate 15 mg/ml
Glukose 5 % 1228
Kompatibel
Injeksjon Heparin sodium 1 UI/ml
Injeksjon Morphine sulfate 15 mg/ml
Natriumklorid 0,9 % 1228
Kompatibel
Injeksjon Heparin sodium 60 UI/ml
Injeksjon Morphine sulfate 1 mg/ml
Natriumklorid 0,9 % 406
Kompatibel
Injeksjon Heparin sodium 100 & 200 UI/ml
Injeksjon Morphine sulfate 10 mg/ml
Vann til injeksjon 341
Kompatibel
Injeksjon Heparin sodium 100 UI/ml
Injeksjon Morphine sulfate 2 mg/ml
314
Kjemisk ustabilitet Uforenlig
Injeksjon Heparin sodium 100 & 200 UI/ml
Injeksjon Morphine sulfate 1 >> 10 mg/ml
Natriumklorid 0,9 % 341
Kompatibel
Injeksjon Heparin sodium 1000 UI/ml
Injeksjon N-acetylcysteine 200 mg/ml
Ingen 3766
Kompatibel
Injeksjon Heparin sodium 50 UI/ml
Injeksjon Nafcillin sodium 20 mg/ml
Ingen 317
Kompatibel
Injeksjon Heparin sodium 1000 UI/ml
Injeksjon Naloxone hydrochloride 0.4 mg/ml
Ingen 3408
Umiddelbar turbiditet Uforenlig
Injeksjon Heparin sodium 208,3 UI/ml
Injeksjon Nefopam 1,7 mg/ml
Natriumklorid 0,9 % 4698
Kompatibel
Injeksjon Heparin sodium 1 UI/ml
Injeksjon Neostigmine methylsulfate 0.5 mg/ml
Glukose 5 % 1228
Kompatibel
Injeksjon Heparin sodium 1 UI/ml
Injeksjon Neostigmine methylsulfate 0.5 mg/ml
Natriumklorid 0,9 % 1228
Kompatibel
Injeksjon Heparin sodium 1 UI/ml
Injeksjon Neostigmine methylsulfate 0.5 mg/ml
Ringers laktatoppløsning 1228
Uspesifisert inkompatibilitet Uforenlig
Injeksjon Heparin sodium
Injeksjon Nesiritide
5048
Uspesifisert inkompatibilitet Uforenlig
Injeksjon Heparin sodium
Injeksjon Netilmicin sulfate
3540
Umiddelbar nedbør Uforenlig
Injeksjon Heparin sodium
Injeksjon Netilmicin sulfate
1022
Umiddelbar nedbør Uforenlig
Injeksjon Heparin sodium 100 UI/ml
Injeksjon Nicardipine hydrochloride 1 mg/ml
314
Uspesifisert inkompatibilitet Uforenlig
Injeksjon Heparin sodium
Injeksjon Nicardipine hydrochloride
3540
Kompatibel
Injeksjon Heparin sodium 40 UI/ml
Injeksjon Nicardipine hydrochloride 0.1 mg/ml
Glukose 5 % 1490
Kompatibel
Injeksjon Heparin sodium 40 UI/ml
Injeksjon Nicardipine hydrochloride 0.1 mg/ml
Natriumklorid 0,9 % 1490
Umiddelbar nedbør Uforenlig
Injeksjon Heparin sodium 100 UI/ml
Injeksjon Nitroglycerin 1,6 >> 3,25 mg/ml
Glukose 5 % 295
Kompatibel
Injeksjon Heparin sodium 500 UI/ml
Injeksjon Nitroglycerin 0.2 mg/ml
Natriumklorid 0,9 % 3823
Produksjon av gassbobler Uforenlig
Injeksjon Heparin sodium 50 UI/ml
Injeksjon Nitroglycerin 0.2 mg/ml
Ingen 317
Kompatibel
Injeksjon Heparin sodium 500 UI/ml
Injeksjon Nitroglycerin 0.2 mg/ml
Glukose 5 % 3823
Kompatibel
Injeksjon Heparin sodium 100 UI/ml
Injeksjon Nitroglycerin 0.4 mg/ml
314
Kompatibel
Injeksjon Heparin sodium 50 UI/ml
Injeksjon Nitroprusside sodium 0.2 mg/ml
Ingen 317
Kompatibel
Injeksjon Heparin sodium 100 UI/ml
Injeksjon Nitroprusside sodium 0.2 mg/ml
Glukose 5 % 295
Kompatibel
Injeksjon Heparin sodium 100 UI/ml
Injeksjon Norepinephrine bitartrate 0.128 mg/ml
314
Uspesifisert inkompatibilitet Uforenlig
Injeksjon Heparin sodium
Injeksjon Ofloxacin
3562
Kompatibel
Injeksjon Heparin sodium 40 UI/ml
Injeksjon Ondansetron hydrochloride 1 mg/ml
Natriumklorid 0,9 % 334
Uforenlig
Injeksjon Heparin sodium 200 UI/ml
Injeksjon Ondansetron hydrochloride 1.6 mg/ml
1699
Umiddelbar turbiditet Uforenlig
Injeksjon Heparin sodium 100 UI/ml
Injeksjon Oritavancin 0.8 >>1.2 mg/ml
Glukose 5 % 3152
Nedbør etter 4 timer Uforenlig
Injeksjon Heparin sodium 100 UI/ml
Injeksjon Oritavancin 2 mg/ml
Glukose 5 % 3152
Kompatibel
Injeksjon Heparin sodium 208 UI/ml
Injeksjon Ornidazole 31.25 mg/ml
Natriumklorid 0,9 % 4254
Kompatibel
Injeksjon Heparin sodium 1 UI/ml
Injeksjon Oxacillin sodium 100 mg/ml
Glukose 5 % 1228
Kompatibel
Injeksjon Heparin sodium 1 UI/ml
Injeksjon Oxacillin sodium 100 mg/ml
Ringers laktatoppløsning 1228
Kompatibel
Injeksjon Heparin sodium 1 UI/ml
Injeksjon Oxacillin sodium 100 mg/ml
Natriumklorid 0,9 % 1228
Kompatibel
Injeksjon Heparin sodium 100 UI/ml
Injeksjon Oxaliplatin 0,5 mg/ml
Glukose 5 % 1662
Uspesifisert inkompatibilitet Uforenlig
Injeksjon Heparin sodium
Injeksjon Oxytetracycline hydrochloride
3540
Kompatibel
Injeksjon Heparin sodium 100 UI/ml
Injeksjon Paclitaxel 1.2 mg/ml
Glukose 5 % 248
Kompatibel
Injeksjon Heparin sodium 100 UI/ml
Injeksjon Palonosetron hydrochloride 50 µg/ml
Glukose 5 % 2279
Kompatibel
Injeksjon Heparin sodium 40 UI/ml
Injeksjon Pancuronium bromide 0.05 mg/ml
Glukose 5 % 402
Nedbør etter 1 time Uforenlig
Injeksjon Heparin sodium
Injeksjon Pantoprazole sodium
2090
Kompatibel
Injeksjon Heparin sodium 208,3 UI/ml
Injeksjon Paracetamol 10 mg/ml
Natriumklorid 0,9 % 4698
Kompatibel
Injeksjon Heparin sodium 1000 UI/ml
Injeksjon Paracetamol 10 mg/ml
4742
Kompatibel
Injeksjon Heparin sodium 100 UI/ml
Injeksjon Pemetrexed disodium 20 mg/ml
Natriumklorid 0,9 % 1953
Uspesifisert inkompatibilitet Uforenlig
Injeksjon Heparin sodium
Injeksjon Penicillin G potassium
3540
Kompatibel
Injeksjon Heparin sodium 50 UI/ml
Injeksjon Penicillin G potassium 0.04 MUI/ml
Ingen 317
Uspesifisert inkompatibilitet Uforenlig
Injeksjon Heparin sodium
Injeksjon Penicillin G sodium
3540
Kompatibel
Injeksjon Heparin sodium 100 UI/ml
Injeksjon Pentoxifyllin 5 mg/ml
Natriumklorid 0,9 % 4538
Umiddelbar turbiditet Uforenlig
Injeksjon Heparin sodium
Injeksjon Pethidine hydrochloride
3525
Kompatibel
Injeksjon Heparin sodium 60 UI/ml
Injeksjon Pethidine hydrochloride 10 mg/ml
Natriumklorid 0,9 % 406
Uspesifisert inkompatibilitet Uforenlig
Injeksjon Heparin sodium
Injeksjon Pethidine hydrochloride
3540
Umiddelbar nedbør Uforenlig
Injeksjon Heparin sodium 50 UI/ml
Injeksjon Phenytoin sodium 2 mg/ml
Ingen 317
Kompatibel
Injeksjon Heparin sodium 50 UI/ml
Injeksjon Piperacillin sodium 60 mg/ml
Ingen 317
Kompatibel
Injeksjon Heparin sodium 10 & 5000 UI/ml
Injeksjon Piperacillin sodium 40 mg/ml
Natriumklorid 0,9 % 2037
Kompatibel
Injeksjon Heparin sodium 0.5 UI/ml
Injeksjon Piperacillin sodium / tazobactam 0.5/0.0625 mg/ml
Dianéal® 2.5% glucose (Baxter) 4180
Kompatibel
Injeksjon Heparin sodium 0.5 UI/ml
Injeksjon Piperacillin sodium / tazobactam 0.5/0.0625 mg/ml
Dianéal® 4.25% glucose (Baxter) 4180
Umiddelbar turbiditet Uforenlig
Injeksjon Heparin sodium 1000 UI/ml
Injeksjon Plazomicin sulfate 24 mg/ml
Natriumklorid 0,9 % 4145
Uspesifisert inkompatibilitet Uforenlig
Injeksjon Heparin sodium
Injeksjon Polymyxine B
3540
Kompatibel
Injeksjon Heparin sodium 50 UI/ml
Injeksjon Potassium chloride 200 mEq/l
Ingen 317
Kompatibel
Injeksjon Heparin sodium 1 UI/ml
Injeksjon Procainamide hydrochloride 100 mg/ml
Ringers laktatoppløsning 1228
Kompatibel
Injeksjon Heparin sodium 1 UI/ml
Injeksjon Procainamide hydrochloride 100 mg/ml
Natriumklorid 0,9 % 1228
Kompatibel
Injeksjon Heparin sodium 1 UI/ml
Injeksjon Prochlorperazine edysilate 5 mg/ml
Natriumklorid 0,9 % 1228
Kompatibel
Injeksjon Heparin sodium 3 >> 20 UI/ml
Parenteral ernæring(lipid-free) 791
Kompatibel
Injeksjon Heparin sodium 100 UI/ml
Parenteral ernæring(lipid-free) 301
Kompatibel
Injeksjon Heparin sodium 500 UI/ml
Parenteral ernæring(lipid-free) 939
Kompatibel
Injeksjon Heparin sodium 1 UI/ml
Injeksjon Prochlorperazine edysilate 5 mg/ml
Ringers laktatoppløsning 1228
Kompatibel
Injeksjon Heparin sodium 1 UI/ml
Injeksjon Promethazine hydrochloride 50 mg/ml
Natriumklorid 0,9 % 1228
Kompatibel
Injeksjon Heparin sodium 1 UI/ml
Injeksjon Promethazine hydrochloride 50 mg/ml
Ringers laktatoppløsning 1228
Kompatibel
Injeksjon Heparin sodium 1 UI/ml
Injeksjon Propranolol hydrochloride 1 mg/ml
Ringers laktatoppløsning 1228
Kompatibel
Injeksjon Heparin sodium 1 UI/ml
Injeksjon Propranolol hydrochloride 1 mg/ml
Natriumklorid 0,9 % 1228
Kompatibel
Injeksjon Heparin sodium 50 UI/ml
Injeksjon Ranitidine hydrochloride 0,5 mg/ml
Glukose 5 % 396
Kompatibel
Injeksjon Heparin sodium 10 & 40 UI/ml
Injeksjon Ranitidine hydrochloride 0.05 & 2 mg/ml
Natriumklorid 0,9 % 214
Kompatibel
Injeksjon Heparin sodium 50 UI/ml
Injeksjon Ranitidine hydrochloride 1 mg/ml
Ingen 317
Kompatibel
Injeksjon Heparin sodium 1000 UI/ml
Injeksjon Remdesivir 1 mg/ml
Natriumklorid 0,9 % 4768
Kompatibel
Injeksjon Heparin sodium 100 UI/ml
Injeksjon Remifentanil hydrochloride 25 & 250 µg/ml
Natriumklorid 0,9 % 59
Kompatibel
Injeksjon Heparin sodium 500 UI/ml
Injeksjon Remifentanil hydrochloride 100 µg/ml
Natriumklorid 0,9 % 3823
Kompatibel
Injeksjon Heparin sodium 500 UI/ml
NaHCO3 150
Kompatibel
Injeksjon Heparin sodium 1.4 UI/ml
Injeksjon Piperacillin sodium / tazobactam 1.38/0.1725 mg/ml
Physionéal® 2.27 (Baxter) 4180
Kompatibel
Injeksjon Heparin sodium 1.4 UI/ml
Injeksjon Piperacillin sodium / tazobactam 1.38/0.1725 mg/ml
Physionéal® 1.36 (Baxter) 4180
Kompatibel
Injeksjon Heparin sodium 0.5 UI/ml
Injeksjon Piperacillin sodium / tazobactam 0.5/0.0625 mg/ml
Dianéal® 1.5% glucose (Baxter) 4180
Kompatibel
Injeksjon Heparin sodium 1.4 UI/ml
Injeksjon Piperacillin sodium / tazobactam 1.38/0.1725 mg/ml
Physionéal® 3.86 (Baxter) 4180
Kompatibel
Injeksjon Heparin sodium 100 UI/ml
Injeksjon Piperacillin sodium / tazobactam 40/5 mg/ml
Glukose 5 % 81
Kompatibel
Injeksjon Heparin sodium 0.5 UI/ml
Injeksjon Piperacillin sodium / tazobactam 0.5/0.0625 mg/ml
Extraneal® (Baxter) 4180
Kompatibel
Injeksjon Heparin sodium 500 UI/ml
Injeksjon Potassium chloride 10 mEq/l
Natriumklorid 0,9 % 3823
Kompatibel
Injeksjon Heparin sodium 58,34 UI/ml
Injeksjon Potassium chloride 1250 mEq/l
Glukose 5 % 1289
Kompatibel
Injeksjon Heparin sodium
Injeksjon Potassium phosphate
3781
Kompatibel
Injeksjon Heparin sodium 1 UI/ml
Injeksjon Procainamide hydrochloride 100 mg/ml
Glukose 5 % 1228
Kompatibel
Injeksjon Heparin sodium 1 UI/ml
Injeksjon Prochlorperazine edysilate 5 mg/ml
Glukose 5 % 1228
Kompatibel
Injeksjon Heparin sodium 1 UI/ml
Injeksjon Promethazine hydrochloride 50 mg/ml
Glukose 5 % 1228
Uspesifisert inkompatibilitet Uforenlig
Injeksjon Heparin sodium
Injeksjon Promethazine hydrochloride
3540
Ustabilitet av emulsjonen etter 1 time Uforenlig
Injeksjon Heparin sodium 1000 UI/ml
Injeksjon Propofol
660
Kompatibel
Injeksjon Heparin sodium 100 UI/ml
Injeksjon Propofol 10 mg/ml
Ingen 300
Kompatibel
Injeksjon Heparin sodium 1 UI/ml
Injeksjon Propranolol hydrochloride 1 mg/ml
Glukose 5 % 1228
Kompatibel
Injeksjon Heparin sodium 100 UI/ml
Injeksjon Ranitidine hydrochloride 1 mg/ml
314
Kompatibel
Injeksjon Heparin sodium 10 & 40 UI/ml
Injeksjon Ranitidine hydrochloride 0.05 & 2 mg/ml
Glukose 5 % 214
Kompatibel
Injeksjon Heparin sodium 416.7 UI/ml
Injeksjon Remifentanil hydrochloride 120 µg/ml
Glukose 5 % 3294
Kompatibel
Injeksjon Heparin sodium 416.7 UI/ml
Injeksjon Remifentanil hydrochloride 120 µg/ml
Glukose 5 % 3176
Uspesifisert inkompatibilitet Uforenlig
Injeksjon Heparin sodium
Injeksjon Reteplase
2212
Kompatibel
Injeksjon Heparin sodium 20,458 >> 28,000 UI/ml
Parenteral ernæring (med lipider) 1868
Uspesifisert inkompatibilitet Uforenlig
Injeksjon Heparin sodium
Injeksjon Reteplase
3540
Kompatibel
Injeksjon Heparin sodium 1000 UI/ml
Injeksjon Salbutamol sulfate 1 mg/ml
Ingen 3216
Kompatibel
Injeksjon Heparin sodium 100 UI/ml
Injeksjon Sargramostim 6 §15 µg/ml
Natriumklorid 0,9 % 891
Kompatibel
Injeksjon Heparin sodium 100 UI/ml
Injeksjon Sargramostim 10 µg/ml
Natriumklorid 0,9 % 335
Kompatibel
Injeksjon Heparin sodium 1 UI/ml
Injeksjon Scopolamine hydrobromide 0.86 mg/ml
Natriumklorid 0,9 % 1228
Kompatibel
Injeksjon Heparin sodium 1 UI/ml
Injeksjon Scopolamine hydrobromide 0.86 mg/ml
Ringers laktatoppløsning 1228
Kompatibel
Injeksjon Heparin sodium 1 UI/ml
Injeksjon Scopolamine hydrobromide 0.86 mg/ml
Glukose 5 % 1228
Kompatibel
Injeksjon Heparin sodium 100 UI/ml
Injeksjon Sildenafil citrate 0,6 mg/ml
Glukose 5 % 4845
Kompatibel
Injeksjon Heparin sodium 100 UI/ml
Injeksjon Sildenafil citrate 0,06 mg/ml
Glukose 5 % 4845
Kompatibel
Injeksjon Heparin sodium 1 UI/ml
Injeksjon Sildenafil citrate 0,4 mg/ml
Glukose 5 % 3923
Kompatibel
Injeksjon Heparin sodium 2 UI/ml
Injeksjon Sildenafil citrate 0,6 mg/ml
Glukose 5 % 4845
Kompatibel
Injeksjon Heparin sodium
Natriumklorid 0,9 % 3540
Umiddelbar ustabilitet av emulsjonen Uforenlig
Injeksjon Heparin sodium 100 UI/ml
Parenteral ernæring (med lipider) 132
Umiddelbar turbiditet Uforenlig
Injeksjon Heparin sodium 100 UI/ml
Injeksjon Sildenafil citrate 0,6 mg/ml
Glukose 5 % 4845
Kompatibel
Injeksjon Heparin sodium 500 UI/ml
Injeksjon Sodium bicarbonate 84 mg/ml
Natriumklorid 0,9 % 3823
Kompatibel
Injeksjon Heparin sodium
Injeksjon Sodium bicarbonate
3466
Kompatibel
Injeksjon Heparin sodium 500 UI/ml
Injeksjon Sodium bicarbonate 14 mg/ml
Ingen 150
Kompatibel
Injeksjon Heparin sodium 500 UI/ml
Injeksjon Sodium bicarbonate 84 mg/ml
Ingen 3212
Kompatibel
Injeksjon Heparin sodium 208 UI/ml
Injeksjon Spiramycine adipate 0.0625 MUI/ml
Natriumklorid 0,9 % 4254
Kompatibel
Injeksjon Heparin sodium 100 UI/ml
Injeksjon Streptokinase 30000 UI/ml
Glukose 5 % 92
Uspesifisert inkompatibilitet Uforenlig
Injeksjon Heparin sodium
Injeksjon Streptomycin sulfate
3540
Kompatibel
Injeksjon Heparin sodium 416.7 UI/ml
Injeksjon Sufentanil citrate 0.005 mg/ml
Glukose 5 % 3294
Kompatibel
Injeksjon Heparin sodium 1000 UI/ml
Injeksjon Sugammadex 100 mg/ml
Ingen 3372
Kompatibel
Injeksjon Heparin sodium 10 UI/ml
Injeksjon Tacrolimus 1000 µg/ml
Natriumklorid 0,9 % 479
Kompatibel
Injeksjon Heparin sodium 1000 UI/ml
Ringers laktatoppløsning 4603
Kompatibel
Injeksjon Heparin sodium 1000 UI/ml
Injeksjon Sulbactam/durlobactam 15/15 mg/ml
Natriumklorid 0,9 % 4801
Kompatibel
Injeksjon Heparin sodium 1000 UI/ml
Injeksjon Tedizolid phosphate 0.8 mg/ml
Natriumklorid 0,9 % 3827
Kompatibel
Injeksjon Heparin sodium 10 >> 10000 UI/ml
Injeksjon Teicoplanine 0.02 >> 10 mg/ml
Natriumklorid 0,9 % 2057
Umiddelbar turbiditet Uforenlig
Injeksjon Heparin sodium 1000 UI/ml
Injeksjon Telavancin hydrochloride 7,5 mg/ml
Glukose 5 % 3254
Umiddelbar turbiditet Uforenlig
Injeksjon Heparin sodium 1000 UI/ml
Injeksjon Telavancin hydrochloride 7,5 mg/ml
Natriumklorid 0,9 % 3254
Kompatibel
Injeksjon Heparin sodium 1000 UI/ml
Injeksjon Telavancin hydrochloride 7.5 mg/ml
Ringers laktatoppløsning 3254
Umiddelbar nedbør Uforenlig
Injeksjon Heparin sodium 1000 UI/ml
Injeksjon Thiopental sodium 25 mg/ml
Natriumklorid 0,9 % 3767
Umiddelbar ustabilitet av emulsjonen Uforenlig
Injeksjon Heparin sodium 1 UI/ml
Parenteral ernæring (med lipider) 1391
Kompatibel
Injeksjon Heparin sodium 100 UI/ml
Injeksjon Teniposide 0.1 mg/ml
Glukose 5 % 905
Kompatibel
Injeksjon Heparin sodium 50 UI/ml
Injeksjon Theophylline 4 mg/ml
Ingen 317
Kompatibel
Injeksjon Heparin sodium 100 UI/ml
Injeksjon Thiopental sodium 25 mg/ml
314
Umiddelbar ustabilitet av emulsjonen Uforenlig
Injeksjon Heparin sodium 100 UI/ml
Parenteral ernæring (med lipider) 1415
Kompatibel
Injeksjon Heparin sodium 500 UI/ml
Injeksjon Thiopental sodium 60 mg/ml
Natriumklorid 0,9 % 3823
Kompatibel
Injeksjon Heparin sodium 100 UI/ml
Injeksjon Thiotepa 1 mg/ml
Glukose 5 % 249
Kompatibel
Injeksjon Heparin sodium 50 UI/ml
Injeksjon Ticarcillin / clavulanic acid 31 mg/ml
Ingen 317
Kompatibel
Injeksjon Heparin sodium 500 UI/ml
Injeksjon Tirofiban 250 µg/ml
Natriumklorid 0,9 % 3823
Kompatibel
Injeksjon Heparin sodium 40 & 100 UI/ml
Injeksjon Tirofiban 50 µg/ml
Natriumklorid 0,9 % 1420
Kompatibel
Injeksjon Heparin sodium
Glukose 5 % 3540
Kompatibel
Injeksjon Heparin sodium
Injeksjon Tirofiban
1512
Kompatibel
Injeksjon Heparin sodium 40 & 100 UI/ml
Injeksjon Tirofiban 50 µg/ml
Glukose 5 % 1420
Uspesifisert inkompatibilitet Uforenlig
Injeksjon Heparin sodium 50 UI/ml
Injeksjon Tobramycin sulfate 0.8 mg/ml
Ingen 317
Uspesifisert inkompatibilitet Uforenlig
Injeksjon Heparin sodium
Injeksjon Tobramycin sulfate
3540
Kompatibel
Injeksjon Heparin sodium
Injeksjon Tranexamic acid
5016
Uspesifisert inkompatibilitet Uforenlig
Injeksjon Heparin sodium
Injeksjon Triflupromazine hydrochloride
3540
Kompatibel
Injeksjon Heparin sodium 500 UI/ml
Injeksjon Urapidil 5 mg/ml
Natriumklorid 0,9 % 3823
Umiddelbar nedbør Uforenlig
Injeksjon Heparin sodium 0,5 >> 14,3 UI/ml
Injeksjon Vancomycin hydrochloride 6,9 >> 14,3 mg/ml
Dianéal® PD1 4.25% Glukose (Baxter) 2375
Uspesifisert inkompatibilitet Uforenlig
Injeksjon Heparin sodium
Injeksjon Vancomycin hydrochloride
3588
Uspesifisert inkompatibilitet Uforenlig
Injeksjon Heparin sodium
Injeksjon Vancomycin hydrochloride
3540
Kompatibel
Injeksjon Heparin sodium 0,5 >> 14,3 UI/ml
Injeksjon Vancomycin hydrochloride 0,015 >> 6,8 mg/ml
Dianéal® PD2 2.5% glucose (Baxter) 2375
Umiddelbar nedbør Uforenlig
Injeksjon Heparin sodium 0,5 >> 14,3 UI/ml
Injeksjon Vancomycin hydrochloride 6,9 >> 14,3 mg/ml
Dianéal® PD2 2.5% glucose (Baxter) 2375
Kompatibel
Injeksjon Heparin sodium 10 UI/ml
Injeksjon Vancomycin hydrochloride 0.025 mg/ml
Vann til injeksjon 3125
Kompatibel
Injeksjon Heparin sodium 0,5 >> 14,3 UI/ml
Injeksjon Vancomycin hydrochloride 0,015 >> 6,8 mg/ml
Dianéal® PD1 4.25% Glukose (Baxter) 2375
Uspesifisert inkompatibilitet Uforenlig
Injeksjon Heparin sodium 50 UI/ml
Injeksjon Vancomycin hydrochloride 6.6 mg/ml
Ingen 317
Kompatibel
Injeksjon Heparin sodium 100 UI/ml
Injeksjon Vancomycin hydrochloride 0.025 mg/ml
Natriumklorid 0,9 % 1414
Kompatibel
Injeksjon Heparin sodium 10 UI/ml
Injeksjon Vancomycin hydrochloride 2 mg/ml
Natriumklorid 0,9 % 2037
Umiddelbar nedbør Uforenlig
Injeksjon Heparin sodium 100 UI/ml
Injeksjon Vancomycin hydrochloride 10 mg/ml
Parenteral ernæring(lipid-free) 132
Kompatibel
Injeksjon Heparin sodium 5000 UI/ml
Injeksjon Vancomycin hydrochloride 2.5 mg/ml
Natriumklorid 0,9 % 2037
Kompatibel
Injeksjon Heparin sodium 100 UI/ml
Injeksjon Vancomycin hydrochloride 0.025 mg/ml
Natriumklorid 0,9 % 895
Kompatibel
Injeksjon Heparin sodium 100 UI/ml
Injeksjon Vasopressin 2 & 4 UI/ml
Natriumklorid 0,9 % 1801
Kompatibel
Injeksjon Heparin sodium 100 UI/ml
Injeksjon Vecuronium bromide 1 mg/ml
314
Kompatibel
Injeksjon Heparin sodium 40 UI/ml
Injeksjon Vecuronium bromide 0.1 mg/ml
Glukose 5 % 402
Kompatibel
Injeksjon Heparin sodium 20 UI/ml
Injeksjon Verapamil hydrochloride 0.08 mg/ml
Natriumklorid 0,9 % 1057
Kompatibel
Injeksjon Heparin sodium 20 UI/ml
Injeksjon Verapamil hydrochloride 0.08 mg/ml
Glukose 5 % 1057
Uspesifisert inkompatibilitet Uforenlig
Injeksjon Heparin sodium
Injeksjon Vinblastine sulfate
3540
Kompatibel
Injeksjon Heparin sodium 1000 UI/ml
Injeksjon Vinblastine sulfate 1 mg/ml
763
Kompatibel
Injeksjon Heparin sodium 1000 UI/ml
Injeksjon Vincristine sulfate 1 mg/ml
763
Kompatibel
Injeksjon Heparin sodium 100 UI/ml
Injeksjon Vinorelbine tartrate 1 mg/ml
Natriumklorid 0,9 % 84
Kompatibel
Injeksjon Heparin sodium 100 UI/ml
Injeksjon Vinorelbine tartrate 1 mg/ml
Natriumklorid 0,9 % 1070
Umiddelbar nedbør Uforenlig
Injeksjon Heparin sodium 10 & 100 UI/ml
Injeksjon Vinorelbine tartrate 2 & 3 mg/ml
Natriumklorid 0,9 % 1070
Kompatibel
Injeksjon Heparin sodium 208 UI/ml
Injeksjon Voriconazole 8 mg/ml
Glukose 5 % 4254
Kompatibel
Injeksjon Heparin sodium 208 UI/ml
Injeksjon Voriconazole 8 mg/ml
Natriumklorid 0,9 % 4254
Kompatibel
Injeksjon Heparin sodium 100 UI/ml
Injeksjon Warfarin sodium 2 mg/ml
Glukose 5 % 315
Kompatibel
Injeksjon Heparin sodium 100 UI/ml
Injeksjon Zidovudine 4 mg/ml
Glukose 5 % 337

  Mentions Légales