Zadnji put ažurirano :
18/03/2026
antikoagulant   Heparin sodium  
injekcija
Stabilizacija rješenja Stabilnost mješavine Stabilizacijski faktor Kompatibilnosti način davanja lijeka Bibliografija pdf
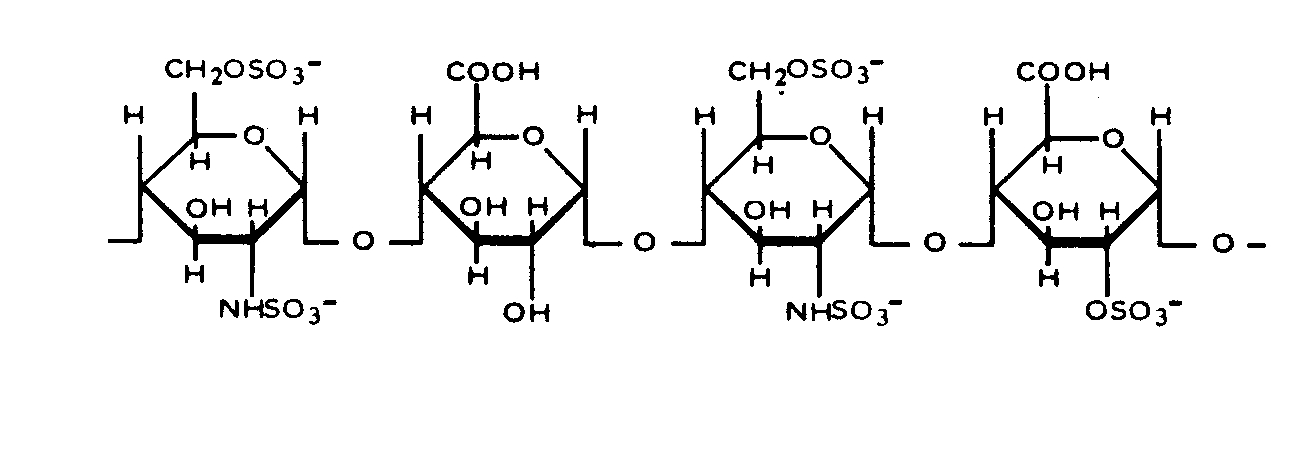
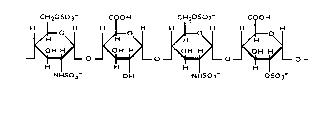
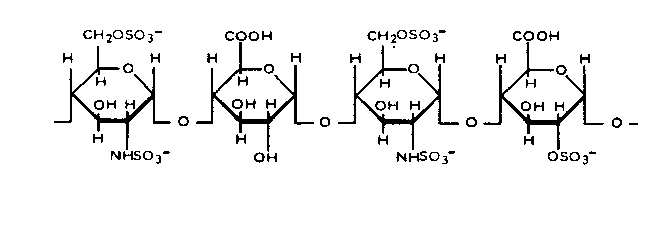
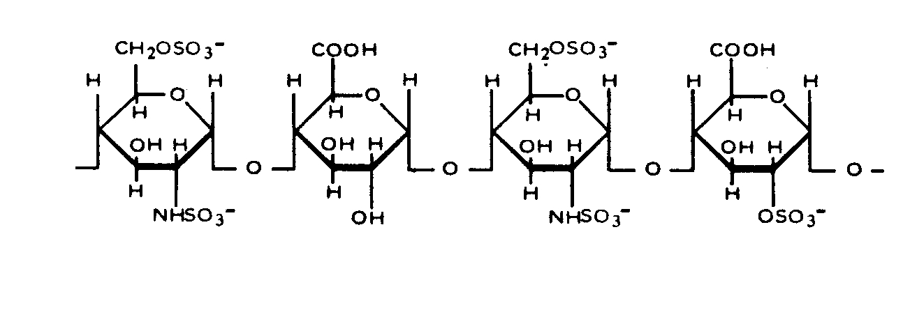
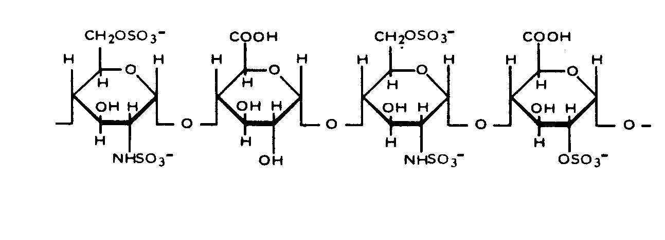
   Kemijska struktura  

Nekomercijalni   Nekomercijalni     

Zaštićeni nazivi su indikativni i sastav ekscipijensa može biti različit ovisno o državi i laboratorijima

Arapin Čile
Ateroclar Italija
Clarisco Italija
Epsoclar Italija
Hepaflex Finska, Norveška
Hepamax Čile, Ekvador, Kolumbija
Heparin Austrija, Danska, Finska, Grčka, Jugoslavija, Južna Afrika, Kanada, Madžarska, Nizozemska, Norveška, ruski, S A D, Švedska, Švicarska, Tajland, Turska, Velika Britanija
Heparine Belgija, Francuska
Heparinised Australija
Heparstad Njemačka
Liquemin Švicarska, Turska
Liquemine Brazil
Monoparin Saudijska Arabija
Normoparin Italija
Nuparin Ekvador
Pharepa Italija
Riveparin Argentina
Sobrius Argentina, Ekvador
Thrombophob Njemačka
Kompatibilnosti   injekcija   Kompatibilnosti : Heparin sodium              
Ovdje su prikazane kompatibilnosti ili nekompatibilnosti s tipom nekompatibilnosti (taloženje, promjena boje, modifikacija emulzije itd.) u ovom slučaju. Kompatibilnosti prikazane ovdje najčešće su fizikalne dok se kemijska stabilnost molekule rijetko procjenjuje. Procjena ovih mikstura je proučavana kako bi se razmotrila mogućnost primjene lijeka putem Y-mjesta. Ovi se podaci ne smiju koristiti za pripremu mikstura unaprijed u vrećicama ili štrcaljkama. Ova vrsta informacije se može pronaći u odjeljku « stabilnost u miksturama ».
molekula sredstvo za rastapanje Bibliografija
Kompatibilan
injekcija Heparin sodium 100 UI/ml
injekcija Aciclovir sodium 5 mg/ml
natrijumkorid 0,9% 2335
Kompatibilan
injekcija Heparin sodium 50 UI/ml
injekcija Aciclovir sodium 5 mg/ml
glukoza 5% 336
Kompatibilan
injekcija Heparin sodium 100 UI/ml
injekcija Aldesleukin 0.0338 MUI/ml
glukoza 5% 36
Kompatibilan
injekcija Heparin sodium 100 UI/ml
injekcija Allopurinol sodium 3 mg/ml
natrijumkorid 0,9% 307
Kompatibilan
injekcija Heparin sodium 1 UI/ml
injekcija Alprostadil 20 µg/ml
natrijumkorid 0,9% 4491
Kompatibilan
injekcija Heparin sodium 1 UI/ml
injekcija Alprostadil 20 µg/ml
glukoza 5% 4651
Oborine nakon 24 sata inkompatibilan
injekcija Heparin sodium 100 UI/ml
injekcija Alteplase 1 mg/ml
čista voda za injektiranje 92
Neodređena nespojivost inkompatibilan
injekcija Heparin sodium
injekcija Alteplase
3540
Neposredne oborine inkompatibilan
injekcija Heparin sodium 40 UI/ml
injekcija Alteplase 0.5 mg/ml
čista voda za injektiranje 240
Neodređena nespojivost inkompatibilan
injekcija Heparin sodium
injekcija Alteplase
3616
Kompatibilan
injekcija Heparin sodium 100 UI/ml
injekcija Amifostine 10 mg/ml
glukoza 5% 3
Neposredne oborine inkompatibilan
injekcija Heparin sodium
injekcija Amikacin sulfate
1022
Neodređena nespojivost inkompatibilan
injekcija Heparin sodium
injekcija Amikacin sulfate
3549
Neodređena nespojivost inkompatibilan
injekcija Heparin sodium
injekcija Amikacin sulfate
3540
Neodređena nespojivost inkompatibilan
injekcija Heparin sodium 500 UI/ml
injekcija Amiodarone hydrochloride 15 mg/ml
natrijumkorid 0,9% 3823
Neodređena nespojivost inkompatibilan
injekcija Heparin sodium
injekcija Amiodarone hydrochloride
3540
Neposredna zamućenost inkompatibilan
injekcija Heparin sodium 500 UI/ml
injekcija Amiodarone hydrochloride 15 mg/ml
natrijumkorid 0,9% 3463
Neodređena nespojivost inkompatibilan
injekcija Heparin sodium
injekcija Amiodarone hydrochloride
3464
Neodređena nespojivost inkompatibilan
injekcija Heparin sodium 500 UI/ml
injekcija Amiodarone hydrochloride 15 mg/ml
glukoza 5% 3823
Neposredna zamućenost inkompatibilan
injekcija Heparin sodium 500 UI/ml
injekcija Amiodarone hydrochloride 15 mg/ml
glukoza 5% 3463
Kompatibilan
injekcija Heparin sodium 208 UI/ml
injekcija Amoxicillin sodium 20.83 & 83.3 mg/ml
natrijumkorid 0,9% 4254
Kompatibilan
injekcija Heparin sodium 1000 UI/ml
injekcija Amoxicillin sodium / clavulanic acid 100/10 mg/ml
3824
Kompatibilan
injekcija Heparin sodium
injekcija Ampicillin sodium
5088
Kompatibilan
injekcija Heparin sodium 50 UI/ml
injekcija Ampicillin sodium 20 mg/ml
nijedan 317
Kompatibilan
injekcija Heparin sodium 50 UI/ml
injekcija Ampicillin sodium - sulbactam sodium 30 mg/ml
nijedan 317
Neposredne oborine inkompatibilan
injekcija Heparin sodium 40 UI/ml
injekcija Amsacrine 1 mg/ml
glukoza 5% 253
Kompatibilan
injekcija Heparin sodium 100 UI/ml
injekcija Anidulafungin 0.5 mg/ml
glukoza 5% 1982
Neposredne oborine inkompatibilan
injekcija Heparin sodium
injekcija Antithymocyte globulin (rabbit)
4958
Neposredne oborine inkompatibilan
injekcija Heparin sodium 2 UI/ml
injekcija Antithymocyte globulin (rabbit) 0,2 & 0,3 mg/ml
glukoza 5% 1822
Kompatibilan
injekcija Heparin sodium 100 UI/ml
injekcija Antithymocyte globulin (rabbit) 0,2 & 0,3 mg/ml
glukoza 5% 1822
Kompatibilan
injekcija Heparin sodium 2 & 100 UI/ml
injekcija Antithymocyte globulin (rabbit) 0,2 & 0,3 mg/ml
natrijumkorid 0,9% 1822
Kompatibilan
injekcija Heparin sodium 40 UI/ml
injekcija Atracurium besylate 0.5 mg/ml
glukoza 5% 402
Kompatibilan
injekcija Heparin sodium 1 UI/ml
injekcija Atropine sulfate 0.5 mg/ml
glukoza 5% 1228
Kompatibilan
injekcija Heparin sodium 500 UI/ml
Parenteralna prehrana (lipidima) 4507
Neposredne oborine inkompatibilan
injekcija Heparin sodium 1000 UI/ml
injekcija Amphotericin B cholesteryl sulfate complex 0.83 mg/ml
glukoza 5% 921
Neodređena nespojivost inkompatibilan
injekcija Heparin sodium
injekcija Ampicillin sodium
3540
Kompatibilan
injekcija Heparin sodium 10 & 5000 UI/ml
injekcija Ampicillin sodium 10 mg/ml
natrijumkorid 0,9% 2037
Kompatibilan
injekcija Heparin sodium 1 UI/ml
injekcija Atropine sulfate 0.5 mg/ml
Ringer laktat 1228
Kompatibilan
injekcija Heparin sodium 1 UI/ml
injekcija Atropine sulfate 0.5 mg/ml
natrijumkorid 0,9% 1228
Kompatibilan
injekcija Heparin sodium 100 UI/ml
injekcija Aztreonam 40 mg/ml
glukoza 5% 99
Kompatibilan
injekcija Heparin sodium 50 UI/ml
injekcija Aztreonam 20 mg/ml
nijedan 317
Kompatibilan
injekcija Heparin sodium 1 UI/ml
injekcija Betamethasone sodium phosphate 3 mg/ml
natrijumkorid 0,9% 1228
Kompatibilan
injekcija Heparin sodium 1 UI/ml
injekcija Betamethasone sodium phosphate 3 mg/ml
glukoza 5% 1228
Kompatibilan
injekcija Heparin sodium 1 UI/ml
injekcija Betamethasone sodium phosphate 3 mg/ml
Ringer laktat 1228
Kompatibilan
injekcija Heparin sodium 100 UI/ml
injekcija Bivalirudin 5 mg/ml
glukoza 5% 1713
Neposredne oborine inkompatibilan
injekcija Heparin sodium 192.3 UI/ml
injekcija Blinatumomab 0.125 & 0.375 µg/ml
natrijumkorid 0,9% 3976
Kompatibilan
injekcija Heparin sodium 1000 UI/ml
injekcija Caffeine 10 mg/ml
nijedan 3964
Kompatibilan
injekcija Heparin sodium 100 UI/ml
injekcija Caffeine 10 mg/ml
natrijumkorid 0,9% 4837
Kompatibilan
injekcija Heparin sodium 100 UI/ml
injekcija Caffeine citrate 20 mg/ml
natrijumkorid 0,9% 4837
Padavine nakon 30 minuta inkompatibilan
injekcija Heparin sodium 2 UI/ml
injekcija Calcium chloride 20 mg/ml
glukoza 5% 4732
Kompatibilan
injekcija Heparin sodium 100 UI/ml
injekcija Calcium chloride 20 mg/ml
glukoza 5% 4732
Neposredna nestabilnost emulzije inkompatibilan
injekcija Heparin sodium
injekcija Calcium chloride
Parenteralna prehrana (lipidima) 1084
Neposredna nestabilnost emulzije inkompatibilan
injekcija Heparin sodium
injekcija Calcium gluconate
Parenteralna prehrana (lipidima) 1084
Neposredne oborine inkompatibilan
injekcija Heparin sodium 100 UI/ml
injekcija Caspofungin acetate 0.5 mg/ml
natrijumkorid 0,9% 2233
Neposredne oborine inkompatibilan
injekcija Heparin sodium 100 UI/ml
injekcija Caspofungin acetate 0,7 mg/ml
natrijumkorid 0,9% 2247
Neodređena nespojivost inkompatibilan
injekcija Heparin sodium
injekcija Cefalotin sodium
3540
Kompatibilan
injekcija Heparin sodium 10 & 5000 UI/ml
injekcija Cefazolin sodium 10 mg/ml
natrijumkorid 0,9% 2037
Kompatibilan
injekcija Heparin sodium 50 UI/ml
injekcija Cefazolin sodium 20 mg/ml
nijedan 317
Kompatibilan
injekcija Heparin sodium 0.667 UI/ml
injekcija Cefazolin sodium 0.333 mg/ml
Dianéal® PD2 1.5% glukoza (Baxter) 1979
Kompatibilan
injekcija Heparin sodium 10 & 50 UI/ml
injekcija Cefepime dihydrochloride 4 mg/ml
natrijumkorid 0,9% 3548
Kompatibilan
injekcija Heparin sodium 10 & 50 UI/ml
injekcija Cefepime dihydrochloride 4 mg/ml
glukoza 5% 3548
Kompatibilan
injekcija Heparin sodium 1000 UI/ml
injekcija Cefiderocol sulfate tosylate 20 mg/mL
glukoza 5% 4528
Kompatibilan
injekcija Heparin sodium 1000 UI/ml
injekcija Cefiderocol sulfate tosylate 20 mg/mL
natrijumkorid 0,9% 4528
Kemijska nestabilnost inkompatibilan
injekcija Heparin sodium 100 UI/ml
injekcija Cefmetazole sodium 100 mg/ml
čista voda za injektiranje 93
Kompatibilan
injekcija Heparin sodium 208 UI/ml
injekcija Cefotaxime sodium 41.6 & 125 mg/ml
glukoza 5% 4254
Kompatibilan
injekcija Heparin sodium 208 UI/ml
injekcija Cefotaxime sodium 41.6 & 125 mg/ml
natrijumkorid 0,9% 4254
Kompatibilan
injekcija Heparin sodium 5000 UI/ml
injekcija Cefotaxime sodium 10 mg/ml
čista voda za injektiranje 3125
Kompatibilan
injekcija Heparin sodium 100 UI/ml
injekcija Ceftaroline fosamil 2,22 mg/ml
Ringer laktat 3249
Kompatibilan
injekcija Heparin sodium 100 UI/ml
injekcija Ceftaroline fosamil 2,22 mg/ml
natrijumkorid 0,9% 3249
Kompatibilan
injekcija Heparin sodium 100 UI/ml
injekcija Ceftaroline fosamil 2,22 mg/ml
glukoza 5% 3249
Kompatibilan
injekcija Heparin sodium 0.5 UI/ml
injekcija Ceftazidime 0.125 mg/ml
Extraneal® (Baxter) 4056
Kompatibilan
injekcija Heparin sodium 0.5 UI/ml
injekcija Ceftazidime 0.125 mg/ml
Dianéal® PD2 4.25% glukoza (Baxter) 4056
Kompatibilan
injekcija Heparin sodium 50 UI/ml
injekcija Ceftazidime 20 mg/ml
nijedan 317
Kompatibilan
injekcija Heparin sodium 0.5 UI/ml
injekcija Ceftazidime 0.125 mg/ml
Dianéal® PD2 2.5% glucose (Baxter) 4056
Kompatibilan
injekcija Heparin sodium 100 UI/ml
injekcija Ceftobiprole medocaril sodium 2 mg/ml
natrijumkorid 0,9% 2269
Kompatibilan
injekcija Heparin sodium 100 UI/ml
injekcija Ceftobiprole medocaril sodium 2 mg/ml
glukoza 5% 2269
Kompatibilan
injekcija Heparin sodium 100 UI/ml
injekcija Ceftobiprole medocaril sodium 2 mg/ml
Ringer laktat 2269
Kompatibilan
injekcija Heparin sodium 1000 UI/ml
injekcija Ceftolozane / tazobactam 10/5 mg/ml
natrijumkorid 0,9% 3828
Kompatibilan
injekcija Heparin sodium 1000 UI/ml
injekcija Ceftolozane / tazobactam 10/5 mg/ml
glukoza 5% 3828
Kompatibilan
injekcija Heparin sodium 50 UI/ml
injekcija Ceftriaxone disodium 20 mg/ml
nijedan 317
Kompatibilan
injekcija Heparin sodium 10 & 50 UI/ml
injekcija Cefuroxime sodium
natrijumkorid 0,9% 3687
Kompatibilan
injekcija Heparin sodium 58,34 UI/ml
injekcija Chlorpromazine hydrochloride 0,26 mg/ml
glukoza 5% 1289
Kompatibilan
injekcija Heparin sodium 1 UI/ml
injekcija Chlorpromazine hydrochloride 10 mg/ml
natrijumkorid 0,9% 1228
Kompatibilan
injekcija Heparin sodium 1 UI/ml
injekcija Chlorpromazine hydrochloride 10 mg/ml
glukoza 5% 1228
Neodređena nespojivost inkompatibilan
injekcija Heparin sodium
injekcija Chlorpromazine hydrochloride
3540
Kompatibilan
injekcija Heparin sodium 1 UI/ml
injekcija Chlorpromazine hydrochloride 10 mg/ml
Ringer laktat 1228
Kompatibilan
injekcija Heparin sodium 50 UI/ml
injekcija Cimetidine hydrochloride 6 mg/ml
nijedan 317
Kompatibilan
injekcija Heparin sodium 5000 & 10000 UI/ml
injekcija Ciprofloxacin lactate 0.4 & 0.6 mg/ml
natrijumkorid 0,9% 2057
Neposredne oborine inkompatibilan
injekcija Heparin sodium 10 >> 10000 UI/ml
injekcija Ciprofloxacin lactate 1 mg/ml
natrijumkorid 0,9% 2057
Neposredne oborine inkompatibilan
injekcija Heparin sodium 10 & 100 UI/ml
injekcija Ciprofloxacin lactate 0.2 mg/ml
natrijumkorid 0,9% 2057
Neodređena nespojivost inkompatibilan
injekcija Heparin sodium
injekcija Ciprofloxacin lactate
3540
Neposredne oborine inkompatibilan
injekcija Heparin sodium 10 >> 1000 UI/ml
injekcija Ciprofloxacin lactate 0.4 & 0.6 mg/ml
natrijumkorid 0,9% 2057
Kompatibilan
injekcija Heparin sodium 1000 >> 10000 UI/ml
injekcija Ciprofloxacin lactate 0.2 mg/ml
natrijumkorid 0,9% 2057
Neposredne oborine inkompatibilan
injekcija Heparin sodium 10 >> 5000 UI/ml
injekcija Ciprofloxacin lactate 0.8 mg/ml
natrijumkorid 0,9% 2057
Kompatibilan
injekcija Heparin sodium 10 >> 10000 UI/ml
injekcija Ciprofloxacin lactate 0.1 mg/ml
natrijumkorid 0,9% 2057
Neposredne oborine inkompatibilan
injekcija Heparin sodium 100 UI/ml
injekcija Ciprofloxacin lactate 2 mg/ml
natrijumkorid 0,9% 288
Neodređena nespojivost inkompatibilan
injekcija Heparin sodium
injekcija Ciprofloxacin lactate
3529
Neposredne oborine inkompatibilan
injekcija Heparin sodium 100 UI/ml
injekcija Ciprofloxacin lactate 2 mg/ml
glukoza 5% 288
Neposredne oborine inkompatibilan
injekcija Heparin sodium 10 >> 1000 UI/ml
injekcija Ciprofloxacin lactate 2 mg/ml
natrijumkorid 0,9% 289
Neposredna zamućenost inkompatibilan
injekcija Heparin sodium 10 UI/ml
injekcija Ciprofloxacin lactate 2 mg/ml
nijedan 1393
Kompatibilan
injekcija Heparin sodium 10000 UI/ml
injekcija Ciprofloxacin lactate 0.8 mg/ml
natrijumkorid 0,9% 2057
Kompatibilan
injekcija Heparin sodium 100 UI/ml
injekcija Cisatracurium besylate 0.1 & 2 mg/ml
glukoza 5% 299
Neposredne oborine inkompatibilan
injekcija Heparin sodium 100 UI/ml
injekcija Cisatracurium besylate 5 mg/ml
glukoza 5% 299
Promjena boje inkompatibilan
injekcija Heparin sodium 500 UI/ml
injekcija Cisatracurium besylate 5 mg/ml
natrijumkorid 0,9% 3463
Neodređena nespojivost inkompatibilan
injekcija Heparin sodium 500 UI/ml
injekcija Cisatracurium besylate 5 mg/ml
natrijumkorid 0,9% 3823
Neodređena nespojivost inkompatibilan
injekcija Heparin sodium
injekcija Cisatracurium besylate
3540
Kompatibilan
injekcija Heparin sodium 100 UI/ml
injekcija Cladribine 0.5 mg/ml
NaCL 0,9% + bakteriostatična 1496
Kompatibilan
injekcija Heparin sodium 100 UI/ml
injekcija Cladribine 0.015 mg/ml
natrijumkorid 0,9% 1496
Kompatibilan
injekcija Heparin sodium 50 UI/ml
injekcija Clindamycin phosphate 12 mg/ml
nijedan 317
Kompatibilan
injekcija Heparin sodium 50 UI/ml
injekcija Clonidine hydrochloride 0.0075 mg/ml
natrijumkorid 0,9% 1506
Kompatibilan
injekcija Heparin sodium 50 UI/ml
injekcija Clonidine hydrochloride 0.0075 mg/ml
glukoza 5% 1506
Kompatibilan
injekcija Heparin sodium 100 UI/ml
injekcija Cloxacillin sodium 100 mg/ml
čista voda za injektiranje 3012
Padavine nakon 4 sata inkompatibilan
injekcija Heparin sodium 208 UI/ml
injekcija Co-trimoxazole 3.2/0.64 & 80/16 mg/ml
natrijumkorid 0,9% 4254
Padavine nakon 4 sata inkompatibilan
injekcija Heparin sodium 208 UI/ml
injekcija Co-trimoxazole 3.2/0.64 & 80/16 mg/ml
glukoza 5% 4254
Kompatibilan
injekcija Heparin sodium 1 UI/ml
injekcija Cyanocobalamine 0.1 mg/ml
Ringer laktat 1228
Kompatibilan
injekcija Heparin sodium 1 UI/ml
injekcija Cyanocobalamine 0.1 mg/ml
glukoza 5% 1228
Kompatibilan
injekcija Heparin sodium 1 UI/ml
injekcija Cyanocobalamine 0.1 mg/ml
natrijumkorid 0,9% 1228
Neodređena nespojivost inkompatibilan
injekcija Heparin sodium
injekcija Cytarabine
3540
Neodređena nespojivost inkompatibilan
injekcija Heparin sodium
injekcija Cytarabine
3580
Neodređena nespojivost inkompatibilan
injekcija Heparin sodium
injekcija Dacarbazine
3605
Neposredne oborine inkompatibilan
injekcija Heparin sodium 100 UI/ml
injekcija Dacarbazine 25 mg/ml
natrijumkorid 0,9% 860
Neodređena nespojivost inkompatibilan
injekcija Heparin sodium
injekcija Dacarbazine
3267
Neodređena nespojivost inkompatibilan
injekcija Heparin sodium
injekcija Dacarbazine
3540
Kompatibilan
injekcija Heparin sodium
injekcija Daptomycin
2271
Kompatibilan
injekcija Heparin sodium 98 UI/ml
injekcija Daptomycin 19,6 mg/ml
natrijumkorid 0,9% 1937
Neposredne oborine inkompatibilan
injekcija Heparin sodium
injekcija Daunorubicin hydrochloride
3604
Neodređena nespojivost inkompatibilan
injekcija Heparin sodium
injekcija Daunorubicin hydrochloride
3540
Neposredne oborine inkompatibilan
injekcija Heparin sodium
injekcija Daunorubicin hydrochloride liposome
3577
Neposredna zamućenost inkompatibilan
injekcija Heparin sodium
injekcija Daunorubicin/cytarabine liposomale 0,4 mg/mL
natrijumkorid 0,9% 4654
Kompatibilan
injekcija Heparin sodium 373 UI/ml
injekcija Defibrotide 8 mg/ml
natrijumkorid 0,9% 3728
Kompatibilan
injekcija Heparin sodium 50 UI/ml
injekcija Dexamethasone sodium phosphate 0.08 mg/ml
nijedan 317
Kompatibilan
injekcija Heparin sodium
injekcija Dexketoprofen
4981
Kompatibilan
injekcija Heparin sodium 100 UI/ml
injekcija Dexmedetomidine 4 µg/ml
natrijumkorid 0,9% 1712
Kompatibilan
injekcija Heparin sodium 10000 UI/ml
injekcija Diatrizoate meglumine 283 mg/ml
nijedan 1085
Neodređena nespojivost inkompatibilan
injekcija Heparin sodium
injekcija Diazepam
3540
Kompatibilan
injekcija Heparin sodium 100 UI/ml
injekcija Diltiazem hydrochloride 1 mg/ml
314
Neposredne oborine inkompatibilan
injekcija Heparin sodium 20000 UI/ml
injekcija Diltiazem hydrochloride 5 mg/ml
natrijumkorid 0,9% 198
Kompatibilan
injekcija Heparin sodium 100 UI/ml
injekcija Diltiazem hydrochloride 1 mg/ml
glukoza 5% 4556
Neposredna zamućenost inkompatibilan
injekcija Heparin sodium 100 UI/ml
injekcija Diltiazem hydrochloride 5 mg/ml
glukoza 5% 4556
Kompatibilan
injekcija Heparin sodium 20000 UI/ml
injekcija Diltiazem hydrochloride 1 mg/ml
natrijumkorid 0,9% 198
Kompatibilan
injekcija Heparin sodium
injekcija Diltiazem hydrochloride
5090
Kompatibilan
injekcija Heparin sodium 80 >> 10000 UI/ml
injekcija Diltiazem hydrochloride 1 & 5 mg/ml
natrijumkorid 0,9% 198
Neposredne oborine inkompatibilan
injekcija Heparin sodium
injekcija Dimenhydrinate
2087
Kompatibilan
injekcija Heparin sodium 1 UI/ml
injekcija Diphenhydramine hydrochloride 50 mg/ml
natrijumkorid 0,9% 1228
Kompatibilan
injekcija Heparin sodium 1 UI/ml
injekcija Diphenhydramine hydrochloride 50 mg/ml
glukoza 5% 1228
Kompatibilan
injekcija Heparin sodium 1 UI/ml
injekcija Diphenhydramine hydrochloride 50 mg/ml
Ringer laktat 1228
Padavine nakon 4 sata inkompatibilan
injekcija Heparin sodium 100 UI/ml
injekcija Dobutamine hydrochloride 4 mg/ml
314
Kompatibilan
injekcija Heparin sodium 40 UI/ml
injekcija Dobutamine hydrochloride 1 mg/ml
natrijumkorid 0,9% 1058
Kompatibilan
injekcija Heparin sodium 100 UI/ml
injekcija Dobutamine hydrochloride 2 mg/ml
glukoza 5% 1041
Neposredne oborine inkompatibilan
injekcija Heparin sodium 100 UI/ml
injekcija Dobutamine hydrochloride 2 mg/ml
glukoza 5% 1352
Neposredna zamućenost inkompatibilan
injekcija Heparin sodium 100 UI/ml
injekcija Dobutamine hydrochloride 4 mg/ml
glukoza 5% 295
Neposredne oborine inkompatibilan
injekcija Heparin sodium
injekcija Dobutamine hydrochloride
3540
Promjena boje je nakon 6 sata inkompatibilan
injekcija Heparin sodium 10000 UI/ml
injekcija Dobutamine hydrochloride 2 mg/ml
glukoza 5% 1041
Kompatibilan
injekcija Heparin sodium 40 UI/ml
injekcija Dobutamine hydrochloride 1 mg/ml
glukoza 5% 1058
Kompatibilan
injekcija Heparin sodium 50 UI/ml
injekcija Dobutamine hydrochloride 1 mg/ml
nijedan 317
Kompatibilan
injekcija Heparin sodium 100 UI/ml
injekcija Docetaxel 0.9 mg/ml
glukoza 5% 1754
Kompatibilan
injekcija Heparin sodium 1 UI/ml
injekcija Dopamine hydrochloride 40 mg/ml
natrijumkorid 0,9% 1228
Kompatibilan
injekcija Heparin sodium 50 UI/ml
injekcija Dopamine hydrochloride 1.6 mg/ml
nijedan 317
Kompatibilan
injekcija Heparin sodium 100 UI/ml
injekcija Dopamine hydrochloride 3.2 mg/ml
314
Kompatibilan
injekcija Heparin sodium 1 UI/ml
injekcija Dopamine hydrochloride 40 mg/ml
Ringer laktat 1228
Kompatibilan
injekcija Heparin sodium 200 UI/ml
injekcija Dopamine hydrochloride 0.8 mg/ml
glukoza 5% 738
Kompatibilan
injekcija Heparin sodium 1 UI/ml
injekcija Dopamine hydrochloride 40 mg/ml
glukoza 5% 1228
Kompatibilan
injekcija Heparin sodium 100 UI/ml
injekcija Dopamine hydrochloride 3,2 mg/ml
4389
Neodređena nespojivost inkompatibilan
injekcija Heparin sodium 187 UI/ml
injekcija Dopamine hydrochloride 1,7 >> 3,4 mg/ml
glukoza 5% 377
Kompatibilan
injekcija Heparin sodium 100 UI/ml
injekcija Doripenem 5 mg/ml
natrijumkorid 0,9% 2262
Kompatibilan
injekcija Heparin sodium 100 UI/ml
injekcija Doripenem 5 mg/ml
glukoza 5% 2262
Kompatibilan
injekcija Heparin sodium 1 UI/ml
injekcija Doxapram hydrochloride 2 mg/ml
glukoza 5% 1802
Neodređena nespojivost inkompatibilan
injekcija Heparin sodium
injekcija Doxorubicin hydrochloride
3540
Neposredne oborine inkompatibilan
injekcija Heparin sodium
injekcija Doxorubicin hydrochloride
3645
Neposredne oborine inkompatibilan
injekcija Heparin sodium 1000 UI/ml
injekcija Doxorubicin hydrochloride 2 mg/ml
763
Kompatibilan
injekcija Heparin sodium 1000 UI/ml
injekcija Doxorubicin hydrochloride liposome peg 0.4 mg/ml
glukoza 5% 251
Neodređena nespojivost inkompatibilan
injekcija Heparin sodium 50 UI/ml
injekcija Doxycycline hyclate 1 mg/ml
nijedan 317
Neposredne oborine inkompatibilan
injekcija Heparin sodium 1000 UI/ml
injekcija Droperidol 2,5 mg/ml
763
Kompatibilan
injekcija Heparin sodium 1 UI/ml
injekcija Droperidol 1.25 mg/ml
natrijumkorid 0,9% 1228
Kompatibilan
injekcija Heparin sodium 1 UI/ml
injekcija Droperidol 1.25 mg/ml
Ringer laktat 1228
Kompatibilan
injekcija Heparin sodium 1 UI/ml
injekcija Droperidol 1.25 mg/ml
glukoza 5% 1228
Neodređena nespojivost inkompatibilan
injekcija Heparin sodium
injekcija Droperidol
3540
Kompatibilan
injekcija Heparin sodium 45,45 UI/ml
injekcija Enalaprilate 0,011 mg/ml
glukoza 5% 963
Kompatibilan
injekcija Heparin sodium 40 UI/ml
injekcija Enalaprilate 0.05 mg/ml
natrijumkorid 0,9% 1315
Kompatibilan
injekcija Heparin sodium 50 UI/ml
injekcija Enalaprilate 0.0125 mg/ml
natrijumkorid 0,9% 1703
Kompatibilan
injekcija Heparin sodium 1 UI/ml
injekcija Epinephrine hydrochloride 100 µg/ml
Ringer laktat 1228
Kompatibilan
injekcija Heparin sodium 100 UI/ml
injekcija Epinephrine hydrochloride 20 µg/ml
314
Kompatibilan
injekcija Heparin sodium 1 UI/ml
injekcija Epinephrine hydrochloride 100 µg/ml
natrijumkorid 0,9% 1228
Kompatibilan
injekcija Heparin sodium 1 UI/ml
injekcija Epinephrine hydrochloride 100 µg/ml
glukoza 5% 1228
Neodređena nespojivost inkompatibilan
injekcija Heparin sodium
injekcija Epirubicin hydrochloride
3632
Kompatibilan
injekcija Heparin sodium
injekcija Eptifibatide
3934
Kompatibilan
injekcija Heparin sodium 1000 UI/ml
injekcija Eravacycline 0,6 mg/ml
natrijumkorid 0,9% 4434
Neposredna zamućenost inkompatibilan
injekcija Heparin sodium 1 UI/ml
injekcija Ergotamine tartrate 0.5 mg/ml
natrijumkorid 0,9% 1228
Padavine nakon 4 sata inkompatibilan
injekcija Heparin sodium 1 UI/ml
injekcija Ergotamine tartrate 0.5 mg/ml
Ringer laktat 1228
Padavine nakon 4 sata inkompatibilan
injekcija Heparin sodium 1 UI/ml
injekcija Ergotamine tartrate 0.5 mg/ml
glukoza 5% 1228
Kompatibilan
injekcija Heparin sodium 50 & 100 UI/ml
injekcija Ertapenem 10 & 20 mg/ml
natrijumkorid 0,9% 1906
Kompatibilan
injekcija Heparin sodium 50 UI/ml
injekcija Erythromycin lactobionate 3.3 mg/ml
nijedan 317
Neodređena nespojivost inkompatibilan
injekcija Heparin sodium
injekcija Erythromycin lactobionate
3674
Neodređena nespojivost inkompatibilan
injekcija Heparin sodium
injekcija Erythromycin lactobionate
3540
Kompatibilan
injekcija Heparin sodium 50 UI/ml
injekcija Esmolol hydrochloride 6 mg/ml
glukoza 5% 174
Kompatibilan
injekcija Heparin sodium 40 UI/ml
injekcija Esmolol hydrochloride 10 mg/ml
glukoza 5% 384
Kompatibilan
injekcija Heparin sodium 500 UI/ml
injekcija Esmolol hydrochloride 10 mg/ml
natrijumkorid 0,9% 3823
Neposredne oborine inkompatibilan
injekcija Heparin sodium 1000 UI/ml
injekcija Ethanol 70 %
voda ppi i bakteriostaticna 2221
Neposredne oborine inkompatibilan
injekcija Heparin sodium 1000 UI/ml
injekcija Ethanol 70 %
čista voda za injektiranje 2221
Padavine nakon 1 sata inkompatibilan
injekcija Heparin sodium 10 UI/ml
injekcija Ethanol 70 %
voda ppi i bakteriostaticna 2221
Neposredne oborine inkompatibilan
injekcija Heparin sodium 10 UI/ml
injekcija Ethanol 70 %
čista voda za injektiranje 2221
Kompatibilan
injekcija Heparin sodium 100 UI/ml
injekcija Etoposide phosphate 5 mg/ml
glukoza 5% 1410
Kompatibilan
injekcija Heparin sodium 40 UI/ml
injekcija Famotidine
glukoza 5% 397
Kompatibilan
injekcija Heparin sodium 50 UI/ml
injekcija Famotidine 0.2 mg/ml
glukoza 5% 398
Kompatibilan
injekcija Heparin sodium 40 UI/ml
injekcija Famotidine 2 mg/ml
natrijumkorid 0,9% 215
Kompatibilan
injekcija Heparin sodium 100 UI/ml
injekcija Fenoldopam mesylate 80 µg/ml
natrijumkorid 0,9% 1803
Kompatibilan
injekcija Heparin sodium 100 UI/ml
injekcija Fentanyl citrate 50 µg/ml
4389
Kompatibilan
injekcija Heparin sodium 1 UI/ml
injekcija Fentanyl citrate 50 µg/ml
glukoza 5% 1228
Kompatibilan
injekcija Heparin sodium 1 UI/ml
injekcija Fentanyl citrate 50 µg/ml
Ringer laktat 1228
Kompatibilan
injekcija Heparin sodium 1 UI/ml
injekcija Fentanyl citrate 50 µg/ml
natrijumkorid 0,9% 1228
Kompatibilan
injekcija Heparin sodium 100 UI/ml
injekcija Fentanyl citrate 50 µg/ml
314
Neposredne oborine inkompatibilan
injekcija Heparin sodium 100 UI/ml
injekcija Filgrastim 30 µg/ml
glukoza 5% 244
Kompatibilan
injekcija Heparin sodium 1000 UI/ml
injekcija Fluconazole 2 mg/ml
natrijumkorid 0,9% 496
Kompatibilan
injekcija Heparin sodium 50 UI/ml
injekcija Fluconazole 2 mg/ml
nijedan 317
Kompatibilan
injekcija Heparin sodium 40 >> 1000 UI/ml
injekcija Fludarabine phosphate 1 mg/ml
glukoza 5% 492
Kompatibilan
injekcija Heparin sodium 50 UI/ml
injekcija Flumazenil 0,02 mg/ml
glukoza 5% 187
Kompatibilan
injekcija Heparin sodium 5 UI/ml
injekcija Fluorouracil 0,8 mg/ml
natrijumkorid 0,9% 156
Kompatibilan
injekcija Heparin sodium 5 UI/ml
injekcija Fluorouracil 0,8 mg/ml
glukoza 5% 156
Kompatibilan
injekcija Heparin sodium 1 UI/ml
injekcija Fluorouracil 50 mg/ml
natrijumkorid 0,9% 1228
Kompatibilan
injekcija Heparin sodium 960 UI/ml
injekcija Fluorouracil 24 mg/ml
glukoza 5% 163
Kompatibilan
injekcija Heparin sodium 1 UI/ml
injekcija Fluorouracil 50 mg/ml
glukoza 5% 1228
Kompatibilan
injekcija Heparin sodium 1000 UI/ml
injekcija Fluorouracil 50 mg/ml
763
Kompatibilan
injekcija Heparin sodium 1 UI/ml
injekcija Fluorouracil 50 mg/ml
Ringer laktat 1228
Kompatibilan
injekcija Heparin sodium 1000 UI/ml
injekcija Folinate calcium 10 mg/ml
763
Kompatibilan
injekcija Heparin sodium 100 UI/ml
injekcija Foscarnet sodium 24 mg/ml
glukoza 5% 1135
Kompatibilan
injekcija Heparin sodium 100 UI/ml
injekcija Foscarnet sodium 24 mg/ml
natrijumkorid 0,9% 1135
Kompatibilan
injekcija Heparin sodium 1000 UI/ml
injekcija Foscarnet sodium 24 mg/ml
nijedan 73
Kompatibilan
injekcija Heparin sodium 1000 UI/ml
injekcija Fosfomycin 30 mg/ml
glukoza 5% 4055
Kompatibilan
injekcija Heparin sodium 1000 UI/ml
injekcija Fosfomycin 30 mg/ml
natrijumkorid 0,9% 4055
Kompatibilan
injekcija Heparin sodium 100 UI/ml
injekcija Furosemide 10 mg/ml
314
Kompatibilan
injekcija Heparin sodium 1 UI/ml
injekcija Furosemide 10 mg/ml
natrijumkorid 0,9% 1228
Padavine nakon 5 sata inkompatibilan
injekcija Heparin sodium 100 UI/ml
injekcija Furosemide 10 mg/ml
glukoza 5% 4724
Kompatibilan
injekcija Heparin sodium 20 UI/ml
injekcija Furosemide 1 mg/ml
natrijumkorid 0,9% 1232
Kompatibilan
injekcija Heparin sodium 58,34 UI/ml
injekcija Furosemide 5,21 mg/ml
glukoza 5% 1289
Kompatibilan
injekcija Heparin sodium
injekcija Furosemide
3465
Kompatibilan
injekcija Heparin sodium 1 UI/ml
injekcija Furosemide 10 mg/ml
Ringer laktat 1228
Kompatibilan
injekcija Heparin sodium 1000 UI/ml
injekcija Furosemide 10 mg/ml
763
Kompatibilan
injekcija Heparin sodium 10 UI/ml
injekcija Furosemide 10 mg/ml
nijedan 3210
Kompatibilan
injekcija Heparin sodium 500 UI/ml
injekcija Furosemide 10 mg/ml
natrijumkorid 0,9% 3823
Kompatibilan
injekcija Heparin sodium 500 UI/ml
injekcija Furosemide 10 mg/ml
nijedan 3134
Kompatibilan
injekcija Heparin sodium 1 UI/ml
injekcija Furosemide 10 mg/ml
glukoza 5% 1228
Kompatibilan
injekcija Heparin sodium 40 UI/ml
injekcija Gallium nitrate 1 mg/ml
natrijumkorid 0,9% 91
Kompatibilan
injekcija Heparin sodium 100 UI/ml
injekcija Gemcitabine hydrochloride 10 mg/ml
natrijumkorid 0,9% 1423
Neposredna zamućenost inkompatibilan
injekcija Heparin sodium 2500 UI/ml
injekcija Gentamicin sulfate 3 mg/ml
4612
Neodređena nespojivost inkompatibilan
injekcija Heparin sodium
injekcija Gentamicin sulfate
3520
Neodređena nespojivost inkompatibilan
injekcija Heparin sodium
injekcija Gentamicin sulfate
3643
Neposredne oborine inkompatibilan
injekcija Heparin sodium
injekcija Gentamicin sulfate
1022
Neodređena nespojivost inkompatibilan
injekcija Heparin sodium 50 UI/ml
injekcija Gentamicin sulfate 2 mg/ml
nijedan 317
Neposredne oborine inkompatibilan
injekcija Heparin sodium 10 >> 40 UI/ml
injekcija Gentamicin sulfate 4 >> 40 mg/ml
1258
Neposredne oborine inkompatibilan
injekcija Heparin sodium 2500 UI/ml
injekcija Gentamicin sulfate 4 & 5 mg/ml
4612
Neodređena nespojivost inkompatibilan
injekcija Heparin sodium
injekcija Gentamicin sulfate
3540
Kompatibilan
injekcija Heparin sodium 2500 UI/ml
injekcija Gentamicin sulfate 1 & 2 mg/ml
4612
Kompatibilan
injekcija Heparin sodium 50 UI/ml
injekcija Glycerophosphate disodium
natrijumkorid 0,9% 4332
Kompatibilan
injekcija Heparin sodium 100 UI/ml
injekcija Granisetron hydrochloride 0.05 mg/ml
glukoza 5% 182
Neposredne oborine inkompatibilan
injekcija Heparin sodium 100 & 200 UI/ml
injekcija Haloperidol lactate 5 mg/ml
glukoza 5% 617
Neposredne oborine inkompatibilan
injekcija Heparin sodium 100 & 200 UI/ml
injekcija Haloperidol lactate 5 mg/ml
natrijumkorid 0,9% 617
Kompatibilan
injekcija Heparin sodium 500 UI/ml
injekcija Haloperidol lactate 0.5 mg/ml
natrijumkorid 0,9% 3823
Neodređena nespojivost inkompatibilan
injekcija Heparin sodium
injekcija Haloperidol lactate
3540
Kompatibilan
injekcija Heparin sodium 100 UI/ml
injekcija Hetastarch 60 mg/ml
Specifična otapala 1721
Neodređena nespojivost inkompatibilan
injekcija Heparin sodium
injekcija Hyaluronidase
3617
Neodređena nespojivost inkompatibilan
injekcija Heparin sodium
injekcija Hyaluronidase
3184
Neodređena nespojivost inkompatibilan
injekcija Heparin sodium
injekcija Hyaluronidase
3540
Kompatibilan
injekcija Heparin sodium 1 UI/ml
injekcija Hydralazine hydrochloride 20 mg/ml
glukoza 5% 1228
Kompatibilan
injekcija Heparin sodium 1 UI/ml
injekcija Hydralazine hydrochloride 20 mg/ml
Ringer laktat 1228
Kompatibilan
injekcija Heparin sodium 1 UI/ml
injekcija Hydralazine hydrochloride 20 mg/ml
natrijumkorid 0,9% 1228
Kompatibilan
injekcija Heparin sodium 100 UI/ml
injekcija Hydrocortisone sodium succinate 125 mg/ml
natrijumkorid 0,9% 132
Neodređena nespojivost inkompatibilan
injekcija Heparin sodium
injekcija Hydrocortisone sodium succinate
3540
Kompatibilan
injekcija Heparin sodium 50 UI/ml
injekcija Hydrocortisone sodium succinate 2 mg/ml
nijedan 317
Kompatibilan
injekcija Heparin sodium 100 UI/ml
injekcija Hydrocortisone sodium succinate 125 mg/ml
glukoza 5% 132
Kompatibilan
injekcija Heparin sodium
injekcija Hydromorphone hydrochloride <12.5 mg/ml
natrijumkorid 0,9% 66
Kompatibilan
injekcija Heparin sodium 100 UI/ml
injekcija Hydromorphone hydrochloride 1 mg/ml
314
Neposredne oborine inkompatibilan
injekcija Heparin sodium <12,5 UI/ml
injekcija Hydromorphone hydrochloride >25 mg/ml
natrijumkorid 0,9% 66
Kompatibilan
injekcija Heparin sodium
injekcija Hydromorphone hydrochloride <12.5 mg/ml
čista voda za injektiranje 66
Neposredne oborine inkompatibilan
injekcija Heparin sodium <1 UI/ml
injekcija Hydromorphone hydrochloride >10 mg/ml
čista voda za injektiranje 66
Neposredne oborine inkompatibilan
injekcija Heparin sodium <12,5 UI/ml
injekcija Hydromorphone hydrochloride >25 mg/ml
čista voda za injektiranje 66
Kompatibilan
injekcija Heparin sodium 100 UI/ml
injekcija Ibuprofen lysinate 10 mg/ml
čista voda za injektiranje 4419
Kompatibilan
injekcija Heparin sodium 10 UI/ml
injekcija Ibuprofen lysinate 10 mg/ml
čista voda za injektiranje 4419
Neposredna zamućenost inkompatibilan
injekcija Heparin sodium 100 & 1000 UI/ml
injekcija Idarubicin hydrochloride 1 mg/ml
natrijumkorid 0,9% 491
Neposredne oborine inkompatibilan
injekcija Heparin sodium
injekcija Idarubicin hydrochloride
5075
Kompatibilan
injekcija Heparin sodium
injekcija Imipenem-Cilastatin / Relebactam
4809
Kompatibilan
injekcija Heparin sodium 1000 UI/ml
injekcija Imipenem-Cilastatin / Relebactam 5 mg/ml
natrijumkorid 0,9% 4433
Kompatibilan
injekcija Heparin sodium 1000 UI/ml
injekcija Imipenem-Cilastatin / Relebactam 5 mg/ml
glukoza 5% 4433
Kompatibilan
injekcija Heparin sodium 500 UI/ml
injekcija Insulin 2 UI/ml
natrijumkorid 0,9% 3823
Kompatibilan
injekcija Heparin sodium 60 UI/ml
injekcija Insulin 0.2 UI/ml
natrijumkorid 0,9% 129
Kompatibilan
injekcija Heparin sodium 50 & 400 UI/ml
injekcija Insulin aspart 1 UI/ml
glukoza 5% 1508
Kompatibilan
injekcija Heparin sodium 50 & 400 UI/ml
injekcija Insulin aspart 1 UI/ml
natrijumkorid 0,9% 1508
Kompatibilan
injekcija Heparin sodium 10000 UI/ml
injekcija Iohexol 300 mg I/ml
nijedan 1085
Kompatibilan
injekcija Heparin sodium 10000 UI/ml
injekcija Ioxaglate 320 mg I/ml
nijedan 1085
Neposredna zamućenost inkompatibilan
injekcija Heparin sodium 1000 UI/ml
injekcija Isavuconazonium sulfate 1.5 mg/ml
natrijumkorid 0,9% 3829
Neposredna zamućenost inkompatibilan
injekcija Heparin sodium 1000 UI/ml
injekcija Isavuconazonium sulfate 1.5 mg/ml
glukoza 5% 3829
Kompatibilan
injekcija Heparin sodium 1 UI/ml
injekcija Isoprenaline hydrochloride 0.2 mg/ml
glukoza 5% 1228
Kompatibilan
injekcija Heparin sodium 1 UI/ml
injekcija Isoprenaline hydrochloride 0.2 mg/ml
natrijumkorid 0,9% 1228
Kompatibilan
injekcija Heparin sodium 1 UI/ml
injekcija Isoprenaline hydrochloride 0.2 mg/ml
Ringer laktat 1228
Neodređena nespojivost inkompatibilan
injekcija Heparin sodium
injekcija Kanamycin sulfate
3540
Neposredne oborine inkompatibilan
injekcija Heparin sodium 25000 UI/ml
injekcija Ketamine hydrochloride 50 mg/ml
2109
Kompatibilan
injekcija Heparin sodium 100 UI/ml
injekcija Labetalol hydrochloride 2 mg/ml
314
Neodređena nespojivost inkompatibilan
injekcija Heparin sodium 500 UI/ml
injekcija Labetalol hydrochloride 4 mg/ml
natrijumkorid 0,9% 3823
Neodređena nespojivost inkompatibilan
injekcija Heparin sodium
injekcija Labetalol hydrochloride
3540
Neposredne oborine inkompatibilan
injekcija Heparin sodium 100 UI/ml
injekcija Labetalol hydrochloride 5 mg/ml
glukoza 5% 295
Kompatibilan
injekcija Heparin sodium 40 UI/ml
injekcija Labetalol hydrochloride 1 mg/ml
glukoza 5% 386
Kompatibilan
injekcija Heparin sodium 100 UI/ml
injekcija Lansoprazole 0.55 mg/ml
natrijumkorid 0,9% 1625
Zamućenost u 4 sata inkompatibilan
injekcija Heparin sodium 100 UI/ml
injekcija Levetiracetam 100 mg/ml
glukoza 5% 4108
Neposredna zamućenost inkompatibilan
injekcija Heparin sodium 208,3 UI/ml
injekcija Levetiracetam 15 mg/ml
natrijumkorid 0,9% 4698
Neodređena nespojivost inkompatibilan
injekcija Heparin sodium
injekcija Levofloxacine
3920
Neposredne oborine inkompatibilan
injekcija Heparin sodium 10 UI/ml
injekcija Levofloxacine 5 mg/ml
glukoza 5% 1072
Neodređena nespojivost inkompatibilan
injekcija Heparin sodium
injekcija Levomepromazine
3540
Kompatibilan
injekcija Heparin sodium 100 UI/ml
injekcija Levosimendan 2,5 mg/ml
glukoza 5% 4389
Kompatibilan
injekcija Heparin sodium 50 UI/ml
injekcija Lidocaine hydrochloride 4 mg/ml
nijedan 317
Kompatibilan
injekcija Heparin sodium 1000 UI/ml
injekcija Linezolid 2 mg/ml
nijedan 1925
Kompatibilan
injekcija Heparin sodium 10 >> 10000 UI/ml
injekcija Linezolid 0.2 >> 1.92 mg/ml
natrijumkorid 0,9% 2057
Kompatibilan
injekcija Heparin sodium 417 UI/ml
injekcija Lorazepam 0.33 mg/ml
natrijumkorid 0,9% 186
Kompatibilan
injekcija Heparin sodium 100 UI/ml
injekcija Lorazepam 0.5 mg/ml
314
Kompatibilan
injekcija Heparin sodium 1 UI/ml
injekcija Magnesium sulfate 5 mg/ml
natrijumkorid 0,9% 1228
Kompatibilan
injekcija Heparin sodium 50 UI/ml
injekcija Magnesium sulfate 15.6 mg/ml
natrijumkorid 0,9% 2100
Kompatibilan
injekcija Heparin sodium 1 UI/ml
injekcija Magnesium sulfate 5 mg/ml
Ringer laktat 1228
Kompatibilan
injekcija Heparin sodium 1 UI/ml
injekcija Magnesium sulfate 5 mg/ml
glukoza 5% 1228
Kompatibilan
injekcija Heparin sodium 100 UI/ml
injekcija Melphalan 0.1 mg/ml
natrijumkorid 0,9% 169
Kompatibilan
injekcija Heparin sodium 0.5 UI/ml
injekcija Meropenem 0.5 mg/ml
Dianéal® 4.25% glucose (Baxter) 4180
Kompatibilan
injekcija Heparin sodium 0.5 UI/ml
injekcija Meropenem 0.5 mg/ml
Extraneal® (Baxter) 4180
Kompatibilan
injekcija Heparin sodium 1000 UI/ml
injekcija Meropenem 50 mg/ml
čista voda za injektiranje 4319
Kompatibilan
injekcija Heparin sodium 1 UI/ml
injekcija Meropenem 1 & 50 mg/ml
natrijumkorid 0,9% 266
Kompatibilan
injekcija Heparin sodium 0.5 UI/ml
injekcija Meropenem 0.5 mg/ml
Dianéal® 1.5% glucose (Baxter) 4180
Kompatibilan
injekcija Heparin sodium 20 UI/ml
injekcija Meropenem 1 & 20 mg/ml
natrijumkorid 0,9% 266
Kompatibilan
injekcija Heparin sodium 0.5 UI/ml
injekcija Meropenem 0.5 mg/ml
Dianéal® 2.5% glucose (Baxter) 4180
Kompatibilan
injekcija Heparin sodium 50 UI/ml
injekcija Methadone hydrochloride 0.2 mg/ml
glukoza 5% 1506
Kompatibilan
injekcija Heparin sodium 50 UI/ml
injekcija Methadone hydrochloride 0.2 mg/ml
natrijumkorid 0,9% 1506
Neodređena nespojivost inkompatibilan
injekcija Heparin sodium
injekcija Methotrexate sodium
3637
Kompatibilan
injekcija Heparin sodium 1000 UI/ml
injekcija Methotrexate sodium 25 mg/ml
763
Kompatibilan
injekcija Heparin sodium 500 UI/ml
injekcija Methotrexate sodium 30 mg/ml
natrijumkorid 0,9% 150
Kompatibilan
injekcija Heparin sodium 100 UI/ml
injekcija Methylprednisolone sodium succinate 5 mg/ml
glukoza 5% 132
Kompatibilan
injekcija Heparin sodium 50 UI/ml
injekcija Methylprednisolone sodium succinate 2.5 mg/ml
nijedan 317
Kompatibilan
injekcija Heparin sodium 100 UI/ml
injekcija Methylprednisolone sodium succinate 5 mg/ml
natrijumkorid 0,9% 132
Kompatibilan
injekcija Heparin sodium 1000 UI/ml
injekcija Metoclopramide hydrochloride 5 mg/ml
763
Kemijska nestabilnost inkompatibilan
injekcija Heparin sodium 1000 UI/ml
injekcija Metoprolol tartrate 1 mg/ml
nijedan 2346
Kompatibilan
injekcija Heparin sodium 50 UI/ml
injekcija Metronidazole 5 mg/ml
nijedan 317
Kompatibilan
injekcija Heparin sodium 100 UI/ml
injekcija Micafungin 1.5 mg/ml
natrijumkorid 0,9% 2108
Neposredna zamućenost inkompatibilan
injekcija Heparin sodium 208,3 UI/ml
injekcija Midazolam hydrochloride 1 mg/ml
natrijumkorid 0,9% 4698
Kompatibilan
injekcija Heparin sodium 500 UI/ml
injekcija Midazolam hydrochloride 2.1 mg/ml
natrijumkorid 0,9% 3823
Kompatibilan
injekcija Heparin sodium 417 UI/ml
injekcija Midazolam hydrochloride 5 mg/ml
nijedan 186
Kompatibilan
injekcija Heparin sodium 100 UI/ml
injekcija Midazolam hydrochloride 5 mg/ml
4389
Kompatibilan
injekcija Heparin sodium 100 UI/ml
injekcija Midazolam hydrochloride 2 mg/ml
314
Kompatibilan
injekcija Heparin sodium 200 UI/ml
injekcija Milrinone lactate 0.8 mg/ml
glukoza 5% 813
Kompatibilan
injekcija Heparin sodium 100 UI/ml
injekcija Milrinone lactate 0.2 mg/ml
314
Kompatibilan
injekcija Heparin sodium 1 UI/ml
injekcija Minocycline hydrochloride 0.2 mg/ml
glukoza 5% 1228
Kompatibilan
injekcija Heparin sodium 1 UI/ml
injekcija Minocycline hydrochloride 0.2 mg/ml
Ringer laktat 1228
Kompatibilan
injekcija Heparin sodium 1 UI/ml
injekcija Minocycline hydrochloride 0.2 mg/ml
natrijumkorid 0,9% 1228
Neodređena nespojivost inkompatibilan
injekcija Heparin sodium
injekcija Mitoxantrone dihydrochloride
3640
Neodređena nespojivost inkompatibilan
injekcija Heparin sodium
injekcija Morphine hydrochloride
5069
Kompatibilan
injekcija Heparin sodium 100 & 200 UI/ml
injekcija Morphine sulfate 1 >> 5 mg/ml
čista voda za injektiranje 341
Kompatibilan
injekcija Heparin sodium 1 UI/ml
injekcija Morphine sulfate 15 mg/ml
Ringer laktat 1228
Neodređena nespojivost inkompatibilan
injekcija Heparin sodium
injekcija Morphine sulfate
3531
Kompatibilan
injekcija Heparin sodium 1 UI/ml
injekcija Morphine sulfate 15 mg/ml
glukoza 5% 1228
Kompatibilan
injekcija Heparin sodium 1 UI/ml
injekcija Morphine sulfate 15 mg/ml
natrijumkorid 0,9% 1228
Kompatibilan
injekcija Heparin sodium 60 UI/ml
injekcija Morphine sulfate 1 mg/ml
natrijumkorid 0,9% 406
Kompatibilan
injekcija Heparin sodium 100 & 200 UI/ml
injekcija Morphine sulfate 10 mg/ml
čista voda za injektiranje 341
Kompatibilan
injekcija Heparin sodium 100 UI/ml
injekcija Morphine sulfate 2 mg/ml
314
Kemijska nestabilnost inkompatibilan
injekcija Heparin sodium 100 & 200 UI/ml
injekcija Morphine sulfate 1 >> 10 mg/ml
natrijumkorid 0,9% 341
Kompatibilan
injekcija Heparin sodium 1000 UI/ml
injekcija N-acetylcysteine 200 mg/ml
nijedan 3766
Kompatibilan
injekcija Heparin sodium 50 UI/ml
injekcija Nafcillin sodium 20 mg/ml
nijedan 317
Kompatibilan
injekcija Heparin sodium 1000 UI/ml
injekcija Naloxone hydrochloride 0.4 mg/ml
nijedan 3408
Neposredna zamućenost inkompatibilan
injekcija Heparin sodium 208,3 UI/ml
injekcija Nefopam 1,7 mg/ml
natrijumkorid 0,9% 4698
Kompatibilan
injekcija Heparin sodium 1 UI/ml
injekcija Neostigmine methylsulfate 0.5 mg/ml
glukoza 5% 1228
Kompatibilan
injekcija Heparin sodium 1 UI/ml
injekcija Neostigmine methylsulfate 0.5 mg/ml
natrijumkorid 0,9% 1228
Kompatibilan
injekcija Heparin sodium 1 UI/ml
injekcija Neostigmine methylsulfate 0.5 mg/ml
Ringer laktat 1228
Neodređena nespojivost inkompatibilan
injekcija Heparin sodium
injekcija Nesiritide
5048
Neodređena nespojivost inkompatibilan
injekcija Heparin sodium
injekcija Netilmicin sulfate
3540
Neposredne oborine inkompatibilan
injekcija Heparin sodium
injekcija Netilmicin sulfate
1022
Neposredne oborine inkompatibilan
injekcija Heparin sodium 100 UI/ml
injekcija Nicardipine hydrochloride 1 mg/ml
314
Neodređena nespojivost inkompatibilan
injekcija Heparin sodium
injekcija Nicardipine hydrochloride
3540
Kompatibilan
injekcija Heparin sodium 40 UI/ml
injekcija Nicardipine hydrochloride 0.1 mg/ml
glukoza 5% 1490
Kompatibilan
injekcija Heparin sodium 40 UI/ml
injekcija Nicardipine hydrochloride 0.1 mg/ml
natrijumkorid 0,9% 1490
Neposredne oborine inkompatibilan
injekcija Heparin sodium 100 UI/ml
injekcija Nitroglycerin 1,6 >> 3,25 mg/ml
glukoza 5% 295
Kompatibilan
injekcija Heparin sodium 500 UI/ml
injekcija Nitroglycerin 0.2 mg/ml
natrijumkorid 0,9% 3823
Proizvodnja mjehurića plina inkompatibilan
injekcija Heparin sodium 50 UI/ml
injekcija Nitroglycerin 0.2 mg/ml
nijedan 317
Kompatibilan
injekcija Heparin sodium 500 UI/ml
injekcija Nitroglycerin 0.2 mg/ml
glukoza 5% 3823
Kompatibilan
injekcija Heparin sodium 100 UI/ml
injekcija Nitroglycerin 0.4 mg/ml
314
Kompatibilan
injekcija Heparin sodium 50 UI/ml
injekcija Nitroprusside sodium 0.2 mg/ml
nijedan 317
Kompatibilan
injekcija Heparin sodium 100 UI/ml
injekcija Nitroprusside sodium 0.2 mg/ml
glukoza 5% 295
Kompatibilan
injekcija Heparin sodium 100 UI/ml
injekcija Norepinephrine bitartrate 0.128 mg/ml
314
Neodređena nespojivost inkompatibilan
injekcija Heparin sodium
injekcija Ofloxacin
3562
Kompatibilan
injekcija Heparin sodium 40 UI/ml
injekcija Ondansetron hydrochloride 1 mg/ml
natrijumkorid 0,9% 334
inkompatibilan
injekcija Heparin sodium 200 UI/ml
injekcija Ondansetron hydrochloride 1.6 mg/ml
1699
Neposredna zamućenost inkompatibilan
injekcija Heparin sodium 100 UI/ml
injekcija Oritavancin 0.8 >>1.2 mg/ml
glukoza 5% 3152
Padavine nakon 4 sata inkompatibilan
injekcija Heparin sodium 100 UI/ml
injekcija Oritavancin 2 mg/ml
glukoza 5% 3152
Kompatibilan
injekcija Heparin sodium 208 UI/ml
injekcija Ornidazole 31.25 mg/ml
natrijumkorid 0,9% 4254
Kompatibilan
injekcija Heparin sodium 1 UI/ml
injekcija Oxacillin sodium 100 mg/ml
glukoza 5% 1228
Kompatibilan
injekcija Heparin sodium 1 UI/ml
injekcija Oxacillin sodium 100 mg/ml
Ringer laktat 1228
Kompatibilan
injekcija Heparin sodium 1 UI/ml
injekcija Oxacillin sodium 100 mg/ml
natrijumkorid 0,9% 1228
Kompatibilan
injekcija Heparin sodium 100 UI/ml
injekcija Oxaliplatin 0,5 mg/ml
glukoza 5% 1662
Neodređena nespojivost inkompatibilan
injekcija Heparin sodium
injekcija Oxytetracycline hydrochloride
3540
Kompatibilan
injekcija Heparin sodium 100 UI/ml
injekcija Paclitaxel 1.2 mg/ml
glukoza 5% 248
Kompatibilan
injekcija Heparin sodium 100 UI/ml
injekcija Palonosetron hydrochloride 50 µg/ml
glukoza 5% 2279
Kompatibilan
injekcija Heparin sodium 40 UI/ml
injekcija Pancuronium bromide 0.05 mg/ml
glukoza 5% 402
Padavine nakon 1 sata inkompatibilan
injekcija Heparin sodium
injekcija Pantoprazole sodium
2090
Kompatibilan
injekcija Heparin sodium 208,3 UI/ml
injekcija Paracetamol 10 mg/ml
natrijumkorid 0,9% 4698
Kompatibilan
injekcija Heparin sodium 1000 UI/ml
injekcija Paracetamol 10 mg/ml
4742
Kompatibilan
injekcija Heparin sodium 100 UI/ml
injekcija Pemetrexed disodium 20 mg/ml
natrijumkorid 0,9% 1953
Neodređena nespojivost inkompatibilan
injekcija Heparin sodium
injekcija Penicillin G potassium
3540
Kompatibilan
injekcija Heparin sodium 50 UI/ml
injekcija Penicillin G potassium 0.04 MUI/ml
nijedan 317
Neodređena nespojivost inkompatibilan
injekcija Heparin sodium
injekcija Penicillin G sodium
3540
Kompatibilan
injekcija Heparin sodium 100 UI/ml
injekcija Pentoxifyllin 5 mg/ml
natrijumkorid 0,9% 4538
Neposredna zamućenost inkompatibilan
injekcija Heparin sodium
injekcija Pethidine hydrochloride
3525
Kompatibilan
injekcija Heparin sodium 60 UI/ml
injekcija Pethidine hydrochloride 10 mg/ml
natrijumkorid 0,9% 406
Neodređena nespojivost inkompatibilan
injekcija Heparin sodium
injekcija Pethidine hydrochloride
3540
Neposredne oborine inkompatibilan
injekcija Heparin sodium 50 UI/ml
injekcija Phenytoin sodium 2 mg/ml
nijedan 317
Kompatibilan
injekcija Heparin sodium 50 UI/ml
injekcija Piperacillin sodium 60 mg/ml
nijedan 317
Kompatibilan
injekcija Heparin sodium 10 & 5000 UI/ml
injekcija Piperacillin sodium 40 mg/ml
natrijumkorid 0,9% 2037
Kompatibilan
injekcija Heparin sodium 0.5 UI/ml
injekcija Piperacillin sodium / tazobactam 0.5/0.0625 mg/ml
Dianéal® 2.5% glucose (Baxter) 4180
Kompatibilan
injekcija Heparin sodium 0.5 UI/ml
injekcija Piperacillin sodium / tazobactam 0.5/0.0625 mg/ml
Dianéal® 4.25% glucose (Baxter) 4180
Neposredna zamućenost inkompatibilan
injekcija Heparin sodium 1000 UI/ml
injekcija Plazomicin sulfate 24 mg/ml
natrijumkorid 0,9% 4145
Neodređena nespojivost inkompatibilan
injekcija Heparin sodium
injekcija Polymyxine B
3540
Kompatibilan
injekcija Heparin sodium 50 UI/ml
injekcija Potassium chloride 200 mEq/l
nijedan 317
Kompatibilan
injekcija Heparin sodium 1 UI/ml
injekcija Procainamide hydrochloride 100 mg/ml
Ringer laktat 1228
Kompatibilan
injekcija Heparin sodium 1 UI/ml
injekcija Procainamide hydrochloride 100 mg/ml
natrijumkorid 0,9% 1228
Kompatibilan
injekcija Heparin sodium 1 UI/ml
injekcija Prochlorperazine edysilate 5 mg/ml
natrijumkorid 0,9% 1228
Kompatibilan
injekcija Heparin sodium 3 >> 20 UI/ml
Parenteralna prehrana (bezlipidna) 791
Kompatibilan
injekcija Heparin sodium 100 UI/ml
Parenteralna prehrana (bezlipidna) 301
Kompatibilan
injekcija Heparin sodium 500 UI/ml
Parenteralna prehrana (bezlipidna) 939
Kompatibilan
injekcija Heparin sodium 1 UI/ml
injekcija Prochlorperazine edysilate 5 mg/ml
Ringer laktat 1228
Kompatibilan
injekcija Heparin sodium 1 UI/ml
injekcija Promethazine hydrochloride 50 mg/ml
natrijumkorid 0,9% 1228
Kompatibilan
injekcija Heparin sodium 1 UI/ml
injekcija Promethazine hydrochloride 50 mg/ml
Ringer laktat 1228
Kompatibilan
injekcija Heparin sodium 1 UI/ml
injekcija Propranolol hydrochloride 1 mg/ml
Ringer laktat 1228
Kompatibilan
injekcija Heparin sodium 1 UI/ml
injekcija Propranolol hydrochloride 1 mg/ml
natrijumkorid 0,9% 1228
Kompatibilan
injekcija Heparin sodium 50 UI/ml
injekcija Ranitidine hydrochloride 0,5 mg/ml
glukoza 5% 396
Kompatibilan
injekcija Heparin sodium 10 & 40 UI/ml
injekcija Ranitidine hydrochloride 0.05 & 2 mg/ml
natrijumkorid 0,9% 214
Kompatibilan
injekcija Heparin sodium 50 UI/ml
injekcija Ranitidine hydrochloride 1 mg/ml
nijedan 317
Kompatibilan
injekcija Heparin sodium 1000 UI/ml
injekcija Remdesivir 1 mg/ml
natrijumkorid 0,9% 4768
Kompatibilan
injekcija Heparin sodium 100 UI/ml
injekcija Remifentanil hydrochloride 25 & 250 µg/ml
natrijumkorid 0,9% 59
Kompatibilan
injekcija Heparin sodium 500 UI/ml
injekcija Remifentanil hydrochloride 100 µg/ml
natrijumkorid 0,9% 3823
Kompatibilan
injekcija Heparin sodium 500 UI/ml
NaHCO3 150
Kompatibilan
injekcija Heparin sodium 1.4 UI/ml
injekcija Piperacillin sodium / tazobactam 1.38/0.1725 mg/ml
Physionéal® 2.27 (Baxter) 4180
Kompatibilan
injekcija Heparin sodium 1.4 UI/ml
injekcija Piperacillin sodium / tazobactam 1.38/0.1725 mg/ml
Physionéal® 1.36 (Baxter) 4180
Kompatibilan
injekcija Heparin sodium 0.5 UI/ml
injekcija Piperacillin sodium / tazobactam 0.5/0.0625 mg/ml
Dianéal® 1.5% glucose (Baxter) 4180
Kompatibilan
injekcija Heparin sodium 1.4 UI/ml
injekcija Piperacillin sodium / tazobactam 1.38/0.1725 mg/ml
Physionéal® 3.86 (Baxter) 4180
Kompatibilan
injekcija Heparin sodium 100 UI/ml
injekcija Piperacillin sodium / tazobactam 40/5 mg/ml
glukoza 5% 81
Kompatibilan
injekcija Heparin sodium 0.5 UI/ml
injekcija Piperacillin sodium / tazobactam 0.5/0.0625 mg/ml
Extraneal® (Baxter) 4180
Kompatibilan
injekcija Heparin sodium 500 UI/ml
injekcija Potassium chloride 10 mEq/l
natrijumkorid 0,9% 3823
Kompatibilan
injekcija Heparin sodium 58,34 UI/ml
injekcija Potassium chloride 1250 mEq/l
glukoza 5% 1289
Kompatibilan
injekcija Heparin sodium
injekcija Potassium phosphate
3781
Kompatibilan
injekcija Heparin sodium 1 UI/ml
injekcija Procainamide hydrochloride 100 mg/ml
glukoza 5% 1228
Kompatibilan
injekcija Heparin sodium 1 UI/ml
injekcija Prochlorperazine edysilate 5 mg/ml
glukoza 5% 1228
Kompatibilan
injekcija Heparin sodium 1 UI/ml
injekcija Promethazine hydrochloride 50 mg/ml
glukoza 5% 1228
Neodređena nespojivost inkompatibilan
injekcija Heparin sodium
injekcija Promethazine hydrochloride
3540
Nestabilnost emulzije nakon 1 sata inkompatibilan
injekcija Heparin sodium 1000 UI/ml
injekcija Propofol
660
Kompatibilan
injekcija Heparin sodium 100 UI/ml
injekcija Propofol 10 mg/ml
nijedan 300
Kompatibilan
injekcija Heparin sodium 1 UI/ml
injekcija Propranolol hydrochloride 1 mg/ml
glukoza 5% 1228
Kompatibilan
injekcija Heparin sodium 100 UI/ml
injekcija Ranitidine hydrochloride 1 mg/ml
314
Kompatibilan
injekcija Heparin sodium 10 & 40 UI/ml
injekcija Ranitidine hydrochloride 0.05 & 2 mg/ml
glukoza 5% 214
Kompatibilan
injekcija Heparin sodium 416.7 UI/ml
injekcija Remifentanil hydrochloride 120 µg/ml
glukoza 5% 3294
Kompatibilan
injekcija Heparin sodium 416.7 UI/ml
injekcija Remifentanil hydrochloride 120 µg/ml
glukoza 5% 3176
Neodređena nespojivost inkompatibilan
injekcija Heparin sodium
injekcija Reteplase
2212
Kompatibilan
injekcija Heparin sodium 20,458 >> 28,000 UI/ml
Parenteralna prehrana (lipidima) 1868
Neodređena nespojivost inkompatibilan
injekcija Heparin sodium
injekcija Reteplase
3540
Kompatibilan
injekcija Heparin sodium 1000 UI/ml
injekcija Salbutamol sulfate 1 mg/ml
nijedan 3216
Kompatibilan
injekcija Heparin sodium 100 UI/ml
injekcija Sargramostim 6 §15 µg/ml
natrijumkorid 0,9% 891
Kompatibilan
injekcija Heparin sodium 100 UI/ml
injekcija Sargramostim 10 µg/ml
natrijumkorid 0,9% 335
Kompatibilan
injekcija Heparin sodium 1 UI/ml
injekcija Scopolamine hydrobromide 0.86 mg/ml
natrijumkorid 0,9% 1228
Kompatibilan
injekcija Heparin sodium 1 UI/ml
injekcija Scopolamine hydrobromide 0.86 mg/ml
Ringer laktat 1228
Kompatibilan
injekcija Heparin sodium 1 UI/ml
injekcija Scopolamine hydrobromide 0.86 mg/ml
glukoza 5% 1228
Kompatibilan
injekcija Heparin sodium 100 UI/ml
injekcija Sildenafil citrate 0,6 mg/ml
glukoza 5% 4845
Kompatibilan
injekcija Heparin sodium 100 UI/ml
injekcija Sildenafil citrate 0,06 mg/ml
glukoza 5% 4845
Kompatibilan
injekcija Heparin sodium 1 UI/ml
injekcija Sildenafil citrate 0,4 mg/ml
glukoza 5% 3923
Kompatibilan
injekcija Heparin sodium 2 UI/ml
injekcija Sildenafil citrate 0,6 mg/ml
glukoza 5% 4845
Kompatibilan
injekcija Heparin sodium
natrijumkorid 0,9% 3540
Neposredna nestabilnost emulzije inkompatibilan
injekcija Heparin sodium 100 UI/ml
Parenteralna prehrana (lipidima) 132
Neposredna zamućenost inkompatibilan
injekcija Heparin sodium 100 UI/ml
injekcija Sildenafil citrate 0,6 mg/ml
glukoza 5% 4845
Kompatibilan
injekcija Heparin sodium 500 UI/ml
injekcija Sodium bicarbonate 84 mg/ml
natrijumkorid 0,9% 3823
Kompatibilan
injekcija Heparin sodium
injekcija Sodium bicarbonate
3466
Kompatibilan
injekcija Heparin sodium 500 UI/ml
injekcija Sodium bicarbonate 14 mg/ml
nijedan 150
Kompatibilan
injekcija Heparin sodium 500 UI/ml
injekcija Sodium bicarbonate 84 mg/ml
nijedan 3212
Kompatibilan
injekcija Heparin sodium 208 UI/ml
injekcija Spiramycine adipate 0.0625 MUI/ml
natrijumkorid 0,9% 4254
Kompatibilan
injekcija Heparin sodium 100 UI/ml
injekcija Streptokinase 30000 UI/ml
glukoza 5% 92
Neodređena nespojivost inkompatibilan
injekcija Heparin sodium
injekcija Streptomycin sulfate
3540
Kompatibilan
injekcija Heparin sodium 416.7 UI/ml
injekcija Sufentanil citrate 0.005 mg/ml
glukoza 5% 3294
Kompatibilan
injekcija Heparin sodium 1000 UI/ml
injekcija Sugammadex 100 mg/ml
nijedan 3372
Kompatibilan
injekcija Heparin sodium 10 UI/ml
injekcija Tacrolimus 1000 µg/ml
natrijumkorid 0,9% 479
Kompatibilan
injekcija Heparin sodium 1000 UI/ml
Ringer laktat 4603
Kompatibilan
injekcija Heparin sodium 1000 UI/ml
injekcija Sulbactam/durlobactam 15/15 mg/ml
natrijumkorid 0,9% 4801
Kompatibilan
injekcija Heparin sodium 1000 UI/ml
injekcija Tedizolid phosphate 0.8 mg/ml
natrijumkorid 0,9% 3827
Kompatibilan
injekcija Heparin sodium 10 >> 10000 UI/ml
injekcija Teicoplanine 0.02 >> 10 mg/ml
natrijumkorid 0,9% 2057
Neposredna zamućenost inkompatibilan
injekcija Heparin sodium 1000 UI/ml
injekcija Telavancin hydrochloride 7,5 mg/ml
glukoza 5% 3254
Neposredna zamućenost inkompatibilan
injekcija Heparin sodium 1000 UI/ml
injekcija Telavancin hydrochloride 7,5 mg/ml
natrijumkorid 0,9% 3254
Kompatibilan
injekcija Heparin sodium 1000 UI/ml
injekcija Telavancin hydrochloride 7.5 mg/ml
Ringer laktat 3254
Neposredne oborine inkompatibilan
injekcija Heparin sodium 1000 UI/ml
injekcija Thiopental sodium 25 mg/ml
natrijumkorid 0,9% 3767
Neposredna nestabilnost emulzije inkompatibilan
injekcija Heparin sodium 1 UI/ml
Parenteralna prehrana (lipidima) 1391
Kompatibilan
injekcija Heparin sodium 100 UI/ml
injekcija Teniposide 0.1 mg/ml
glukoza 5% 905
Kompatibilan
injekcija Heparin sodium 50 UI/ml
injekcija Theophylline 4 mg/ml
nijedan 317
Kompatibilan
injekcija Heparin sodium 100 UI/ml
injekcija Thiopental sodium 25 mg/ml
314
Neposredna nestabilnost emulzije inkompatibilan
injekcija Heparin sodium 100 UI/ml
Parenteralna prehrana (lipidima) 1415
Kompatibilan
injekcija Heparin sodium 500 UI/ml
injekcija Thiopental sodium 60 mg/ml
natrijumkorid 0,9% 3823
Kompatibilan
injekcija Heparin sodium 100 UI/ml
injekcija Thiotepa 1 mg/ml
glukoza 5% 249
Kompatibilan
injekcija Heparin sodium 50 UI/ml
injekcija Ticarcillin / clavulanic acid 31 mg/ml
nijedan 317
Kompatibilan
injekcija Heparin sodium 500 UI/ml
injekcija Tirofiban 250 µg/ml
natrijumkorid 0,9% 3823
Kompatibilan
injekcija Heparin sodium 40 & 100 UI/ml
injekcija Tirofiban 50 µg/ml
natrijumkorid 0,9% 1420
Kompatibilan
injekcija Heparin sodium
glukoza 5% 3540
Kompatibilan
injekcija Heparin sodium
injekcija Tirofiban
1512
Kompatibilan
injekcija Heparin sodium 40 & 100 UI/ml
injekcija Tirofiban 50 µg/ml
glukoza 5% 1420
Neodređena nespojivost inkompatibilan
injekcija Heparin sodium 50 UI/ml
injekcija Tobramycin sulfate 0.8 mg/ml
nijedan 317
Neodređena nespojivost inkompatibilan
injekcija Heparin sodium
injekcija Tobramycin sulfate
3540
Kompatibilan
injekcija Heparin sodium
injekcija Tranexamic acid
5016
Neodređena nespojivost inkompatibilan
injekcija Heparin sodium
injekcija Triflupromazine hydrochloride
3540
Kompatibilan
injekcija Heparin sodium 500 UI/ml
injekcija Urapidil 5 mg/ml
natrijumkorid 0,9% 3823
Neposredne oborine inkompatibilan
injekcija Heparin sodium 0,5 >> 14,3 UI/ml
injekcija Vancomycin hydrochloride 6,9 >> 14,3 mg/ml
Dianéal® PD1 4.25% glukoza (Baxter) 2375
Neodređena nespojivost inkompatibilan
injekcija Heparin sodium
injekcija Vancomycin hydrochloride
3588
Neodređena nespojivost inkompatibilan
injekcija Heparin sodium
injekcija Vancomycin hydrochloride
3540
Kompatibilan
injekcija Heparin sodium 0,5 >> 14,3 UI/ml
injekcija Vancomycin hydrochloride 0,015 >> 6,8 mg/ml
Dianéal® PD2 2.5% glucose (Baxter) 2375
Neposredne oborine inkompatibilan
injekcija Heparin sodium 0,5 >> 14,3 UI/ml
injekcija Vancomycin hydrochloride 6,9 >> 14,3 mg/ml
Dianéal® PD2 2.5% glucose (Baxter) 2375
Kompatibilan
injekcija Heparin sodium 10 UI/ml
injekcija Vancomycin hydrochloride 0.025 mg/ml
čista voda za injektiranje 3125
Kompatibilan
injekcija Heparin sodium 0,5 >> 14,3 UI/ml
injekcija Vancomycin hydrochloride 0,015 >> 6,8 mg/ml
Dianéal® PD1 4.25% glukoza (Baxter) 2375
Neodređena nespojivost inkompatibilan
injekcija Heparin sodium 50 UI/ml
injekcija Vancomycin hydrochloride 6.6 mg/ml
nijedan 317
Kompatibilan
injekcija Heparin sodium 100 UI/ml
injekcija Vancomycin hydrochloride 0.025 mg/ml
natrijumkorid 0,9% 1414
Kompatibilan
injekcija Heparin sodium 10 UI/ml
injekcija Vancomycin hydrochloride 2 mg/ml
natrijumkorid 0,9% 2037
Neposredne oborine inkompatibilan
injekcija Heparin sodium 100 UI/ml
injekcija Vancomycin hydrochloride 10 mg/ml
Parenteralna prehrana (bezlipidna) 132
Kompatibilan
injekcija Heparin sodium 5000 UI/ml
injekcija Vancomycin hydrochloride 2.5 mg/ml
natrijumkorid 0,9% 2037
Kompatibilan
injekcija Heparin sodium 100 UI/ml
injekcija Vancomycin hydrochloride 0.025 mg/ml
natrijumkorid 0,9% 895
Kompatibilan
injekcija Heparin sodium 100 UI/ml
injekcija Vasopressin 2 & 4 UI/ml
natrijumkorid 0,9% 1801
Kompatibilan
injekcija Heparin sodium 100 UI/ml
injekcija Vecuronium bromide 1 mg/ml
314
Kompatibilan
injekcija Heparin sodium 40 UI/ml
injekcija Vecuronium bromide 0.1 mg/ml
glukoza 5% 402
Kompatibilan
injekcija Heparin sodium 20 UI/ml
injekcija Verapamil hydrochloride 0.08 mg/ml
natrijumkorid 0,9% 1057
Kompatibilan
injekcija Heparin sodium 20 UI/ml
injekcija Verapamil hydrochloride 0.08 mg/ml
glukoza 5% 1057
Neodređena nespojivost inkompatibilan
injekcija Heparin sodium
injekcija Vinblastine sulfate
3540
Kompatibilan
injekcija Heparin sodium 1000 UI/ml
injekcija Vinblastine sulfate 1 mg/ml
763
Kompatibilan
injekcija Heparin sodium 1000 UI/ml
injekcija Vincristine sulfate 1 mg/ml
763
Kompatibilan
injekcija Heparin sodium 100 UI/ml
injekcija Vinorelbine tartrate 1 mg/ml
natrijumkorid 0,9% 84
Kompatibilan
injekcija Heparin sodium 100 UI/ml
injekcija Vinorelbine tartrate 1 mg/ml
natrijumkorid 0,9% 1070
Neposredne oborine inkompatibilan
injekcija Heparin sodium 10 & 100 UI/ml
injekcija Vinorelbine tartrate 2 & 3 mg/ml
natrijumkorid 0,9% 1070
Kompatibilan
injekcija Heparin sodium 208 UI/ml
injekcija Voriconazole 8 mg/ml
glukoza 5% 4254
Kompatibilan
injekcija Heparin sodium 208 UI/ml
injekcija Voriconazole 8 mg/ml
natrijumkorid 0,9% 4254
Kompatibilan
injekcija Heparin sodium 100 UI/ml
injekcija Warfarin sodium 2 mg/ml
glukoza 5% 315
Kompatibilan
injekcija Heparin sodium 100 UI/ml
injekcija Zidovudine 4 mg/ml
glukoza 5% 337

  Mentions Légales