آخر تحديث :
18/03/2026
  مضاد للتخثر   Heparin sodium  
حقن
الاستقرار في حلول استقرار مخاليط العوامل التي تؤثر على الاستقرار التوافق طريقة التعاطي مراجع pdf
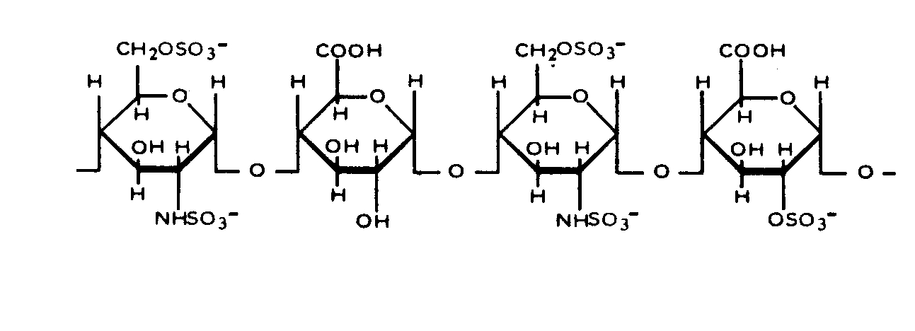
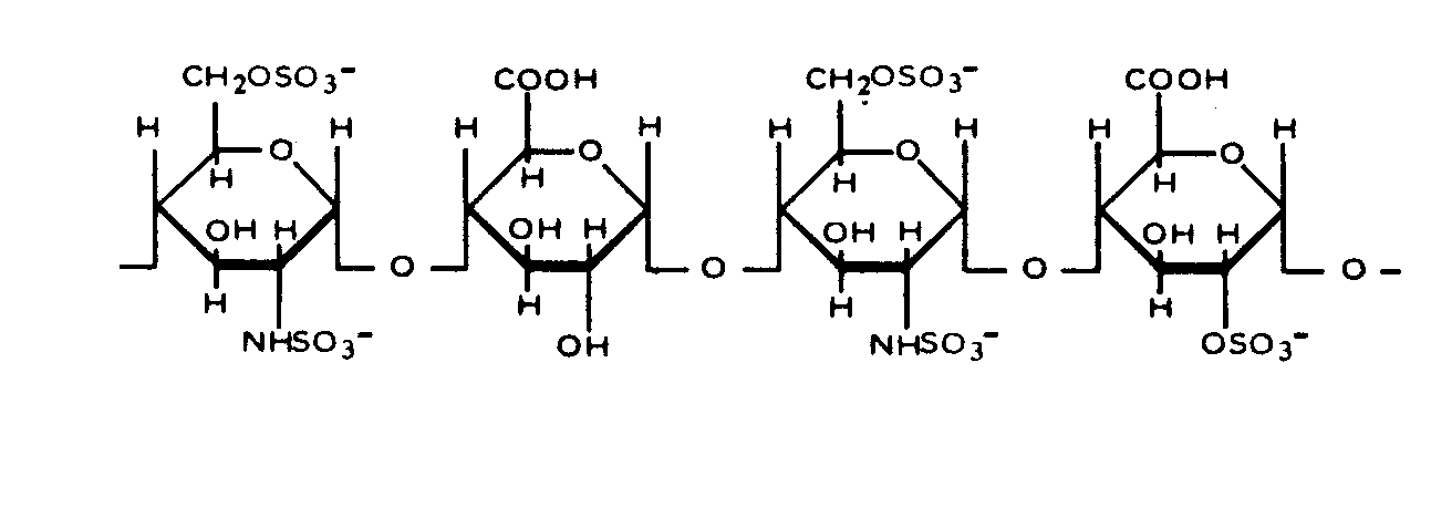
   التركيب الكيميائي  

حجز الاسم التجاري   حجز الاسم التجاري     

تحذير الأسماء التجاريه المختلفه قد تحتوي علي محتوي إضافات مختلفة حسب الدوله و المعمل

Arapin تشيلي
Ateroclar إيطاليا
Clarisco إيطاليا
Epsoclar إيطاليا
Hepaflex النرويج, فنلندا
Hepamax الإكوادور, تشيلي, كولومبيا
Heparin الدنمارك, الروسية, السويد, النرويج, النمسا, الولايات المتحدة, بريطانيا العظمي, تايلاند, تركيا, جمهورية جنوب أفريقيا, سويسرا, صربيا, فنلندا, كندا, هنغاريا, هولندا, يونان
Heparine بلجيكا, فرنسا
Heparinised أستراليا
Heparstad ألمانيا
Liquemin تركيا, سويسرا
Liquemine البرازيل
Monoparin العربية السعودية
Normoparin إيطاليا
Nuparin الإكوادور
Pharepa إيطاليا
Riveparin الأرجنتين
Sobrius الأرجنتين, الإكوادور
Thrombophob ألمانيا
التوافق   حقن   التوافق : Heparin sodium              
This screen indicates the compatibilities or incompatibilities with, in this case, the type of incompatibility (precipitation, color change, modification of an emulsion, etc.). The compatibilities shown here are mostly physical only, with the chemical stability of each molecule rarely being assessed. The evaluation of these mixtures was studied to consider the possibility of Y-site administration to the patient. These data cannot be used for making mixtures in advance in bags or syringes. This type of information is available in the screen "Stability in mixture ».
مركب مذيب مراجع
kompatibel
حقن Heparin sodium 100 UI/ml
حقن Aciclovir sodium 5 mg/ml
كلوريد الصوديوم 0.9% 2335
kompatibel
حقن Heparin sodium 50 UI/ml
حقن Aciclovir sodium 5 mg/ml
الجلوكوز %5 336
kompatibel
حقن Heparin sodium 100 UI/ml
حقن Aldesleukin 0.0338 MUI/ml
الجلوكوز %5 36
kompatibel
حقن Heparin sodium 100 UI/ml
حقن Allopurinol sodium 3 mg/ml
كلوريد الصوديوم 0.9% 307
kompatibel
حقن Heparin sodium 1 UI/ml
حقن Alprostadil 20 µg/ml
كلوريد الصوديوم 0.9% 4491
kompatibel
حقن Heparin sodium 1 UI/ml
حقن Alprostadil 20 µg/ml
الجلوكوز %5 4651
هطول الأمطار بعد 24 ساعات غير متوافق
حقن Heparin sodium 100 UI/ml
حقن Alteplase 1 mg/ml
حقن المياه لل 92
عدم توافق غير محدد غير متوافق
حقن Heparin sodium
حقن Alteplase
3540
هطول فوري غير متوافق
حقن Heparin sodium 40 UI/ml
حقن Alteplase 0.5 mg/ml
حقن المياه لل 240
عدم توافق غير محدد غير متوافق
حقن Heparin sodium
حقن Alteplase
3616
kompatibel
حقن Heparin sodium 100 UI/ml
حقن Amifostine 10 mg/ml
الجلوكوز %5 3
هطول فوري غير متوافق
حقن Heparin sodium
حقن Amikacin sulfate
1022
عدم توافق غير محدد غير متوافق
حقن Heparin sodium
حقن Amikacin sulfate
3549
عدم توافق غير محدد غير متوافق
حقن Heparin sodium
حقن Amikacin sulfate
3540
عدم توافق غير محدد غير متوافق
حقن Heparin sodium 500 UI/ml
حقن Amiodarone hydrochloride 15 mg/ml
كلوريد الصوديوم 0.9% 3823
عدم توافق غير محدد غير متوافق
حقن Heparin sodium
حقن Amiodarone hydrochloride
3540
التعكر الفوري غير متوافق
حقن Heparin sodium 500 UI/ml
حقن Amiodarone hydrochloride 15 mg/ml
كلوريد الصوديوم 0.9% 3463
عدم توافق غير محدد غير متوافق
حقن Heparin sodium
حقن Amiodarone hydrochloride
3464
عدم توافق غير محدد غير متوافق
حقن Heparin sodium 500 UI/ml
حقن Amiodarone hydrochloride 15 mg/ml
الجلوكوز %5 3823
التعكر الفوري غير متوافق
حقن Heparin sodium 500 UI/ml
حقن Amiodarone hydrochloride 15 mg/ml
الجلوكوز %5 3463
kompatibel
حقن Heparin sodium 208 UI/ml
حقن Amoxicillin sodium 20.83 & 83.3 mg/ml
كلوريد الصوديوم 0.9% 4254
kompatibel
حقن Heparin sodium 1000 UI/ml
حقن Amoxicillin sodium / clavulanic acid 100/10 mg/ml
3824
kompatibel
حقن Heparin sodium
حقن Ampicillin sodium
5088
kompatibel
حقن Heparin sodium 50 UI/ml
حقن Ampicillin sodium 20 mg/ml
لا شيء 317
kompatibel
حقن Heparin sodium 50 UI/ml
حقن Ampicillin sodium - sulbactam sodium 30 mg/ml
لا شيء 317
هطول فوري غير متوافق
حقن Heparin sodium 40 UI/ml
حقن Amsacrine 1 mg/ml
الجلوكوز %5 253
kompatibel
حقن Heparin sodium 100 UI/ml
حقن Anidulafungin 0.5 mg/ml
الجلوكوز %5 1982
هطول فوري غير متوافق
حقن Heparin sodium
حقن Antithymocyte globulin (rabbit)
4958
هطول فوري غير متوافق
حقن Heparin sodium 2 UI/ml
حقن Antithymocyte globulin (rabbit) 0,2 & 0,3 mg/ml
الجلوكوز %5 1822
kompatibel
حقن Heparin sodium 100 UI/ml
حقن Antithymocyte globulin (rabbit) 0,2 & 0,3 mg/ml
الجلوكوز %5 1822
kompatibel
حقن Heparin sodium 2 & 100 UI/ml
حقن Antithymocyte globulin (rabbit) 0,2 & 0,3 mg/ml
كلوريد الصوديوم 0.9% 1822
kompatibel
حقن Heparin sodium 40 UI/ml
حقن Atracurium besylate 0.5 mg/ml
الجلوكوز %5 402
kompatibel
حقن Heparin sodium 1 UI/ml
حقن Atropine sulfate 0.5 mg/ml
الجلوكوز %5 1228
kompatibel
حقن Heparin sodium 500 UI/ml
التغذية الوريدية (مع الدهون) 4507
هطول فوري غير متوافق
حقن Heparin sodium 1000 UI/ml
حقن Amphotericin B cholesteryl sulfate complex 0.83 mg/ml
الجلوكوز %5 921
عدم توافق غير محدد غير متوافق
حقن Heparin sodium
حقن Ampicillin sodium
3540
kompatibel
حقن Heparin sodium 10 & 5000 UI/ml
حقن Ampicillin sodium 10 mg/ml
كلوريد الصوديوم 0.9% 2037
kompatibel
حقن Heparin sodium 1 UI/ml
حقن Atropine sulfate 0.5 mg/ml
محلول رينجر  اللاكتات 1228
kompatibel
حقن Heparin sodium 1 UI/ml
حقن Atropine sulfate 0.5 mg/ml
كلوريد الصوديوم 0.9% 1228
kompatibel
حقن Heparin sodium 100 UI/ml
حقن Aztreonam 40 mg/ml
الجلوكوز %5 99
kompatibel
حقن Heparin sodium 50 UI/ml
حقن Aztreonam 20 mg/ml
لا شيء 317
kompatibel
حقن Heparin sodium 1 UI/ml
حقن Betamethasone sodium phosphate 3 mg/ml
كلوريد الصوديوم 0.9% 1228
kompatibel
حقن Heparin sodium 1 UI/ml
حقن Betamethasone sodium phosphate 3 mg/ml
الجلوكوز %5 1228
kompatibel
حقن Heparin sodium 1 UI/ml
حقن Betamethasone sodium phosphate 3 mg/ml
محلول رينجر  اللاكتات 1228
kompatibel
حقن Heparin sodium 100 UI/ml
حقن Bivalirudin 5 mg/ml
الجلوكوز %5 1713
هطول فوري غير متوافق
حقن Heparin sodium 192.3 UI/ml
حقن Blinatumomab 0.125 & 0.375 µg/ml
كلوريد الصوديوم 0.9% 3976
kompatibel
حقن Heparin sodium 1000 UI/ml
حقن Caffeine 10 mg/ml
لا شيء 3964
kompatibel
حقن Heparin sodium 100 UI/ml
حقن Caffeine 10 mg/ml
كلوريد الصوديوم 0.9% 4837
kompatibel
حقن Heparin sodium 100 UI/ml
حقن Caffeine citrate 20 mg/ml
كلوريد الصوديوم 0.9% 4837
هطول الأمطار بعد 30 دقيقة غير متوافق
حقن Heparin sodium 2 UI/ml
حقن Calcium chloride 20 mg/ml
الجلوكوز %5 4732
kompatibel
حقن Heparin sodium 100 UI/ml
حقن Calcium chloride 20 mg/ml
الجلوكوز %5 4732
عدم استقرار فوري للمستحلب غير متوافق
حقن Heparin sodium
حقن Calcium chloride
التغذية الوريدية (مع الدهون) 1084
عدم استقرار فوري للمستحلب غير متوافق
حقن Heparin sodium
حقن Calcium gluconate
التغذية الوريدية (مع الدهون) 1084
هطول فوري غير متوافق
حقن Heparin sodium 100 UI/ml
حقن Caspofungin acetate 0.5 mg/ml
كلوريد الصوديوم 0.9% 2233
هطول فوري غير متوافق
حقن Heparin sodium 100 UI/ml
حقن Caspofungin acetate 0,7 mg/ml
كلوريد الصوديوم 0.9% 2247
عدم توافق غير محدد غير متوافق
حقن Heparin sodium
حقن Cefalotin sodium
3540
kompatibel
حقن Heparin sodium 10 & 5000 UI/ml
حقن Cefazolin sodium 10 mg/ml
كلوريد الصوديوم 0.9% 2037
kompatibel
حقن Heparin sodium 50 UI/ml
حقن Cefazolin sodium 20 mg/ml
لا شيء 317
kompatibel
حقن Heparin sodium 0.667 UI/ml
حقن Cefazolin sodium 0.333 mg/ml
Dianéal PD2 الجلوكوز%1.5 (باكستر) 1979
kompatibel
حقن Heparin sodium 10 & 50 UI/ml
حقن Cefepime dihydrochloride 4 mg/ml
كلوريد الصوديوم 0.9% 3548
kompatibel
حقن Heparin sodium 10 & 50 UI/ml
حقن Cefepime dihydrochloride 4 mg/ml
الجلوكوز %5 3548
kompatibel
حقن Heparin sodium 1000 UI/ml
حقن Cefiderocol sulfate tosylate 20 mg/mL
الجلوكوز %5 4528
kompatibel
حقن Heparin sodium 1000 UI/ml
حقن Cefiderocol sulfate tosylate 20 mg/mL
كلوريد الصوديوم 0.9% 4528
عدم الاستقرار الكيميائي غير متوافق
حقن Heparin sodium 100 UI/ml
حقن Cefmetazole sodium 100 mg/ml
حقن المياه لل 93
kompatibel
حقن Heparin sodium 208 UI/ml
حقن Cefotaxime sodium 41.6 & 125 mg/ml
الجلوكوز %5 4254
kompatibel
حقن Heparin sodium 208 UI/ml
حقن Cefotaxime sodium 41.6 & 125 mg/ml
كلوريد الصوديوم 0.9% 4254
kompatibel
حقن Heparin sodium 5000 UI/ml
حقن Cefotaxime sodium 10 mg/ml
حقن المياه لل 3125
kompatibel
حقن Heparin sodium 100 UI/ml
حقن Ceftaroline fosamil 2,22 mg/ml
محلول رينجر  اللاكتات 3249
kompatibel
حقن Heparin sodium 100 UI/ml
حقن Ceftaroline fosamil 2,22 mg/ml
كلوريد الصوديوم 0.9% 3249
kompatibel
حقن Heparin sodium 100 UI/ml
حقن Ceftaroline fosamil 2,22 mg/ml
الجلوكوز %5 3249
kompatibel
حقن Heparin sodium 0.5 UI/ml
حقن Ceftazidime 0.125 mg/ml
Extraneal  (باكستر) 4056
kompatibel
حقن Heparin sodium 0.5 UI/ml
حقن Ceftazidime 0.125 mg/ml
Dianéal PD2 الجلوكوز%4.25 (باكستر) 4056
kompatibel
حقن Heparin sodium 50 UI/ml
حقن Ceftazidime 20 mg/ml
لا شيء 317
kompatibel
حقن Heparin sodium 0.5 UI/ml
حقن Ceftazidime 0.125 mg/ml
Dianéal PD2 الجلوكوز%2.5 (باكستر) 4056
kompatibel
حقن Heparin sodium 100 UI/ml
حقن Ceftobiprole medocaril sodium 2 mg/ml
كلوريد الصوديوم 0.9% 2269
kompatibel
حقن Heparin sodium 100 UI/ml
حقن Ceftobiprole medocaril sodium 2 mg/ml
الجلوكوز %5 2269
kompatibel
حقن Heparin sodium 100 UI/ml
حقن Ceftobiprole medocaril sodium 2 mg/ml
محلول رينجر  اللاكتات 2269
kompatibel
حقن Heparin sodium 1000 UI/ml
حقن Ceftolozane / tazobactam 10/5 mg/ml
كلوريد الصوديوم 0.9% 3828
kompatibel
حقن Heparin sodium 1000 UI/ml
حقن Ceftolozane / tazobactam 10/5 mg/ml
الجلوكوز %5 3828
kompatibel
حقن Heparin sodium 50 UI/ml
حقن Ceftriaxone disodium 20 mg/ml
لا شيء 317
kompatibel
حقن Heparin sodium 10 & 50 UI/ml
حقن Cefuroxime sodium
كلوريد الصوديوم 0.9% 3687
kompatibel
حقن Heparin sodium 58,34 UI/ml
حقن Chlorpromazine hydrochloride 0,26 mg/ml
الجلوكوز %5 1289
kompatibel
حقن Heparin sodium 1 UI/ml
حقن Chlorpromazine hydrochloride 10 mg/ml
كلوريد الصوديوم 0.9% 1228
kompatibel
حقن Heparin sodium 1 UI/ml
حقن Chlorpromazine hydrochloride 10 mg/ml
الجلوكوز %5 1228
عدم توافق غير محدد غير متوافق
حقن Heparin sodium
حقن Chlorpromazine hydrochloride
3540
kompatibel
حقن Heparin sodium 1 UI/ml
حقن Chlorpromazine hydrochloride 10 mg/ml
محلول رينجر  اللاكتات 1228
kompatibel
حقن Heparin sodium 50 UI/ml
حقن Cimetidine hydrochloride 6 mg/ml
لا شيء 317
kompatibel
حقن Heparin sodium 5000 & 10000 UI/ml
حقن Ciprofloxacin lactate 0.4 & 0.6 mg/ml
كلوريد الصوديوم 0.9% 2057
هطول فوري غير متوافق
حقن Heparin sodium 10 >> 10000 UI/ml
حقن Ciprofloxacin lactate 1 mg/ml
كلوريد الصوديوم 0.9% 2057
هطول فوري غير متوافق
حقن Heparin sodium 10 & 100 UI/ml
حقن Ciprofloxacin lactate 0.2 mg/ml
كلوريد الصوديوم 0.9% 2057
عدم توافق غير محدد غير متوافق
حقن Heparin sodium
حقن Ciprofloxacin lactate
3540
هطول فوري غير متوافق
حقن Heparin sodium 10 >> 1000 UI/ml
حقن Ciprofloxacin lactate 0.4 & 0.6 mg/ml
كلوريد الصوديوم 0.9% 2057
kompatibel
حقن Heparin sodium 1000 >> 10000 UI/ml
حقن Ciprofloxacin lactate 0.2 mg/ml
كلوريد الصوديوم 0.9% 2057
هطول فوري غير متوافق
حقن Heparin sodium 10 >> 5000 UI/ml
حقن Ciprofloxacin lactate 0.8 mg/ml
كلوريد الصوديوم 0.9% 2057
kompatibel
حقن Heparin sodium 10 >> 10000 UI/ml
حقن Ciprofloxacin lactate 0.1 mg/ml
كلوريد الصوديوم 0.9% 2057
هطول فوري غير متوافق
حقن Heparin sodium 100 UI/ml
حقن Ciprofloxacin lactate 2 mg/ml
كلوريد الصوديوم 0.9% 288
عدم توافق غير محدد غير متوافق
حقن Heparin sodium
حقن Ciprofloxacin lactate
3529
هطول فوري غير متوافق
حقن Heparin sodium 100 UI/ml
حقن Ciprofloxacin lactate 2 mg/ml
الجلوكوز %5 288
هطول فوري غير متوافق
حقن Heparin sodium 10 >> 1000 UI/ml
حقن Ciprofloxacin lactate 2 mg/ml
كلوريد الصوديوم 0.9% 289
التعكر الفوري غير متوافق
حقن Heparin sodium 10 UI/ml
حقن Ciprofloxacin lactate 2 mg/ml
لا شيء 1393
kompatibel
حقن Heparin sodium 10000 UI/ml
حقن Ciprofloxacin lactate 0.8 mg/ml
كلوريد الصوديوم 0.9% 2057
kompatibel
حقن Heparin sodium 100 UI/ml
حقن Cisatracurium besylate 0.1 & 2 mg/ml
الجلوكوز %5 299
هطول فوري غير متوافق
حقن Heparin sodium 100 UI/ml
حقن Cisatracurium besylate 5 mg/ml
الجلوكوز %5 299
تغير اللون غير متوافق
حقن Heparin sodium 500 UI/ml
حقن Cisatracurium besylate 5 mg/ml
كلوريد الصوديوم 0.9% 3463
عدم توافق غير محدد غير متوافق
حقن Heparin sodium 500 UI/ml
حقن Cisatracurium besylate 5 mg/ml
كلوريد الصوديوم 0.9% 3823
عدم توافق غير محدد غير متوافق
حقن Heparin sodium
حقن Cisatracurium besylate
3540
kompatibel
حقن Heparin sodium 100 UI/ml
حقن Cladribine 0.5 mg/ml
كلوريد الصوديوم 0.9% + مضاد للجراثيم 1496
kompatibel
حقن Heparin sodium 100 UI/ml
حقن Cladribine 0.015 mg/ml
كلوريد الصوديوم 0.9% 1496
kompatibel
حقن Heparin sodium 50 UI/ml
حقن Clindamycin phosphate 12 mg/ml
لا شيء 317
kompatibel
حقن Heparin sodium 50 UI/ml
حقن Clonidine hydrochloride 0.0075 mg/ml
كلوريد الصوديوم 0.9% 1506
kompatibel
حقن Heparin sodium 50 UI/ml
حقن Clonidine hydrochloride 0.0075 mg/ml
الجلوكوز %5 1506
kompatibel
حقن Heparin sodium 100 UI/ml
حقن Cloxacillin sodium 100 mg/ml
حقن المياه لل 3012
هطول الأمطار بعد 4 ساعات غير متوافق
حقن Heparin sodium 208 UI/ml
حقن Co-trimoxazole 3.2/0.64 & 80/16 mg/ml
كلوريد الصوديوم 0.9% 4254
هطول الأمطار بعد 4 ساعات غير متوافق
حقن Heparin sodium 208 UI/ml
حقن Co-trimoxazole 3.2/0.64 & 80/16 mg/ml
الجلوكوز %5 4254
kompatibel
حقن Heparin sodium 1 UI/ml
حقن Cyanocobalamine 0.1 mg/ml
محلول رينجر  اللاكتات 1228
kompatibel
حقن Heparin sodium 1 UI/ml
حقن Cyanocobalamine 0.1 mg/ml
الجلوكوز %5 1228
kompatibel
حقن Heparin sodium 1 UI/ml
حقن Cyanocobalamine 0.1 mg/ml
كلوريد الصوديوم 0.9% 1228
عدم توافق غير محدد غير متوافق
حقن Heparin sodium
حقن Cytarabine
3540
عدم توافق غير محدد غير متوافق
حقن Heparin sodium
حقن Cytarabine
3580
عدم توافق غير محدد غير متوافق
حقن Heparin sodium
حقن Dacarbazine
3605
هطول فوري غير متوافق
حقن Heparin sodium 100 UI/ml
حقن Dacarbazine 25 mg/ml
كلوريد الصوديوم 0.9% 860
عدم توافق غير محدد غير متوافق
حقن Heparin sodium
حقن Dacarbazine
3267
عدم توافق غير محدد غير متوافق
حقن Heparin sodium
حقن Dacarbazine
3540
kompatibel
حقن Heparin sodium
حقن Daptomycin
2271
kompatibel
حقن Heparin sodium 98 UI/ml
حقن Daptomycin 19,6 mg/ml
كلوريد الصوديوم 0.9% 1937
هطول فوري غير متوافق
حقن Heparin sodium
حقن Daunorubicin hydrochloride
3604
عدم توافق غير محدد غير متوافق
حقن Heparin sodium
حقن Daunorubicin hydrochloride
3540
هطول فوري غير متوافق
حقن Heparin sodium
حقن Daunorubicin hydrochloride liposome
3577
التعكر الفوري غير متوافق
حقن Heparin sodium
حقن Daunorubicin/cytarabine liposomale 0,4 mg/mL
كلوريد الصوديوم 0.9% 4654
kompatibel
حقن Heparin sodium 373 UI/ml
حقن Defibrotide 8 mg/ml
كلوريد الصوديوم 0.9% 3728
kompatibel
حقن Heparin sodium 50 UI/ml
حقن Dexamethasone sodium phosphate 0.08 mg/ml
لا شيء 317
kompatibel
حقن Heparin sodium
حقن Dexketoprofen
4981
kompatibel
حقن Heparin sodium 100 UI/ml
حقن Dexmedetomidine 4 µg/ml
كلوريد الصوديوم 0.9% 1712
kompatibel
حقن Heparin sodium 10000 UI/ml
حقن Diatrizoate meglumine 283 mg/ml
لا شيء 1085
عدم توافق غير محدد غير متوافق
حقن Heparin sodium
حقن Diazepam
3540
kompatibel
حقن Heparin sodium 100 UI/ml
حقن Diltiazem hydrochloride 1 mg/ml
314
هطول فوري غير متوافق
حقن Heparin sodium 20000 UI/ml
حقن Diltiazem hydrochloride 5 mg/ml
كلوريد الصوديوم 0.9% 198
kompatibel
حقن Heparin sodium 100 UI/ml
حقن Diltiazem hydrochloride 1 mg/ml
الجلوكوز %5 4556
التعكر الفوري غير متوافق
حقن Heparin sodium 100 UI/ml
حقن Diltiazem hydrochloride 5 mg/ml
الجلوكوز %5 4556
kompatibel
حقن Heparin sodium 20000 UI/ml
حقن Diltiazem hydrochloride 1 mg/ml
كلوريد الصوديوم 0.9% 198
kompatibel
حقن Heparin sodium
حقن Diltiazem hydrochloride
5090
kompatibel
حقن Heparin sodium 80 >> 10000 UI/ml
حقن Diltiazem hydrochloride 1 & 5 mg/ml
كلوريد الصوديوم 0.9% 198
هطول فوري غير متوافق
حقن Heparin sodium
حقن Dimenhydrinate
2087
kompatibel
حقن Heparin sodium 1 UI/ml
حقن Diphenhydramine hydrochloride 50 mg/ml
كلوريد الصوديوم 0.9% 1228
kompatibel
حقن Heparin sodium 1 UI/ml
حقن Diphenhydramine hydrochloride 50 mg/ml
الجلوكوز %5 1228
kompatibel
حقن Heparin sodium 1 UI/ml
حقن Diphenhydramine hydrochloride 50 mg/ml
محلول رينجر  اللاكتات 1228
هطول الأمطار بعد 4 ساعات غير متوافق
حقن Heparin sodium 100 UI/ml
حقن Dobutamine hydrochloride 4 mg/ml
314
kompatibel
حقن Heparin sodium 40 UI/ml
حقن Dobutamine hydrochloride 1 mg/ml
كلوريد الصوديوم 0.9% 1058
kompatibel
حقن Heparin sodium 100 UI/ml
حقن Dobutamine hydrochloride 2 mg/ml
الجلوكوز %5 1041
هطول فوري غير متوافق
حقن Heparin sodium 100 UI/ml
حقن Dobutamine hydrochloride 2 mg/ml
الجلوكوز %5 1352
التعكر الفوري غير متوافق
حقن Heparin sodium 100 UI/ml
حقن Dobutamine hydrochloride 4 mg/ml
الجلوكوز %5 295
هطول فوري غير متوافق
حقن Heparin sodium
حقن Dobutamine hydrochloride
3540
تغير اللون بعد 6 ساعات غير متوافق
حقن Heparin sodium 10000 UI/ml
حقن Dobutamine hydrochloride 2 mg/ml
الجلوكوز %5 1041
kompatibel
حقن Heparin sodium 40 UI/ml
حقن Dobutamine hydrochloride 1 mg/ml
الجلوكوز %5 1058
kompatibel
حقن Heparin sodium 50 UI/ml
حقن Dobutamine hydrochloride 1 mg/ml
لا شيء 317
kompatibel
حقن Heparin sodium 100 UI/ml
حقن Docetaxel 0.9 mg/ml
الجلوكوز %5 1754
kompatibel
حقن Heparin sodium 1 UI/ml
حقن Dopamine hydrochloride 40 mg/ml
كلوريد الصوديوم 0.9% 1228
kompatibel
حقن Heparin sodium 50 UI/ml
حقن Dopamine hydrochloride 1.6 mg/ml
لا شيء 317
kompatibel
حقن Heparin sodium 100 UI/ml
حقن Dopamine hydrochloride 3.2 mg/ml
314
kompatibel
حقن Heparin sodium 1 UI/ml
حقن Dopamine hydrochloride 40 mg/ml
محلول رينجر  اللاكتات 1228
kompatibel
حقن Heparin sodium 200 UI/ml
حقن Dopamine hydrochloride 0.8 mg/ml
الجلوكوز %5 738
kompatibel
حقن Heparin sodium 1 UI/ml
حقن Dopamine hydrochloride 40 mg/ml
الجلوكوز %5 1228
kompatibel
حقن Heparin sodium 100 UI/ml
حقن Dopamine hydrochloride 3,2 mg/ml
4389
عدم توافق غير محدد غير متوافق
حقن Heparin sodium 187 UI/ml
حقن Dopamine hydrochloride 1,7 >> 3,4 mg/ml
الجلوكوز %5 377
kompatibel
حقن Heparin sodium 100 UI/ml
حقن Doripenem 5 mg/ml
كلوريد الصوديوم 0.9% 2262
kompatibel
حقن Heparin sodium 100 UI/ml
حقن Doripenem 5 mg/ml
الجلوكوز %5 2262
kompatibel
حقن Heparin sodium 1 UI/ml
حقن Doxapram hydrochloride 2 mg/ml
الجلوكوز %5 1802
عدم توافق غير محدد غير متوافق
حقن Heparin sodium
حقن Doxorubicin hydrochloride
3540
هطول فوري غير متوافق
حقن Heparin sodium
حقن Doxorubicin hydrochloride
3645
هطول فوري غير متوافق
حقن Heparin sodium 1000 UI/ml
حقن Doxorubicin hydrochloride 2 mg/ml
763
kompatibel
حقن Heparin sodium 1000 UI/ml
حقن Doxorubicin hydrochloride liposome peg 0.4 mg/ml
الجلوكوز %5 251
عدم توافق غير محدد غير متوافق
حقن Heparin sodium 50 UI/ml
حقن Doxycycline hyclate 1 mg/ml
لا شيء 317
هطول فوري غير متوافق
حقن Heparin sodium 1000 UI/ml
حقن Droperidol 2,5 mg/ml
763
kompatibel
حقن Heparin sodium 1 UI/ml
حقن Droperidol 1.25 mg/ml
كلوريد الصوديوم 0.9% 1228
kompatibel
حقن Heparin sodium 1 UI/ml
حقن Droperidol 1.25 mg/ml
محلول رينجر  اللاكتات 1228
kompatibel
حقن Heparin sodium 1 UI/ml
حقن Droperidol 1.25 mg/ml
الجلوكوز %5 1228
عدم توافق غير محدد غير متوافق
حقن Heparin sodium
حقن Droperidol
3540
kompatibel
حقن Heparin sodium 45,45 UI/ml
حقن Enalaprilate 0,011 mg/ml
الجلوكوز %5 963
kompatibel
حقن Heparin sodium 40 UI/ml
حقن Enalaprilate 0.05 mg/ml
كلوريد الصوديوم 0.9% 1315
kompatibel
حقن Heparin sodium 50 UI/ml
حقن Enalaprilate 0.0125 mg/ml
كلوريد الصوديوم 0.9% 1703
kompatibel
حقن Heparin sodium 1 UI/ml
حقن Epinephrine hydrochloride 100 µg/ml
محلول رينجر  اللاكتات 1228
kompatibel
حقن Heparin sodium 100 UI/ml
حقن Epinephrine hydrochloride 20 µg/ml
314
kompatibel
حقن Heparin sodium 1 UI/ml
حقن Epinephrine hydrochloride 100 µg/ml
كلوريد الصوديوم 0.9% 1228
kompatibel
حقن Heparin sodium 1 UI/ml
حقن Epinephrine hydrochloride 100 µg/ml
الجلوكوز %5 1228
عدم توافق غير محدد غير متوافق
حقن Heparin sodium
حقن Epirubicin hydrochloride
3632
kompatibel
حقن Heparin sodium
حقن Eptifibatide
3934
kompatibel
حقن Heparin sodium 1000 UI/ml
حقن Eravacycline 0,6 mg/ml
كلوريد الصوديوم 0.9% 4434
التعكر الفوري غير متوافق
حقن Heparin sodium 1 UI/ml
حقن Ergotamine tartrate 0.5 mg/ml
كلوريد الصوديوم 0.9% 1228
هطول الأمطار بعد 4 ساعات غير متوافق
حقن Heparin sodium 1 UI/ml
حقن Ergotamine tartrate 0.5 mg/ml
محلول رينجر  اللاكتات 1228
هطول الأمطار بعد 4 ساعات غير متوافق
حقن Heparin sodium 1 UI/ml
حقن Ergotamine tartrate 0.5 mg/ml
الجلوكوز %5 1228
kompatibel
حقن Heparin sodium 50 & 100 UI/ml
حقن Ertapenem 10 & 20 mg/ml
كلوريد الصوديوم 0.9% 1906
kompatibel
حقن Heparin sodium 50 UI/ml
حقن Erythromycin lactobionate 3.3 mg/ml
لا شيء 317
عدم توافق غير محدد غير متوافق
حقن Heparin sodium
حقن Erythromycin lactobionate
3674
عدم توافق غير محدد غير متوافق
حقن Heparin sodium
حقن Erythromycin lactobionate
3540
kompatibel
حقن Heparin sodium 50 UI/ml
حقن Esmolol hydrochloride 6 mg/ml
الجلوكوز %5 174
kompatibel
حقن Heparin sodium 40 UI/ml
حقن Esmolol hydrochloride 10 mg/ml
الجلوكوز %5 384
kompatibel
حقن Heparin sodium 500 UI/ml
حقن Esmolol hydrochloride 10 mg/ml
كلوريد الصوديوم 0.9% 3823
هطول فوري غير متوافق
حقن Heparin sodium 1000 UI/ml
حقن Ethanol 70 %
المياه للحقن + مضاد للجراثيم 2221
هطول فوري غير متوافق
حقن Heparin sodium 1000 UI/ml
حقن Ethanol 70 %
حقن المياه لل 2221
هطول الأمطار بعد 1 ساعة غير متوافق
حقن Heparin sodium 10 UI/ml
حقن Ethanol 70 %
المياه للحقن + مضاد للجراثيم 2221
هطول فوري غير متوافق
حقن Heparin sodium 10 UI/ml
حقن Ethanol 70 %
حقن المياه لل 2221
kompatibel
حقن Heparin sodium 100 UI/ml
حقن Etoposide phosphate 5 mg/ml
الجلوكوز %5 1410
kompatibel
حقن Heparin sodium 40 UI/ml
حقن Famotidine
الجلوكوز %5 397
kompatibel
حقن Heparin sodium 50 UI/ml
حقن Famotidine 0.2 mg/ml
الجلوكوز %5 398
kompatibel
حقن Heparin sodium 40 UI/ml
حقن Famotidine 2 mg/ml
كلوريد الصوديوم 0.9% 215
kompatibel
حقن Heparin sodium 100 UI/ml
حقن Fenoldopam mesylate 80 µg/ml
كلوريد الصوديوم 0.9% 1803
kompatibel
حقن Heparin sodium 100 UI/ml
حقن Fentanyl citrate 50 µg/ml
4389
kompatibel
حقن Heparin sodium 1 UI/ml
حقن Fentanyl citrate 50 µg/ml
الجلوكوز %5 1228
kompatibel
حقن Heparin sodium 1 UI/ml
حقن Fentanyl citrate 50 µg/ml
محلول رينجر  اللاكتات 1228
kompatibel
حقن Heparin sodium 1 UI/ml
حقن Fentanyl citrate 50 µg/ml
كلوريد الصوديوم 0.9% 1228
kompatibel
حقن Heparin sodium 100 UI/ml
حقن Fentanyl citrate 50 µg/ml
314
هطول فوري غير متوافق
حقن Heparin sodium 100 UI/ml
حقن Filgrastim 30 µg/ml
الجلوكوز %5 244
kompatibel
حقن Heparin sodium 1000 UI/ml
حقن Fluconazole 2 mg/ml
كلوريد الصوديوم 0.9% 496
kompatibel
حقن Heparin sodium 50 UI/ml
حقن Fluconazole 2 mg/ml
لا شيء 317
kompatibel
حقن Heparin sodium 40 >> 1000 UI/ml
حقن Fludarabine phosphate 1 mg/ml
الجلوكوز %5 492
kompatibel
حقن Heparin sodium 50 UI/ml
حقن Flumazenil 0,02 mg/ml
الجلوكوز %5 187
kompatibel
حقن Heparin sodium 5 UI/ml
حقن Fluorouracil 0,8 mg/ml
كلوريد الصوديوم 0.9% 156
kompatibel
حقن Heparin sodium 5 UI/ml
حقن Fluorouracil 0,8 mg/ml
الجلوكوز %5 156
kompatibel
حقن Heparin sodium 1 UI/ml
حقن Fluorouracil 50 mg/ml
كلوريد الصوديوم 0.9% 1228
kompatibel
حقن Heparin sodium 960 UI/ml
حقن Fluorouracil 24 mg/ml
الجلوكوز %5 163
kompatibel
حقن Heparin sodium 1 UI/ml
حقن Fluorouracil 50 mg/ml
الجلوكوز %5 1228
kompatibel
حقن Heparin sodium 1000 UI/ml
حقن Fluorouracil 50 mg/ml
763
kompatibel
حقن Heparin sodium 1 UI/ml
حقن Fluorouracil 50 mg/ml
محلول رينجر  اللاكتات 1228
kompatibel
حقن Heparin sodium 1000 UI/ml
حقن Folinate calcium 10 mg/ml
763
kompatibel
حقن Heparin sodium 100 UI/ml
حقن Foscarnet sodium 24 mg/ml
الجلوكوز %5 1135
kompatibel
حقن Heparin sodium 100 UI/ml
حقن Foscarnet sodium 24 mg/ml
كلوريد الصوديوم 0.9% 1135
kompatibel
حقن Heparin sodium 1000 UI/ml
حقن Foscarnet sodium 24 mg/ml
لا شيء 73
kompatibel
حقن Heparin sodium 1000 UI/ml
حقن Fosfomycin 30 mg/ml
الجلوكوز %5 4055
kompatibel
حقن Heparin sodium 1000 UI/ml
حقن Fosfomycin 30 mg/ml
كلوريد الصوديوم 0.9% 4055
kompatibel
حقن Heparin sodium 100 UI/ml
حقن Furosemide 10 mg/ml
314
kompatibel
حقن Heparin sodium 1 UI/ml
حقن Furosemide 10 mg/ml
كلوريد الصوديوم 0.9% 1228
هطول الأمطار بعد 5 ساعات غير متوافق
حقن Heparin sodium 100 UI/ml
حقن Furosemide 10 mg/ml
الجلوكوز %5 4724
kompatibel
حقن Heparin sodium 20 UI/ml
حقن Furosemide 1 mg/ml
كلوريد الصوديوم 0.9% 1232
kompatibel
حقن Heparin sodium 58,34 UI/ml
حقن Furosemide 5,21 mg/ml
الجلوكوز %5 1289
kompatibel
حقن Heparin sodium
حقن Furosemide
3465
kompatibel
حقن Heparin sodium 1 UI/ml
حقن Furosemide 10 mg/ml
محلول رينجر  اللاكتات 1228
kompatibel
حقن Heparin sodium 1000 UI/ml
حقن Furosemide 10 mg/ml
763
kompatibel
حقن Heparin sodium 10 UI/ml
حقن Furosemide 10 mg/ml
لا شيء 3210
kompatibel
حقن Heparin sodium 500 UI/ml
حقن Furosemide 10 mg/ml
كلوريد الصوديوم 0.9% 3823
kompatibel
حقن Heparin sodium 500 UI/ml
حقن Furosemide 10 mg/ml
لا شيء 3134
kompatibel
حقن Heparin sodium 1 UI/ml
حقن Furosemide 10 mg/ml
الجلوكوز %5 1228
kompatibel
حقن Heparin sodium 40 UI/ml
حقن Gallium nitrate 1 mg/ml
كلوريد الصوديوم 0.9% 91
kompatibel
حقن Heparin sodium 100 UI/ml
حقن Gemcitabine hydrochloride 10 mg/ml
كلوريد الصوديوم 0.9% 1423
التعكر الفوري غير متوافق
حقن Heparin sodium 2500 UI/ml
حقن Gentamicin sulfate 3 mg/ml
4612
عدم توافق غير محدد غير متوافق
حقن Heparin sodium
حقن Gentamicin sulfate
3520
عدم توافق غير محدد غير متوافق
حقن Heparin sodium
حقن Gentamicin sulfate
3643
هطول فوري غير متوافق
حقن Heparin sodium
حقن Gentamicin sulfate
1022
عدم توافق غير محدد غير متوافق
حقن Heparin sodium 50 UI/ml
حقن Gentamicin sulfate 2 mg/ml
لا شيء 317
هطول فوري غير متوافق
حقن Heparin sodium 10 >> 40 UI/ml
حقن Gentamicin sulfate 4 >> 40 mg/ml
1258
هطول فوري غير متوافق
حقن Heparin sodium 2500 UI/ml
حقن Gentamicin sulfate 4 & 5 mg/ml
4612
عدم توافق غير محدد غير متوافق
حقن Heparin sodium
حقن Gentamicin sulfate
3540
kompatibel
حقن Heparin sodium 2500 UI/ml
حقن Gentamicin sulfate 1 & 2 mg/ml
4612
kompatibel
حقن Heparin sodium 50 UI/ml
حقن Glycerophosphate disodium
كلوريد الصوديوم 0.9% 4332
kompatibel
حقن Heparin sodium 100 UI/ml
حقن Granisetron hydrochloride 0.05 mg/ml
الجلوكوز %5 182
هطول فوري غير متوافق
حقن Heparin sodium 100 & 200 UI/ml
حقن Haloperidol lactate 5 mg/ml
الجلوكوز %5 617
هطول فوري غير متوافق
حقن Heparin sodium 100 & 200 UI/ml
حقن Haloperidol lactate 5 mg/ml
كلوريد الصوديوم 0.9% 617
kompatibel
حقن Heparin sodium 500 UI/ml
حقن Haloperidol lactate 0.5 mg/ml
كلوريد الصوديوم 0.9% 3823
عدم توافق غير محدد غير متوافق
حقن Heparin sodium
حقن Haloperidol lactate
3540
kompatibel
حقن Heparin sodium 100 UI/ml
حقن Hetastarch 60 mg/ml
مذيب معين 1721
عدم توافق غير محدد غير متوافق
حقن Heparin sodium
حقن Hyaluronidase
3617
عدم توافق غير محدد غير متوافق
حقن Heparin sodium
حقن Hyaluronidase
3184
عدم توافق غير محدد غير متوافق
حقن Heparin sodium
حقن Hyaluronidase
3540
kompatibel
حقن Heparin sodium 1 UI/ml
حقن Hydralazine hydrochloride 20 mg/ml
الجلوكوز %5 1228
kompatibel
حقن Heparin sodium 1 UI/ml
حقن Hydralazine hydrochloride 20 mg/ml
محلول رينجر  اللاكتات 1228
kompatibel
حقن Heparin sodium 1 UI/ml
حقن Hydralazine hydrochloride 20 mg/ml
كلوريد الصوديوم 0.9% 1228
kompatibel
حقن Heparin sodium 100 UI/ml
حقن Hydrocortisone sodium succinate 125 mg/ml
كلوريد الصوديوم 0.9% 132
عدم توافق غير محدد غير متوافق
حقن Heparin sodium
حقن Hydrocortisone sodium succinate
3540
kompatibel
حقن Heparin sodium 50 UI/ml
حقن Hydrocortisone sodium succinate 2 mg/ml
لا شيء 317
kompatibel
حقن Heparin sodium 100 UI/ml
حقن Hydrocortisone sodium succinate 125 mg/ml
الجلوكوز %5 132
kompatibel
حقن Heparin sodium
حقن Hydromorphone hydrochloride <12.5 mg/ml
كلوريد الصوديوم 0.9% 66
kompatibel
حقن Heparin sodium 100 UI/ml
حقن Hydromorphone hydrochloride 1 mg/ml
314
هطول فوري غير متوافق
حقن Heparin sodium <12,5 UI/ml
حقن Hydromorphone hydrochloride >25 mg/ml
كلوريد الصوديوم 0.9% 66
kompatibel
حقن Heparin sodium
حقن Hydromorphone hydrochloride <12.5 mg/ml
حقن المياه لل 66
هطول فوري غير متوافق
حقن Heparin sodium <1 UI/ml
حقن Hydromorphone hydrochloride >10 mg/ml
حقن المياه لل 66
هطول فوري غير متوافق
حقن Heparin sodium <12,5 UI/ml
حقن Hydromorphone hydrochloride >25 mg/ml
حقن المياه لل 66
kompatibel
حقن Heparin sodium 100 UI/ml
حقن Ibuprofen lysinate 10 mg/ml
حقن المياه لل 4419
kompatibel
حقن Heparin sodium 10 UI/ml
حقن Ibuprofen lysinate 10 mg/ml
حقن المياه لل 4419
التعكر الفوري غير متوافق
حقن Heparin sodium 100 & 1000 UI/ml
حقن Idarubicin hydrochloride 1 mg/ml
كلوريد الصوديوم 0.9% 491
هطول فوري غير متوافق
حقن Heparin sodium
حقن Idarubicin hydrochloride
5075
kompatibel
حقن Heparin sodium
حقن Imipenem-Cilastatin / Relebactam
4809
kompatibel
حقن Heparin sodium 1000 UI/ml
حقن Imipenem-Cilastatin / Relebactam 5 mg/ml
كلوريد الصوديوم 0.9% 4433
kompatibel
حقن Heparin sodium 1000 UI/ml
حقن Imipenem-Cilastatin / Relebactam 5 mg/ml
الجلوكوز %5 4433
kompatibel
حقن Heparin sodium 500 UI/ml
حقن Insulin 2 UI/ml
كلوريد الصوديوم 0.9% 3823
kompatibel
حقن Heparin sodium 60 UI/ml
حقن Insulin 0.2 UI/ml
كلوريد الصوديوم 0.9% 129
kompatibel
حقن Heparin sodium 50 & 400 UI/ml
حقن Insulin aspart 1 UI/ml
الجلوكوز %5 1508
kompatibel
حقن Heparin sodium 50 & 400 UI/ml
حقن Insulin aspart 1 UI/ml
كلوريد الصوديوم 0.9% 1508
kompatibel
حقن Heparin sodium 10000 UI/ml
حقن Iohexol 300 mg I/ml
لا شيء 1085
kompatibel
حقن Heparin sodium 10000 UI/ml
حقن Ioxaglate 320 mg I/ml
لا شيء 1085
التعكر الفوري غير متوافق
حقن Heparin sodium 1000 UI/ml
حقن Isavuconazonium sulfate 1.5 mg/ml
كلوريد الصوديوم 0.9% 3829
التعكر الفوري غير متوافق
حقن Heparin sodium 1000 UI/ml
حقن Isavuconazonium sulfate 1.5 mg/ml
الجلوكوز %5 3829
kompatibel
حقن Heparin sodium 1 UI/ml
حقن Isoprenaline hydrochloride 0.2 mg/ml
الجلوكوز %5 1228
kompatibel
حقن Heparin sodium 1 UI/ml
حقن Isoprenaline hydrochloride 0.2 mg/ml
كلوريد الصوديوم 0.9% 1228
kompatibel
حقن Heparin sodium 1 UI/ml
حقن Isoprenaline hydrochloride 0.2 mg/ml
محلول رينجر  اللاكتات 1228
عدم توافق غير محدد غير متوافق
حقن Heparin sodium
حقن Kanamycin sulfate
3540
هطول فوري غير متوافق
حقن Heparin sodium 25000 UI/ml
حقن Ketamine hydrochloride 50 mg/ml
2109
kompatibel
حقن Heparin sodium 100 UI/ml
حقن Labetalol hydrochloride 2 mg/ml
314
عدم توافق غير محدد غير متوافق
حقن Heparin sodium 500 UI/ml
حقن Labetalol hydrochloride 4 mg/ml
كلوريد الصوديوم 0.9% 3823
عدم توافق غير محدد غير متوافق
حقن Heparin sodium
حقن Labetalol hydrochloride
3540
هطول فوري غير متوافق
حقن Heparin sodium 100 UI/ml
حقن Labetalol hydrochloride 5 mg/ml
الجلوكوز %5 295
kompatibel
حقن Heparin sodium 40 UI/ml
حقن Labetalol hydrochloride 1 mg/ml
الجلوكوز %5 386
kompatibel
حقن Heparin sodium 100 UI/ml
حقن Lansoprazole 0.55 mg/ml
كلوريد الصوديوم 0.9% 1625
العكارة في 4 ساعات غير متوافق
حقن Heparin sodium 100 UI/ml
حقن Levetiracetam 100 mg/ml
الجلوكوز %5 4108
التعكر الفوري غير متوافق
حقن Heparin sodium 208,3 UI/ml
حقن Levetiracetam 15 mg/ml
كلوريد الصوديوم 0.9% 4698
عدم توافق غير محدد غير متوافق
حقن Heparin sodium
حقن Levofloxacine
3920
هطول فوري غير متوافق
حقن Heparin sodium 10 UI/ml
حقن Levofloxacine 5 mg/ml
الجلوكوز %5 1072
عدم توافق غير محدد غير متوافق
حقن Heparin sodium
حقن Levomepromazine
3540
kompatibel
حقن Heparin sodium 100 UI/ml
حقن Levosimendan 2,5 mg/ml
الجلوكوز %5 4389
kompatibel
حقن Heparin sodium 50 UI/ml
حقن Lidocaine hydrochloride 4 mg/ml
لا شيء 317
kompatibel
حقن Heparin sodium 1000 UI/ml
حقن Linezolid 2 mg/ml
لا شيء 1925
kompatibel
حقن Heparin sodium 10 >> 10000 UI/ml
حقن Linezolid 0.2 >> 1.92 mg/ml
كلوريد الصوديوم 0.9% 2057
kompatibel
حقن Heparin sodium 417 UI/ml
حقن Lorazepam 0.33 mg/ml
كلوريد الصوديوم 0.9% 186
kompatibel
حقن Heparin sodium 100 UI/ml
حقن Lorazepam 0.5 mg/ml
314
kompatibel
حقن Heparin sodium 1 UI/ml
حقن Magnesium sulfate 5 mg/ml
كلوريد الصوديوم 0.9% 1228
kompatibel
حقن Heparin sodium 50 UI/ml
حقن Magnesium sulfate 15.6 mg/ml
كلوريد الصوديوم 0.9% 2100
kompatibel
حقن Heparin sodium 1 UI/ml
حقن Magnesium sulfate 5 mg/ml
محلول رينجر  اللاكتات 1228
kompatibel
حقن Heparin sodium 1 UI/ml
حقن Magnesium sulfate 5 mg/ml
الجلوكوز %5 1228
kompatibel
حقن Heparin sodium 100 UI/ml
حقن Melphalan 0.1 mg/ml
كلوريد الصوديوم 0.9% 169
kompatibel
حقن Heparin sodium 0.5 UI/ml
حقن Meropenem 0.5 mg/ml
Dianéal® 4.25% glucose (Baxter) 4180
kompatibel
حقن Heparin sodium 0.5 UI/ml
حقن Meropenem 0.5 mg/ml
Extraneal  (باكستر) 4180
kompatibel
حقن Heparin sodium 1000 UI/ml
حقن Meropenem 50 mg/ml
حقن المياه لل 4319
kompatibel
حقن Heparin sodium 1 UI/ml
حقن Meropenem 1 & 50 mg/ml
كلوريد الصوديوم 0.9% 266
kompatibel
حقن Heparin sodium 0.5 UI/ml
حقن Meropenem 0.5 mg/ml
Dianéal® 1.5% glucose (Baxter) 4180
kompatibel
حقن Heparin sodium 20 UI/ml
حقن Meropenem 1 & 20 mg/ml
كلوريد الصوديوم 0.9% 266
kompatibel
حقن Heparin sodium 0.5 UI/ml
حقن Meropenem 0.5 mg/ml
Dianéal® 2.5% glucose (Baxter) 4180
kompatibel
حقن Heparin sodium 50 UI/ml
حقن Methadone hydrochloride 0.2 mg/ml
الجلوكوز %5 1506
kompatibel
حقن Heparin sodium 50 UI/ml
حقن Methadone hydrochloride 0.2 mg/ml
كلوريد الصوديوم 0.9% 1506
عدم توافق غير محدد غير متوافق
حقن Heparin sodium
حقن Methotrexate sodium
3637
kompatibel
حقن Heparin sodium 1000 UI/ml
حقن Methotrexate sodium 25 mg/ml
763
kompatibel
حقن Heparin sodium 500 UI/ml
حقن Methotrexate sodium 30 mg/ml
كلوريد الصوديوم 0.9% 150
kompatibel
حقن Heparin sodium 100 UI/ml
حقن Methylprednisolone sodium succinate 5 mg/ml
الجلوكوز %5 132
kompatibel
حقن Heparin sodium 50 UI/ml
حقن Methylprednisolone sodium succinate 2.5 mg/ml
لا شيء 317
kompatibel
حقن Heparin sodium 100 UI/ml
حقن Methylprednisolone sodium succinate 5 mg/ml
كلوريد الصوديوم 0.9% 132
kompatibel
حقن Heparin sodium 1000 UI/ml
حقن Metoclopramide hydrochloride 5 mg/ml
763
عدم الاستقرار الكيميائي غير متوافق
حقن Heparin sodium 1000 UI/ml
حقن Metoprolol tartrate 1 mg/ml
لا شيء 2346
kompatibel
حقن Heparin sodium 50 UI/ml
حقن Metronidazole 5 mg/ml
لا شيء 317
kompatibel
حقن Heparin sodium 100 UI/ml
حقن Micafungin 1.5 mg/ml
كلوريد الصوديوم 0.9% 2108
التعكر الفوري غير متوافق
حقن Heparin sodium 208,3 UI/ml
حقن Midazolam hydrochloride 1 mg/ml
كلوريد الصوديوم 0.9% 4698
kompatibel
حقن Heparin sodium 500 UI/ml
حقن Midazolam hydrochloride 2.1 mg/ml
كلوريد الصوديوم 0.9% 3823
kompatibel
حقن Heparin sodium 417 UI/ml
حقن Midazolam hydrochloride 5 mg/ml
لا شيء 186
kompatibel
حقن Heparin sodium 100 UI/ml
حقن Midazolam hydrochloride 5 mg/ml
4389
kompatibel
حقن Heparin sodium 100 UI/ml
حقن Midazolam hydrochloride 2 mg/ml
314
kompatibel
حقن Heparin sodium 200 UI/ml
حقن Milrinone lactate 0.8 mg/ml
الجلوكوز %5 813
kompatibel
حقن Heparin sodium 100 UI/ml
حقن Milrinone lactate 0.2 mg/ml
314
kompatibel
حقن Heparin sodium 1 UI/ml
حقن Minocycline hydrochloride 0.2 mg/ml
الجلوكوز %5 1228
kompatibel
حقن Heparin sodium 1 UI/ml
حقن Minocycline hydrochloride 0.2 mg/ml
محلول رينجر  اللاكتات 1228
kompatibel
حقن Heparin sodium 1 UI/ml
حقن Minocycline hydrochloride 0.2 mg/ml
كلوريد الصوديوم 0.9% 1228
عدم توافق غير محدد غير متوافق
حقن Heparin sodium
حقن Mitoxantrone dihydrochloride
3640
عدم توافق غير محدد غير متوافق
حقن Heparin sodium
حقن Morphine hydrochloride
5069
kompatibel
حقن Heparin sodium 100 & 200 UI/ml
حقن Morphine sulfate 1 >> 5 mg/ml
حقن المياه لل 341
kompatibel
حقن Heparin sodium 1 UI/ml
حقن Morphine sulfate 15 mg/ml
محلول رينجر  اللاكتات 1228
عدم توافق غير محدد غير متوافق
حقن Heparin sodium
حقن Morphine sulfate
3531
kompatibel
حقن Heparin sodium 1 UI/ml
حقن Morphine sulfate 15 mg/ml
الجلوكوز %5 1228
kompatibel
حقن Heparin sodium 1 UI/ml
حقن Morphine sulfate 15 mg/ml
كلوريد الصوديوم 0.9% 1228
kompatibel
حقن Heparin sodium 60 UI/ml
حقن Morphine sulfate 1 mg/ml
كلوريد الصوديوم 0.9% 406
kompatibel
حقن Heparin sodium 100 & 200 UI/ml
حقن Morphine sulfate 10 mg/ml
حقن المياه لل 341
kompatibel
حقن Heparin sodium 100 UI/ml
حقن Morphine sulfate 2 mg/ml
314
عدم الاستقرار الكيميائي غير متوافق
حقن Heparin sodium 100 & 200 UI/ml
حقن Morphine sulfate 1 >> 10 mg/ml
كلوريد الصوديوم 0.9% 341
kompatibel
حقن Heparin sodium 1000 UI/ml
حقن N-acetylcysteine 200 mg/ml
لا شيء 3766
kompatibel
حقن Heparin sodium 50 UI/ml
حقن Nafcillin sodium 20 mg/ml
لا شيء 317
kompatibel
حقن Heparin sodium 1000 UI/ml
حقن Naloxone hydrochloride 0.4 mg/ml
لا شيء 3408
التعكر الفوري غير متوافق
حقن Heparin sodium 208,3 UI/ml
حقن Nefopam 1,7 mg/ml
كلوريد الصوديوم 0.9% 4698
kompatibel
حقن Heparin sodium 1 UI/ml
حقن Neostigmine methylsulfate 0.5 mg/ml
الجلوكوز %5 1228
kompatibel
حقن Heparin sodium 1 UI/ml
حقن Neostigmine methylsulfate 0.5 mg/ml
كلوريد الصوديوم 0.9% 1228
kompatibel
حقن Heparin sodium 1 UI/ml
حقن Neostigmine methylsulfate 0.5 mg/ml
محلول رينجر  اللاكتات 1228
عدم توافق غير محدد غير متوافق
حقن Heparin sodium
حقن Nesiritide
5048
عدم توافق غير محدد غير متوافق
حقن Heparin sodium
حقن Netilmicin sulfate
3540
هطول فوري غير متوافق
حقن Heparin sodium
حقن Netilmicin sulfate
1022
هطول فوري غير متوافق
حقن Heparin sodium 100 UI/ml
حقن Nicardipine hydrochloride 1 mg/ml
314
عدم توافق غير محدد غير متوافق
حقن Heparin sodium
حقن Nicardipine hydrochloride
3540
kompatibel
حقن Heparin sodium 40 UI/ml
حقن Nicardipine hydrochloride 0.1 mg/ml
الجلوكوز %5 1490
kompatibel
حقن Heparin sodium 40 UI/ml
حقن Nicardipine hydrochloride 0.1 mg/ml
كلوريد الصوديوم 0.9% 1490
هطول فوري غير متوافق
حقن Heparin sodium 100 UI/ml
حقن Nitroglycerin 1,6 >> 3,25 mg/ml
الجلوكوز %5 295
kompatibel
حقن Heparin sodium 500 UI/ml
حقن Nitroglycerin 0.2 mg/ml
كلوريد الصوديوم 0.9% 3823
إنتاج فقاعات الغاز غير متوافق
حقن Heparin sodium 50 UI/ml
حقن Nitroglycerin 0.2 mg/ml
لا شيء 317
kompatibel
حقن Heparin sodium 500 UI/ml
حقن Nitroglycerin 0.2 mg/ml
الجلوكوز %5 3823
kompatibel
حقن Heparin sodium 100 UI/ml
حقن Nitroglycerin 0.4 mg/ml
314
kompatibel
حقن Heparin sodium 50 UI/ml
حقن Nitroprusside sodium 0.2 mg/ml
لا شيء 317
kompatibel
حقن Heparin sodium 100 UI/ml
حقن Nitroprusside sodium 0.2 mg/ml
الجلوكوز %5 295
kompatibel
حقن Heparin sodium 100 UI/ml
حقن Norepinephrine bitartrate 0.128 mg/ml
314
عدم توافق غير محدد غير متوافق
حقن Heparin sodium
حقن Ofloxacin
3562
kompatibel
حقن Heparin sodium 40 UI/ml
حقن Ondansetron hydrochloride 1 mg/ml
كلوريد الصوديوم 0.9% 334
غير متوافق
حقن Heparin sodium 200 UI/ml
حقن Ondansetron hydrochloride 1.6 mg/ml
1699
التعكر الفوري غير متوافق
حقن Heparin sodium 100 UI/ml
حقن Oritavancin 0.8 >>1.2 mg/ml
الجلوكوز %5 3152
هطول الأمطار بعد 4 ساعات غير متوافق
حقن Heparin sodium 100 UI/ml
حقن Oritavancin 2 mg/ml
الجلوكوز %5 3152
kompatibel
حقن Heparin sodium 208 UI/ml
حقن Ornidazole 31.25 mg/ml
كلوريد الصوديوم 0.9% 4254
kompatibel
حقن Heparin sodium 1 UI/ml
حقن Oxacillin sodium 100 mg/ml
الجلوكوز %5 1228
kompatibel
حقن Heparin sodium 1 UI/ml
حقن Oxacillin sodium 100 mg/ml
محلول رينجر  اللاكتات 1228
kompatibel
حقن Heparin sodium 1 UI/ml
حقن Oxacillin sodium 100 mg/ml
كلوريد الصوديوم 0.9% 1228
kompatibel
حقن Heparin sodium 100 UI/ml
حقن Oxaliplatin 0,5 mg/ml
الجلوكوز %5 1662
عدم توافق غير محدد غير متوافق
حقن Heparin sodium
حقن Oxytetracycline hydrochloride
3540
kompatibel
حقن Heparin sodium 100 UI/ml
حقن Paclitaxel 1.2 mg/ml
الجلوكوز %5 248
kompatibel
حقن Heparin sodium 100 UI/ml
حقن Palonosetron hydrochloride 50 µg/ml
الجلوكوز %5 2279
kompatibel
حقن Heparin sodium 40 UI/ml
حقن Pancuronium bromide 0.05 mg/ml
الجلوكوز %5 402
هطول الأمطار بعد 1 ساعة غير متوافق
حقن Heparin sodium
حقن Pantoprazole sodium
2090
kompatibel
حقن Heparin sodium 208,3 UI/ml
حقن Paracetamol 10 mg/ml
كلوريد الصوديوم 0.9% 4698
kompatibel
حقن Heparin sodium 1000 UI/ml
حقن Paracetamol 10 mg/ml
4742
kompatibel
حقن Heparin sodium 100 UI/ml
حقن Pemetrexed disodium 20 mg/ml
كلوريد الصوديوم 0.9% 1953
عدم توافق غير محدد غير متوافق
حقن Heparin sodium
حقن Penicillin G potassium
3540
kompatibel
حقن Heparin sodium 50 UI/ml
حقن Penicillin G potassium 0.04 MUI/ml
لا شيء 317
عدم توافق غير محدد غير متوافق
حقن Heparin sodium
حقن Penicillin G sodium
3540
kompatibel
حقن Heparin sodium 100 UI/ml
حقن Pentoxifyllin 5 mg/ml
كلوريد الصوديوم 0.9% 4538
التعكر الفوري غير متوافق
حقن Heparin sodium
حقن Pethidine hydrochloride
3525
kompatibel
حقن Heparin sodium 60 UI/ml
حقن Pethidine hydrochloride 10 mg/ml
كلوريد الصوديوم 0.9% 406
عدم توافق غير محدد غير متوافق
حقن Heparin sodium
حقن Pethidine hydrochloride
3540
هطول فوري غير متوافق
حقن Heparin sodium 50 UI/ml
حقن Phenytoin sodium 2 mg/ml
لا شيء 317
kompatibel
حقن Heparin sodium 50 UI/ml
حقن Piperacillin sodium 60 mg/ml
لا شيء 317
kompatibel
حقن Heparin sodium 10 & 5000 UI/ml
حقن Piperacillin sodium 40 mg/ml
كلوريد الصوديوم 0.9% 2037
kompatibel
حقن Heparin sodium 0.5 UI/ml
حقن Piperacillin sodium / tazobactam 0.5/0.0625 mg/ml
Dianéal® 2.5% glucose (Baxter) 4180
kompatibel
حقن Heparin sodium 0.5 UI/ml
حقن Piperacillin sodium / tazobactam 0.5/0.0625 mg/ml
Dianéal® 4.25% glucose (Baxter) 4180
التعكر الفوري غير متوافق
حقن Heparin sodium 1000 UI/ml
حقن Plazomicin sulfate 24 mg/ml
كلوريد الصوديوم 0.9% 4145
عدم توافق غير محدد غير متوافق
حقن Heparin sodium
حقن Polymyxine B
3540
kompatibel
حقن Heparin sodium 50 UI/ml
حقن Potassium chloride 200 mEq/l
لا شيء 317
kompatibel
حقن Heparin sodium 1 UI/ml
حقن Procainamide hydrochloride 100 mg/ml
محلول رينجر  اللاكتات 1228
kompatibel
حقن Heparin sodium 1 UI/ml
حقن Procainamide hydrochloride 100 mg/ml
كلوريد الصوديوم 0.9% 1228
kompatibel
حقن Heparin sodium 1 UI/ml
حقن Prochlorperazine edysilate 5 mg/ml
كلوريد الصوديوم 0.9% 1228
kompatibel
حقن Heparin sodium 3 >> 20 UI/ml
 التغذية الوريدية (خالية من الدهن) 791
kompatibel
حقن Heparin sodium 100 UI/ml
 التغذية الوريدية (خالية من الدهن) 301
kompatibel
حقن Heparin sodium 500 UI/ml
 التغذية الوريدية (خالية من الدهن) 939
kompatibel
حقن Heparin sodium 1 UI/ml
حقن Prochlorperazine edysilate 5 mg/ml
محلول رينجر  اللاكتات 1228
kompatibel
حقن Heparin sodium 1 UI/ml
حقن Promethazine hydrochloride 50 mg/ml
كلوريد الصوديوم 0.9% 1228
kompatibel
حقن Heparin sodium 1 UI/ml
حقن Promethazine hydrochloride 50 mg/ml
محلول رينجر  اللاكتات 1228
kompatibel
حقن Heparin sodium 1 UI/ml
حقن Propranolol hydrochloride 1 mg/ml
محلول رينجر  اللاكتات 1228
kompatibel
حقن Heparin sodium 1 UI/ml
حقن Propranolol hydrochloride 1 mg/ml
كلوريد الصوديوم 0.9% 1228
kompatibel
حقن Heparin sodium 50 UI/ml
حقن Ranitidine hydrochloride 0,5 mg/ml
الجلوكوز %5 396
kompatibel
حقن Heparin sodium 10 & 40 UI/ml
حقن Ranitidine hydrochloride 0.05 & 2 mg/ml
كلوريد الصوديوم 0.9% 214
kompatibel
حقن Heparin sodium 50 UI/ml
حقن Ranitidine hydrochloride 1 mg/ml
لا شيء 317
kompatibel
حقن Heparin sodium 1000 UI/ml
حقن Remdesivir 1 mg/ml
كلوريد الصوديوم 0.9% 4768
kompatibel
حقن Heparin sodium 100 UI/ml
حقن Remifentanil hydrochloride 25 & 250 µg/ml
كلوريد الصوديوم 0.9% 59
kompatibel
حقن Heparin sodium 500 UI/ml
حقن Remifentanil hydrochloride 100 µg/ml
كلوريد الصوديوم 0.9% 3823
kompatibel
حقن Heparin sodium 500 UI/ml
NaHCO3 150
kompatibel
حقن Heparin sodium 1.4 UI/ml
حقن Piperacillin sodium / tazobactam 1.38/0.1725 mg/ml
Physionéal® 2.27 (Baxter) 4180
kompatibel
حقن Heparin sodium 1.4 UI/ml
حقن Piperacillin sodium / tazobactam 1.38/0.1725 mg/ml
Physionéal® 1.36 (Baxter) 4180
kompatibel
حقن Heparin sodium 0.5 UI/ml
حقن Piperacillin sodium / tazobactam 0.5/0.0625 mg/ml
Dianéal® 1.5% glucose (Baxter) 4180
kompatibel
حقن Heparin sodium 1.4 UI/ml
حقن Piperacillin sodium / tazobactam 1.38/0.1725 mg/ml
Physionéal® 3.86 (Baxter) 4180
kompatibel
حقن Heparin sodium 100 UI/ml
حقن Piperacillin sodium / tazobactam 40/5 mg/ml
الجلوكوز %5 81
kompatibel
حقن Heparin sodium 0.5 UI/ml
حقن Piperacillin sodium / tazobactam 0.5/0.0625 mg/ml
Extraneal  (باكستر) 4180
kompatibel
حقن Heparin sodium 500 UI/ml
حقن Potassium chloride 10 mEq/l
كلوريد الصوديوم 0.9% 3823
kompatibel
حقن Heparin sodium 58,34 UI/ml
حقن Potassium chloride 1250 mEq/l
الجلوكوز %5 1289
kompatibel
حقن Heparin sodium
حقن Potassium phosphate
3781
kompatibel
حقن Heparin sodium 1 UI/ml
حقن Procainamide hydrochloride 100 mg/ml
الجلوكوز %5 1228
kompatibel
حقن Heparin sodium 1 UI/ml
حقن Prochlorperazine edysilate 5 mg/ml
الجلوكوز %5 1228
kompatibel
حقن Heparin sodium 1 UI/ml
حقن Promethazine hydrochloride 50 mg/ml
الجلوكوز %5 1228
عدم توافق غير محدد غير متوافق
حقن Heparin sodium
حقن Promethazine hydrochloride
3540
عدم استقرار المستحلب بعد ساعة واحدة غير متوافق
حقن Heparin sodium 1000 UI/ml
حقن Propofol
660
kompatibel
حقن Heparin sodium 100 UI/ml
حقن Propofol 10 mg/ml
لا شيء 300
kompatibel
حقن Heparin sodium 1 UI/ml
حقن Propranolol hydrochloride 1 mg/ml
الجلوكوز %5 1228
kompatibel
حقن Heparin sodium 100 UI/ml
حقن Ranitidine hydrochloride 1 mg/ml
314
kompatibel
حقن Heparin sodium 10 & 40 UI/ml
حقن Ranitidine hydrochloride 0.05 & 2 mg/ml
الجلوكوز %5 214
kompatibel
حقن Heparin sodium 416.7 UI/ml
حقن Remifentanil hydrochloride 120 µg/ml
الجلوكوز %5 3294
kompatibel
حقن Heparin sodium 416.7 UI/ml
حقن Remifentanil hydrochloride 120 µg/ml
الجلوكوز %5 3176
عدم توافق غير محدد غير متوافق
حقن Heparin sodium
حقن Reteplase
2212
kompatibel
حقن Heparin sodium 20,458 >> 28,000 UI/ml
التغذية الوريدية (مع الدهون) 1868
عدم توافق غير محدد غير متوافق
حقن Heparin sodium
حقن Reteplase
3540
kompatibel
حقن Heparin sodium 1000 UI/ml
حقن Salbutamol sulfate 1 mg/ml
لا شيء 3216
kompatibel
حقن Heparin sodium 100 UI/ml
حقن Sargramostim 6 §15 µg/ml
كلوريد الصوديوم 0.9% 891
kompatibel
حقن Heparin sodium 100 UI/ml
حقن Sargramostim 10 µg/ml
كلوريد الصوديوم 0.9% 335
kompatibel
حقن Heparin sodium 1 UI/ml
حقن Scopolamine hydrobromide 0.86 mg/ml
كلوريد الصوديوم 0.9% 1228
kompatibel
حقن Heparin sodium 1 UI/ml
حقن Scopolamine hydrobromide 0.86 mg/ml
محلول رينجر  اللاكتات 1228
kompatibel
حقن Heparin sodium 1 UI/ml
حقن Scopolamine hydrobromide 0.86 mg/ml
الجلوكوز %5 1228
kompatibel
حقن Heparin sodium 100 UI/ml
حقن Sildenafil citrate 0,6 mg/ml
الجلوكوز %5 4845
kompatibel
حقن Heparin sodium 100 UI/ml
حقن Sildenafil citrate 0,06 mg/ml
الجلوكوز %5 4845
kompatibel
حقن Heparin sodium 1 UI/ml
حقن Sildenafil citrate 0,4 mg/ml
الجلوكوز %5 3923
kompatibel
حقن Heparin sodium 2 UI/ml
حقن Sildenafil citrate 0,6 mg/ml
الجلوكوز %5 4845
kompatibel
حقن Heparin sodium
كلوريد الصوديوم 0.9% 3540
عدم استقرار فوري للمستحلب غير متوافق
حقن Heparin sodium 100 UI/ml
التغذية الوريدية (مع الدهون) 132
التعكر الفوري غير متوافق
حقن Heparin sodium 100 UI/ml
حقن Sildenafil citrate 0,6 mg/ml
الجلوكوز %5 4845
kompatibel
حقن Heparin sodium 500 UI/ml
حقن Sodium bicarbonate 84 mg/ml
كلوريد الصوديوم 0.9% 3823
kompatibel
حقن Heparin sodium
حقن Sodium bicarbonate
3466
kompatibel
حقن Heparin sodium 500 UI/ml
حقن Sodium bicarbonate 14 mg/ml
لا شيء 150
kompatibel
حقن Heparin sodium 500 UI/ml
حقن Sodium bicarbonate 84 mg/ml
لا شيء 3212
kompatibel
حقن Heparin sodium 208 UI/ml
حقن Spiramycine adipate 0.0625 MUI/ml
كلوريد الصوديوم 0.9% 4254
kompatibel
حقن Heparin sodium 100 UI/ml
حقن Streptokinase 30000 UI/ml
الجلوكوز %5 92
عدم توافق غير محدد غير متوافق
حقن Heparin sodium
حقن Streptomycin sulfate
3540
kompatibel
حقن Heparin sodium 416.7 UI/ml
حقن Sufentanil citrate 0.005 mg/ml
الجلوكوز %5 3294
kompatibel
حقن Heparin sodium 1000 UI/ml
حقن Sugammadex 100 mg/ml
لا شيء 3372
kompatibel
حقن Heparin sodium 10 UI/ml
حقن Tacrolimus 1000 µg/ml
كلوريد الصوديوم 0.9% 479
kompatibel
حقن Heparin sodium 1000 UI/ml
محلول رينجر  اللاكتات 4603
kompatibel
حقن Heparin sodium 1000 UI/ml
حقن Sulbactam/durlobactam 15/15 mg/ml
كلوريد الصوديوم 0.9% 4801
kompatibel
حقن Heparin sodium 1000 UI/ml
حقن Tedizolid phosphate 0.8 mg/ml
كلوريد الصوديوم 0.9% 3827
kompatibel
حقن Heparin sodium 10 >> 10000 UI/ml
حقن Teicoplanine 0.02 >> 10 mg/ml
كلوريد الصوديوم 0.9% 2057
التعكر الفوري غير متوافق
حقن Heparin sodium 1000 UI/ml
حقن Telavancin hydrochloride 7,5 mg/ml
الجلوكوز %5 3254
التعكر الفوري غير متوافق
حقن Heparin sodium 1000 UI/ml
حقن Telavancin hydrochloride 7,5 mg/ml
كلوريد الصوديوم 0.9% 3254
kompatibel
حقن Heparin sodium 1000 UI/ml
حقن Telavancin hydrochloride 7.5 mg/ml
محلول رينجر  اللاكتات 3254
هطول فوري غير متوافق
حقن Heparin sodium 1000 UI/ml
حقن Thiopental sodium 25 mg/ml
كلوريد الصوديوم 0.9% 3767
عدم استقرار فوري للمستحلب غير متوافق
حقن Heparin sodium 1 UI/ml
التغذية الوريدية (مع الدهون) 1391
kompatibel
حقن Heparin sodium 100 UI/ml
حقن Teniposide 0.1 mg/ml
الجلوكوز %5 905
kompatibel
حقن Heparin sodium 50 UI/ml
حقن Theophylline 4 mg/ml
لا شيء 317
kompatibel
حقن Heparin sodium 100 UI/ml
حقن Thiopental sodium 25 mg/ml
314
عدم استقرار فوري للمستحلب غير متوافق
حقن Heparin sodium 100 UI/ml
التغذية الوريدية (مع الدهون) 1415
kompatibel
حقن Heparin sodium 500 UI/ml
حقن Thiopental sodium 60 mg/ml
كلوريد الصوديوم 0.9% 3823
kompatibel
حقن Heparin sodium 100 UI/ml
حقن Thiotepa 1 mg/ml
الجلوكوز %5 249
kompatibel
حقن Heparin sodium 50 UI/ml
حقن Ticarcillin / clavulanic acid 31 mg/ml
لا شيء 317
kompatibel
حقن Heparin sodium 500 UI/ml
حقن Tirofiban 250 µg/ml
كلوريد الصوديوم 0.9% 3823
kompatibel
حقن Heparin sodium 40 & 100 UI/ml
حقن Tirofiban 50 µg/ml
كلوريد الصوديوم 0.9% 1420
kompatibel
حقن Heparin sodium
الجلوكوز %5 3540
kompatibel
حقن Heparin sodium
حقن Tirofiban
1512
kompatibel
حقن Heparin sodium 40 & 100 UI/ml
حقن Tirofiban 50 µg/ml
الجلوكوز %5 1420
عدم توافق غير محدد غير متوافق
حقن Heparin sodium 50 UI/ml
حقن Tobramycin sulfate 0.8 mg/ml
لا شيء 317
عدم توافق غير محدد غير متوافق
حقن Heparin sodium
حقن Tobramycin sulfate
3540
kompatibel
حقن Heparin sodium
حقن Tranexamic acid
5016
عدم توافق غير محدد غير متوافق
حقن Heparin sodium
حقن Triflupromazine hydrochloride
3540
kompatibel
حقن Heparin sodium 500 UI/ml
حقن Urapidil 5 mg/ml
كلوريد الصوديوم 0.9% 3823
هطول فوري غير متوافق
حقن Heparin sodium 0,5 >> 14,3 UI/ml
حقن Vancomycin hydrochloride 6,9 >> 14,3 mg/ml
Dianéal PD1 الجلوكوز%4.25 (باكستر) 2375
عدم توافق غير محدد غير متوافق
حقن Heparin sodium
حقن Vancomycin hydrochloride
3588
عدم توافق غير محدد غير متوافق
حقن Heparin sodium
حقن Vancomycin hydrochloride
3540
kompatibel
حقن Heparin sodium 0,5 >> 14,3 UI/ml
حقن Vancomycin hydrochloride 0,015 >> 6,8 mg/ml
Dianéal PD2 الجلوكوز%2.5 (باكستر) 2375
هطول فوري غير متوافق
حقن Heparin sodium 0,5 >> 14,3 UI/ml
حقن Vancomycin hydrochloride 6,9 >> 14,3 mg/ml
Dianéal PD2 الجلوكوز%2.5 (باكستر) 2375
kompatibel
حقن Heparin sodium 10 UI/ml
حقن Vancomycin hydrochloride 0.025 mg/ml
حقن المياه لل 3125
kompatibel
حقن Heparin sodium 0,5 >> 14,3 UI/ml
حقن Vancomycin hydrochloride 0,015 >> 6,8 mg/ml
Dianéal PD1 الجلوكوز%4.25 (باكستر) 2375
عدم توافق غير محدد غير متوافق
حقن Heparin sodium 50 UI/ml
حقن Vancomycin hydrochloride 6.6 mg/ml
لا شيء 317
kompatibel
حقن Heparin sodium 100 UI/ml
حقن Vancomycin hydrochloride 0.025 mg/ml
كلوريد الصوديوم 0.9% 1414
kompatibel
حقن Heparin sodium 10 UI/ml
حقن Vancomycin hydrochloride 2 mg/ml
كلوريد الصوديوم 0.9% 2037
هطول فوري غير متوافق
حقن Heparin sodium 100 UI/ml
حقن Vancomycin hydrochloride 10 mg/ml
 التغذية الوريدية (خالية من الدهن) 132
kompatibel
حقن Heparin sodium 5000 UI/ml
حقن Vancomycin hydrochloride 2.5 mg/ml
كلوريد الصوديوم 0.9% 2037
kompatibel
حقن Heparin sodium 100 UI/ml
حقن Vancomycin hydrochloride 0.025 mg/ml
كلوريد الصوديوم 0.9% 895
kompatibel
حقن Heparin sodium 100 UI/ml
حقن Vasopressin 2 & 4 UI/ml
كلوريد الصوديوم 0.9% 1801
kompatibel
حقن Heparin sodium 100 UI/ml
حقن Vecuronium bromide 1 mg/ml
314
kompatibel
حقن Heparin sodium 40 UI/ml
حقن Vecuronium bromide 0.1 mg/ml
الجلوكوز %5 402
kompatibel
حقن Heparin sodium 20 UI/ml
حقن Verapamil hydrochloride 0.08 mg/ml
كلوريد الصوديوم 0.9% 1057
kompatibel
حقن Heparin sodium 20 UI/ml
حقن Verapamil hydrochloride 0.08 mg/ml
الجلوكوز %5 1057
عدم توافق غير محدد غير متوافق
حقن Heparin sodium
حقن Vinblastine sulfate
3540
kompatibel
حقن Heparin sodium 1000 UI/ml
حقن Vinblastine sulfate 1 mg/ml
763
kompatibel
حقن Heparin sodium 1000 UI/ml
حقن Vincristine sulfate 1 mg/ml
763
kompatibel
حقن Heparin sodium 100 UI/ml
حقن Vinorelbine tartrate 1 mg/ml
كلوريد الصوديوم 0.9% 84
kompatibel
حقن Heparin sodium 100 UI/ml
حقن Vinorelbine tartrate 1 mg/ml
كلوريد الصوديوم 0.9% 1070
هطول فوري غير متوافق
حقن Heparin sodium 10 & 100 UI/ml
حقن Vinorelbine tartrate 2 & 3 mg/ml
كلوريد الصوديوم 0.9% 1070
kompatibel
حقن Heparin sodium 208 UI/ml
حقن Voriconazole 8 mg/ml
الجلوكوز %5 4254
kompatibel
حقن Heparin sodium 208 UI/ml
حقن Voriconazole 8 mg/ml
كلوريد الصوديوم 0.9% 4254
kompatibel
حقن Heparin sodium 100 UI/ml
حقن Warfarin sodium 2 mg/ml
الجلوكوز %5 315
kompatibel
حقن Heparin sodium 100 UI/ml
حقن Zidovudine 4 mg/ml
الجلوكوز %5 337

  Mentions Légales