Dernière mise à jour :
27/01/2026
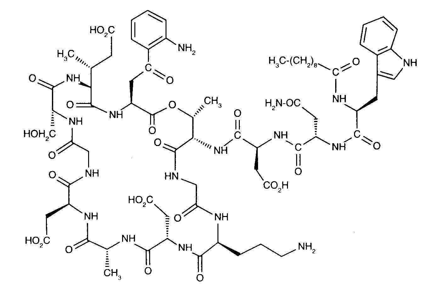
Antibiotique   Daptomycin  
injectable
Stabilité des solutions Stabilité en mélange Facteur influençant la stabilité Compatibilités Voie d’administration Bibliographie pdf
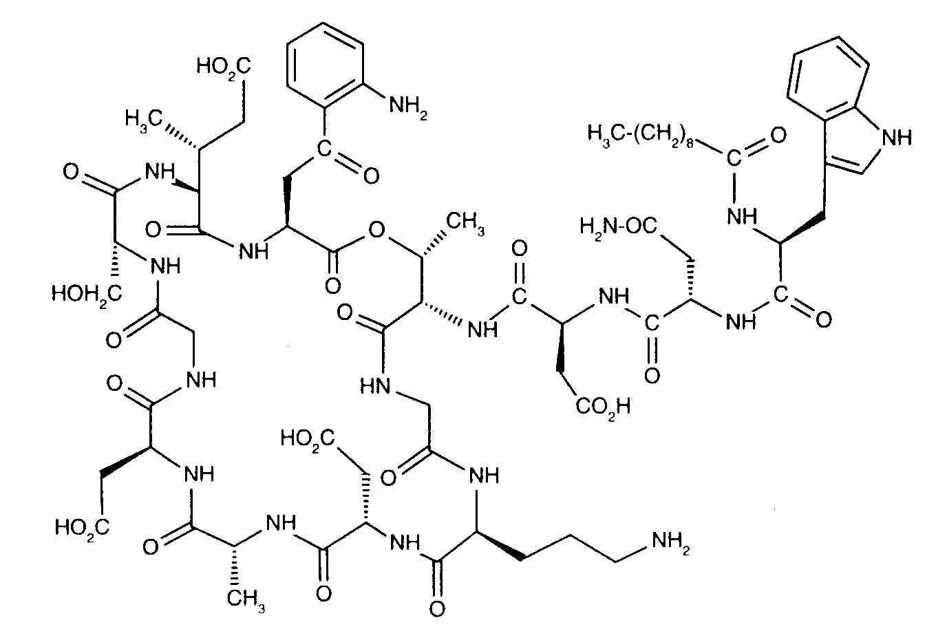
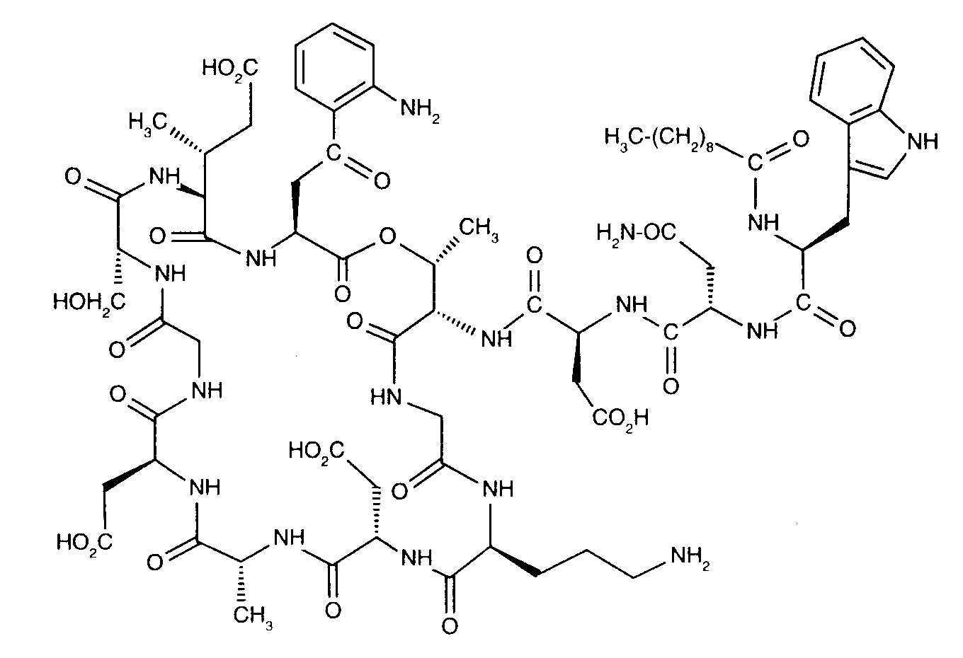
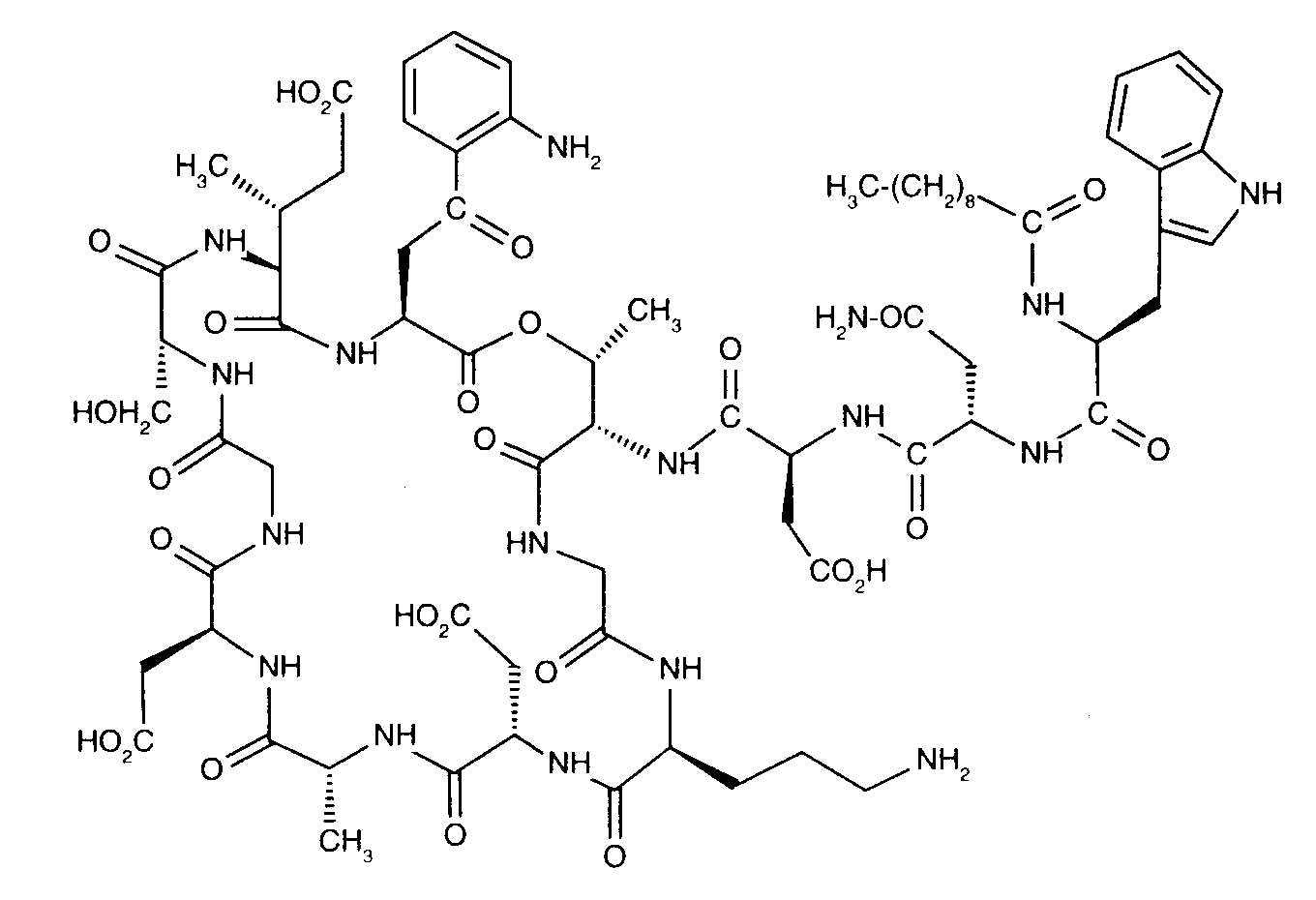
   Structure chimique  

Noms commerciaux   Noms commerciaux     

Les noms commerciaux sont donnés à titre indicatif et la composition en excipients peut être différente selon les pays et selon les laboratoires

Cubicin Allemagne, Argentine, Australie, Autriche, Canada, Chili, Colombie, Danemark, Espagne, Etats Unis d’Amérique, Finlande, France, Grande Bretagne, Grèce, Hongrie, Inde, Irlande, Islande, Italie, Japon, Malaisie, Mexique, Norvège, Nouvelle Zélande, Pays bas, Pologne, Portugal, Roumanie, Suède, Suisse, Turquie, Vénézuela
Daptomicina Argentine, Espagne, Italie
Daptomicine Allemagne, Finlande, Grande Bretagne, Hongrie, Norvège
Exfuno Brésil, Chili
Stenkivar Nigeria
Trisk Brésil
Stabilité des solutions   injectable   Stabilité des solutions : Daptomycin     
Contenant Solvant Concentration Température Conservation Durée de stabilité Bibliographie
Verre Eau pour préparation injectable 50 mg/ml 2-8°C Non précisée
48 Heure
2271
Données de stabilité du fabricant

Verre Eau pour préparation injectable 50 mg/ml 25°C Non précisée
12 Heure
2271
Données de stabilité du fabricant

Verre Chlorure de sodium 0,9% 50 mg/ml 2-8°C Non précisée
48 Heure
2271
Données de stabilité du fabricant

Verre Chlorure de sodium 0,9% 50 mg/ml 2-8°C A l’abri de la lumière
7 Jour
4074
Niveau de preuve C

Verre Chlorure de sodium 0,9% 50 mg/ml 25°C Non précisée
12 Heure
2271
Données de stabilité du fabricant

Verre Chlorure de sodium 0,9% 50 mg/ml 25°C A l’abri de la lumière
2 Jour
4074
Niveau de preuve C

Verre Physionéal® 1.36 (Baxter) 100 mg/ml 25°C A l’abri de la lumière
6 Heure
3218
Niveau de preuve D

Verre Physionéal® 1.36 (Baxter) 100 mg/ml 37°C A l’abri de la lumière
6 Heure
3218
Niveau de preuve D

Verre Physionéal® 1.36 (Baxter) 100 mg/ml 4°C A l’abri de la lumière
24 Heure
3218
Niveau de preuve D

Polyvinyl chlorure Extraneal® (Baxter) 0,070 mg/ml 25°C Non précisée
24 Heure
4936
Niveau de preuve D

Polyvinyl chlorure Extraneal® (Baxter) 0,245 mg/ml 25°C Non précisée
48 Heure
4936
Niveau de preuve D

Polyvinyl chlorure Nutrineal® 50 & 200 mg/ml 37°C A l’abri de la lumière
6 Heure
3218
Niveau de preuve D

Polyvinyl chlorure Nutrineal® 50 & 200 mg/ml 4°C A l’abri de la lumière
24 Heure
3218
Niveau de preuve D

Polyvinyl chlorure Physionéal® 1.36 (Baxter) 0.02 mg/ml 25°C Non précisée
24 Heure
3439
Niveau de preuve D

Polyvinyl chlorure Physionéal® 1.36 (Baxter) 0.02 mg/ml 37°C Non précisée
6 Heure
3439
Niveau de preuve D

Polyvinyl chlorure Physionéal® 1.36 (Baxter) 50 & 200 mg/ml 25°C A l’abri de la lumière
6 Heure
3218
Niveau de preuve D

Polyvinyl chlorure Physionéal® 1.36 (Baxter) 50 & 200 mg/ml 37°C A l’abri de la lumière
6 Heure
3218
Niveau de preuve D

Polyvinyl chlorure Physionéal® 1.36 (Baxter) 50 & 200 mg/ml 4°C A l’abri de la lumière
24 Heure
3218
Niveau de preuve D

Polyvinyl chlorure Physionéal® 2.27 (Baxter) 0.02 mg/ml 25°C Non précisée
24 Heure
3439
Niveau de preuve D

Polyvinyl chlorure Physionéal® 2.27 (Baxter) 0.02 mg/ml 37°C Non précisée
6 Heure
3439
Niveau de preuve D

Polyvinyl chlorure Dianéal® 2.5% glucose (Baxter) 0,070 mg/ml 25°C Non précisée
24 Heure
4936
Niveau de preuve D

Polyvinyl chlorure Dianéal® 2.5% glucose (Baxter) 0,245 mg/ml 25°C Non précisée
12 Heure
4936
Niveau de preuve D

Polypropylène Chlorure de sodium 0,9% 14 mg/ml 2-8°C A l’abri de la lumière
7 Jour
4074
Niveau de preuve C

Polypropylène Chlorure de sodium 0,9% 14 mg/ml 25°C A l’abri de la lumière
4 Jour
4074
Niveau de preuve C

Polypropylène Chlorure de sodium 0,9% 5,6 mg/ml 2-8°C A l’abri de la lumière
7 Jour
4074
Niveau de preuve C

Polypropylène Chlorure de sodium 0,9% 5,6 mg/ml 25°C A l’abri de la lumière
2 Jour
4074
Niveau de preuve C

Non précisé Chlorure de sodium 0,9% ? mg/ml 2-8°C Non précisée
24 Heure
2271
Données de stabilité du fabricant

Non précisé Chlorure de sodium 0,9% ? mg/ml 25°C Non précisée
12 Heure
2271
Données de stabilité du fabricant


  Mentions Légales