Last update :
07/01/2026
Antidote   Sugammadex  
injection
Stability in solutions Stability of mixtures Factors which affect stability Compatibility Route of administration References pdf
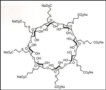
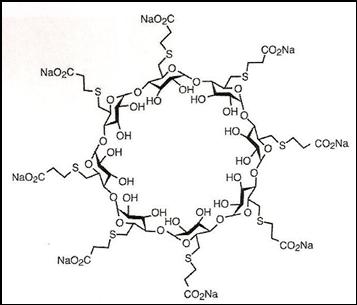
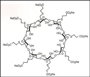
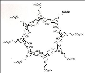
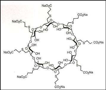
   Chemical structure  

Tradename   Tradename     

Trade names are indicative and excipients composition can be different depending on the country and manufacturers

Bridion Argentina, Australia, Belgium, Brazil, Chile, Colombia, Denmark, Ecuador, France, Germany, Great Britain, Hungary, Iceland, Ireland, Italy, Japan, Luxembourg, Malaysia, Mexico, New Zealand, Norway, Peru, Portugal, Romania, Spain, Switzerland, Turkey
Desintunev Mexico
Sagomyl Chile
Sugadion Chile
Sugamastar Peru
Sugammadex Belgium, Chile, Finland, Hungary, Ireland, Italy, Spain
Suvitali Mexico
Stability in solutions   injection   Stability in solutions : Sugammadex     
Container Solvent Concentration Temperature Storage Duration of stability References
Not specified Sodium chloride 0,9% 10 mg/ml 2-8°C Not specified
48 Hour
2328
Manufacturer's stability data

Not specified Sodium chloride 0,9% 10 mg/ml 25°C Not specified
48 Hour
2328
Manufacturer's stability data


  Mentions Légales