Ultimele actualizari :
18/03/2026
Antibiotic   Erythromycin lactobionate  
Injectabil
Stabilitatea in solutie Stabilitatea in amestec Factorii care influenteaza stabilitatea Compatibilitate Microunde Bibliografie pdf
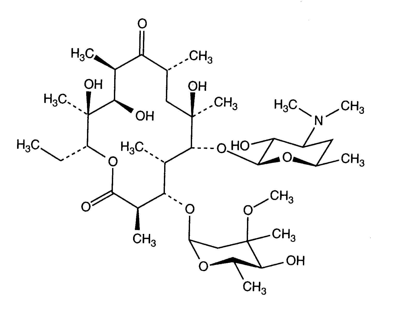
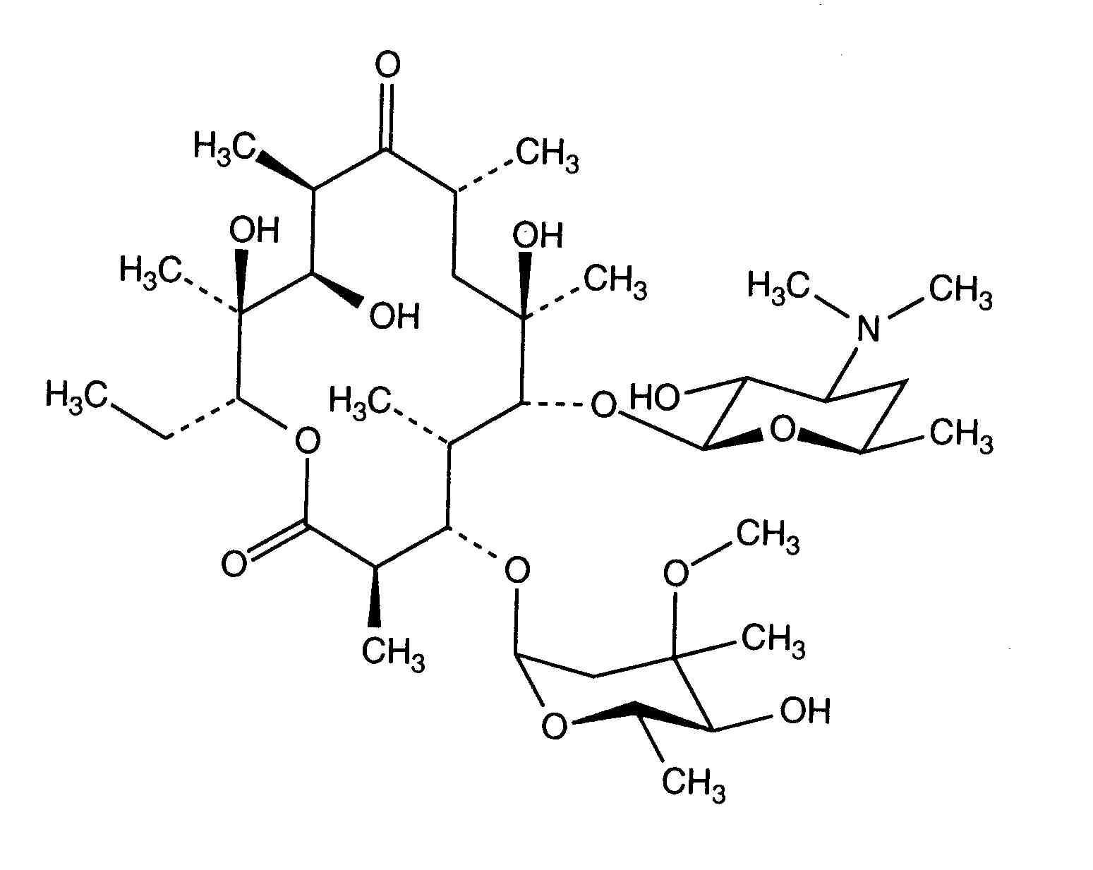
   Formula chimica  

Denumirea comerciala   Denumirea comerciala     

Trade names are indicative and excipients composition can be different depending on the country and manufacturers

Abboticin Danemarca, Finlanda, Norvegia, Suedia
Eristin Argentina
Erithromicina Chilli
Erycinum Germania
Erythrocin Arabia Saudita, Australia, Austria, Canada, Germania, Irlanda, Marea Britanie, noua Zeelandă, SUA
Erythrocin lactobionat ADD Vantage Australia, Austria
Erythrocine Belgia, Franta, Luxemburg, Olanda, Tunisia
Erythromycin Arabia Saudita, Germania, Marea Britanie, SUA, Ungaria
Erythromycine Luxemburg
Erythromycinum Polonia
Pantomicina Chilli, Spania
Stabilitatea in solutie   Injectabil   Stabilitatea in solutie : Erythromycin lactobionate     
Continut Solvent Concentratie Temperatura Conservare Durata stabilității Bibiografie
sticla apa pentru preparate injectabile 50 mg/ml 2-8°C Neprecizat
24 Ora
3674
Documentele de stabilitate ale producătorului

clorura de polivinil clorura de sodiu 0,9% ? mg/ml 5°C Ferit de lumina
60 Ziua
1154
Nivel de evidență D

clorura de polivinil clorura de sodiu 0,9% 10 mg/ml -20°C Ferit de lumina
30 Ziua
573
Analiza biologică

clorura de polivinil clorura de sodiu 0,9% 4,54 mg/ml -20°C Ferit de lumina
365 Ziua
22
Nivel de evidență A+

clorura de polivinil Glucoza 5% 10 mg/ml -20°C Ferit de lumina
30 Ziua
573
Analiza biologică


  Mentions Légales