Última actualização :
18/03/2026
Anticoagulante   Heparin sodium  
injetável
Estabilidade em soluções simples Estabilidade em misturas Factores que afectam a sua estabilidade Compatibilidade Método de administração Bibliografía pdf
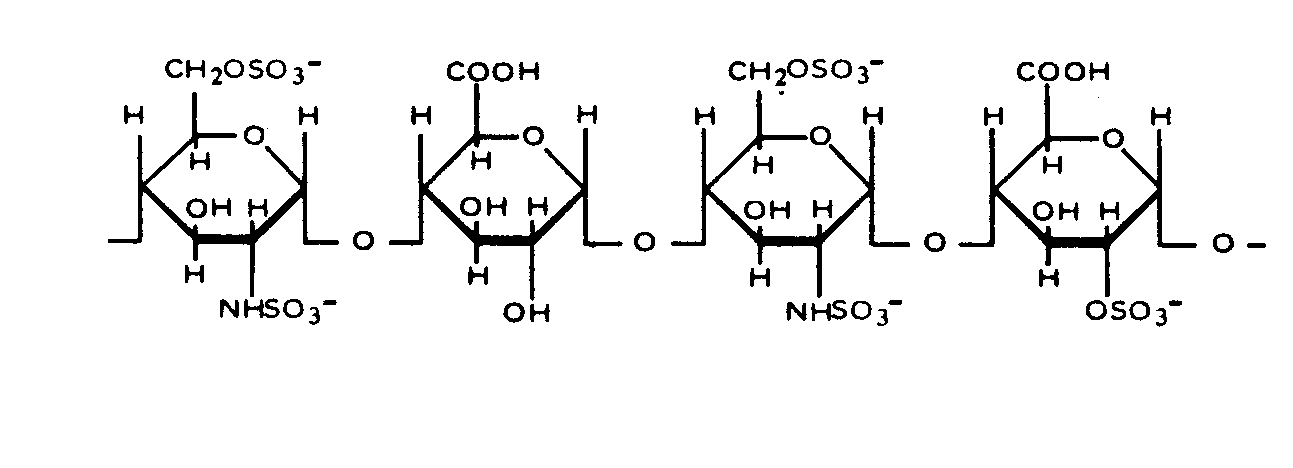
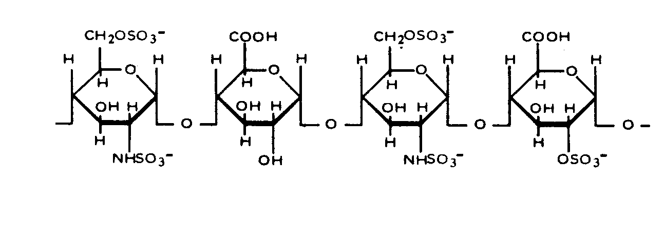
   estrutura química  

Nomes comerciais nos diversos países   Nomes comerciais nos diversos países     

OS NOMES COMERCIAIS SÃO INDICATIVOS E OS EXCIPIENTES DA FORMULAÇÃO PODEM SER DIFERENTES CONFORME O PAÍS E FABRICANTE.

Arapin Chilli
Ateroclar Itália
Clarisco Itália
Epsoclar Itália
Hepaflex Finlandia, Noruega
Hepamax Chilli, Colômbia, Equator
Heparin Africa do sul, Austria, Canadá, Dinamarca, Estados Unidos de América, Finlandia, Gran-bretanha, Grècia, Hungria, Jugoslavia, Noruega, Países Baixos, russo, Suècia, Suicia, Tailandia, Turquia
Heparine Bélgica, França
Heparinised Australia
Heparstad Alemanha
Liquemin Suicia, Turquia
Liquemine Brasil
Monoparin Arábia Saudita
Normoparin Itália
Nuparin Equator
Pharepa Itália
Riveparin Argentina
Sobrius Argentina, Equator
Thrombophob Alemanha
Compatibilidade   injetável   Compatibilidade : Heparin sodium              
Este ecrã indica as compatibilidades ou incompatibilidades com, neste caso, o tipo de incompatibilidade (precipitação, mudança de cor, modificação de uma emulsão, etc.). As compatibilidades mostradas aqui são principalmente físicas, com a estabilidade química de cada molécula raramente sendo avaliada. A avaliação dessas misturas foi estudada para considerar a possibilidade de administração do local Y ao paciente. Estes dados não podem ser usados para fazer misturas antecipadamente em sacos ou seringas. Este tipo de informação está disponível na tela “Estabilidade na mistura».
molécula Solvente Bibliografia
Compatível
injetável Heparin sodium 100 UI/ml
injetável Aciclovir sodium 5 mg/ml
cloreto de sódio 0,9% 2335
Compatível
injetável Heparin sodium 50 UI/ml
injetável Aciclovir sodium 5 mg/ml
Glucose 5% 336
Compatível
injetável Heparin sodium 100 UI/ml
injetável Aldesleukin 0.0338 MUI/ml
Glucose 5% 36
Compatível
injetável Heparin sodium 100 UI/ml
injetável Allopurinol sodium 3 mg/ml
cloreto de sódio 0,9% 307
Compatível
injetável Heparin sodium 1 UI/ml
injetável Alprostadil 20 µg/ml
cloreto de sódio 0,9% 4491
Compatível
injetável Heparin sodium 1 UI/ml
injetável Alprostadil 20 µg/ml
Glucose 5% 4651
Precipitação após 24 horas Incompatível
injetável Heparin sodium 100 UI/ml
injetável Alteplase 1 mg/ml
Agua para injectaveis 92
Incompatibilidade não especificada Incompatível
injetável Heparin sodium
injetável Alteplase
3540
Precipitação imediata Incompatível
injetável Heparin sodium 40 UI/ml
injetável Alteplase 0.5 mg/ml
Agua para injectaveis 240
Incompatibilidade não especificada Incompatível
injetável Heparin sodium
injetável Alteplase
3616
Compatível
injetável Heparin sodium 100 UI/ml
injetável Amifostine 10 mg/ml
Glucose 5% 3
Precipitação imediata Incompatível
injetável Heparin sodium
injetável Amikacin sulfate
1022
Incompatibilidade não especificada Incompatível
injetável Heparin sodium
injetável Amikacin sulfate
3549
Incompatibilidade não especificada Incompatível
injetável Heparin sodium
injetável Amikacin sulfate
3540
Incompatibilidade não especificada Incompatível
injetável Heparin sodium 500 UI/ml
injetável Amiodarone hydrochloride 15 mg/ml
cloreto de sódio 0,9% 3823
Incompatibilidade não especificada Incompatível
injetável Heparin sodium
injetável Amiodarone hydrochloride
3540
Turvação imediata Incompatível
injetável Heparin sodium 500 UI/ml
injetável Amiodarone hydrochloride 15 mg/ml
cloreto de sódio 0,9% 3463
Incompatibilidade não especificada Incompatível
injetável Heparin sodium
injetável Amiodarone hydrochloride
3464
Incompatibilidade não especificada Incompatível
injetável Heparin sodium 500 UI/ml
injetável Amiodarone hydrochloride 15 mg/ml
Glucose 5% 3823
Turvação imediata Incompatível
injetável Heparin sodium 500 UI/ml
injetável Amiodarone hydrochloride 15 mg/ml
Glucose 5% 3463
Compatível
injetável Heparin sodium 208 UI/ml
injetável Amoxicillin sodium 20.83 & 83.3 mg/ml
cloreto de sódio 0,9% 4254
Compatível
injetável Heparin sodium 1000 UI/ml
injetável Amoxicillin sodium / clavulanic acid 100/10 mg/ml
3824
Compatível
injetável Heparin sodium
injetável Ampicillin sodium
5088
Compatível
injetável Heparin sodium 50 UI/ml
injetável Ampicillin sodium 20 mg/ml
nenhum 317
Compatível
injetável Heparin sodium 50 UI/ml
injetável Ampicillin sodium - sulbactam sodium 30 mg/ml
nenhum 317
Precipitação imediata Incompatível
injetável Heparin sodium 40 UI/ml
injetável Amsacrine 1 mg/ml
Glucose 5% 253
Compatível
injetável Heparin sodium 100 UI/ml
injetável Anidulafungin 0.5 mg/ml
Glucose 5% 1982
Precipitação imediata Incompatível
injetável Heparin sodium
injetável Antithymocyte globulin (rabbit)
4958
Precipitação imediata Incompatível
injetável Heparin sodium 2 UI/ml
injetável Antithymocyte globulin (rabbit) 0,2 & 0,3 mg/ml
Glucose 5% 1822
Compatível
injetável Heparin sodium 100 UI/ml
injetável Antithymocyte globulin (rabbit) 0,2 & 0,3 mg/ml
Glucose 5% 1822
Compatível
injetável Heparin sodium 2 & 100 UI/ml
injetável Antithymocyte globulin (rabbit) 0,2 & 0,3 mg/ml
cloreto de sódio 0,9% 1822
Compatível
injetável Heparin sodium 40 UI/ml
injetável Atracurium besylate 0.5 mg/ml
Glucose 5% 402
Compatível
injetável Heparin sodium 1 UI/ml
injetável Atropine sulfate 0.5 mg/ml
Glucose 5% 1228
Compatível
injetável Heparin sodium 500 UI/ml
Nutrição parenteral (com lípidos) 4507
Precipitação imediata Incompatível
injetável Heparin sodium 1000 UI/ml
injetável Amphotericin B cholesteryl sulfate complex 0.83 mg/ml
Glucose 5% 921
Incompatibilidade não especificada Incompatível
injetável Heparin sodium
injetável Ampicillin sodium
3540
Compatível
injetável Heparin sodium 10 & 5000 UI/ml
injetável Ampicillin sodium 10 mg/ml
cloreto de sódio 0,9% 2037
Compatível
injetável Heparin sodium 1 UI/ml
injetável Atropine sulfate 0.5 mg/ml
Ringer lactato 1228
Compatível
injetável Heparin sodium 1 UI/ml
injetável Atropine sulfate 0.5 mg/ml
cloreto de sódio 0,9% 1228
Compatível
injetável Heparin sodium 100 UI/ml
injetável Aztreonam 40 mg/ml
Glucose 5% 99
Compatível
injetável Heparin sodium 50 UI/ml
injetável Aztreonam 20 mg/ml
nenhum 317
Compatível
injetável Heparin sodium 1 UI/ml
injetável Betamethasone sodium phosphate 3 mg/ml
cloreto de sódio 0,9% 1228
Compatível
injetável Heparin sodium 1 UI/ml
injetável Betamethasone sodium phosphate 3 mg/ml
Glucose 5% 1228
Compatível
injetável Heparin sodium 1 UI/ml
injetável Betamethasone sodium phosphate 3 mg/ml
Ringer lactato 1228
Compatível
injetável Heparin sodium 100 UI/ml
injetável Bivalirudin 5 mg/ml
Glucose 5% 1713
Precipitação imediata Incompatível
injetável Heparin sodium 192.3 UI/ml
injetável Blinatumomab 0.125 & 0.375 µg/ml
cloreto de sódio 0,9% 3976
Compatível
injetável Heparin sodium 1000 UI/ml
injetável Caffeine 10 mg/ml
nenhum 3964
Compatível
injetável Heparin sodium 100 UI/ml
injetável Caffeine 10 mg/ml
cloreto de sódio 0,9% 4837
Compatível
injetável Heparin sodium 100 UI/ml
injetável Caffeine citrate 20 mg/ml
cloreto de sódio 0,9% 4837
Precipitação após 30 minutos Incompatível
injetável Heparin sodium 2 UI/ml
injetável Calcium chloride 20 mg/ml
Glucose 5% 4732
Compatível
injetável Heparin sodium 100 UI/ml
injetável Calcium chloride 20 mg/ml
Glucose 5% 4732
Instabilidade imediata da emulsão Incompatível
injetável Heparin sodium
injetável Calcium chloride
Nutrição parenteral (com lípidos) 1084
Instabilidade imediata da emulsão Incompatível
injetável Heparin sodium
injetável Calcium gluconate
Nutrição parenteral (com lípidos) 1084
Precipitação imediata Incompatível
injetável Heparin sodium 100 UI/ml
injetável Caspofungin acetate 0.5 mg/ml
cloreto de sódio 0,9% 2233
Precipitação imediata Incompatível
injetável Heparin sodium 100 UI/ml
injetável Caspofungin acetate 0,7 mg/ml
cloreto de sódio 0,9% 2247
Incompatibilidade não especificada Incompatível
injetável Heparin sodium
injetável Cefalotin sodium
3540
Compatível
injetável Heparin sodium 10 & 5000 UI/ml
injetável Cefazolin sodium 10 mg/ml
cloreto de sódio 0,9% 2037
Compatível
injetável Heparin sodium 50 UI/ml
injetável Cefazolin sodium 20 mg/ml
nenhum 317
Compatível
injetável Heparin sodium 0.667 UI/ml
injetável Cefazolin sodium 0.333 mg/ml
Dianéal® PD2 1.5% Glucose (Baxter) 1979
Compatível
injetável Heparin sodium 10 & 50 UI/ml
injetável Cefepime dihydrochloride 4 mg/ml
cloreto de sódio 0,9% 3548
Compatível
injetável Heparin sodium 10 & 50 UI/ml
injetável Cefepime dihydrochloride 4 mg/ml
Glucose 5% 3548
Compatível
injetável Heparin sodium 1000 UI/ml
injetável Cefiderocol sulfate tosylate 20 mg/mL
Glucose 5% 4528
Compatível
injetável Heparin sodium 1000 UI/ml
injetável Cefiderocol sulfate tosylate 20 mg/mL
cloreto de sódio 0,9% 4528
Instabilidade química Incompatível
injetável Heparin sodium 100 UI/ml
injetável Cefmetazole sodium 100 mg/ml
Agua para injectaveis 93
Compatível
injetável Heparin sodium 208 UI/ml
injetável Cefotaxime sodium 41.6 & 125 mg/ml
Glucose 5% 4254
Compatível
injetável Heparin sodium 208 UI/ml
injetável Cefotaxime sodium 41.6 & 125 mg/ml
cloreto de sódio 0,9% 4254
Compatível
injetável Heparin sodium 5000 UI/ml
injetável Cefotaxime sodium 10 mg/ml
Agua para injectaveis 3125
Compatível
injetável Heparin sodium 100 UI/ml
injetável Ceftaroline fosamil 2,22 mg/ml
Ringer lactato 3249
Compatível
injetável Heparin sodium 100 UI/ml
injetável Ceftaroline fosamil 2,22 mg/ml
cloreto de sódio 0,9% 3249
Compatível
injetável Heparin sodium 100 UI/ml
injetável Ceftaroline fosamil 2,22 mg/ml
Glucose 5% 3249
Compatível
injetável Heparin sodium 0.5 UI/ml
injetável Ceftazidime 0.125 mg/ml
Extraneal® (Baxter) 4056
Compatível
injetável Heparin sodium 0.5 UI/ml
injetável Ceftazidime 0.125 mg/ml
Dianéal® PD2 4.25% Glucose (Baxter) 4056
Compatível
injetável Heparin sodium 50 UI/ml
injetável Ceftazidime 20 mg/ml
nenhum 317
Compatível
injetável Heparin sodium 0.5 UI/ml
injetável Ceftazidime 0.125 mg/ml
Dianéal® PD2 2.5% glucose (Baxter) 4056
Compatível
injetável Heparin sodium 100 UI/ml
injetável Ceftobiprole medocaril sodium 2 mg/ml
cloreto de sódio 0,9% 2269
Compatível
injetável Heparin sodium 100 UI/ml
injetável Ceftobiprole medocaril sodium 2 mg/ml
Glucose 5% 2269
Compatível
injetável Heparin sodium 100 UI/ml
injetável Ceftobiprole medocaril sodium 2 mg/ml
Ringer lactato 2269
Compatível
injetável Heparin sodium 1000 UI/ml
injetável Ceftolozane / tazobactam 10/5 mg/ml
cloreto de sódio 0,9% 3828
Compatível
injetável Heparin sodium 1000 UI/ml
injetável Ceftolozane / tazobactam 10/5 mg/ml
Glucose 5% 3828
Compatível
injetável Heparin sodium 50 UI/ml
injetável Ceftriaxone disodium 20 mg/ml
nenhum 317
Compatível
injetável Heparin sodium 10 & 50 UI/ml
injetável Cefuroxime sodium
cloreto de sódio 0,9% 3687
Compatível
injetável Heparin sodium 58,34 UI/ml
injetável Chlorpromazine hydrochloride 0,26 mg/ml
Glucose 5% 1289
Compatível
injetável Heparin sodium 1 UI/ml
injetável Chlorpromazine hydrochloride 10 mg/ml
cloreto de sódio 0,9% 1228
Compatível
injetável Heparin sodium 1 UI/ml
injetável Chlorpromazine hydrochloride 10 mg/ml
Glucose 5% 1228
Incompatibilidade não especificada Incompatível
injetável Heparin sodium
injetável Chlorpromazine hydrochloride
3540
Compatível
injetável Heparin sodium 1 UI/ml
injetável Chlorpromazine hydrochloride 10 mg/ml
Ringer lactato 1228
Compatível
injetável Heparin sodium 50 UI/ml
injetável Cimetidine hydrochloride 6 mg/ml
nenhum 317
Compatível
injetável Heparin sodium 5000 & 10000 UI/ml
injetável Ciprofloxacin lactate 0.4 & 0.6 mg/ml
cloreto de sódio 0,9% 2057
Precipitação imediata Incompatível
injetável Heparin sodium 10 >> 10000 UI/ml
injetável Ciprofloxacin lactate 1 mg/ml
cloreto de sódio 0,9% 2057
Precipitação imediata Incompatível
injetável Heparin sodium 10 & 100 UI/ml
injetável Ciprofloxacin lactate 0.2 mg/ml
cloreto de sódio 0,9% 2057
Incompatibilidade não especificada Incompatível
injetável Heparin sodium
injetável Ciprofloxacin lactate
3540
Precipitação imediata Incompatível
injetável Heparin sodium 10 >> 1000 UI/ml
injetável Ciprofloxacin lactate 0.4 & 0.6 mg/ml
cloreto de sódio 0,9% 2057
Compatível
injetável Heparin sodium 1000 >> 10000 UI/ml
injetável Ciprofloxacin lactate 0.2 mg/ml
cloreto de sódio 0,9% 2057
Precipitação imediata Incompatível
injetável Heparin sodium 10 >> 5000 UI/ml
injetável Ciprofloxacin lactate 0.8 mg/ml
cloreto de sódio 0,9% 2057
Compatível
injetável Heparin sodium 10 >> 10000 UI/ml
injetável Ciprofloxacin lactate 0.1 mg/ml
cloreto de sódio 0,9% 2057
Precipitação imediata Incompatível
injetável Heparin sodium 100 UI/ml
injetável Ciprofloxacin lactate 2 mg/ml
cloreto de sódio 0,9% 288
Incompatibilidade não especificada Incompatível
injetável Heparin sodium
injetável Ciprofloxacin lactate
3529
Precipitação imediata Incompatível
injetável Heparin sodium 100 UI/ml
injetável Ciprofloxacin lactate 2 mg/ml
Glucose 5% 288
Precipitação imediata Incompatível
injetável Heparin sodium 10 >> 1000 UI/ml
injetável Ciprofloxacin lactate 2 mg/ml
cloreto de sódio 0,9% 289
Turvação imediata Incompatível
injetável Heparin sodium 10 UI/ml
injetável Ciprofloxacin lactate 2 mg/ml
nenhum 1393
Compatível
injetável Heparin sodium 10000 UI/ml
injetável Ciprofloxacin lactate 0.8 mg/ml
cloreto de sódio 0,9% 2057
Compatível
injetável Heparin sodium 100 UI/ml
injetável Cisatracurium besylate 0.1 & 2 mg/ml
Glucose 5% 299
Precipitação imediata Incompatível
injetável Heparin sodium 100 UI/ml
injetável Cisatracurium besylate 5 mg/ml
Glucose 5% 299
Mudança de cor Incompatível
injetável Heparin sodium 500 UI/ml
injetável Cisatracurium besylate 5 mg/ml
cloreto de sódio 0,9% 3463
Incompatibilidade não especificada Incompatível
injetável Heparin sodium 500 UI/ml
injetável Cisatracurium besylate 5 mg/ml
cloreto de sódio 0,9% 3823
Incompatibilidade não especificada Incompatível
injetável Heparin sodium
injetável Cisatracurium besylate
3540
Compatível
injetável Heparin sodium 100 UI/ml
injetável Cladribine 0.5 mg/ml
NaCl 0,9% + bacteriostático 1496
Compatível
injetável Heparin sodium 100 UI/ml
injetável Cladribine 0.015 mg/ml
cloreto de sódio 0,9% 1496
Compatível
injetável Heparin sodium 50 UI/ml
injetável Clindamycin phosphate 12 mg/ml
nenhum 317
Compatível
injetável Heparin sodium 50 UI/ml
injetável Clonidine hydrochloride 0.0075 mg/ml
cloreto de sódio 0,9% 1506
Compatível
injetável Heparin sodium 50 UI/ml
injetável Clonidine hydrochloride 0.0075 mg/ml
Glucose 5% 1506
Compatível
injetável Heparin sodium 100 UI/ml
injetável Cloxacillin sodium 100 mg/ml
Agua para injectaveis 3012
Precipitação após 4 horas Incompatível
injetável Heparin sodium 208 UI/ml
injetável Co-trimoxazole 3.2/0.64 & 80/16 mg/ml
cloreto de sódio 0,9% 4254
Precipitação após 4 horas Incompatível
injetável Heparin sodium 208 UI/ml
injetável Co-trimoxazole 3.2/0.64 & 80/16 mg/ml
Glucose 5% 4254
Compatível
injetável Heparin sodium 1 UI/ml
injetável Cyanocobalamine 0.1 mg/ml
Ringer lactato 1228
Compatível
injetável Heparin sodium 1 UI/ml
injetável Cyanocobalamine 0.1 mg/ml
Glucose 5% 1228
Compatível
injetável Heparin sodium 1 UI/ml
injetável Cyanocobalamine 0.1 mg/ml
cloreto de sódio 0,9% 1228
Incompatibilidade não especificada Incompatível
injetável Heparin sodium
injetável Cytarabine
3540
Incompatibilidade não especificada Incompatível
injetável Heparin sodium
injetável Cytarabine
3580
Incompatibilidade não especificada Incompatível
injetável Heparin sodium
injetável Dacarbazine
3605
Precipitação imediata Incompatível
injetável Heparin sodium 100 UI/ml
injetável Dacarbazine 25 mg/ml
cloreto de sódio 0,9% 860
Incompatibilidade não especificada Incompatível
injetável Heparin sodium
injetável Dacarbazine
3267
Incompatibilidade não especificada Incompatível
injetável Heparin sodium
injetável Dacarbazine
3540
Compatível
injetável Heparin sodium
injetável Daptomycin
2271
Compatível
injetável Heparin sodium 98 UI/ml
injetável Daptomycin 19,6 mg/ml
cloreto de sódio 0,9% 1937
Precipitação imediata Incompatível
injetável Heparin sodium
injetável Daunorubicin hydrochloride
3604
Incompatibilidade não especificada Incompatível
injetável Heparin sodium
injetável Daunorubicin hydrochloride
3540
Precipitação imediata Incompatível
injetável Heparin sodium
injetável Daunorubicin hydrochloride liposome
3577
Turvação imediata Incompatível
injetável Heparin sodium
injetável Daunorubicin/cytarabine liposomale 0,4 mg/mL
cloreto de sódio 0,9% 4654
Compatível
injetável Heparin sodium 373 UI/ml
injetável Defibrotide 8 mg/ml
cloreto de sódio 0,9% 3728
Compatível
injetável Heparin sodium 50 UI/ml
injetável Dexamethasone sodium phosphate 0.08 mg/ml
nenhum 317
Compatível
injetável Heparin sodium
injetável Dexketoprofen
4981
Compatível
injetável Heparin sodium 100 UI/ml
injetável Dexmedetomidine 4 µg/ml
cloreto de sódio 0,9% 1712
Compatível
injetável Heparin sodium 10000 UI/ml
injetável Diatrizoate meglumine 283 mg/ml
nenhum 1085
Incompatibilidade não especificada Incompatível
injetável Heparin sodium
injetável Diazepam
3540
Compatível
injetável Heparin sodium 100 UI/ml
injetável Diltiazem hydrochloride 1 mg/ml
314
Precipitação imediata Incompatível
injetável Heparin sodium 20000 UI/ml
injetável Diltiazem hydrochloride 5 mg/ml
cloreto de sódio 0,9% 198
Compatível
injetável Heparin sodium 100 UI/ml
injetável Diltiazem hydrochloride 1 mg/ml
Glucose 5% 4556
Turvação imediata Incompatível
injetável Heparin sodium 100 UI/ml
injetável Diltiazem hydrochloride 5 mg/ml
Glucose 5% 4556
Compatível
injetável Heparin sodium 20000 UI/ml
injetável Diltiazem hydrochloride 1 mg/ml
cloreto de sódio 0,9% 198
Compatível
injetável Heparin sodium
injetável Diltiazem hydrochloride
5090
Compatível
injetável Heparin sodium 80 >> 10000 UI/ml
injetável Diltiazem hydrochloride 1 & 5 mg/ml
cloreto de sódio 0,9% 198
Precipitação imediata Incompatível
injetável Heparin sodium
injetável Dimenhydrinate
2087
Compatível
injetável Heparin sodium 1 UI/ml
injetável Diphenhydramine hydrochloride 50 mg/ml
cloreto de sódio 0,9% 1228
Compatível
injetável Heparin sodium 1 UI/ml
injetável Diphenhydramine hydrochloride 50 mg/ml
Glucose 5% 1228
Compatível
injetável Heparin sodium 1 UI/ml
injetável Diphenhydramine hydrochloride 50 mg/ml
Ringer lactato 1228
Precipitação após 4 horas Incompatível
injetável Heparin sodium 100 UI/ml
injetável Dobutamine hydrochloride 4 mg/ml
314
Compatível
injetável Heparin sodium 40 UI/ml
injetável Dobutamine hydrochloride 1 mg/ml
cloreto de sódio 0,9% 1058
Compatível
injetável Heparin sodium 100 UI/ml
injetável Dobutamine hydrochloride 2 mg/ml
Glucose 5% 1041
Precipitação imediata Incompatível
injetável Heparin sodium 100 UI/ml
injetável Dobutamine hydrochloride 2 mg/ml
Glucose 5% 1352
Turvação imediata Incompatível
injetável Heparin sodium 100 UI/ml
injetável Dobutamine hydrochloride 4 mg/ml
Glucose 5% 295
Precipitação imediata Incompatível
injetável Heparin sodium
injetável Dobutamine hydrochloride
3540
Mudança de cor após 6 horas Incompatível
injetável Heparin sodium 10000 UI/ml
injetável Dobutamine hydrochloride 2 mg/ml
Glucose 5% 1041
Compatível
injetável Heparin sodium 40 UI/ml
injetável Dobutamine hydrochloride 1 mg/ml
Glucose 5% 1058
Compatível
injetável Heparin sodium 50 UI/ml
injetável Dobutamine hydrochloride 1 mg/ml
nenhum 317
Compatível
injetável Heparin sodium 100 UI/ml
injetável Docetaxel 0.9 mg/ml
Glucose 5% 1754
Compatível
injetável Heparin sodium 1 UI/ml
injetável Dopamine hydrochloride 40 mg/ml
cloreto de sódio 0,9% 1228
Compatível
injetável Heparin sodium 50 UI/ml
injetável Dopamine hydrochloride 1.6 mg/ml
nenhum 317
Compatível
injetável Heparin sodium 100 UI/ml
injetável Dopamine hydrochloride 3.2 mg/ml
314
Compatível
injetável Heparin sodium 1 UI/ml
injetável Dopamine hydrochloride 40 mg/ml
Ringer lactato 1228
Compatível
injetável Heparin sodium 200 UI/ml
injetável Dopamine hydrochloride 0.8 mg/ml
Glucose 5% 738
Compatível
injetável Heparin sodium 1 UI/ml
injetável Dopamine hydrochloride 40 mg/ml
Glucose 5% 1228
Compatível
injetável Heparin sodium 100 UI/ml
injetável Dopamine hydrochloride 3,2 mg/ml
4389
Incompatibilidade não especificada Incompatível
injetável Heparin sodium 187 UI/ml
injetável Dopamine hydrochloride 1,7 >> 3,4 mg/ml
Glucose 5% 377
Compatível
injetável Heparin sodium 100 UI/ml
injetável Doripenem 5 mg/ml
cloreto de sódio 0,9% 2262
Compatível
injetável Heparin sodium 100 UI/ml
injetável Doripenem 5 mg/ml
Glucose 5% 2262
Compatível
injetável Heparin sodium 1 UI/ml
injetável Doxapram hydrochloride 2 mg/ml
Glucose 5% 1802
Incompatibilidade não especificada Incompatível
injetável Heparin sodium
injetável Doxorubicin hydrochloride
3540
Precipitação imediata Incompatível
injetável Heparin sodium
injetável Doxorubicin hydrochloride
3645
Precipitação imediata Incompatível
injetável Heparin sodium 1000 UI/ml
injetável Doxorubicin hydrochloride 2 mg/ml
763
Compatível
injetável Heparin sodium 1000 UI/ml
injetável Doxorubicin hydrochloride liposome peg 0.4 mg/ml
Glucose 5% 251
Incompatibilidade não especificada Incompatível
injetável Heparin sodium 50 UI/ml
injetável Doxycycline hyclate 1 mg/ml
nenhum 317
Precipitação imediata Incompatível
injetável Heparin sodium 1000 UI/ml
injetável Droperidol 2,5 mg/ml
763
Compatível
injetável Heparin sodium 1 UI/ml
injetável Droperidol 1.25 mg/ml
cloreto de sódio 0,9% 1228
Compatível
injetável Heparin sodium 1 UI/ml
injetável Droperidol 1.25 mg/ml
Ringer lactato 1228
Compatível
injetável Heparin sodium 1 UI/ml
injetável Droperidol 1.25 mg/ml
Glucose 5% 1228
Incompatibilidade não especificada Incompatível
injetável Heparin sodium
injetável Droperidol
3540
Compatível
injetável Heparin sodium 45,45 UI/ml
injetável Enalaprilate 0,011 mg/ml
Glucose 5% 963
Compatível
injetável Heparin sodium 40 UI/ml
injetável Enalaprilate 0.05 mg/ml
cloreto de sódio 0,9% 1315
Compatível
injetável Heparin sodium 50 UI/ml
injetável Enalaprilate 0.0125 mg/ml
cloreto de sódio 0,9% 1703
Compatível
injetável Heparin sodium 1 UI/ml
injetável Epinephrine hydrochloride 100 µg/ml
Ringer lactato 1228
Compatível
injetável Heparin sodium 100 UI/ml
injetável Epinephrine hydrochloride 20 µg/ml
314
Compatível
injetável Heparin sodium 1 UI/ml
injetável Epinephrine hydrochloride 100 µg/ml
cloreto de sódio 0,9% 1228
Compatível
injetável Heparin sodium 1 UI/ml
injetável Epinephrine hydrochloride 100 µg/ml
Glucose 5% 1228
Incompatibilidade não especificada Incompatível
injetável Heparin sodium
injetável Epirubicin hydrochloride
3632
Compatível
injetável Heparin sodium
injetável Eptifibatide
3934
Compatível
injetável Heparin sodium 1000 UI/ml
injetável Eravacycline 0,6 mg/ml
cloreto de sódio 0,9% 4434
Turvação imediata Incompatível
injetável Heparin sodium 1 UI/ml
injetável Ergotamine tartrate 0.5 mg/ml
cloreto de sódio 0,9% 1228
Precipitação após 4 horas Incompatível
injetável Heparin sodium 1 UI/ml
injetável Ergotamine tartrate 0.5 mg/ml
Ringer lactato 1228
Precipitação após 4 horas Incompatível
injetável Heparin sodium 1 UI/ml
injetável Ergotamine tartrate 0.5 mg/ml
Glucose 5% 1228
Compatível
injetável Heparin sodium 50 & 100 UI/ml
injetável Ertapenem 10 & 20 mg/ml
cloreto de sódio 0,9% 1906
Compatível
injetável Heparin sodium 50 UI/ml
injetável Erythromycin lactobionate 3.3 mg/ml
nenhum 317
Incompatibilidade não especificada Incompatível
injetável Heparin sodium
injetável Erythromycin lactobionate
3674
Incompatibilidade não especificada Incompatível
injetável Heparin sodium
injetável Erythromycin lactobionate
3540
Compatível
injetável Heparin sodium 50 UI/ml
injetável Esmolol hydrochloride 6 mg/ml
Glucose 5% 174
Compatível
injetável Heparin sodium 40 UI/ml
injetável Esmolol hydrochloride 10 mg/ml
Glucose 5% 384
Compatível
injetável Heparin sodium 500 UI/ml
injetável Esmolol hydrochloride 10 mg/ml
cloreto de sódio 0,9% 3823
Precipitação imediata Incompatível
injetável Heparin sodium 1000 UI/ml
injetável Ethanol 70 %
Agua+bacteriostático 2221
Precipitação imediata Incompatível
injetável Heparin sodium 1000 UI/ml
injetável Ethanol 70 %
Agua para injectaveis 2221
Precipitação após 1 hora Incompatível
injetável Heparin sodium 10 UI/ml
injetável Ethanol 70 %
Agua+bacteriostático 2221
Precipitação imediata Incompatível
injetável Heparin sodium 10 UI/ml
injetável Ethanol 70 %
Agua para injectaveis 2221
Compatível
injetável Heparin sodium 100 UI/ml
injetável Etoposide phosphate 5 mg/ml
Glucose 5% 1410
Compatível
injetável Heparin sodium 40 UI/ml
injetável Famotidine
Glucose 5% 397
Compatível
injetável Heparin sodium 50 UI/ml
injetável Famotidine 0.2 mg/ml
Glucose 5% 398
Compatível
injetável Heparin sodium 40 UI/ml
injetável Famotidine 2 mg/ml
cloreto de sódio 0,9% 215
Compatível
injetável Heparin sodium 100 UI/ml
injetável Fenoldopam mesylate 80 µg/ml
cloreto de sódio 0,9% 1803
Compatível
injetável Heparin sodium 100 UI/ml
injetável Fentanyl citrate 50 µg/ml
4389
Compatível
injetável Heparin sodium 1 UI/ml
injetável Fentanyl citrate 50 µg/ml
Glucose 5% 1228
Compatível
injetável Heparin sodium 1 UI/ml
injetável Fentanyl citrate 50 µg/ml
Ringer lactato 1228
Compatível
injetável Heparin sodium 1 UI/ml
injetável Fentanyl citrate 50 µg/ml
cloreto de sódio 0,9% 1228
Compatível
injetável Heparin sodium 100 UI/ml
injetável Fentanyl citrate 50 µg/ml
314
Precipitação imediata Incompatível
injetável Heparin sodium 100 UI/ml
injetável Filgrastim 30 µg/ml
Glucose 5% 244
Compatível
injetável Heparin sodium 1000 UI/ml
injetável Fluconazole 2 mg/ml
cloreto de sódio 0,9% 496
Compatível
injetável Heparin sodium 50 UI/ml
injetável Fluconazole 2 mg/ml
nenhum 317
Compatível
injetável Heparin sodium 40 >> 1000 UI/ml
injetável Fludarabine phosphate 1 mg/ml
Glucose 5% 492
Compatível
injetável Heparin sodium 50 UI/ml
injetável Flumazenil 0,02 mg/ml
Glucose 5% 187
Compatível
injetável Heparin sodium 5 UI/ml
injetável Fluorouracil 0,8 mg/ml
cloreto de sódio 0,9% 156
Compatível
injetável Heparin sodium 5 UI/ml
injetável Fluorouracil 0,8 mg/ml
Glucose 5% 156
Compatível
injetável Heparin sodium 1 UI/ml
injetável Fluorouracil 50 mg/ml
cloreto de sódio 0,9% 1228
Compatível
injetável Heparin sodium 960 UI/ml
injetável Fluorouracil 24 mg/ml
Glucose 5% 163
Compatível
injetável Heparin sodium 1 UI/ml
injetável Fluorouracil 50 mg/ml
Glucose 5% 1228
Compatível
injetável Heparin sodium 1000 UI/ml
injetável Fluorouracil 50 mg/ml
763
Compatível
injetável Heparin sodium 1 UI/ml
injetável Fluorouracil 50 mg/ml
Ringer lactato 1228
Compatível
injetável Heparin sodium 1000 UI/ml
injetável Folinate calcium 10 mg/ml
763
Compatível
injetável Heparin sodium 100 UI/ml
injetável Foscarnet sodium 24 mg/ml
Glucose 5% 1135
Compatível
injetável Heparin sodium 100 UI/ml
injetável Foscarnet sodium 24 mg/ml
cloreto de sódio 0,9% 1135
Compatível
injetável Heparin sodium 1000 UI/ml
injetável Foscarnet sodium 24 mg/ml
nenhum 73
Compatível
injetável Heparin sodium 1000 UI/ml
injetável Fosfomycin 30 mg/ml
Glucose 5% 4055
Compatível
injetável Heparin sodium 1000 UI/ml
injetável Fosfomycin 30 mg/ml
cloreto de sódio 0,9% 4055
Compatível
injetável Heparin sodium 100 UI/ml
injetável Furosemide 10 mg/ml
314
Compatível
injetável Heparin sodium 1 UI/ml
injetável Furosemide 10 mg/ml
cloreto de sódio 0,9% 1228
Precipitação após 5 horas Incompatível
injetável Heparin sodium 100 UI/ml
injetável Furosemide 10 mg/ml
Glucose 5% 4724
Compatível
injetável Heparin sodium 20 UI/ml
injetável Furosemide 1 mg/ml
cloreto de sódio 0,9% 1232
Compatível
injetável Heparin sodium 58,34 UI/ml
injetável Furosemide 5,21 mg/ml
Glucose 5% 1289
Compatível
injetável Heparin sodium
injetável Furosemide
3465
Compatível
injetável Heparin sodium 1 UI/ml
injetável Furosemide 10 mg/ml
Ringer lactato 1228
Compatível
injetável Heparin sodium 1000 UI/ml
injetável Furosemide 10 mg/ml
763
Compatível
injetável Heparin sodium 10 UI/ml
injetável Furosemide 10 mg/ml
nenhum 3210
Compatível
injetável Heparin sodium 500 UI/ml
injetável Furosemide 10 mg/ml
cloreto de sódio 0,9% 3823
Compatível
injetável Heparin sodium 500 UI/ml
injetável Furosemide 10 mg/ml
nenhum 3134
Compatível
injetável Heparin sodium 1 UI/ml
injetável Furosemide 10 mg/ml
Glucose 5% 1228
Compatível
injetável Heparin sodium 40 UI/ml
injetável Gallium nitrate 1 mg/ml
cloreto de sódio 0,9% 91
Compatível
injetável Heparin sodium 100 UI/ml
injetável Gemcitabine hydrochloride 10 mg/ml
cloreto de sódio 0,9% 1423
Turvação imediata Incompatível
injetável Heparin sodium 2500 UI/ml
injetável Gentamicin sulfate 3 mg/ml
4612
Incompatibilidade não especificada Incompatível
injetável Heparin sodium
injetável Gentamicin sulfate
3520
Incompatibilidade não especificada Incompatível
injetável Heparin sodium
injetável Gentamicin sulfate
3643
Precipitação imediata Incompatível
injetável Heparin sodium
injetável Gentamicin sulfate
1022
Incompatibilidade não especificada Incompatível
injetável Heparin sodium 50 UI/ml
injetável Gentamicin sulfate 2 mg/ml
nenhum 317
Precipitação imediata Incompatível
injetável Heparin sodium 10 >> 40 UI/ml
injetável Gentamicin sulfate 4 >> 40 mg/ml
1258
Precipitação imediata Incompatível
injetável Heparin sodium 2500 UI/ml
injetável Gentamicin sulfate 4 & 5 mg/ml
4612
Incompatibilidade não especificada Incompatível
injetável Heparin sodium
injetável Gentamicin sulfate
3540
Compatível
injetável Heparin sodium 2500 UI/ml
injetável Gentamicin sulfate 1 & 2 mg/ml
4612
Compatível
injetável Heparin sodium 50 UI/ml
injetável Glycerophosphate disodium
cloreto de sódio 0,9% 4332
Compatível
injetável Heparin sodium 100 UI/ml
injetável Granisetron hydrochloride 0.05 mg/ml
Glucose 5% 182
Precipitação imediata Incompatível
injetável Heparin sodium 100 & 200 UI/ml
injetável Haloperidol lactate 5 mg/ml
Glucose 5% 617
Precipitação imediata Incompatível
injetável Heparin sodium 100 & 200 UI/ml
injetável Haloperidol lactate 5 mg/ml
cloreto de sódio 0,9% 617
Compatível
injetável Heparin sodium 500 UI/ml
injetável Haloperidol lactate 0.5 mg/ml
cloreto de sódio 0,9% 3823
Incompatibilidade não especificada Incompatível
injetável Heparin sodium
injetável Haloperidol lactate
3540
Compatível
injetável Heparin sodium 100 UI/ml
injetável Hetastarch 60 mg/ml
solvente específico 1721
Incompatibilidade não especificada Incompatível
injetável Heparin sodium
injetável Hyaluronidase
3617
Incompatibilidade não especificada Incompatível
injetável Heparin sodium
injetável Hyaluronidase
3184
Incompatibilidade não especificada Incompatível
injetável Heparin sodium
injetável Hyaluronidase
3540
Compatível
injetável Heparin sodium 1 UI/ml
injetável Hydralazine hydrochloride 20 mg/ml
Glucose 5% 1228
Compatível
injetável Heparin sodium 1 UI/ml
injetável Hydralazine hydrochloride 20 mg/ml
Ringer lactato 1228
Compatível
injetável Heparin sodium 1 UI/ml
injetável Hydralazine hydrochloride 20 mg/ml
cloreto de sódio 0,9% 1228
Compatível
injetável Heparin sodium 100 UI/ml
injetável Hydrocortisone sodium succinate 125 mg/ml
cloreto de sódio 0,9% 132
Incompatibilidade não especificada Incompatível
injetável Heparin sodium
injetável Hydrocortisone sodium succinate
3540
Compatível
injetável Heparin sodium 50 UI/ml
injetável Hydrocortisone sodium succinate 2 mg/ml
nenhum 317
Compatível
injetável Heparin sodium 100 UI/ml
injetável Hydrocortisone sodium succinate 125 mg/ml
Glucose 5% 132
Compatível
injetável Heparin sodium
injetável Hydromorphone hydrochloride <12.5 mg/ml
cloreto de sódio 0,9% 66
Compatível
injetável Heparin sodium 100 UI/ml
injetável Hydromorphone hydrochloride 1 mg/ml
314
Precipitação imediata Incompatível
injetável Heparin sodium <12,5 UI/ml
injetável Hydromorphone hydrochloride >25 mg/ml
cloreto de sódio 0,9% 66
Compatível
injetável Heparin sodium
injetável Hydromorphone hydrochloride <12.5 mg/ml
Agua para injectaveis 66
Precipitação imediata Incompatível
injetável Heparin sodium <1 UI/ml
injetável Hydromorphone hydrochloride >10 mg/ml
Agua para injectaveis 66
Precipitação imediata Incompatível
injetável Heparin sodium <12,5 UI/ml
injetável Hydromorphone hydrochloride >25 mg/ml
Agua para injectaveis 66
Compatível
injetável Heparin sodium 100 UI/ml
injetável Ibuprofen lysinate 10 mg/ml
Agua para injectaveis 4419
Compatível
injetável Heparin sodium 10 UI/ml
injetável Ibuprofen lysinate 10 mg/ml
Agua para injectaveis 4419
Turvação imediata Incompatível
injetável Heparin sodium 100 & 1000 UI/ml
injetável Idarubicin hydrochloride 1 mg/ml
cloreto de sódio 0,9% 491
Precipitação imediata Incompatível
injetável Heparin sodium
injetável Idarubicin hydrochloride
5075
Compatível
injetável Heparin sodium
injetável Imipenem-Cilastatin / Relebactam
4809
Compatível
injetável Heparin sodium 1000 UI/ml
injetável Imipenem-Cilastatin / Relebactam 5 mg/ml
cloreto de sódio 0,9% 4433
Compatível
injetável Heparin sodium 1000 UI/ml
injetável Imipenem-Cilastatin / Relebactam 5 mg/ml
Glucose 5% 4433
Compatível
injetável Heparin sodium 500 UI/ml
injetável Insulin 2 UI/ml
cloreto de sódio 0,9% 3823
Compatível
injetável Heparin sodium 60 UI/ml
injetável Insulin 0.2 UI/ml
cloreto de sódio 0,9% 129
Compatível
injetável Heparin sodium 50 & 400 UI/ml
injetável Insulin aspart 1 UI/ml
Glucose 5% 1508
Compatível
injetável Heparin sodium 50 & 400 UI/ml
injetável Insulin aspart 1 UI/ml
cloreto de sódio 0,9% 1508
Compatível
injetável Heparin sodium 10000 UI/ml
injetável Iohexol 300 mg I/ml
nenhum 1085
Compatível
injetável Heparin sodium 10000 UI/ml
injetável Ioxaglate 320 mg I/ml
nenhum 1085
Turvação imediata Incompatível
injetável Heparin sodium 1000 UI/ml
injetável Isavuconazonium sulfate 1.5 mg/ml
cloreto de sódio 0,9% 3829
Turvação imediata Incompatível
injetável Heparin sodium 1000 UI/ml
injetável Isavuconazonium sulfate 1.5 mg/ml
Glucose 5% 3829
Compatível
injetável Heparin sodium 1 UI/ml
injetável Isoprenaline hydrochloride 0.2 mg/ml
Glucose 5% 1228
Compatível
injetável Heparin sodium 1 UI/ml
injetável Isoprenaline hydrochloride 0.2 mg/ml
cloreto de sódio 0,9% 1228
Compatível
injetável Heparin sodium 1 UI/ml
injetável Isoprenaline hydrochloride 0.2 mg/ml
Ringer lactato 1228
Incompatibilidade não especificada Incompatível
injetável Heparin sodium
injetável Kanamycin sulfate
3540
Precipitação imediata Incompatível
injetável Heparin sodium 25000 UI/ml
injetável Ketamine hydrochloride 50 mg/ml
2109
Compatível
injetável Heparin sodium 100 UI/ml
injetável Labetalol hydrochloride 2 mg/ml
314
Incompatibilidade não especificada Incompatível
injetável Heparin sodium 500 UI/ml
injetável Labetalol hydrochloride 4 mg/ml
cloreto de sódio 0,9% 3823
Incompatibilidade não especificada Incompatível
injetável Heparin sodium
injetável Labetalol hydrochloride
3540
Precipitação imediata Incompatível
injetável Heparin sodium 100 UI/ml
injetável Labetalol hydrochloride 5 mg/ml
Glucose 5% 295
Compatível
injetável Heparin sodium 40 UI/ml
injetável Labetalol hydrochloride 1 mg/ml
Glucose 5% 386
Compatível
injetável Heparin sodium 100 UI/ml
injetável Lansoprazole 0.55 mg/ml
cloreto de sódio 0,9% 1625
Turbidez em 4 horas Incompatível
injetável Heparin sodium 100 UI/ml
injetável Levetiracetam 100 mg/ml
Glucose 5% 4108
Turvação imediata Incompatível
injetável Heparin sodium 208,3 UI/ml
injetável Levetiracetam 15 mg/ml
cloreto de sódio 0,9% 4698
Incompatibilidade não especificada Incompatível
injetável Heparin sodium
injetável Levofloxacine
3920
Precipitação imediata Incompatível
injetável Heparin sodium 10 UI/ml
injetável Levofloxacine 5 mg/ml
Glucose 5% 1072
Incompatibilidade não especificada Incompatível
injetável Heparin sodium
injetável Levomepromazine
3540
Compatível
injetável Heparin sodium 100 UI/ml
injetável Levosimendan 2,5 mg/ml
Glucose 5% 4389
Compatível
injetável Heparin sodium 50 UI/ml
injetável Lidocaine hydrochloride 4 mg/ml
nenhum 317
Compatível
injetável Heparin sodium 1000 UI/ml
injetável Linezolid 2 mg/ml
nenhum 1925
Compatível
injetável Heparin sodium 10 >> 10000 UI/ml
injetável Linezolid 0.2 >> 1.92 mg/ml
cloreto de sódio 0,9% 2057
Compatível
injetável Heparin sodium 417 UI/ml
injetável Lorazepam 0.33 mg/ml
cloreto de sódio 0,9% 186
Compatível
injetável Heparin sodium 100 UI/ml
injetável Lorazepam 0.5 mg/ml
314
Compatível
injetável Heparin sodium 1 UI/ml
injetável Magnesium sulfate 5 mg/ml
cloreto de sódio 0,9% 1228
Compatível
injetável Heparin sodium 50 UI/ml
injetável Magnesium sulfate 15.6 mg/ml
cloreto de sódio 0,9% 2100
Compatível
injetável Heparin sodium 1 UI/ml
injetável Magnesium sulfate 5 mg/ml
Ringer lactato 1228
Compatível
injetável Heparin sodium 1 UI/ml
injetável Magnesium sulfate 5 mg/ml
Glucose 5% 1228
Compatível
injetável Heparin sodium 100 UI/ml
injetável Melphalan 0.1 mg/ml
cloreto de sódio 0,9% 169
Compatível
injetável Heparin sodium 0.5 UI/ml
injetável Meropenem 0.5 mg/ml
Dianéal® 4.25% glucose (Baxter) 4180
Compatível
injetável Heparin sodium 0.5 UI/ml
injetável Meropenem 0.5 mg/ml
Extraneal® (Baxter) 4180
Compatível
injetável Heparin sodium 1000 UI/ml
injetável Meropenem 50 mg/ml
Agua para injectaveis 4319
Compatível
injetável Heparin sodium 1 UI/ml
injetável Meropenem 1 & 50 mg/ml
cloreto de sódio 0,9% 266
Compatível
injetável Heparin sodium 0.5 UI/ml
injetável Meropenem 0.5 mg/ml
Dianéal® 1.5% glucose (Baxter) 4180
Compatível
injetável Heparin sodium 20 UI/ml
injetável Meropenem 1 & 20 mg/ml
cloreto de sódio 0,9% 266
Compatível
injetável Heparin sodium 0.5 UI/ml
injetável Meropenem 0.5 mg/ml
Dianéal® 2.5% glucose (Baxter) 4180
Compatível
injetável Heparin sodium 50 UI/ml
injetável Methadone hydrochloride 0.2 mg/ml
Glucose 5% 1506
Compatível
injetável Heparin sodium 50 UI/ml
injetável Methadone hydrochloride 0.2 mg/ml
cloreto de sódio 0,9% 1506
Incompatibilidade não especificada Incompatível
injetável Heparin sodium
injetável Methotrexate sodium
3637
Compatível
injetável Heparin sodium 1000 UI/ml
injetável Methotrexate sodium 25 mg/ml
763
Compatível
injetável Heparin sodium 500 UI/ml
injetável Methotrexate sodium 30 mg/ml
cloreto de sódio 0,9% 150
Compatível
injetável Heparin sodium 100 UI/ml
injetável Methylprednisolone sodium succinate 5 mg/ml
Glucose 5% 132
Compatível
injetável Heparin sodium 50 UI/ml
injetável Methylprednisolone sodium succinate 2.5 mg/ml
nenhum 317
Compatível
injetável Heparin sodium 100 UI/ml
injetável Methylprednisolone sodium succinate 5 mg/ml
cloreto de sódio 0,9% 132
Compatível
injetável Heparin sodium 1000 UI/ml
injetável Metoclopramide hydrochloride 5 mg/ml
763
Instabilidade química Incompatível
injetável Heparin sodium 1000 UI/ml
injetável Metoprolol tartrate 1 mg/ml
nenhum 2346
Compatível
injetável Heparin sodium 50 UI/ml
injetável Metronidazole 5 mg/ml
nenhum 317
Compatível
injetável Heparin sodium 100 UI/ml
injetável Micafungin 1.5 mg/ml
cloreto de sódio 0,9% 2108
Turvação imediata Incompatível
injetável Heparin sodium 208,3 UI/ml
injetável Midazolam hydrochloride 1 mg/ml
cloreto de sódio 0,9% 4698
Compatível
injetável Heparin sodium 500 UI/ml
injetável Midazolam hydrochloride 2.1 mg/ml
cloreto de sódio 0,9% 3823
Compatível
injetável Heparin sodium 417 UI/ml
injetável Midazolam hydrochloride 5 mg/ml
nenhum 186
Compatível
injetável Heparin sodium 100 UI/ml
injetável Midazolam hydrochloride 5 mg/ml
4389
Compatível
injetável Heparin sodium 100 UI/ml
injetável Midazolam hydrochloride 2 mg/ml
314
Compatível
injetável Heparin sodium 200 UI/ml
injetável Milrinone lactate 0.8 mg/ml
Glucose 5% 813
Compatível
injetável Heparin sodium 100 UI/ml
injetável Milrinone lactate 0.2 mg/ml
314
Compatível
injetável Heparin sodium 1 UI/ml
injetável Minocycline hydrochloride 0.2 mg/ml
Glucose 5% 1228
Compatível
injetável Heparin sodium 1 UI/ml
injetável Minocycline hydrochloride 0.2 mg/ml
Ringer lactato 1228
Compatível
injetável Heparin sodium 1 UI/ml
injetável Minocycline hydrochloride 0.2 mg/ml
cloreto de sódio 0,9% 1228
Incompatibilidade não especificada Incompatível
injetável Heparin sodium
injetável Mitoxantrone dihydrochloride
3640
Incompatibilidade não especificada Incompatível
injetável Heparin sodium
injetável Morphine hydrochloride
5069
Compatível
injetável Heparin sodium 100 & 200 UI/ml
injetável Morphine sulfate 1 >> 5 mg/ml
Agua para injectaveis 341
Compatível
injetável Heparin sodium 1 UI/ml
injetável Morphine sulfate 15 mg/ml
Ringer lactato 1228
Incompatibilidade não especificada Incompatível
injetável Heparin sodium
injetável Morphine sulfate
3531
Compatível
injetável Heparin sodium 1 UI/ml
injetável Morphine sulfate 15 mg/ml
Glucose 5% 1228
Compatível
injetável Heparin sodium 1 UI/ml
injetável Morphine sulfate 15 mg/ml
cloreto de sódio 0,9% 1228
Compatível
injetável Heparin sodium 60 UI/ml
injetável Morphine sulfate 1 mg/ml
cloreto de sódio 0,9% 406
Compatível
injetável Heparin sodium 100 & 200 UI/ml
injetável Morphine sulfate 10 mg/ml
Agua para injectaveis 341
Compatível
injetável Heparin sodium 100 UI/ml
injetável Morphine sulfate 2 mg/ml
314
Instabilidade química Incompatível
injetável Heparin sodium 100 & 200 UI/ml
injetável Morphine sulfate 1 >> 10 mg/ml
cloreto de sódio 0,9% 341
Compatível
injetável Heparin sodium 1000 UI/ml
injetável N-acetylcysteine 200 mg/ml
nenhum 3766
Compatível
injetável Heparin sodium 50 UI/ml
injetável Nafcillin sodium 20 mg/ml
nenhum 317
Compatível
injetável Heparin sodium 1000 UI/ml
injetável Naloxone hydrochloride 0.4 mg/ml
nenhum 3408
Turvação imediata Incompatível
injetável Heparin sodium 208,3 UI/ml
injetável Nefopam 1,7 mg/ml
cloreto de sódio 0,9% 4698
Compatível
injetável Heparin sodium 1 UI/ml
injetável Neostigmine methylsulfate 0.5 mg/ml
Glucose 5% 1228
Compatível
injetável Heparin sodium 1 UI/ml
injetável Neostigmine methylsulfate 0.5 mg/ml
cloreto de sódio 0,9% 1228
Compatível
injetável Heparin sodium 1 UI/ml
injetável Neostigmine methylsulfate 0.5 mg/ml
Ringer lactato 1228
Incompatibilidade não especificada Incompatível
injetável Heparin sodium
injetável Nesiritide
5048
Incompatibilidade não especificada Incompatível
injetável Heparin sodium
injetável Netilmicin sulfate
3540
Precipitação imediata Incompatível
injetável Heparin sodium
injetável Netilmicin sulfate
1022
Precipitação imediata Incompatível
injetável Heparin sodium 100 UI/ml
injetável Nicardipine hydrochloride 1 mg/ml
314
Incompatibilidade não especificada Incompatível
injetável Heparin sodium
injetável Nicardipine hydrochloride
3540
Compatível
injetável Heparin sodium 40 UI/ml
injetável Nicardipine hydrochloride 0.1 mg/ml
Glucose 5% 1490
Compatível
injetável Heparin sodium 40 UI/ml
injetável Nicardipine hydrochloride 0.1 mg/ml
cloreto de sódio 0,9% 1490
Precipitação imediata Incompatível
injetável Heparin sodium 100 UI/ml
injetável Nitroglycerin 1,6 >> 3,25 mg/ml
Glucose 5% 295
Compatível
injetável Heparin sodium 500 UI/ml
injetável Nitroglycerin 0.2 mg/ml
cloreto de sódio 0,9% 3823
Produção de bolhas de gás Incompatível
injetável Heparin sodium 50 UI/ml
injetável Nitroglycerin 0.2 mg/ml
nenhum 317
Compatível
injetável Heparin sodium 500 UI/ml
injetável Nitroglycerin 0.2 mg/ml
Glucose 5% 3823
Compatível
injetável Heparin sodium 100 UI/ml
injetável Nitroglycerin 0.4 mg/ml
314
Compatível
injetável Heparin sodium 50 UI/ml
injetável Nitroprusside sodium 0.2 mg/ml
nenhum 317
Compatível
injetável Heparin sodium 100 UI/ml
injetável Nitroprusside sodium 0.2 mg/ml
Glucose 5% 295
Compatível
injetável Heparin sodium 100 UI/ml
injetável Norepinephrine bitartrate 0.128 mg/ml
314
Incompatibilidade não especificada Incompatível
injetável Heparin sodium
injetável Ofloxacin
3562
Compatível
injetável Heparin sodium 40 UI/ml
injetável Ondansetron hydrochloride 1 mg/ml
cloreto de sódio 0,9% 334
Incompatível
injetável Heparin sodium 200 UI/ml
injetável Ondansetron hydrochloride 1.6 mg/ml
1699
Turvação imediata Incompatível
injetável Heparin sodium 100 UI/ml
injetável Oritavancin 0.8 >>1.2 mg/ml
Glucose 5% 3152
Precipitação após 4 horas Incompatível
injetável Heparin sodium 100 UI/ml
injetável Oritavancin 2 mg/ml
Glucose 5% 3152
Compatível
injetável Heparin sodium 208 UI/ml
injetável Ornidazole 31.25 mg/ml
cloreto de sódio 0,9% 4254
Compatível
injetável Heparin sodium 1 UI/ml
injetável Oxacillin sodium 100 mg/ml
Glucose 5% 1228
Compatível
injetável Heparin sodium 1 UI/ml
injetável Oxacillin sodium 100 mg/ml
Ringer lactato 1228
Compatível
injetável Heparin sodium 1 UI/ml
injetável Oxacillin sodium 100 mg/ml
cloreto de sódio 0,9% 1228
Compatível
injetável Heparin sodium 100 UI/ml
injetável Oxaliplatin 0,5 mg/ml
Glucose 5% 1662
Incompatibilidade não especificada Incompatível
injetável Heparin sodium
injetável Oxytetracycline hydrochloride
3540
Compatível
injetável Heparin sodium 100 UI/ml
injetável Paclitaxel 1.2 mg/ml
Glucose 5% 248
Compatível
injetável Heparin sodium 100 UI/ml
injetável Palonosetron hydrochloride 50 µg/ml
Glucose 5% 2279
Compatível
injetável Heparin sodium 40 UI/ml
injetável Pancuronium bromide 0.05 mg/ml
Glucose 5% 402
Precipitação após 1 hora Incompatível
injetável Heparin sodium
injetável Pantoprazole sodium
2090
Compatível
injetável Heparin sodium 208,3 UI/ml
injetável Paracetamol 10 mg/ml
cloreto de sódio 0,9% 4698
Compatível
injetável Heparin sodium 1000 UI/ml
injetável Paracetamol 10 mg/ml
4742
Compatível
injetável Heparin sodium 100 UI/ml
injetável Pemetrexed disodium 20 mg/ml
cloreto de sódio 0,9% 1953
Incompatibilidade não especificada Incompatível
injetável Heparin sodium
injetável Penicillin G potassium
3540
Compatível
injetável Heparin sodium 50 UI/ml
injetável Penicillin G potassium 0.04 MUI/ml
nenhum 317
Incompatibilidade não especificada Incompatível
injetável Heparin sodium
injetável Penicillin G sodium
3540
Compatível
injetável Heparin sodium 100 UI/ml
injetável Pentoxifyllin 5 mg/ml
cloreto de sódio 0,9% 4538
Turvação imediata Incompatível
injetável Heparin sodium
injetável Pethidine hydrochloride
3525
Compatível
injetável Heparin sodium 60 UI/ml
injetável Pethidine hydrochloride 10 mg/ml
cloreto de sódio 0,9% 406
Incompatibilidade não especificada Incompatível
injetável Heparin sodium
injetável Pethidine hydrochloride
3540
Precipitação imediata Incompatível
injetável Heparin sodium 50 UI/ml
injetável Phenytoin sodium 2 mg/ml
nenhum 317
Compatível
injetável Heparin sodium 50 UI/ml
injetável Piperacillin sodium 60 mg/ml
nenhum 317
Compatível
injetável Heparin sodium 10 & 5000 UI/ml
injetável Piperacillin sodium 40 mg/ml
cloreto de sódio 0,9% 2037
Compatível
injetável Heparin sodium 0.5 UI/ml
injetável Piperacillin sodium / tazobactam 0.5/0.0625 mg/ml
Dianéal® 2.5% glucose (Baxter) 4180
Compatível
injetável Heparin sodium 0.5 UI/ml
injetável Piperacillin sodium / tazobactam 0.5/0.0625 mg/ml
Dianéal® 4.25% glucose (Baxter) 4180
Turvação imediata Incompatível
injetável Heparin sodium 1000 UI/ml
injetável Plazomicin sulfate 24 mg/ml
cloreto de sódio 0,9% 4145
Incompatibilidade não especificada Incompatível
injetável Heparin sodium
injetável Polymyxine B
3540
Compatível
injetável Heparin sodium 50 UI/ml
injetável Potassium chloride 200 mEq/l
nenhum 317
Compatível
injetável Heparin sodium 1 UI/ml
injetável Procainamide hydrochloride 100 mg/ml
Ringer lactato 1228
Compatível
injetável Heparin sodium 1 UI/ml
injetável Procainamide hydrochloride 100 mg/ml
cloreto de sódio 0,9% 1228
Compatível
injetável Heparin sodium 1 UI/ml
injetável Prochlorperazine edysilate 5 mg/ml
cloreto de sódio 0,9% 1228
Compatível
injetável Heparin sodium 3 >> 20 UI/ml
Nutrição parenterica (mistura binária) 791
Compatível
injetável Heparin sodium 100 UI/ml
Nutrição parenterica (mistura binária) 301
Compatível
injetável Heparin sodium 500 UI/ml
Nutrição parenterica (mistura binária) 939
Compatível
injetável Heparin sodium 1 UI/ml
injetável Prochlorperazine edysilate 5 mg/ml
Ringer lactato 1228
Compatível
injetável Heparin sodium 1 UI/ml
injetável Promethazine hydrochloride 50 mg/ml
cloreto de sódio 0,9% 1228
Compatível
injetável Heparin sodium 1 UI/ml
injetável Promethazine hydrochloride 50 mg/ml
Ringer lactato 1228
Compatível
injetável Heparin sodium 1 UI/ml
injetável Propranolol hydrochloride 1 mg/ml
Ringer lactato 1228
Compatível
injetável Heparin sodium 1 UI/ml
injetável Propranolol hydrochloride 1 mg/ml
cloreto de sódio 0,9% 1228
Compatível
injetável Heparin sodium 50 UI/ml
injetável Ranitidine hydrochloride 0,5 mg/ml
Glucose 5% 396
Compatível
injetável Heparin sodium 10 & 40 UI/ml
injetável Ranitidine hydrochloride 0.05 & 2 mg/ml
cloreto de sódio 0,9% 214
Compatível
injetável Heparin sodium 50 UI/ml
injetável Ranitidine hydrochloride 1 mg/ml
nenhum 317
Compatível
injetável Heparin sodium 1000 UI/ml
injetável Remdesivir 1 mg/ml
cloreto de sódio 0,9% 4768
Compatível
injetável Heparin sodium 100 UI/ml
injetável Remifentanil hydrochloride 25 & 250 µg/ml
cloreto de sódio 0,9% 59
Compatível
injetável Heparin sodium 500 UI/ml
injetável Remifentanil hydrochloride 100 µg/ml
cloreto de sódio 0,9% 3823
Compatível
injetável Heparin sodium 500 UI/ml
NaHCO3 150
Compatível
injetável Heparin sodium 1.4 UI/ml
injetável Piperacillin sodium / tazobactam 1.38/0.1725 mg/ml
Physionéal® 2.27 (Baxter) 4180
Compatível
injetável Heparin sodium 1.4 UI/ml
injetável Piperacillin sodium / tazobactam 1.38/0.1725 mg/ml
Physionéal® 1.36 (Baxter) 4180
Compatível
injetável Heparin sodium 0.5 UI/ml
injetável Piperacillin sodium / tazobactam 0.5/0.0625 mg/ml
Dianéal® 1.5% glucose (Baxter) 4180
Compatível
injetável Heparin sodium 1.4 UI/ml
injetável Piperacillin sodium / tazobactam 1.38/0.1725 mg/ml
Physionéal® 3.86 (Baxter) 4180
Compatível
injetável Heparin sodium 100 UI/ml
injetável Piperacillin sodium / tazobactam 40/5 mg/ml
Glucose 5% 81
Compatível
injetável Heparin sodium 0.5 UI/ml
injetável Piperacillin sodium / tazobactam 0.5/0.0625 mg/ml
Extraneal® (Baxter) 4180
Compatível
injetável Heparin sodium 500 UI/ml
injetável Potassium chloride 10 mEq/l
cloreto de sódio 0,9% 3823
Compatível
injetável Heparin sodium 58,34 UI/ml
injetável Potassium chloride 1250 mEq/l
Glucose 5% 1289
Compatível
injetável Heparin sodium
injetável Potassium phosphate
3781
Compatível
injetável Heparin sodium 1 UI/ml
injetável Procainamide hydrochloride 100 mg/ml
Glucose 5% 1228
Compatível
injetável Heparin sodium 1 UI/ml
injetável Prochlorperazine edysilate 5 mg/ml
Glucose 5% 1228
Compatível
injetável Heparin sodium 1 UI/ml
injetável Promethazine hydrochloride 50 mg/ml
Glucose 5% 1228
Incompatibilidade não especificada Incompatível
injetável Heparin sodium
injetável Promethazine hydrochloride
3540
Instabilidade da emulsão após 1 hora Incompatível
injetável Heparin sodium 1000 UI/ml
injetável Propofol
660
Compatível
injetável Heparin sodium 100 UI/ml
injetável Propofol 10 mg/ml
nenhum 300
Compatível
injetável Heparin sodium 1 UI/ml
injetável Propranolol hydrochloride 1 mg/ml
Glucose 5% 1228
Compatível
injetável Heparin sodium 100 UI/ml
injetável Ranitidine hydrochloride 1 mg/ml
314
Compatível
injetável Heparin sodium 10 & 40 UI/ml
injetável Ranitidine hydrochloride 0.05 & 2 mg/ml
Glucose 5% 214
Compatível
injetável Heparin sodium 416.7 UI/ml
injetável Remifentanil hydrochloride 120 µg/ml
Glucose 5% 3294
Compatível
injetável Heparin sodium 416.7 UI/ml
injetável Remifentanil hydrochloride 120 µg/ml
Glucose 5% 3176
Incompatibilidade não especificada Incompatível
injetável Heparin sodium
injetável Reteplase
2212
Compatível
injetável Heparin sodium 20,458 >> 28,000 UI/ml
Nutrição parenteral (com lípidos) 1868
Incompatibilidade não especificada Incompatível
injetável Heparin sodium
injetável Reteplase
3540
Compatível
injetável Heparin sodium 1000 UI/ml
injetável Salbutamol sulfate 1 mg/ml
nenhum 3216
Compatível
injetável Heparin sodium 100 UI/ml
injetável Sargramostim 6 §15 µg/ml
cloreto de sódio 0,9% 891
Compatível
injetável Heparin sodium 100 UI/ml
injetável Sargramostim 10 µg/ml
cloreto de sódio 0,9% 335
Compatível
injetável Heparin sodium 1 UI/ml
injetável Scopolamine hydrobromide 0.86 mg/ml
cloreto de sódio 0,9% 1228
Compatível
injetável Heparin sodium 1 UI/ml
injetável Scopolamine hydrobromide 0.86 mg/ml
Ringer lactato 1228
Compatível
injetável Heparin sodium 1 UI/ml
injetável Scopolamine hydrobromide 0.86 mg/ml
Glucose 5% 1228
Compatível
injetável Heparin sodium 100 UI/ml
injetável Sildenafil citrate 0,6 mg/ml
Glucose 5% 4845
Compatível
injetável Heparin sodium 100 UI/ml
injetável Sildenafil citrate 0,06 mg/ml
Glucose 5% 4845
Compatível
injetável Heparin sodium 1 UI/ml
injetável Sildenafil citrate 0,4 mg/ml
Glucose 5% 3923
Compatível
injetável Heparin sodium 2 UI/ml
injetável Sildenafil citrate 0,6 mg/ml
Glucose 5% 4845
Compatível
injetável Heparin sodium
cloreto de sódio 0,9% 3540
Instabilidade imediata da emulsão Incompatível
injetável Heparin sodium 100 UI/ml
Nutrição parenteral (com lípidos) 132
Turvação imediata Incompatível
injetável Heparin sodium 100 UI/ml
injetável Sildenafil citrate 0,6 mg/ml
Glucose 5% 4845
Compatível
injetável Heparin sodium 500 UI/ml
injetável Sodium bicarbonate 84 mg/ml
cloreto de sódio 0,9% 3823
Compatível
injetável Heparin sodium
injetável Sodium bicarbonate
3466
Compatível
injetável Heparin sodium 500 UI/ml
injetável Sodium bicarbonate 14 mg/ml
nenhum 150
Compatível
injetável Heparin sodium 500 UI/ml
injetável Sodium bicarbonate 84 mg/ml
nenhum 3212
Compatível
injetável Heparin sodium 208 UI/ml
injetável Spiramycine adipate 0.0625 MUI/ml
cloreto de sódio 0,9% 4254
Compatível
injetável Heparin sodium 100 UI/ml
injetável Streptokinase 30000 UI/ml
Glucose 5% 92
Incompatibilidade não especificada Incompatível
injetável Heparin sodium
injetável Streptomycin sulfate
3540
Compatível
injetável Heparin sodium 416.7 UI/ml
injetável Sufentanil citrate 0.005 mg/ml
Glucose 5% 3294
Compatível
injetável Heparin sodium 1000 UI/ml
injetável Sugammadex 100 mg/ml
nenhum 3372
Compatível
injetável Heparin sodium 10 UI/ml
injetável Tacrolimus 1000 µg/ml
cloreto de sódio 0,9% 479
Compatível
injetável Heparin sodium 1000 UI/ml
Ringer lactato 4603
Compatível
injetável Heparin sodium 1000 UI/ml
injetável Sulbactam/durlobactam 15/15 mg/ml
cloreto de sódio 0,9% 4801
Compatível
injetável Heparin sodium 1000 UI/ml
injetável Tedizolid phosphate 0.8 mg/ml
cloreto de sódio 0,9% 3827
Compatível
injetável Heparin sodium 10 >> 10000 UI/ml
injetável Teicoplanine 0.02 >> 10 mg/ml
cloreto de sódio 0,9% 2057
Turvação imediata Incompatível
injetável Heparin sodium 1000 UI/ml
injetável Telavancin hydrochloride 7,5 mg/ml
Glucose 5% 3254
Turvação imediata Incompatível
injetável Heparin sodium 1000 UI/ml
injetável Telavancin hydrochloride 7,5 mg/ml
cloreto de sódio 0,9% 3254
Compatível
injetável Heparin sodium 1000 UI/ml
injetável Telavancin hydrochloride 7.5 mg/ml
Ringer lactato 3254
Precipitação imediata Incompatível
injetável Heparin sodium 1000 UI/ml
injetável Thiopental sodium 25 mg/ml
cloreto de sódio 0,9% 3767
Instabilidade imediata da emulsão Incompatível
injetável Heparin sodium 1 UI/ml
Nutrição parenteral (com lípidos) 1391
Compatível
injetável Heparin sodium 100 UI/ml
injetável Teniposide 0.1 mg/ml
Glucose 5% 905
Compatível
injetável Heparin sodium 50 UI/ml
injetável Theophylline 4 mg/ml
nenhum 317
Compatível
injetável Heparin sodium 100 UI/ml
injetável Thiopental sodium 25 mg/ml
314
Instabilidade imediata da emulsão Incompatível
injetável Heparin sodium 100 UI/ml
Nutrição parenteral (com lípidos) 1415
Compatível
injetável Heparin sodium 500 UI/ml
injetável Thiopental sodium 60 mg/ml
cloreto de sódio 0,9% 3823
Compatível
injetável Heparin sodium 100 UI/ml
injetável Thiotepa 1 mg/ml
Glucose 5% 249
Compatível
injetável Heparin sodium 50 UI/ml
injetável Ticarcillin / clavulanic acid 31 mg/ml
nenhum 317
Compatível
injetável Heparin sodium 500 UI/ml
injetável Tirofiban 250 µg/ml
cloreto de sódio 0,9% 3823
Compatível
injetável Heparin sodium 40 & 100 UI/ml
injetável Tirofiban 50 µg/ml
cloreto de sódio 0,9% 1420
Compatível
injetável Heparin sodium
Glucose 5% 3540
Compatível
injetável Heparin sodium
injetável Tirofiban
1512
Compatível
injetável Heparin sodium 40 & 100 UI/ml
injetável Tirofiban 50 µg/ml
Glucose 5% 1420
Incompatibilidade não especificada Incompatível
injetável Heparin sodium 50 UI/ml
injetável Tobramycin sulfate 0.8 mg/ml
nenhum 317
Incompatibilidade não especificada Incompatível
injetável Heparin sodium
injetável Tobramycin sulfate
3540
Compatível
injetável Heparin sodium
injetável Tranexamic acid
5016
Incompatibilidade não especificada Incompatível
injetável Heparin sodium
injetável Triflupromazine hydrochloride
3540
Compatível
injetável Heparin sodium 500 UI/ml
injetável Urapidil 5 mg/ml
cloreto de sódio 0,9% 3823
Precipitação imediata Incompatível
injetável Heparin sodium 0,5 >> 14,3 UI/ml
injetável Vancomycin hydrochloride 6,9 >> 14,3 mg/ml
Dianéal® PD1 4.25% Glucose (Baxter) 2375
Incompatibilidade não especificada Incompatível
injetável Heparin sodium
injetável Vancomycin hydrochloride
3588
Incompatibilidade não especificada Incompatível
injetável Heparin sodium
injetável Vancomycin hydrochloride
3540
Compatível
injetável Heparin sodium 0,5 >> 14,3 UI/ml
injetável Vancomycin hydrochloride 0,015 >> 6,8 mg/ml
Dianéal® PD2 2.5% glucose (Baxter) 2375
Precipitação imediata Incompatível
injetável Heparin sodium 0,5 >> 14,3 UI/ml
injetável Vancomycin hydrochloride 6,9 >> 14,3 mg/ml
Dianéal® PD2 2.5% glucose (Baxter) 2375
Compatível
injetável Heparin sodium 10 UI/ml
injetável Vancomycin hydrochloride 0.025 mg/ml
Agua para injectaveis 3125
Compatível
injetável Heparin sodium 0,5 >> 14,3 UI/ml
injetável Vancomycin hydrochloride 0,015 >> 6,8 mg/ml
Dianéal® PD1 4.25% Glucose (Baxter) 2375
Incompatibilidade não especificada Incompatível
injetável Heparin sodium 50 UI/ml
injetável Vancomycin hydrochloride 6.6 mg/ml
nenhum 317
Compatível
injetável Heparin sodium 100 UI/ml
injetável Vancomycin hydrochloride 0.025 mg/ml
cloreto de sódio 0,9% 1414
Compatível
injetável Heparin sodium 10 UI/ml
injetável Vancomycin hydrochloride 2 mg/ml
cloreto de sódio 0,9% 2037
Precipitação imediata Incompatível
injetável Heparin sodium 100 UI/ml
injetável Vancomycin hydrochloride 10 mg/ml
Nutrição parenterica (mistura binária) 132
Compatível
injetável Heparin sodium 5000 UI/ml
injetável Vancomycin hydrochloride 2.5 mg/ml
cloreto de sódio 0,9% 2037
Compatível
injetável Heparin sodium 100 UI/ml
injetável Vancomycin hydrochloride 0.025 mg/ml
cloreto de sódio 0,9% 895
Compatível
injetável Heparin sodium 100 UI/ml
injetável Vasopressin 2 & 4 UI/ml
cloreto de sódio 0,9% 1801
Compatível
injetável Heparin sodium 100 UI/ml
injetável Vecuronium bromide 1 mg/ml
314
Compatível
injetável Heparin sodium 40 UI/ml
injetável Vecuronium bromide 0.1 mg/ml
Glucose 5% 402
Compatível
injetável Heparin sodium 20 UI/ml
injetável Verapamil hydrochloride 0.08 mg/ml
cloreto de sódio 0,9% 1057
Compatível
injetável Heparin sodium 20 UI/ml
injetável Verapamil hydrochloride 0.08 mg/ml
Glucose 5% 1057
Incompatibilidade não especificada Incompatível
injetável Heparin sodium
injetável Vinblastine sulfate
3540
Compatível
injetável Heparin sodium 1000 UI/ml
injetável Vinblastine sulfate 1 mg/ml
763
Compatível
injetável Heparin sodium 1000 UI/ml
injetável Vincristine sulfate 1 mg/ml
763
Compatível
injetável Heparin sodium 100 UI/ml
injetável Vinorelbine tartrate 1 mg/ml
cloreto de sódio 0,9% 84
Compatível
injetável Heparin sodium 100 UI/ml
injetável Vinorelbine tartrate 1 mg/ml
cloreto de sódio 0,9% 1070
Precipitação imediata Incompatível
injetável Heparin sodium 10 & 100 UI/ml
injetável Vinorelbine tartrate 2 & 3 mg/ml
cloreto de sódio 0,9% 1070
Compatível
injetável Heparin sodium 208 UI/ml
injetável Voriconazole 8 mg/ml
Glucose 5% 4254
Compatível
injetável Heparin sodium 208 UI/ml
injetável Voriconazole 8 mg/ml
cloreto de sódio 0,9% 4254
Compatível
injetável Heparin sodium 100 UI/ml
injetável Warfarin sodium 2 mg/ml
Glucose 5% 315
Compatível
injetável Heparin sodium 100 UI/ml
injetável Zidovudine 4 mg/ml
Glucose 5% 337

  Mentions Légales