Seneste opdatering :
18/03/2026
Antikoagulant   Heparin sodium  
Injektion
Stabilitet i (vandige) opløsninger Stabilitet i blandinger Faktorer der påvirker stabiliteten Kompatibilitet Administrationsvej Bibliografi pdf
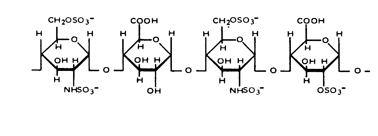
   Kemisk struktur  

Handelsnavn   Handelsnavn     

Handel navne er vejledende og hjælpestoffer sammensætning kan være forskellig afhængigt af landet og laboratorier

Arapin Chile
Ateroclar Italien
Clarisco Italien
Epsoclar Italien
Hepaflex Finland, Norge
Hepamax Chile, Colombia, Ecuador
Heparin Canada, Danmark, Finland, Grækenland, Holland, Jugoslavien, Norge, russisk, Schweiz, Storbritanien, Sverige, Sydafrika, Thailand, Tyrkiet, Ungarn, USA, Østrig
Heparine Belgien, Frankrig
Heparinised Australien
Heparstad Tyskland
Liquemin Schweiz, Tyrkiet
Liquemine Brasilien
Monoparin Saudi-Arabien
Normoparin Italien
Nuparin Ecuador
Pharepa Italien
Riveparin Argentina
Sobrius Argentina, Ecuador
Thrombophob Tyskland
Kompatibilitet   Injektion   Kompatibilitet : Heparin sodium              
Denne skærm viser kompatibilitet eller uforenelighed med, i dette tilfælde typen af inkompatibilitet (udfældning, farveændring, ændring af en emulsion osv.). Kompatibiliteterne vist her er for det meste kun fysiske, idet den kemiske stabilitet af hvert molekyle sjældent vurderes. Evalueringen af disse blandinger blev undersøgt for at overveje muligheden for Y-sted-administration til patienten. Disse data kan ikke bruges til at fremstille blandinger på forhånd i poser eller sprøjter. Denne type information findes på skærmen "Stabilitet i blanding".
Molekyle Opløsningsmiddel Bibliografi
Kompatibel
Injektion Heparin sodium 100 UI/ml
Injektion Aciclovir sodium 5 mg/ml
0,9 % Natriumklorid 2335
Kompatibel
Injektion Heparin sodium 50 UI/ml
Injektion Aciclovir sodium 5 mg/ml
5 % Glukose 336
Kompatibel
Injektion Heparin sodium 100 UI/ml
Injektion Aldesleukin 0.0338 MUI/ml
5 % Glukose 36
Kompatibel
Injektion Heparin sodium 100 UI/ml
Injektion Allopurinol sodium 3 mg/ml
0,9 % Natriumklorid 307
Kompatibel
Injektion Heparin sodium 1 UI/ml
Injektion Alprostadil 20 µg/ml
0,9 % Natriumklorid 4491
Kompatibel
Injektion Heparin sodium 1 UI/ml
Injektion Alprostadil 20 µg/ml
5 % Glukose 4651
Nedbør efter 24 timer Uforenelig
Injektion Heparin sodium 100 UI/ml
Injektion Alteplase 1 mg/ml
Vand til injektion 92
Uspecificeret inkompatibilitet Uforenelig
Injektion Heparin sodium
Injektion Alteplase
3540
Umiddelbar nedbør Uforenelig
Injektion Heparin sodium 40 UI/ml
Injektion Alteplase 0.5 mg/ml
Vand til injektion 240
Uspecificeret inkompatibilitet Uforenelig
Injektion Heparin sodium
Injektion Alteplase
3616
Kompatibel
Injektion Heparin sodium 100 UI/ml
Injektion Amifostine 10 mg/ml
5 % Glukose 3
Umiddelbar nedbør Uforenelig
Injektion Heparin sodium
Injektion Amikacin sulfate
1022
Uspecificeret inkompatibilitet Uforenelig
Injektion Heparin sodium
Injektion Amikacin sulfate
3549
Uspecificeret inkompatibilitet Uforenelig
Injektion Heparin sodium
Injektion Amikacin sulfate
3540
Uspecificeret inkompatibilitet Uforenelig
Injektion Heparin sodium 500 UI/ml
Injektion Amiodarone hydrochloride 15 mg/ml
0,9 % Natriumklorid 3823
Uspecificeret inkompatibilitet Uforenelig
Injektion Heparin sodium
Injektion Amiodarone hydrochloride
3540
Umiddelbar turbiditet Uforenelig
Injektion Heparin sodium 500 UI/ml
Injektion Amiodarone hydrochloride 15 mg/ml
0,9 % Natriumklorid 3463
Uspecificeret inkompatibilitet Uforenelig
Injektion Heparin sodium
Injektion Amiodarone hydrochloride
3464
Uspecificeret inkompatibilitet Uforenelig
Injektion Heparin sodium 500 UI/ml
Injektion Amiodarone hydrochloride 15 mg/ml
5 % Glukose 3823
Umiddelbar turbiditet Uforenelig
Injektion Heparin sodium 500 UI/ml
Injektion Amiodarone hydrochloride 15 mg/ml
5 % Glukose 3463
Kompatibel
Injektion Heparin sodium 208 UI/ml
Injektion Amoxicillin sodium 20.83 & 83.3 mg/ml
0,9 % Natriumklorid 4254
Kompatibel
Injektion Heparin sodium 1000 UI/ml
Injektion Amoxicillin sodium / clavulanic acid 100/10 mg/ml
3824
Kompatibel
Injektion Heparin sodium
Injektion Ampicillin sodium
5088
Kompatibel
Injektion Heparin sodium 50 UI/ml
Injektion Ampicillin sodium 20 mg/ml
Ingen 317
Kompatibel
Injektion Heparin sodium 50 UI/ml
Injektion Ampicillin sodium - sulbactam sodium 30 mg/ml
Ingen 317
Umiddelbar nedbør Uforenelig
Injektion Heparin sodium 40 UI/ml
Injektion Amsacrine 1 mg/ml
5 % Glukose 253
Kompatibel
Injektion Heparin sodium 100 UI/ml
Injektion Anidulafungin 0.5 mg/ml
5 % Glukose 1982
Umiddelbar nedbør Uforenelig
Injektion Heparin sodium
Injektion Antithymocyte globulin (rabbit)
4958
Umiddelbar nedbør Uforenelig
Injektion Heparin sodium 2 UI/ml
Injektion Antithymocyte globulin (rabbit) 0,2 & 0,3 mg/ml
5 % Glukose 1822
Kompatibel
Injektion Heparin sodium 100 UI/ml
Injektion Antithymocyte globulin (rabbit) 0,2 & 0,3 mg/ml
5 % Glukose 1822
Kompatibel
Injektion Heparin sodium 2 & 100 UI/ml
Injektion Antithymocyte globulin (rabbit) 0,2 & 0,3 mg/ml
0,9 % Natriumklorid 1822
Kompatibel
Injektion Heparin sodium 40 UI/ml
Injektion Atracurium besylate 0.5 mg/ml
5 % Glukose 402
Kompatibel
Injektion Heparin sodium 1 UI/ml
Injektion Atropine sulfate 0.5 mg/ml
5 % Glukose 1228
Kompatibel
Injektion Heparin sodium 500 UI/ml
Parenteral ernæring (lipider) 4507
Umiddelbar nedbør Uforenelig
Injektion Heparin sodium 1000 UI/ml
Injektion Amphotericin B cholesteryl sulfate complex 0.83 mg/ml
5 % Glukose 921
Uspecificeret inkompatibilitet Uforenelig
Injektion Heparin sodium
Injektion Ampicillin sodium
3540
Kompatibel
Injektion Heparin sodium 10 & 5000 UI/ml
Injektion Ampicillin sodium 10 mg/ml
0,9 % Natriumklorid 2037
Kompatibel
Injektion Heparin sodium 1 UI/ml
Injektion Atropine sulfate 0.5 mg/ml
Ringer laktat 1228
Kompatibel
Injektion Heparin sodium 1 UI/ml
Injektion Atropine sulfate 0.5 mg/ml
0,9 % Natriumklorid 1228
Kompatibel
Injektion Heparin sodium 100 UI/ml
Injektion Aztreonam 40 mg/ml
5 % Glukose 99
Kompatibel
Injektion Heparin sodium 50 UI/ml
Injektion Aztreonam 20 mg/ml
Ingen 317
Kompatibel
Injektion Heparin sodium 1 UI/ml
Injektion Betamethasone sodium phosphate 3 mg/ml
0,9 % Natriumklorid 1228
Kompatibel
Injektion Heparin sodium 1 UI/ml
Injektion Betamethasone sodium phosphate 3 mg/ml
5 % Glukose 1228
Kompatibel
Injektion Heparin sodium 1 UI/ml
Injektion Betamethasone sodium phosphate 3 mg/ml
Ringer laktat 1228
Kompatibel
Injektion Heparin sodium 100 UI/ml
Injektion Bivalirudin 5 mg/ml
5 % Glukose 1713
Umiddelbar nedbør Uforenelig
Injektion Heparin sodium 192.3 UI/ml
Injektion Blinatumomab 0.125 & 0.375 µg/ml
0,9 % Natriumklorid 3976
Kompatibel
Injektion Heparin sodium 1000 UI/ml
Injektion Caffeine 10 mg/ml
Ingen 3964
Kompatibel
Injektion Heparin sodium 100 UI/ml
Injektion Caffeine 10 mg/ml
0,9 % Natriumklorid 4837
Kompatibel
Injektion Heparin sodium 100 UI/ml
Injektion Caffeine citrate 20 mg/ml
0,9 % Natriumklorid 4837
Nedbør efter 30 minutter Uforenelig
Injektion Heparin sodium 2 UI/ml
Injektion Calcium chloride 20 mg/ml
5 % Glukose 4732
Kompatibel
Injektion Heparin sodium 100 UI/ml
Injektion Calcium chloride 20 mg/ml
5 % Glukose 4732
Umiddelbar ustabilitet af emulsionen Uforenelig
Injektion Heparin sodium
Injektion Calcium chloride
Parenteral ernæring (lipider) 1084
Umiddelbar ustabilitet af emulsionen Uforenelig
Injektion Heparin sodium
Injektion Calcium gluconate
Parenteral ernæring (lipider) 1084
Umiddelbar nedbør Uforenelig
Injektion Heparin sodium 100 UI/ml
Injektion Caspofungin acetate 0.5 mg/ml
0,9 % Natriumklorid 2233
Umiddelbar nedbør Uforenelig
Injektion Heparin sodium 100 UI/ml
Injektion Caspofungin acetate 0,7 mg/ml
0,9 % Natriumklorid 2247
Uspecificeret inkompatibilitet Uforenelig
Injektion Heparin sodium
Injektion Cefalotin sodium
3540
Kompatibel
Injektion Heparin sodium 10 & 5000 UI/ml
Injektion Cefazolin sodium 10 mg/ml
0,9 % Natriumklorid 2037
Kompatibel
Injektion Heparin sodium 50 UI/ml
Injektion Cefazolin sodium 20 mg/ml
Ingen 317
Kompatibel
Injektion Heparin sodium 0.667 UI/ml
Injektion Cefazolin sodium 0.333 mg/ml
Dianéal® PD2 1.5% Glukose (Baxter) 1979
Kompatibel
Injektion Heparin sodium 10 & 50 UI/ml
Injektion Cefepime dihydrochloride 4 mg/ml
0,9 % Natriumklorid 3548
Kompatibel
Injektion Heparin sodium 10 & 50 UI/ml
Injektion Cefepime dihydrochloride 4 mg/ml
5 % Glukose 3548
Kompatibel
Injektion Heparin sodium 1000 UI/ml
Injektion Cefiderocol sulfate tosylate 20 mg/mL
5 % Glukose 4528
Kompatibel
Injektion Heparin sodium 1000 UI/ml
Injektion Cefiderocol sulfate tosylate 20 mg/mL
0,9 % Natriumklorid 4528
Kemisk ustabilitet Uforenelig
Injektion Heparin sodium 100 UI/ml
Injektion Cefmetazole sodium 100 mg/ml
Vand til injektion 93
Kompatibel
Injektion Heparin sodium 208 UI/ml
Injektion Cefotaxime sodium 41.6 & 125 mg/ml
5 % Glukose 4254
Kompatibel
Injektion Heparin sodium 208 UI/ml
Injektion Cefotaxime sodium 41.6 & 125 mg/ml
0,9 % Natriumklorid 4254
Kompatibel
Injektion Heparin sodium 5000 UI/ml
Injektion Cefotaxime sodium 10 mg/ml
Vand til injektion 3125
Kompatibel
Injektion Heparin sodium 100 UI/ml
Injektion Ceftaroline fosamil 2,22 mg/ml
Ringer laktat 3249
Kompatibel
Injektion Heparin sodium 100 UI/ml
Injektion Ceftaroline fosamil 2,22 mg/ml
0,9 % Natriumklorid 3249
Kompatibel
Injektion Heparin sodium 100 UI/ml
Injektion Ceftaroline fosamil 2,22 mg/ml
5 % Glukose 3249
Kompatibel
Injektion Heparin sodium 0.5 UI/ml
Injektion Ceftazidime 0.125 mg/ml
Extraneal® (Baxter) 4056
Kompatibel
Injektion Heparin sodium 0.5 UI/ml
Injektion Ceftazidime 0.125 mg/ml
Dianéal® PD2 4.25% Glukose (Baxter) 4056
Kompatibel
Injektion Heparin sodium 50 UI/ml
Injektion Ceftazidime 20 mg/ml
Ingen 317
Kompatibel
Injektion Heparin sodium 0.5 UI/ml
Injektion Ceftazidime 0.125 mg/ml
Dianéal® PD2 2.5% glucose (Baxter) 4056
Kompatibel
Injektion Heparin sodium 100 UI/ml
Injektion Ceftobiprole medocaril sodium 2 mg/ml
0,9 % Natriumklorid 2269
Kompatibel
Injektion Heparin sodium 100 UI/ml
Injektion Ceftobiprole medocaril sodium 2 mg/ml
5 % Glukose 2269
Kompatibel
Injektion Heparin sodium 100 UI/ml
Injektion Ceftobiprole medocaril sodium 2 mg/ml
Ringer laktat 2269
Kompatibel
Injektion Heparin sodium 1000 UI/ml
Injektion Ceftolozane / tazobactam 10/5 mg/ml
0,9 % Natriumklorid 3828
Kompatibel
Injektion Heparin sodium 1000 UI/ml
Injektion Ceftolozane / tazobactam 10/5 mg/ml
5 % Glukose 3828
Kompatibel
Injektion Heparin sodium 50 UI/ml
Injektion Ceftriaxone disodium 20 mg/ml
Ingen 317
Kompatibel
Injektion Heparin sodium 10 & 50 UI/ml
Injektion Cefuroxime sodium
0,9 % Natriumklorid 3687
Kompatibel
Injektion Heparin sodium 58,34 UI/ml
Injektion Chlorpromazine hydrochloride 0,26 mg/ml
5 % Glukose 1289
Kompatibel
Injektion Heparin sodium 1 UI/ml
Injektion Chlorpromazine hydrochloride 10 mg/ml
0,9 % Natriumklorid 1228
Kompatibel
Injektion Heparin sodium 1 UI/ml
Injektion Chlorpromazine hydrochloride 10 mg/ml
5 % Glukose 1228
Uspecificeret inkompatibilitet Uforenelig
Injektion Heparin sodium
Injektion Chlorpromazine hydrochloride
3540
Kompatibel
Injektion Heparin sodium 1 UI/ml
Injektion Chlorpromazine hydrochloride 10 mg/ml
Ringer laktat 1228
Kompatibel
Injektion Heparin sodium 50 UI/ml
Injektion Cimetidine hydrochloride 6 mg/ml
Ingen 317
Kompatibel
Injektion Heparin sodium 5000 & 10000 UI/ml
Injektion Ciprofloxacin lactate 0.4 & 0.6 mg/ml
0,9 % Natriumklorid 2057
Umiddelbar nedbør Uforenelig
Injektion Heparin sodium 10 >> 10000 UI/ml
Injektion Ciprofloxacin lactate 1 mg/ml
0,9 % Natriumklorid 2057
Umiddelbar nedbør Uforenelig
Injektion Heparin sodium 10 & 100 UI/ml
Injektion Ciprofloxacin lactate 0.2 mg/ml
0,9 % Natriumklorid 2057
Uspecificeret inkompatibilitet Uforenelig
Injektion Heparin sodium
Injektion Ciprofloxacin lactate
3540
Umiddelbar nedbør Uforenelig
Injektion Heparin sodium 10 >> 1000 UI/ml
Injektion Ciprofloxacin lactate 0.4 & 0.6 mg/ml
0,9 % Natriumklorid 2057
Kompatibel
Injektion Heparin sodium 1000 >> 10000 UI/ml
Injektion Ciprofloxacin lactate 0.2 mg/ml
0,9 % Natriumklorid 2057
Umiddelbar nedbør Uforenelig
Injektion Heparin sodium 10 >> 5000 UI/ml
Injektion Ciprofloxacin lactate 0.8 mg/ml
0,9 % Natriumklorid 2057
Kompatibel
Injektion Heparin sodium 10 >> 10000 UI/ml
Injektion Ciprofloxacin lactate 0.1 mg/ml
0,9 % Natriumklorid 2057
Umiddelbar nedbør Uforenelig
Injektion Heparin sodium 100 UI/ml
Injektion Ciprofloxacin lactate 2 mg/ml
0,9 % Natriumklorid 288
Uspecificeret inkompatibilitet Uforenelig
Injektion Heparin sodium
Injektion Ciprofloxacin lactate
3529
Umiddelbar nedbør Uforenelig
Injektion Heparin sodium 100 UI/ml
Injektion Ciprofloxacin lactate 2 mg/ml
5 % Glukose 288
Umiddelbar nedbør Uforenelig
Injektion Heparin sodium 10 >> 1000 UI/ml
Injektion Ciprofloxacin lactate 2 mg/ml
0,9 % Natriumklorid 289
Umiddelbar turbiditet Uforenelig
Injektion Heparin sodium 10 UI/ml
Injektion Ciprofloxacin lactate 2 mg/ml
Ingen 1393
Kompatibel
Injektion Heparin sodium 10000 UI/ml
Injektion Ciprofloxacin lactate 0.8 mg/ml
0,9 % Natriumklorid 2057
Kompatibel
Injektion Heparin sodium 100 UI/ml
Injektion Cisatracurium besylate 0.1 & 2 mg/ml
5 % Glukose 299
Umiddelbar nedbør Uforenelig
Injektion Heparin sodium 100 UI/ml
Injektion Cisatracurium besylate 5 mg/ml
5 % Glukose 299
Farveændring Uforenelig
Injektion Heparin sodium 500 UI/ml
Injektion Cisatracurium besylate 5 mg/ml
0,9 % Natriumklorid 3463
Uspecificeret inkompatibilitet Uforenelig
Injektion Heparin sodium 500 UI/ml
Injektion Cisatracurium besylate 5 mg/ml
0,9 % Natriumklorid 3823
Uspecificeret inkompatibilitet Uforenelig
Injektion Heparin sodium
Injektion Cisatracurium besylate
3540
Kompatibel
Injektion Heparin sodium 100 UI/ml
Injektion Cladribine 0.5 mg/ml
0,9 % NaCl + antibakteriel 1496
Kompatibel
Injektion Heparin sodium 100 UI/ml
Injektion Cladribine 0.015 mg/ml
0,9 % Natriumklorid 1496
Kompatibel
Injektion Heparin sodium 50 UI/ml
Injektion Clindamycin phosphate 12 mg/ml
Ingen 317
Kompatibel
Injektion Heparin sodium 50 UI/ml
Injektion Clonidine hydrochloride 0.0075 mg/ml
0,9 % Natriumklorid 1506
Kompatibel
Injektion Heparin sodium 50 UI/ml
Injektion Clonidine hydrochloride 0.0075 mg/ml
5 % Glukose 1506
Kompatibel
Injektion Heparin sodium 100 UI/ml
Injektion Cloxacillin sodium 100 mg/ml
Vand til injektion 3012
Nedbør efter 4 timer Uforenelig
Injektion Heparin sodium 208 UI/ml
Injektion Co-trimoxazole 3.2/0.64 & 80/16 mg/ml
0,9 % Natriumklorid 4254
Nedbør efter 4 timer Uforenelig
Injektion Heparin sodium 208 UI/ml
Injektion Co-trimoxazole 3.2/0.64 & 80/16 mg/ml
5 % Glukose 4254
Kompatibel
Injektion Heparin sodium 1 UI/ml
Injektion Cyanocobalamine 0.1 mg/ml
Ringer laktat 1228
Kompatibel
Injektion Heparin sodium 1 UI/ml
Injektion Cyanocobalamine 0.1 mg/ml
5 % Glukose 1228
Kompatibel
Injektion Heparin sodium 1 UI/ml
Injektion Cyanocobalamine 0.1 mg/ml
0,9 % Natriumklorid 1228
Uspecificeret inkompatibilitet Uforenelig
Injektion Heparin sodium
Injektion Cytarabine
3540
Uspecificeret inkompatibilitet Uforenelig
Injektion Heparin sodium
Injektion Cytarabine
3580
Uspecificeret inkompatibilitet Uforenelig
Injektion Heparin sodium
Injektion Dacarbazine
3605
Umiddelbar nedbør Uforenelig
Injektion Heparin sodium 100 UI/ml
Injektion Dacarbazine 25 mg/ml
0,9 % Natriumklorid 860
Uspecificeret inkompatibilitet Uforenelig
Injektion Heparin sodium
Injektion Dacarbazine
3267
Uspecificeret inkompatibilitet Uforenelig
Injektion Heparin sodium
Injektion Dacarbazine
3540
Kompatibel
Injektion Heparin sodium
Injektion Daptomycin
2271
Kompatibel
Injektion Heparin sodium 98 UI/ml
Injektion Daptomycin 19,6 mg/ml
0,9 % Natriumklorid 1937
Umiddelbar nedbør Uforenelig
Injektion Heparin sodium
Injektion Daunorubicin hydrochloride
3604
Uspecificeret inkompatibilitet Uforenelig
Injektion Heparin sodium
Injektion Daunorubicin hydrochloride
3540
Umiddelbar nedbør Uforenelig
Injektion Heparin sodium
Injektion Daunorubicin hydrochloride liposome
3577
Umiddelbar turbiditet Uforenelig
Injektion Heparin sodium
Injektion Daunorubicin/cytarabine liposomale 0,4 mg/mL
0,9 % Natriumklorid 4654
Kompatibel
Injektion Heparin sodium 373 UI/ml
Injektion Defibrotide 8 mg/ml
0,9 % Natriumklorid 3728
Kompatibel
Injektion Heparin sodium 50 UI/ml
Injektion Dexamethasone sodium phosphate 0.08 mg/ml
Ingen 317
Kompatibel
Injektion Heparin sodium
Injektion Dexketoprofen
4981
Kompatibel
Injektion Heparin sodium 100 UI/ml
Injektion Dexmedetomidine 4 µg/ml
0,9 % Natriumklorid 1712
Kompatibel
Injektion Heparin sodium 10000 UI/ml
Injektion Diatrizoate meglumine 283 mg/ml
Ingen 1085
Uspecificeret inkompatibilitet Uforenelig
Injektion Heparin sodium
Injektion Diazepam
3540
Kompatibel
Injektion Heparin sodium 100 UI/ml
Injektion Diltiazem hydrochloride 1 mg/ml
314
Umiddelbar nedbør Uforenelig
Injektion Heparin sodium 20000 UI/ml
Injektion Diltiazem hydrochloride 5 mg/ml
0,9 % Natriumklorid 198
Kompatibel
Injektion Heparin sodium 100 UI/ml
Injektion Diltiazem hydrochloride 1 mg/ml
5 % Glukose 4556
Umiddelbar turbiditet Uforenelig
Injektion Heparin sodium 100 UI/ml
Injektion Diltiazem hydrochloride 5 mg/ml
5 % Glukose 4556
Kompatibel
Injektion Heparin sodium 20000 UI/ml
Injektion Diltiazem hydrochloride 1 mg/ml
0,9 % Natriumklorid 198
Kompatibel
Injektion Heparin sodium
Injektion Diltiazem hydrochloride
5090
Kompatibel
Injektion Heparin sodium 80 >> 10000 UI/ml
Injektion Diltiazem hydrochloride 1 & 5 mg/ml
0,9 % Natriumklorid 198
Umiddelbar nedbør Uforenelig
Injektion Heparin sodium
Injektion Dimenhydrinate
2087
Kompatibel
Injektion Heparin sodium 1 UI/ml
Injektion Diphenhydramine hydrochloride 50 mg/ml
0,9 % Natriumklorid 1228
Kompatibel
Injektion Heparin sodium 1 UI/ml
Injektion Diphenhydramine hydrochloride 50 mg/ml
5 % Glukose 1228
Kompatibel
Injektion Heparin sodium 1 UI/ml
Injektion Diphenhydramine hydrochloride 50 mg/ml
Ringer laktat 1228
Nedbør efter 4 timer Uforenelig
Injektion Heparin sodium 100 UI/ml
Injektion Dobutamine hydrochloride 4 mg/ml
314
Kompatibel
Injektion Heparin sodium 40 UI/ml
Injektion Dobutamine hydrochloride 1 mg/ml
0,9 % Natriumklorid 1058
Kompatibel
Injektion Heparin sodium 100 UI/ml
Injektion Dobutamine hydrochloride 2 mg/ml
5 % Glukose 1041
Umiddelbar nedbør Uforenelig
Injektion Heparin sodium 100 UI/ml
Injektion Dobutamine hydrochloride 2 mg/ml
5 % Glukose 1352
Umiddelbar turbiditet Uforenelig
Injektion Heparin sodium 100 UI/ml
Injektion Dobutamine hydrochloride 4 mg/ml
5 % Glukose 295
Umiddelbar nedbør Uforenelig
Injektion Heparin sodium
Injektion Dobutamine hydrochloride
3540
Farveændring efter 6 timer Uforenelig
Injektion Heparin sodium 10000 UI/ml
Injektion Dobutamine hydrochloride 2 mg/ml
5 % Glukose 1041
Kompatibel
Injektion Heparin sodium 40 UI/ml
Injektion Dobutamine hydrochloride 1 mg/ml
5 % Glukose 1058
Kompatibel
Injektion Heparin sodium 50 UI/ml
Injektion Dobutamine hydrochloride 1 mg/ml
Ingen 317
Kompatibel
Injektion Heparin sodium 100 UI/ml
Injektion Docetaxel 0.9 mg/ml
5 % Glukose 1754
Kompatibel
Injektion Heparin sodium 1 UI/ml
Injektion Dopamine hydrochloride 40 mg/ml
0,9 % Natriumklorid 1228
Kompatibel
Injektion Heparin sodium 50 UI/ml
Injektion Dopamine hydrochloride 1.6 mg/ml
Ingen 317
Kompatibel
Injektion Heparin sodium 100 UI/ml
Injektion Dopamine hydrochloride 3.2 mg/ml
314
Kompatibel
Injektion Heparin sodium 1 UI/ml
Injektion Dopamine hydrochloride 40 mg/ml
Ringer laktat 1228
Kompatibel
Injektion Heparin sodium 200 UI/ml
Injektion Dopamine hydrochloride 0.8 mg/ml
5 % Glukose 738
Kompatibel
Injektion Heparin sodium 1 UI/ml
Injektion Dopamine hydrochloride 40 mg/ml
5 % Glukose 1228
Kompatibel
Injektion Heparin sodium 100 UI/ml
Injektion Dopamine hydrochloride 3,2 mg/ml
4389
Uspecificeret inkompatibilitet Uforenelig
Injektion Heparin sodium 187 UI/ml
Injektion Dopamine hydrochloride 1,7 >> 3,4 mg/ml
5 % Glukose 377
Kompatibel
Injektion Heparin sodium 100 UI/ml
Injektion Doripenem 5 mg/ml
0,9 % Natriumklorid 2262
Kompatibel
Injektion Heparin sodium 100 UI/ml
Injektion Doripenem 5 mg/ml
5 % Glukose 2262
Kompatibel
Injektion Heparin sodium 1 UI/ml
Injektion Doxapram hydrochloride 2 mg/ml
5 % Glukose 1802
Uspecificeret inkompatibilitet Uforenelig
Injektion Heparin sodium
Injektion Doxorubicin hydrochloride
3540
Umiddelbar nedbør Uforenelig
Injektion Heparin sodium
Injektion Doxorubicin hydrochloride
3645
Umiddelbar nedbør Uforenelig
Injektion Heparin sodium 1000 UI/ml
Injektion Doxorubicin hydrochloride 2 mg/ml
763
Kompatibel
Injektion Heparin sodium 1000 UI/ml
Injektion Doxorubicin hydrochloride liposome peg 0.4 mg/ml
5 % Glukose 251
Uspecificeret inkompatibilitet Uforenelig
Injektion Heparin sodium 50 UI/ml
Injektion Doxycycline hyclate 1 mg/ml
Ingen 317
Umiddelbar nedbør Uforenelig
Injektion Heparin sodium 1000 UI/ml
Injektion Droperidol 2,5 mg/ml
763
Kompatibel
Injektion Heparin sodium 1 UI/ml
Injektion Droperidol 1.25 mg/ml
0,9 % Natriumklorid 1228
Kompatibel
Injektion Heparin sodium 1 UI/ml
Injektion Droperidol 1.25 mg/ml
Ringer laktat 1228
Kompatibel
Injektion Heparin sodium 1 UI/ml
Injektion Droperidol 1.25 mg/ml
5 % Glukose 1228
Uspecificeret inkompatibilitet Uforenelig
Injektion Heparin sodium
Injektion Droperidol
3540
Kompatibel
Injektion Heparin sodium 45,45 UI/ml
Injektion Enalaprilate 0,011 mg/ml
5 % Glukose 963
Kompatibel
Injektion Heparin sodium 40 UI/ml
Injektion Enalaprilate 0.05 mg/ml
0,9 % Natriumklorid 1315
Kompatibel
Injektion Heparin sodium 50 UI/ml
Injektion Enalaprilate 0.0125 mg/ml
0,9 % Natriumklorid 1703
Kompatibel
Injektion Heparin sodium 1 UI/ml
Injektion Epinephrine hydrochloride 100 µg/ml
Ringer laktat 1228
Kompatibel
Injektion Heparin sodium 100 UI/ml
Injektion Epinephrine hydrochloride 20 µg/ml
314
Kompatibel
Injektion Heparin sodium 1 UI/ml
Injektion Epinephrine hydrochloride 100 µg/ml
0,9 % Natriumklorid 1228
Kompatibel
Injektion Heparin sodium 1 UI/ml
Injektion Epinephrine hydrochloride 100 µg/ml
5 % Glukose 1228
Uspecificeret inkompatibilitet Uforenelig
Injektion Heparin sodium
Injektion Epirubicin hydrochloride
3632
Kompatibel
Injektion Heparin sodium
Injektion Eptifibatide
3934
Kompatibel
Injektion Heparin sodium 1000 UI/ml
Injektion Eravacycline 0,6 mg/ml
0,9 % Natriumklorid 4434
Umiddelbar turbiditet Uforenelig
Injektion Heparin sodium 1 UI/ml
Injektion Ergotamine tartrate 0.5 mg/ml
0,9 % Natriumklorid 1228
Nedbør efter 4 timer Uforenelig
Injektion Heparin sodium 1 UI/ml
Injektion Ergotamine tartrate 0.5 mg/ml
Ringer laktat 1228
Nedbør efter 4 timer Uforenelig
Injektion Heparin sodium 1 UI/ml
Injektion Ergotamine tartrate 0.5 mg/ml
5 % Glukose 1228
Kompatibel
Injektion Heparin sodium 50 & 100 UI/ml
Injektion Ertapenem 10 & 20 mg/ml
0,9 % Natriumklorid 1906
Kompatibel
Injektion Heparin sodium 50 UI/ml
Injektion Erythromycin lactobionate 3.3 mg/ml
Ingen 317
Uspecificeret inkompatibilitet Uforenelig
Injektion Heparin sodium
Injektion Erythromycin lactobionate
3674
Uspecificeret inkompatibilitet Uforenelig
Injektion Heparin sodium
Injektion Erythromycin lactobionate
3540
Kompatibel
Injektion Heparin sodium 50 UI/ml
Injektion Esmolol hydrochloride 6 mg/ml
5 % Glukose 174
Kompatibel
Injektion Heparin sodium 40 UI/ml
Injektion Esmolol hydrochloride 10 mg/ml
5 % Glukose 384
Kompatibel
Injektion Heparin sodium 500 UI/ml
Injektion Esmolol hydrochloride 10 mg/ml
0,9 % Natriumklorid 3823
Umiddelbar nedbør Uforenelig
Injektion Heparin sodium 1000 UI/ml
Injektion Ethanol 70 %
Vand til injektion + antibakteriel 2221
Umiddelbar nedbør Uforenelig
Injektion Heparin sodium 1000 UI/ml
Injektion Ethanol 70 %
Vand til injektion 2221
Nedbør efter 1 time Uforenelig
Injektion Heparin sodium 10 UI/ml
Injektion Ethanol 70 %
Vand til injektion + antibakteriel 2221
Umiddelbar nedbør Uforenelig
Injektion Heparin sodium 10 UI/ml
Injektion Ethanol 70 %
Vand til injektion 2221
Kompatibel
Injektion Heparin sodium 100 UI/ml
Injektion Etoposide phosphate 5 mg/ml
5 % Glukose 1410
Kompatibel
Injektion Heparin sodium 40 UI/ml
Injektion Famotidine
5 % Glukose 397
Kompatibel
Injektion Heparin sodium 50 UI/ml
Injektion Famotidine 0.2 mg/ml
5 % Glukose 398
Kompatibel
Injektion Heparin sodium 40 UI/ml
Injektion Famotidine 2 mg/ml
0,9 % Natriumklorid 215
Kompatibel
Injektion Heparin sodium 100 UI/ml
Injektion Fenoldopam mesylate 80 µg/ml
0,9 % Natriumklorid 1803
Kompatibel
Injektion Heparin sodium 100 UI/ml
Injektion Fentanyl citrate 50 µg/ml
4389
Kompatibel
Injektion Heparin sodium 1 UI/ml
Injektion Fentanyl citrate 50 µg/ml
5 % Glukose 1228
Kompatibel
Injektion Heparin sodium 1 UI/ml
Injektion Fentanyl citrate 50 µg/ml
Ringer laktat 1228
Kompatibel
Injektion Heparin sodium 1 UI/ml
Injektion Fentanyl citrate 50 µg/ml
0,9 % Natriumklorid 1228
Kompatibel
Injektion Heparin sodium 100 UI/ml
Injektion Fentanyl citrate 50 µg/ml
314
Umiddelbar nedbør Uforenelig
Injektion Heparin sodium 100 UI/ml
Injektion Filgrastim 30 µg/ml
5 % Glukose 244
Kompatibel
Injektion Heparin sodium 1000 UI/ml
Injektion Fluconazole 2 mg/ml
0,9 % Natriumklorid 496
Kompatibel
Injektion Heparin sodium 50 UI/ml
Injektion Fluconazole 2 mg/ml
Ingen 317
Kompatibel
Injektion Heparin sodium 40 >> 1000 UI/ml
Injektion Fludarabine phosphate 1 mg/ml
5 % Glukose 492
Kompatibel
Injektion Heparin sodium 50 UI/ml
Injektion Flumazenil 0,02 mg/ml
5 % Glukose 187
Kompatibel
Injektion Heparin sodium 5 UI/ml
Injektion Fluorouracil 0,8 mg/ml
0,9 % Natriumklorid 156
Kompatibel
Injektion Heparin sodium 5 UI/ml
Injektion Fluorouracil 0,8 mg/ml
5 % Glukose 156
Kompatibel
Injektion Heparin sodium 1 UI/ml
Injektion Fluorouracil 50 mg/ml
0,9 % Natriumklorid 1228
Kompatibel
Injektion Heparin sodium 960 UI/ml
Injektion Fluorouracil 24 mg/ml
5 % Glukose 163
Kompatibel
Injektion Heparin sodium 1 UI/ml
Injektion Fluorouracil 50 mg/ml
5 % Glukose 1228
Kompatibel
Injektion Heparin sodium 1000 UI/ml
Injektion Fluorouracil 50 mg/ml
763
Kompatibel
Injektion Heparin sodium 1 UI/ml
Injektion Fluorouracil 50 mg/ml
Ringer laktat 1228
Kompatibel
Injektion Heparin sodium 1000 UI/ml
Injektion Folinate calcium 10 mg/ml
763
Kompatibel
Injektion Heparin sodium 100 UI/ml
Injektion Foscarnet sodium 24 mg/ml
5 % Glukose 1135
Kompatibel
Injektion Heparin sodium 100 UI/ml
Injektion Foscarnet sodium 24 mg/ml
0,9 % Natriumklorid 1135
Kompatibel
Injektion Heparin sodium 1000 UI/ml
Injektion Foscarnet sodium 24 mg/ml
Ingen 73
Kompatibel
Injektion Heparin sodium 1000 UI/ml
Injektion Fosfomycin 30 mg/ml
5 % Glukose 4055
Kompatibel
Injektion Heparin sodium 1000 UI/ml
Injektion Fosfomycin 30 mg/ml
0,9 % Natriumklorid 4055
Kompatibel
Injektion Heparin sodium 100 UI/ml
Injektion Furosemide 10 mg/ml
314
Kompatibel
Injektion Heparin sodium 1 UI/ml
Injektion Furosemide 10 mg/ml
0,9 % Natriumklorid 1228
Nedbør efter 5 timer Uforenelig
Injektion Heparin sodium 100 UI/ml
Injektion Furosemide 10 mg/ml
5 % Glukose 4724
Kompatibel
Injektion Heparin sodium 20 UI/ml
Injektion Furosemide 1 mg/ml
0,9 % Natriumklorid 1232
Kompatibel
Injektion Heparin sodium 58,34 UI/ml
Injektion Furosemide 5,21 mg/ml
5 % Glukose 1289
Kompatibel
Injektion Heparin sodium
Injektion Furosemide
3465
Kompatibel
Injektion Heparin sodium 1 UI/ml
Injektion Furosemide 10 mg/ml
Ringer laktat 1228
Kompatibel
Injektion Heparin sodium 1000 UI/ml
Injektion Furosemide 10 mg/ml
763
Kompatibel
Injektion Heparin sodium 10 UI/ml
Injektion Furosemide 10 mg/ml
Ingen 3210
Kompatibel
Injektion Heparin sodium 500 UI/ml
Injektion Furosemide 10 mg/ml
0,9 % Natriumklorid 3823
Kompatibel
Injektion Heparin sodium 500 UI/ml
Injektion Furosemide 10 mg/ml
Ingen 3134
Kompatibel
Injektion Heparin sodium 1 UI/ml
Injektion Furosemide 10 mg/ml
5 % Glukose 1228
Kompatibel
Injektion Heparin sodium 40 UI/ml
Injektion Gallium nitrate 1 mg/ml
0,9 % Natriumklorid 91
Kompatibel
Injektion Heparin sodium 100 UI/ml
Injektion Gemcitabine hydrochloride 10 mg/ml
0,9 % Natriumklorid 1423
Umiddelbar turbiditet Uforenelig
Injektion Heparin sodium 2500 UI/ml
Injektion Gentamicin sulfate 3 mg/ml
4612
Uspecificeret inkompatibilitet Uforenelig
Injektion Heparin sodium
Injektion Gentamicin sulfate
3520
Uspecificeret inkompatibilitet Uforenelig
Injektion Heparin sodium
Injektion Gentamicin sulfate
3643
Umiddelbar nedbør Uforenelig
Injektion Heparin sodium
Injektion Gentamicin sulfate
1022
Uspecificeret inkompatibilitet Uforenelig
Injektion Heparin sodium 50 UI/ml
Injektion Gentamicin sulfate 2 mg/ml
Ingen 317
Umiddelbar nedbør Uforenelig
Injektion Heparin sodium 10 >> 40 UI/ml
Injektion Gentamicin sulfate 4 >> 40 mg/ml
1258
Umiddelbar nedbør Uforenelig
Injektion Heparin sodium 2500 UI/ml
Injektion Gentamicin sulfate 4 & 5 mg/ml
4612
Uspecificeret inkompatibilitet Uforenelig
Injektion Heparin sodium
Injektion Gentamicin sulfate
3540
Kompatibel
Injektion Heparin sodium 2500 UI/ml
Injektion Gentamicin sulfate 1 & 2 mg/ml
4612
Kompatibel
Injektion Heparin sodium 50 UI/ml
Injektion Glycerophosphate disodium
0,9 % Natriumklorid 4332
Kompatibel
Injektion Heparin sodium 100 UI/ml
Injektion Granisetron hydrochloride 0.05 mg/ml
5 % Glukose 182
Umiddelbar nedbør Uforenelig
Injektion Heparin sodium 100 & 200 UI/ml
Injektion Haloperidol lactate 5 mg/ml
5 % Glukose 617
Umiddelbar nedbør Uforenelig
Injektion Heparin sodium 100 & 200 UI/ml
Injektion Haloperidol lactate 5 mg/ml
0,9 % Natriumklorid 617
Kompatibel
Injektion Heparin sodium 500 UI/ml
Injektion Haloperidol lactate 0.5 mg/ml
0,9 % Natriumklorid 3823
Uspecificeret inkompatibilitet Uforenelig
Injektion Heparin sodium
Injektion Haloperidol lactate
3540
Kompatibel
Injektion Heparin sodium 100 UI/ml
Injektion Hetastarch 60 mg/ml
specifikt opløsningsmiddel 1721
Uspecificeret inkompatibilitet Uforenelig
Injektion Heparin sodium
Injektion Hyaluronidase
3617
Uspecificeret inkompatibilitet Uforenelig
Injektion Heparin sodium
Injektion Hyaluronidase
3184
Uspecificeret inkompatibilitet Uforenelig
Injektion Heparin sodium
Injektion Hyaluronidase
3540
Kompatibel
Injektion Heparin sodium 1 UI/ml
Injektion Hydralazine hydrochloride 20 mg/ml
5 % Glukose 1228
Kompatibel
Injektion Heparin sodium 1 UI/ml
Injektion Hydralazine hydrochloride 20 mg/ml
Ringer laktat 1228
Kompatibel
Injektion Heparin sodium 1 UI/ml
Injektion Hydralazine hydrochloride 20 mg/ml
0,9 % Natriumklorid 1228
Kompatibel
Injektion Heparin sodium 100 UI/ml
Injektion Hydrocortisone sodium succinate 125 mg/ml
0,9 % Natriumklorid 132
Uspecificeret inkompatibilitet Uforenelig
Injektion Heparin sodium
Injektion Hydrocortisone sodium succinate
3540
Kompatibel
Injektion Heparin sodium 50 UI/ml
Injektion Hydrocortisone sodium succinate 2 mg/ml
Ingen 317
Kompatibel
Injektion Heparin sodium 100 UI/ml
Injektion Hydrocortisone sodium succinate 125 mg/ml
5 % Glukose 132
Kompatibel
Injektion Heparin sodium
Injektion Hydromorphone hydrochloride <12.5 mg/ml
0,9 % Natriumklorid 66
Kompatibel
Injektion Heparin sodium 100 UI/ml
Injektion Hydromorphone hydrochloride 1 mg/ml
314
Umiddelbar nedbør Uforenelig
Injektion Heparin sodium <12,5 UI/ml
Injektion Hydromorphone hydrochloride >25 mg/ml
0,9 % Natriumklorid 66
Kompatibel
Injektion Heparin sodium
Injektion Hydromorphone hydrochloride <12.5 mg/ml
Vand til injektion 66
Umiddelbar nedbør Uforenelig
Injektion Heparin sodium <1 UI/ml
Injektion Hydromorphone hydrochloride >10 mg/ml
Vand til injektion 66
Umiddelbar nedbør Uforenelig
Injektion Heparin sodium <12,5 UI/ml
Injektion Hydromorphone hydrochloride >25 mg/ml
Vand til injektion 66
Kompatibel
Injektion Heparin sodium 100 UI/ml
Injektion Ibuprofen lysinate 10 mg/ml
Vand til injektion 4419
Kompatibel
Injektion Heparin sodium 10 UI/ml
Injektion Ibuprofen lysinate 10 mg/ml
Vand til injektion 4419
Umiddelbar turbiditet Uforenelig
Injektion Heparin sodium 100 & 1000 UI/ml
Injektion Idarubicin hydrochloride 1 mg/ml
0,9 % Natriumklorid 491
Umiddelbar nedbør Uforenelig
Injektion Heparin sodium
Injektion Idarubicin hydrochloride
5075
Kompatibel
Injektion Heparin sodium
Injektion Imipenem-Cilastatin / Relebactam
4809
Kompatibel
Injektion Heparin sodium 1000 UI/ml
Injektion Imipenem-Cilastatin / Relebactam 5 mg/ml
0,9 % Natriumklorid 4433
Kompatibel
Injektion Heparin sodium 1000 UI/ml
Injektion Imipenem-Cilastatin / Relebactam 5 mg/ml
5 % Glukose 4433
Kompatibel
Injektion Heparin sodium 500 UI/ml
Injektion Insulin 2 UI/ml
0,9 % Natriumklorid 3823
Kompatibel
Injektion Heparin sodium 60 UI/ml
Injektion Insulin 0.2 UI/ml
0,9 % Natriumklorid 129
Kompatibel
Injektion Heparin sodium 50 & 400 UI/ml
Injektion Insulin aspart 1 UI/ml
5 % Glukose 1508
Kompatibel
Injektion Heparin sodium 50 & 400 UI/ml
Injektion Insulin aspart 1 UI/ml
0,9 % Natriumklorid 1508
Kompatibel
Injektion Heparin sodium 10000 UI/ml
Injektion Iohexol 300 mg I/ml
Ingen 1085
Kompatibel
Injektion Heparin sodium 10000 UI/ml
Injektion Ioxaglate 320 mg I/ml
Ingen 1085
Umiddelbar turbiditet Uforenelig
Injektion Heparin sodium 1000 UI/ml
Injektion Isavuconazonium sulfate 1.5 mg/ml
0,9 % Natriumklorid 3829
Umiddelbar turbiditet Uforenelig
Injektion Heparin sodium 1000 UI/ml
Injektion Isavuconazonium sulfate 1.5 mg/ml
5 % Glukose 3829
Kompatibel
Injektion Heparin sodium 1 UI/ml
Injektion Isoprenaline hydrochloride 0.2 mg/ml
5 % Glukose 1228
Kompatibel
Injektion Heparin sodium 1 UI/ml
Injektion Isoprenaline hydrochloride 0.2 mg/ml
0,9 % Natriumklorid 1228
Kompatibel
Injektion Heparin sodium 1 UI/ml
Injektion Isoprenaline hydrochloride 0.2 mg/ml
Ringer laktat 1228
Uspecificeret inkompatibilitet Uforenelig
Injektion Heparin sodium
Injektion Kanamycin sulfate
3540
Umiddelbar nedbør Uforenelig
Injektion Heparin sodium 25000 UI/ml
Injektion Ketamine hydrochloride 50 mg/ml
2109
Kompatibel
Injektion Heparin sodium 100 UI/ml
Injektion Labetalol hydrochloride 2 mg/ml
314
Uspecificeret inkompatibilitet Uforenelig
Injektion Heparin sodium 500 UI/ml
Injektion Labetalol hydrochloride 4 mg/ml
0,9 % Natriumklorid 3823
Uspecificeret inkompatibilitet Uforenelig
Injektion Heparin sodium
Injektion Labetalol hydrochloride
3540
Umiddelbar nedbør Uforenelig
Injektion Heparin sodium 100 UI/ml
Injektion Labetalol hydrochloride 5 mg/ml
5 % Glukose 295
Kompatibel
Injektion Heparin sodium 40 UI/ml
Injektion Labetalol hydrochloride 1 mg/ml
5 % Glukose 386
Kompatibel
Injektion Heparin sodium 100 UI/ml
Injektion Lansoprazole 0.55 mg/ml
0,9 % Natriumklorid 1625
Turbiditet på 4 timer Uforenelig
Injektion Heparin sodium 100 UI/ml
Injektion Levetiracetam 100 mg/ml
5 % Glukose 4108
Umiddelbar turbiditet Uforenelig
Injektion Heparin sodium 208,3 UI/ml
Injektion Levetiracetam 15 mg/ml
0,9 % Natriumklorid 4698
Uspecificeret inkompatibilitet Uforenelig
Injektion Heparin sodium
Injektion Levofloxacine
3920
Umiddelbar nedbør Uforenelig
Injektion Heparin sodium 10 UI/ml
Injektion Levofloxacine 5 mg/ml
5 % Glukose 1072
Uspecificeret inkompatibilitet Uforenelig
Injektion Heparin sodium
Injektion Levomepromazine
3540
Kompatibel
Injektion Heparin sodium 100 UI/ml
Injektion Levosimendan 2,5 mg/ml
5 % Glukose 4389
Kompatibel
Injektion Heparin sodium 50 UI/ml
Injektion Lidocaine hydrochloride 4 mg/ml
Ingen 317
Kompatibel
Injektion Heparin sodium 1000 UI/ml
Injektion Linezolid 2 mg/ml
Ingen 1925
Kompatibel
Injektion Heparin sodium 10 >> 10000 UI/ml
Injektion Linezolid 0.2 >> 1.92 mg/ml
0,9 % Natriumklorid 2057
Kompatibel
Injektion Heparin sodium 417 UI/ml
Injektion Lorazepam 0.33 mg/ml
0,9 % Natriumklorid 186
Kompatibel
Injektion Heparin sodium 100 UI/ml
Injektion Lorazepam 0.5 mg/ml
314
Kompatibel
Injektion Heparin sodium 1 UI/ml
Injektion Magnesium sulfate 5 mg/ml
0,9 % Natriumklorid 1228
Kompatibel
Injektion Heparin sodium 50 UI/ml
Injektion Magnesium sulfate 15.6 mg/ml
0,9 % Natriumklorid 2100
Kompatibel
Injektion Heparin sodium 1 UI/ml
Injektion Magnesium sulfate 5 mg/ml
Ringer laktat 1228
Kompatibel
Injektion Heparin sodium 1 UI/ml
Injektion Magnesium sulfate 5 mg/ml
5 % Glukose 1228
Kompatibel
Injektion Heparin sodium 100 UI/ml
Injektion Melphalan 0.1 mg/ml
0,9 % Natriumklorid 169
Kompatibel
Injektion Heparin sodium 0.5 UI/ml
Injektion Meropenem 0.5 mg/ml
Dianéal® 4.25% glucose (Baxter) 4180
Kompatibel
Injektion Heparin sodium 0.5 UI/ml
Injektion Meropenem 0.5 mg/ml
Extraneal® (Baxter) 4180
Kompatibel
Injektion Heparin sodium 1000 UI/ml
Injektion Meropenem 50 mg/ml
Vand til injektion 4319
Kompatibel
Injektion Heparin sodium 1 UI/ml
Injektion Meropenem 1 & 50 mg/ml
0,9 % Natriumklorid 266
Kompatibel
Injektion Heparin sodium 0.5 UI/ml
Injektion Meropenem 0.5 mg/ml
Dianéal® 1.5% glucose (Baxter) 4180
Kompatibel
Injektion Heparin sodium 20 UI/ml
Injektion Meropenem 1 & 20 mg/ml
0,9 % Natriumklorid 266
Kompatibel
Injektion Heparin sodium 0.5 UI/ml
Injektion Meropenem 0.5 mg/ml
Dianéal® 2.5% glucose (Baxter) 4180
Kompatibel
Injektion Heparin sodium 50 UI/ml
Injektion Methadone hydrochloride 0.2 mg/ml
5 % Glukose 1506
Kompatibel
Injektion Heparin sodium 50 UI/ml
Injektion Methadone hydrochloride 0.2 mg/ml
0,9 % Natriumklorid 1506
Uspecificeret inkompatibilitet Uforenelig
Injektion Heparin sodium
Injektion Methotrexate sodium
3637
Kompatibel
Injektion Heparin sodium 1000 UI/ml
Injektion Methotrexate sodium 25 mg/ml
763
Kompatibel
Injektion Heparin sodium 500 UI/ml
Injektion Methotrexate sodium 30 mg/ml
0,9 % Natriumklorid 150
Kompatibel
Injektion Heparin sodium 100 UI/ml
Injektion Methylprednisolone sodium succinate 5 mg/ml
5 % Glukose 132
Kompatibel
Injektion Heparin sodium 50 UI/ml
Injektion Methylprednisolone sodium succinate 2.5 mg/ml
Ingen 317
Kompatibel
Injektion Heparin sodium 100 UI/ml
Injektion Methylprednisolone sodium succinate 5 mg/ml
0,9 % Natriumklorid 132
Kompatibel
Injektion Heparin sodium 1000 UI/ml
Injektion Metoclopramide hydrochloride 5 mg/ml
763
Kemisk ustabilitet Uforenelig
Injektion Heparin sodium 1000 UI/ml
Injektion Metoprolol tartrate 1 mg/ml
Ingen 2346
Kompatibel
Injektion Heparin sodium 50 UI/ml
Injektion Metronidazole 5 mg/ml
Ingen 317
Kompatibel
Injektion Heparin sodium 100 UI/ml
Injektion Micafungin 1.5 mg/ml
0,9 % Natriumklorid 2108
Umiddelbar turbiditet Uforenelig
Injektion Heparin sodium 208,3 UI/ml
Injektion Midazolam hydrochloride 1 mg/ml
0,9 % Natriumklorid 4698
Kompatibel
Injektion Heparin sodium 500 UI/ml
Injektion Midazolam hydrochloride 2.1 mg/ml
0,9 % Natriumklorid 3823
Kompatibel
Injektion Heparin sodium 417 UI/ml
Injektion Midazolam hydrochloride 5 mg/ml
Ingen 186
Kompatibel
Injektion Heparin sodium 100 UI/ml
Injektion Midazolam hydrochloride 5 mg/ml
4389
Kompatibel
Injektion Heparin sodium 100 UI/ml
Injektion Midazolam hydrochloride 2 mg/ml
314
Kompatibel
Injektion Heparin sodium 200 UI/ml
Injektion Milrinone lactate 0.8 mg/ml
5 % Glukose 813
Kompatibel
Injektion Heparin sodium 100 UI/ml
Injektion Milrinone lactate 0.2 mg/ml
314
Kompatibel
Injektion Heparin sodium 1 UI/ml
Injektion Minocycline hydrochloride 0.2 mg/ml
5 % Glukose 1228
Kompatibel
Injektion Heparin sodium 1 UI/ml
Injektion Minocycline hydrochloride 0.2 mg/ml
Ringer laktat 1228
Kompatibel
Injektion Heparin sodium 1 UI/ml
Injektion Minocycline hydrochloride 0.2 mg/ml
0,9 % Natriumklorid 1228
Uspecificeret inkompatibilitet Uforenelig
Injektion Heparin sodium
Injektion Mitoxantrone dihydrochloride
3640
Uspecificeret inkompatibilitet Uforenelig
Injektion Heparin sodium
Injektion Morphine hydrochloride
5069
Kompatibel
Injektion Heparin sodium 100 & 200 UI/ml
Injektion Morphine sulfate 1 >> 5 mg/ml
Vand til injektion 341
Kompatibel
Injektion Heparin sodium 1 UI/ml
Injektion Morphine sulfate 15 mg/ml
Ringer laktat 1228
Uspecificeret inkompatibilitet Uforenelig
Injektion Heparin sodium
Injektion Morphine sulfate
3531
Kompatibel
Injektion Heparin sodium 1 UI/ml
Injektion Morphine sulfate 15 mg/ml
5 % Glukose 1228
Kompatibel
Injektion Heparin sodium 1 UI/ml
Injektion Morphine sulfate 15 mg/ml
0,9 % Natriumklorid 1228
Kompatibel
Injektion Heparin sodium 60 UI/ml
Injektion Morphine sulfate 1 mg/ml
0,9 % Natriumklorid 406
Kompatibel
Injektion Heparin sodium 100 & 200 UI/ml
Injektion Morphine sulfate 10 mg/ml
Vand til injektion 341
Kompatibel
Injektion Heparin sodium 100 UI/ml
Injektion Morphine sulfate 2 mg/ml
314
Kemisk ustabilitet Uforenelig
Injektion Heparin sodium 100 & 200 UI/ml
Injektion Morphine sulfate 1 >> 10 mg/ml
0,9 % Natriumklorid 341
Kompatibel
Injektion Heparin sodium 1000 UI/ml
Injektion N-acetylcysteine 200 mg/ml
Ingen 3766
Kompatibel
Injektion Heparin sodium 50 UI/ml
Injektion Nafcillin sodium 20 mg/ml
Ingen 317
Kompatibel
Injektion Heparin sodium 1000 UI/ml
Injektion Naloxone hydrochloride 0.4 mg/ml
Ingen 3408
Umiddelbar turbiditet Uforenelig
Injektion Heparin sodium 208,3 UI/ml
Injektion Nefopam 1,7 mg/ml
0,9 % Natriumklorid 4698
Kompatibel
Injektion Heparin sodium 1 UI/ml
Injektion Neostigmine methylsulfate 0.5 mg/ml
5 % Glukose 1228
Kompatibel
Injektion Heparin sodium 1 UI/ml
Injektion Neostigmine methylsulfate 0.5 mg/ml
0,9 % Natriumklorid 1228
Kompatibel
Injektion Heparin sodium 1 UI/ml
Injektion Neostigmine methylsulfate 0.5 mg/ml
Ringer laktat 1228
Uspecificeret inkompatibilitet Uforenelig
Injektion Heparin sodium
Injektion Nesiritide
5048
Uspecificeret inkompatibilitet Uforenelig
Injektion Heparin sodium
Injektion Netilmicin sulfate
3540
Umiddelbar nedbør Uforenelig
Injektion Heparin sodium
Injektion Netilmicin sulfate
1022
Umiddelbar nedbør Uforenelig
Injektion Heparin sodium 100 UI/ml
Injektion Nicardipine hydrochloride 1 mg/ml
314
Uspecificeret inkompatibilitet Uforenelig
Injektion Heparin sodium
Injektion Nicardipine hydrochloride
3540
Kompatibel
Injektion Heparin sodium 40 UI/ml
Injektion Nicardipine hydrochloride 0.1 mg/ml
5 % Glukose 1490
Kompatibel
Injektion Heparin sodium 40 UI/ml
Injektion Nicardipine hydrochloride 0.1 mg/ml
0,9 % Natriumklorid 1490
Umiddelbar nedbør Uforenelig
Injektion Heparin sodium 100 UI/ml
Injektion Nitroglycerin 1,6 >> 3,25 mg/ml
5 % Glukose 295
Kompatibel
Injektion Heparin sodium 500 UI/ml
Injektion Nitroglycerin 0.2 mg/ml
0,9 % Natriumklorid 3823
Produktion af gasbobler Uforenelig
Injektion Heparin sodium 50 UI/ml
Injektion Nitroglycerin 0.2 mg/ml
Ingen 317
Kompatibel
Injektion Heparin sodium 500 UI/ml
Injektion Nitroglycerin 0.2 mg/ml
5 % Glukose 3823
Kompatibel
Injektion Heparin sodium 100 UI/ml
Injektion Nitroglycerin 0.4 mg/ml
314
Kompatibel
Injektion Heparin sodium 50 UI/ml
Injektion Nitroprusside sodium 0.2 mg/ml
Ingen 317
Kompatibel
Injektion Heparin sodium 100 UI/ml
Injektion Nitroprusside sodium 0.2 mg/ml
5 % Glukose 295
Kompatibel
Injektion Heparin sodium 100 UI/ml
Injektion Norepinephrine bitartrate 0.128 mg/ml
314
Uspecificeret inkompatibilitet Uforenelig
Injektion Heparin sodium
Injektion Ofloxacin
3562
Kompatibel
Injektion Heparin sodium 40 UI/ml
Injektion Ondansetron hydrochloride 1 mg/ml
0,9 % Natriumklorid 334
Uforenelig
Injektion Heparin sodium 200 UI/ml
Injektion Ondansetron hydrochloride 1.6 mg/ml
1699
Umiddelbar turbiditet Uforenelig
Injektion Heparin sodium 100 UI/ml
Injektion Oritavancin 0.8 >>1.2 mg/ml
5 % Glukose 3152
Nedbør efter 4 timer Uforenelig
Injektion Heparin sodium 100 UI/ml
Injektion Oritavancin 2 mg/ml
5 % Glukose 3152
Kompatibel
Injektion Heparin sodium 208 UI/ml
Injektion Ornidazole 31.25 mg/ml
0,9 % Natriumklorid 4254
Kompatibel
Injektion Heparin sodium 1 UI/ml
Injektion Oxacillin sodium 100 mg/ml
5 % Glukose 1228
Kompatibel
Injektion Heparin sodium 1 UI/ml
Injektion Oxacillin sodium 100 mg/ml
Ringer laktat 1228
Kompatibel
Injektion Heparin sodium 1 UI/ml
Injektion Oxacillin sodium 100 mg/ml
0,9 % Natriumklorid 1228
Kompatibel
Injektion Heparin sodium 100 UI/ml
Injektion Oxaliplatin 0,5 mg/ml
5 % Glukose 1662
Uspecificeret inkompatibilitet Uforenelig
Injektion Heparin sodium
Injektion Oxytetracycline hydrochloride
3540
Kompatibel
Injektion Heparin sodium 100 UI/ml
Injektion Paclitaxel 1.2 mg/ml
5 % Glukose 248
Kompatibel
Injektion Heparin sodium 100 UI/ml
Injektion Palonosetron hydrochloride 50 µg/ml
5 % Glukose 2279
Kompatibel
Injektion Heparin sodium 40 UI/ml
Injektion Pancuronium bromide 0.05 mg/ml
5 % Glukose 402
Nedbør efter 1 time Uforenelig
Injektion Heparin sodium
Injektion Pantoprazole sodium
2090
Kompatibel
Injektion Heparin sodium 208,3 UI/ml
Injektion Paracetamol 10 mg/ml
0,9 % Natriumklorid 4698
Kompatibel
Injektion Heparin sodium 1000 UI/ml
Injektion Paracetamol 10 mg/ml
4742
Kompatibel
Injektion Heparin sodium 100 UI/ml
Injektion Pemetrexed disodium 20 mg/ml
0,9 % Natriumklorid 1953
Uspecificeret inkompatibilitet Uforenelig
Injektion Heparin sodium
Injektion Penicillin G potassium
3540
Kompatibel
Injektion Heparin sodium 50 UI/ml
Injektion Penicillin G potassium 0.04 MUI/ml
Ingen 317
Uspecificeret inkompatibilitet Uforenelig
Injektion Heparin sodium
Injektion Penicillin G sodium
3540
Kompatibel
Injektion Heparin sodium 100 UI/ml
Injektion Pentoxifyllin 5 mg/ml
0,9 % Natriumklorid 4538
Umiddelbar turbiditet Uforenelig
Injektion Heparin sodium
Injektion Pethidine hydrochloride
3525
Kompatibel
Injektion Heparin sodium 60 UI/ml
Injektion Pethidine hydrochloride 10 mg/ml
0,9 % Natriumklorid 406
Uspecificeret inkompatibilitet Uforenelig
Injektion Heparin sodium
Injektion Pethidine hydrochloride
3540
Umiddelbar nedbør Uforenelig
Injektion Heparin sodium 50 UI/ml
Injektion Phenytoin sodium 2 mg/ml
Ingen 317
Kompatibel
Injektion Heparin sodium 50 UI/ml
Injektion Piperacillin sodium 60 mg/ml
Ingen 317
Kompatibel
Injektion Heparin sodium 10 & 5000 UI/ml
Injektion Piperacillin sodium 40 mg/ml
0,9 % Natriumklorid 2037
Kompatibel
Injektion Heparin sodium 0.5 UI/ml
Injektion Piperacillin sodium / tazobactam 0.5/0.0625 mg/ml
Dianéal® 2.5% glucose (Baxter) 4180
Kompatibel
Injektion Heparin sodium 0.5 UI/ml
Injektion Piperacillin sodium / tazobactam 0.5/0.0625 mg/ml
Dianéal® 4.25% glucose (Baxter) 4180
Umiddelbar turbiditet Uforenelig
Injektion Heparin sodium 1000 UI/ml
Injektion Plazomicin sulfate 24 mg/ml
0,9 % Natriumklorid 4145
Uspecificeret inkompatibilitet Uforenelig
Injektion Heparin sodium
Injektion Polymyxine B
3540
Kompatibel
Injektion Heparin sodium 50 UI/ml
Injektion Potassium chloride 200 mEq/l
Ingen 317
Kompatibel
Injektion Heparin sodium 1 UI/ml
Injektion Procainamide hydrochloride 100 mg/ml
Ringer laktat 1228
Kompatibel
Injektion Heparin sodium 1 UI/ml
Injektion Procainamide hydrochloride 100 mg/ml
0,9 % Natriumklorid 1228
Kompatibel
Injektion Heparin sodium 1 UI/ml
Injektion Prochlorperazine edysilate 5 mg/ml
0,9 % Natriumklorid 1228
Kompatibel
Injektion Heparin sodium 3 >> 20 UI/ml
Parenteral ernæring (lipid-fri) 791
Kompatibel
Injektion Heparin sodium 100 UI/ml
Parenteral ernæring (lipid-fri) 301
Kompatibel
Injektion Heparin sodium 500 UI/ml
Parenteral ernæring (lipid-fri) 939
Kompatibel
Injektion Heparin sodium 1 UI/ml
Injektion Prochlorperazine edysilate 5 mg/ml
Ringer laktat 1228
Kompatibel
Injektion Heparin sodium 1 UI/ml
Injektion Promethazine hydrochloride 50 mg/ml
0,9 % Natriumklorid 1228
Kompatibel
Injektion Heparin sodium 1 UI/ml
Injektion Promethazine hydrochloride 50 mg/ml
Ringer laktat 1228
Kompatibel
Injektion Heparin sodium 1 UI/ml
Injektion Propranolol hydrochloride 1 mg/ml
Ringer laktat 1228
Kompatibel
Injektion Heparin sodium 1 UI/ml
Injektion Propranolol hydrochloride 1 mg/ml
0,9 % Natriumklorid 1228
Kompatibel
Injektion Heparin sodium 50 UI/ml
Injektion Ranitidine hydrochloride 0,5 mg/ml
5 % Glukose 396
Kompatibel
Injektion Heparin sodium 10 & 40 UI/ml
Injektion Ranitidine hydrochloride 0.05 & 2 mg/ml
0,9 % Natriumklorid 214
Kompatibel
Injektion Heparin sodium 50 UI/ml
Injektion Ranitidine hydrochloride 1 mg/ml
Ingen 317
Kompatibel
Injektion Heparin sodium 1000 UI/ml
Injektion Remdesivir 1 mg/ml
0,9 % Natriumklorid 4768
Kompatibel
Injektion Heparin sodium 100 UI/ml
Injektion Remifentanil hydrochloride 25 & 250 µg/ml
0,9 % Natriumklorid 59
Kompatibel
Injektion Heparin sodium 500 UI/ml
Injektion Remifentanil hydrochloride 100 µg/ml
0,9 % Natriumklorid 3823
Kompatibel
Injektion Heparin sodium 500 UI/ml
NaHCO3 150
Kompatibel
Injektion Heparin sodium 1.4 UI/ml
Injektion Piperacillin sodium / tazobactam 1.38/0.1725 mg/ml
Physionéal® 2.27 (Baxter) 4180
Kompatibel
Injektion Heparin sodium 1.4 UI/ml
Injektion Piperacillin sodium / tazobactam 1.38/0.1725 mg/ml
Physionéal® 1.36 (Baxter) 4180
Kompatibel
Injektion Heparin sodium 0.5 UI/ml
Injektion Piperacillin sodium / tazobactam 0.5/0.0625 mg/ml
Dianéal® 1.5% glucose (Baxter) 4180
Kompatibel
Injektion Heparin sodium 1.4 UI/ml
Injektion Piperacillin sodium / tazobactam 1.38/0.1725 mg/ml
Physionéal® 3.86 (Baxter) 4180
Kompatibel
Injektion Heparin sodium 100 UI/ml
Injektion Piperacillin sodium / tazobactam 40/5 mg/ml
5 % Glukose 81
Kompatibel
Injektion Heparin sodium 0.5 UI/ml
Injektion Piperacillin sodium / tazobactam 0.5/0.0625 mg/ml
Extraneal® (Baxter) 4180
Kompatibel
Injektion Heparin sodium 500 UI/ml
Injektion Potassium chloride 10 mEq/l
0,9 % Natriumklorid 3823
Kompatibel
Injektion Heparin sodium 58,34 UI/ml
Injektion Potassium chloride 1250 mEq/l
5 % Glukose 1289
Kompatibel
Injektion Heparin sodium
Injektion Potassium phosphate
3781
Kompatibel
Injektion Heparin sodium 1 UI/ml
Injektion Procainamide hydrochloride 100 mg/ml
5 % Glukose 1228
Kompatibel
Injektion Heparin sodium 1 UI/ml
Injektion Prochlorperazine edysilate 5 mg/ml
5 % Glukose 1228
Kompatibel
Injektion Heparin sodium 1 UI/ml
Injektion Promethazine hydrochloride 50 mg/ml
5 % Glukose 1228
Uspecificeret inkompatibilitet Uforenelig
Injektion Heparin sodium
Injektion Promethazine hydrochloride
3540
Ustabilitet af emulsionen efter 1 time Uforenelig
Injektion Heparin sodium 1000 UI/ml
Injektion Propofol
660
Kompatibel
Injektion Heparin sodium 100 UI/ml
Injektion Propofol 10 mg/ml
Ingen 300
Kompatibel
Injektion Heparin sodium 1 UI/ml
Injektion Propranolol hydrochloride 1 mg/ml
5 % Glukose 1228
Kompatibel
Injektion Heparin sodium 100 UI/ml
Injektion Ranitidine hydrochloride 1 mg/ml
314
Kompatibel
Injektion Heparin sodium 10 & 40 UI/ml
Injektion Ranitidine hydrochloride 0.05 & 2 mg/ml
5 % Glukose 214
Kompatibel
Injektion Heparin sodium 416.7 UI/ml
Injektion Remifentanil hydrochloride 120 µg/ml
5 % Glukose 3294
Kompatibel
Injektion Heparin sodium 416.7 UI/ml
Injektion Remifentanil hydrochloride 120 µg/ml
5 % Glukose 3176
Uspecificeret inkompatibilitet Uforenelig
Injektion Heparin sodium
Injektion Reteplase
2212
Kompatibel
Injektion Heparin sodium 20,458 >> 28,000 UI/ml
Parenteral ernæring (lipider) 1868
Uspecificeret inkompatibilitet Uforenelig
Injektion Heparin sodium
Injektion Reteplase
3540
Kompatibel
Injektion Heparin sodium 1000 UI/ml
Injektion Salbutamol sulfate 1 mg/ml
Ingen 3216
Kompatibel
Injektion Heparin sodium 100 UI/ml
Injektion Sargramostim 6 §15 µg/ml
0,9 % Natriumklorid 891
Kompatibel
Injektion Heparin sodium 100 UI/ml
Injektion Sargramostim 10 µg/ml
0,9 % Natriumklorid 335
Kompatibel
Injektion Heparin sodium 1 UI/ml
Injektion Scopolamine hydrobromide 0.86 mg/ml
0,9 % Natriumklorid 1228
Kompatibel
Injektion Heparin sodium 1 UI/ml
Injektion Scopolamine hydrobromide 0.86 mg/ml
Ringer laktat 1228
Kompatibel
Injektion Heparin sodium 1 UI/ml
Injektion Scopolamine hydrobromide 0.86 mg/ml
5 % Glukose 1228
Kompatibel
Injektion Heparin sodium 100 UI/ml
Injektion Sildenafil citrate 0,6 mg/ml
5 % Glukose 4845
Kompatibel
Injektion Heparin sodium 100 UI/ml
Injektion Sildenafil citrate 0,06 mg/ml
5 % Glukose 4845
Kompatibel
Injektion Heparin sodium 1 UI/ml
Injektion Sildenafil citrate 0,4 mg/ml
5 % Glukose 3923
Kompatibel
Injektion Heparin sodium 2 UI/ml
Injektion Sildenafil citrate 0,6 mg/ml
5 % Glukose 4845
Kompatibel
Injektion Heparin sodium
0,9 % Natriumklorid 3540
Umiddelbar ustabilitet af emulsionen Uforenelig
Injektion Heparin sodium 100 UI/ml
Parenteral ernæring (lipider) 132
Umiddelbar turbiditet Uforenelig
Injektion Heparin sodium 100 UI/ml
Injektion Sildenafil citrate 0,6 mg/ml
5 % Glukose 4845
Kompatibel
Injektion Heparin sodium 500 UI/ml
Injektion Sodium bicarbonate 84 mg/ml
0,9 % Natriumklorid 3823
Kompatibel
Injektion Heparin sodium
Injektion Sodium bicarbonate
3466
Kompatibel
Injektion Heparin sodium 500 UI/ml
Injektion Sodium bicarbonate 14 mg/ml
Ingen 150
Kompatibel
Injektion Heparin sodium 500 UI/ml
Injektion Sodium bicarbonate 84 mg/ml
Ingen 3212
Kompatibel
Injektion Heparin sodium 208 UI/ml
Injektion Spiramycine adipate 0.0625 MUI/ml
0,9 % Natriumklorid 4254
Kompatibel
Injektion Heparin sodium 100 UI/ml
Injektion Streptokinase 30000 UI/ml
5 % Glukose 92
Uspecificeret inkompatibilitet Uforenelig
Injektion Heparin sodium
Injektion Streptomycin sulfate
3540
Kompatibel
Injektion Heparin sodium 416.7 UI/ml
Injektion Sufentanil citrate 0.005 mg/ml
5 % Glukose 3294
Kompatibel
Injektion Heparin sodium 1000 UI/ml
Injektion Sugammadex 100 mg/ml
Ingen 3372
Kompatibel
Injektion Heparin sodium 10 UI/ml
Injektion Tacrolimus 1000 µg/ml
0,9 % Natriumklorid 479
Kompatibel
Injektion Heparin sodium 1000 UI/ml
Ringer laktat 4603
Kompatibel
Injektion Heparin sodium 1000 UI/ml
Injektion Sulbactam/durlobactam 15/15 mg/ml
0,9 % Natriumklorid 4801
Kompatibel
Injektion Heparin sodium 1000 UI/ml
Injektion Tedizolid phosphate 0.8 mg/ml
0,9 % Natriumklorid 3827
Kompatibel
Injektion Heparin sodium 10 >> 10000 UI/ml
Injektion Teicoplanine 0.02 >> 10 mg/ml
0,9 % Natriumklorid 2057
Umiddelbar turbiditet Uforenelig
Injektion Heparin sodium 1000 UI/ml
Injektion Telavancin hydrochloride 7,5 mg/ml
5 % Glukose 3254
Umiddelbar turbiditet Uforenelig
Injektion Heparin sodium 1000 UI/ml
Injektion Telavancin hydrochloride 7,5 mg/ml
0,9 % Natriumklorid 3254
Kompatibel
Injektion Heparin sodium 1000 UI/ml
Injektion Telavancin hydrochloride 7.5 mg/ml
Ringer laktat 3254
Umiddelbar nedbør Uforenelig
Injektion Heparin sodium 1000 UI/ml
Injektion Thiopental sodium 25 mg/ml
0,9 % Natriumklorid 3767
Umiddelbar ustabilitet af emulsionen Uforenelig
Injektion Heparin sodium 1 UI/ml
Parenteral ernæring (lipider) 1391
Kompatibel
Injektion Heparin sodium 100 UI/ml
Injektion Teniposide 0.1 mg/ml
5 % Glukose 905
Kompatibel
Injektion Heparin sodium 50 UI/ml
Injektion Theophylline 4 mg/ml
Ingen 317
Kompatibel
Injektion Heparin sodium 100 UI/ml
Injektion Thiopental sodium 25 mg/ml
314
Umiddelbar ustabilitet af emulsionen Uforenelig
Injektion Heparin sodium 100 UI/ml
Parenteral ernæring (lipider) 1415
Kompatibel
Injektion Heparin sodium 500 UI/ml
Injektion Thiopental sodium 60 mg/ml
0,9 % Natriumklorid 3823
Kompatibel
Injektion Heparin sodium 100 UI/ml
Injektion Thiotepa 1 mg/ml
5 % Glukose 249
Kompatibel
Injektion Heparin sodium 50 UI/ml
Injektion Ticarcillin / clavulanic acid 31 mg/ml
Ingen 317
Kompatibel
Injektion Heparin sodium 500 UI/ml
Injektion Tirofiban 250 µg/ml
0,9 % Natriumklorid 3823
Kompatibel
Injektion Heparin sodium 40 & 100 UI/ml
Injektion Tirofiban 50 µg/ml
0,9 % Natriumklorid 1420
Kompatibel
Injektion Heparin sodium
5 % Glukose 3540
Kompatibel
Injektion Heparin sodium
Injektion Tirofiban
1512
Kompatibel
Injektion Heparin sodium 40 & 100 UI/ml
Injektion Tirofiban 50 µg/ml
5 % Glukose 1420
Uspecificeret inkompatibilitet Uforenelig
Injektion Heparin sodium 50 UI/ml
Injektion Tobramycin sulfate 0.8 mg/ml
Ingen 317
Uspecificeret inkompatibilitet Uforenelig
Injektion Heparin sodium
Injektion Tobramycin sulfate
3540
Kompatibel
Injektion Heparin sodium
Injektion Tranexamic acid
5016
Uspecificeret inkompatibilitet Uforenelig
Injektion Heparin sodium
Injektion Triflupromazine hydrochloride
3540
Kompatibel
Injektion Heparin sodium 500 UI/ml
Injektion Urapidil 5 mg/ml
0,9 % Natriumklorid 3823
Umiddelbar nedbør Uforenelig
Injektion Heparin sodium 0,5 >> 14,3 UI/ml
Injektion Vancomycin hydrochloride 6,9 >> 14,3 mg/ml
Dianéal® PD1 4.25% Glukose (Baxter) 2375
Uspecificeret inkompatibilitet Uforenelig
Injektion Heparin sodium
Injektion Vancomycin hydrochloride
3588
Uspecificeret inkompatibilitet Uforenelig
Injektion Heparin sodium
Injektion Vancomycin hydrochloride
3540
Kompatibel
Injektion Heparin sodium 0,5 >> 14,3 UI/ml
Injektion Vancomycin hydrochloride 0,015 >> 6,8 mg/ml
Dianéal® PD2 2.5% glucose (Baxter) 2375
Umiddelbar nedbør Uforenelig
Injektion Heparin sodium 0,5 >> 14,3 UI/ml
Injektion Vancomycin hydrochloride 6,9 >> 14,3 mg/ml
Dianéal® PD2 2.5% glucose (Baxter) 2375
Kompatibel
Injektion Heparin sodium 10 UI/ml
Injektion Vancomycin hydrochloride 0.025 mg/ml
Vand til injektion 3125
Kompatibel
Injektion Heparin sodium 0,5 >> 14,3 UI/ml
Injektion Vancomycin hydrochloride 0,015 >> 6,8 mg/ml
Dianéal® PD1 4.25% Glukose (Baxter) 2375
Uspecificeret inkompatibilitet Uforenelig
Injektion Heparin sodium 50 UI/ml
Injektion Vancomycin hydrochloride 6.6 mg/ml
Ingen 317
Kompatibel
Injektion Heparin sodium 100 UI/ml
Injektion Vancomycin hydrochloride 0.025 mg/ml
0,9 % Natriumklorid 1414
Kompatibel
Injektion Heparin sodium 10 UI/ml
Injektion Vancomycin hydrochloride 2 mg/ml
0,9 % Natriumklorid 2037
Umiddelbar nedbør Uforenelig
Injektion Heparin sodium 100 UI/ml
Injektion Vancomycin hydrochloride 10 mg/ml
Parenteral ernæring (lipid-fri) 132
Kompatibel
Injektion Heparin sodium 5000 UI/ml
Injektion Vancomycin hydrochloride 2.5 mg/ml
0,9 % Natriumklorid 2037
Kompatibel
Injektion Heparin sodium 100 UI/ml
Injektion Vancomycin hydrochloride 0.025 mg/ml
0,9 % Natriumklorid 895
Kompatibel
Injektion Heparin sodium 100 UI/ml
Injektion Vasopressin 2 & 4 UI/ml
0,9 % Natriumklorid 1801
Kompatibel
Injektion Heparin sodium 100 UI/ml
Injektion Vecuronium bromide 1 mg/ml
314
Kompatibel
Injektion Heparin sodium 40 UI/ml
Injektion Vecuronium bromide 0.1 mg/ml
5 % Glukose 402
Kompatibel
Injektion Heparin sodium 20 UI/ml
Injektion Verapamil hydrochloride 0.08 mg/ml
0,9 % Natriumklorid 1057
Kompatibel
Injektion Heparin sodium 20 UI/ml
Injektion Verapamil hydrochloride 0.08 mg/ml
5 % Glukose 1057
Uspecificeret inkompatibilitet Uforenelig
Injektion Heparin sodium
Injektion Vinblastine sulfate
3540
Kompatibel
Injektion Heparin sodium 1000 UI/ml
Injektion Vinblastine sulfate 1 mg/ml
763
Kompatibel
Injektion Heparin sodium 1000 UI/ml
Injektion Vincristine sulfate 1 mg/ml
763
Kompatibel
Injektion Heparin sodium 100 UI/ml
Injektion Vinorelbine tartrate 1 mg/ml
0,9 % Natriumklorid 84
Kompatibel
Injektion Heparin sodium 100 UI/ml
Injektion Vinorelbine tartrate 1 mg/ml
0,9 % Natriumklorid 1070
Umiddelbar nedbør Uforenelig
Injektion Heparin sodium 10 & 100 UI/ml
Injektion Vinorelbine tartrate 2 & 3 mg/ml
0,9 % Natriumklorid 1070
Kompatibel
Injektion Heparin sodium 208 UI/ml
Injektion Voriconazole 8 mg/ml
5 % Glukose 4254
Kompatibel
Injektion Heparin sodium 208 UI/ml
Injektion Voriconazole 8 mg/ml
0,9 % Natriumklorid 4254
Kompatibel
Injektion Heparin sodium 100 UI/ml
Injektion Warfarin sodium 2 mg/ml
5 % Glukose 315
Kompatibel
Injektion Heparin sodium 100 UI/ml
Injektion Zidovudine 4 mg/ml
5 % Glukose 337

  Mentions Légales