Последнее обновление :
27/11/2025
Антикоагулянт   Heparin sodium  
Инъекция
Стабильность растворов Стабильность смесей Факторы, которые влияют на стабильность Совместимость Способы введения Библиография pdf
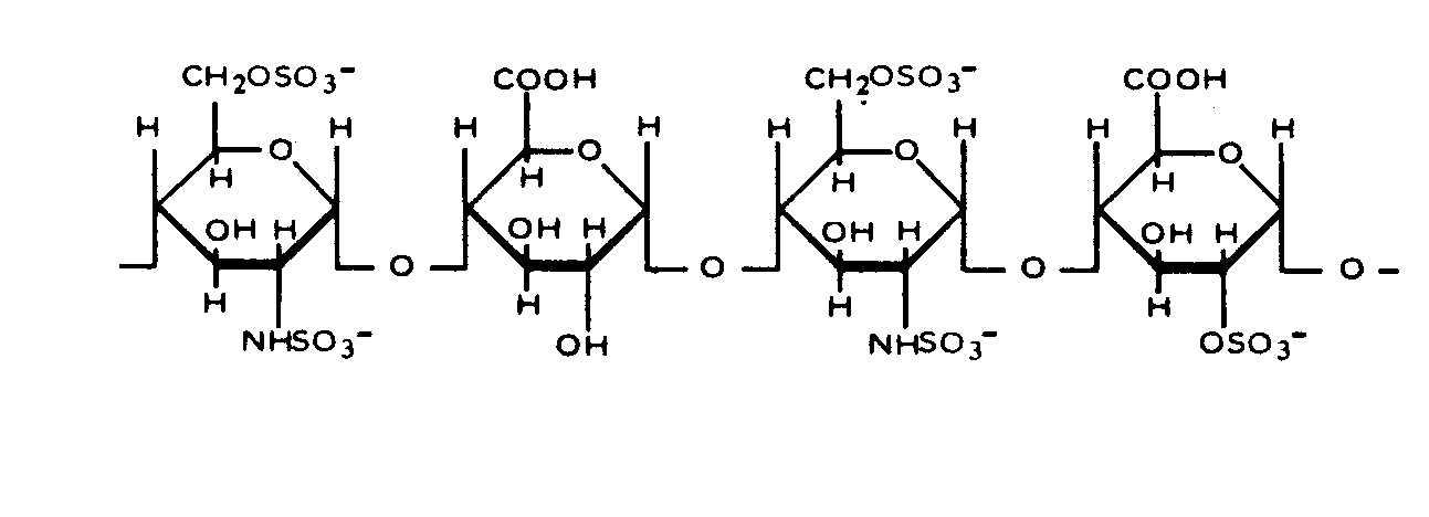
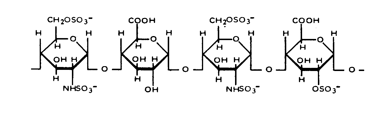
   Химическая структура  

Товарное название   Товарное название     

Trade names are indicative and excipients composition can be different depending on the country and manufacturers

Arapin чили
Ateroclar Италия
Clarisco Италия
Epsoclar Италия
Hepaflex Норвегия, Финляндия
Hepamax Колумбия, чили, Эквадор
Heparin Австрия, Великобритания, Венгрия, Голландия, Греция, Дания, Канада, Норвегия, Русский, Соединённые Штаты Америки, Таиланд, Турция, Финляндия, Швейцария, Швеция, Югославия, Южно-Африканская Республика
Heparine Бельгия, Франция
Heparinised Австралия
Heparstad Германия
Liquemin Турция, Швейцария
Liquemine Бразилия
Monoparin Саудовская Аравия
Normoparin Италия
Nuparin Эквадор
Pharepa Италия
Riveparin Аргентина
Sobrius Аргентина, Эквадор
Thrombophob Германия

Факторы, которые влияют на стабильность   Инъекция   Факторы, которые влияют на стабильность : Heparin sodium        

  Mentions Légales