Last update :
12/12/2025
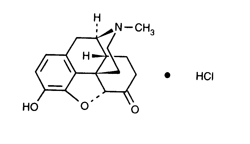
Analgesic   Hydromorphone hydrochloride  
injection
Stability in solutions Stability of mixtures Factors which affect stability Compatibility Route of administration References pdf
   Chemical structure  

Tradename   Tradename     

Trade names are indicative and excipients composition can be different depending on the country and manufacturers

Dilaudid Canada, United States of America
Hydal Austria
Palladon Denmark, Switzerland
Palladone Great Britain
Compatibility   injection   Compatibility : Hydromorphone hydrochloride              
This screen indicates the compatibilities or incompatibilities with, in this case, the type of incompatibility (precipitation, color change, modification of an emulsion, etc.). The compatibilities shown here are mostly physical only, with the chemical stability of each molecule rarely being assessed. The evaluation of these mixtures was studied to consider the possibility of Y-site administration to the patient. These data cannot be used for making mixtures in advance in bags or syringes. This type of information is available in the screen "Stability in mixture ».
Compound Solvent References
Compatible
injection Hydromorphone hydrochloride 0.04 mg/ml
injection Aciclovir sodium 5 mg/ml
Glucose 5% 336
Compatible
injection Hydromorphone hydrochloride 0.5 mg/ml
injection Allopurinol sodium 3 mg/ml
Sodium chloride 0,9% 307
Compatible
injection Hydromorphone hydrochloride 0.5 mg/ml
injection Amifostine 10 mg/ml
Glucose 5% 3
Compatible
injection Hydromorphone hydrochloride 0.2 mg/ml
injection Amikacin sulfate 5 mg/ml
Glucose 5% 405
Compatible
injection Hydromorphone hydrochloride 10 mg/ml
injection Amoxicillin sodium / clavulanic acid 100/10 mg/ml
3824
Compatible
injection Hydromorphone hydrochloride 2 >> 40 mg/ml
injection Ampicillin sodium 20 & 250 mg/ml
Glucose 5% 226
Compatible
injection Hydromorphone hydrochloride 0.5 mg/ml
injection Amsacrine 1 mg/ml
Glucose 5% 253
Compatible
injection Hydromorphone hydrochloride 0.5 mg/ml
injection Anidulafungin 0.5 mg/ml
Glucose 5% 1982
Compatible
injection Hydromorphone hydrochloride 0.5 mg/ml
injection Aztreonam 40 mg/ml
Glucose 5% 99
Compatible
injection Hydromorphone hydrochloride 0.5 mg/ml
injection Bivalirudin 5 mg/ml
Glucose 5% 1713
Immediate instability of the emulsion Incompatible
injection Hydromorphone hydrochloride 0.5 mg/ml
Parenteral nutrition (with lipids) 1415
Compatible
injection Hydromorphone hydrochloride 10 mg/ml
Ringer’s lactate solution 4603
Loss of turbidity Incompatible
injection Hydromorphone hydrochloride 0.5 mg/ml
injection Amphotericin B cholesteryl sulfate complex 0.83 mg/ml
Glucose 5% 921
Compatible
injection Hydromorphone hydrochloride 0.2 mg/ml
injection Ampicillin sodium 20 mg/ml
Glucose 5% 405
Compatible
injection Hydromorphone hydrochloride 0.5 mg/ml
injection Atropine sulfate 0.4 mg/ml
Glucose 5% 1974
Compatible
injection Hydromorphone hydrochloride 0,02 & 0,1 mg/ml
injection Bupivacaine hydrochloride 0,625 & 1,25 mg/ml
Sodium chloride 0,9% 306
Compatible
injection Hydromorphone hydrochloride
Glucose 5% 5073
Compatible
injection Hydromorphone hydrochloride 0,02 & 0,04 mg/ml
injection Bupivacaine hydrochloride 2,5 mg/ml
Sodium chloride 0,9% 1931
Compatible
injection Hydromorphone hydrochloride 15 mg/ml
injection Bupivacaine hydrochloride 10 mg/ml
None 4200
Compatible
injection Hydromorphone hydrochloride 2,5 mg/ml
Parenteral nutrition (with lipids) 4507
Compatible
injection Hydromorphone hydrochloride 25 mg/ml
injection Bupivacaine hydrochloride 20 mg/ml
Sodium chloride 0,9% 3131
Compatible
injection Hydromorphone hydrochloride 65 mg/ml
injection Bupivacaine hydrochloride 7,5 mg/ml
None 221
Compatible
injection Hydromorphone hydrochloride 50 mg/ml
injection Caffeine 10 mg/ml
None 3964
Compatible
injection Hydromorphone hydrochloride 1 mg/ml
injection Caspofungin acetate 0,7 mg/ml
Sodium chloride 0,9% 2247
Compatible
injection Hydromorphone hydrochloride 1 mg/ml
injection Caspofungin acetate 0.5 mg/ml
Sodium chloride 0,9% 2233
Compatible
injection Hydromorphone hydrochloride 0.2 mg/ml
injection Cefalotin sodium 20 mg/ml
Glucose 5% 405
Compatible
injection Hydromorphone hydrochloride 0.2 mg/ml
injection Cefamandole nafate 20 mg/ml
Glucose 5% 405
Compatible
injection Hydromorphone hydrochloride 0.2 mg/ml
injection Cefazolin sodium 20 mg/ml
Glucose 5% 405
Compatible
injection Hydromorphone hydrochloride 2 >> 40 mg/ml
injection Cefazolin sodium 20 mg/ml
Glucose 5% 226
Immediate precipitation Incompatible
injection Hydromorphone hydrochloride 2 >> 40 mg/ml
injection Cefazolin sodium >200 mg/ml
Glucose 5% 226
Compatible
injection Hydromorphone hydrochloride 1 mg/ml
injection Cefiderocol sulfate tosylate 20 mg/mL
Sodium chloride 0,9% 4528
Compatible
injection Hydromorphone hydrochloride 1 mg/ml
injection Cefiderocol sulfate tosylate 20 mg/mL
Glucose 5% 4528
Compatible
injection Hydromorphone hydrochloride 0.2 mg/ml
injection Cefmetazole sodium 100 mg/ml
Water for Injection 93
Compatible
injection Hydromorphone hydrochloride 0.2 mg/ml
injection Cefoperazone sodium 20 mg/ml
Glucose 5% 405
Compatible
injection Hydromorphone hydrochloride 0.2 mg/ml
injection Ceforanide 20 mg/ml
Glucose 5% 405
Compatible
injection Hydromorphone hydrochloride 0.2 mg/ml
injection Cefotaxime sodium 20 mg/ml
Glucose 5% 405
Compatible
injection Hydromorphone hydrochloride 0.2 mg/ml
injection Cefoxitin sodium 20 mg/ml
Glucose 5% 405
Compatible
injection Hydromorphone hydrochloride 0,5 mg/ml
injection Ceftaroline fosamil 2,22 mg/ml
Ringer’s lactate solution 3249
Compatible
injection Hydromorphone hydrochloride 0,5 mg/ml
injection Ceftaroline fosamil 2,22 mg/ml
Glucose 5% 3249
Compatible
injection Hydromorphone hydrochloride 0,5 mg/ml
injection Ceftaroline fosamil 2,22 mg/ml
Sodium chloride 0,9% 3249
Compatible
injection Hydromorphone hydrochloride 2 >> 40 mg/ml
injection Ceftazidime 40 & 180 mg/ml
Glucose 5% 226
Compatible
injection Hydromorphone hydrochloride 0.2 mg/ml
injection Ceftizoxime sodium 20 mg/ml
Glucose 5% 405
Immediate precipitation Incompatible
injection Hydromorphone hydrochloride 1 mg/ml
injection Ceftobiprole medocaril sodium 2 mg/ml
Sodium chloride 0,9% 2269
Immediate precipitation Incompatible
injection Hydromorphone hydrochloride 1 mg/ml
injection Ceftobiprole medocaril sodium 2 mg/ml
Ringer’s lactate solution 2269
Unspecified incompatibility Incompatible
injection Hydromorphone hydrochloride
injection Ceftobiprole medocaril sodium
4650
Immediate precipitation Incompatible
injection Hydromorphone hydrochloride 1 mg/ml
injection Ceftobiprole medocaril sodium 2 mg/ml
Glucose 5% 2269
Compatible
injection Hydromorphone hydrochloride 1 mg/ml
injection Ceftolozane / tazobactam 10/5 mg/ml
Glucose 5% 3828
Compatible
injection Hydromorphone hydrochloride 1 mg/ml
injection Ceftolozane / tazobactam 10/5 mg/ml
Sodium chloride 0,9% 3828
Compatible
injection Hydromorphone hydrochloride 0.2 mg/ml
injection Cefuroxime sodium 30 mg/ml
Glucose 5% 405
Compatible
injection Hydromorphone hydrochloride 0.2 mg/ml
injection Chloramphenicol sodium succinate 20 mg/ml
Glucose 5% 405
Compatible
injection Hydromorphone hydrochloride 0.5 mg/ml
injection Cisatracurium besylate 0.1 >> 5 mg/ml
Glucose 5% 299
Compatible
injection Hydromorphone hydrochloride 0.5 mg/ml
injection Cladribine 0.015 mg/ml
Sodium chloride 0,9% 1496
Compatible
injection Hydromorphone hydrochloride 0.5 mg/ml
injection Cladribine 0.5 mg/ml
NaCl 0,9% + antibacterial 1496
Compatible
injection Hydromorphone hydrochloride 10 mg/ml
injection Cloxacillin sodium 100 mg/ml
Water for Injection 3012
Compatible
injection Hydromorphone hydrochloride 0.2 mg/ml
injection Co-trimoxazole 4/0.8 mg/ml
Glucose 5% 405
Compatible
injection Hydromorphone hydrochloride < 10 mg/ml
injection Dexamethasone sodium phosphate 2 >> 10 mg/ml
389
Compatible
injection Hydromorphone hydrochloride 0.5 mg/ml
injection Dexamethasone sodium phosphate 1 mg/ml
Glucose 5% 1974
Compatible
injection Hydromorphone hydrochloride 1 >> 40 mg/ml
injection Dexamethasone sodium phosphate < 2 mg/ml
389
Compatible
injection Hydromorphone hydrochloride 0.5 mg/ml
injection Dexmedetomidine 4 µg/ml
Sodium chloride 0,9% 1712
Precipitation after 2 hours Incompatible
injection Hydromorphone hydrochloride
injection Dimenhydrinate
2087
Compatible
injection Hydromorphone hydrochloride 0.5 mg/ml
Parenteral nutrition (binary mixture) 301
Compatible
injection Hydromorphone hydrochloride 2 mg/ml
injection Cimetidine hydrochloride 150 mg/ml
1438
Compatible
injection Hydromorphone hydrochloride 0.2 mg/ml
injection Clindamycin phosphate 12 mg/ml
Glucose 5% 405
Immediate precipitation Incompatible
injection Hydromorphone hydrochloride 2 >> 40 mg/ml
injection Cloxacillin sodium 40 & 250 mg/ml
Glucose 5% 226
Immediate precipitation Incompatible
injection Hydromorphone hydrochloride
injection Cyclizine lactate
5073
Compatible
injection Hydromorphone hydrochloride
injection Dexamethasone sodium phosphate
5073
Immediate precipitation Incompatible
injection Hydromorphone hydrochloride > 15 mg/ml
injection Dexamethasone sodium phosphate > 3 mg/ml
389
Compatible
injection Hydromorphone hydrochloride 0.5 mg/ml
injection Diazepam 0.5 mg/ml
Glucose 5% 1974
Immediate precipitation Incompatible
injection Hydromorphone hydrochloride 2 >> 40 mg/ml
injection Diazepam 5 mg/ml
Glucose 5% 226
Compatible
injection Hydromorphone hydrochloride 1 mg/ml
injection Diltiazem hydrochloride 1 mg/ml
314
Compatible
injection Hydromorphone hydrochloride 2 >> 40 mg/ml
injection Dimenhydrinate 50 mg/ml
None 1497
Compatible
injection Hydromorphone hydrochloride 0.5 mg/ml
injection Diphenhydramine hydrochloride 2 mg/ml
Glucose 5% 1974
Compatible
injection Hydromorphone hydrochloride 1 mg/ml
injection Dobutamine hydrochloride 4 mg/ml
314
Compatible
injection Hydromorphone hydrochloride 0.5 mg/ml
injection Docetaxel 0.9 mg/ml
Glucose 5% 1754
Compatible
injection Hydromorphone hydrochloride 1 mg/ml
injection Dopamine hydrochloride 3.2 mg/ml
314
Compatible
injection Hydromorphone hydrochloride 1 mg/ml
injection Doripenem 5 mg/ml
Glucose 5% 2262
Compatible
injection Hydromorphone hydrochloride 1 mg/ml
injection Doripenem 5 mg/ml
Sodium chloride 0,9% 2262
Compatible
injection Hydromorphone hydrochloride 0.5 mg/ml
injection Doxorubicin hydrochloride liposome peg 0.4 mg/ml
Glucose 5% 251
Compatible
injection Hydromorphone hydrochloride 0.2 mg/ml
injection Doxycycline hyclate 1 mg/ml
Glucose 5% 405
Compatible
injection Hydromorphone hydrochloride 1 mg/ml
injection Epinephrine hydrochloride 20 µg/ml
314
Compatible
injection Hydromorphone hydrochloride 1 mg/ml
injection Eravacycline 0,6 mg/ml
Sodium chloride 0,9% 4434
Compatible
injection Hydromorphone hydrochloride 0.2 mg/ml
injection Erythromycin lactobionate 5 mg/ml
Glucose 5% 405
Compatible
injection Hydromorphone hydrochloride 0.5 mg/ml
injection Etoposide phosphate 5 mg/ml
Glucose 5% 1410
Compatible
injection Hydromorphone hydrochloride 0.5 mg/ml
injection Famotidine 2 mg/ml
Sodium chloride 0,9% 215
Compatible
injection Hydromorphone hydrochloride 0.5 mg/ml
injection Fenoldopam mesylate 80 µg/ml
Sodium chloride 0,9% 1803
Compatible
injection Hydromorphone hydrochloride 1 mg/ml
injection Fentanyl citrate 50 µg/ml
314
Compatible
injection Hydromorphone hydrochloride 0.5 mg/ml
injection Filgrastim 30 µg/ml
Glucose 5% 244
Compatible
injection Hydromorphone hydrochloride 0.5 mg/ml
injection Fludarabine phosphate 1 mg/ml
Glucose 5% 492
Compatible
injection Hydromorphone hydrochloride 0.5 mg/ml
injection Fluorouracil 1 & 16 mg/ml
Glucose 5% 513
Compatible
injection Hydromorphone hydrochloride 0.5 mg/ml
injection Fluorouracil 1 & 16 mg/ml
Sodium chloride 0,9% 513
Compatible
injection Hydromorphone hydrochloride 10 mg/ml
injection Foscarnet sodium 24 mg/ml
None 73
Compatible
injection Hydromorphone hydrochloride 1 mg/ml
injection Fosfomycin 30 mg/ml
Glucose 5% 4055
Compatible
injection Hydromorphone hydrochloride 1 mg/ml
injection Fosfomycin 30 mg/ml
Sodium chloride 0,9% 4055
Compatible
injection Hydromorphone hydrochloride 1 mg/ml
injection Furosemide 10 mg/ml
314
Turbidity in 24 hours Incompatible
injection Hydromorphone hydrochloride 4 mg/ml
injection Gallium nitrate 1 mg/ml
Sodium chloride 0,9% 91
Compatible
injection Hydromorphone hydrochloride 0.5 mg/ml
injection Gemcitabine hydrochloride 10 mg/ml
Sodium chloride 0,9% 1423
Compatible
injection Hydromorphone hydrochloride 0.2 mg/ml
injection Gentamicin sulfate 0.8 mg/ml
Glucose 5% 405
Compatible
injection Hydromorphone hydrochloride
injection Glycopyrronium bromide
5073
Compatible
injection Hydromorphone hydrochloride 0.5 mg/ml
injection Granisetron hydrochloride 0.056 mg/ml
Sodium chloride 0,9% 6
Compatible
injection Hydromorphone hydrochloride 0.5 mg/ml
injection Granisetron hydrochloride 1 mg/ml
Sodium chloride 0,9% 57
Compatible
injection Hydromorphone hydrochloride 0.5 mg/ml
injection Granisetron hydrochloride 0.05 mg/ml
Glucose 5% 182
Compatible
injection Hydromorphone hydrochloride 10 mg/ml
injection Haloperidol lactate 1 mg/ml
None 216
Compatible
injection Hydromorphone hydrochloride 10 mg/ml
injection Haloperidol lactate 5 mg/ml
None 216
Compatible
injection Hydromorphone hydrochloride 1 mg/ml
injection Haloperidol lactate 5 mg/ml
None 216
Compatible
injection Hydromorphone hydrochloride 1 mg/ml
injection Haloperidol lactate 2 mg/ml
None 216
Compatible
injection Hydromorphone hydrochloride 1 mg/ml
injection Haloperidol lactate 1 mg/ml
None 216
Compatible
injection Hydromorphone hydrochloride 0.5 mg/ml
injection Haloperidol lactate 0.2 mg/ml
Glucose 5% 1974
Compatible
injection Hydromorphone hydrochloride
injection Haloperidol lactate
5073
Compatible
injection Hydromorphone hydrochloride 10 mg/ml
injection Haloperidol lactate 2 mg/ml
None 216
Compatible
injection Hydromorphone hydrochloride <12.5 mg/ml
injection Heparin sodium
Water for Injection 66
Compatible
injection Hydromorphone hydrochloride <12.5 mg/ml
injection Heparin sodium
Sodium chloride 0,9% 66
Compatible
injection Hydromorphone hydrochloride 1 mg/ml
injection Heparin sodium 100 UI/ml
314
Immediate precipitation Incompatible
injection Hydromorphone hydrochloride >25 mg/ml
injection Heparin sodium <12,5 UI/ml
Water for Injection 66
Immediate precipitation Incompatible
injection Hydromorphone hydrochloride >10 mg/ml
injection Heparin sodium <1 UI/ml
Water for Injection 66
Immediate precipitation Incompatible
injection Hydromorphone hydrochloride >25 mg/ml
injection Heparin sodium <12,5 UI/ml
Sodium chloride 0,9% 66
Compatible
injection Hydromorphone hydrochloride 0.5 mg/ml
injection Hetastarch 60 mg/ml
specific solvent 1721
Chemical instability Incompatible
injection Hydromorphone hydrochloride 2 >> 40 mg/ml
injection Hyaluronidase 150 UI/ml
Glucose 5% 9
Compatible
injection Hydromorphone hydrochloride
injection Hyaluronidase
3184
Chemical instability Incompatible
injection Hydromorphone hydrochloride 2 >> 40 mg/ml
injection Hyaluronidase 150 UI/ml
Sodium chloride 0,9% 9
Compatible
injection Hydromorphone hydrochloride 0.5 mg/ml
injection Hydroxyzine dihydrochloride 4 mg/ml
Glucose 5% 1974
Compatible
injection Hydromorphone hydrochloride 1 mg/ml
injection Isavuconazonium sulfate 1.5 mg/ml
Sodium chloride 0,9% 3829
Compatible
injection Hydromorphone hydrochloride 1 mg/ml
injection Isavuconazonium sulfate 1.5 mg/ml
Glucose 5% 3829
Compatible
injection Hydromorphone hydrochloride 0.2 mg/ml
injection Kanamycin sulfate 2.5 mg/ml
Glucose 5% 405
Compatible
injection Hydromorphone hydrochloride
injection Ketamine hydrochloride
5073
Compatible
injection Hydromorphone hydrochloride 0.2 mg/ml
injection Ketamine hydrochloride 0.2 >> 1 mg/ml
Sodium chloride 0,9% 2336
Compatible
injection Hydromorphone hydrochloride 0.5 mg/ml
injection Ketorolac tromethamine 1 mg/ml
Glucose 5% 1974
Compatible
injection Hydromorphone hydrochloride 10 mg/ml
injection Ketorolac tromethamine 15 mg/ml
None 216
Compatible
injection Hydromorphone hydrochloride 1 mg/ml
injection Ketorolac tromethamine 30 mg/ml
None 216
Compatible
injection Hydromorphone hydrochloride 1 mg/ml
injection Ketorolac tromethamine 15 mg/ml
None 216
Immediate precipitation Incompatible
injection Hydromorphone hydrochloride 10 mg/ml
injection Ketorolac tromethamine 30 mg/ml
None 216
Compatible
injection Hydromorphone hydrochloride 1 mg/ml
injection Labetalol hydrochloride 2 mg/ml
314
Precipitation after 1 hour Incompatible
injection Hydromorphone hydrochloride 0.5 mg/ml
injection Lansoprazole 0.55 mg/ml
Sodium chloride 0,9% 1625
Compatible
injection Hydromorphone hydrochloride 2 mg/ml
injection Levofloxacine 5 mg/ml
None 2335
Compatible
injection Hydromorphone hydrochloride
injection Levomepromazine
5073
Compatible
injection Hydromorphone hydrochloride 10 mg/ml
injection Levosimendan 2,5 mg/ml
4389
Compatible
injection Hydromorphone hydrochloride 0.5 mg/ml
injection Linezolid 2 mg/ml
None 1925
Compatible
injection Hydromorphone hydrochloride 0.5 mg/ml
injection Lorazepam 0.1 mg/ml
Glucose 5% 1974
Compatible
injection Hydromorphone hydrochloride 2 >> 40 mg/ml
injection Lorazepam 4 mg/ml
None 1497
Compatible
injection Hydromorphone hydrochloride 1 mg/ml
injection Lorazepam 0.5 mg/ml
314
Compatible
injection Hydromorphone hydrochloride 2 mg/ml
injection Magnesium sulfate 16,67 >> 100 mg/ml
Glucose 5% 517
Compatible
injection Hydromorphone hydrochloride 0.5 mg/ml
injection Melphalan 0.1 mg/ml
Sodium chloride 0,9% 169
Compatible
injection Hydromorphone hydrochloride 10 mg/ml
injection Meropenem 50 mg/ml
Water for Injection 4319
Chemical instability Incompatible
injection Hydromorphone hydrochloride
injection Metamizol sodium
2364
Compatible
injection Hydromorphone hydrochloride
injection Metoclopramide hydrochloride
5073
Compatible
injection Hydromorphone hydrochloride 0.5 mg/ml
injection Metoclopramide hydrochloride 5 mg/ml
Glucose 5% 1974
Compatible
injection Hydromorphone hydrochloride 0.2 mg/ml
injection Metronidazole 5 mg/ml
Glucose 5% 405
Compatible
injection Hydromorphone hydrochloride 0.5 mg/ml
injection Micafungin 1.5 mg/ml
Sodium chloride 0,9% 2108
Compatible
injection Hydromorphone hydrochloride
injection Midazolam hydrochloride
5073
Compatible
injection Hydromorphone hydrochloride 0.5 mg/ml
injection Midazolam hydrochloride 0.2 mg/ml
Glucose 5% 1974
Compatible
injection Hydromorphone hydrochloride 0.5 >> 45 mg/ml
injection Midazolam hydrochloride 0.1 >> 4.5 mg/ml
Glucose 5% 345
Compatible
injection Hydromorphone hydrochloride 1 mg/ml
injection Midazolam hydrochloride 2 mg/ml
314
Compatible
injection Hydromorphone hydrochloride 0.5 >> 45 mg/ml
injection Midazolam hydrochloride 0.1 >> 4.5 mg/ml
Sodium chloride 0,9% 345
Compatible
injection Hydromorphone hydrochloride 1 mg/ml
injection Milrinone lactate 0.2 mg/ml
314
Color change after 1 hour Incompatible
injection Hydromorphone hydrochloride 0.2 mg/ml
injection Minocycline hydrochloride 0.2 mg/ml
Glucose 5% 405
Compatible
injection Hydromorphone hydrochloride 1 mg/ml
injection Morphine sulfate 2 mg/ml
314
Compatible
injection Hydromorphone hydrochloride 0.2 mg/ml
injection Moxalactam 20 mg/ml
Glucose 5% 405
Compatible
injection Hydromorphone hydrochloride 0.2 mg/ml
injection Nafcillin sodium 20 mg/ml
Glucose 5% 405
Compatible
injection Hydromorphone hydrochloride 10 mg/ml
injection Naloxone hydrochloride 0.4 mg/ml
None 3408
Compatible
injection Hydromorphone hydrochloride 1 mg/ml
injection Nicardipine hydrochloride 1 mg/ml
314
Compatible
injection Hydromorphone hydrochloride 1 mg/ml
injection Nitroglycerin 0.4 mg/ml
314
Compatible
injection Hydromorphone hydrochloride 1 mg/ml
injection Norepinephrine bitartrate 0.128 mg/ml
314
Compatible
injection Hydromorphone hydrochloride 0,5 mg/ml
injection Ondansetron hydrochloride 0,1 & 1 mg/ml
Sodium chloride 0,9% 6
Compatible
injection Hydromorphone hydrochloride 0.5 mg/ml
injection Ondansetron hydrochloride 1 mg/ml
Sodium chloride 0,9% 334
Compatible
injection Hydromorphone hydrochloride 0.2 mg/ml
injection Oxacillin sodium 20 mg/ml
Glucose 5% 405
Compatible
injection Hydromorphone hydrochloride 0,5 mg/ml
injection Oxaliplatin 0,5 mg/ml
Glucose 5% 1662
Compatible
injection Hydromorphone hydrochloride 0.5 mg/ml
injection Paclitaxel 1.2 mg/ml
Glucose 5% 248
Compatible
injection Hydromorphone hydrochloride 0.5 mg/ml
injection Palonosetron hydrochloride 50 µg/ml
Glucose 5% 2196
Precipitation after 4 hours Incompatible
injection Hydromorphone hydrochloride
injection Pantoprazole sodium
2090
Compatible
injection Hydromorphone hydrochloride 10 mg/ml
injection Paracetamol 10 mg/ml
4742
Compatible
injection Hydromorphone hydrochloride 2 mg/ml
injection Paracetamol 10 mg/ml
None 3571
Unspecified incompatibility Incompatible
injection Hydromorphone hydrochloride
injection Parecoxib sodium
3504
Compatible
injection Hydromorphone hydrochloride 0.5 mg/ml
injection Pemetrexed disodium 20 mg/ml
Sodium chloride 0,9% 1953
Compatible
injection Hydromorphone hydrochloride 0.2 mg/ml
injection Penicillin G potassium 0.1 MUI/ml
Glucose 5% 405
Immediate precipitation Incompatible
injection Hydromorphone hydrochloride 2 >> 40 mg/ml
injection Phenobarbital sodium 120 mg/ml
Glucose 5% 226
Compatible
injection Hydromorphone hydrochloride 0.5 mg/ml
injection Phenobarbital sodium 2 mg/ml
Glucose 5% 1974
Immediate precipitation Incompatible
injection Hydromorphone hydrochloride 2 >> 40 mg/ml
injection Phenytoin sodium 50 mg/ml
Glucose 5% 226
Precipitation after 1 hour Incompatible
injection Hydromorphone hydrochloride 0.5 mg/ml
injection Phenytoin sodium 2 mg/ml
Glucose 5% 1974
Compatible
injection Hydromorphone hydrochloride 0.2 mg/ml
injection Piperacillin sodium 60 mg/ml
Glucose 5% 405
Compatible
injection Hydromorphone hydrochloride 0.5 mg/ml
injection Piperacillin sodium / tazobactam 40/5 mg/ml
Glucose 5% 81
Compatible
injection Hydromorphone hydrochloride 1 mg/ml
injection Plazomicin sulfate 24 mg/ml
Sodium chloride 0,9% 4145
Compatible
injection Hydromorphone hydrochloride
injection Posaconazole
4380
Compatible
injection Hydromorphone hydrochloride 25 mg/ml
injection Potassium chloride 1000 mEq/l
Water for Injection 66
Compatible
injection Hydromorphone hydrochloride 5 >> 20 mg/ml
injection Potassium chloride 500 & 1000 mEq/l
Glucose 5% 66
Compatible
injection Hydromorphone hydrochloride 2 >> 40 mg/ml
injection Prochlorperazine edysilate 5 mg/ml
None 1497
Compatible
injection Hydromorphone hydrochloride 0,5 mg/ml
injection Prochlorperazine edysilate 1,5 mg/ml
Sodium chloride 0,9% 767
Compatible
injection Hydromorphone hydrochloride 1 mg/ml
injection Promethazine hydrochloride 0.3 mg/ml
Sodium chloride 0,9% 795
Compatible
injection Hydromorphone hydrochloride 0.5 mg/ml
injection Propofol 10 mg/ml
None 300
Compatible
injection Hydromorphone hydrochloride 1 mg/ml
injection Ranitidine hydrochloride 1 mg/ml
314
Compatible
injection Hydromorphone hydrochloride 2 mg/ml
injection Ranitidine hydrochloride 25 mg/ml
None 58
Compatible
injection Hydromorphone hydrochloride 1 mg/ml
injection Remdesivir 1 mg/ml
Sodium chloride 0,9% 4768
Compatible
injection Hydromorphone hydrochloride 10 mg/ml
injection Salbutamol sulfate 1 mg/ml
None 3216
Precipitation after 30 minutes Incompatible
injection Hydromorphone hydrochloride 0.5 mg/ml
injection Sargramostim 10 µg/ml
Sodium chloride 0,9% 335
Compatible
injection Hydromorphone hydrochloride 0.5 mg/ml
injection Scopolamine hydrobromide 0.05 mg/ml
Glucose 5% 1974
Compatible
injection Hydromorphone hydrochloride
injection Scopolamine hydrobromide
5073
Compatible
injection Hydromorphone hydrochloride 0,1 & 1 mg/ml
injection Tacrolimus 5 & 20 µg/ml
Glucose 5% 814
Compatible
injection Hydromorphone hydrochloride 1 mg/ml
injection Tedizolid phosphate 0.8 mg/ml
Sodium chloride 0,9% 3827
Compatible
injection Hydromorphone hydrochloride 0.5 mg/ml
injection Teniposide 0.1 mg/ml
Glucose 5% 905
Immediate precipitation Incompatible
injection Hydromorphone hydrochloride 10 mg/ml
injection Thiopental sodium 25 mg/ml
Sodium chloride 0,9% 3767
Precipitation after 4 hours Incompatible
injection Hydromorphone hydrochloride 1 mg/ml
injection Thiopental sodium 25 mg/ml
314
Compatible
injection Hydromorphone hydrochloride 0.5 mg/ml
injection Thiotepa 1 mg/ml
Glucose 5% 249
Compatible
injection Hydromorphone hydrochloride
Sodium chloride 0,9% 5073
Compatible
injection Hydromorphone hydrochloride
injection Scopolamine N-butyl bromide
5073
Compatible
injection Hydromorphone hydrochloride 1 mg/ml
injection Sulbactam/durlobactam 15/15 mg/ml
Sodium chloride 0,9% 4801
Compatible
injection Hydromorphone hydrochloride 0.2 mg/ml
injection Tobramycin sulfate 0.8 mg/ml
Glucose 5% 405
Compatible
injection Hydromorphone hydrochloride 0.2 mg/ml
injection Vancomycin hydrochloride 5 mg/ml
Glucose 5% 405
Compatible
injection Hydromorphone hydrochloride 2 mg/ml
injection Vancomycin hydrochloride 4 mg/ml
Sodium chloride 0,9% 2335
Compatible
injection Hydromorphone hydrochloride 1 mg/ml
injection Vecuronium bromide 1 mg/ml
314
Compatible
injection Hydromorphone hydrochloride 0.016 mg/ml
injection Verapamil hydrochloride 0.08 mg/ml
Sodium chloride 0,9% 1057
Compatible
injection Hydromorphone hydrochloride 0.016 mg/ml
injection Verapamil hydrochloride 0.08 mg/ml
Glucose 5% 1057
Compatible
injection Hydromorphone hydrochloride 0.5 mg/ml
injection Vinorelbine tartrate 1 mg/ml
Sodium chloride 0,9% 84

  Mentions Légales