Cập nhật lần cuối :
18/03/2026
Thuốc giảm đau   Hydromorphone hydrochloride  
Dạng tiêm
Tính ổn định của các dung dịch Độ ổn định khi trộn lẫn Những yếu tố ảnh hưởng đến độ ổn định Khả năng tương thích Đường dùng Tài liệu tham khảo Pdf
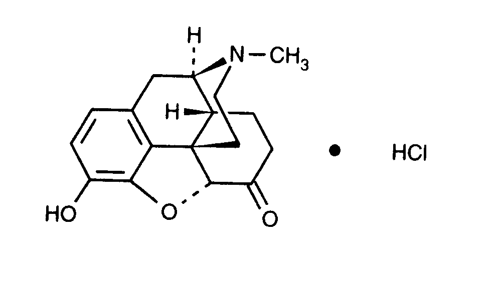
   Cấu trúc hóa học  

Tên thương mại   Tên thương mại     

Các tên thương mại được cung cấp và thành phần tá dược có thể khác nhau giữa các quốc gia và các hãng dược

Dilaudid Canada, Hoa Kỳ
Hydal Áo
Palladon Thụy Sỹ, Đan Mạch
Palladone Anh
Khả năng tương thích   Dạng tiêm   Khả năng tương thích : Hydromorphone hydrochloride              
Màn hình này cho biết khả năng tương thích hoặc không tương thích, trong trường hợp này là loại không tương thích (kết tủa, thay đổi màu sắc, sửa đổi nhũ tương, v.v.). Sự tương hợp được chỉ ra ở đây chủ yếu chỉ là vật lý, với độ ổn định hóa học của mỗi phân tử hiếm khi được đánh giá. Việc đánh giá các hỗn hợp này được nghiên cứu để xem xét khả năng sử dụng vị trí Y cho bệnh nhân. Những dữ liệu này không thể được sử dụng để tạo hỗn hợp trước trong túi hoặc ống tiêm. Loại thông tin này có sẵn trong màn hình "Độ ổn định trong hỗn hợp».
Phân tử Dung môi Mục lục
Tương thích
Dạng tiêm Hydromorphone hydrochloride 0.04 mg/ml
Dạng tiêm Aciclovir sodium 5 mg/ml
Glucose 5% 336
Tương thích
Dạng tiêm Hydromorphone hydrochloride 0.5 mg/ml
Dạng tiêm Allopurinol sodium 3 mg/ml
NaCl 0,9% 307
Tương thích
Dạng tiêm Hydromorphone hydrochloride 0.5 mg/ml
Dạng tiêm Amifostine 10 mg/ml
Glucose 5% 3
Tương thích
Dạng tiêm Hydromorphone hydrochloride 0.2 mg/ml
Dạng tiêm Amikacin sulfate 5 mg/ml
Glucose 5% 405
Tương thích
Dạng tiêm Hydromorphone hydrochloride 10 mg/ml
Dạng tiêm Amoxicillin sodium / clavulanic acid 100/10 mg/ml
3824
Tương thích
Dạng tiêm Hydromorphone hydrochloride 2 >> 40 mg/ml
Dạng tiêm Ampicillin sodium 20 & 250 mg/ml
Glucose 5% 226
Tương thích
Dạng tiêm Hydromorphone hydrochloride 0.5 mg/ml
Dạng tiêm Amsacrine 1 mg/ml
Glucose 5% 253
Tương thích
Dạng tiêm Hydromorphone hydrochloride 0.5 mg/ml
Dạng tiêm Anidulafungin 0.5 mg/ml
Glucose 5% 1982
Tương thích
Dạng tiêm Hydromorphone hydrochloride 0.5 mg/ml
Dạng tiêm Aztreonam 40 mg/ml
Glucose 5% 99
Tương thích
Dạng tiêm Hydromorphone hydrochloride 0.5 mg/ml
Dạng tiêm Bivalirudin 5 mg/ml
Glucose 5% 1713
Sự mất ổn định tức thì của nhũ tương Không tương thích
Dạng tiêm Hydromorphone hydrochloride 0.5 mg/ml
Dinh dưỡng đường tĩnh mạch (có lipids) 1415
Tương thích
Dạng tiêm Hydromorphone hydrochloride 10 mg/ml
Dung dịch Ringer’s lactate 4603
Mất độ đục Không tương thích
Dạng tiêm Hydromorphone hydrochloride 0.5 mg/ml
Dạng tiêm Amphotericin B cholesteryl sulfate complex 0.83 mg/ml
Glucose 5% 921
Tương thích
Dạng tiêm Hydromorphone hydrochloride 0.2 mg/ml
Dạng tiêm Ampicillin sodium 20 mg/ml
Glucose 5% 405
Tương thích
Dạng tiêm Hydromorphone hydrochloride 0.5 mg/ml
Dạng tiêm Atropine sulfate 0.4 mg/ml
Glucose 5% 1974
Tương thích
Dạng tiêm Hydromorphone hydrochloride 0,02 & 0,1 mg/ml
Dạng tiêm Bupivacaine hydrochloride 0,625 & 1,25 mg/ml
NaCl 0,9% 306
Tương thích
Dạng tiêm Hydromorphone hydrochloride
Glucose 5% 5073
Tương thích
Dạng tiêm Hydromorphone hydrochloride 0,02 & 0,04 mg/ml
Dạng tiêm Bupivacaine hydrochloride 2,5 mg/ml
NaCl 0,9% 1931
Tương thích
Dạng tiêm Hydromorphone hydrochloride 15 mg/ml
Dạng tiêm Bupivacaine hydrochloride 10 mg/ml
Không 4200
Tương thích
Dạng tiêm Hydromorphone hydrochloride 2,5 mg/ml
Dinh dưỡng đường tĩnh mạch (có lipids) 4507
Tương thích
Dạng tiêm Hydromorphone hydrochloride 25 mg/ml
Dạng tiêm Bupivacaine hydrochloride 20 mg/ml
NaCl 0,9% 3131
Tương thích
Dạng tiêm Hydromorphone hydrochloride 65 mg/ml
Dạng tiêm Bupivacaine hydrochloride 7,5 mg/ml
Không 221
Tương thích
Dạng tiêm Hydromorphone hydrochloride 50 mg/ml
Dạng tiêm Caffeine 10 mg/ml
Không 3964
Tương thích
Dạng tiêm Hydromorphone hydrochloride 1 mg/ml
Dạng tiêm Caspofungin acetate 0,7 mg/ml
NaCl 0,9% 2247
Tương thích
Dạng tiêm Hydromorphone hydrochloride 1 mg/ml
Dạng tiêm Caspofungin acetate 0.5 mg/ml
NaCl 0,9% 2233
Tương thích
Dạng tiêm Hydromorphone hydrochloride 0.2 mg/ml
Dạng tiêm Cefalotin sodium 20 mg/ml
Glucose 5% 405
Tương thích
Dạng tiêm Hydromorphone hydrochloride 0.2 mg/ml
Dạng tiêm Cefamandole nafate 20 mg/ml
Glucose 5% 405
Tương thích
Dạng tiêm Hydromorphone hydrochloride 0.2 mg/ml
Dạng tiêm Cefazolin sodium 20 mg/ml
Glucose 5% 405
Tương thích
Dạng tiêm Hydromorphone hydrochloride 2 >> 40 mg/ml
Dạng tiêm Cefazolin sodium 20 mg/ml
Glucose 5% 226
Lượng mưa ngay lập tức Không tương thích
Dạng tiêm Hydromorphone hydrochloride 2 >> 40 mg/ml
Dạng tiêm Cefazolin sodium >200 mg/ml
Glucose 5% 226
Tương thích
Dạng tiêm Hydromorphone hydrochloride 1 mg/ml
Dạng tiêm Cefiderocol sulfate tosylate 20 mg/mL
NaCl 0,9% 4528
Tương thích
Dạng tiêm Hydromorphone hydrochloride 1 mg/ml
Dạng tiêm Cefiderocol sulfate tosylate 20 mg/mL
Glucose 5% 4528
Tương thích
Dạng tiêm Hydromorphone hydrochloride 0.2 mg/ml
Dạng tiêm Cefmetazole sodium 100 mg/ml
Nước cất pha tiêm 93
Tương thích
Dạng tiêm Hydromorphone hydrochloride 0.2 mg/ml
Dạng tiêm Cefoperazone sodium 20 mg/ml
Glucose 5% 405
Tương thích
Dạng tiêm Hydromorphone hydrochloride 0.2 mg/ml
Dạng tiêm Ceforanide 20 mg/ml
Glucose 5% 405
Tương thích
Dạng tiêm Hydromorphone hydrochloride 0.2 mg/ml
Dạng tiêm Cefotaxime sodium 20 mg/ml
Glucose 5% 405
Tương thích
Dạng tiêm Hydromorphone hydrochloride 0.2 mg/ml
Dạng tiêm Cefoxitin sodium 20 mg/ml
Glucose 5% 405
Tương thích
Dạng tiêm Hydromorphone hydrochloride 0,5 mg/ml
Dạng tiêm Ceftaroline fosamil 2,22 mg/ml
Dung dịch Ringer’s lactate 3249
Tương thích
Dạng tiêm Hydromorphone hydrochloride 0,5 mg/ml
Dạng tiêm Ceftaroline fosamil 2,22 mg/ml
Glucose 5% 3249
Tương thích
Dạng tiêm Hydromorphone hydrochloride 0,5 mg/ml
Dạng tiêm Ceftaroline fosamil 2,22 mg/ml
NaCl 0,9% 3249
Tương thích
Dạng tiêm Hydromorphone hydrochloride 2 >> 40 mg/ml
Dạng tiêm Ceftazidime 40 & 180 mg/ml
Glucose 5% 226
Tương thích
Dạng tiêm Hydromorphone hydrochloride 0.2 mg/ml
Dạng tiêm Ceftizoxime sodium 20 mg/ml
Glucose 5% 405
Lượng mưa ngay lập tức Không tương thích
Dạng tiêm Hydromorphone hydrochloride 1 mg/ml
Dạng tiêm Ceftobiprole medocaril sodium 2 mg/ml
NaCl 0,9% 2269
Lượng mưa ngay lập tức Không tương thích
Dạng tiêm Hydromorphone hydrochloride 1 mg/ml
Dạng tiêm Ceftobiprole medocaril sodium 2 mg/ml
Dung dịch Ringer’s lactate 2269
Không tương thích không xác định Không tương thích
Dạng tiêm Hydromorphone hydrochloride
Dạng tiêm Ceftobiprole medocaril sodium
4650
Lượng mưa ngay lập tức Không tương thích
Dạng tiêm Hydromorphone hydrochloride 1 mg/ml
Dạng tiêm Ceftobiprole medocaril sodium 2 mg/ml
Glucose 5% 2269
Tương thích
Dạng tiêm Hydromorphone hydrochloride 1 mg/ml
Dạng tiêm Ceftolozane / tazobactam 10/5 mg/ml
Glucose 5% 3828
Tương thích
Dạng tiêm Hydromorphone hydrochloride 1 mg/ml
Dạng tiêm Ceftolozane / tazobactam 10/5 mg/ml
NaCl 0,9% 3828
Tương thích
Dạng tiêm Hydromorphone hydrochloride 0.2 mg/ml
Dạng tiêm Cefuroxime sodium 30 mg/ml
Glucose 5% 405
Tương thích
Dạng tiêm Hydromorphone hydrochloride 0.2 mg/ml
Dạng tiêm Chloramphenicol sodium succinate 20 mg/ml
Glucose 5% 405
Tương thích
Dạng tiêm Hydromorphone hydrochloride 0.5 mg/ml
Dạng tiêm Cisatracurium besylate 0.1 >> 5 mg/ml
Glucose 5% 299
Tương thích
Dạng tiêm Hydromorphone hydrochloride 0.5 mg/ml
Dạng tiêm Cladribine 0.015 mg/ml
NaCl 0,9% 1496
Tương thích
Dạng tiêm Hydromorphone hydrochloride 0.5 mg/ml
Dạng tiêm Cladribine 0.5 mg/ml
NaCl 0,9% + chất kháng khuẩn 1496
Tương thích
Dạng tiêm Hydromorphone hydrochloride 10 mg/ml
Dạng tiêm Cloxacillin sodium 100 mg/ml
Nước cất pha tiêm 3012
Tương thích
Dạng tiêm Hydromorphone hydrochloride 0.2 mg/ml
Dạng tiêm Co-trimoxazole 4/0.8 mg/ml
Glucose 5% 405
Tương thích
Dạng tiêm Hydromorphone hydrochloride < 10 mg/ml
Dạng tiêm Dexamethasone sodium phosphate 2 >> 10 mg/ml
389
Tương thích
Dạng tiêm Hydromorphone hydrochloride 0.5 mg/ml
Dạng tiêm Dexamethasone sodium phosphate 1 mg/ml
Glucose 5% 1974
Tương thích
Dạng tiêm Hydromorphone hydrochloride 1 >> 40 mg/ml
Dạng tiêm Dexamethasone sodium phosphate < 2 mg/ml
389
Tương thích
Dạng tiêm Hydromorphone hydrochloride 0.5 mg/ml
Dạng tiêm Dexmedetomidine 4 µg/ml
NaCl 0,9% 1712
Lượng mưa sau 2 giờ Không tương thích
Dạng tiêm Hydromorphone hydrochloride
Dạng tiêm Dimenhydrinate
2087
Tương thích
Dạng tiêm Hydromorphone hydrochloride 0.5 mg/ml
Dinh dưỡng đường tĩnh mạch (hỗn hợp 2 thành phần) 301
Tương thích
Dạng tiêm Hydromorphone hydrochloride 2 mg/ml
Dạng tiêm Cimetidine hydrochloride 150 mg/ml
1438
Tương thích
Dạng tiêm Hydromorphone hydrochloride 0.2 mg/ml
Dạng tiêm Clindamycin phosphate 12 mg/ml
Glucose 5% 405
Lượng mưa ngay lập tức Không tương thích
Dạng tiêm Hydromorphone hydrochloride 2 >> 40 mg/ml
Dạng tiêm Cloxacillin sodium 40 & 250 mg/ml
Glucose 5% 226
Lượng mưa ngay lập tức Không tương thích
Dạng tiêm Hydromorphone hydrochloride
Dạng tiêm Cyclizine lactate
5073
Tương thích
Dạng tiêm Hydromorphone hydrochloride
Dạng tiêm Dexamethasone sodium phosphate
5073
Lượng mưa ngay lập tức Không tương thích
Dạng tiêm Hydromorphone hydrochloride > 15 mg/ml
Dạng tiêm Dexamethasone sodium phosphate > 3 mg/ml
389
Tương thích
Dạng tiêm Hydromorphone hydrochloride 0.5 mg/ml
Dạng tiêm Diazepam 0.5 mg/ml
Glucose 5% 1974
Lượng mưa ngay lập tức Không tương thích
Dạng tiêm Hydromorphone hydrochloride 2 >> 40 mg/ml
Dạng tiêm Diazepam 5 mg/ml
Glucose 5% 226
Tương thích
Dạng tiêm Hydromorphone hydrochloride 1 mg/ml
Dạng tiêm Diltiazem hydrochloride 1 mg/ml
314
Tương thích
Dạng tiêm Hydromorphone hydrochloride 2 >> 40 mg/ml
Dạng tiêm Dimenhydrinate 50 mg/ml
Không 1497
Tương thích
Dạng tiêm Hydromorphone hydrochloride 0.5 mg/ml
Dạng tiêm Diphenhydramine hydrochloride 2 mg/ml
Glucose 5% 1974
Tương thích
Dạng tiêm Hydromorphone hydrochloride 1 mg/ml
Dạng tiêm Dobutamine hydrochloride 4 mg/ml
314
Tương thích
Dạng tiêm Hydromorphone hydrochloride 0.5 mg/ml
Dạng tiêm Docetaxel 0.9 mg/ml
Glucose 5% 1754
Tương thích
Dạng tiêm Hydromorphone hydrochloride 1 mg/ml
Dạng tiêm Dopamine hydrochloride 3.2 mg/ml
314
Tương thích
Dạng tiêm Hydromorphone hydrochloride 1 mg/ml
Dạng tiêm Doripenem 5 mg/ml
Glucose 5% 2262
Tương thích
Dạng tiêm Hydromorphone hydrochloride 1 mg/ml
Dạng tiêm Doripenem 5 mg/ml
NaCl 0,9% 2262
Tương thích
Dạng tiêm Hydromorphone hydrochloride 0.5 mg/ml
Dạng tiêm Doxorubicin hydrochloride liposome peg 0.4 mg/ml
Glucose 5% 251
Tương thích
Dạng tiêm Hydromorphone hydrochloride 0.2 mg/ml
Dạng tiêm Doxycycline hyclate 1 mg/ml
Glucose 5% 405
Tương thích
Dạng tiêm Hydromorphone hydrochloride 1 mg/ml
Dạng tiêm Epinephrine hydrochloride 20 µg/ml
314
Tương thích
Dạng tiêm Hydromorphone hydrochloride 1 mg/ml
Dạng tiêm Eravacycline 0,6 mg/ml
NaCl 0,9% 4434
Tương thích
Dạng tiêm Hydromorphone hydrochloride 0.2 mg/ml
Dạng tiêm Erythromycin lactobionate 5 mg/ml
Glucose 5% 405
Tương thích
Dạng tiêm Hydromorphone hydrochloride 0.5 mg/ml
Dạng tiêm Etoposide phosphate 5 mg/ml
Glucose 5% 1410
Tương thích
Dạng tiêm Hydromorphone hydrochloride 0.5 mg/ml
Dạng tiêm Famotidine 2 mg/ml
NaCl 0,9% 215
Tương thích
Dạng tiêm Hydromorphone hydrochloride 0.5 mg/ml
Dạng tiêm Fenoldopam mesylate 80 µg/ml
NaCl 0,9% 1803
Tương thích
Dạng tiêm Hydromorphone hydrochloride 1 mg/ml
Dạng tiêm Fentanyl citrate 50 µg/ml
314
Tương thích
Dạng tiêm Hydromorphone hydrochloride 0.5 mg/ml
Dạng tiêm Filgrastim 30 µg/ml
Glucose 5% 244
Tương thích
Dạng tiêm Hydromorphone hydrochloride 0.5 mg/ml
Dạng tiêm Fludarabine phosphate 1 mg/ml
Glucose 5% 492
Tương thích
Dạng tiêm Hydromorphone hydrochloride 0.5 mg/ml
Dạng tiêm Fluorouracil 1 & 16 mg/ml
Glucose 5% 513
Tương thích
Dạng tiêm Hydromorphone hydrochloride 0.5 mg/ml
Dạng tiêm Fluorouracil 1 & 16 mg/ml
NaCl 0,9% 513
Tương thích
Dạng tiêm Hydromorphone hydrochloride 10 mg/ml
Dạng tiêm Foscarnet sodium 24 mg/ml
Không 73
Tương thích
Dạng tiêm Hydromorphone hydrochloride 1 mg/ml
Dạng tiêm Fosfomycin 30 mg/ml
Glucose 5% 4055
Tương thích
Dạng tiêm Hydromorphone hydrochloride 1 mg/ml
Dạng tiêm Fosfomycin 30 mg/ml
NaCl 0,9% 4055
Tương thích
Dạng tiêm Hydromorphone hydrochloride 1 mg/ml
Dạng tiêm Furosemide 10 mg/ml
314
Độ đục trong 24 giờ Không tương thích
Dạng tiêm Hydromorphone hydrochloride 4 mg/ml
Dạng tiêm Gallium nitrate 1 mg/ml
NaCl 0,9% 91
Tương thích
Dạng tiêm Hydromorphone hydrochloride 0.5 mg/ml
Dạng tiêm Gemcitabine hydrochloride 10 mg/ml
NaCl 0,9% 1423
Tương thích
Dạng tiêm Hydromorphone hydrochloride 0.2 mg/ml
Dạng tiêm Gentamicin sulfate 0.8 mg/ml
Glucose 5% 405
Tương thích
Dạng tiêm Hydromorphone hydrochloride
Dạng tiêm Glycopyrronium bromide
5073
Tương thích
Dạng tiêm Hydromorphone hydrochloride 0.5 mg/ml
Dạng tiêm Granisetron hydrochloride 0.056 mg/ml
NaCl 0,9% 6
Tương thích
Dạng tiêm Hydromorphone hydrochloride 0.5 mg/ml
Dạng tiêm Granisetron hydrochloride 1 mg/ml
NaCl 0,9% 57
Tương thích
Dạng tiêm Hydromorphone hydrochloride 0.5 mg/ml
Dạng tiêm Granisetron hydrochloride 0.05 mg/ml
Glucose 5% 182
Tương thích
Dạng tiêm Hydromorphone hydrochloride 10 mg/ml
Dạng tiêm Haloperidol lactate 1 mg/ml
Không 216
Tương thích
Dạng tiêm Hydromorphone hydrochloride 10 mg/ml
Dạng tiêm Haloperidol lactate 5 mg/ml
Không 216
Tương thích
Dạng tiêm Hydromorphone hydrochloride 1 mg/ml
Dạng tiêm Haloperidol lactate 5 mg/ml
Không 216
Tương thích
Dạng tiêm Hydromorphone hydrochloride 1 mg/ml
Dạng tiêm Haloperidol lactate 2 mg/ml
Không 216
Tương thích
Dạng tiêm Hydromorphone hydrochloride 1 mg/ml
Dạng tiêm Haloperidol lactate 1 mg/ml
Không 216
Tương thích
Dạng tiêm Hydromorphone hydrochloride 0.5 mg/ml
Dạng tiêm Haloperidol lactate 0.2 mg/ml
Glucose 5% 1974
Tương thích
Dạng tiêm Hydromorphone hydrochloride
Dạng tiêm Haloperidol lactate
5073
Tương thích
Dạng tiêm Hydromorphone hydrochloride 10 mg/ml
Dạng tiêm Haloperidol lactate 2 mg/ml
Không 216
Tương thích
Dạng tiêm Hydromorphone hydrochloride <12.5 mg/ml
Dạng tiêm Heparin sodium
Nước cất pha tiêm 66
Tương thích
Dạng tiêm Hydromorphone hydrochloride <12.5 mg/ml
Dạng tiêm Heparin sodium
NaCl 0,9% 66
Tương thích
Dạng tiêm Hydromorphone hydrochloride 1 mg/ml
Dạng tiêm Heparin sodium 100 UI/ml
314
Lượng mưa ngay lập tức Không tương thích
Dạng tiêm Hydromorphone hydrochloride >25 mg/ml
Dạng tiêm Heparin sodium <12,5 UI/ml
Nước cất pha tiêm 66
Lượng mưa ngay lập tức Không tương thích
Dạng tiêm Hydromorphone hydrochloride >10 mg/ml
Dạng tiêm Heparin sodium <1 UI/ml
Nước cất pha tiêm 66
Lượng mưa ngay lập tức Không tương thích
Dạng tiêm Hydromorphone hydrochloride >25 mg/ml
Dạng tiêm Heparin sodium <12,5 UI/ml
NaCl 0,9% 66
Tương thích
Dạng tiêm Hydromorphone hydrochloride 0.5 mg/ml
Dạng tiêm Hetastarch 60 mg/ml
dung môi cụ thể 1721
Không ổn định hóa học Không tương thích
Dạng tiêm Hydromorphone hydrochloride 2 >> 40 mg/ml
Dạng tiêm Hyaluronidase 150 UI/ml
Glucose 5% 9
Tương thích
Dạng tiêm Hydromorphone hydrochloride
Dạng tiêm Hyaluronidase
3184
Không ổn định hóa học Không tương thích
Dạng tiêm Hydromorphone hydrochloride 2 >> 40 mg/ml
Dạng tiêm Hyaluronidase 150 UI/ml
NaCl 0,9% 9
Tương thích
Dạng tiêm Hydromorphone hydrochloride 0.5 mg/ml
Dạng tiêm Hydroxyzine dihydrochloride 4 mg/ml
Glucose 5% 1974
Tương thích
Dạng tiêm Hydromorphone hydrochloride 1 mg/ml
Dạng tiêm Isavuconazonium sulfate 1.5 mg/ml
NaCl 0,9% 3829
Tương thích
Dạng tiêm Hydromorphone hydrochloride 1 mg/ml
Dạng tiêm Isavuconazonium sulfate 1.5 mg/ml
Glucose 5% 3829
Tương thích
Dạng tiêm Hydromorphone hydrochloride 0.2 mg/ml
Dạng tiêm Kanamycin sulfate 2.5 mg/ml
Glucose 5% 405
Tương thích
Dạng tiêm Hydromorphone hydrochloride
Dạng tiêm Ketamine hydrochloride
5073
Tương thích
Dạng tiêm Hydromorphone hydrochloride 0.2 mg/ml
Dạng tiêm Ketamine hydrochloride 0.2 >> 1 mg/ml
NaCl 0,9% 2336
Tương thích
Dạng tiêm Hydromorphone hydrochloride 0.5 mg/ml
Dạng tiêm Ketorolac tromethamine 1 mg/ml
Glucose 5% 1974
Tương thích
Dạng tiêm Hydromorphone hydrochloride 10 mg/ml
Dạng tiêm Ketorolac tromethamine 15 mg/ml
Không 216
Tương thích
Dạng tiêm Hydromorphone hydrochloride 1 mg/ml
Dạng tiêm Ketorolac tromethamine 30 mg/ml
Không 216
Tương thích
Dạng tiêm Hydromorphone hydrochloride 1 mg/ml
Dạng tiêm Ketorolac tromethamine 15 mg/ml
Không 216
Lượng mưa ngay lập tức Không tương thích
Dạng tiêm Hydromorphone hydrochloride 10 mg/ml
Dạng tiêm Ketorolac tromethamine 30 mg/ml
Không 216
Tương thích
Dạng tiêm Hydromorphone hydrochloride 1 mg/ml
Dạng tiêm Labetalol hydrochloride 2 mg/ml
314
Lượng mưa sau 1 giờ Không tương thích
Dạng tiêm Hydromorphone hydrochloride 0.5 mg/ml
Dạng tiêm Lansoprazole 0.55 mg/ml
NaCl 0,9% 1625
Tương thích
Dạng tiêm Hydromorphone hydrochloride 2 mg/ml
Dạng tiêm Levofloxacine 5 mg/ml
Không 2335
Tương thích
Dạng tiêm Hydromorphone hydrochloride
Dạng tiêm Levomepromazine
5073
Tương thích
Dạng tiêm Hydromorphone hydrochloride 10 mg/ml
Dạng tiêm Levosimendan 2,5 mg/ml
4389
Tương thích
Dạng tiêm Hydromorphone hydrochloride 0.5 mg/ml
Dạng tiêm Linezolid 2 mg/ml
Không 1925
Tương thích
Dạng tiêm Hydromorphone hydrochloride 0.5 mg/ml
Dạng tiêm Lorazepam 0.1 mg/ml
Glucose 5% 1974
Tương thích
Dạng tiêm Hydromorphone hydrochloride 2 >> 40 mg/ml
Dạng tiêm Lorazepam 4 mg/ml
Không 1497
Tương thích
Dạng tiêm Hydromorphone hydrochloride 1 mg/ml
Dạng tiêm Lorazepam 0.5 mg/ml
314
Tương thích
Dạng tiêm Hydromorphone hydrochloride 2 mg/ml
Dạng tiêm Magnesium sulfate 16,67 >> 100 mg/ml
Glucose 5% 517
Tương thích
Dạng tiêm Hydromorphone hydrochloride 0.5 mg/ml
Dạng tiêm Melphalan 0.1 mg/ml
NaCl 0,9% 169
Tương thích
Dạng tiêm Hydromorphone hydrochloride 10 mg/ml
Dạng tiêm Meropenem 50 mg/ml
Nước cất pha tiêm 4319
Không ổn định hóa học Không tương thích
Dạng tiêm Hydromorphone hydrochloride
Dạng tiêm Metamizol sodium
2364
Tương thích
Dạng tiêm Hydromorphone hydrochloride
Dạng tiêm Metoclopramide hydrochloride
5073
Tương thích
Dạng tiêm Hydromorphone hydrochloride 0.5 mg/ml
Dạng tiêm Metoclopramide hydrochloride 5 mg/ml
Glucose 5% 1974
Tương thích
Dạng tiêm Hydromorphone hydrochloride 0.2 mg/ml
Dạng tiêm Metronidazole 5 mg/ml
Glucose 5% 405
Tương thích
Dạng tiêm Hydromorphone hydrochloride 0.5 mg/ml
Dạng tiêm Micafungin 1.5 mg/ml
NaCl 0,9% 2108
Tương thích
Dạng tiêm Hydromorphone hydrochloride
Dạng tiêm Midazolam hydrochloride
5073
Tương thích
Dạng tiêm Hydromorphone hydrochloride 0.5 mg/ml
Dạng tiêm Midazolam hydrochloride 0.2 mg/ml
Glucose 5% 1974
Tương thích
Dạng tiêm Hydromorphone hydrochloride 0.5 >> 45 mg/ml
Dạng tiêm Midazolam hydrochloride 0.1 >> 4.5 mg/ml
Glucose 5% 345
Tương thích
Dạng tiêm Hydromorphone hydrochloride 1 mg/ml
Dạng tiêm Midazolam hydrochloride 2 mg/ml
314
Tương thích
Dạng tiêm Hydromorphone hydrochloride 0.5 >> 45 mg/ml
Dạng tiêm Midazolam hydrochloride 0.1 >> 4.5 mg/ml
NaCl 0,9% 345
Tương thích
Dạng tiêm Hydromorphone hydrochloride 1 mg/ml
Dạng tiêm Milrinone lactate 0.2 mg/ml
314
Thay đổi màu sau 1 giờ Không tương thích
Dạng tiêm Hydromorphone hydrochloride 0.2 mg/ml
Dạng tiêm Minocycline hydrochloride 0.2 mg/ml
Glucose 5% 405
Tương thích
Dạng tiêm Hydromorphone hydrochloride 1 mg/ml
Dạng tiêm Morphine sulfate 2 mg/ml
314
Tương thích
Dạng tiêm Hydromorphone hydrochloride 0.2 mg/ml
Dạng tiêm Moxalactam 20 mg/ml
Glucose 5% 405
Tương thích
Dạng tiêm Hydromorphone hydrochloride 0.2 mg/ml
Dạng tiêm Nafcillin sodium 20 mg/ml
Glucose 5% 405
Tương thích
Dạng tiêm Hydromorphone hydrochloride 10 mg/ml
Dạng tiêm Naloxone hydrochloride 0.4 mg/ml
Không 3408
Tương thích
Dạng tiêm Hydromorphone hydrochloride 1 mg/ml
Dạng tiêm Nicardipine hydrochloride 1 mg/ml
314
Tương thích
Dạng tiêm Hydromorphone hydrochloride 1 mg/ml
Dạng tiêm Nitroglycerin 0.4 mg/ml
314
Tương thích
Dạng tiêm Hydromorphone hydrochloride 1 mg/ml
Dạng tiêm Norepinephrine bitartrate 0.128 mg/ml
314
Tương thích
Dạng tiêm Hydromorphone hydrochloride 0,5 mg/ml
Dạng tiêm Ondansetron hydrochloride 0,1 & 1 mg/ml
NaCl 0,9% 6
Tương thích
Dạng tiêm Hydromorphone hydrochloride 0.5 mg/ml
Dạng tiêm Ondansetron hydrochloride 1 mg/ml
NaCl 0,9% 334
Tương thích
Dạng tiêm Hydromorphone hydrochloride 0.2 mg/ml
Dạng tiêm Oxacillin sodium 20 mg/ml
Glucose 5% 405
Tương thích
Dạng tiêm Hydromorphone hydrochloride 0,5 mg/ml
Dạng tiêm Oxaliplatin 0,5 mg/ml
Glucose 5% 1662
Tương thích
Dạng tiêm Hydromorphone hydrochloride 0.5 mg/ml
Dạng tiêm Paclitaxel 1.2 mg/ml
Glucose 5% 248
Tương thích
Dạng tiêm Hydromorphone hydrochloride 0.5 mg/ml
Dạng tiêm Palonosetron hydrochloride 50 µg/ml
Glucose 5% 2196
Lượng mưa sau 4 giờ Không tương thích
Dạng tiêm Hydromorphone hydrochloride
Dạng tiêm Pantoprazole sodium
2090
Tương thích
Dạng tiêm Hydromorphone hydrochloride 10 mg/ml
Dạng tiêm Paracetamol 10 mg/ml
4742
Tương thích
Dạng tiêm Hydromorphone hydrochloride 2 mg/ml
Dạng tiêm Paracetamol 10 mg/ml
Không 3571
Không tương thích không xác định Không tương thích
Dạng tiêm Hydromorphone hydrochloride
Dạng tiêm Parecoxib sodium
3504
Tương thích
Dạng tiêm Hydromorphone hydrochloride 0.5 mg/ml
Dạng tiêm Pemetrexed disodium 20 mg/ml
NaCl 0,9% 1953
Tương thích
Dạng tiêm Hydromorphone hydrochloride 0.2 mg/ml
Dạng tiêm Penicillin G potassium 0.1 MUI/ml
Glucose 5% 405
Lượng mưa ngay lập tức Không tương thích
Dạng tiêm Hydromorphone hydrochloride 2 >> 40 mg/ml
Dạng tiêm Phenobarbital sodium 120 mg/ml
Glucose 5% 226
Tương thích
Dạng tiêm Hydromorphone hydrochloride 0.5 mg/ml
Dạng tiêm Phenobarbital sodium 2 mg/ml
Glucose 5% 1974
Lượng mưa ngay lập tức Không tương thích
Dạng tiêm Hydromorphone hydrochloride 2 >> 40 mg/ml
Dạng tiêm Phenytoin sodium 50 mg/ml
Glucose 5% 226
Lượng mưa sau 1 giờ Không tương thích
Dạng tiêm Hydromorphone hydrochloride 0.5 mg/ml
Dạng tiêm Phenytoin sodium 2 mg/ml
Glucose 5% 1974
Tương thích
Dạng tiêm Hydromorphone hydrochloride 0.2 mg/ml
Dạng tiêm Piperacillin sodium 60 mg/ml
Glucose 5% 405
Tương thích
Dạng tiêm Hydromorphone hydrochloride 0.5 mg/ml
Dạng tiêm Piperacillin sodium / tazobactam 40/5 mg/ml
Glucose 5% 81
Tương thích
Dạng tiêm Hydromorphone hydrochloride 1 mg/ml
Dạng tiêm Plazomicin sulfate 24 mg/ml
NaCl 0,9% 4145
Tương thích
Dạng tiêm Hydromorphone hydrochloride
Dạng tiêm Posaconazole
4380
Tương thích
Dạng tiêm Hydromorphone hydrochloride 25 mg/ml
Dạng tiêm Potassium chloride 1000 mEq/l
Nước cất pha tiêm 66
Tương thích
Dạng tiêm Hydromorphone hydrochloride 5 >> 20 mg/ml
Dạng tiêm Potassium chloride 500 & 1000 mEq/l
Glucose 5% 66
Tương thích
Dạng tiêm Hydromorphone hydrochloride 2 >> 40 mg/ml
Dạng tiêm Prochlorperazine edysilate 5 mg/ml
Không 1497
Tương thích
Dạng tiêm Hydromorphone hydrochloride 0,5 mg/ml
Dạng tiêm Prochlorperazine edysilate 1,5 mg/ml
NaCl 0,9% 767
Tương thích
Dạng tiêm Hydromorphone hydrochloride 1 mg/ml
Dạng tiêm Promethazine hydrochloride 0.3 mg/ml
NaCl 0,9% 795
Tương thích
Dạng tiêm Hydromorphone hydrochloride 0.5 mg/ml
Dạng tiêm Propofol 10 mg/ml
Không 300
Tương thích
Dạng tiêm Hydromorphone hydrochloride 1 mg/ml
Dạng tiêm Ranitidine hydrochloride 1 mg/ml
314
Tương thích
Dạng tiêm Hydromorphone hydrochloride 2 mg/ml
Dạng tiêm Ranitidine hydrochloride 25 mg/ml
Không 58
Tương thích
Dạng tiêm Hydromorphone hydrochloride 1 mg/ml
Dạng tiêm Remdesivir 1 mg/ml
NaCl 0,9% 4768
Tương thích
Dạng tiêm Hydromorphone hydrochloride 10 mg/ml
Dạng tiêm Salbutamol sulfate 1 mg/ml
Không 3216
Lượng mưa sau 30 phút Không tương thích
Dạng tiêm Hydromorphone hydrochloride 0.5 mg/ml
Dạng tiêm Sargramostim 10 µg/ml
NaCl 0,9% 335
Tương thích
Dạng tiêm Hydromorphone hydrochloride 0.5 mg/ml
Dạng tiêm Scopolamine hydrobromide 0.05 mg/ml
Glucose 5% 1974
Tương thích
Dạng tiêm Hydromorphone hydrochloride
Dạng tiêm Scopolamine hydrobromide
5073
Tương thích
Dạng tiêm Hydromorphone hydrochloride 0,1 & 1 mg/ml
Dạng tiêm Tacrolimus 5 & 20 µg/ml
Glucose 5% 814
Tương thích
Dạng tiêm Hydromorphone hydrochloride 1 mg/ml
Dạng tiêm Tedizolid phosphate 0.8 mg/ml
NaCl 0,9% 3827
Tương thích
Dạng tiêm Hydromorphone hydrochloride 0.5 mg/ml
Dạng tiêm Teniposide 0.1 mg/ml
Glucose 5% 905
Lượng mưa ngay lập tức Không tương thích
Dạng tiêm Hydromorphone hydrochloride 10 mg/ml
Dạng tiêm Thiopental sodium 25 mg/ml
NaCl 0,9% 3767
Lượng mưa sau 4 giờ Không tương thích
Dạng tiêm Hydromorphone hydrochloride 1 mg/ml
Dạng tiêm Thiopental sodium 25 mg/ml
314
Tương thích
Dạng tiêm Hydromorphone hydrochloride 0.5 mg/ml
Dạng tiêm Thiotepa 1 mg/ml
Glucose 5% 249
Tương thích
Dạng tiêm Hydromorphone hydrochloride
NaCl 0,9% 5073
Tương thích
Dạng tiêm Hydromorphone hydrochloride
Dạng tiêm Scopolamine N-butyl bromide
5073
Tương thích
Dạng tiêm Hydromorphone hydrochloride 1 mg/ml
Dạng tiêm Sulbactam/durlobactam 15/15 mg/ml
NaCl 0,9% 4801
Tương thích
Dạng tiêm Hydromorphone hydrochloride 0.2 mg/ml
Dạng tiêm Tobramycin sulfate 0.8 mg/ml
Glucose 5% 405
Tương thích
Dạng tiêm Hydromorphone hydrochloride 0.2 mg/ml
Dạng tiêm Vancomycin hydrochloride 5 mg/ml
Glucose 5% 405
Tương thích
Dạng tiêm Hydromorphone hydrochloride 2 mg/ml
Dạng tiêm Vancomycin hydrochloride 4 mg/ml
NaCl 0,9% 2335
Tương thích
Dạng tiêm Hydromorphone hydrochloride 1 mg/ml
Dạng tiêm Vecuronium bromide 1 mg/ml
314
Tương thích
Dạng tiêm Hydromorphone hydrochloride 0.016 mg/ml
Dạng tiêm Verapamil hydrochloride 0.08 mg/ml
NaCl 0,9% 1057
Tương thích
Dạng tiêm Hydromorphone hydrochloride 0.016 mg/ml
Dạng tiêm Verapamil hydrochloride 0.08 mg/ml
Glucose 5% 1057
Tương thích
Dạng tiêm Hydromorphone hydrochloride 0.5 mg/ml
Dạng tiêm Vinorelbine tartrate 1 mg/ml
NaCl 0,9% 84

  Mentions Légales