Ultimo aggiornamento :
18/03/2026
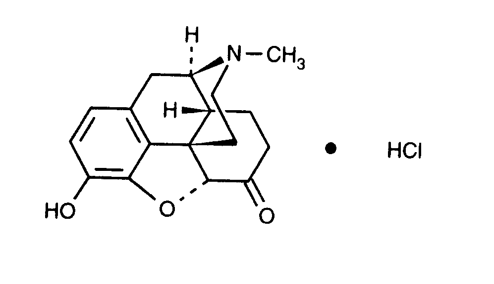
Antalgico   Hydromorphone hydrochloride  
Iniezione
Stabilità in soluzione Stabilità in miscela Fattori che influenzano la stabilità Compatibilità metodo di iniezione Bibliografia pdf
   Struttura chimica  

Nome commerciale   Nome commerciale     

Trade names are indicative and excipients composition can be different depending on the country and manufacturers

Dilaudid Canada, Stati Uniti d’America
Hydal Austria
Palladon Danimarca, Svizzera
Palladone Gran Bretagna
Compatibilità   Iniezione   Compatibilità : Hydromorphone hydrochloride              
explication_incompatibilite_molecules
Molecola Solvente Bibliografia
Compatibile
Iniezione Hydromorphone hydrochloride 0.04 mg/ml
Iniezione Aciclovir sodium 5 mg/ml
Glucosio 5% 336
Compatibile
Iniezione Hydromorphone hydrochloride 0.5 mg/ml
Iniezione Allopurinol sodium 3 mg/ml
Cloruro di sodio 0,9% 307
Compatibile
Iniezione Hydromorphone hydrochloride 0.5 mg/ml
Iniezione Amifostine 10 mg/ml
Glucosio 5% 3
Compatibile
Iniezione Hydromorphone hydrochloride 0.2 mg/ml
Iniezione Amikacin sulfate 5 mg/ml
Glucosio 5% 405
Compatibile
Iniezione Hydromorphone hydrochloride 10 mg/ml
Iniezione Amoxicillin sodium / clavulanic acid 100/10 mg/ml
3824
Compatibile
Iniezione Hydromorphone hydrochloride 2 >> 40 mg/ml
Iniezione Ampicillin sodium 20 & 250 mg/ml
Glucosio 5% 226
Compatibile
Iniezione Hydromorphone hydrochloride 0.5 mg/ml
Iniezione Amsacrine 1 mg/ml
Glucosio 5% 253
Compatibile
Iniezione Hydromorphone hydrochloride 0.5 mg/ml
Iniezione Anidulafungin 0.5 mg/ml
Glucosio 5% 1982
Compatibile
Iniezione Hydromorphone hydrochloride 0.5 mg/ml
Iniezione Aztreonam 40 mg/ml
Glucosio 5% 99
Compatibile
Iniezione Hydromorphone hydrochloride 0.5 mg/ml
Iniezione Bivalirudin 5 mg/ml
Glucosio 5% 1713
Instabilità immediata dell'emulsione Incompatibile
Iniezione Hydromorphone hydrochloride 0.5 mg/ml
Nutrizione parenterale (con lipidi) 1415
Compatibile
Iniezione Hydromorphone hydrochloride 10 mg/ml
Ringer lattato 4603
Perdita di torbidità Incompatibile
Iniezione Hydromorphone hydrochloride 0.5 mg/ml
Iniezione Amphotericin B cholesteryl sulfate complex 0.83 mg/ml
Glucosio 5% 921
Compatibile
Iniezione Hydromorphone hydrochloride 0.2 mg/ml
Iniezione Ampicillin sodium 20 mg/ml
Glucosio 5% 405
Compatibile
Iniezione Hydromorphone hydrochloride 0.5 mg/ml
Iniezione Atropine sulfate 0.4 mg/ml
Glucosio 5% 1974
Compatibile
Iniezione Hydromorphone hydrochloride 0,02 & 0,1 mg/ml
Iniezione Bupivacaine hydrochloride 0,625 & 1,25 mg/ml
Cloruro di sodio 0,9% 306
Compatibile
Iniezione Hydromorphone hydrochloride
Glucosio 5% 5073
Compatibile
Iniezione Hydromorphone hydrochloride 0,02 & 0,04 mg/ml
Iniezione Bupivacaine hydrochloride 2,5 mg/ml
Cloruro di sodio 0,9% 1931
Compatibile
Iniezione Hydromorphone hydrochloride 15 mg/ml
Iniezione Bupivacaine hydrochloride 10 mg/ml
Nessuno 4200
Compatibile
Iniezione Hydromorphone hydrochloride 2,5 mg/ml
Nutrizione parenterale (con lipidi) 4507
Compatibile
Iniezione Hydromorphone hydrochloride 25 mg/ml
Iniezione Bupivacaine hydrochloride 20 mg/ml
Cloruro di sodio 0,9% 3131
Compatibile
Iniezione Hydromorphone hydrochloride 65 mg/ml
Iniezione Bupivacaine hydrochloride 7,5 mg/ml
Nessuno 221
Compatibile
Iniezione Hydromorphone hydrochloride 50 mg/ml
Iniezione Caffeine 10 mg/ml
Nessuno 3964
Compatibile
Iniezione Hydromorphone hydrochloride 1 mg/ml
Iniezione Caspofungin acetate 0,7 mg/ml
Cloruro di sodio 0,9% 2247
Compatibile
Iniezione Hydromorphone hydrochloride 1 mg/ml
Iniezione Caspofungin acetate 0.5 mg/ml
Cloruro di sodio 0,9% 2233
Compatibile
Iniezione Hydromorphone hydrochloride 0.2 mg/ml
Iniezione Cefalotin sodium 20 mg/ml
Glucosio 5% 405
Compatibile
Iniezione Hydromorphone hydrochloride 0.2 mg/ml
Iniezione Cefamandole nafate 20 mg/ml
Glucosio 5% 405
Compatibile
Iniezione Hydromorphone hydrochloride 0.2 mg/ml
Iniezione Cefazolin sodium 20 mg/ml
Glucosio 5% 405
Compatibile
Iniezione Hydromorphone hydrochloride 2 >> 40 mg/ml
Iniezione Cefazolin sodium 20 mg/ml
Glucosio 5% 226
Precipitazioni immediate Incompatibile
Iniezione Hydromorphone hydrochloride 2 >> 40 mg/ml
Iniezione Cefazolin sodium >200 mg/ml
Glucosio 5% 226
Compatibile
Iniezione Hydromorphone hydrochloride 1 mg/ml
Iniezione Cefiderocol sulfate tosylate 20 mg/mL
Cloruro di sodio 0,9% 4528
Compatibile
Iniezione Hydromorphone hydrochloride 1 mg/ml
Iniezione Cefiderocol sulfate tosylate 20 mg/mL
Glucosio 5% 4528
Compatibile
Iniezione Hydromorphone hydrochloride 0.2 mg/ml
Iniezione Cefmetazole sodium 100 mg/ml
Acqua per preparato iniettabile 93
Compatibile
Iniezione Hydromorphone hydrochloride 0.2 mg/ml
Iniezione Cefoperazone sodium 20 mg/ml
Glucosio 5% 405
Compatibile
Iniezione Hydromorphone hydrochloride 0.2 mg/ml
Iniezione Ceforanide 20 mg/ml
Glucosio 5% 405
Compatibile
Iniezione Hydromorphone hydrochloride 0.2 mg/ml
Iniezione Cefotaxime sodium 20 mg/ml
Glucosio 5% 405
Compatibile
Iniezione Hydromorphone hydrochloride 0.2 mg/ml
Iniezione Cefoxitin sodium 20 mg/ml
Glucosio 5% 405
Compatibile
Iniezione Hydromorphone hydrochloride 0,5 mg/ml
Iniezione Ceftaroline fosamil 2,22 mg/ml
Ringer lattato 3249
Compatibile
Iniezione Hydromorphone hydrochloride 0,5 mg/ml
Iniezione Ceftaroline fosamil 2,22 mg/ml
Glucosio 5% 3249
Compatibile
Iniezione Hydromorphone hydrochloride 0,5 mg/ml
Iniezione Ceftaroline fosamil 2,22 mg/ml
Cloruro di sodio 0,9% 3249
Compatibile
Iniezione Hydromorphone hydrochloride 2 >> 40 mg/ml
Iniezione Ceftazidime 40 & 180 mg/ml
Glucosio 5% 226
Compatibile
Iniezione Hydromorphone hydrochloride 0.2 mg/ml
Iniezione Ceftizoxime sodium 20 mg/ml
Glucosio 5% 405
Precipitazioni immediate Incompatibile
Iniezione Hydromorphone hydrochloride 1 mg/ml
Iniezione Ceftobiprole medocaril sodium 2 mg/ml
Cloruro di sodio 0,9% 2269
Precipitazioni immediate Incompatibile
Iniezione Hydromorphone hydrochloride 1 mg/ml
Iniezione Ceftobiprole medocaril sodium 2 mg/ml
Ringer lattato 2269
Incompatibilità non specificata Incompatibile
Iniezione Hydromorphone hydrochloride
Iniezione Ceftobiprole medocaril sodium
4650
Precipitazioni immediate Incompatibile
Iniezione Hydromorphone hydrochloride 1 mg/ml
Iniezione Ceftobiprole medocaril sodium 2 mg/ml
Glucosio 5% 2269
Compatibile
Iniezione Hydromorphone hydrochloride 1 mg/ml
Iniezione Ceftolozane / tazobactam 10/5 mg/ml
Glucosio 5% 3828
Compatibile
Iniezione Hydromorphone hydrochloride 1 mg/ml
Iniezione Ceftolozane / tazobactam 10/5 mg/ml
Cloruro di sodio 0,9% 3828
Compatibile
Iniezione Hydromorphone hydrochloride 0.2 mg/ml
Iniezione Cefuroxime sodium 30 mg/ml
Glucosio 5% 405
Compatibile
Iniezione Hydromorphone hydrochloride 0.2 mg/ml
Iniezione Chloramphenicol sodium succinate 20 mg/ml
Glucosio 5% 405
Compatibile
Iniezione Hydromorphone hydrochloride 0.5 mg/ml
Iniezione Cisatracurium besylate 0.1 >> 5 mg/ml
Glucosio 5% 299
Compatibile
Iniezione Hydromorphone hydrochloride 0.5 mg/ml
Iniezione Cladribine 0.015 mg/ml
Cloruro di sodio 0,9% 1496
Compatibile
Iniezione Hydromorphone hydrochloride 0.5 mg/ml
Iniezione Cladribine 0.5 mg/ml
NaCl 0,9% + sostanza batteriostatica 1496
Compatibile
Iniezione Hydromorphone hydrochloride 10 mg/ml
Iniezione Cloxacillin sodium 100 mg/ml
Acqua per preparato iniettabile 3012
Compatibile
Iniezione Hydromorphone hydrochloride 0.2 mg/ml
Iniezione Co-trimoxazole 4/0.8 mg/ml
Glucosio 5% 405
Compatibile
Iniezione Hydromorphone hydrochloride < 10 mg/ml
Iniezione Dexamethasone sodium phosphate 2 >> 10 mg/ml
389
Compatibile
Iniezione Hydromorphone hydrochloride 0.5 mg/ml
Iniezione Dexamethasone sodium phosphate 1 mg/ml
Glucosio 5% 1974
Compatibile
Iniezione Hydromorphone hydrochloride 1 >> 40 mg/ml
Iniezione Dexamethasone sodium phosphate < 2 mg/ml
389
Compatibile
Iniezione Hydromorphone hydrochloride 0.5 mg/ml
Iniezione Dexmedetomidine 4 µg/ml
Cloruro di sodio 0,9% 1712
Precipitazioni dopo 2 ore Incompatibile
Iniezione Hydromorphone hydrochloride
Iniezione Dimenhydrinate
2087
Compatibile
Iniezione Hydromorphone hydrochloride 0.5 mg/ml
Nutrizione parenterale (privo di lipidi) 301
Compatibile
Iniezione Hydromorphone hydrochloride 2 mg/ml
Iniezione Cimetidine hydrochloride 150 mg/ml
1438
Compatibile
Iniezione Hydromorphone hydrochloride 0.2 mg/ml
Iniezione Clindamycin phosphate 12 mg/ml
Glucosio 5% 405
Precipitazioni immediate Incompatibile
Iniezione Hydromorphone hydrochloride 2 >> 40 mg/ml
Iniezione Cloxacillin sodium 40 & 250 mg/ml
Glucosio 5% 226
Precipitazioni immediate Incompatibile
Iniezione Hydromorphone hydrochloride
Iniezione Cyclizine lactate
5073
Compatibile
Iniezione Hydromorphone hydrochloride
Iniezione Dexamethasone sodium phosphate
5073
Precipitazioni immediate Incompatibile
Iniezione Hydromorphone hydrochloride > 15 mg/ml
Iniezione Dexamethasone sodium phosphate > 3 mg/ml
389
Compatibile
Iniezione Hydromorphone hydrochloride 0.5 mg/ml
Iniezione Diazepam 0.5 mg/ml
Glucosio 5% 1974
Precipitazioni immediate Incompatibile
Iniezione Hydromorphone hydrochloride 2 >> 40 mg/ml
Iniezione Diazepam 5 mg/ml
Glucosio 5% 226
Compatibile
Iniezione Hydromorphone hydrochloride 1 mg/ml
Iniezione Diltiazem hydrochloride 1 mg/ml
314
Compatibile
Iniezione Hydromorphone hydrochloride 2 >> 40 mg/ml
Iniezione Dimenhydrinate 50 mg/ml
Nessuno 1497
Compatibile
Iniezione Hydromorphone hydrochloride 0.5 mg/ml
Iniezione Diphenhydramine hydrochloride 2 mg/ml
Glucosio 5% 1974
Compatibile
Iniezione Hydromorphone hydrochloride 1 mg/ml
Iniezione Dobutamine hydrochloride 4 mg/ml
314
Compatibile
Iniezione Hydromorphone hydrochloride 0.5 mg/ml
Iniezione Docetaxel 0.9 mg/ml
Glucosio 5% 1754
Compatibile
Iniezione Hydromorphone hydrochloride 1 mg/ml
Iniezione Dopamine hydrochloride 3.2 mg/ml
314
Compatibile
Iniezione Hydromorphone hydrochloride 1 mg/ml
Iniezione Doripenem 5 mg/ml
Glucosio 5% 2262
Compatibile
Iniezione Hydromorphone hydrochloride 1 mg/ml
Iniezione Doripenem 5 mg/ml
Cloruro di sodio 0,9% 2262
Compatibile
Iniezione Hydromorphone hydrochloride 0.5 mg/ml
Iniezione Doxorubicin hydrochloride liposome peg 0.4 mg/ml
Glucosio 5% 251
Compatibile
Iniezione Hydromorphone hydrochloride 0.2 mg/ml
Iniezione Doxycycline hyclate 1 mg/ml
Glucosio 5% 405
Compatibile
Iniezione Hydromorphone hydrochloride 1 mg/ml
Iniezione Epinephrine hydrochloride 20 µg/ml
314
Compatibile
Iniezione Hydromorphone hydrochloride 1 mg/ml
Iniezione Eravacycline 0,6 mg/ml
Cloruro di sodio 0,9% 4434
Compatibile
Iniezione Hydromorphone hydrochloride 0.2 mg/ml
Iniezione Erythromycin lactobionate 5 mg/ml
Glucosio 5% 405
Compatibile
Iniezione Hydromorphone hydrochloride 0.5 mg/ml
Iniezione Etoposide phosphate 5 mg/ml
Glucosio 5% 1410
Compatibile
Iniezione Hydromorphone hydrochloride 0.5 mg/ml
Iniezione Famotidine 2 mg/ml
Cloruro di sodio 0,9% 215
Compatibile
Iniezione Hydromorphone hydrochloride 0.5 mg/ml
Iniezione Fenoldopam mesylate 80 µg/ml
Cloruro di sodio 0,9% 1803
Compatibile
Iniezione Hydromorphone hydrochloride 1 mg/ml
Iniezione Fentanyl citrate 50 µg/ml
314
Compatibile
Iniezione Hydromorphone hydrochloride 0.5 mg/ml
Iniezione Filgrastim 30 µg/ml
Glucosio 5% 244
Compatibile
Iniezione Hydromorphone hydrochloride 0.5 mg/ml
Iniezione Fludarabine phosphate 1 mg/ml
Glucosio 5% 492
Compatibile
Iniezione Hydromorphone hydrochloride 0.5 mg/ml
Iniezione Fluorouracil 1 & 16 mg/ml
Glucosio 5% 513
Compatibile
Iniezione Hydromorphone hydrochloride 0.5 mg/ml
Iniezione Fluorouracil 1 & 16 mg/ml
Cloruro di sodio 0,9% 513
Compatibile
Iniezione Hydromorphone hydrochloride 10 mg/ml
Iniezione Foscarnet sodium 24 mg/ml
Nessuno 73
Compatibile
Iniezione Hydromorphone hydrochloride 1 mg/ml
Iniezione Fosfomycin 30 mg/ml
Glucosio 5% 4055
Compatibile
Iniezione Hydromorphone hydrochloride 1 mg/ml
Iniezione Fosfomycin 30 mg/ml
Cloruro di sodio 0,9% 4055
Compatibile
Iniezione Hydromorphone hydrochloride 1 mg/ml
Iniezione Furosemide 10 mg/ml
314
Torbidità in 24 ore Incompatibile
Iniezione Hydromorphone hydrochloride 4 mg/ml
Iniezione Gallium nitrate 1 mg/ml
Cloruro di sodio 0,9% 91
Compatibile
Iniezione Hydromorphone hydrochloride 0.5 mg/ml
Iniezione Gemcitabine hydrochloride 10 mg/ml
Cloruro di sodio 0,9% 1423
Compatibile
Iniezione Hydromorphone hydrochloride 0.2 mg/ml
Iniezione Gentamicin sulfate 0.8 mg/ml
Glucosio 5% 405
Compatibile
Iniezione Hydromorphone hydrochloride
Iniezione Glycopyrronium bromide
5073
Compatibile
Iniezione Hydromorphone hydrochloride 0.5 mg/ml
Iniezione Granisetron hydrochloride 0.056 mg/ml
Cloruro di sodio 0,9% 6
Compatibile
Iniezione Hydromorphone hydrochloride 0.5 mg/ml
Iniezione Granisetron hydrochloride 1 mg/ml
Cloruro di sodio 0,9% 57
Compatibile
Iniezione Hydromorphone hydrochloride 0.5 mg/ml
Iniezione Granisetron hydrochloride 0.05 mg/ml
Glucosio 5% 182
Compatibile
Iniezione Hydromorphone hydrochloride 10 mg/ml
Iniezione Haloperidol lactate 1 mg/ml
Nessuno 216
Compatibile
Iniezione Hydromorphone hydrochloride 10 mg/ml
Iniezione Haloperidol lactate 5 mg/ml
Nessuno 216
Compatibile
Iniezione Hydromorphone hydrochloride 1 mg/ml
Iniezione Haloperidol lactate 5 mg/ml
Nessuno 216
Compatibile
Iniezione Hydromorphone hydrochloride 1 mg/ml
Iniezione Haloperidol lactate 2 mg/ml
Nessuno 216
Compatibile
Iniezione Hydromorphone hydrochloride 1 mg/ml
Iniezione Haloperidol lactate 1 mg/ml
Nessuno 216
Compatibile
Iniezione Hydromorphone hydrochloride 0.5 mg/ml
Iniezione Haloperidol lactate 0.2 mg/ml
Glucosio 5% 1974
Compatibile
Iniezione Hydromorphone hydrochloride
Iniezione Haloperidol lactate
5073
Compatibile
Iniezione Hydromorphone hydrochloride 10 mg/ml
Iniezione Haloperidol lactate 2 mg/ml
Nessuno 216
Compatibile
Iniezione Hydromorphone hydrochloride <12.5 mg/ml
Iniezione Heparin sodium
Acqua per preparato iniettabile 66
Compatibile
Iniezione Hydromorphone hydrochloride <12.5 mg/ml
Iniezione Heparin sodium
Cloruro di sodio 0,9% 66
Compatibile
Iniezione Hydromorphone hydrochloride 1 mg/ml
Iniezione Heparin sodium 100 UI/ml
314
Precipitazioni immediate Incompatibile
Iniezione Hydromorphone hydrochloride >25 mg/ml
Iniezione Heparin sodium <12,5 UI/ml
Acqua per preparato iniettabile 66
Precipitazioni immediate Incompatibile
Iniezione Hydromorphone hydrochloride >10 mg/ml
Iniezione Heparin sodium <1 UI/ml
Acqua per preparato iniettabile 66
Precipitazioni immediate Incompatibile
Iniezione Hydromorphone hydrochloride >25 mg/ml
Iniezione Heparin sodium <12,5 UI/ml
Cloruro di sodio 0,9% 66
Compatibile
Iniezione Hydromorphone hydrochloride 0.5 mg/ml
Iniezione Hetastarch 60 mg/ml
solvente specifico 1721
Instabilità chimica Incompatibile
Iniezione Hydromorphone hydrochloride 2 >> 40 mg/ml
Iniezione Hyaluronidase 150 UI/ml
Glucosio 5% 9
Compatibile
Iniezione Hydromorphone hydrochloride
Iniezione Hyaluronidase
3184
Instabilità chimica Incompatibile
Iniezione Hydromorphone hydrochloride 2 >> 40 mg/ml
Iniezione Hyaluronidase 150 UI/ml
Cloruro di sodio 0,9% 9
Compatibile
Iniezione Hydromorphone hydrochloride 0.5 mg/ml
Iniezione Hydroxyzine dihydrochloride 4 mg/ml
Glucosio 5% 1974
Compatibile
Iniezione Hydromorphone hydrochloride 1 mg/ml
Iniezione Isavuconazonium sulfate 1.5 mg/ml
Cloruro di sodio 0,9% 3829
Compatibile
Iniezione Hydromorphone hydrochloride 1 mg/ml
Iniezione Isavuconazonium sulfate 1.5 mg/ml
Glucosio 5% 3829
Compatibile
Iniezione Hydromorphone hydrochloride 0.2 mg/ml
Iniezione Kanamycin sulfate 2.5 mg/ml
Glucosio 5% 405
Compatibile
Iniezione Hydromorphone hydrochloride
Iniezione Ketamine hydrochloride
5073
Compatibile
Iniezione Hydromorphone hydrochloride 0.2 mg/ml
Iniezione Ketamine hydrochloride 0.2 >> 1 mg/ml
Cloruro di sodio 0,9% 2336
Compatibile
Iniezione Hydromorphone hydrochloride 0.5 mg/ml
Iniezione Ketorolac tromethamine 1 mg/ml
Glucosio 5% 1974
Compatibile
Iniezione Hydromorphone hydrochloride 10 mg/ml
Iniezione Ketorolac tromethamine 15 mg/ml
Nessuno 216
Compatibile
Iniezione Hydromorphone hydrochloride 1 mg/ml
Iniezione Ketorolac tromethamine 30 mg/ml
Nessuno 216
Compatibile
Iniezione Hydromorphone hydrochloride 1 mg/ml
Iniezione Ketorolac tromethamine 15 mg/ml
Nessuno 216
Precipitazioni immediate Incompatibile
Iniezione Hydromorphone hydrochloride 10 mg/ml
Iniezione Ketorolac tromethamine 30 mg/ml
Nessuno 216
Compatibile
Iniezione Hydromorphone hydrochloride 1 mg/ml
Iniezione Labetalol hydrochloride 2 mg/ml
314
Precipitazioni dopo 1 ora Incompatibile
Iniezione Hydromorphone hydrochloride 0.5 mg/ml
Iniezione Lansoprazole 0.55 mg/ml
Cloruro di sodio 0,9% 1625
Compatibile
Iniezione Hydromorphone hydrochloride 2 mg/ml
Iniezione Levofloxacine 5 mg/ml
Nessuno 2335
Compatibile
Iniezione Hydromorphone hydrochloride
Iniezione Levomepromazine
5073
Compatibile
Iniezione Hydromorphone hydrochloride 10 mg/ml
Iniezione Levosimendan 2,5 mg/ml
4389
Compatibile
Iniezione Hydromorphone hydrochloride 0.5 mg/ml
Iniezione Linezolid 2 mg/ml
Nessuno 1925
Compatibile
Iniezione Hydromorphone hydrochloride 0.5 mg/ml
Iniezione Lorazepam 0.1 mg/ml
Glucosio 5% 1974
Compatibile
Iniezione Hydromorphone hydrochloride 2 >> 40 mg/ml
Iniezione Lorazepam 4 mg/ml
Nessuno 1497
Compatibile
Iniezione Hydromorphone hydrochloride 1 mg/ml
Iniezione Lorazepam 0.5 mg/ml
314
Compatibile
Iniezione Hydromorphone hydrochloride 2 mg/ml
Iniezione Magnesium sulfate 16,67 >> 100 mg/ml
Glucosio 5% 517
Compatibile
Iniezione Hydromorphone hydrochloride 0.5 mg/ml
Iniezione Melphalan 0.1 mg/ml
Cloruro di sodio 0,9% 169
Compatibile
Iniezione Hydromorphone hydrochloride 10 mg/ml
Iniezione Meropenem 50 mg/ml
Acqua per preparato iniettabile 4319
Instabilità chimica Incompatibile
Iniezione Hydromorphone hydrochloride
Iniezione Metamizol sodium
2364
Compatibile
Iniezione Hydromorphone hydrochloride
Iniezione Metoclopramide hydrochloride
5073
Compatibile
Iniezione Hydromorphone hydrochloride 0.5 mg/ml
Iniezione Metoclopramide hydrochloride 5 mg/ml
Glucosio 5% 1974
Compatibile
Iniezione Hydromorphone hydrochloride 0.2 mg/ml
Iniezione Metronidazole 5 mg/ml
Glucosio 5% 405
Compatibile
Iniezione Hydromorphone hydrochloride 0.5 mg/ml
Iniezione Micafungin 1.5 mg/ml
Cloruro di sodio 0,9% 2108
Compatibile
Iniezione Hydromorphone hydrochloride
Iniezione Midazolam hydrochloride
5073
Compatibile
Iniezione Hydromorphone hydrochloride 0.5 mg/ml
Iniezione Midazolam hydrochloride 0.2 mg/ml
Glucosio 5% 1974
Compatibile
Iniezione Hydromorphone hydrochloride 0.5 >> 45 mg/ml
Iniezione Midazolam hydrochloride 0.1 >> 4.5 mg/ml
Glucosio 5% 345
Compatibile
Iniezione Hydromorphone hydrochloride 1 mg/ml
Iniezione Midazolam hydrochloride 2 mg/ml
314
Compatibile
Iniezione Hydromorphone hydrochloride 0.5 >> 45 mg/ml
Iniezione Midazolam hydrochloride 0.1 >> 4.5 mg/ml
Cloruro di sodio 0,9% 345
Compatibile
Iniezione Hydromorphone hydrochloride 1 mg/ml
Iniezione Milrinone lactate 0.2 mg/ml
314
Cambio colore dopo 1 ora Incompatibile
Iniezione Hydromorphone hydrochloride 0.2 mg/ml
Iniezione Minocycline hydrochloride 0.2 mg/ml
Glucosio 5% 405
Compatibile
Iniezione Hydromorphone hydrochloride 1 mg/ml
Iniezione Morphine sulfate 2 mg/ml
314
Compatibile
Iniezione Hydromorphone hydrochloride 0.2 mg/ml
Iniezione Moxalactam 20 mg/ml
Glucosio 5% 405
Compatibile
Iniezione Hydromorphone hydrochloride 0.2 mg/ml
Iniezione Nafcillin sodium 20 mg/ml
Glucosio 5% 405
Compatibile
Iniezione Hydromorphone hydrochloride 10 mg/ml
Iniezione Naloxone hydrochloride 0.4 mg/ml
Nessuno 3408
Compatibile
Iniezione Hydromorphone hydrochloride 1 mg/ml
Iniezione Nicardipine hydrochloride 1 mg/ml
314
Compatibile
Iniezione Hydromorphone hydrochloride 1 mg/ml
Iniezione Nitroglycerin 0.4 mg/ml
314
Compatibile
Iniezione Hydromorphone hydrochloride 1 mg/ml
Iniezione Norepinephrine bitartrate 0.128 mg/ml
314
Compatibile
Iniezione Hydromorphone hydrochloride 0,5 mg/ml
Iniezione Ondansetron hydrochloride 0,1 & 1 mg/ml
Cloruro di sodio 0,9% 6
Compatibile
Iniezione Hydromorphone hydrochloride 0.5 mg/ml
Iniezione Ondansetron hydrochloride 1 mg/ml
Cloruro di sodio 0,9% 334
Compatibile
Iniezione Hydromorphone hydrochloride 0.2 mg/ml
Iniezione Oxacillin sodium 20 mg/ml
Glucosio 5% 405
Compatibile
Iniezione Hydromorphone hydrochloride 0,5 mg/ml
Iniezione Oxaliplatin 0,5 mg/ml
Glucosio 5% 1662
Compatibile
Iniezione Hydromorphone hydrochloride 0.5 mg/ml
Iniezione Paclitaxel 1.2 mg/ml
Glucosio 5% 248
Compatibile
Iniezione Hydromorphone hydrochloride 0.5 mg/ml
Iniezione Palonosetron hydrochloride 50 µg/ml
Glucosio 5% 2196
Precipitazioni dopo 4 ore Incompatibile
Iniezione Hydromorphone hydrochloride
Iniezione Pantoprazole sodium
2090
Compatibile
Iniezione Hydromorphone hydrochloride 10 mg/ml
Iniezione Paracetamol 10 mg/ml
4742
Compatibile
Iniezione Hydromorphone hydrochloride 2 mg/ml
Iniezione Paracetamol 10 mg/ml
Nessuno 3571
Incompatibilità non specificata Incompatibile
Iniezione Hydromorphone hydrochloride
Iniezione Parecoxib sodium
3504
Compatibile
Iniezione Hydromorphone hydrochloride 0.5 mg/ml
Iniezione Pemetrexed disodium 20 mg/ml
Cloruro di sodio 0,9% 1953
Compatibile
Iniezione Hydromorphone hydrochloride 0.2 mg/ml
Iniezione Penicillin G potassium 0.1 MUI/ml
Glucosio 5% 405
Precipitazioni immediate Incompatibile
Iniezione Hydromorphone hydrochloride 2 >> 40 mg/ml
Iniezione Phenobarbital sodium 120 mg/ml
Glucosio 5% 226
Compatibile
Iniezione Hydromorphone hydrochloride 0.5 mg/ml
Iniezione Phenobarbital sodium 2 mg/ml
Glucosio 5% 1974
Precipitazioni immediate Incompatibile
Iniezione Hydromorphone hydrochloride 2 >> 40 mg/ml
Iniezione Phenytoin sodium 50 mg/ml
Glucosio 5% 226
Precipitazioni dopo 1 ora Incompatibile
Iniezione Hydromorphone hydrochloride 0.5 mg/ml
Iniezione Phenytoin sodium 2 mg/ml
Glucosio 5% 1974
Compatibile
Iniezione Hydromorphone hydrochloride 0.2 mg/ml
Iniezione Piperacillin sodium 60 mg/ml
Glucosio 5% 405
Compatibile
Iniezione Hydromorphone hydrochloride 0.5 mg/ml
Iniezione Piperacillin sodium / tazobactam 40/5 mg/ml
Glucosio 5% 81
Compatibile
Iniezione Hydromorphone hydrochloride 1 mg/ml
Iniezione Plazomicin sulfate 24 mg/ml
Cloruro di sodio 0,9% 4145
Compatibile
Iniezione Hydromorphone hydrochloride
Iniezione Posaconazole
4380
Compatibile
Iniezione Hydromorphone hydrochloride 25 mg/ml
Iniezione Potassium chloride 1000 mEq/l
Acqua per preparato iniettabile 66
Compatibile
Iniezione Hydromorphone hydrochloride 5 >> 20 mg/ml
Iniezione Potassium chloride 500 & 1000 mEq/l
Glucosio 5% 66
Compatibile
Iniezione Hydromorphone hydrochloride 2 >> 40 mg/ml
Iniezione Prochlorperazine edysilate 5 mg/ml
Nessuno 1497
Compatibile
Iniezione Hydromorphone hydrochloride 0,5 mg/ml
Iniezione Prochlorperazine edysilate 1,5 mg/ml
Cloruro di sodio 0,9% 767
Compatibile
Iniezione Hydromorphone hydrochloride 1 mg/ml
Iniezione Promethazine hydrochloride 0.3 mg/ml
Cloruro di sodio 0,9% 795
Compatibile
Iniezione Hydromorphone hydrochloride 0.5 mg/ml
Iniezione Propofol 10 mg/ml
Nessuno 300
Compatibile
Iniezione Hydromorphone hydrochloride 1 mg/ml
Iniezione Ranitidine hydrochloride 1 mg/ml
314
Compatibile
Iniezione Hydromorphone hydrochloride 2 mg/ml
Iniezione Ranitidine hydrochloride 25 mg/ml
Nessuno 58
Compatibile
Iniezione Hydromorphone hydrochloride 1 mg/ml
Iniezione Remdesivir 1 mg/ml
Cloruro di sodio 0,9% 4768
Compatibile
Iniezione Hydromorphone hydrochloride 10 mg/ml
Iniezione Salbutamol sulfate 1 mg/ml
Nessuno 3216
Precipitazioni dopo 30 minuti Incompatibile
Iniezione Hydromorphone hydrochloride 0.5 mg/ml
Iniezione Sargramostim 10 µg/ml
Cloruro di sodio 0,9% 335
Compatibile
Iniezione Hydromorphone hydrochloride 0.5 mg/ml
Iniezione Scopolamine hydrobromide 0.05 mg/ml
Glucosio 5% 1974
Compatibile
Iniezione Hydromorphone hydrochloride
Iniezione Scopolamine hydrobromide
5073
Compatibile
Iniezione Hydromorphone hydrochloride 0,1 & 1 mg/ml
Iniezione Tacrolimus 5 & 20 µg/ml
Glucosio 5% 814
Compatibile
Iniezione Hydromorphone hydrochloride 1 mg/ml
Iniezione Tedizolid phosphate 0.8 mg/ml
Cloruro di sodio 0,9% 3827
Compatibile
Iniezione Hydromorphone hydrochloride 0.5 mg/ml
Iniezione Teniposide 0.1 mg/ml
Glucosio 5% 905
Precipitazioni immediate Incompatibile
Iniezione Hydromorphone hydrochloride 10 mg/ml
Iniezione Thiopental sodium 25 mg/ml
Cloruro di sodio 0,9% 3767
Precipitazioni dopo 4 ore Incompatibile
Iniezione Hydromorphone hydrochloride 1 mg/ml
Iniezione Thiopental sodium 25 mg/ml
314
Compatibile
Iniezione Hydromorphone hydrochloride 0.5 mg/ml
Iniezione Thiotepa 1 mg/ml
Glucosio 5% 249
Compatibile
Iniezione Hydromorphone hydrochloride
Cloruro di sodio 0,9% 5073
Compatibile
Iniezione Hydromorphone hydrochloride
Iniezione Scopolamine N-butyl bromide
5073
Compatibile
Iniezione Hydromorphone hydrochloride 1 mg/ml
Iniezione Sulbactam/durlobactam 15/15 mg/ml
Cloruro di sodio 0,9% 4801
Compatibile
Iniezione Hydromorphone hydrochloride 0.2 mg/ml
Iniezione Tobramycin sulfate 0.8 mg/ml
Glucosio 5% 405
Compatibile
Iniezione Hydromorphone hydrochloride 0.2 mg/ml
Iniezione Vancomycin hydrochloride 5 mg/ml
Glucosio 5% 405
Compatibile
Iniezione Hydromorphone hydrochloride 2 mg/ml
Iniezione Vancomycin hydrochloride 4 mg/ml
Cloruro di sodio 0,9% 2335
Compatibile
Iniezione Hydromorphone hydrochloride 1 mg/ml
Iniezione Vecuronium bromide 1 mg/ml
314
Compatibile
Iniezione Hydromorphone hydrochloride 0.016 mg/ml
Iniezione Verapamil hydrochloride 0.08 mg/ml
Cloruro di sodio 0,9% 1057
Compatibile
Iniezione Hydromorphone hydrochloride 0.016 mg/ml
Iniezione Verapamil hydrochloride 0.08 mg/ml
Glucosio 5% 1057
Compatibile
Iniezione Hydromorphone hydrochloride 0.5 mg/ml
Iniezione Vinorelbine tartrate 1 mg/ml
Cloruro di sodio 0,9% 84

  Mentions Légales