Dernière mise à jour :
18/03/2026
Antalgique   Hydromorphone hydrochloride  
injectable
Stabilité des solutions Stabilité en mélange Facteur influençant la stabilité Compatibilités Voie d’administration Bibliographie pdf
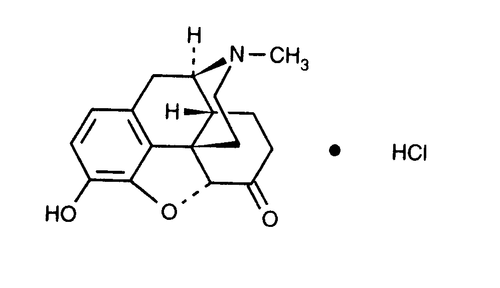
   Structure chimique  

Noms commerciaux   Noms commerciaux     

Les noms commerciaux sont donnés à titre indicatif et la composition en excipients peut être différente selon les pays et selon les laboratoires

Dilaudid Canada, Etats Unis d’Amérique
Hydal Autriche
Palladon Danemark, Suisse
Palladone Grande Bretagne
Compatibilités   injectable   Compatibilités : Hydromorphone hydrochloride              
Cet écran indique les compatibilités ou incompatibilités avec, dans ce cas, le type d'incompatibilité (précipitation, changement de couleur, modification d'une émulsion, etc.). Les compatibilités présentées ici sont pour la plupart uniquement physiques, la stabilité chimique de chaque molécule étant rarement évaluée. L'évaluation de ces mélanges a été étudiée pour envisager la possibilité d'une administration en site Y au patient. Ces données ne peuvent pas être utilisées pour préparer des mélanges à l'avance dans des poches de perfusion ou des seringues. Ce type d'informations est disponible dans l'écran « Stabilité en mélange ».
Molécule Solvant Bibliographie
Compatible
injectable Hydromorphone hydrochloride 0.04 mg/ml
injectable Aciclovir sodium 5 mg/ml
Glucose 5% 336
Compatible
injectable Hydromorphone hydrochloride 0.5 mg/ml
injectable Allopurinol sodium 3 mg/ml
Chlorure de sodium 0,9% 307
Compatible
injectable Hydromorphone hydrochloride 0.5 mg/ml
injectable Amifostine 10 mg/ml
Glucose 5% 3
Compatible
injectable Hydromorphone hydrochloride 0.2 mg/ml
injectable Amikacin sulfate 5 mg/ml
Glucose 5% 405
Compatible
injectable Hydromorphone hydrochloride 10 mg/ml
injectable Amoxicillin sodium / clavulanic acid 100/10 mg/ml
3824
Compatible
injectable Hydromorphone hydrochloride 2 >> 40 mg/ml
injectable Ampicillin sodium 20 & 250 mg/ml
Glucose 5% 226
Compatible
injectable Hydromorphone hydrochloride 0.5 mg/ml
injectable Amsacrine 1 mg/ml
Glucose 5% 253
Compatible
injectable Hydromorphone hydrochloride 0.5 mg/ml
injectable Anidulafungin 0.5 mg/ml
Glucose 5% 1982
Compatible
injectable Hydromorphone hydrochloride 0.5 mg/ml
injectable Aztreonam 40 mg/ml
Glucose 5% 99
Compatible
injectable Hydromorphone hydrochloride 0.5 mg/ml
injectable Bivalirudin 5 mg/ml
Glucose 5% 1713
Instabilité de l'émulsion immédiate Incompatible
injectable Hydromorphone hydrochloride 0.5 mg/ml
Nutrition parentérale (mélange ternaire) 1415
Compatible
injectable Hydromorphone hydrochloride 10 mg/ml
Ringer lactate 4603
Perte de turbidité Incompatible
injectable Hydromorphone hydrochloride 0.5 mg/ml
injectable Amphotericin B cholesteryl sulfate complex 0.83 mg/ml
Glucose 5% 921
Compatible
injectable Hydromorphone hydrochloride 0.2 mg/ml
injectable Ampicillin sodium 20 mg/ml
Glucose 5% 405
Compatible
injectable Hydromorphone hydrochloride 0.5 mg/ml
injectable Atropine sulfate 0.4 mg/ml
Glucose 5% 1974
Compatible
injectable Hydromorphone hydrochloride 0,02 & 0,1 mg/ml
injectable Bupivacaine hydrochloride 0,625 & 1,25 mg/ml
Chlorure de sodium 0,9% 306
Compatible
injectable Hydromorphone hydrochloride
Glucose 5% 5073
Compatible
injectable Hydromorphone hydrochloride 0,02 & 0,04 mg/ml
injectable Bupivacaine hydrochloride 2,5 mg/ml
Chlorure de sodium 0,9% 1931
Compatible
injectable Hydromorphone hydrochloride 15 mg/ml
injectable Bupivacaine hydrochloride 10 mg/ml
Aucun 4200
Compatible
injectable Hydromorphone hydrochloride 2,5 mg/ml
Nutrition parentérale (mélange ternaire) 4507
Compatible
injectable Hydromorphone hydrochloride 25 mg/ml
injectable Bupivacaine hydrochloride 20 mg/ml
Chlorure de sodium 0,9% 3131
Compatible
injectable Hydromorphone hydrochloride 65 mg/ml
injectable Bupivacaine hydrochloride 7,5 mg/ml
Aucun 221
Compatible
injectable Hydromorphone hydrochloride 50 mg/ml
injectable Caffeine 10 mg/ml
Aucun 3964
Compatible
injectable Hydromorphone hydrochloride 1 mg/ml
injectable Caspofungin acetate 0,7 mg/ml
Chlorure de sodium 0,9% 2247
Compatible
injectable Hydromorphone hydrochloride 1 mg/ml
injectable Caspofungin acetate 0.5 mg/ml
Chlorure de sodium 0,9% 2233
Compatible
injectable Hydromorphone hydrochloride 0.2 mg/ml
injectable Cefalotin sodium 20 mg/ml
Glucose 5% 405
Compatible
injectable Hydromorphone hydrochloride 0.2 mg/ml
injectable Cefamandole nafate 20 mg/ml
Glucose 5% 405
Compatible
injectable Hydromorphone hydrochloride 0.2 mg/ml
injectable Cefazolin sodium 20 mg/ml
Glucose 5% 405
Compatible
injectable Hydromorphone hydrochloride 2 >> 40 mg/ml
injectable Cefazolin sodium 20 mg/ml
Glucose 5% 226
Précipitation immédiate Incompatible
injectable Hydromorphone hydrochloride 2 >> 40 mg/ml
injectable Cefazolin sodium >200 mg/ml
Glucose 5% 226
Compatible
injectable Hydromorphone hydrochloride 1 mg/ml
injectable Cefiderocol sulfate tosylate 20 mg/mL
Chlorure de sodium 0,9% 4528
Compatible
injectable Hydromorphone hydrochloride 1 mg/ml
injectable Cefiderocol sulfate tosylate 20 mg/mL
Glucose 5% 4528
Compatible
injectable Hydromorphone hydrochloride 0.2 mg/ml
injectable Cefmetazole sodium 100 mg/ml
Eau pour préparation injectable 93
Compatible
injectable Hydromorphone hydrochloride 0.2 mg/ml
injectable Cefoperazone sodium 20 mg/ml
Glucose 5% 405
Compatible
injectable Hydromorphone hydrochloride 0.2 mg/ml
injectable Ceforanide 20 mg/ml
Glucose 5% 405
Compatible
injectable Hydromorphone hydrochloride 0.2 mg/ml
injectable Cefotaxime sodium 20 mg/ml
Glucose 5% 405
Compatible
injectable Hydromorphone hydrochloride 0.2 mg/ml
injectable Cefoxitin sodium 20 mg/ml
Glucose 5% 405
Compatible
injectable Hydromorphone hydrochloride 0,5 mg/ml
injectable Ceftaroline fosamil 2,22 mg/ml
Ringer lactate 3249
Compatible
injectable Hydromorphone hydrochloride 0,5 mg/ml
injectable Ceftaroline fosamil 2,22 mg/ml
Glucose 5% 3249
Compatible
injectable Hydromorphone hydrochloride 0,5 mg/ml
injectable Ceftaroline fosamil 2,22 mg/ml
Chlorure de sodium 0,9% 3249
Compatible
injectable Hydromorphone hydrochloride 2 >> 40 mg/ml
injectable Ceftazidime 40 & 180 mg/ml
Glucose 5% 226
Compatible
injectable Hydromorphone hydrochloride 0.2 mg/ml
injectable Ceftizoxime sodium 20 mg/ml
Glucose 5% 405
Précipitation immédiate Incompatible
injectable Hydromorphone hydrochloride 1 mg/ml
injectable Ceftobiprole medocaril sodium 2 mg/ml
Chlorure de sodium 0,9% 2269
Précipitation immédiate Incompatible
injectable Hydromorphone hydrochloride 1 mg/ml
injectable Ceftobiprole medocaril sodium 2 mg/ml
Ringer lactate 2269
Incompatibilité non précisée Incompatible
injectable Hydromorphone hydrochloride
injectable Ceftobiprole medocaril sodium
4650
Précipitation immédiate Incompatible
injectable Hydromorphone hydrochloride 1 mg/ml
injectable Ceftobiprole medocaril sodium 2 mg/ml
Glucose 5% 2269
Compatible
injectable Hydromorphone hydrochloride 1 mg/ml
injectable Ceftolozane / tazobactam 10/5 mg/ml
Glucose 5% 3828
Compatible
injectable Hydromorphone hydrochloride 1 mg/ml
injectable Ceftolozane / tazobactam 10/5 mg/ml
Chlorure de sodium 0,9% 3828
Compatible
injectable Hydromorphone hydrochloride 0.2 mg/ml
injectable Cefuroxime sodium 30 mg/ml
Glucose 5% 405
Compatible
injectable Hydromorphone hydrochloride 0.2 mg/ml
injectable Chloramphenicol sodium succinate 20 mg/ml
Glucose 5% 405
Compatible
injectable Hydromorphone hydrochloride 0.5 mg/ml
injectable Cisatracurium besylate 0.1 >> 5 mg/ml
Glucose 5% 299
Compatible
injectable Hydromorphone hydrochloride 0.5 mg/ml
injectable Cladribine 0.015 mg/ml
Chlorure de sodium 0,9% 1496
Compatible
injectable Hydromorphone hydrochloride 0.5 mg/ml
injectable Cladribine 0.5 mg/ml
NaCl 0,9% + bactériosatique 1496
Compatible
injectable Hydromorphone hydrochloride 10 mg/ml
injectable Cloxacillin sodium 100 mg/ml
Eau pour préparation injectable 3012
Compatible
injectable Hydromorphone hydrochloride 0.2 mg/ml
injectable Co-trimoxazole 4/0.8 mg/ml
Glucose 5% 405
Compatible
injectable Hydromorphone hydrochloride < 10 mg/ml
injectable Dexamethasone sodium phosphate 2 >> 10 mg/ml
389
Compatible
injectable Hydromorphone hydrochloride 0.5 mg/ml
injectable Dexamethasone sodium phosphate 1 mg/ml
Glucose 5% 1974
Compatible
injectable Hydromorphone hydrochloride 1 >> 40 mg/ml
injectable Dexamethasone sodium phosphate < 2 mg/ml
389
Compatible
injectable Hydromorphone hydrochloride 0.5 mg/ml
injectable Dexmedetomidine 4 µg/ml
Chlorure de sodium 0,9% 1712
Précipitation en 2 heures Incompatible
injectable Hydromorphone hydrochloride
injectable Dimenhydrinate
2087
Compatible
injectable Hydromorphone hydrochloride 0.5 mg/ml
Nutrition parentérale (mélange binaire) 301
Compatible
injectable Hydromorphone hydrochloride 2 mg/ml
injectable Cimetidine hydrochloride 150 mg/ml
1438
Compatible
injectable Hydromorphone hydrochloride 0.2 mg/ml
injectable Clindamycin phosphate 12 mg/ml
Glucose 5% 405
Précipitation immédiate Incompatible
injectable Hydromorphone hydrochloride 2 >> 40 mg/ml
injectable Cloxacillin sodium 40 & 250 mg/ml
Glucose 5% 226
Précipitation immédiate Incompatible
injectable Hydromorphone hydrochloride
injectable Cyclizine lactate
5073
Compatible
injectable Hydromorphone hydrochloride
injectable Dexamethasone sodium phosphate
5073
Précipitation immédiate Incompatible
injectable Hydromorphone hydrochloride > 15 mg/ml
injectable Dexamethasone sodium phosphate > 3 mg/ml
389
Compatible
injectable Hydromorphone hydrochloride 0.5 mg/ml
injectable Diazepam 0.5 mg/ml
Glucose 5% 1974
Précipitation immédiate Incompatible
injectable Hydromorphone hydrochloride 2 >> 40 mg/ml
injectable Diazepam 5 mg/ml
Glucose 5% 226
Compatible
injectable Hydromorphone hydrochloride 1 mg/ml
injectable Diltiazem hydrochloride 1 mg/ml
314
Compatible
injectable Hydromorphone hydrochloride 2 >> 40 mg/ml
injectable Dimenhydrinate 50 mg/ml
Aucun 1497
Compatible
injectable Hydromorphone hydrochloride 0.5 mg/ml
injectable Diphenhydramine hydrochloride 2 mg/ml
Glucose 5% 1974
Compatible
injectable Hydromorphone hydrochloride 1 mg/ml
injectable Dobutamine hydrochloride 4 mg/ml
314
Compatible
injectable Hydromorphone hydrochloride 0.5 mg/ml
injectable Docetaxel 0.9 mg/ml
Glucose 5% 1754
Compatible
injectable Hydromorphone hydrochloride 1 mg/ml
injectable Dopamine hydrochloride 3.2 mg/ml
314
Compatible
injectable Hydromorphone hydrochloride 1 mg/ml
injectable Doripenem 5 mg/ml
Glucose 5% 2262
Compatible
injectable Hydromorphone hydrochloride 1 mg/ml
injectable Doripenem 5 mg/ml
Chlorure de sodium 0,9% 2262
Compatible
injectable Hydromorphone hydrochloride 0.5 mg/ml
injectable Doxorubicin hydrochloride liposome peg 0.4 mg/ml
Glucose 5% 251
Compatible
injectable Hydromorphone hydrochloride 0.2 mg/ml
injectable Doxycycline hyclate 1 mg/ml
Glucose 5% 405
Compatible
injectable Hydromorphone hydrochloride 1 mg/ml
injectable Epinephrine hydrochloride 20 µg/ml
314
Compatible
injectable Hydromorphone hydrochloride 1 mg/ml
injectable Eravacycline 0,6 mg/ml
Chlorure de sodium 0,9% 4434
Compatible
injectable Hydromorphone hydrochloride 0.2 mg/ml
injectable Erythromycin lactobionate 5 mg/ml
Glucose 5% 405
Compatible
injectable Hydromorphone hydrochloride 0.5 mg/ml
injectable Etoposide phosphate 5 mg/ml
Glucose 5% 1410
Compatible
injectable Hydromorphone hydrochloride 0.5 mg/ml
injectable Famotidine 2 mg/ml
Chlorure de sodium 0,9% 215
Compatible
injectable Hydromorphone hydrochloride 0.5 mg/ml
injectable Fenoldopam mesylate 80 µg/ml
Chlorure de sodium 0,9% 1803
Compatible
injectable Hydromorphone hydrochloride 1 mg/ml
injectable Fentanyl citrate 50 µg/ml
314
Compatible
injectable Hydromorphone hydrochloride 0.5 mg/ml
injectable Filgrastim 30 µg/ml
Glucose 5% 244
Compatible
injectable Hydromorphone hydrochloride 0.5 mg/ml
injectable Fludarabine phosphate 1 mg/ml
Glucose 5% 492
Compatible
injectable Hydromorphone hydrochloride 0.5 mg/ml
injectable Fluorouracil 1 & 16 mg/ml
Glucose 5% 513
Compatible
injectable Hydromorphone hydrochloride 0.5 mg/ml
injectable Fluorouracil 1 & 16 mg/ml
Chlorure de sodium 0,9% 513
Compatible
injectable Hydromorphone hydrochloride 10 mg/ml
injectable Foscarnet sodium 24 mg/ml
Aucun 73
Compatible
injectable Hydromorphone hydrochloride 1 mg/ml
injectable Fosfomycin 30 mg/ml
Glucose 5% 4055
Compatible
injectable Hydromorphone hydrochloride 1 mg/ml
injectable Fosfomycin 30 mg/ml
Chlorure de sodium 0,9% 4055
Compatible
injectable Hydromorphone hydrochloride 1 mg/ml
injectable Furosemide 10 mg/ml
314
Turbidité à 24 heures Incompatible
injectable Hydromorphone hydrochloride 4 mg/ml
injectable Gallium nitrate 1 mg/ml
Chlorure de sodium 0,9% 91
Compatible
injectable Hydromorphone hydrochloride 0.5 mg/ml
injectable Gemcitabine hydrochloride 10 mg/ml
Chlorure de sodium 0,9% 1423
Compatible
injectable Hydromorphone hydrochloride 0.2 mg/ml
injectable Gentamicin sulfate 0.8 mg/ml
Glucose 5% 405
Compatible
injectable Hydromorphone hydrochloride
injectable Glycopyrronium bromide
5073
Compatible
injectable Hydromorphone hydrochloride 0.5 mg/ml
injectable Granisetron hydrochloride 0.056 mg/ml
Chlorure de sodium 0,9% 6
Compatible
injectable Hydromorphone hydrochloride 0.5 mg/ml
injectable Granisetron hydrochloride 1 mg/ml
Chlorure de sodium 0,9% 57
Compatible
injectable Hydromorphone hydrochloride 0.5 mg/ml
injectable Granisetron hydrochloride 0.05 mg/ml
Glucose 5% 182
Compatible
injectable Hydromorphone hydrochloride 10 mg/ml
injectable Haloperidol lactate 1 mg/ml
Aucun 216
Compatible
injectable Hydromorphone hydrochloride 10 mg/ml
injectable Haloperidol lactate 5 mg/ml
Aucun 216
Compatible
injectable Hydromorphone hydrochloride 1 mg/ml
injectable Haloperidol lactate 5 mg/ml
Aucun 216
Compatible
injectable Hydromorphone hydrochloride 1 mg/ml
injectable Haloperidol lactate 2 mg/ml
Aucun 216
Compatible
injectable Hydromorphone hydrochloride 1 mg/ml
injectable Haloperidol lactate 1 mg/ml
Aucun 216
Compatible
injectable Hydromorphone hydrochloride 0.5 mg/ml
injectable Haloperidol lactate 0.2 mg/ml
Glucose 5% 1974
Compatible
injectable Hydromorphone hydrochloride
injectable Haloperidol lactate
5073
Compatible
injectable Hydromorphone hydrochloride 10 mg/ml
injectable Haloperidol lactate 2 mg/ml
Aucun 216
Compatible
injectable Hydromorphone hydrochloride <12.5 mg/ml
injectable Heparin sodium
Eau pour préparation injectable 66
Compatible
injectable Hydromorphone hydrochloride <12.5 mg/ml
injectable Heparin sodium
Chlorure de sodium 0,9% 66
Compatible
injectable Hydromorphone hydrochloride 1 mg/ml
injectable Heparin sodium 100 UI/ml
314
Précipitation immédiate Incompatible
injectable Hydromorphone hydrochloride >25 mg/ml
injectable Heparin sodium <12,5 UI/ml
Eau pour préparation injectable 66
Précipitation immédiate Incompatible
injectable Hydromorphone hydrochloride >10 mg/ml
injectable Heparin sodium <1 UI/ml
Eau pour préparation injectable 66
Précipitation immédiate Incompatible
injectable Hydromorphone hydrochloride >25 mg/ml
injectable Heparin sodium <12,5 UI/ml
Chlorure de sodium 0,9% 66
Compatible
injectable Hydromorphone hydrochloride 0.5 mg/ml
injectable Hetastarch 60 mg/ml
Solvant spécifique 1721
Instabilité chimique Incompatible
injectable Hydromorphone hydrochloride 2 >> 40 mg/ml
injectable Hyaluronidase 150 UI/ml
Glucose 5% 9
Compatible
injectable Hydromorphone hydrochloride
injectable Hyaluronidase
3184
Instabilité chimique Incompatible
injectable Hydromorphone hydrochloride 2 >> 40 mg/ml
injectable Hyaluronidase 150 UI/ml
Chlorure de sodium 0,9% 9
Compatible
injectable Hydromorphone hydrochloride 0.5 mg/ml
injectable Hydroxyzine dihydrochloride 4 mg/ml
Glucose 5% 1974
Compatible
injectable Hydromorphone hydrochloride 1 mg/ml
injectable Isavuconazonium sulfate 1.5 mg/ml
Chlorure de sodium 0,9% 3829
Compatible
injectable Hydromorphone hydrochloride 1 mg/ml
injectable Isavuconazonium sulfate 1.5 mg/ml
Glucose 5% 3829
Compatible
injectable Hydromorphone hydrochloride 0.2 mg/ml
injectable Kanamycin sulfate 2.5 mg/ml
Glucose 5% 405
Compatible
injectable Hydromorphone hydrochloride
injectable Ketamine hydrochloride
5073
Compatible
injectable Hydromorphone hydrochloride 0.2 mg/ml
injectable Ketamine hydrochloride 0.2 >> 1 mg/ml
Chlorure de sodium 0,9% 2336
Compatible
injectable Hydromorphone hydrochloride 0.5 mg/ml
injectable Ketorolac tromethamine 1 mg/ml
Glucose 5% 1974
Compatible
injectable Hydromorphone hydrochloride 10 mg/ml
injectable Ketorolac tromethamine 15 mg/ml
Aucun 216
Compatible
injectable Hydromorphone hydrochloride 1 mg/ml
injectable Ketorolac tromethamine 30 mg/ml
Aucun 216
Compatible
injectable Hydromorphone hydrochloride 1 mg/ml
injectable Ketorolac tromethamine 15 mg/ml
Aucun 216
Précipitation immédiate Incompatible
injectable Hydromorphone hydrochloride 10 mg/ml
injectable Ketorolac tromethamine 30 mg/ml
Aucun 216
Compatible
injectable Hydromorphone hydrochloride 1 mg/ml
injectable Labetalol hydrochloride 2 mg/ml
314
Précipitation en 1 heure Incompatible
injectable Hydromorphone hydrochloride 0.5 mg/ml
injectable Lansoprazole 0.55 mg/ml
Chlorure de sodium 0,9% 1625
Compatible
injectable Hydromorphone hydrochloride 2 mg/ml
injectable Levofloxacine 5 mg/ml
Aucun 2335
Compatible
injectable Hydromorphone hydrochloride
injectable Levomepromazine
5073
Compatible
injectable Hydromorphone hydrochloride 10 mg/ml
injectable Levosimendan 2,5 mg/ml
4389
Compatible
injectable Hydromorphone hydrochloride 0.5 mg/ml
injectable Linezolid 2 mg/ml
Aucun 1925
Compatible
injectable Hydromorphone hydrochloride 0.5 mg/ml
injectable Lorazepam 0.1 mg/ml
Glucose 5% 1974
Compatible
injectable Hydromorphone hydrochloride 2 >> 40 mg/ml
injectable Lorazepam 4 mg/ml
Aucun 1497
Compatible
injectable Hydromorphone hydrochloride 1 mg/ml
injectable Lorazepam 0.5 mg/ml
314
Compatible
injectable Hydromorphone hydrochloride 2 mg/ml
injectable Magnesium sulfate 16,67 >> 100 mg/ml
Glucose 5% 517
Compatible
injectable Hydromorphone hydrochloride 0.5 mg/ml
injectable Melphalan 0.1 mg/ml
Chlorure de sodium 0,9% 169
Compatible
injectable Hydromorphone hydrochloride 10 mg/ml
injectable Meropenem 50 mg/ml
Eau pour préparation injectable 4319
Instabilité chimique Incompatible
injectable Hydromorphone hydrochloride
injectable Metamizol sodium
2364
Compatible
injectable Hydromorphone hydrochloride
injectable Metoclopramide hydrochloride
5073
Compatible
injectable Hydromorphone hydrochloride 0.5 mg/ml
injectable Metoclopramide hydrochloride 5 mg/ml
Glucose 5% 1974
Compatible
injectable Hydromorphone hydrochloride 0.2 mg/ml
injectable Metronidazole 5 mg/ml
Glucose 5% 405
Compatible
injectable Hydromorphone hydrochloride 0.5 mg/ml
injectable Micafungin 1.5 mg/ml
Chlorure de sodium 0,9% 2108
Compatible
injectable Hydromorphone hydrochloride
injectable Midazolam hydrochloride
5073
Compatible
injectable Hydromorphone hydrochloride 0.5 mg/ml
injectable Midazolam hydrochloride 0.2 mg/ml
Glucose 5% 1974
Compatible
injectable Hydromorphone hydrochloride 0.5 >> 45 mg/ml
injectable Midazolam hydrochloride 0.1 >> 4.5 mg/ml
Glucose 5% 345
Compatible
injectable Hydromorphone hydrochloride 1 mg/ml
injectable Midazolam hydrochloride 2 mg/ml
314
Compatible
injectable Hydromorphone hydrochloride 0.5 >> 45 mg/ml
injectable Midazolam hydrochloride 0.1 >> 4.5 mg/ml
Chlorure de sodium 0,9% 345
Compatible
injectable Hydromorphone hydrochloride 1 mg/ml
injectable Milrinone lactate 0.2 mg/ml
314
Changement de couleur après 1 heure Incompatible
injectable Hydromorphone hydrochloride 0.2 mg/ml
injectable Minocycline hydrochloride 0.2 mg/ml
Glucose 5% 405
Compatible
injectable Hydromorphone hydrochloride 1 mg/ml
injectable Morphine sulfate 2 mg/ml
314
Compatible
injectable Hydromorphone hydrochloride 0.2 mg/ml
injectable Moxalactam 20 mg/ml
Glucose 5% 405
Compatible
injectable Hydromorphone hydrochloride 0.2 mg/ml
injectable Nafcillin sodium 20 mg/ml
Glucose 5% 405
Compatible
injectable Hydromorphone hydrochloride 10 mg/ml
injectable Naloxone hydrochloride 0.4 mg/ml
Aucun 3408
Compatible
injectable Hydromorphone hydrochloride 1 mg/ml
injectable Nicardipine hydrochloride 1 mg/ml
314
Compatible
injectable Hydromorphone hydrochloride 1 mg/ml
injectable Nitroglycerin 0.4 mg/ml
314
Compatible
injectable Hydromorphone hydrochloride 1 mg/ml
injectable Norepinephrine bitartrate 0.128 mg/ml
314
Compatible
injectable Hydromorphone hydrochloride 0,5 mg/ml
injectable Ondansetron hydrochloride 0,1 & 1 mg/ml
Chlorure de sodium 0,9% 6
Compatible
injectable Hydromorphone hydrochloride 0.5 mg/ml
injectable Ondansetron hydrochloride 1 mg/ml
Chlorure de sodium 0,9% 334
Compatible
injectable Hydromorphone hydrochloride 0.2 mg/ml
injectable Oxacillin sodium 20 mg/ml
Glucose 5% 405
Compatible
injectable Hydromorphone hydrochloride 0,5 mg/ml
injectable Oxaliplatin 0,5 mg/ml
Glucose 5% 1662
Compatible
injectable Hydromorphone hydrochloride 0.5 mg/ml
injectable Paclitaxel 1.2 mg/ml
Glucose 5% 248
Compatible
injectable Hydromorphone hydrochloride 0.5 mg/ml
injectable Palonosetron hydrochloride 50 µg/ml
Glucose 5% 2196
Précipitation en 4 heures Incompatible
injectable Hydromorphone hydrochloride
injectable Pantoprazole sodium
2090
Compatible
injectable Hydromorphone hydrochloride 10 mg/ml
injectable Paracetamol 10 mg/ml
4742
Compatible
injectable Hydromorphone hydrochloride 2 mg/ml
injectable Paracetamol 10 mg/ml
Aucun 3571
Incompatibilité non précisée Incompatible
injectable Hydromorphone hydrochloride
injectable Parecoxib sodium
3504
Compatible
injectable Hydromorphone hydrochloride 0.5 mg/ml
injectable Pemetrexed disodium 20 mg/ml
Chlorure de sodium 0,9% 1953
Compatible
injectable Hydromorphone hydrochloride 0.2 mg/ml
injectable Penicillin G potassium 0.1 MUI/ml
Glucose 5% 405
Précipitation immédiate Incompatible
injectable Hydromorphone hydrochloride 2 >> 40 mg/ml
injectable Phenobarbital sodium 120 mg/ml
Glucose 5% 226
Compatible
injectable Hydromorphone hydrochloride 0.5 mg/ml
injectable Phenobarbital sodium 2 mg/ml
Glucose 5% 1974
Précipitation immédiate Incompatible
injectable Hydromorphone hydrochloride 2 >> 40 mg/ml
injectable Phenytoin sodium 50 mg/ml
Glucose 5% 226
Précipitation en 1 heure Incompatible
injectable Hydromorphone hydrochloride 0.5 mg/ml
injectable Phenytoin sodium 2 mg/ml
Glucose 5% 1974
Compatible
injectable Hydromorphone hydrochloride 0.2 mg/ml
injectable Piperacillin sodium 60 mg/ml
Glucose 5% 405
Compatible
injectable Hydromorphone hydrochloride 0.5 mg/ml
injectable Piperacillin sodium / tazobactam 40/5 mg/ml
Glucose 5% 81
Compatible
injectable Hydromorphone hydrochloride 1 mg/ml
injectable Plazomicin sulfate 24 mg/ml
Chlorure de sodium 0,9% 4145
Compatible
injectable Hydromorphone hydrochloride
injectable Posaconazole
4380
Compatible
injectable Hydromorphone hydrochloride 25 mg/ml
injectable Potassium chloride 1000 mEq/l
Eau pour préparation injectable 66
Compatible
injectable Hydromorphone hydrochloride 5 >> 20 mg/ml
injectable Potassium chloride 500 & 1000 mEq/l
Glucose 5% 66
Compatible
injectable Hydromorphone hydrochloride 2 >> 40 mg/ml
injectable Prochlorperazine edysilate 5 mg/ml
Aucun 1497
Compatible
injectable Hydromorphone hydrochloride 0,5 mg/ml
injectable Prochlorperazine edysilate 1,5 mg/ml
Chlorure de sodium 0,9% 767
Compatible
injectable Hydromorphone hydrochloride 1 mg/ml
injectable Promethazine hydrochloride 0.3 mg/ml
Chlorure de sodium 0,9% 795
Compatible
injectable Hydromorphone hydrochloride 0.5 mg/ml
injectable Propofol 10 mg/ml
Aucun 300
Compatible
injectable Hydromorphone hydrochloride 1 mg/ml
injectable Ranitidine hydrochloride 1 mg/ml
314
Compatible
injectable Hydromorphone hydrochloride 2 mg/ml
injectable Ranitidine hydrochloride 25 mg/ml
Aucun 58
Compatible
injectable Hydromorphone hydrochloride 1 mg/ml
injectable Remdesivir 1 mg/ml
Chlorure de sodium 0,9% 4768
Compatible
injectable Hydromorphone hydrochloride 10 mg/ml
injectable Salbutamol sulfate 1 mg/ml
Aucun 3216
Précipitation en 30 minutes Incompatible
injectable Hydromorphone hydrochloride 0.5 mg/ml
injectable Sargramostim 10 µg/ml
Chlorure de sodium 0,9% 335
Compatible
injectable Hydromorphone hydrochloride 0.5 mg/ml
injectable Scopolamine hydrobromide 0.05 mg/ml
Glucose 5% 1974
Compatible
injectable Hydromorphone hydrochloride
injectable Scopolamine hydrobromide
5073
Compatible
injectable Hydromorphone hydrochloride 0,1 & 1 mg/ml
injectable Tacrolimus 5 & 20 µg/ml
Glucose 5% 814
Compatible
injectable Hydromorphone hydrochloride 1 mg/ml
injectable Tedizolid phosphate 0.8 mg/ml
Chlorure de sodium 0,9% 3827
Compatible
injectable Hydromorphone hydrochloride 0.5 mg/ml
injectable Teniposide 0.1 mg/ml
Glucose 5% 905
Précipitation immédiate Incompatible
injectable Hydromorphone hydrochloride 10 mg/ml
injectable Thiopental sodium 25 mg/ml
Chlorure de sodium 0,9% 3767
Précipitation en 4 heures Incompatible
injectable Hydromorphone hydrochloride 1 mg/ml
injectable Thiopental sodium 25 mg/ml
314
Compatible
injectable Hydromorphone hydrochloride 0.5 mg/ml
injectable Thiotepa 1 mg/ml
Glucose 5% 249
Compatible
injectable Hydromorphone hydrochloride
Chlorure de sodium 0,9% 5073
Compatible
injectable Hydromorphone hydrochloride
injectable Scopolamine N-butyl bromide
5073
Compatible
injectable Hydromorphone hydrochloride 1 mg/ml
injectable Sulbactam/durlobactam 15/15 mg/ml
Chlorure de sodium 0,9% 4801
Compatible
injectable Hydromorphone hydrochloride 0.2 mg/ml
injectable Tobramycin sulfate 0.8 mg/ml
Glucose 5% 405
Compatible
injectable Hydromorphone hydrochloride 0.2 mg/ml
injectable Vancomycin hydrochloride 5 mg/ml
Glucose 5% 405
Compatible
injectable Hydromorphone hydrochloride 2 mg/ml
injectable Vancomycin hydrochloride 4 mg/ml
Chlorure de sodium 0,9% 2335
Compatible
injectable Hydromorphone hydrochloride 1 mg/ml
injectable Vecuronium bromide 1 mg/ml
314
Compatible
injectable Hydromorphone hydrochloride 0.016 mg/ml
injectable Verapamil hydrochloride 0.08 mg/ml
Chlorure de sodium 0,9% 1057
Compatible
injectable Hydromorphone hydrochloride 0.016 mg/ml
injectable Verapamil hydrochloride 0.08 mg/ml
Glucose 5% 1057
Compatible
injectable Hydromorphone hydrochloride 0.5 mg/ml
injectable Vinorelbine tartrate 1 mg/ml
Chlorure de sodium 0,9% 84

  Mentions Légales