Ultimele actualizari :
18/03/2026
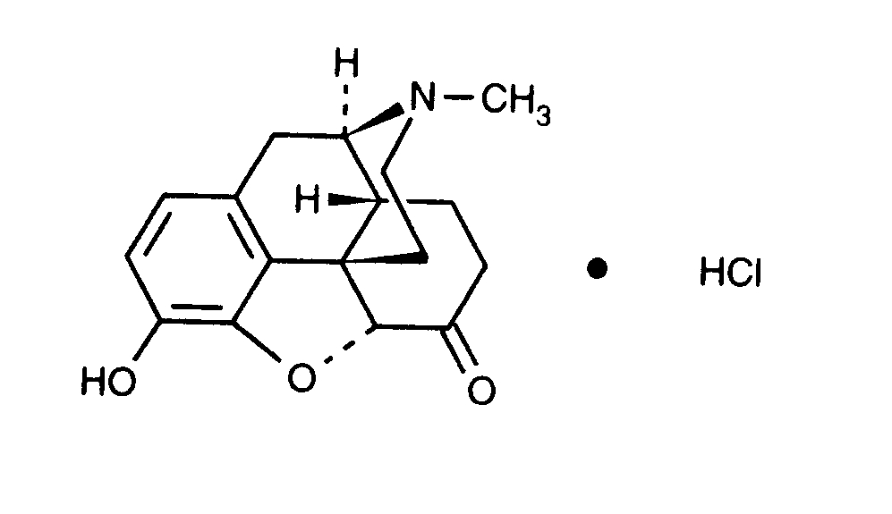
Antialgic   Hydromorphone hydrochloride  
Injectabil
Stabilitatea in solutie Stabilitatea in amestec Factorii care influenteaza stabilitatea Compatibilitate Microunde Bibliografie pdf
   Formula chimica  

Denumirea comerciala   Denumirea comerciala     

Trade names are indicative and excipients composition can be different depending on the country and manufacturers

Dilaudid Canada, SUA
Hydal Austria
Palladon Danemarca, Elvetia
Palladone Marea Britanie
Compatibilitate   Injectabil   Compatibilitate : Hydromorphone hydrochloride              
Acest ecran indică compatibilitățile sau incompatibilitățile cu, în acest caz, tipul de incompatibilitate (precipitații, schimbarea culorii, modificarea unei emulsii etc.). Compatibilitățile prezentate aici sunt în mare parte numai fizice, stabilitatea chimică a fiecărei molecule fiind rareori evaluată. Evaluarea acestor amestecuri a fost studiată pentru a lua în considerare posibilitatea administrării site-ului Y la pacient. Aceste date nu pot fi utilizate pentru prepararea în prealabil a amestecurilor în pungi sau seringi. Acest tip de informații este disponibil în ecranul „Stabilitate în amestec».
Molecula (substanta activa) Solvent Bibiografie
Compatibil
Injectabil Hydromorphone hydrochloride 0.04 mg/ml
Injectabil Aciclovir sodium 5 mg/ml
Glucoza 5% 336
Compatibil
Injectabil Hydromorphone hydrochloride 0.5 mg/ml
Injectabil Allopurinol sodium 3 mg/ml
clorura de sodiu 0,9% 307
Compatibil
Injectabil Hydromorphone hydrochloride 0.5 mg/ml
Injectabil Amifostine 10 mg/ml
Glucoza 5% 3
Compatibil
Injectabil Hydromorphone hydrochloride 0.2 mg/ml
Injectabil Amikacin sulfate 5 mg/ml
Glucoza 5% 405
Compatibil
Injectabil Hydromorphone hydrochloride 10 mg/ml
Injectabil Amoxicillin sodium / clavulanic acid 100/10 mg/ml
3824
Compatibil
Injectabil Hydromorphone hydrochloride 2 >> 40 mg/ml
Injectabil Ampicillin sodium 20 & 250 mg/ml
Glucoza 5% 226
Compatibil
Injectabil Hydromorphone hydrochloride 0.5 mg/ml
Injectabil Amsacrine 1 mg/ml
Glucoza 5% 253
Compatibil
Injectabil Hydromorphone hydrochloride 0.5 mg/ml
Injectabil Anidulafungin 0.5 mg/ml
Glucoza 5% 1982
Compatibil
Injectabil Hydromorphone hydrochloride 0.5 mg/ml
Injectabil Aztreonam 40 mg/ml
Glucoza 5% 99
Compatibil
Injectabil Hydromorphone hydrochloride 0.5 mg/ml
Injectabil Bivalirudin 5 mg/ml
Glucoza 5% 1713
Instabilitate imediată a emulsiei Incompatibil
Injectabil Hydromorphone hydrochloride 0.5 mg/ml
Nutriție parenterală (cu lipide) 1415
Compatibil
Injectabil Hydromorphone hydrochloride 10 mg/ml
Solutie Ringer lactat 4603
Pierderea turbidității Incompatibil
Injectabil Hydromorphone hydrochloride 0.5 mg/ml
Injectabil Amphotericin B cholesteryl sulfate complex 0.83 mg/ml
Glucoza 5% 921
Compatibil
Injectabil Hydromorphone hydrochloride 0.2 mg/ml
Injectabil Ampicillin sodium 20 mg/ml
Glucoza 5% 405
Compatibil
Injectabil Hydromorphone hydrochloride 0.5 mg/ml
Injectabil Atropine sulfate 0.4 mg/ml
Glucoza 5% 1974
Compatibil
Injectabil Hydromorphone hydrochloride 0,02 & 0,1 mg/ml
Injectabil Bupivacaine hydrochloride 0,625 & 1,25 mg/ml
clorura de sodiu 0,9% 306
Compatibil
Injectabil Hydromorphone hydrochloride
Glucoza 5% 5073
Compatibil
Injectabil Hydromorphone hydrochloride 0,02 & 0,04 mg/ml
Injectabil Bupivacaine hydrochloride 2,5 mg/ml
clorura de sodiu 0,9% 1931
Compatibil
Injectabil Hydromorphone hydrochloride 15 mg/ml
Injectabil Bupivacaine hydrochloride 10 mg/ml
fara 4200
Compatibil
Injectabil Hydromorphone hydrochloride 2,5 mg/ml
Nutriție parenterală (cu lipide) 4507
Compatibil
Injectabil Hydromorphone hydrochloride 25 mg/ml
Injectabil Bupivacaine hydrochloride 20 mg/ml
clorura de sodiu 0,9% 3131
Compatibil
Injectabil Hydromorphone hydrochloride 65 mg/ml
Injectabil Bupivacaine hydrochloride 7,5 mg/ml
fara 221
Compatibil
Injectabil Hydromorphone hydrochloride 50 mg/ml
Injectabil Caffeine 10 mg/ml
fara 3964
Compatibil
Injectabil Hydromorphone hydrochloride 1 mg/ml
Injectabil Caspofungin acetate 0,7 mg/ml
clorura de sodiu 0,9% 2247
Compatibil
Injectabil Hydromorphone hydrochloride 1 mg/ml
Injectabil Caspofungin acetate 0.5 mg/ml
clorura de sodiu 0,9% 2233
Compatibil
Injectabil Hydromorphone hydrochloride 0.2 mg/ml
Injectabil Cefalotin sodium 20 mg/ml
Glucoza 5% 405
Compatibil
Injectabil Hydromorphone hydrochloride 0.2 mg/ml
Injectabil Cefamandole nafate 20 mg/ml
Glucoza 5% 405
Compatibil
Injectabil Hydromorphone hydrochloride 0.2 mg/ml
Injectabil Cefazolin sodium 20 mg/ml
Glucoza 5% 405
Compatibil
Injectabil Hydromorphone hydrochloride 2 >> 40 mg/ml
Injectabil Cefazolin sodium 20 mg/ml
Glucoza 5% 226
Precipitații imediate Incompatibil
Injectabil Hydromorphone hydrochloride 2 >> 40 mg/ml
Injectabil Cefazolin sodium >200 mg/ml
Glucoza 5% 226
Compatibil
Injectabil Hydromorphone hydrochloride 1 mg/ml
Injectabil Cefiderocol sulfate tosylate 20 mg/mL
clorura de sodiu 0,9% 4528
Compatibil
Injectabil Hydromorphone hydrochloride 1 mg/ml
Injectabil Cefiderocol sulfate tosylate 20 mg/mL
Glucoza 5% 4528
Compatibil
Injectabil Hydromorphone hydrochloride 0.2 mg/ml
Injectabil Cefmetazole sodium 100 mg/ml
apa pentru preparate injectabile 93
Compatibil
Injectabil Hydromorphone hydrochloride 0.2 mg/ml
Injectabil Cefoperazone sodium 20 mg/ml
Glucoza 5% 405
Compatibil
Injectabil Hydromorphone hydrochloride 0.2 mg/ml
Injectabil Ceforanide 20 mg/ml
Glucoza 5% 405
Compatibil
Injectabil Hydromorphone hydrochloride 0.2 mg/ml
Injectabil Cefotaxime sodium 20 mg/ml
Glucoza 5% 405
Compatibil
Injectabil Hydromorphone hydrochloride 0.2 mg/ml
Injectabil Cefoxitin sodium 20 mg/ml
Glucoza 5% 405
Compatibil
Injectabil Hydromorphone hydrochloride 0,5 mg/ml
Injectabil Ceftaroline fosamil 2,22 mg/ml
Solutie Ringer lactat 3249
Compatibil
Injectabil Hydromorphone hydrochloride 0,5 mg/ml
Injectabil Ceftaroline fosamil 2,22 mg/ml
Glucoza 5% 3249
Compatibil
Injectabil Hydromorphone hydrochloride 0,5 mg/ml
Injectabil Ceftaroline fosamil 2,22 mg/ml
clorura de sodiu 0,9% 3249
Compatibil
Injectabil Hydromorphone hydrochloride 2 >> 40 mg/ml
Injectabil Ceftazidime 40 & 180 mg/ml
Glucoza 5% 226
Compatibil
Injectabil Hydromorphone hydrochloride 0.2 mg/ml
Injectabil Ceftizoxime sodium 20 mg/ml
Glucoza 5% 405
Precipitații imediate Incompatibil
Injectabil Hydromorphone hydrochloride 1 mg/ml
Injectabil Ceftobiprole medocaril sodium 2 mg/ml
clorura de sodiu 0,9% 2269
Precipitații imediate Incompatibil
Injectabil Hydromorphone hydrochloride 1 mg/ml
Injectabil Ceftobiprole medocaril sodium 2 mg/ml
Solutie Ringer lactat 2269
Incompatibilitate nespecificată Incompatibil
Injectabil Hydromorphone hydrochloride
Injectabil Ceftobiprole medocaril sodium
4650
Precipitații imediate Incompatibil
Injectabil Hydromorphone hydrochloride 1 mg/ml
Injectabil Ceftobiprole medocaril sodium 2 mg/ml
Glucoza 5% 2269
Compatibil
Injectabil Hydromorphone hydrochloride 1 mg/ml
Injectabil Ceftolozane / tazobactam 10/5 mg/ml
Glucoza 5% 3828
Compatibil
Injectabil Hydromorphone hydrochloride 1 mg/ml
Injectabil Ceftolozane / tazobactam 10/5 mg/ml
clorura de sodiu 0,9% 3828
Compatibil
Injectabil Hydromorphone hydrochloride 0.2 mg/ml
Injectabil Cefuroxime sodium 30 mg/ml
Glucoza 5% 405
Compatibil
Injectabil Hydromorphone hydrochloride 0.2 mg/ml
Injectabil Chloramphenicol sodium succinate 20 mg/ml
Glucoza 5% 405
Compatibil
Injectabil Hydromorphone hydrochloride 0.5 mg/ml
Injectabil Cisatracurium besylate 0.1 >> 5 mg/ml
Glucoza 5% 299
Compatibil
Injectabil Hydromorphone hydrochloride 0.5 mg/ml
Injectabil Cladribine 0.015 mg/ml
clorura de sodiu 0,9% 1496
Compatibil
Injectabil Hydromorphone hydrochloride 0.5 mg/ml
Injectabil Cladribine 0.5 mg/ml
NaCl 0,9% + agent antibacterian 1496
Compatibil
Injectabil Hydromorphone hydrochloride 10 mg/ml
Injectabil Cloxacillin sodium 100 mg/ml
apa pentru preparate injectabile 3012
Compatibil
Injectabil Hydromorphone hydrochloride 0.2 mg/ml
Injectabil Co-trimoxazole 4/0.8 mg/ml
Glucoza 5% 405
Compatibil
Injectabil Hydromorphone hydrochloride < 10 mg/ml
Injectabil Dexamethasone sodium phosphate 2 >> 10 mg/ml
389
Compatibil
Injectabil Hydromorphone hydrochloride 0.5 mg/ml
Injectabil Dexamethasone sodium phosphate 1 mg/ml
Glucoza 5% 1974
Compatibil
Injectabil Hydromorphone hydrochloride 1 >> 40 mg/ml
Injectabil Dexamethasone sodium phosphate < 2 mg/ml
389
Compatibil
Injectabil Hydromorphone hydrochloride 0.5 mg/ml
Injectabil Dexmedetomidine 4 µg/ml
clorura de sodiu 0,9% 1712
Precipitații după 2 ore Incompatibil
Injectabil Hydromorphone hydrochloride
Injectabil Dimenhydrinate
2087
Compatibil
Injectabil Hydromorphone hydrochloride 0.5 mg/ml
Nutritie parenterala (amestec binar) 301
Compatibil
Injectabil Hydromorphone hydrochloride 2 mg/ml
Injectabil Cimetidine hydrochloride 150 mg/ml
1438
Compatibil
Injectabil Hydromorphone hydrochloride 0.2 mg/ml
Injectabil Clindamycin phosphate 12 mg/ml
Glucoza 5% 405
Precipitații imediate Incompatibil
Injectabil Hydromorphone hydrochloride 2 >> 40 mg/ml
Injectabil Cloxacillin sodium 40 & 250 mg/ml
Glucoza 5% 226
Precipitații imediate Incompatibil
Injectabil Hydromorphone hydrochloride
Injectabil Cyclizine lactate
5073
Compatibil
Injectabil Hydromorphone hydrochloride
Injectabil Dexamethasone sodium phosphate
5073
Precipitații imediate Incompatibil
Injectabil Hydromorphone hydrochloride > 15 mg/ml
Injectabil Dexamethasone sodium phosphate > 3 mg/ml
389
Compatibil
Injectabil Hydromorphone hydrochloride 0.5 mg/ml
Injectabil Diazepam 0.5 mg/ml
Glucoza 5% 1974
Precipitații imediate Incompatibil
Injectabil Hydromorphone hydrochloride 2 >> 40 mg/ml
Injectabil Diazepam 5 mg/ml
Glucoza 5% 226
Compatibil
Injectabil Hydromorphone hydrochloride 1 mg/ml
Injectabil Diltiazem hydrochloride 1 mg/ml
314
Compatibil
Injectabil Hydromorphone hydrochloride 2 >> 40 mg/ml
Injectabil Dimenhydrinate 50 mg/ml
fara 1497
Compatibil
Injectabil Hydromorphone hydrochloride 0.5 mg/ml
Injectabil Diphenhydramine hydrochloride 2 mg/ml
Glucoza 5% 1974
Compatibil
Injectabil Hydromorphone hydrochloride 1 mg/ml
Injectabil Dobutamine hydrochloride 4 mg/ml
314
Compatibil
Injectabil Hydromorphone hydrochloride 0.5 mg/ml
Injectabil Docetaxel 0.9 mg/ml
Glucoza 5% 1754
Compatibil
Injectabil Hydromorphone hydrochloride 1 mg/ml
Injectabil Dopamine hydrochloride 3.2 mg/ml
314
Compatibil
Injectabil Hydromorphone hydrochloride 1 mg/ml
Injectabil Doripenem 5 mg/ml
Glucoza 5% 2262
Compatibil
Injectabil Hydromorphone hydrochloride 1 mg/ml
Injectabil Doripenem 5 mg/ml
clorura de sodiu 0,9% 2262
Compatibil
Injectabil Hydromorphone hydrochloride 0.5 mg/ml
Injectabil Doxorubicin hydrochloride liposome peg 0.4 mg/ml
Glucoza 5% 251
Compatibil
Injectabil Hydromorphone hydrochloride 0.2 mg/ml
Injectabil Doxycycline hyclate 1 mg/ml
Glucoza 5% 405
Compatibil
Injectabil Hydromorphone hydrochloride 1 mg/ml
Injectabil Epinephrine hydrochloride 20 µg/ml
314
Compatibil
Injectabil Hydromorphone hydrochloride 1 mg/ml
Injectabil Eravacycline 0,6 mg/ml
clorura de sodiu 0,9% 4434
Compatibil
Injectabil Hydromorphone hydrochloride 0.2 mg/ml
Injectabil Erythromycin lactobionate 5 mg/ml
Glucoza 5% 405
Compatibil
Injectabil Hydromorphone hydrochloride 0.5 mg/ml
Injectabil Etoposide phosphate 5 mg/ml
Glucoza 5% 1410
Compatibil
Injectabil Hydromorphone hydrochloride 0.5 mg/ml
Injectabil Famotidine 2 mg/ml
clorura de sodiu 0,9% 215
Compatibil
Injectabil Hydromorphone hydrochloride 0.5 mg/ml
Injectabil Fenoldopam mesylate 80 µg/ml
clorura de sodiu 0,9% 1803
Compatibil
Injectabil Hydromorphone hydrochloride 1 mg/ml
Injectabil Fentanyl citrate 50 µg/ml
314
Compatibil
Injectabil Hydromorphone hydrochloride 0.5 mg/ml
Injectabil Filgrastim 30 µg/ml
Glucoza 5% 244
Compatibil
Injectabil Hydromorphone hydrochloride 0.5 mg/ml
Injectabil Fludarabine phosphate 1 mg/ml
Glucoza 5% 492
Compatibil
Injectabil Hydromorphone hydrochloride 0.5 mg/ml
Injectabil Fluorouracil 1 & 16 mg/ml
Glucoza 5% 513
Compatibil
Injectabil Hydromorphone hydrochloride 0.5 mg/ml
Injectabil Fluorouracil 1 & 16 mg/ml
clorura de sodiu 0,9% 513
Compatibil
Injectabil Hydromorphone hydrochloride 10 mg/ml
Injectabil Foscarnet sodium 24 mg/ml
fara 73
Compatibil
Injectabil Hydromorphone hydrochloride 1 mg/ml
Injectabil Fosfomycin 30 mg/ml
Glucoza 5% 4055
Compatibil
Injectabil Hydromorphone hydrochloride 1 mg/ml
Injectabil Fosfomycin 30 mg/ml
clorura de sodiu 0,9% 4055
Compatibil
Injectabil Hydromorphone hydrochloride 1 mg/ml
Injectabil Furosemide 10 mg/ml
314
Turbiditate în 24 ore Incompatibil
Injectabil Hydromorphone hydrochloride 4 mg/ml
Injectabil Gallium nitrate 1 mg/ml
clorura de sodiu 0,9% 91
Compatibil
Injectabil Hydromorphone hydrochloride 0.5 mg/ml
Injectabil Gemcitabine hydrochloride 10 mg/ml
clorura de sodiu 0,9% 1423
Compatibil
Injectabil Hydromorphone hydrochloride 0.2 mg/ml
Injectabil Gentamicin sulfate 0.8 mg/ml
Glucoza 5% 405
Compatibil
Injectabil Hydromorphone hydrochloride
Injectabil Glycopyrronium bromide
5073
Compatibil
Injectabil Hydromorphone hydrochloride 0.5 mg/ml
Injectabil Granisetron hydrochloride 0.056 mg/ml
clorura de sodiu 0,9% 6
Compatibil
Injectabil Hydromorphone hydrochloride 0.5 mg/ml
Injectabil Granisetron hydrochloride 1 mg/ml
clorura de sodiu 0,9% 57
Compatibil
Injectabil Hydromorphone hydrochloride 0.5 mg/ml
Injectabil Granisetron hydrochloride 0.05 mg/ml
Glucoza 5% 182
Compatibil
Injectabil Hydromorphone hydrochloride 10 mg/ml
Injectabil Haloperidol lactate 1 mg/ml
fara 216
Compatibil
Injectabil Hydromorphone hydrochloride 10 mg/ml
Injectabil Haloperidol lactate 5 mg/ml
fara 216
Compatibil
Injectabil Hydromorphone hydrochloride 1 mg/ml
Injectabil Haloperidol lactate 5 mg/ml
fara 216
Compatibil
Injectabil Hydromorphone hydrochloride 1 mg/ml
Injectabil Haloperidol lactate 2 mg/ml
fara 216
Compatibil
Injectabil Hydromorphone hydrochloride 1 mg/ml
Injectabil Haloperidol lactate 1 mg/ml
fara 216
Compatibil
Injectabil Hydromorphone hydrochloride 0.5 mg/ml
Injectabil Haloperidol lactate 0.2 mg/ml
Glucoza 5% 1974
Compatibil
Injectabil Hydromorphone hydrochloride
Injectabil Haloperidol lactate
5073
Compatibil
Injectabil Hydromorphone hydrochloride 10 mg/ml
Injectabil Haloperidol lactate 2 mg/ml
fara 216
Compatibil
Injectabil Hydromorphone hydrochloride <12.5 mg/ml
Injectabil Heparin sodium
apa pentru preparate injectabile 66
Compatibil
Injectabil Hydromorphone hydrochloride <12.5 mg/ml
Injectabil Heparin sodium
clorura de sodiu 0,9% 66
Compatibil
Injectabil Hydromorphone hydrochloride 1 mg/ml
Injectabil Heparin sodium 100 UI/ml
314
Precipitații imediate Incompatibil
Injectabil Hydromorphone hydrochloride >25 mg/ml
Injectabil Heparin sodium <12,5 UI/ml
apa pentru preparate injectabile 66
Precipitații imediate Incompatibil
Injectabil Hydromorphone hydrochloride >10 mg/ml
Injectabil Heparin sodium <1 UI/ml
apa pentru preparate injectabile 66
Precipitații imediate Incompatibil
Injectabil Hydromorphone hydrochloride >25 mg/ml
Injectabil Heparin sodium <12,5 UI/ml
clorura de sodiu 0,9% 66
Compatibil
Injectabil Hydromorphone hydrochloride 0.5 mg/ml
Injectabil Hetastarch 60 mg/ml
specific de solvent 1721
Instabilitate chimică Incompatibil
Injectabil Hydromorphone hydrochloride 2 >> 40 mg/ml
Injectabil Hyaluronidase 150 UI/ml
Glucoza 5% 9
Compatibil
Injectabil Hydromorphone hydrochloride
Injectabil Hyaluronidase
3184
Instabilitate chimică Incompatibil
Injectabil Hydromorphone hydrochloride 2 >> 40 mg/ml
Injectabil Hyaluronidase 150 UI/ml
clorura de sodiu 0,9% 9
Compatibil
Injectabil Hydromorphone hydrochloride 0.5 mg/ml
Injectabil Hydroxyzine dihydrochloride 4 mg/ml
Glucoza 5% 1974
Compatibil
Injectabil Hydromorphone hydrochloride 1 mg/ml
Injectabil Isavuconazonium sulfate 1.5 mg/ml
clorura de sodiu 0,9% 3829
Compatibil
Injectabil Hydromorphone hydrochloride 1 mg/ml
Injectabil Isavuconazonium sulfate 1.5 mg/ml
Glucoza 5% 3829
Compatibil
Injectabil Hydromorphone hydrochloride 0.2 mg/ml
Injectabil Kanamycin sulfate 2.5 mg/ml
Glucoza 5% 405
Compatibil
Injectabil Hydromorphone hydrochloride
Injectabil Ketamine hydrochloride
5073
Compatibil
Injectabil Hydromorphone hydrochloride 0.2 mg/ml
Injectabil Ketamine hydrochloride 0.2 >> 1 mg/ml
clorura de sodiu 0,9% 2336
Compatibil
Injectabil Hydromorphone hydrochloride 0.5 mg/ml
Injectabil Ketorolac tromethamine 1 mg/ml
Glucoza 5% 1974
Compatibil
Injectabil Hydromorphone hydrochloride 10 mg/ml
Injectabil Ketorolac tromethamine 15 mg/ml
fara 216
Compatibil
Injectabil Hydromorphone hydrochloride 1 mg/ml
Injectabil Ketorolac tromethamine 30 mg/ml
fara 216
Compatibil
Injectabil Hydromorphone hydrochloride 1 mg/ml
Injectabil Ketorolac tromethamine 15 mg/ml
fara 216
Precipitații imediate Incompatibil
Injectabil Hydromorphone hydrochloride 10 mg/ml
Injectabil Ketorolac tromethamine 30 mg/ml
fara 216
Compatibil
Injectabil Hydromorphone hydrochloride 1 mg/ml
Injectabil Labetalol hydrochloride 2 mg/ml
314
Precipitații după 1 oră Incompatibil
Injectabil Hydromorphone hydrochloride 0.5 mg/ml
Injectabil Lansoprazole 0.55 mg/ml
clorura de sodiu 0,9% 1625
Compatibil
Injectabil Hydromorphone hydrochloride 2 mg/ml
Injectabil Levofloxacine 5 mg/ml
fara 2335
Compatibil
Injectabil Hydromorphone hydrochloride
Injectabil Levomepromazine
5073
Compatibil
Injectabil Hydromorphone hydrochloride 10 mg/ml
Injectabil Levosimendan 2,5 mg/ml
4389
Compatibil
Injectabil Hydromorphone hydrochloride 0.5 mg/ml
Injectabil Linezolid 2 mg/ml
fara 1925
Compatibil
Injectabil Hydromorphone hydrochloride 0.5 mg/ml
Injectabil Lorazepam 0.1 mg/ml
Glucoza 5% 1974
Compatibil
Injectabil Hydromorphone hydrochloride 2 >> 40 mg/ml
Injectabil Lorazepam 4 mg/ml
fara 1497
Compatibil
Injectabil Hydromorphone hydrochloride 1 mg/ml
Injectabil Lorazepam 0.5 mg/ml
314
Compatibil
Injectabil Hydromorphone hydrochloride 2 mg/ml
Injectabil Magnesium sulfate 16,67 >> 100 mg/ml
Glucoza 5% 517
Compatibil
Injectabil Hydromorphone hydrochloride 0.5 mg/ml
Injectabil Melphalan 0.1 mg/ml
clorura de sodiu 0,9% 169
Compatibil
Injectabil Hydromorphone hydrochloride 10 mg/ml
Injectabil Meropenem 50 mg/ml
apa pentru preparate injectabile 4319
Instabilitate chimică Incompatibil
Injectabil Hydromorphone hydrochloride
Injectabil Metamizol sodium
2364
Compatibil
Injectabil Hydromorphone hydrochloride
Injectabil Metoclopramide hydrochloride
5073
Compatibil
Injectabil Hydromorphone hydrochloride 0.5 mg/ml
Injectabil Metoclopramide hydrochloride 5 mg/ml
Glucoza 5% 1974
Compatibil
Injectabil Hydromorphone hydrochloride 0.2 mg/ml
Injectabil Metronidazole 5 mg/ml
Glucoza 5% 405
Compatibil
Injectabil Hydromorphone hydrochloride 0.5 mg/ml
Injectabil Micafungin 1.5 mg/ml
clorura de sodiu 0,9% 2108
Compatibil
Injectabil Hydromorphone hydrochloride
Injectabil Midazolam hydrochloride
5073
Compatibil
Injectabil Hydromorphone hydrochloride 0.5 mg/ml
Injectabil Midazolam hydrochloride 0.2 mg/ml
Glucoza 5% 1974
Compatibil
Injectabil Hydromorphone hydrochloride 0.5 >> 45 mg/ml
Injectabil Midazolam hydrochloride 0.1 >> 4.5 mg/ml
Glucoza 5% 345
Compatibil
Injectabil Hydromorphone hydrochloride 1 mg/ml
Injectabil Midazolam hydrochloride 2 mg/ml
314
Compatibil
Injectabil Hydromorphone hydrochloride 0.5 >> 45 mg/ml
Injectabil Midazolam hydrochloride 0.1 >> 4.5 mg/ml
clorura de sodiu 0,9% 345
Compatibil
Injectabil Hydromorphone hydrochloride 1 mg/ml
Injectabil Milrinone lactate 0.2 mg/ml
314
Schimbarea culorii după 1 oră Incompatibil
Injectabil Hydromorphone hydrochloride 0.2 mg/ml
Injectabil Minocycline hydrochloride 0.2 mg/ml
Glucoza 5% 405
Compatibil
Injectabil Hydromorphone hydrochloride 1 mg/ml
Injectabil Morphine sulfate 2 mg/ml
314
Compatibil
Injectabil Hydromorphone hydrochloride 0.2 mg/ml
Injectabil Moxalactam 20 mg/ml
Glucoza 5% 405
Compatibil
Injectabil Hydromorphone hydrochloride 0.2 mg/ml
Injectabil Nafcillin sodium 20 mg/ml
Glucoza 5% 405
Compatibil
Injectabil Hydromorphone hydrochloride 10 mg/ml
Injectabil Naloxone hydrochloride 0.4 mg/ml
fara 3408
Compatibil
Injectabil Hydromorphone hydrochloride 1 mg/ml
Injectabil Nicardipine hydrochloride 1 mg/ml
314
Compatibil
Injectabil Hydromorphone hydrochloride 1 mg/ml
Injectabil Nitroglycerin 0.4 mg/ml
314
Compatibil
Injectabil Hydromorphone hydrochloride 1 mg/ml
Injectabil Norepinephrine bitartrate 0.128 mg/ml
314
Compatibil
Injectabil Hydromorphone hydrochloride 0,5 mg/ml
Injectabil Ondansetron hydrochloride 0,1 & 1 mg/ml
clorura de sodiu 0,9% 6
Compatibil
Injectabil Hydromorphone hydrochloride 0.5 mg/ml
Injectabil Ondansetron hydrochloride 1 mg/ml
clorura de sodiu 0,9% 334
Compatibil
Injectabil Hydromorphone hydrochloride 0.2 mg/ml
Injectabil Oxacillin sodium 20 mg/ml
Glucoza 5% 405
Compatibil
Injectabil Hydromorphone hydrochloride 0,5 mg/ml
Injectabil Oxaliplatin 0,5 mg/ml
Glucoza 5% 1662
Compatibil
Injectabil Hydromorphone hydrochloride 0.5 mg/ml
Injectabil Paclitaxel 1.2 mg/ml
Glucoza 5% 248
Compatibil
Injectabil Hydromorphone hydrochloride 0.5 mg/ml
Injectabil Palonosetron hydrochloride 50 µg/ml
Glucoza 5% 2196
Precipitații după 4 ore Incompatibil
Injectabil Hydromorphone hydrochloride
Injectabil Pantoprazole sodium
2090
Compatibil
Injectabil Hydromorphone hydrochloride 10 mg/ml
Injectabil Paracetamol 10 mg/ml
4742
Compatibil
Injectabil Hydromorphone hydrochloride 2 mg/ml
Injectabil Paracetamol 10 mg/ml
fara 3571
Incompatibilitate nespecificată Incompatibil
Injectabil Hydromorphone hydrochloride
Injectabil Parecoxib sodium
3504
Compatibil
Injectabil Hydromorphone hydrochloride 0.5 mg/ml
Injectabil Pemetrexed disodium 20 mg/ml
clorura de sodiu 0,9% 1953
Compatibil
Injectabil Hydromorphone hydrochloride 0.2 mg/ml
Injectabil Penicillin G potassium 0.1 MUI/ml
Glucoza 5% 405
Precipitații imediate Incompatibil
Injectabil Hydromorphone hydrochloride 2 >> 40 mg/ml
Injectabil Phenobarbital sodium 120 mg/ml
Glucoza 5% 226
Compatibil
Injectabil Hydromorphone hydrochloride 0.5 mg/ml
Injectabil Phenobarbital sodium 2 mg/ml
Glucoza 5% 1974
Precipitații imediate Incompatibil
Injectabil Hydromorphone hydrochloride 2 >> 40 mg/ml
Injectabil Phenytoin sodium 50 mg/ml
Glucoza 5% 226
Precipitații după 1 oră Incompatibil
Injectabil Hydromorphone hydrochloride 0.5 mg/ml
Injectabil Phenytoin sodium 2 mg/ml
Glucoza 5% 1974
Compatibil
Injectabil Hydromorphone hydrochloride 0.2 mg/ml
Injectabil Piperacillin sodium 60 mg/ml
Glucoza 5% 405
Compatibil
Injectabil Hydromorphone hydrochloride 0.5 mg/ml
Injectabil Piperacillin sodium / tazobactam 40/5 mg/ml
Glucoza 5% 81
Compatibil
Injectabil Hydromorphone hydrochloride 1 mg/ml
Injectabil Plazomicin sulfate 24 mg/ml
clorura de sodiu 0,9% 4145
Compatibil
Injectabil Hydromorphone hydrochloride
Injectabil Posaconazole
4380
Compatibil
Injectabil Hydromorphone hydrochloride 25 mg/ml
Injectabil Potassium chloride 1000 mEq/l
apa pentru preparate injectabile 66
Compatibil
Injectabil Hydromorphone hydrochloride 5 >> 20 mg/ml
Injectabil Potassium chloride 500 & 1000 mEq/l
Glucoza 5% 66
Compatibil
Injectabil Hydromorphone hydrochloride 2 >> 40 mg/ml
Injectabil Prochlorperazine edysilate 5 mg/ml
fara 1497
Compatibil
Injectabil Hydromorphone hydrochloride 0,5 mg/ml
Injectabil Prochlorperazine edysilate 1,5 mg/ml
clorura de sodiu 0,9% 767
Compatibil
Injectabil Hydromorphone hydrochloride 1 mg/ml
Injectabil Promethazine hydrochloride 0.3 mg/ml
clorura de sodiu 0,9% 795
Compatibil
Injectabil Hydromorphone hydrochloride 0.5 mg/ml
Injectabil Propofol 10 mg/ml
fara 300
Compatibil
Injectabil Hydromorphone hydrochloride 1 mg/ml
Injectabil Ranitidine hydrochloride 1 mg/ml
314
Compatibil
Injectabil Hydromorphone hydrochloride 2 mg/ml
Injectabil Ranitidine hydrochloride 25 mg/ml
fara 58
Compatibil
Injectabil Hydromorphone hydrochloride 1 mg/ml
Injectabil Remdesivir 1 mg/ml
clorura de sodiu 0,9% 4768
Compatibil
Injectabil Hydromorphone hydrochloride 10 mg/ml
Injectabil Salbutamol sulfate 1 mg/ml
fara 3216
Precipitații după 30 minute Incompatibil
Injectabil Hydromorphone hydrochloride 0.5 mg/ml
Injectabil Sargramostim 10 µg/ml
clorura de sodiu 0,9% 335
Compatibil
Injectabil Hydromorphone hydrochloride 0.5 mg/ml
Injectabil Scopolamine hydrobromide 0.05 mg/ml
Glucoza 5% 1974
Compatibil
Injectabil Hydromorphone hydrochloride
Injectabil Scopolamine hydrobromide
5073
Compatibil
Injectabil Hydromorphone hydrochloride 0,1 & 1 mg/ml
Injectabil Tacrolimus 5 & 20 µg/ml
Glucoza 5% 814
Compatibil
Injectabil Hydromorphone hydrochloride 1 mg/ml
Injectabil Tedizolid phosphate 0.8 mg/ml
clorura de sodiu 0,9% 3827
Compatibil
Injectabil Hydromorphone hydrochloride 0.5 mg/ml
Injectabil Teniposide 0.1 mg/ml
Glucoza 5% 905
Precipitații imediate Incompatibil
Injectabil Hydromorphone hydrochloride 10 mg/ml
Injectabil Thiopental sodium 25 mg/ml
clorura de sodiu 0,9% 3767
Precipitații după 4 ore Incompatibil
Injectabil Hydromorphone hydrochloride 1 mg/ml
Injectabil Thiopental sodium 25 mg/ml
314
Compatibil
Injectabil Hydromorphone hydrochloride 0.5 mg/ml
Injectabil Thiotepa 1 mg/ml
Glucoza 5% 249
Compatibil
Injectabil Hydromorphone hydrochloride
clorura de sodiu 0,9% 5073
Compatibil
Injectabil Hydromorphone hydrochloride
Injectabil Scopolamine N-butyl bromide
5073
Compatibil
Injectabil Hydromorphone hydrochloride 1 mg/ml
Injectabil Sulbactam/durlobactam 15/15 mg/ml
clorura de sodiu 0,9% 4801
Compatibil
Injectabil Hydromorphone hydrochloride 0.2 mg/ml
Injectabil Tobramycin sulfate 0.8 mg/ml
Glucoza 5% 405
Compatibil
Injectabil Hydromorphone hydrochloride 0.2 mg/ml
Injectabil Vancomycin hydrochloride 5 mg/ml
Glucoza 5% 405
Compatibil
Injectabil Hydromorphone hydrochloride 2 mg/ml
Injectabil Vancomycin hydrochloride 4 mg/ml
clorura de sodiu 0,9% 2335
Compatibil
Injectabil Hydromorphone hydrochloride 1 mg/ml
Injectabil Vecuronium bromide 1 mg/ml
314
Compatibil
Injectabil Hydromorphone hydrochloride 0.016 mg/ml
Injectabil Verapamil hydrochloride 0.08 mg/ml
clorura de sodiu 0,9% 1057
Compatibil
Injectabil Hydromorphone hydrochloride 0.016 mg/ml
Injectabil Verapamil hydrochloride 0.08 mg/ml
Glucoza 5% 1057
Compatibil
Injectabil Hydromorphone hydrochloride 0.5 mg/ml
Injectabil Vinorelbine tartrate 1 mg/ml
clorura de sodiu 0,9% 84

  Mentions Légales