Laatste update :
18/03/2026
Analgeticum   Hydromorphone hydrochloride  
injecteerbaar geneesmiddel
Stabiliteit in oplossing Stabiliteit in mengsels Factoren die de stabiliteit beïnvloeden Verenigbaarheden Toedieningswijze Literatuur pdf
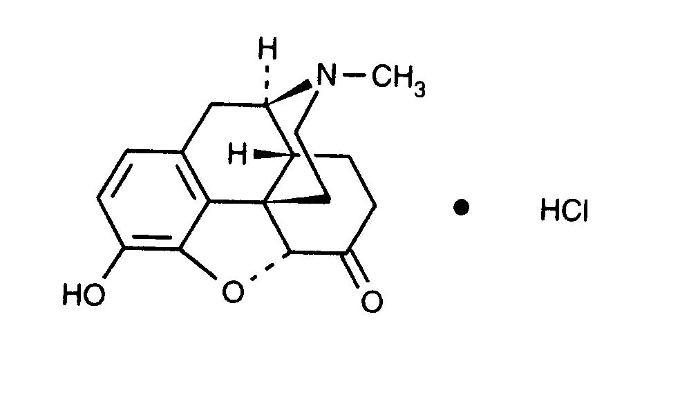
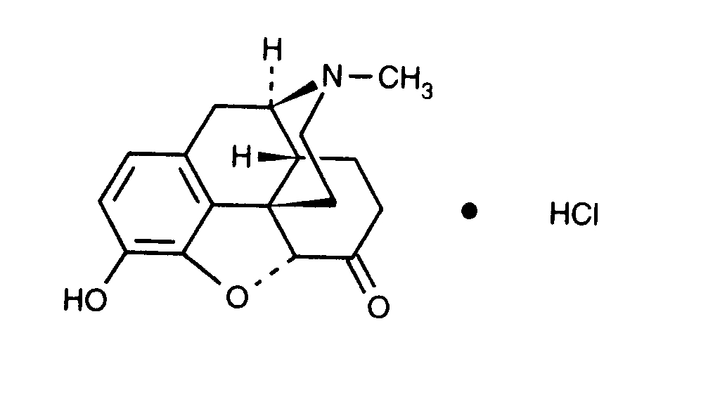
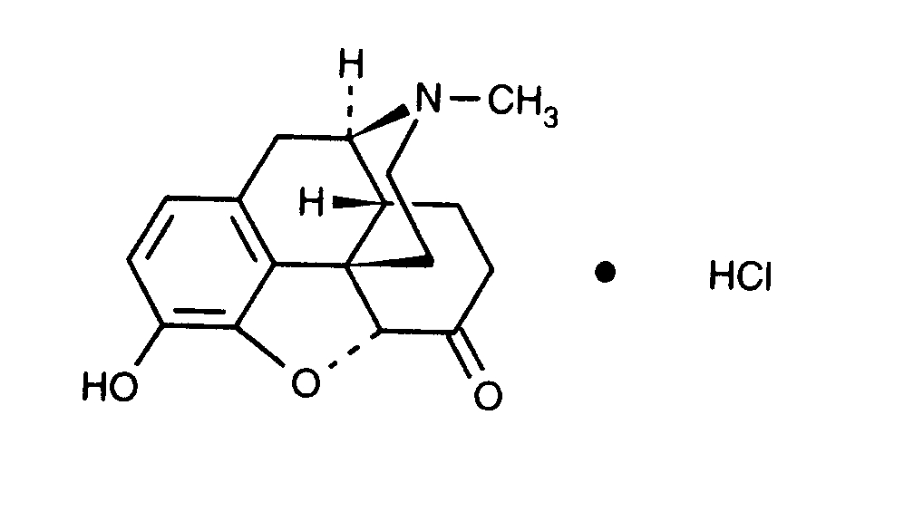
   Molecuulstructuur  

Merknamen in verschillende landen   Merknamen in verschillende landen     

Handelsnamen zijn slechts een indicatie; de samenstelling van hulpstoffen kan per land variëren afhankelijk van de fabrikant

Dilaudid Canada, USA
Hydal Oostenrijk
Palladon Denemarken, Zwitserland
Palladone Groot Britannië
Verenigbaarheden   injecteerbaar geneesmiddel   Verenigbaarheden : Hydromorphone hydrochloride              
In dit scherm worden de verenigbaarheden en onverenigbaarheden weergegeven. In het geval van een onverenigbaarheid wordt ook het type (neerslag, kleurverandering, modificatie van een emulsie, etc) weergegeven. De weergegeven verenigbaarheden zijn meestal alleen op uiterlijk beoordeeld, er heeft zelden een chemische beoordeling van iedere component plaatsgevonden. De verenigbaarheden betreffen gelijktijdige toediening aan de patient middels de Y-site. De data kan niet gebruikt worden in de beoordeling van verenigbaarheden van componenten in infuuszakken of spuiten. Die informatie is te vinden onder ‘stabiliteit in mengsels’.
Stof Oplosmiddel Literatuur
Verenigbaar
injecteerbaar geneesmiddel Hydromorphone hydrochloride 0.04 mg/ml
injecteerbaar geneesmiddel Aciclovir sodium 5 mg/ml
Glucose 5% 336
Verenigbaar
injecteerbaar geneesmiddel Hydromorphone hydrochloride 0.5 mg/ml
injecteerbaar geneesmiddel Allopurinol sodium 3 mg/ml
Natriumchloride 0,9% 307
Verenigbaar
injecteerbaar geneesmiddel Hydromorphone hydrochloride 0.5 mg/ml
injecteerbaar geneesmiddel Amifostine 10 mg/ml
Glucose 5% 3
Verenigbaar
injecteerbaar geneesmiddel Hydromorphone hydrochloride 0.2 mg/ml
injecteerbaar geneesmiddel Amikacin sulfate 5 mg/ml
Glucose 5% 405
Verenigbaar
injecteerbaar geneesmiddel Hydromorphone hydrochloride 10 mg/ml
injecteerbaar geneesmiddel Amoxicillin sodium / clavulanic acid 100/10 mg/ml
3824
Verenigbaar
injecteerbaar geneesmiddel Hydromorphone hydrochloride 2 >> 40 mg/ml
injecteerbaar geneesmiddel Ampicillin sodium 20 & 250 mg/ml
Glucose 5% 226
Verenigbaar
injecteerbaar geneesmiddel Hydromorphone hydrochloride 0.5 mg/ml
injecteerbaar geneesmiddel Amsacrine 1 mg/ml
Glucose 5% 253
Verenigbaar
injecteerbaar geneesmiddel Hydromorphone hydrochloride 0.5 mg/ml
injecteerbaar geneesmiddel Anidulafungin 0.5 mg/ml
Glucose 5% 1982
Verenigbaar
injecteerbaar geneesmiddel Hydromorphone hydrochloride 0.5 mg/ml
injecteerbaar geneesmiddel Aztreonam 40 mg/ml
Glucose 5% 99
Verenigbaar
injecteerbaar geneesmiddel Hydromorphone hydrochloride 0.5 mg/ml
injecteerbaar geneesmiddel Bivalirudin 5 mg/ml
Glucose 5% 1713
Onmiddellijke instabiliteit van de emulsie Onverenigbaar
injecteerbaar geneesmiddel Hydromorphone hydrochloride 0.5 mg/ml
Parenterale voeding (met lipiden) 1415
Verenigbaar
injecteerbaar geneesmiddel Hydromorphone hydrochloride 10 mg/ml
Ringer-lactaat 4603
Verlies van troebelheid Onverenigbaar
injecteerbaar geneesmiddel Hydromorphone hydrochloride 0.5 mg/ml
injecteerbaar geneesmiddel Amphotericin B cholesteryl sulfate complex 0.83 mg/ml
Glucose 5% 921
Verenigbaar
injecteerbaar geneesmiddel Hydromorphone hydrochloride 0.2 mg/ml
injecteerbaar geneesmiddel Ampicillin sodium 20 mg/ml
Glucose 5% 405
Verenigbaar
injecteerbaar geneesmiddel Hydromorphone hydrochloride 0.5 mg/ml
injecteerbaar geneesmiddel Atropine sulfate 0.4 mg/ml
Glucose 5% 1974
Verenigbaar
injecteerbaar geneesmiddel Hydromorphone hydrochloride 0,02 & 0,1 mg/ml
injecteerbaar geneesmiddel Bupivacaine hydrochloride 0,625 & 1,25 mg/ml
Natriumchloride 0,9% 306
Verenigbaar
injecteerbaar geneesmiddel Hydromorphone hydrochloride
Glucose 5% 5073
Verenigbaar
injecteerbaar geneesmiddel Hydromorphone hydrochloride 0,02 & 0,04 mg/ml
injecteerbaar geneesmiddel Bupivacaine hydrochloride 2,5 mg/ml
Natriumchloride 0,9% 1931
Verenigbaar
injecteerbaar geneesmiddel Hydromorphone hydrochloride 15 mg/ml
injecteerbaar geneesmiddel Bupivacaine hydrochloride 10 mg/ml
Geen 4200
Verenigbaar
injecteerbaar geneesmiddel Hydromorphone hydrochloride 2,5 mg/ml
Parenterale voeding (met lipiden) 4507
Verenigbaar
injecteerbaar geneesmiddel Hydromorphone hydrochloride 25 mg/ml
injecteerbaar geneesmiddel Bupivacaine hydrochloride 20 mg/ml
Natriumchloride 0,9% 3131
Verenigbaar
injecteerbaar geneesmiddel Hydromorphone hydrochloride 65 mg/ml
injecteerbaar geneesmiddel Bupivacaine hydrochloride 7,5 mg/ml
Geen 221
Verenigbaar
injecteerbaar geneesmiddel Hydromorphone hydrochloride 50 mg/ml
injecteerbaar geneesmiddel Caffeine 10 mg/ml
Geen 3964
Verenigbaar
injecteerbaar geneesmiddel Hydromorphone hydrochloride 1 mg/ml
injecteerbaar geneesmiddel Caspofungin acetate 0,7 mg/ml
Natriumchloride 0,9% 2247
Verenigbaar
injecteerbaar geneesmiddel Hydromorphone hydrochloride 1 mg/ml
injecteerbaar geneesmiddel Caspofungin acetate 0.5 mg/ml
Natriumchloride 0,9% 2233
Verenigbaar
injecteerbaar geneesmiddel Hydromorphone hydrochloride 0.2 mg/ml
injecteerbaar geneesmiddel Cefalotin sodium 20 mg/ml
Glucose 5% 405
Verenigbaar
injecteerbaar geneesmiddel Hydromorphone hydrochloride 0.2 mg/ml
injecteerbaar geneesmiddel Cefamandole nafate 20 mg/ml
Glucose 5% 405
Verenigbaar
injecteerbaar geneesmiddel Hydromorphone hydrochloride 0.2 mg/ml
injecteerbaar geneesmiddel Cefazolin sodium 20 mg/ml
Glucose 5% 405
Verenigbaar
injecteerbaar geneesmiddel Hydromorphone hydrochloride 2 >> 40 mg/ml
injecteerbaar geneesmiddel Cefazolin sodium 20 mg/ml
Glucose 5% 226
Onmiddellijke neerslag Onverenigbaar
injecteerbaar geneesmiddel Hydromorphone hydrochloride 2 >> 40 mg/ml
injecteerbaar geneesmiddel Cefazolin sodium >200 mg/ml
Glucose 5% 226
Verenigbaar
injecteerbaar geneesmiddel Hydromorphone hydrochloride 1 mg/ml
injecteerbaar geneesmiddel Cefiderocol sulfate tosylate 20 mg/mL
Natriumchloride 0,9% 4528
Verenigbaar
injecteerbaar geneesmiddel Hydromorphone hydrochloride 1 mg/ml
injecteerbaar geneesmiddel Cefiderocol sulfate tosylate 20 mg/mL
Glucose 5% 4528
Verenigbaar
injecteerbaar geneesmiddel Hydromorphone hydrochloride 0.2 mg/ml
injecteerbaar geneesmiddel Cefmetazole sodium 100 mg/ml
Water voor injectie 93
Verenigbaar
injecteerbaar geneesmiddel Hydromorphone hydrochloride 0.2 mg/ml
injecteerbaar geneesmiddel Cefoperazone sodium 20 mg/ml
Glucose 5% 405
Verenigbaar
injecteerbaar geneesmiddel Hydromorphone hydrochloride 0.2 mg/ml
injecteerbaar geneesmiddel Ceforanide 20 mg/ml
Glucose 5% 405
Verenigbaar
injecteerbaar geneesmiddel Hydromorphone hydrochloride 0.2 mg/ml
injecteerbaar geneesmiddel Cefotaxime sodium 20 mg/ml
Glucose 5% 405
Verenigbaar
injecteerbaar geneesmiddel Hydromorphone hydrochloride 0.2 mg/ml
injecteerbaar geneesmiddel Cefoxitin sodium 20 mg/ml
Glucose 5% 405
Verenigbaar
injecteerbaar geneesmiddel Hydromorphone hydrochloride 0,5 mg/ml
injecteerbaar geneesmiddel Ceftaroline fosamil 2,22 mg/ml
Ringer-lactaat 3249
Verenigbaar
injecteerbaar geneesmiddel Hydromorphone hydrochloride 0,5 mg/ml
injecteerbaar geneesmiddel Ceftaroline fosamil 2,22 mg/ml
Glucose 5% 3249
Verenigbaar
injecteerbaar geneesmiddel Hydromorphone hydrochloride 0,5 mg/ml
injecteerbaar geneesmiddel Ceftaroline fosamil 2,22 mg/ml
Natriumchloride 0,9% 3249
Verenigbaar
injecteerbaar geneesmiddel Hydromorphone hydrochloride 2 >> 40 mg/ml
injecteerbaar geneesmiddel Ceftazidime 40 & 180 mg/ml
Glucose 5% 226
Verenigbaar
injecteerbaar geneesmiddel Hydromorphone hydrochloride 0.2 mg/ml
injecteerbaar geneesmiddel Ceftizoxime sodium 20 mg/ml
Glucose 5% 405
Onmiddellijke neerslag Onverenigbaar
injecteerbaar geneesmiddel Hydromorphone hydrochloride 1 mg/ml
injecteerbaar geneesmiddel Ceftobiprole medocaril sodium 2 mg/ml
Natriumchloride 0,9% 2269
Onmiddellijke neerslag Onverenigbaar
injecteerbaar geneesmiddel Hydromorphone hydrochloride 1 mg/ml
injecteerbaar geneesmiddel Ceftobiprole medocaril sodium 2 mg/ml
Ringer-lactaat 2269
Niet-gespecificeerde incompatibiliteit Onverenigbaar
injecteerbaar geneesmiddel Hydromorphone hydrochloride
injecteerbaar geneesmiddel Ceftobiprole medocaril sodium
4650
Onmiddellijke neerslag Onverenigbaar
injecteerbaar geneesmiddel Hydromorphone hydrochloride 1 mg/ml
injecteerbaar geneesmiddel Ceftobiprole medocaril sodium 2 mg/ml
Glucose 5% 2269
Verenigbaar
injecteerbaar geneesmiddel Hydromorphone hydrochloride 1 mg/ml
injecteerbaar geneesmiddel Ceftolozane / tazobactam 10/5 mg/ml
Glucose 5% 3828
Verenigbaar
injecteerbaar geneesmiddel Hydromorphone hydrochloride 1 mg/ml
injecteerbaar geneesmiddel Ceftolozane / tazobactam 10/5 mg/ml
Natriumchloride 0,9% 3828
Verenigbaar
injecteerbaar geneesmiddel Hydromorphone hydrochloride 0.2 mg/ml
injecteerbaar geneesmiddel Cefuroxime sodium 30 mg/ml
Glucose 5% 405
Verenigbaar
injecteerbaar geneesmiddel Hydromorphone hydrochloride 0.2 mg/ml
injecteerbaar geneesmiddel Chloramphenicol sodium succinate 20 mg/ml
Glucose 5% 405
Verenigbaar
injecteerbaar geneesmiddel Hydromorphone hydrochloride 0.5 mg/ml
injecteerbaar geneesmiddel Cisatracurium besylate 0.1 >> 5 mg/ml
Glucose 5% 299
Verenigbaar
injecteerbaar geneesmiddel Hydromorphone hydrochloride 0.5 mg/ml
injecteerbaar geneesmiddel Cladribine 0.015 mg/ml
Natriumchloride 0,9% 1496
Verenigbaar
injecteerbaar geneesmiddel Hydromorphone hydrochloride 0.5 mg/ml
injecteerbaar geneesmiddel Cladribine 0.5 mg/ml
NaCl 0,9% (geconserveerd) 1496
Verenigbaar
injecteerbaar geneesmiddel Hydromorphone hydrochloride 10 mg/ml
injecteerbaar geneesmiddel Cloxacillin sodium 100 mg/ml
Water voor injectie 3012
Verenigbaar
injecteerbaar geneesmiddel Hydromorphone hydrochloride 0.2 mg/ml
injecteerbaar geneesmiddel Co-trimoxazole 4/0.8 mg/ml
Glucose 5% 405
Verenigbaar
injecteerbaar geneesmiddel Hydromorphone hydrochloride < 10 mg/ml
injecteerbaar geneesmiddel Dexamethasone sodium phosphate 2 >> 10 mg/ml
389
Verenigbaar
injecteerbaar geneesmiddel Hydromorphone hydrochloride 0.5 mg/ml
injecteerbaar geneesmiddel Dexamethasone sodium phosphate 1 mg/ml
Glucose 5% 1974
Verenigbaar
injecteerbaar geneesmiddel Hydromorphone hydrochloride 1 >> 40 mg/ml
injecteerbaar geneesmiddel Dexamethasone sodium phosphate < 2 mg/ml
389
Verenigbaar
injecteerbaar geneesmiddel Hydromorphone hydrochloride 0.5 mg/ml
injecteerbaar geneesmiddel Dexmedetomidine 4 µg/ml
Natriumchloride 0,9% 1712
Neerslag na 2 uur Onverenigbaar
injecteerbaar geneesmiddel Hydromorphone hydrochloride
injecteerbaar geneesmiddel Dimenhydrinate
2087
Verenigbaar
injecteerbaar geneesmiddel Hydromorphone hydrochloride 0.5 mg/ml
Parenterale voeding (zonder vet) 301
Verenigbaar
injecteerbaar geneesmiddel Hydromorphone hydrochloride 2 mg/ml
injecteerbaar geneesmiddel Cimetidine hydrochloride 150 mg/ml
1438
Verenigbaar
injecteerbaar geneesmiddel Hydromorphone hydrochloride 0.2 mg/ml
injecteerbaar geneesmiddel Clindamycin phosphate 12 mg/ml
Glucose 5% 405
Onmiddellijke neerslag Onverenigbaar
injecteerbaar geneesmiddel Hydromorphone hydrochloride 2 >> 40 mg/ml
injecteerbaar geneesmiddel Cloxacillin sodium 40 & 250 mg/ml
Glucose 5% 226
Onmiddellijke neerslag Onverenigbaar
injecteerbaar geneesmiddel Hydromorphone hydrochloride
injecteerbaar geneesmiddel Cyclizine lactate
5073
Verenigbaar
injecteerbaar geneesmiddel Hydromorphone hydrochloride
injecteerbaar geneesmiddel Dexamethasone sodium phosphate
5073
Onmiddellijke neerslag Onverenigbaar
injecteerbaar geneesmiddel Hydromorphone hydrochloride > 15 mg/ml
injecteerbaar geneesmiddel Dexamethasone sodium phosphate > 3 mg/ml
389
Verenigbaar
injecteerbaar geneesmiddel Hydromorphone hydrochloride 0.5 mg/ml
injecteerbaar geneesmiddel Diazepam 0.5 mg/ml
Glucose 5% 1974
Onmiddellijke neerslag Onverenigbaar
injecteerbaar geneesmiddel Hydromorphone hydrochloride 2 >> 40 mg/ml
injecteerbaar geneesmiddel Diazepam 5 mg/ml
Glucose 5% 226
Verenigbaar
injecteerbaar geneesmiddel Hydromorphone hydrochloride 1 mg/ml
injecteerbaar geneesmiddel Diltiazem hydrochloride 1 mg/ml
314
Verenigbaar
injecteerbaar geneesmiddel Hydromorphone hydrochloride 2 >> 40 mg/ml
injecteerbaar geneesmiddel Dimenhydrinate 50 mg/ml
Geen 1497
Verenigbaar
injecteerbaar geneesmiddel Hydromorphone hydrochloride 0.5 mg/ml
injecteerbaar geneesmiddel Diphenhydramine hydrochloride 2 mg/ml
Glucose 5% 1974
Verenigbaar
injecteerbaar geneesmiddel Hydromorphone hydrochloride 1 mg/ml
injecteerbaar geneesmiddel Dobutamine hydrochloride 4 mg/ml
314
Verenigbaar
injecteerbaar geneesmiddel Hydromorphone hydrochloride 0.5 mg/ml
injecteerbaar geneesmiddel Docetaxel 0.9 mg/ml
Glucose 5% 1754
Verenigbaar
injecteerbaar geneesmiddel Hydromorphone hydrochloride 1 mg/ml
injecteerbaar geneesmiddel Dopamine hydrochloride 3.2 mg/ml
314
Verenigbaar
injecteerbaar geneesmiddel Hydromorphone hydrochloride 1 mg/ml
injecteerbaar geneesmiddel Doripenem 5 mg/ml
Glucose 5% 2262
Verenigbaar
injecteerbaar geneesmiddel Hydromorphone hydrochloride 1 mg/ml
injecteerbaar geneesmiddel Doripenem 5 mg/ml
Natriumchloride 0,9% 2262
Verenigbaar
injecteerbaar geneesmiddel Hydromorphone hydrochloride 0.5 mg/ml
injecteerbaar geneesmiddel Doxorubicin hydrochloride liposome peg 0.4 mg/ml
Glucose 5% 251
Verenigbaar
injecteerbaar geneesmiddel Hydromorphone hydrochloride 0.2 mg/ml
injecteerbaar geneesmiddel Doxycycline hyclate 1 mg/ml
Glucose 5% 405
Verenigbaar
injecteerbaar geneesmiddel Hydromorphone hydrochloride 1 mg/ml
injecteerbaar geneesmiddel Epinephrine hydrochloride 20 µg/ml
314
Verenigbaar
injecteerbaar geneesmiddel Hydromorphone hydrochloride 1 mg/ml
injecteerbaar geneesmiddel Eravacycline 0,6 mg/ml
Natriumchloride 0,9% 4434
Verenigbaar
injecteerbaar geneesmiddel Hydromorphone hydrochloride 0.2 mg/ml
injecteerbaar geneesmiddel Erythromycin lactobionate 5 mg/ml
Glucose 5% 405
Verenigbaar
injecteerbaar geneesmiddel Hydromorphone hydrochloride 0.5 mg/ml
injecteerbaar geneesmiddel Etoposide phosphate 5 mg/ml
Glucose 5% 1410
Verenigbaar
injecteerbaar geneesmiddel Hydromorphone hydrochloride 0.5 mg/ml
injecteerbaar geneesmiddel Famotidine 2 mg/ml
Natriumchloride 0,9% 215
Verenigbaar
injecteerbaar geneesmiddel Hydromorphone hydrochloride 0.5 mg/ml
injecteerbaar geneesmiddel Fenoldopam mesylate 80 µg/ml
Natriumchloride 0,9% 1803
Verenigbaar
injecteerbaar geneesmiddel Hydromorphone hydrochloride 1 mg/ml
injecteerbaar geneesmiddel Fentanyl citrate 50 µg/ml
314
Verenigbaar
injecteerbaar geneesmiddel Hydromorphone hydrochloride 0.5 mg/ml
injecteerbaar geneesmiddel Filgrastim 30 µg/ml
Glucose 5% 244
Verenigbaar
injecteerbaar geneesmiddel Hydromorphone hydrochloride 0.5 mg/ml
injecteerbaar geneesmiddel Fludarabine phosphate 1 mg/ml
Glucose 5% 492
Verenigbaar
injecteerbaar geneesmiddel Hydromorphone hydrochloride 0.5 mg/ml
injecteerbaar geneesmiddel Fluorouracil 1 & 16 mg/ml
Glucose 5% 513
Verenigbaar
injecteerbaar geneesmiddel Hydromorphone hydrochloride 0.5 mg/ml
injecteerbaar geneesmiddel Fluorouracil 1 & 16 mg/ml
Natriumchloride 0,9% 513
Verenigbaar
injecteerbaar geneesmiddel Hydromorphone hydrochloride 10 mg/ml
injecteerbaar geneesmiddel Foscarnet sodium 24 mg/ml
Geen 73
Verenigbaar
injecteerbaar geneesmiddel Hydromorphone hydrochloride 1 mg/ml
injecteerbaar geneesmiddel Fosfomycin 30 mg/ml
Glucose 5% 4055
Verenigbaar
injecteerbaar geneesmiddel Hydromorphone hydrochloride 1 mg/ml
injecteerbaar geneesmiddel Fosfomycin 30 mg/ml
Natriumchloride 0,9% 4055
Verenigbaar
injecteerbaar geneesmiddel Hydromorphone hydrochloride 1 mg/ml
injecteerbaar geneesmiddel Furosemide 10 mg/ml
314
Troebelheid in 24 uur Onverenigbaar
injecteerbaar geneesmiddel Hydromorphone hydrochloride 4 mg/ml
injecteerbaar geneesmiddel Gallium nitrate 1 mg/ml
Natriumchloride 0,9% 91
Verenigbaar
injecteerbaar geneesmiddel Hydromorphone hydrochloride 0.5 mg/ml
injecteerbaar geneesmiddel Gemcitabine hydrochloride 10 mg/ml
Natriumchloride 0,9% 1423
Verenigbaar
injecteerbaar geneesmiddel Hydromorphone hydrochloride 0.2 mg/ml
injecteerbaar geneesmiddel Gentamicin sulfate 0.8 mg/ml
Glucose 5% 405
Verenigbaar
injecteerbaar geneesmiddel Hydromorphone hydrochloride
injecteerbaar geneesmiddel Glycopyrronium bromide
5073
Verenigbaar
injecteerbaar geneesmiddel Hydromorphone hydrochloride 0.5 mg/ml
injecteerbaar geneesmiddel Granisetron hydrochloride 0.056 mg/ml
Natriumchloride 0,9% 6
Verenigbaar
injecteerbaar geneesmiddel Hydromorphone hydrochloride 0.5 mg/ml
injecteerbaar geneesmiddel Granisetron hydrochloride 1 mg/ml
Natriumchloride 0,9% 57
Verenigbaar
injecteerbaar geneesmiddel Hydromorphone hydrochloride 0.5 mg/ml
injecteerbaar geneesmiddel Granisetron hydrochloride 0.05 mg/ml
Glucose 5% 182
Verenigbaar
injecteerbaar geneesmiddel Hydromorphone hydrochloride 10 mg/ml
injecteerbaar geneesmiddel Haloperidol lactate 1 mg/ml
Geen 216
Verenigbaar
injecteerbaar geneesmiddel Hydromorphone hydrochloride 10 mg/ml
injecteerbaar geneesmiddel Haloperidol lactate 5 mg/ml
Geen 216
Verenigbaar
injecteerbaar geneesmiddel Hydromorphone hydrochloride 1 mg/ml
injecteerbaar geneesmiddel Haloperidol lactate 5 mg/ml
Geen 216
Verenigbaar
injecteerbaar geneesmiddel Hydromorphone hydrochloride 1 mg/ml
injecteerbaar geneesmiddel Haloperidol lactate 2 mg/ml
Geen 216
Verenigbaar
injecteerbaar geneesmiddel Hydromorphone hydrochloride 1 mg/ml
injecteerbaar geneesmiddel Haloperidol lactate 1 mg/ml
Geen 216
Verenigbaar
injecteerbaar geneesmiddel Hydromorphone hydrochloride 0.5 mg/ml
injecteerbaar geneesmiddel Haloperidol lactate 0.2 mg/ml
Glucose 5% 1974
Verenigbaar
injecteerbaar geneesmiddel Hydromorphone hydrochloride
injecteerbaar geneesmiddel Haloperidol lactate
5073
Verenigbaar
injecteerbaar geneesmiddel Hydromorphone hydrochloride 10 mg/ml
injecteerbaar geneesmiddel Haloperidol lactate 2 mg/ml
Geen 216
Verenigbaar
injecteerbaar geneesmiddel Hydromorphone hydrochloride <12.5 mg/ml
injecteerbaar geneesmiddel Heparin sodium
Water voor injectie 66
Verenigbaar
injecteerbaar geneesmiddel Hydromorphone hydrochloride <12.5 mg/ml
injecteerbaar geneesmiddel Heparin sodium
Natriumchloride 0,9% 66
Verenigbaar
injecteerbaar geneesmiddel Hydromorphone hydrochloride 1 mg/ml
injecteerbaar geneesmiddel Heparin sodium 100 UI/ml
314
Onmiddellijke neerslag Onverenigbaar
injecteerbaar geneesmiddel Hydromorphone hydrochloride >25 mg/ml
injecteerbaar geneesmiddel Heparin sodium <12,5 UI/ml
Water voor injectie 66
Onmiddellijke neerslag Onverenigbaar
injecteerbaar geneesmiddel Hydromorphone hydrochloride >10 mg/ml
injecteerbaar geneesmiddel Heparin sodium <1 UI/ml
Water voor injectie 66
Onmiddellijke neerslag Onverenigbaar
injecteerbaar geneesmiddel Hydromorphone hydrochloride >25 mg/ml
injecteerbaar geneesmiddel Heparin sodium <12,5 UI/ml
Natriumchloride 0,9% 66
Verenigbaar
injecteerbaar geneesmiddel Hydromorphone hydrochloride 0.5 mg/ml
injecteerbaar geneesmiddel Hetastarch 60 mg/ml
specifieke solvent 1721
Chemische instabiliteit Onverenigbaar
injecteerbaar geneesmiddel Hydromorphone hydrochloride 2 >> 40 mg/ml
injecteerbaar geneesmiddel Hyaluronidase 150 UI/ml
Glucose 5% 9
Verenigbaar
injecteerbaar geneesmiddel Hydromorphone hydrochloride
injecteerbaar geneesmiddel Hyaluronidase
3184
Chemische instabiliteit Onverenigbaar
injecteerbaar geneesmiddel Hydromorphone hydrochloride 2 >> 40 mg/ml
injecteerbaar geneesmiddel Hyaluronidase 150 UI/ml
Natriumchloride 0,9% 9
Verenigbaar
injecteerbaar geneesmiddel Hydromorphone hydrochloride 0.5 mg/ml
injecteerbaar geneesmiddel Hydroxyzine dihydrochloride 4 mg/ml
Glucose 5% 1974
Verenigbaar
injecteerbaar geneesmiddel Hydromorphone hydrochloride 1 mg/ml
injecteerbaar geneesmiddel Isavuconazonium sulfate 1.5 mg/ml
Natriumchloride 0,9% 3829
Verenigbaar
injecteerbaar geneesmiddel Hydromorphone hydrochloride 1 mg/ml
injecteerbaar geneesmiddel Isavuconazonium sulfate 1.5 mg/ml
Glucose 5% 3829
Verenigbaar
injecteerbaar geneesmiddel Hydromorphone hydrochloride 0.2 mg/ml
injecteerbaar geneesmiddel Kanamycin sulfate 2.5 mg/ml
Glucose 5% 405
Verenigbaar
injecteerbaar geneesmiddel Hydromorphone hydrochloride
injecteerbaar geneesmiddel Ketamine hydrochloride
5073
Verenigbaar
injecteerbaar geneesmiddel Hydromorphone hydrochloride 0.2 mg/ml
injecteerbaar geneesmiddel Ketamine hydrochloride 0.2 >> 1 mg/ml
Natriumchloride 0,9% 2336
Verenigbaar
injecteerbaar geneesmiddel Hydromorphone hydrochloride 0.5 mg/ml
injecteerbaar geneesmiddel Ketorolac tromethamine 1 mg/ml
Glucose 5% 1974
Verenigbaar
injecteerbaar geneesmiddel Hydromorphone hydrochloride 10 mg/ml
injecteerbaar geneesmiddel Ketorolac tromethamine 15 mg/ml
Geen 216
Verenigbaar
injecteerbaar geneesmiddel Hydromorphone hydrochloride 1 mg/ml
injecteerbaar geneesmiddel Ketorolac tromethamine 30 mg/ml
Geen 216
Verenigbaar
injecteerbaar geneesmiddel Hydromorphone hydrochloride 1 mg/ml
injecteerbaar geneesmiddel Ketorolac tromethamine 15 mg/ml
Geen 216
Onmiddellijke neerslag Onverenigbaar
injecteerbaar geneesmiddel Hydromorphone hydrochloride 10 mg/ml
injecteerbaar geneesmiddel Ketorolac tromethamine 30 mg/ml
Geen 216
Verenigbaar
injecteerbaar geneesmiddel Hydromorphone hydrochloride 1 mg/ml
injecteerbaar geneesmiddel Labetalol hydrochloride 2 mg/ml
314
Neerslag na 1 uur Onverenigbaar
injecteerbaar geneesmiddel Hydromorphone hydrochloride 0.5 mg/ml
injecteerbaar geneesmiddel Lansoprazole 0.55 mg/ml
Natriumchloride 0,9% 1625
Verenigbaar
injecteerbaar geneesmiddel Hydromorphone hydrochloride 2 mg/ml
injecteerbaar geneesmiddel Levofloxacine 5 mg/ml
Geen 2335
Verenigbaar
injecteerbaar geneesmiddel Hydromorphone hydrochloride
injecteerbaar geneesmiddel Levomepromazine
5073
Verenigbaar
injecteerbaar geneesmiddel Hydromorphone hydrochloride 10 mg/ml
injecteerbaar geneesmiddel Levosimendan 2,5 mg/ml
4389
Verenigbaar
injecteerbaar geneesmiddel Hydromorphone hydrochloride 0.5 mg/ml
injecteerbaar geneesmiddel Linezolid 2 mg/ml
Geen 1925
Verenigbaar
injecteerbaar geneesmiddel Hydromorphone hydrochloride 0.5 mg/ml
injecteerbaar geneesmiddel Lorazepam 0.1 mg/ml
Glucose 5% 1974
Verenigbaar
injecteerbaar geneesmiddel Hydromorphone hydrochloride 2 >> 40 mg/ml
injecteerbaar geneesmiddel Lorazepam 4 mg/ml
Geen 1497
Verenigbaar
injecteerbaar geneesmiddel Hydromorphone hydrochloride 1 mg/ml
injecteerbaar geneesmiddel Lorazepam 0.5 mg/ml
314
Verenigbaar
injecteerbaar geneesmiddel Hydromorphone hydrochloride 2 mg/ml
injecteerbaar geneesmiddel Magnesium sulfate 16,67 >> 100 mg/ml
Glucose 5% 517
Verenigbaar
injecteerbaar geneesmiddel Hydromorphone hydrochloride 0.5 mg/ml
injecteerbaar geneesmiddel Melphalan 0.1 mg/ml
Natriumchloride 0,9% 169
Verenigbaar
injecteerbaar geneesmiddel Hydromorphone hydrochloride 10 mg/ml
injecteerbaar geneesmiddel Meropenem 50 mg/ml
Water voor injectie 4319
Chemische instabiliteit Onverenigbaar
injecteerbaar geneesmiddel Hydromorphone hydrochloride
injecteerbaar geneesmiddel Metamizol sodium
2364
Verenigbaar
injecteerbaar geneesmiddel Hydromorphone hydrochloride
injecteerbaar geneesmiddel Metoclopramide hydrochloride
5073
Verenigbaar
injecteerbaar geneesmiddel Hydromorphone hydrochloride 0.5 mg/ml
injecteerbaar geneesmiddel Metoclopramide hydrochloride 5 mg/ml
Glucose 5% 1974
Verenigbaar
injecteerbaar geneesmiddel Hydromorphone hydrochloride 0.2 mg/ml
injecteerbaar geneesmiddel Metronidazole 5 mg/ml
Glucose 5% 405
Verenigbaar
injecteerbaar geneesmiddel Hydromorphone hydrochloride 0.5 mg/ml
injecteerbaar geneesmiddel Micafungin 1.5 mg/ml
Natriumchloride 0,9% 2108
Verenigbaar
injecteerbaar geneesmiddel Hydromorphone hydrochloride
injecteerbaar geneesmiddel Midazolam hydrochloride
5073
Verenigbaar
injecteerbaar geneesmiddel Hydromorphone hydrochloride 0.5 mg/ml
injecteerbaar geneesmiddel Midazolam hydrochloride 0.2 mg/ml
Glucose 5% 1974
Verenigbaar
injecteerbaar geneesmiddel Hydromorphone hydrochloride 0.5 >> 45 mg/ml
injecteerbaar geneesmiddel Midazolam hydrochloride 0.1 >> 4.5 mg/ml
Glucose 5% 345
Verenigbaar
injecteerbaar geneesmiddel Hydromorphone hydrochloride 1 mg/ml
injecteerbaar geneesmiddel Midazolam hydrochloride 2 mg/ml
314
Verenigbaar
injecteerbaar geneesmiddel Hydromorphone hydrochloride 0.5 >> 45 mg/ml
injecteerbaar geneesmiddel Midazolam hydrochloride 0.1 >> 4.5 mg/ml
Natriumchloride 0,9% 345
Verenigbaar
injecteerbaar geneesmiddel Hydromorphone hydrochloride 1 mg/ml
injecteerbaar geneesmiddel Milrinone lactate 0.2 mg/ml
314
Kleurverandering na 1 uur Onverenigbaar
injecteerbaar geneesmiddel Hydromorphone hydrochloride 0.2 mg/ml
injecteerbaar geneesmiddel Minocycline hydrochloride 0.2 mg/ml
Glucose 5% 405
Verenigbaar
injecteerbaar geneesmiddel Hydromorphone hydrochloride 1 mg/ml
injecteerbaar geneesmiddel Morphine sulfate 2 mg/ml
314
Verenigbaar
injecteerbaar geneesmiddel Hydromorphone hydrochloride 0.2 mg/ml
injecteerbaar geneesmiddel Moxalactam 20 mg/ml
Glucose 5% 405
Verenigbaar
injecteerbaar geneesmiddel Hydromorphone hydrochloride 0.2 mg/ml
injecteerbaar geneesmiddel Nafcillin sodium 20 mg/ml
Glucose 5% 405
Verenigbaar
injecteerbaar geneesmiddel Hydromorphone hydrochloride 10 mg/ml
injecteerbaar geneesmiddel Naloxone hydrochloride 0.4 mg/ml
Geen 3408
Verenigbaar
injecteerbaar geneesmiddel Hydromorphone hydrochloride 1 mg/ml
injecteerbaar geneesmiddel Nicardipine hydrochloride 1 mg/ml
314
Verenigbaar
injecteerbaar geneesmiddel Hydromorphone hydrochloride 1 mg/ml
injecteerbaar geneesmiddel Nitroglycerin 0.4 mg/ml
314
Verenigbaar
injecteerbaar geneesmiddel Hydromorphone hydrochloride 1 mg/ml
injecteerbaar geneesmiddel Norepinephrine bitartrate 0.128 mg/ml
314
Verenigbaar
injecteerbaar geneesmiddel Hydromorphone hydrochloride 0,5 mg/ml
injecteerbaar geneesmiddel Ondansetron hydrochloride 0,1 & 1 mg/ml
Natriumchloride 0,9% 6
Verenigbaar
injecteerbaar geneesmiddel Hydromorphone hydrochloride 0.5 mg/ml
injecteerbaar geneesmiddel Ondansetron hydrochloride 1 mg/ml
Natriumchloride 0,9% 334
Verenigbaar
injecteerbaar geneesmiddel Hydromorphone hydrochloride 0.2 mg/ml
injecteerbaar geneesmiddel Oxacillin sodium 20 mg/ml
Glucose 5% 405
Verenigbaar
injecteerbaar geneesmiddel Hydromorphone hydrochloride 0,5 mg/ml
injecteerbaar geneesmiddel Oxaliplatin 0,5 mg/ml
Glucose 5% 1662
Verenigbaar
injecteerbaar geneesmiddel Hydromorphone hydrochloride 0.5 mg/ml
injecteerbaar geneesmiddel Paclitaxel 1.2 mg/ml
Glucose 5% 248
Verenigbaar
injecteerbaar geneesmiddel Hydromorphone hydrochloride 0.5 mg/ml
injecteerbaar geneesmiddel Palonosetron hydrochloride 50 µg/ml
Glucose 5% 2196
Neerslag na 4 uur Onverenigbaar
injecteerbaar geneesmiddel Hydromorphone hydrochloride
injecteerbaar geneesmiddel Pantoprazole sodium
2090
Verenigbaar
injecteerbaar geneesmiddel Hydromorphone hydrochloride 10 mg/ml
injecteerbaar geneesmiddel Paracetamol 10 mg/ml
4742
Verenigbaar
injecteerbaar geneesmiddel Hydromorphone hydrochloride 2 mg/ml
injecteerbaar geneesmiddel Paracetamol 10 mg/ml
Geen 3571
Niet-gespecificeerde incompatibiliteit Onverenigbaar
injecteerbaar geneesmiddel Hydromorphone hydrochloride
injecteerbaar geneesmiddel Parecoxib sodium
3504
Verenigbaar
injecteerbaar geneesmiddel Hydromorphone hydrochloride 0.5 mg/ml
injecteerbaar geneesmiddel Pemetrexed disodium 20 mg/ml
Natriumchloride 0,9% 1953
Verenigbaar
injecteerbaar geneesmiddel Hydromorphone hydrochloride 0.2 mg/ml
injecteerbaar geneesmiddel Penicillin G potassium 0.1 MUI/ml
Glucose 5% 405
Onmiddellijke neerslag Onverenigbaar
injecteerbaar geneesmiddel Hydromorphone hydrochloride 2 >> 40 mg/ml
injecteerbaar geneesmiddel Phenobarbital sodium 120 mg/ml
Glucose 5% 226
Verenigbaar
injecteerbaar geneesmiddel Hydromorphone hydrochloride 0.5 mg/ml
injecteerbaar geneesmiddel Phenobarbital sodium 2 mg/ml
Glucose 5% 1974
Onmiddellijke neerslag Onverenigbaar
injecteerbaar geneesmiddel Hydromorphone hydrochloride 2 >> 40 mg/ml
injecteerbaar geneesmiddel Phenytoin sodium 50 mg/ml
Glucose 5% 226
Neerslag na 1 uur Onverenigbaar
injecteerbaar geneesmiddel Hydromorphone hydrochloride 0.5 mg/ml
injecteerbaar geneesmiddel Phenytoin sodium 2 mg/ml
Glucose 5% 1974
Verenigbaar
injecteerbaar geneesmiddel Hydromorphone hydrochloride 0.2 mg/ml
injecteerbaar geneesmiddel Piperacillin sodium 60 mg/ml
Glucose 5% 405
Verenigbaar
injecteerbaar geneesmiddel Hydromorphone hydrochloride 0.5 mg/ml
injecteerbaar geneesmiddel Piperacillin sodium / tazobactam 40/5 mg/ml
Glucose 5% 81
Verenigbaar
injecteerbaar geneesmiddel Hydromorphone hydrochloride 1 mg/ml
injecteerbaar geneesmiddel Plazomicin sulfate 24 mg/ml
Natriumchloride 0,9% 4145
Verenigbaar
injecteerbaar geneesmiddel Hydromorphone hydrochloride
injecteerbaar geneesmiddel Posaconazole
4380
Verenigbaar
injecteerbaar geneesmiddel Hydromorphone hydrochloride 25 mg/ml
injecteerbaar geneesmiddel Potassium chloride 1000 mEq/l
Water voor injectie 66
Verenigbaar
injecteerbaar geneesmiddel Hydromorphone hydrochloride 5 >> 20 mg/ml
injecteerbaar geneesmiddel Potassium chloride 500 & 1000 mEq/l
Glucose 5% 66
Verenigbaar
injecteerbaar geneesmiddel Hydromorphone hydrochloride 2 >> 40 mg/ml
injecteerbaar geneesmiddel Prochlorperazine edysilate 5 mg/ml
Geen 1497
Verenigbaar
injecteerbaar geneesmiddel Hydromorphone hydrochloride 0,5 mg/ml
injecteerbaar geneesmiddel Prochlorperazine edysilate 1,5 mg/ml
Natriumchloride 0,9% 767
Verenigbaar
injecteerbaar geneesmiddel Hydromorphone hydrochloride 1 mg/ml
injecteerbaar geneesmiddel Promethazine hydrochloride 0.3 mg/ml
Natriumchloride 0,9% 795
Verenigbaar
injecteerbaar geneesmiddel Hydromorphone hydrochloride 0.5 mg/ml
injecteerbaar geneesmiddel Propofol 10 mg/ml
Geen 300
Verenigbaar
injecteerbaar geneesmiddel Hydromorphone hydrochloride 1 mg/ml
injecteerbaar geneesmiddel Ranitidine hydrochloride 1 mg/ml
314
Verenigbaar
injecteerbaar geneesmiddel Hydromorphone hydrochloride 2 mg/ml
injecteerbaar geneesmiddel Ranitidine hydrochloride 25 mg/ml
Geen 58
Verenigbaar
injecteerbaar geneesmiddel Hydromorphone hydrochloride 1 mg/ml
injecteerbaar geneesmiddel Remdesivir 1 mg/ml
Natriumchloride 0,9% 4768
Verenigbaar
injecteerbaar geneesmiddel Hydromorphone hydrochloride 10 mg/ml
injecteerbaar geneesmiddel Salbutamol sulfate 1 mg/ml
Geen 3216
Neerslag na 30 minuten Onverenigbaar
injecteerbaar geneesmiddel Hydromorphone hydrochloride 0.5 mg/ml
injecteerbaar geneesmiddel Sargramostim 10 µg/ml
Natriumchloride 0,9% 335
Verenigbaar
injecteerbaar geneesmiddel Hydromorphone hydrochloride 0.5 mg/ml
injecteerbaar geneesmiddel Scopolamine hydrobromide 0.05 mg/ml
Glucose 5% 1974
Verenigbaar
injecteerbaar geneesmiddel Hydromorphone hydrochloride
injecteerbaar geneesmiddel Scopolamine hydrobromide
5073
Verenigbaar
injecteerbaar geneesmiddel Hydromorphone hydrochloride 0,1 & 1 mg/ml
injecteerbaar geneesmiddel Tacrolimus 5 & 20 µg/ml
Glucose 5% 814
Verenigbaar
injecteerbaar geneesmiddel Hydromorphone hydrochloride 1 mg/ml
injecteerbaar geneesmiddel Tedizolid phosphate 0.8 mg/ml
Natriumchloride 0,9% 3827
Verenigbaar
injecteerbaar geneesmiddel Hydromorphone hydrochloride 0.5 mg/ml
injecteerbaar geneesmiddel Teniposide 0.1 mg/ml
Glucose 5% 905
Onmiddellijke neerslag Onverenigbaar
injecteerbaar geneesmiddel Hydromorphone hydrochloride 10 mg/ml
injecteerbaar geneesmiddel Thiopental sodium 25 mg/ml
Natriumchloride 0,9% 3767
Neerslag na 4 uur Onverenigbaar
injecteerbaar geneesmiddel Hydromorphone hydrochloride 1 mg/ml
injecteerbaar geneesmiddel Thiopental sodium 25 mg/ml
314
Verenigbaar
injecteerbaar geneesmiddel Hydromorphone hydrochloride 0.5 mg/ml
injecteerbaar geneesmiddel Thiotepa 1 mg/ml
Glucose 5% 249
Verenigbaar
injecteerbaar geneesmiddel Hydromorphone hydrochloride
Natriumchloride 0,9% 5073
Verenigbaar
injecteerbaar geneesmiddel Hydromorphone hydrochloride
injecteerbaar geneesmiddel Scopolamine N-butyl bromide
5073
Verenigbaar
injecteerbaar geneesmiddel Hydromorphone hydrochloride 1 mg/ml
injecteerbaar geneesmiddel Sulbactam/durlobactam 15/15 mg/ml
Natriumchloride 0,9% 4801
Verenigbaar
injecteerbaar geneesmiddel Hydromorphone hydrochloride 0.2 mg/ml
injecteerbaar geneesmiddel Tobramycin sulfate 0.8 mg/ml
Glucose 5% 405
Verenigbaar
injecteerbaar geneesmiddel Hydromorphone hydrochloride 0.2 mg/ml
injecteerbaar geneesmiddel Vancomycin hydrochloride 5 mg/ml
Glucose 5% 405
Verenigbaar
injecteerbaar geneesmiddel Hydromorphone hydrochloride 2 mg/ml
injecteerbaar geneesmiddel Vancomycin hydrochloride 4 mg/ml
Natriumchloride 0,9% 2335
Verenigbaar
injecteerbaar geneesmiddel Hydromorphone hydrochloride 1 mg/ml
injecteerbaar geneesmiddel Vecuronium bromide 1 mg/ml
314
Verenigbaar
injecteerbaar geneesmiddel Hydromorphone hydrochloride 0.016 mg/ml
injecteerbaar geneesmiddel Verapamil hydrochloride 0.08 mg/ml
Natriumchloride 0,9% 1057
Verenigbaar
injecteerbaar geneesmiddel Hydromorphone hydrochloride 0.016 mg/ml
injecteerbaar geneesmiddel Verapamil hydrochloride 0.08 mg/ml
Glucose 5% 1057
Verenigbaar
injecteerbaar geneesmiddel Hydromorphone hydrochloride 0.5 mg/ml
injecteerbaar geneesmiddel Vinorelbine tartrate 1 mg/ml
Natriumchloride 0,9% 84

  Mentions Légales