最新更新 :
18/03/2026
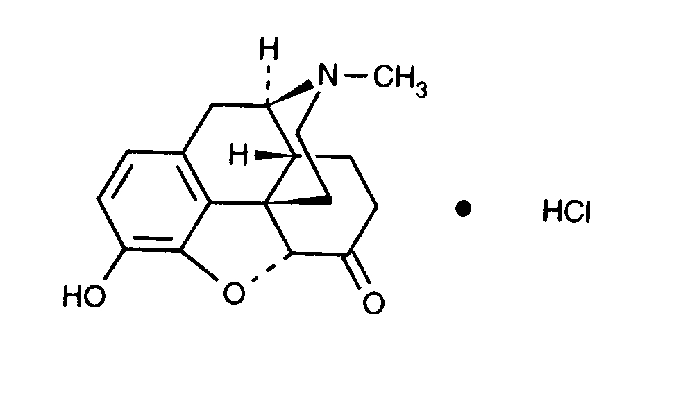
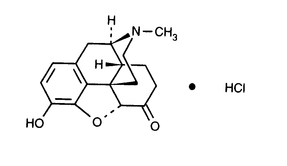
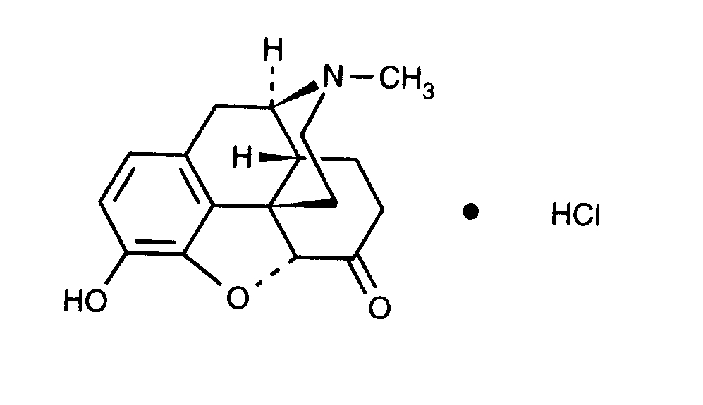
鎮痛薬   Hydromorphone hydrochloride  
注射薬
溶媒内の安定性 混合時の安定性 安定性に影響する因子 互換性 投与経路 引用文献 PDF
   化学構造  

商品名   商品名     

商品名、賦形剤は国、製薬会社ごとに異なることがあります

Dilaudid アメリカ, カナダ
Hydal オーストリア
Palladon スイス, デンマーク
Palladone イギリス
互換性   注射薬   互換性 : Hydromorphone hydrochloride              
This screen indicates the compatibilities or incompatibilities with, in this case, the type of incompatibility (precipitation, color change, modification of an emulsion, etc.). The compatibilities shown here are mostly physical only, with the chemical stability of each molecule rarely being assessed. The evaluation of these mixtures was studied to consider the possibility of Y-site administration to the patient. These data cannot be used for making mixtures in advance in bags or syringes. This type of information is available in the screen "Stability in mixture ».
化合物 溶媒 引用文献
対応
注射薬 Hydromorphone hydrochloride 0.04 mg/ml
注射薬 Aciclovir sodium 5 mg/ml
グルコース5% 336
対応
注射薬 Hydromorphone hydrochloride 0.5 mg/ml
注射薬 Allopurinol sodium 3 mg/ml
NaCl 0,9% 307
対応
注射薬 Hydromorphone hydrochloride 0.5 mg/ml
注射薬 Amifostine 10 mg/ml
グルコース5% 3
対応
注射薬 Hydromorphone hydrochloride 0.2 mg/ml
注射薬 Amikacin sulfate 5 mg/ml
グルコース5% 405
対応
注射薬 Hydromorphone hydrochloride 10 mg/ml
注射薬 Amoxicillin sodium / clavulanic acid 100/10 mg/ml
3824
対応
注射薬 Hydromorphone hydrochloride 2 >> 40 mg/ml
注射薬 Ampicillin sodium 20 & 250 mg/ml
グルコース5% 226
対応
注射薬 Hydromorphone hydrochloride 0.5 mg/ml
注射薬 Amsacrine 1 mg/ml
グルコース5% 253
対応
注射薬 Hydromorphone hydrochloride 0.5 mg/ml
注射薬 Anidulafungin 0.5 mg/ml
グルコース5% 1982
対応
注射薬 Hydromorphone hydrochloride 0.5 mg/ml
注射薬 Aztreonam 40 mg/ml
グルコース5% 99
対応
注射薬 Hydromorphone hydrochloride 0.5 mg/ml
注射薬 Bivalirudin 5 mg/ml
グルコース5% 1713
エマルジョンの即時の不安定性 非互換
注射薬 Hydromorphone hydrochloride 0.5 mg/ml
非経口的栄養(脂肪含む) 1415
対応
注射薬 Hydromorphone hydrochloride 10 mg/ml
乳酸リンゲル 4603
濁度の喪失 非互換
注射薬 Hydromorphone hydrochloride 0.5 mg/ml
注射薬 Amphotericin B cholesteryl sulfate complex 0.83 mg/ml
グルコース5% 921
対応
注射薬 Hydromorphone hydrochloride 0.2 mg/ml
注射薬 Ampicillin sodium 20 mg/ml
グルコース5% 405
対応
注射薬 Hydromorphone hydrochloride 0.5 mg/ml
注射薬 Atropine sulfate 0.4 mg/ml
グルコース5% 1974
対応
注射薬 Hydromorphone hydrochloride 0,02 & 0,1 mg/ml
注射薬 Bupivacaine hydrochloride 0,625 & 1,25 mg/ml
NaCl 0,9% 306
対応
注射薬 Hydromorphone hydrochloride
グルコース5% 5073
対応
注射薬 Hydromorphone hydrochloride 0,02 & 0,04 mg/ml
注射薬 Bupivacaine hydrochloride 2,5 mg/ml
NaCl 0,9% 1931
対応
注射薬 Hydromorphone hydrochloride 15 mg/ml
注射薬 Bupivacaine hydrochloride 10 mg/ml
なし 4200
対応
注射薬 Hydromorphone hydrochloride 2,5 mg/ml
非経口的栄養(脂肪含む) 4507
対応
注射薬 Hydromorphone hydrochloride 25 mg/ml
注射薬 Bupivacaine hydrochloride 20 mg/ml
NaCl 0,9% 3131
対応
注射薬 Hydromorphone hydrochloride 65 mg/ml
注射薬 Bupivacaine hydrochloride 7,5 mg/ml
なし 221
対応
注射薬 Hydromorphone hydrochloride 50 mg/ml
注射薬 Caffeine 10 mg/ml
なし 3964
対応
注射薬 Hydromorphone hydrochloride 1 mg/ml
注射薬 Caspofungin acetate 0,7 mg/ml
NaCl 0,9% 2247
対応
注射薬 Hydromorphone hydrochloride 1 mg/ml
注射薬 Caspofungin acetate 0.5 mg/ml
NaCl 0,9% 2233
対応
注射薬 Hydromorphone hydrochloride 0.2 mg/ml
注射薬 Cefalotin sodium 20 mg/ml
グルコース5% 405
対応
注射薬 Hydromorphone hydrochloride 0.2 mg/ml
注射薬 Cefamandole nafate 20 mg/ml
グルコース5% 405
対応
注射薬 Hydromorphone hydrochloride 0.2 mg/ml
注射薬 Cefazolin sodium 20 mg/ml
グルコース5% 405
対応
注射薬 Hydromorphone hydrochloride 2 >> 40 mg/ml
注射薬 Cefazolin sodium 20 mg/ml
グルコース5% 226
即時降水 非互換
注射薬 Hydromorphone hydrochloride 2 >> 40 mg/ml
注射薬 Cefazolin sodium >200 mg/ml
グルコース5% 226
対応
注射薬 Hydromorphone hydrochloride 1 mg/ml
注射薬 Cefiderocol sulfate tosylate 20 mg/mL
NaCl 0,9% 4528
対応
注射薬 Hydromorphone hydrochloride 1 mg/ml
注射薬 Cefiderocol sulfate tosylate 20 mg/mL
グルコース5% 4528
対応
注射薬 Hydromorphone hydrochloride 0.2 mg/ml
注射薬 Cefmetazole sodium 100 mg/ml
注射用水 93
対応
注射薬 Hydromorphone hydrochloride 0.2 mg/ml
注射薬 Cefoperazone sodium 20 mg/ml
グルコース5% 405
対応
注射薬 Hydromorphone hydrochloride 0.2 mg/ml
注射薬 Ceforanide 20 mg/ml
グルコース5% 405
対応
注射薬 Hydromorphone hydrochloride 0.2 mg/ml
注射薬 Cefotaxime sodium 20 mg/ml
グルコース5% 405
対応
注射薬 Hydromorphone hydrochloride 0.2 mg/ml
注射薬 Cefoxitin sodium 20 mg/ml
グルコース5% 405
対応
注射薬 Hydromorphone hydrochloride 0,5 mg/ml
注射薬 Ceftaroline fosamil 2,22 mg/ml
乳酸リンゲル 3249
対応
注射薬 Hydromorphone hydrochloride 0,5 mg/ml
注射薬 Ceftaroline fosamil 2,22 mg/ml
グルコース5% 3249
対応
注射薬 Hydromorphone hydrochloride 0,5 mg/ml
注射薬 Ceftaroline fosamil 2,22 mg/ml
NaCl 0,9% 3249
対応
注射薬 Hydromorphone hydrochloride 2 >> 40 mg/ml
注射薬 Ceftazidime 40 & 180 mg/ml
グルコース5% 226
対応
注射薬 Hydromorphone hydrochloride 0.2 mg/ml
注射薬 Ceftizoxime sodium 20 mg/ml
グルコース5% 405
即時降水 非互換
注射薬 Hydromorphone hydrochloride 1 mg/ml
注射薬 Ceftobiprole medocaril sodium 2 mg/ml
NaCl 0,9% 2269
即時降水 非互換
注射薬 Hydromorphone hydrochloride 1 mg/ml
注射薬 Ceftobiprole medocaril sodium 2 mg/ml
乳酸リンゲル 2269
不特定の非互換性 非互換
注射薬 Hydromorphone hydrochloride
注射薬 Ceftobiprole medocaril sodium
4650
即時降水 非互換
注射薬 Hydromorphone hydrochloride 1 mg/ml
注射薬 Ceftobiprole medocaril sodium 2 mg/ml
グルコース5% 2269
対応
注射薬 Hydromorphone hydrochloride 1 mg/ml
注射薬 Ceftolozane / tazobactam 10/5 mg/ml
グルコース5% 3828
対応
注射薬 Hydromorphone hydrochloride 1 mg/ml
注射薬 Ceftolozane / tazobactam 10/5 mg/ml
NaCl 0,9% 3828
対応
注射薬 Hydromorphone hydrochloride 0.2 mg/ml
注射薬 Cefuroxime sodium 30 mg/ml
グルコース5% 405
対応
注射薬 Hydromorphone hydrochloride 0.2 mg/ml
注射薬 Chloramphenicol sodium succinate 20 mg/ml
グルコース5% 405
対応
注射薬 Hydromorphone hydrochloride 0.5 mg/ml
注射薬 Cisatracurium besylate 0.1 >> 5 mg/ml
グルコース5% 299
対応
注射薬 Hydromorphone hydrochloride 0.5 mg/ml
注射薬 Cladribine 0.015 mg/ml
NaCl 0,9% 1496
対応
注射薬 Hydromorphone hydrochloride 0.5 mg/ml
注射薬 Cladribine 0.5 mg/ml
NaCl 0,9% +抗菌 1496
対応
注射薬 Hydromorphone hydrochloride 10 mg/ml
注射薬 Cloxacillin sodium 100 mg/ml
注射用水 3012
対応
注射薬 Hydromorphone hydrochloride 0.2 mg/ml
注射薬 Co-trimoxazole 4/0.8 mg/ml
グルコース5% 405
対応
注射薬 Hydromorphone hydrochloride < 10 mg/ml
注射薬 Dexamethasone sodium phosphate 2 >> 10 mg/ml
389
対応
注射薬 Hydromorphone hydrochloride 0.5 mg/ml
注射薬 Dexamethasone sodium phosphate 1 mg/ml
グルコース5% 1974
対応
注射薬 Hydromorphone hydrochloride 1 >> 40 mg/ml
注射薬 Dexamethasone sodium phosphate < 2 mg/ml
389
対応
注射薬 Hydromorphone hydrochloride 0.5 mg/ml
注射薬 Dexmedetomidine 4 µg/ml
NaCl 0,9% 1712
2時間後の降水 非互換
注射薬 Hydromorphone hydrochloride
注射薬 Dimenhydrinate
2087
対応
注射薬 Hydromorphone hydrochloride 0.5 mg/ml
非経口的栄養(二元混合物) 301
対応
注射薬 Hydromorphone hydrochloride 2 mg/ml
注射薬 Cimetidine hydrochloride 150 mg/ml
1438
対応
注射薬 Hydromorphone hydrochloride 0.2 mg/ml
注射薬 Clindamycin phosphate 12 mg/ml
グルコース5% 405
即時降水 非互換
注射薬 Hydromorphone hydrochloride 2 >> 40 mg/ml
注射薬 Cloxacillin sodium 40 & 250 mg/ml
グルコース5% 226
即時降水 非互換
注射薬 Hydromorphone hydrochloride
注射薬 Cyclizine lactate
5073
対応
注射薬 Hydromorphone hydrochloride
注射薬 Dexamethasone sodium phosphate
5073
即時降水 非互換
注射薬 Hydromorphone hydrochloride > 15 mg/ml
注射薬 Dexamethasone sodium phosphate > 3 mg/ml
389
対応
注射薬 Hydromorphone hydrochloride 0.5 mg/ml
注射薬 Diazepam 0.5 mg/ml
グルコース5% 1974
即時降水 非互換
注射薬 Hydromorphone hydrochloride 2 >> 40 mg/ml
注射薬 Diazepam 5 mg/ml
グルコース5% 226
対応
注射薬 Hydromorphone hydrochloride 1 mg/ml
注射薬 Diltiazem hydrochloride 1 mg/ml
314
対応
注射薬 Hydromorphone hydrochloride 2 >> 40 mg/ml
注射薬 Dimenhydrinate 50 mg/ml
なし 1497
対応
注射薬 Hydromorphone hydrochloride 0.5 mg/ml
注射薬 Diphenhydramine hydrochloride 2 mg/ml
グルコース5% 1974
対応
注射薬 Hydromorphone hydrochloride 1 mg/ml
注射薬 Dobutamine hydrochloride 4 mg/ml
314
対応
注射薬 Hydromorphone hydrochloride 0.5 mg/ml
注射薬 Docetaxel 0.9 mg/ml
グルコース5% 1754
対応
注射薬 Hydromorphone hydrochloride 1 mg/ml
注射薬 Dopamine hydrochloride 3.2 mg/ml
314
対応
注射薬 Hydromorphone hydrochloride 1 mg/ml
注射薬 Doripenem 5 mg/ml
グルコース5% 2262
対応
注射薬 Hydromorphone hydrochloride 1 mg/ml
注射薬 Doripenem 5 mg/ml
NaCl 0,9% 2262
対応
注射薬 Hydromorphone hydrochloride 0.5 mg/ml
注射薬 Doxorubicin hydrochloride liposome peg 0.4 mg/ml
グルコース5% 251
対応
注射薬 Hydromorphone hydrochloride 0.2 mg/ml
注射薬 Doxycycline hyclate 1 mg/ml
グルコース5% 405
対応
注射薬 Hydromorphone hydrochloride 1 mg/ml
注射薬 Epinephrine hydrochloride 20 µg/ml
314
対応
注射薬 Hydromorphone hydrochloride 1 mg/ml
注射薬 Eravacycline 0,6 mg/ml
NaCl 0,9% 4434
対応
注射薬 Hydromorphone hydrochloride 0.2 mg/ml
注射薬 Erythromycin lactobionate 5 mg/ml
グルコース5% 405
対応
注射薬 Hydromorphone hydrochloride 0.5 mg/ml
注射薬 Etoposide phosphate 5 mg/ml
グルコース5% 1410
対応
注射薬 Hydromorphone hydrochloride 0.5 mg/ml
注射薬 Famotidine 2 mg/ml
NaCl 0,9% 215
対応
注射薬 Hydromorphone hydrochloride 0.5 mg/ml
注射薬 Fenoldopam mesylate 80 µg/ml
NaCl 0,9% 1803
対応
注射薬 Hydromorphone hydrochloride 1 mg/ml
注射薬 Fentanyl citrate 50 µg/ml
314
対応
注射薬 Hydromorphone hydrochloride 0.5 mg/ml
注射薬 Filgrastim 30 µg/ml
グルコース5% 244
対応
注射薬 Hydromorphone hydrochloride 0.5 mg/ml
注射薬 Fludarabine phosphate 1 mg/ml
グルコース5% 492
対応
注射薬 Hydromorphone hydrochloride 0.5 mg/ml
注射薬 Fluorouracil 1 & 16 mg/ml
グルコース5% 513
対応
注射薬 Hydromorphone hydrochloride 0.5 mg/ml
注射薬 Fluorouracil 1 & 16 mg/ml
NaCl 0,9% 513
対応
注射薬 Hydromorphone hydrochloride 10 mg/ml
注射薬 Foscarnet sodium 24 mg/ml
なし 73
対応
注射薬 Hydromorphone hydrochloride 1 mg/ml
注射薬 Fosfomycin 30 mg/ml
グルコース5% 4055
対応
注射薬 Hydromorphone hydrochloride 1 mg/ml
注射薬 Fosfomycin 30 mg/ml
NaCl 0,9% 4055
対応
注射薬 Hydromorphone hydrochloride 1 mg/ml
注射薬 Furosemide 10 mg/ml
314
24時間で濁り 非互換
注射薬 Hydromorphone hydrochloride 4 mg/ml
注射薬 Gallium nitrate 1 mg/ml
NaCl 0,9% 91
対応
注射薬 Hydromorphone hydrochloride 0.5 mg/ml
注射薬 Gemcitabine hydrochloride 10 mg/ml
NaCl 0,9% 1423
対応
注射薬 Hydromorphone hydrochloride 0.2 mg/ml
注射薬 Gentamicin sulfate 0.8 mg/ml
グルコース5% 405
対応
注射薬 Hydromorphone hydrochloride
注射薬 Glycopyrronium bromide
5073
対応
注射薬 Hydromorphone hydrochloride 0.5 mg/ml
注射薬 Granisetron hydrochloride 0.056 mg/ml
NaCl 0,9% 6
対応
注射薬 Hydromorphone hydrochloride 0.5 mg/ml
注射薬 Granisetron hydrochloride 1 mg/ml
NaCl 0,9% 57
対応
注射薬 Hydromorphone hydrochloride 0.5 mg/ml
注射薬 Granisetron hydrochloride 0.05 mg/ml
グルコース5% 182
対応
注射薬 Hydromorphone hydrochloride 10 mg/ml
注射薬 Haloperidol lactate 1 mg/ml
なし 216
対応
注射薬 Hydromorphone hydrochloride 10 mg/ml
注射薬 Haloperidol lactate 5 mg/ml
なし 216
対応
注射薬 Hydromorphone hydrochloride 1 mg/ml
注射薬 Haloperidol lactate 5 mg/ml
なし 216
対応
注射薬 Hydromorphone hydrochloride 1 mg/ml
注射薬 Haloperidol lactate 2 mg/ml
なし 216
対応
注射薬 Hydromorphone hydrochloride 1 mg/ml
注射薬 Haloperidol lactate 1 mg/ml
なし 216
対応
注射薬 Hydromorphone hydrochloride 0.5 mg/ml
注射薬 Haloperidol lactate 0.2 mg/ml
グルコース5% 1974
対応
注射薬 Hydromorphone hydrochloride
注射薬 Haloperidol lactate
5073
対応
注射薬 Hydromorphone hydrochloride 10 mg/ml
注射薬 Haloperidol lactate 2 mg/ml
なし 216
対応
注射薬 Hydromorphone hydrochloride <12.5 mg/ml
注射薬 Heparin sodium
注射用水 66
対応
注射薬 Hydromorphone hydrochloride <12.5 mg/ml
注射薬 Heparin sodium
NaCl 0,9% 66
対応
注射薬 Hydromorphone hydrochloride 1 mg/ml
注射薬 Heparin sodium 100 UI/ml
314
即時降水 非互換
注射薬 Hydromorphone hydrochloride >25 mg/ml
注射薬 Heparin sodium <12,5 UI/ml
注射用水 66
即時降水 非互換
注射薬 Hydromorphone hydrochloride >10 mg/ml
注射薬 Heparin sodium <1 UI/ml
注射用水 66
即時降水 非互換
注射薬 Hydromorphone hydrochloride >25 mg/ml
注射薬 Heparin sodium <12,5 UI/ml
NaCl 0,9% 66
対応
注射薬 Hydromorphone hydrochloride 0.5 mg/ml
注射薬 Hetastarch 60 mg/ml
特定の溶媒 1721
化学的不安定性 非互換
注射薬 Hydromorphone hydrochloride 2 >> 40 mg/ml
注射薬 Hyaluronidase 150 UI/ml
グルコース5% 9
対応
注射薬 Hydromorphone hydrochloride
注射薬 Hyaluronidase
3184
化学的不安定性 非互換
注射薬 Hydromorphone hydrochloride 2 >> 40 mg/ml
注射薬 Hyaluronidase 150 UI/ml
NaCl 0,9% 9
対応
注射薬 Hydromorphone hydrochloride 0.5 mg/ml
注射薬 Hydroxyzine dihydrochloride 4 mg/ml
グルコース5% 1974
対応
注射薬 Hydromorphone hydrochloride 1 mg/ml
注射薬 Isavuconazonium sulfate 1.5 mg/ml
NaCl 0,9% 3829
対応
注射薬 Hydromorphone hydrochloride 1 mg/ml
注射薬 Isavuconazonium sulfate 1.5 mg/ml
グルコース5% 3829
対応
注射薬 Hydromorphone hydrochloride 0.2 mg/ml
注射薬 Kanamycin sulfate 2.5 mg/ml
グルコース5% 405
対応
注射薬 Hydromorphone hydrochloride
注射薬 Ketamine hydrochloride
5073
対応
注射薬 Hydromorphone hydrochloride 0.2 mg/ml
注射薬 Ketamine hydrochloride 0.2 >> 1 mg/ml
NaCl 0,9% 2336
対応
注射薬 Hydromorphone hydrochloride 0.5 mg/ml
注射薬 Ketorolac tromethamine 1 mg/ml
グルコース5% 1974
対応
注射薬 Hydromorphone hydrochloride 10 mg/ml
注射薬 Ketorolac tromethamine 15 mg/ml
なし 216
対応
注射薬 Hydromorphone hydrochloride 1 mg/ml
注射薬 Ketorolac tromethamine 30 mg/ml
なし 216
対応
注射薬 Hydromorphone hydrochloride 1 mg/ml
注射薬 Ketorolac tromethamine 15 mg/ml
なし 216
即時降水 非互換
注射薬 Hydromorphone hydrochloride 10 mg/ml
注射薬 Ketorolac tromethamine 30 mg/ml
なし 216
対応
注射薬 Hydromorphone hydrochloride 1 mg/ml
注射薬 Labetalol hydrochloride 2 mg/ml
314
1時間後の降水 非互換
注射薬 Hydromorphone hydrochloride 0.5 mg/ml
注射薬 Lansoprazole 0.55 mg/ml
NaCl 0,9% 1625
対応
注射薬 Hydromorphone hydrochloride 2 mg/ml
注射薬 Levofloxacine 5 mg/ml
なし 2335
対応
注射薬 Hydromorphone hydrochloride
注射薬 Levomepromazine
5073
対応
注射薬 Hydromorphone hydrochloride 10 mg/ml
注射薬 Levosimendan 2,5 mg/ml
4389
対応
注射薬 Hydromorphone hydrochloride 0.5 mg/ml
注射薬 Linezolid 2 mg/ml
なし 1925
対応
注射薬 Hydromorphone hydrochloride 0.5 mg/ml
注射薬 Lorazepam 0.1 mg/ml
グルコース5% 1974
対応
注射薬 Hydromorphone hydrochloride 2 >> 40 mg/ml
注射薬 Lorazepam 4 mg/ml
なし 1497
対応
注射薬 Hydromorphone hydrochloride 1 mg/ml
注射薬 Lorazepam 0.5 mg/ml
314
対応
注射薬 Hydromorphone hydrochloride 2 mg/ml
注射薬 Magnesium sulfate 16,67 >> 100 mg/ml
グルコース5% 517
対応
注射薬 Hydromorphone hydrochloride 0.5 mg/ml
注射薬 Melphalan 0.1 mg/ml
NaCl 0,9% 169
対応
注射薬 Hydromorphone hydrochloride 10 mg/ml
注射薬 Meropenem 50 mg/ml
注射用水 4319
化学的不安定性 非互換
注射薬 Hydromorphone hydrochloride
注射薬 Metamizol sodium
2364
対応
注射薬 Hydromorphone hydrochloride
注射薬 Metoclopramide hydrochloride
5073
対応
注射薬 Hydromorphone hydrochloride 0.5 mg/ml
注射薬 Metoclopramide hydrochloride 5 mg/ml
グルコース5% 1974
対応
注射薬 Hydromorphone hydrochloride 0.2 mg/ml
注射薬 Metronidazole 5 mg/ml
グルコース5% 405
対応
注射薬 Hydromorphone hydrochloride 0.5 mg/ml
注射薬 Micafungin 1.5 mg/ml
NaCl 0,9% 2108
対応
注射薬 Hydromorphone hydrochloride
注射薬 Midazolam hydrochloride
5073
対応
注射薬 Hydromorphone hydrochloride 0.5 mg/ml
注射薬 Midazolam hydrochloride 0.2 mg/ml
グルコース5% 1974
対応
注射薬 Hydromorphone hydrochloride 0.5 >> 45 mg/ml
注射薬 Midazolam hydrochloride 0.1 >> 4.5 mg/ml
グルコース5% 345
対応
注射薬 Hydromorphone hydrochloride 1 mg/ml
注射薬 Midazolam hydrochloride 2 mg/ml
314
対応
注射薬 Hydromorphone hydrochloride 0.5 >> 45 mg/ml
注射薬 Midazolam hydrochloride 0.1 >> 4.5 mg/ml
NaCl 0,9% 345
対応
注射薬 Hydromorphone hydrochloride 1 mg/ml
注射薬 Milrinone lactate 0.2 mg/ml
314
1時間後の色の変化 非互換
注射薬 Hydromorphone hydrochloride 0.2 mg/ml
注射薬 Minocycline hydrochloride 0.2 mg/ml
グルコース5% 405
対応
注射薬 Hydromorphone hydrochloride 1 mg/ml
注射薬 Morphine sulfate 2 mg/ml
314
対応
注射薬 Hydromorphone hydrochloride 0.2 mg/ml
注射薬 Moxalactam 20 mg/ml
グルコース5% 405
対応
注射薬 Hydromorphone hydrochloride 0.2 mg/ml
注射薬 Nafcillin sodium 20 mg/ml
グルコース5% 405
対応
注射薬 Hydromorphone hydrochloride 10 mg/ml
注射薬 Naloxone hydrochloride 0.4 mg/ml
なし 3408
対応
注射薬 Hydromorphone hydrochloride 1 mg/ml
注射薬 Nicardipine hydrochloride 1 mg/ml
314
対応
注射薬 Hydromorphone hydrochloride 1 mg/ml
注射薬 Nitroglycerin 0.4 mg/ml
314
対応
注射薬 Hydromorphone hydrochloride 1 mg/ml
注射薬 Norepinephrine bitartrate 0.128 mg/ml
314
対応
注射薬 Hydromorphone hydrochloride 0,5 mg/ml
注射薬 Ondansetron hydrochloride 0,1 & 1 mg/ml
NaCl 0,9% 6
対応
注射薬 Hydromorphone hydrochloride 0.5 mg/ml
注射薬 Ondansetron hydrochloride 1 mg/ml
NaCl 0,9% 334
対応
注射薬 Hydromorphone hydrochloride 0.2 mg/ml
注射薬 Oxacillin sodium 20 mg/ml
グルコース5% 405
対応
注射薬 Hydromorphone hydrochloride 0,5 mg/ml
注射薬 Oxaliplatin 0,5 mg/ml
グルコース5% 1662
対応
注射薬 Hydromorphone hydrochloride 0.5 mg/ml
注射薬 Paclitaxel 1.2 mg/ml
グルコース5% 248
対応
注射薬 Hydromorphone hydrochloride 0.5 mg/ml
注射薬 Palonosetron hydrochloride 50 µg/ml
グルコース5% 2196
4時間後の降水 非互換
注射薬 Hydromorphone hydrochloride
注射薬 Pantoprazole sodium
2090
対応
注射薬 Hydromorphone hydrochloride 10 mg/ml
注射薬 Paracetamol 10 mg/ml
4742
対応
注射薬 Hydromorphone hydrochloride 2 mg/ml
注射薬 Paracetamol 10 mg/ml
なし 3571
不特定の非互換性 非互換
注射薬 Hydromorphone hydrochloride
注射薬 Parecoxib sodium
3504
対応
注射薬 Hydromorphone hydrochloride 0.5 mg/ml
注射薬 Pemetrexed disodium 20 mg/ml
NaCl 0,9% 1953
対応
注射薬 Hydromorphone hydrochloride 0.2 mg/ml
注射薬 Penicillin G potassium 0.1 MUI/ml
グルコース5% 405
即時降水 非互換
注射薬 Hydromorphone hydrochloride 2 >> 40 mg/ml
注射薬 Phenobarbital sodium 120 mg/ml
グルコース5% 226
対応
注射薬 Hydromorphone hydrochloride 0.5 mg/ml
注射薬 Phenobarbital sodium 2 mg/ml
グルコース5% 1974
即時降水 非互換
注射薬 Hydromorphone hydrochloride 2 >> 40 mg/ml
注射薬 Phenytoin sodium 50 mg/ml
グルコース5% 226
1時間後の降水 非互換
注射薬 Hydromorphone hydrochloride 0.5 mg/ml
注射薬 Phenytoin sodium 2 mg/ml
グルコース5% 1974
対応
注射薬 Hydromorphone hydrochloride 0.2 mg/ml
注射薬 Piperacillin sodium 60 mg/ml
グルコース5% 405
対応
注射薬 Hydromorphone hydrochloride 0.5 mg/ml
注射薬 Piperacillin sodium / tazobactam 40/5 mg/ml
グルコース5% 81
対応
注射薬 Hydromorphone hydrochloride 1 mg/ml
注射薬 Plazomicin sulfate 24 mg/ml
NaCl 0,9% 4145
対応
注射薬 Hydromorphone hydrochloride
注射薬 Posaconazole
4380
対応
注射薬 Hydromorphone hydrochloride 25 mg/ml
注射薬 Potassium chloride 1000 mEq/l
注射用水 66
対応
注射薬 Hydromorphone hydrochloride 5 >> 20 mg/ml
注射薬 Potassium chloride 500 & 1000 mEq/l
グルコース5% 66
対応
注射薬 Hydromorphone hydrochloride 2 >> 40 mg/ml
注射薬 Prochlorperazine edysilate 5 mg/ml
なし 1497
対応
注射薬 Hydromorphone hydrochloride 0,5 mg/ml
注射薬 Prochlorperazine edysilate 1,5 mg/ml
NaCl 0,9% 767
対応
注射薬 Hydromorphone hydrochloride 1 mg/ml
注射薬 Promethazine hydrochloride 0.3 mg/ml
NaCl 0,9% 795
対応
注射薬 Hydromorphone hydrochloride 0.5 mg/ml
注射薬 Propofol 10 mg/ml
なし 300
対応
注射薬 Hydromorphone hydrochloride 1 mg/ml
注射薬 Ranitidine hydrochloride 1 mg/ml
314
対応
注射薬 Hydromorphone hydrochloride 2 mg/ml
注射薬 Ranitidine hydrochloride 25 mg/ml
なし 58
対応
注射薬 Hydromorphone hydrochloride 1 mg/ml
注射薬 Remdesivir 1 mg/ml
NaCl 0,9% 4768
対応
注射薬 Hydromorphone hydrochloride 10 mg/ml
注射薬 Salbutamol sulfate 1 mg/ml
なし 3216
30分後の沈殿 非互換
注射薬 Hydromorphone hydrochloride 0.5 mg/ml
注射薬 Sargramostim 10 µg/ml
NaCl 0,9% 335
対応
注射薬 Hydromorphone hydrochloride 0.5 mg/ml
注射薬 Scopolamine hydrobromide 0.05 mg/ml
グルコース5% 1974
対応
注射薬 Hydromorphone hydrochloride
注射薬 Scopolamine hydrobromide
5073
対応
注射薬 Hydromorphone hydrochloride 0,1 & 1 mg/ml
注射薬 Tacrolimus 5 & 20 µg/ml
グルコース5% 814
対応
注射薬 Hydromorphone hydrochloride 1 mg/ml
注射薬 Tedizolid phosphate 0.8 mg/ml
NaCl 0,9% 3827
対応
注射薬 Hydromorphone hydrochloride 0.5 mg/ml
注射薬 Teniposide 0.1 mg/ml
グルコース5% 905
即時降水 非互換
注射薬 Hydromorphone hydrochloride 10 mg/ml
注射薬 Thiopental sodium 25 mg/ml
NaCl 0,9% 3767
4時間後の降水 非互換
注射薬 Hydromorphone hydrochloride 1 mg/ml
注射薬 Thiopental sodium 25 mg/ml
314
対応
注射薬 Hydromorphone hydrochloride 0.5 mg/ml
注射薬 Thiotepa 1 mg/ml
グルコース5% 249
対応
注射薬 Hydromorphone hydrochloride
NaCl 0,9% 5073
対応
注射薬 Hydromorphone hydrochloride
注射薬 Scopolamine N-butyl bromide
5073
対応
注射薬 Hydromorphone hydrochloride 1 mg/ml
注射薬 Sulbactam/durlobactam 15/15 mg/ml
NaCl 0,9% 4801
対応
注射薬 Hydromorphone hydrochloride 0.2 mg/ml
注射薬 Tobramycin sulfate 0.8 mg/ml
グルコース5% 405
対応
注射薬 Hydromorphone hydrochloride 0.2 mg/ml
注射薬 Vancomycin hydrochloride 5 mg/ml
グルコース5% 405
対応
注射薬 Hydromorphone hydrochloride 2 mg/ml
注射薬 Vancomycin hydrochloride 4 mg/ml
NaCl 0,9% 2335
対応
注射薬 Hydromorphone hydrochloride 1 mg/ml
注射薬 Vecuronium bromide 1 mg/ml
314
対応
注射薬 Hydromorphone hydrochloride 0.016 mg/ml
注射薬 Verapamil hydrochloride 0.08 mg/ml
NaCl 0,9% 1057
対応
注射薬 Hydromorphone hydrochloride 0.016 mg/ml
注射薬 Verapamil hydrochloride 0.08 mg/ml
グルコース5% 1057
対応
注射薬 Hydromorphone hydrochloride 0.5 mg/ml
注射薬 Vinorelbine tartrate 1 mg/ml
NaCl 0,9% 84

  Mentions Légales