Seneste opdatering :
18/03/2026
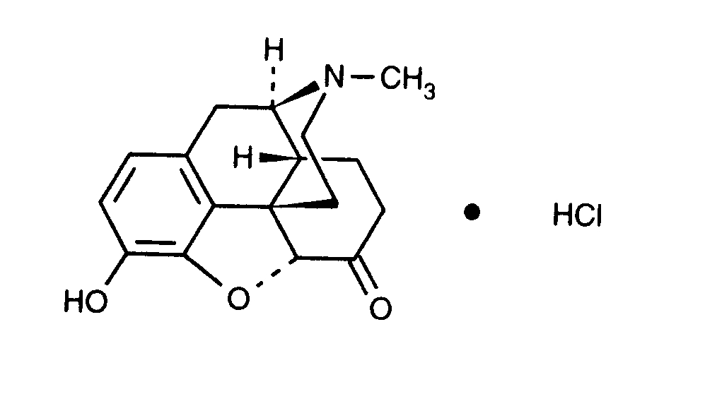
Analgetisk   Hydromorphone hydrochloride  
Injektion
Stabilitet i (vandige) opløsninger Stabilitet i blandinger Faktorer der påvirker stabiliteten Kompatibilitet Administrationsvej Bibliografi pdf
   Kemisk struktur  

Handelsnavn   Handelsnavn     

Handel navne er vejledende og hjælpestoffer sammensætning kan være forskellig afhængigt af landet og laboratorier

Dilaudid Canada, USA
Hydal Østrig
Palladon Danmark, Schweiz
Palladone Storbritanien
Kompatibilitet   Injektion   Kompatibilitet : Hydromorphone hydrochloride              
Denne skærm viser kompatibilitet eller uforenelighed med, i dette tilfælde typen af inkompatibilitet (udfældning, farveændring, ændring af en emulsion osv.). Kompatibiliteterne vist her er for det meste kun fysiske, idet den kemiske stabilitet af hvert molekyle sjældent vurderes. Evalueringen af disse blandinger blev undersøgt for at overveje muligheden for Y-sted-administration til patienten. Disse data kan ikke bruges til at fremstille blandinger på forhånd i poser eller sprøjter. Denne type information findes på skærmen "Stabilitet i blanding".
Molekyle Opløsningsmiddel Bibliografi
Kompatibel
Injektion Hydromorphone hydrochloride 0.04 mg/ml
Injektion Aciclovir sodium 5 mg/ml
5 % Glukose 336
Kompatibel
Injektion Hydromorphone hydrochloride 0.5 mg/ml
Injektion Allopurinol sodium 3 mg/ml
0,9 % Natriumklorid 307
Kompatibel
Injektion Hydromorphone hydrochloride 0.5 mg/ml
Injektion Amifostine 10 mg/ml
5 % Glukose 3
Kompatibel
Injektion Hydromorphone hydrochloride 0.2 mg/ml
Injektion Amikacin sulfate 5 mg/ml
5 % Glukose 405
Kompatibel
Injektion Hydromorphone hydrochloride 10 mg/ml
Injektion Amoxicillin sodium / clavulanic acid 100/10 mg/ml
3824
Kompatibel
Injektion Hydromorphone hydrochloride 2 >> 40 mg/ml
Injektion Ampicillin sodium 20 & 250 mg/ml
5 % Glukose 226
Kompatibel
Injektion Hydromorphone hydrochloride 0.5 mg/ml
Injektion Amsacrine 1 mg/ml
5 % Glukose 253
Kompatibel
Injektion Hydromorphone hydrochloride 0.5 mg/ml
Injektion Anidulafungin 0.5 mg/ml
5 % Glukose 1982
Kompatibel
Injektion Hydromorphone hydrochloride 0.5 mg/ml
Injektion Aztreonam 40 mg/ml
5 % Glukose 99
Kompatibel
Injektion Hydromorphone hydrochloride 0.5 mg/ml
Injektion Bivalirudin 5 mg/ml
5 % Glukose 1713
Umiddelbar ustabilitet af emulsionen Uforenelig
Injektion Hydromorphone hydrochloride 0.5 mg/ml
Parenteral ernæring (lipider) 1415
Kompatibel
Injektion Hydromorphone hydrochloride 10 mg/ml
Ringer laktat 4603
Tab af uklarhed Uforenelig
Injektion Hydromorphone hydrochloride 0.5 mg/ml
Injektion Amphotericin B cholesteryl sulfate complex 0.83 mg/ml
5 % Glukose 921
Kompatibel
Injektion Hydromorphone hydrochloride 0.2 mg/ml
Injektion Ampicillin sodium 20 mg/ml
5 % Glukose 405
Kompatibel
Injektion Hydromorphone hydrochloride 0.5 mg/ml
Injektion Atropine sulfate 0.4 mg/ml
5 % Glukose 1974
Kompatibel
Injektion Hydromorphone hydrochloride 0,02 & 0,1 mg/ml
Injektion Bupivacaine hydrochloride 0,625 & 1,25 mg/ml
0,9 % Natriumklorid 306
Kompatibel
Injektion Hydromorphone hydrochloride
5 % Glukose 5073
Kompatibel
Injektion Hydromorphone hydrochloride 0,02 & 0,04 mg/ml
Injektion Bupivacaine hydrochloride 2,5 mg/ml
0,9 % Natriumklorid 1931
Kompatibel
Injektion Hydromorphone hydrochloride 15 mg/ml
Injektion Bupivacaine hydrochloride 10 mg/ml
Ingen 4200
Kompatibel
Injektion Hydromorphone hydrochloride 2,5 mg/ml
Parenteral ernæring (lipider) 4507
Kompatibel
Injektion Hydromorphone hydrochloride 25 mg/ml
Injektion Bupivacaine hydrochloride 20 mg/ml
0,9 % Natriumklorid 3131
Kompatibel
Injektion Hydromorphone hydrochloride 65 mg/ml
Injektion Bupivacaine hydrochloride 7,5 mg/ml
Ingen 221
Kompatibel
Injektion Hydromorphone hydrochloride 50 mg/ml
Injektion Caffeine 10 mg/ml
Ingen 3964
Kompatibel
Injektion Hydromorphone hydrochloride 1 mg/ml
Injektion Caspofungin acetate 0,7 mg/ml
0,9 % Natriumklorid 2247
Kompatibel
Injektion Hydromorphone hydrochloride 1 mg/ml
Injektion Caspofungin acetate 0.5 mg/ml
0,9 % Natriumklorid 2233
Kompatibel
Injektion Hydromorphone hydrochloride 0.2 mg/ml
Injektion Cefalotin sodium 20 mg/ml
5 % Glukose 405
Kompatibel
Injektion Hydromorphone hydrochloride 0.2 mg/ml
Injektion Cefamandole nafate 20 mg/ml
5 % Glukose 405
Kompatibel
Injektion Hydromorphone hydrochloride 0.2 mg/ml
Injektion Cefazolin sodium 20 mg/ml
5 % Glukose 405
Kompatibel
Injektion Hydromorphone hydrochloride 2 >> 40 mg/ml
Injektion Cefazolin sodium 20 mg/ml
5 % Glukose 226
Umiddelbar nedbør Uforenelig
Injektion Hydromorphone hydrochloride 2 >> 40 mg/ml
Injektion Cefazolin sodium >200 mg/ml
5 % Glukose 226
Kompatibel
Injektion Hydromorphone hydrochloride 1 mg/ml
Injektion Cefiderocol sulfate tosylate 20 mg/mL
0,9 % Natriumklorid 4528
Kompatibel
Injektion Hydromorphone hydrochloride 1 mg/ml
Injektion Cefiderocol sulfate tosylate 20 mg/mL
5 % Glukose 4528
Kompatibel
Injektion Hydromorphone hydrochloride 0.2 mg/ml
Injektion Cefmetazole sodium 100 mg/ml
Vand til injektion 93
Kompatibel
Injektion Hydromorphone hydrochloride 0.2 mg/ml
Injektion Cefoperazone sodium 20 mg/ml
5 % Glukose 405
Kompatibel
Injektion Hydromorphone hydrochloride 0.2 mg/ml
Injektion Ceforanide 20 mg/ml
5 % Glukose 405
Kompatibel
Injektion Hydromorphone hydrochloride 0.2 mg/ml
Injektion Cefotaxime sodium 20 mg/ml
5 % Glukose 405
Kompatibel
Injektion Hydromorphone hydrochloride 0.2 mg/ml
Injektion Cefoxitin sodium 20 mg/ml
5 % Glukose 405
Kompatibel
Injektion Hydromorphone hydrochloride 0,5 mg/ml
Injektion Ceftaroline fosamil 2,22 mg/ml
Ringer laktat 3249
Kompatibel
Injektion Hydromorphone hydrochloride 0,5 mg/ml
Injektion Ceftaroline fosamil 2,22 mg/ml
5 % Glukose 3249
Kompatibel
Injektion Hydromorphone hydrochloride 0,5 mg/ml
Injektion Ceftaroline fosamil 2,22 mg/ml
0,9 % Natriumklorid 3249
Kompatibel
Injektion Hydromorphone hydrochloride 2 >> 40 mg/ml
Injektion Ceftazidime 40 & 180 mg/ml
5 % Glukose 226
Kompatibel
Injektion Hydromorphone hydrochloride 0.2 mg/ml
Injektion Ceftizoxime sodium 20 mg/ml
5 % Glukose 405
Umiddelbar nedbør Uforenelig
Injektion Hydromorphone hydrochloride 1 mg/ml
Injektion Ceftobiprole medocaril sodium 2 mg/ml
0,9 % Natriumklorid 2269
Umiddelbar nedbør Uforenelig
Injektion Hydromorphone hydrochloride 1 mg/ml
Injektion Ceftobiprole medocaril sodium 2 mg/ml
Ringer laktat 2269
Uspecificeret inkompatibilitet Uforenelig
Injektion Hydromorphone hydrochloride
Injektion Ceftobiprole medocaril sodium
4650
Umiddelbar nedbør Uforenelig
Injektion Hydromorphone hydrochloride 1 mg/ml
Injektion Ceftobiprole medocaril sodium 2 mg/ml
5 % Glukose 2269
Kompatibel
Injektion Hydromorphone hydrochloride 1 mg/ml
Injektion Ceftolozane / tazobactam 10/5 mg/ml
5 % Glukose 3828
Kompatibel
Injektion Hydromorphone hydrochloride 1 mg/ml
Injektion Ceftolozane / tazobactam 10/5 mg/ml
0,9 % Natriumklorid 3828
Kompatibel
Injektion Hydromorphone hydrochloride 0.2 mg/ml
Injektion Cefuroxime sodium 30 mg/ml
5 % Glukose 405
Kompatibel
Injektion Hydromorphone hydrochloride 0.2 mg/ml
Injektion Chloramphenicol sodium succinate 20 mg/ml
5 % Glukose 405
Kompatibel
Injektion Hydromorphone hydrochloride 0.5 mg/ml
Injektion Cisatracurium besylate 0.1 >> 5 mg/ml
5 % Glukose 299
Kompatibel
Injektion Hydromorphone hydrochloride 0.5 mg/ml
Injektion Cladribine 0.015 mg/ml
0,9 % Natriumklorid 1496
Kompatibel
Injektion Hydromorphone hydrochloride 0.5 mg/ml
Injektion Cladribine 0.5 mg/ml
0,9 % NaCl + antibakteriel 1496
Kompatibel
Injektion Hydromorphone hydrochloride 10 mg/ml
Injektion Cloxacillin sodium 100 mg/ml
Vand til injektion 3012
Kompatibel
Injektion Hydromorphone hydrochloride 0.2 mg/ml
Injektion Co-trimoxazole 4/0.8 mg/ml
5 % Glukose 405
Kompatibel
Injektion Hydromorphone hydrochloride < 10 mg/ml
Injektion Dexamethasone sodium phosphate 2 >> 10 mg/ml
389
Kompatibel
Injektion Hydromorphone hydrochloride 0.5 mg/ml
Injektion Dexamethasone sodium phosphate 1 mg/ml
5 % Glukose 1974
Kompatibel
Injektion Hydromorphone hydrochloride 1 >> 40 mg/ml
Injektion Dexamethasone sodium phosphate < 2 mg/ml
389
Kompatibel
Injektion Hydromorphone hydrochloride 0.5 mg/ml
Injektion Dexmedetomidine 4 µg/ml
0,9 % Natriumklorid 1712
Nedbør efter 2 timer Uforenelig
Injektion Hydromorphone hydrochloride
Injektion Dimenhydrinate
2087
Kompatibel
Injektion Hydromorphone hydrochloride 0.5 mg/ml
Parenteral ernæring (lipid-fri) 301
Kompatibel
Injektion Hydromorphone hydrochloride 2 mg/ml
Injektion Cimetidine hydrochloride 150 mg/ml
1438
Kompatibel
Injektion Hydromorphone hydrochloride 0.2 mg/ml
Injektion Clindamycin phosphate 12 mg/ml
5 % Glukose 405
Umiddelbar nedbør Uforenelig
Injektion Hydromorphone hydrochloride 2 >> 40 mg/ml
Injektion Cloxacillin sodium 40 & 250 mg/ml
5 % Glukose 226
Umiddelbar nedbør Uforenelig
Injektion Hydromorphone hydrochloride
Injektion Cyclizine lactate
5073
Kompatibel
Injektion Hydromorphone hydrochloride
Injektion Dexamethasone sodium phosphate
5073
Umiddelbar nedbør Uforenelig
Injektion Hydromorphone hydrochloride > 15 mg/ml
Injektion Dexamethasone sodium phosphate > 3 mg/ml
389
Kompatibel
Injektion Hydromorphone hydrochloride 0.5 mg/ml
Injektion Diazepam 0.5 mg/ml
5 % Glukose 1974
Umiddelbar nedbør Uforenelig
Injektion Hydromorphone hydrochloride 2 >> 40 mg/ml
Injektion Diazepam 5 mg/ml
5 % Glukose 226
Kompatibel
Injektion Hydromorphone hydrochloride 1 mg/ml
Injektion Diltiazem hydrochloride 1 mg/ml
314
Kompatibel
Injektion Hydromorphone hydrochloride 2 >> 40 mg/ml
Injektion Dimenhydrinate 50 mg/ml
Ingen 1497
Kompatibel
Injektion Hydromorphone hydrochloride 0.5 mg/ml
Injektion Diphenhydramine hydrochloride 2 mg/ml
5 % Glukose 1974
Kompatibel
Injektion Hydromorphone hydrochloride 1 mg/ml
Injektion Dobutamine hydrochloride 4 mg/ml
314
Kompatibel
Injektion Hydromorphone hydrochloride 0.5 mg/ml
Injektion Docetaxel 0.9 mg/ml
5 % Glukose 1754
Kompatibel
Injektion Hydromorphone hydrochloride 1 mg/ml
Injektion Dopamine hydrochloride 3.2 mg/ml
314
Kompatibel
Injektion Hydromorphone hydrochloride 1 mg/ml
Injektion Doripenem 5 mg/ml
5 % Glukose 2262
Kompatibel
Injektion Hydromorphone hydrochloride 1 mg/ml
Injektion Doripenem 5 mg/ml
0,9 % Natriumklorid 2262
Kompatibel
Injektion Hydromorphone hydrochloride 0.5 mg/ml
Injektion Doxorubicin hydrochloride liposome peg 0.4 mg/ml
5 % Glukose 251
Kompatibel
Injektion Hydromorphone hydrochloride 0.2 mg/ml
Injektion Doxycycline hyclate 1 mg/ml
5 % Glukose 405
Kompatibel
Injektion Hydromorphone hydrochloride 1 mg/ml
Injektion Epinephrine hydrochloride 20 µg/ml
314
Kompatibel
Injektion Hydromorphone hydrochloride 1 mg/ml
Injektion Eravacycline 0,6 mg/ml
0,9 % Natriumklorid 4434
Kompatibel
Injektion Hydromorphone hydrochloride 0.2 mg/ml
Injektion Erythromycin lactobionate 5 mg/ml
5 % Glukose 405
Kompatibel
Injektion Hydromorphone hydrochloride 0.5 mg/ml
Injektion Etoposide phosphate 5 mg/ml
5 % Glukose 1410
Kompatibel
Injektion Hydromorphone hydrochloride 0.5 mg/ml
Injektion Famotidine 2 mg/ml
0,9 % Natriumklorid 215
Kompatibel
Injektion Hydromorphone hydrochloride 0.5 mg/ml
Injektion Fenoldopam mesylate 80 µg/ml
0,9 % Natriumklorid 1803
Kompatibel
Injektion Hydromorphone hydrochloride 1 mg/ml
Injektion Fentanyl citrate 50 µg/ml
314
Kompatibel
Injektion Hydromorphone hydrochloride 0.5 mg/ml
Injektion Filgrastim 30 µg/ml
5 % Glukose 244
Kompatibel
Injektion Hydromorphone hydrochloride 0.5 mg/ml
Injektion Fludarabine phosphate 1 mg/ml
5 % Glukose 492
Kompatibel
Injektion Hydromorphone hydrochloride 0.5 mg/ml
Injektion Fluorouracil 1 & 16 mg/ml
5 % Glukose 513
Kompatibel
Injektion Hydromorphone hydrochloride 0.5 mg/ml
Injektion Fluorouracil 1 & 16 mg/ml
0,9 % Natriumklorid 513
Kompatibel
Injektion Hydromorphone hydrochloride 10 mg/ml
Injektion Foscarnet sodium 24 mg/ml
Ingen 73
Kompatibel
Injektion Hydromorphone hydrochloride 1 mg/ml
Injektion Fosfomycin 30 mg/ml
5 % Glukose 4055
Kompatibel
Injektion Hydromorphone hydrochloride 1 mg/ml
Injektion Fosfomycin 30 mg/ml
0,9 % Natriumklorid 4055
Kompatibel
Injektion Hydromorphone hydrochloride 1 mg/ml
Injektion Furosemide 10 mg/ml
314
Turbiditet på 24 timer Uforenelig
Injektion Hydromorphone hydrochloride 4 mg/ml
Injektion Gallium nitrate 1 mg/ml
0,9 % Natriumklorid 91
Kompatibel
Injektion Hydromorphone hydrochloride 0.5 mg/ml
Injektion Gemcitabine hydrochloride 10 mg/ml
0,9 % Natriumklorid 1423
Kompatibel
Injektion Hydromorphone hydrochloride 0.2 mg/ml
Injektion Gentamicin sulfate 0.8 mg/ml
5 % Glukose 405
Kompatibel
Injektion Hydromorphone hydrochloride
Injektion Glycopyrronium bromide
5073
Kompatibel
Injektion Hydromorphone hydrochloride 0.5 mg/ml
Injektion Granisetron hydrochloride 0.056 mg/ml
0,9 % Natriumklorid 6
Kompatibel
Injektion Hydromorphone hydrochloride 0.5 mg/ml
Injektion Granisetron hydrochloride 1 mg/ml
0,9 % Natriumklorid 57
Kompatibel
Injektion Hydromorphone hydrochloride 0.5 mg/ml
Injektion Granisetron hydrochloride 0.05 mg/ml
5 % Glukose 182
Kompatibel
Injektion Hydromorphone hydrochloride 10 mg/ml
Injektion Haloperidol lactate 1 mg/ml
Ingen 216
Kompatibel
Injektion Hydromorphone hydrochloride 10 mg/ml
Injektion Haloperidol lactate 5 mg/ml
Ingen 216
Kompatibel
Injektion Hydromorphone hydrochloride 1 mg/ml
Injektion Haloperidol lactate 5 mg/ml
Ingen 216
Kompatibel
Injektion Hydromorphone hydrochloride 1 mg/ml
Injektion Haloperidol lactate 2 mg/ml
Ingen 216
Kompatibel
Injektion Hydromorphone hydrochloride 1 mg/ml
Injektion Haloperidol lactate 1 mg/ml
Ingen 216
Kompatibel
Injektion Hydromorphone hydrochloride 0.5 mg/ml
Injektion Haloperidol lactate 0.2 mg/ml
5 % Glukose 1974
Kompatibel
Injektion Hydromorphone hydrochloride
Injektion Haloperidol lactate
5073
Kompatibel
Injektion Hydromorphone hydrochloride 10 mg/ml
Injektion Haloperidol lactate 2 mg/ml
Ingen 216
Kompatibel
Injektion Hydromorphone hydrochloride <12.5 mg/ml
Injektion Heparin sodium
Vand til injektion 66
Kompatibel
Injektion Hydromorphone hydrochloride <12.5 mg/ml
Injektion Heparin sodium
0,9 % Natriumklorid 66
Kompatibel
Injektion Hydromorphone hydrochloride 1 mg/ml
Injektion Heparin sodium 100 UI/ml
314
Umiddelbar nedbør Uforenelig
Injektion Hydromorphone hydrochloride >25 mg/ml
Injektion Heparin sodium <12,5 UI/ml
Vand til injektion 66
Umiddelbar nedbør Uforenelig
Injektion Hydromorphone hydrochloride >10 mg/ml
Injektion Heparin sodium <1 UI/ml
Vand til injektion 66
Umiddelbar nedbør Uforenelig
Injektion Hydromorphone hydrochloride >25 mg/ml
Injektion Heparin sodium <12,5 UI/ml
0,9 % Natriumklorid 66
Kompatibel
Injektion Hydromorphone hydrochloride 0.5 mg/ml
Injektion Hetastarch 60 mg/ml
specifikt opløsningsmiddel 1721
Kemisk ustabilitet Uforenelig
Injektion Hydromorphone hydrochloride 2 >> 40 mg/ml
Injektion Hyaluronidase 150 UI/ml
5 % Glukose 9
Kompatibel
Injektion Hydromorphone hydrochloride
Injektion Hyaluronidase
3184
Kemisk ustabilitet Uforenelig
Injektion Hydromorphone hydrochloride 2 >> 40 mg/ml
Injektion Hyaluronidase 150 UI/ml
0,9 % Natriumklorid 9
Kompatibel
Injektion Hydromorphone hydrochloride 0.5 mg/ml
Injektion Hydroxyzine dihydrochloride 4 mg/ml
5 % Glukose 1974
Kompatibel
Injektion Hydromorphone hydrochloride 1 mg/ml
Injektion Isavuconazonium sulfate 1.5 mg/ml
0,9 % Natriumklorid 3829
Kompatibel
Injektion Hydromorphone hydrochloride 1 mg/ml
Injektion Isavuconazonium sulfate 1.5 mg/ml
5 % Glukose 3829
Kompatibel
Injektion Hydromorphone hydrochloride 0.2 mg/ml
Injektion Kanamycin sulfate 2.5 mg/ml
5 % Glukose 405
Kompatibel
Injektion Hydromorphone hydrochloride
Injektion Ketamine hydrochloride
5073
Kompatibel
Injektion Hydromorphone hydrochloride 0.2 mg/ml
Injektion Ketamine hydrochloride 0.2 >> 1 mg/ml
0,9 % Natriumklorid 2336
Kompatibel
Injektion Hydromorphone hydrochloride 0.5 mg/ml
Injektion Ketorolac tromethamine 1 mg/ml
5 % Glukose 1974
Kompatibel
Injektion Hydromorphone hydrochloride 10 mg/ml
Injektion Ketorolac tromethamine 15 mg/ml
Ingen 216
Kompatibel
Injektion Hydromorphone hydrochloride 1 mg/ml
Injektion Ketorolac tromethamine 30 mg/ml
Ingen 216
Kompatibel
Injektion Hydromorphone hydrochloride 1 mg/ml
Injektion Ketorolac tromethamine 15 mg/ml
Ingen 216
Umiddelbar nedbør Uforenelig
Injektion Hydromorphone hydrochloride 10 mg/ml
Injektion Ketorolac tromethamine 30 mg/ml
Ingen 216
Kompatibel
Injektion Hydromorphone hydrochloride 1 mg/ml
Injektion Labetalol hydrochloride 2 mg/ml
314
Nedbør efter 1 time Uforenelig
Injektion Hydromorphone hydrochloride 0.5 mg/ml
Injektion Lansoprazole 0.55 mg/ml
0,9 % Natriumklorid 1625
Kompatibel
Injektion Hydromorphone hydrochloride 2 mg/ml
Injektion Levofloxacine 5 mg/ml
Ingen 2335
Kompatibel
Injektion Hydromorphone hydrochloride
Injektion Levomepromazine
5073
Kompatibel
Injektion Hydromorphone hydrochloride 10 mg/ml
Injektion Levosimendan 2,5 mg/ml
4389
Kompatibel
Injektion Hydromorphone hydrochloride 0.5 mg/ml
Injektion Linezolid 2 mg/ml
Ingen 1925
Kompatibel
Injektion Hydromorphone hydrochloride 0.5 mg/ml
Injektion Lorazepam 0.1 mg/ml
5 % Glukose 1974
Kompatibel
Injektion Hydromorphone hydrochloride 2 >> 40 mg/ml
Injektion Lorazepam 4 mg/ml
Ingen 1497
Kompatibel
Injektion Hydromorphone hydrochloride 1 mg/ml
Injektion Lorazepam 0.5 mg/ml
314
Kompatibel
Injektion Hydromorphone hydrochloride 2 mg/ml
Injektion Magnesium sulfate 16,67 >> 100 mg/ml
5 % Glukose 517
Kompatibel
Injektion Hydromorphone hydrochloride 0.5 mg/ml
Injektion Melphalan 0.1 mg/ml
0,9 % Natriumklorid 169
Kompatibel
Injektion Hydromorphone hydrochloride 10 mg/ml
Injektion Meropenem 50 mg/ml
Vand til injektion 4319
Kemisk ustabilitet Uforenelig
Injektion Hydromorphone hydrochloride
Injektion Metamizol sodium
2364
Kompatibel
Injektion Hydromorphone hydrochloride
Injektion Metoclopramide hydrochloride
5073
Kompatibel
Injektion Hydromorphone hydrochloride 0.5 mg/ml
Injektion Metoclopramide hydrochloride 5 mg/ml
5 % Glukose 1974
Kompatibel
Injektion Hydromorphone hydrochloride 0.2 mg/ml
Injektion Metronidazole 5 mg/ml
5 % Glukose 405
Kompatibel
Injektion Hydromorphone hydrochloride 0.5 mg/ml
Injektion Micafungin 1.5 mg/ml
0,9 % Natriumklorid 2108
Kompatibel
Injektion Hydromorphone hydrochloride
Injektion Midazolam hydrochloride
5073
Kompatibel
Injektion Hydromorphone hydrochloride 0.5 mg/ml
Injektion Midazolam hydrochloride 0.2 mg/ml
5 % Glukose 1974
Kompatibel
Injektion Hydromorphone hydrochloride 0.5 >> 45 mg/ml
Injektion Midazolam hydrochloride 0.1 >> 4.5 mg/ml
5 % Glukose 345
Kompatibel
Injektion Hydromorphone hydrochloride 1 mg/ml
Injektion Midazolam hydrochloride 2 mg/ml
314
Kompatibel
Injektion Hydromorphone hydrochloride 0.5 >> 45 mg/ml
Injektion Midazolam hydrochloride 0.1 >> 4.5 mg/ml
0,9 % Natriumklorid 345
Kompatibel
Injektion Hydromorphone hydrochloride 1 mg/ml
Injektion Milrinone lactate 0.2 mg/ml
314
Farveændring efter 1 time Uforenelig
Injektion Hydromorphone hydrochloride 0.2 mg/ml
Injektion Minocycline hydrochloride 0.2 mg/ml
5 % Glukose 405
Kompatibel
Injektion Hydromorphone hydrochloride 1 mg/ml
Injektion Morphine sulfate 2 mg/ml
314
Kompatibel
Injektion Hydromorphone hydrochloride 0.2 mg/ml
Injektion Moxalactam 20 mg/ml
5 % Glukose 405
Kompatibel
Injektion Hydromorphone hydrochloride 0.2 mg/ml
Injektion Nafcillin sodium 20 mg/ml
5 % Glukose 405
Kompatibel
Injektion Hydromorphone hydrochloride 10 mg/ml
Injektion Naloxone hydrochloride 0.4 mg/ml
Ingen 3408
Kompatibel
Injektion Hydromorphone hydrochloride 1 mg/ml
Injektion Nicardipine hydrochloride 1 mg/ml
314
Kompatibel
Injektion Hydromorphone hydrochloride 1 mg/ml
Injektion Nitroglycerin 0.4 mg/ml
314
Kompatibel
Injektion Hydromorphone hydrochloride 1 mg/ml
Injektion Norepinephrine bitartrate 0.128 mg/ml
314
Kompatibel
Injektion Hydromorphone hydrochloride 0,5 mg/ml
Injektion Ondansetron hydrochloride 0,1 & 1 mg/ml
0,9 % Natriumklorid 6
Kompatibel
Injektion Hydromorphone hydrochloride 0.5 mg/ml
Injektion Ondansetron hydrochloride 1 mg/ml
0,9 % Natriumklorid 334
Kompatibel
Injektion Hydromorphone hydrochloride 0.2 mg/ml
Injektion Oxacillin sodium 20 mg/ml
5 % Glukose 405
Kompatibel
Injektion Hydromorphone hydrochloride 0,5 mg/ml
Injektion Oxaliplatin 0,5 mg/ml
5 % Glukose 1662
Kompatibel
Injektion Hydromorphone hydrochloride 0.5 mg/ml
Injektion Paclitaxel 1.2 mg/ml
5 % Glukose 248
Kompatibel
Injektion Hydromorphone hydrochloride 0.5 mg/ml
Injektion Palonosetron hydrochloride 50 µg/ml
5 % Glukose 2196
Nedbør efter 4 timer Uforenelig
Injektion Hydromorphone hydrochloride
Injektion Pantoprazole sodium
2090
Kompatibel
Injektion Hydromorphone hydrochloride 10 mg/ml
Injektion Paracetamol 10 mg/ml
4742
Kompatibel
Injektion Hydromorphone hydrochloride 2 mg/ml
Injektion Paracetamol 10 mg/ml
Ingen 3571
Uspecificeret inkompatibilitet Uforenelig
Injektion Hydromorphone hydrochloride
Injektion Parecoxib sodium
3504
Kompatibel
Injektion Hydromorphone hydrochloride 0.5 mg/ml
Injektion Pemetrexed disodium 20 mg/ml
0,9 % Natriumklorid 1953
Kompatibel
Injektion Hydromorphone hydrochloride 0.2 mg/ml
Injektion Penicillin G potassium 0.1 MUI/ml
5 % Glukose 405
Umiddelbar nedbør Uforenelig
Injektion Hydromorphone hydrochloride 2 >> 40 mg/ml
Injektion Phenobarbital sodium 120 mg/ml
5 % Glukose 226
Kompatibel
Injektion Hydromorphone hydrochloride 0.5 mg/ml
Injektion Phenobarbital sodium 2 mg/ml
5 % Glukose 1974
Umiddelbar nedbør Uforenelig
Injektion Hydromorphone hydrochloride 2 >> 40 mg/ml
Injektion Phenytoin sodium 50 mg/ml
5 % Glukose 226
Nedbør efter 1 time Uforenelig
Injektion Hydromorphone hydrochloride 0.5 mg/ml
Injektion Phenytoin sodium 2 mg/ml
5 % Glukose 1974
Kompatibel
Injektion Hydromorphone hydrochloride 0.2 mg/ml
Injektion Piperacillin sodium 60 mg/ml
5 % Glukose 405
Kompatibel
Injektion Hydromorphone hydrochloride 0.5 mg/ml
Injektion Piperacillin sodium / tazobactam 40/5 mg/ml
5 % Glukose 81
Kompatibel
Injektion Hydromorphone hydrochloride 1 mg/ml
Injektion Plazomicin sulfate 24 mg/ml
0,9 % Natriumklorid 4145
Kompatibel
Injektion Hydromorphone hydrochloride
Injektion Posaconazole
4380
Kompatibel
Injektion Hydromorphone hydrochloride 25 mg/ml
Injektion Potassium chloride 1000 mEq/l
Vand til injektion 66
Kompatibel
Injektion Hydromorphone hydrochloride 5 >> 20 mg/ml
Injektion Potassium chloride 500 & 1000 mEq/l
5 % Glukose 66
Kompatibel
Injektion Hydromorphone hydrochloride 2 >> 40 mg/ml
Injektion Prochlorperazine edysilate 5 mg/ml
Ingen 1497
Kompatibel
Injektion Hydromorphone hydrochloride 0,5 mg/ml
Injektion Prochlorperazine edysilate 1,5 mg/ml
0,9 % Natriumklorid 767
Kompatibel
Injektion Hydromorphone hydrochloride 1 mg/ml
Injektion Promethazine hydrochloride 0.3 mg/ml
0,9 % Natriumklorid 795
Kompatibel
Injektion Hydromorphone hydrochloride 0.5 mg/ml
Injektion Propofol 10 mg/ml
Ingen 300
Kompatibel
Injektion Hydromorphone hydrochloride 1 mg/ml
Injektion Ranitidine hydrochloride 1 mg/ml
314
Kompatibel
Injektion Hydromorphone hydrochloride 2 mg/ml
Injektion Ranitidine hydrochloride 25 mg/ml
Ingen 58
Kompatibel
Injektion Hydromorphone hydrochloride 1 mg/ml
Injektion Remdesivir 1 mg/ml
0,9 % Natriumklorid 4768
Kompatibel
Injektion Hydromorphone hydrochloride 10 mg/ml
Injektion Salbutamol sulfate 1 mg/ml
Ingen 3216
Nedbør efter 30 minutter Uforenelig
Injektion Hydromorphone hydrochloride 0.5 mg/ml
Injektion Sargramostim 10 µg/ml
0,9 % Natriumklorid 335
Kompatibel
Injektion Hydromorphone hydrochloride 0.5 mg/ml
Injektion Scopolamine hydrobromide 0.05 mg/ml
5 % Glukose 1974
Kompatibel
Injektion Hydromorphone hydrochloride
Injektion Scopolamine hydrobromide
5073
Kompatibel
Injektion Hydromorphone hydrochloride 0,1 & 1 mg/ml
Injektion Tacrolimus 5 & 20 µg/ml
5 % Glukose 814
Kompatibel
Injektion Hydromorphone hydrochloride 1 mg/ml
Injektion Tedizolid phosphate 0.8 mg/ml
0,9 % Natriumklorid 3827
Kompatibel
Injektion Hydromorphone hydrochloride 0.5 mg/ml
Injektion Teniposide 0.1 mg/ml
5 % Glukose 905
Umiddelbar nedbør Uforenelig
Injektion Hydromorphone hydrochloride 10 mg/ml
Injektion Thiopental sodium 25 mg/ml
0,9 % Natriumklorid 3767
Nedbør efter 4 timer Uforenelig
Injektion Hydromorphone hydrochloride 1 mg/ml
Injektion Thiopental sodium 25 mg/ml
314
Kompatibel
Injektion Hydromorphone hydrochloride 0.5 mg/ml
Injektion Thiotepa 1 mg/ml
5 % Glukose 249
Kompatibel
Injektion Hydromorphone hydrochloride
0,9 % Natriumklorid 5073
Kompatibel
Injektion Hydromorphone hydrochloride
Injektion Scopolamine N-butyl bromide
5073
Kompatibel
Injektion Hydromorphone hydrochloride 1 mg/ml
Injektion Sulbactam/durlobactam 15/15 mg/ml
0,9 % Natriumklorid 4801
Kompatibel
Injektion Hydromorphone hydrochloride 0.2 mg/ml
Injektion Tobramycin sulfate 0.8 mg/ml
5 % Glukose 405
Kompatibel
Injektion Hydromorphone hydrochloride 0.2 mg/ml
Injektion Vancomycin hydrochloride 5 mg/ml
5 % Glukose 405
Kompatibel
Injektion Hydromorphone hydrochloride 2 mg/ml
Injektion Vancomycin hydrochloride 4 mg/ml
0,9 % Natriumklorid 2335
Kompatibel
Injektion Hydromorphone hydrochloride 1 mg/ml
Injektion Vecuronium bromide 1 mg/ml
314
Kompatibel
Injektion Hydromorphone hydrochloride 0.016 mg/ml
Injektion Verapamil hydrochloride 0.08 mg/ml
0,9 % Natriumklorid 1057
Kompatibel
Injektion Hydromorphone hydrochloride 0.016 mg/ml
Injektion Verapamil hydrochloride 0.08 mg/ml
5 % Glukose 1057
Kompatibel
Injektion Hydromorphone hydrochloride 0.5 mg/ml
Injektion Vinorelbine tartrate 1 mg/ml
0,9 % Natriumklorid 84

  Mentions Légales