Zadnji put ažurirano :
18/03/2026
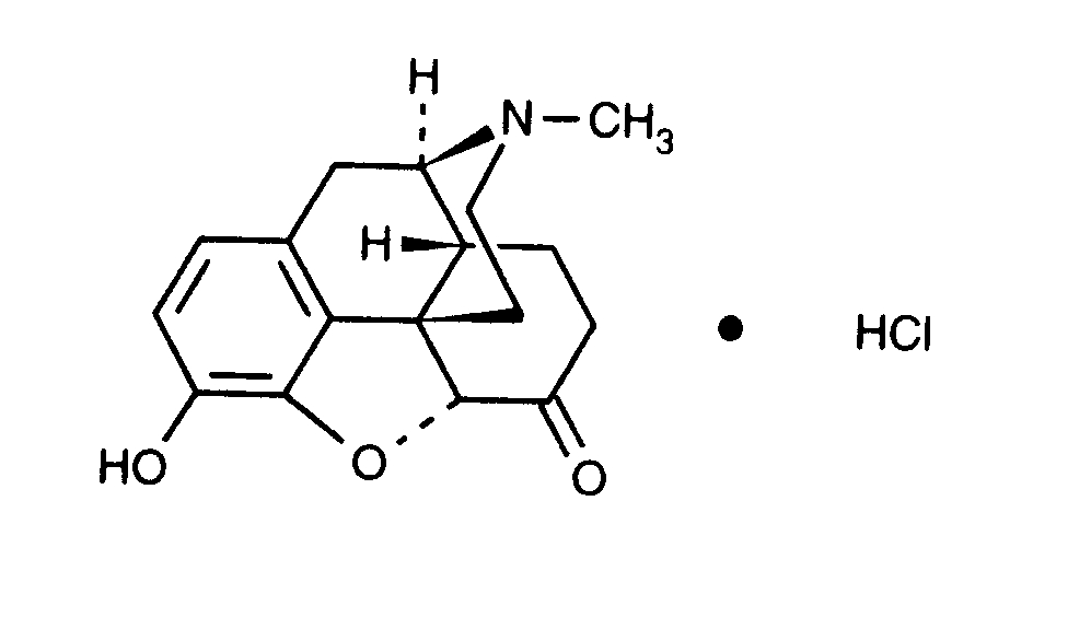
analgetik   Hydromorphone hydrochloride  
injekcija
Stabilizacija rješenja Stabilnost mješavine Stabilizacijski faktor Kompatibilnosti način davanja lijeka Bibliografija pdf
   Kemijska struktura  

Nekomercijalni   Nekomercijalni     

Zaštićeni nazivi su indikativni i sastav ekscipijensa može biti različit ovisno o državi i laboratorijima

Dilaudid Kanada, S A D
Hydal Austrija
Palladon Danska, Švicarska
Palladone Velika Britanija
Kompatibilnosti   injekcija   Kompatibilnosti : Hydromorphone hydrochloride              
Ovdje su prikazane kompatibilnosti ili nekompatibilnosti s tipom nekompatibilnosti (taloženje, promjena boje, modifikacija emulzije itd.) u ovom slučaju. Kompatibilnosti prikazane ovdje najčešće su fizikalne dok se kemijska stabilnost molekule rijetko procjenjuje. Procjena ovih mikstura je proučavana kako bi se razmotrila mogućnost primjene lijeka putem Y-mjesta. Ovi se podaci ne smiju koristiti za pripremu mikstura unaprijed u vrećicama ili štrcaljkama. Ova vrsta informacije se može pronaći u odjeljku « stabilnost u miksturama ».
molekula sredstvo za rastapanje Bibliografija
Kompatibilan
injekcija Hydromorphone hydrochloride 0.04 mg/ml
injekcija Aciclovir sodium 5 mg/ml
glukoza 5% 336
Kompatibilan
injekcija Hydromorphone hydrochloride 0.5 mg/ml
injekcija Allopurinol sodium 3 mg/ml
natrijumkorid 0,9% 307
Kompatibilan
injekcija Hydromorphone hydrochloride 0.5 mg/ml
injekcija Amifostine 10 mg/ml
glukoza 5% 3
Kompatibilan
injekcija Hydromorphone hydrochloride 0.2 mg/ml
injekcija Amikacin sulfate 5 mg/ml
glukoza 5% 405
Kompatibilan
injekcija Hydromorphone hydrochloride 10 mg/ml
injekcija Amoxicillin sodium / clavulanic acid 100/10 mg/ml
3824
Kompatibilan
injekcija Hydromorphone hydrochloride 2 >> 40 mg/ml
injekcija Ampicillin sodium 20 & 250 mg/ml
glukoza 5% 226
Kompatibilan
injekcija Hydromorphone hydrochloride 0.5 mg/ml
injekcija Amsacrine 1 mg/ml
glukoza 5% 253
Kompatibilan
injekcija Hydromorphone hydrochloride 0.5 mg/ml
injekcija Anidulafungin 0.5 mg/ml
glukoza 5% 1982
Kompatibilan
injekcija Hydromorphone hydrochloride 0.5 mg/ml
injekcija Aztreonam 40 mg/ml
glukoza 5% 99
Kompatibilan
injekcija Hydromorphone hydrochloride 0.5 mg/ml
injekcija Bivalirudin 5 mg/ml
glukoza 5% 1713
Neposredna nestabilnost emulzije inkompatibilan
injekcija Hydromorphone hydrochloride 0.5 mg/ml
Parenteralna prehrana (lipidima) 1415
Kompatibilan
injekcija Hydromorphone hydrochloride 10 mg/ml
Ringer laktat 4603
Gubitak zamućenosti inkompatibilan
injekcija Hydromorphone hydrochloride 0.5 mg/ml
injekcija Amphotericin B cholesteryl sulfate complex 0.83 mg/ml
glukoza 5% 921
Kompatibilan
injekcija Hydromorphone hydrochloride 0.2 mg/ml
injekcija Ampicillin sodium 20 mg/ml
glukoza 5% 405
Kompatibilan
injekcija Hydromorphone hydrochloride 0.5 mg/ml
injekcija Atropine sulfate 0.4 mg/ml
glukoza 5% 1974
Kompatibilan
injekcija Hydromorphone hydrochloride 0,02 & 0,1 mg/ml
injekcija Bupivacaine hydrochloride 0,625 & 1,25 mg/ml
natrijumkorid 0,9% 306
Kompatibilan
injekcija Hydromorphone hydrochloride
glukoza 5% 5073
Kompatibilan
injekcija Hydromorphone hydrochloride 0,02 & 0,04 mg/ml
injekcija Bupivacaine hydrochloride 2,5 mg/ml
natrijumkorid 0,9% 1931
Kompatibilan
injekcija Hydromorphone hydrochloride 15 mg/ml
injekcija Bupivacaine hydrochloride 10 mg/ml
nijedan 4200
Kompatibilan
injekcija Hydromorphone hydrochloride 2,5 mg/ml
Parenteralna prehrana (lipidima) 4507
Kompatibilan
injekcija Hydromorphone hydrochloride 25 mg/ml
injekcija Bupivacaine hydrochloride 20 mg/ml
natrijumkorid 0,9% 3131
Kompatibilan
injekcija Hydromorphone hydrochloride 65 mg/ml
injekcija Bupivacaine hydrochloride 7,5 mg/ml
nijedan 221
Kompatibilan
injekcija Hydromorphone hydrochloride 50 mg/ml
injekcija Caffeine 10 mg/ml
nijedan 3964
Kompatibilan
injekcija Hydromorphone hydrochloride 1 mg/ml
injekcija Caspofungin acetate 0,7 mg/ml
natrijumkorid 0,9% 2247
Kompatibilan
injekcija Hydromorphone hydrochloride 1 mg/ml
injekcija Caspofungin acetate 0.5 mg/ml
natrijumkorid 0,9% 2233
Kompatibilan
injekcija Hydromorphone hydrochloride 0.2 mg/ml
injekcija Cefalotin sodium 20 mg/ml
glukoza 5% 405
Kompatibilan
injekcija Hydromorphone hydrochloride 0.2 mg/ml
injekcija Cefamandole nafate 20 mg/ml
glukoza 5% 405
Kompatibilan
injekcija Hydromorphone hydrochloride 0.2 mg/ml
injekcija Cefazolin sodium 20 mg/ml
glukoza 5% 405
Kompatibilan
injekcija Hydromorphone hydrochloride 2 >> 40 mg/ml
injekcija Cefazolin sodium 20 mg/ml
glukoza 5% 226
Neposredne oborine inkompatibilan
injekcija Hydromorphone hydrochloride 2 >> 40 mg/ml
injekcija Cefazolin sodium >200 mg/ml
glukoza 5% 226
Kompatibilan
injekcija Hydromorphone hydrochloride 1 mg/ml
injekcija Cefiderocol sulfate tosylate 20 mg/mL
natrijumkorid 0,9% 4528
Kompatibilan
injekcija Hydromorphone hydrochloride 1 mg/ml
injekcija Cefiderocol sulfate tosylate 20 mg/mL
glukoza 5% 4528
Kompatibilan
injekcija Hydromorphone hydrochloride 0.2 mg/ml
injekcija Cefmetazole sodium 100 mg/ml
čista voda za injektiranje 93
Kompatibilan
injekcija Hydromorphone hydrochloride 0.2 mg/ml
injekcija Cefoperazone sodium 20 mg/ml
glukoza 5% 405
Kompatibilan
injekcija Hydromorphone hydrochloride 0.2 mg/ml
injekcija Ceforanide 20 mg/ml
glukoza 5% 405
Kompatibilan
injekcija Hydromorphone hydrochloride 0.2 mg/ml
injekcija Cefotaxime sodium 20 mg/ml
glukoza 5% 405
Kompatibilan
injekcija Hydromorphone hydrochloride 0.2 mg/ml
injekcija Cefoxitin sodium 20 mg/ml
glukoza 5% 405
Kompatibilan
injekcija Hydromorphone hydrochloride 0,5 mg/ml
injekcija Ceftaroline fosamil 2,22 mg/ml
Ringer laktat 3249
Kompatibilan
injekcija Hydromorphone hydrochloride 0,5 mg/ml
injekcija Ceftaroline fosamil 2,22 mg/ml
glukoza 5% 3249
Kompatibilan
injekcija Hydromorphone hydrochloride 0,5 mg/ml
injekcija Ceftaroline fosamil 2,22 mg/ml
natrijumkorid 0,9% 3249
Kompatibilan
injekcija Hydromorphone hydrochloride 2 >> 40 mg/ml
injekcija Ceftazidime 40 & 180 mg/ml
glukoza 5% 226
Kompatibilan
injekcija Hydromorphone hydrochloride 0.2 mg/ml
injekcija Ceftizoxime sodium 20 mg/ml
glukoza 5% 405
Neposredne oborine inkompatibilan
injekcija Hydromorphone hydrochloride 1 mg/ml
injekcija Ceftobiprole medocaril sodium 2 mg/ml
natrijumkorid 0,9% 2269
Neposredne oborine inkompatibilan
injekcija Hydromorphone hydrochloride 1 mg/ml
injekcija Ceftobiprole medocaril sodium 2 mg/ml
Ringer laktat 2269
Neodređena nespojivost inkompatibilan
injekcija Hydromorphone hydrochloride
injekcija Ceftobiprole medocaril sodium
4650
Neposredne oborine inkompatibilan
injekcija Hydromorphone hydrochloride 1 mg/ml
injekcija Ceftobiprole medocaril sodium 2 mg/ml
glukoza 5% 2269
Kompatibilan
injekcija Hydromorphone hydrochloride 1 mg/ml
injekcija Ceftolozane / tazobactam 10/5 mg/ml
glukoza 5% 3828
Kompatibilan
injekcija Hydromorphone hydrochloride 1 mg/ml
injekcija Ceftolozane / tazobactam 10/5 mg/ml
natrijumkorid 0,9% 3828
Kompatibilan
injekcija Hydromorphone hydrochloride 0.2 mg/ml
injekcija Cefuroxime sodium 30 mg/ml
glukoza 5% 405
Kompatibilan
injekcija Hydromorphone hydrochloride 0.2 mg/ml
injekcija Chloramphenicol sodium succinate 20 mg/ml
glukoza 5% 405
Kompatibilan
injekcija Hydromorphone hydrochloride 0.5 mg/ml
injekcija Cisatracurium besylate 0.1 >> 5 mg/ml
glukoza 5% 299
Kompatibilan
injekcija Hydromorphone hydrochloride 0.5 mg/ml
injekcija Cladribine 0.015 mg/ml
natrijumkorid 0,9% 1496
Kompatibilan
injekcija Hydromorphone hydrochloride 0.5 mg/ml
injekcija Cladribine 0.5 mg/ml
NaCL 0,9% + bakteriostatična 1496
Kompatibilan
injekcija Hydromorphone hydrochloride 10 mg/ml
injekcija Cloxacillin sodium 100 mg/ml
čista voda za injektiranje 3012
Kompatibilan
injekcija Hydromorphone hydrochloride 0.2 mg/ml
injekcija Co-trimoxazole 4/0.8 mg/ml
glukoza 5% 405
Kompatibilan
injekcija Hydromorphone hydrochloride < 10 mg/ml
injekcija Dexamethasone sodium phosphate 2 >> 10 mg/ml
389
Kompatibilan
injekcija Hydromorphone hydrochloride 0.5 mg/ml
injekcija Dexamethasone sodium phosphate 1 mg/ml
glukoza 5% 1974
Kompatibilan
injekcija Hydromorphone hydrochloride 1 >> 40 mg/ml
injekcija Dexamethasone sodium phosphate < 2 mg/ml
389
Kompatibilan
injekcija Hydromorphone hydrochloride 0.5 mg/ml
injekcija Dexmedetomidine 4 µg/ml
natrijumkorid 0,9% 1712
Padavine nakon 2 sata inkompatibilan
injekcija Hydromorphone hydrochloride
injekcija Dimenhydrinate
2087
Kompatibilan
injekcija Hydromorphone hydrochloride 0.5 mg/ml
Parenteralna prehrana (bezlipidna) 301
Kompatibilan
injekcija Hydromorphone hydrochloride 2 mg/ml
injekcija Cimetidine hydrochloride 150 mg/ml
1438
Kompatibilan
injekcija Hydromorphone hydrochloride 0.2 mg/ml
injekcija Clindamycin phosphate 12 mg/ml
glukoza 5% 405
Neposredne oborine inkompatibilan
injekcija Hydromorphone hydrochloride 2 >> 40 mg/ml
injekcija Cloxacillin sodium 40 & 250 mg/ml
glukoza 5% 226
Neposredne oborine inkompatibilan
injekcija Hydromorphone hydrochloride
injekcija Cyclizine lactate
5073
Kompatibilan
injekcija Hydromorphone hydrochloride
injekcija Dexamethasone sodium phosphate
5073
Neposredne oborine inkompatibilan
injekcija Hydromorphone hydrochloride > 15 mg/ml
injekcija Dexamethasone sodium phosphate > 3 mg/ml
389
Kompatibilan
injekcija Hydromorphone hydrochloride 0.5 mg/ml
injekcija Diazepam 0.5 mg/ml
glukoza 5% 1974
Neposredne oborine inkompatibilan
injekcija Hydromorphone hydrochloride 2 >> 40 mg/ml
injekcija Diazepam 5 mg/ml
glukoza 5% 226
Kompatibilan
injekcija Hydromorphone hydrochloride 1 mg/ml
injekcija Diltiazem hydrochloride 1 mg/ml
314
Kompatibilan
injekcija Hydromorphone hydrochloride 2 >> 40 mg/ml
injekcija Dimenhydrinate 50 mg/ml
nijedan 1497
Kompatibilan
injekcija Hydromorphone hydrochloride 0.5 mg/ml
injekcija Diphenhydramine hydrochloride 2 mg/ml
glukoza 5% 1974
Kompatibilan
injekcija Hydromorphone hydrochloride 1 mg/ml
injekcija Dobutamine hydrochloride 4 mg/ml
314
Kompatibilan
injekcija Hydromorphone hydrochloride 0.5 mg/ml
injekcija Docetaxel 0.9 mg/ml
glukoza 5% 1754
Kompatibilan
injekcija Hydromorphone hydrochloride 1 mg/ml
injekcija Dopamine hydrochloride 3.2 mg/ml
314
Kompatibilan
injekcija Hydromorphone hydrochloride 1 mg/ml
injekcija Doripenem 5 mg/ml
glukoza 5% 2262
Kompatibilan
injekcija Hydromorphone hydrochloride 1 mg/ml
injekcija Doripenem 5 mg/ml
natrijumkorid 0,9% 2262
Kompatibilan
injekcija Hydromorphone hydrochloride 0.5 mg/ml
injekcija Doxorubicin hydrochloride liposome peg 0.4 mg/ml
glukoza 5% 251
Kompatibilan
injekcija Hydromorphone hydrochloride 0.2 mg/ml
injekcija Doxycycline hyclate 1 mg/ml
glukoza 5% 405
Kompatibilan
injekcija Hydromorphone hydrochloride 1 mg/ml
injekcija Epinephrine hydrochloride 20 µg/ml
314
Kompatibilan
injekcija Hydromorphone hydrochloride 1 mg/ml
injekcija Eravacycline 0,6 mg/ml
natrijumkorid 0,9% 4434
Kompatibilan
injekcija Hydromorphone hydrochloride 0.2 mg/ml
injekcija Erythromycin lactobionate 5 mg/ml
glukoza 5% 405
Kompatibilan
injekcija Hydromorphone hydrochloride 0.5 mg/ml
injekcija Etoposide phosphate 5 mg/ml
glukoza 5% 1410
Kompatibilan
injekcija Hydromorphone hydrochloride 0.5 mg/ml
injekcija Famotidine 2 mg/ml
natrijumkorid 0,9% 215
Kompatibilan
injekcija Hydromorphone hydrochloride 0.5 mg/ml
injekcija Fenoldopam mesylate 80 µg/ml
natrijumkorid 0,9% 1803
Kompatibilan
injekcija Hydromorphone hydrochloride 1 mg/ml
injekcija Fentanyl citrate 50 µg/ml
314
Kompatibilan
injekcija Hydromorphone hydrochloride 0.5 mg/ml
injekcija Filgrastim 30 µg/ml
glukoza 5% 244
Kompatibilan
injekcija Hydromorphone hydrochloride 0.5 mg/ml
injekcija Fludarabine phosphate 1 mg/ml
glukoza 5% 492
Kompatibilan
injekcija Hydromorphone hydrochloride 0.5 mg/ml
injekcija Fluorouracil 1 & 16 mg/ml
glukoza 5% 513
Kompatibilan
injekcija Hydromorphone hydrochloride 0.5 mg/ml
injekcija Fluorouracil 1 & 16 mg/ml
natrijumkorid 0,9% 513
Kompatibilan
injekcija Hydromorphone hydrochloride 10 mg/ml
injekcija Foscarnet sodium 24 mg/ml
nijedan 73
Kompatibilan
injekcija Hydromorphone hydrochloride 1 mg/ml
injekcija Fosfomycin 30 mg/ml
glukoza 5% 4055
Kompatibilan
injekcija Hydromorphone hydrochloride 1 mg/ml
injekcija Fosfomycin 30 mg/ml
natrijumkorid 0,9% 4055
Kompatibilan
injekcija Hydromorphone hydrochloride 1 mg/ml
injekcija Furosemide 10 mg/ml
314
Zamućenost u 24 sata inkompatibilan
injekcija Hydromorphone hydrochloride 4 mg/ml
injekcija Gallium nitrate 1 mg/ml
natrijumkorid 0,9% 91
Kompatibilan
injekcija Hydromorphone hydrochloride 0.5 mg/ml
injekcija Gemcitabine hydrochloride 10 mg/ml
natrijumkorid 0,9% 1423
Kompatibilan
injekcija Hydromorphone hydrochloride 0.2 mg/ml
injekcija Gentamicin sulfate 0.8 mg/ml
glukoza 5% 405
Kompatibilan
injekcija Hydromorphone hydrochloride
injekcija Glycopyrronium bromide
5073
Kompatibilan
injekcija Hydromorphone hydrochloride 0.5 mg/ml
injekcija Granisetron hydrochloride 0.056 mg/ml
natrijumkorid 0,9% 6
Kompatibilan
injekcija Hydromorphone hydrochloride 0.5 mg/ml
injekcija Granisetron hydrochloride 1 mg/ml
natrijumkorid 0,9% 57
Kompatibilan
injekcija Hydromorphone hydrochloride 0.5 mg/ml
injekcija Granisetron hydrochloride 0.05 mg/ml
glukoza 5% 182
Kompatibilan
injekcija Hydromorphone hydrochloride 10 mg/ml
injekcija Haloperidol lactate 1 mg/ml
nijedan 216
Kompatibilan
injekcija Hydromorphone hydrochloride 10 mg/ml
injekcija Haloperidol lactate 5 mg/ml
nijedan 216
Kompatibilan
injekcija Hydromorphone hydrochloride 1 mg/ml
injekcija Haloperidol lactate 5 mg/ml
nijedan 216
Kompatibilan
injekcija Hydromorphone hydrochloride 1 mg/ml
injekcija Haloperidol lactate 2 mg/ml
nijedan 216
Kompatibilan
injekcija Hydromorphone hydrochloride 1 mg/ml
injekcija Haloperidol lactate 1 mg/ml
nijedan 216
Kompatibilan
injekcija Hydromorphone hydrochloride 0.5 mg/ml
injekcija Haloperidol lactate 0.2 mg/ml
glukoza 5% 1974
Kompatibilan
injekcija Hydromorphone hydrochloride
injekcija Haloperidol lactate
5073
Kompatibilan
injekcija Hydromorphone hydrochloride 10 mg/ml
injekcija Haloperidol lactate 2 mg/ml
nijedan 216
Kompatibilan
injekcija Hydromorphone hydrochloride <12.5 mg/ml
injekcija Heparin sodium
čista voda za injektiranje 66
Kompatibilan
injekcija Hydromorphone hydrochloride <12.5 mg/ml
injekcija Heparin sodium
natrijumkorid 0,9% 66
Kompatibilan
injekcija Hydromorphone hydrochloride 1 mg/ml
injekcija Heparin sodium 100 UI/ml
314
Neposredne oborine inkompatibilan
injekcija Hydromorphone hydrochloride >25 mg/ml
injekcija Heparin sodium <12,5 UI/ml
čista voda za injektiranje 66
Neposredne oborine inkompatibilan
injekcija Hydromorphone hydrochloride >10 mg/ml
injekcija Heparin sodium <1 UI/ml
čista voda za injektiranje 66
Neposredne oborine inkompatibilan
injekcija Hydromorphone hydrochloride >25 mg/ml
injekcija Heparin sodium <12,5 UI/ml
natrijumkorid 0,9% 66
Kompatibilan
injekcija Hydromorphone hydrochloride 0.5 mg/ml
injekcija Hetastarch 60 mg/ml
Specifična otapala 1721
Kemijska nestabilnost inkompatibilan
injekcija Hydromorphone hydrochloride 2 >> 40 mg/ml
injekcija Hyaluronidase 150 UI/ml
glukoza 5% 9
Kompatibilan
injekcija Hydromorphone hydrochloride
injekcija Hyaluronidase
3184
Kemijska nestabilnost inkompatibilan
injekcija Hydromorphone hydrochloride 2 >> 40 mg/ml
injekcija Hyaluronidase 150 UI/ml
natrijumkorid 0,9% 9
Kompatibilan
injekcija Hydromorphone hydrochloride 0.5 mg/ml
injekcija Hydroxyzine dihydrochloride 4 mg/ml
glukoza 5% 1974
Kompatibilan
injekcija Hydromorphone hydrochloride 1 mg/ml
injekcija Isavuconazonium sulfate 1.5 mg/ml
natrijumkorid 0,9% 3829
Kompatibilan
injekcija Hydromorphone hydrochloride 1 mg/ml
injekcija Isavuconazonium sulfate 1.5 mg/ml
glukoza 5% 3829
Kompatibilan
injekcija Hydromorphone hydrochloride 0.2 mg/ml
injekcija Kanamycin sulfate 2.5 mg/ml
glukoza 5% 405
Kompatibilan
injekcija Hydromorphone hydrochloride
injekcija Ketamine hydrochloride
5073
Kompatibilan
injekcija Hydromorphone hydrochloride 0.2 mg/ml
injekcija Ketamine hydrochloride 0.2 >> 1 mg/ml
natrijumkorid 0,9% 2336
Kompatibilan
injekcija Hydromorphone hydrochloride 0.5 mg/ml
injekcija Ketorolac tromethamine 1 mg/ml
glukoza 5% 1974
Kompatibilan
injekcija Hydromorphone hydrochloride 10 mg/ml
injekcija Ketorolac tromethamine 15 mg/ml
nijedan 216
Kompatibilan
injekcija Hydromorphone hydrochloride 1 mg/ml
injekcija Ketorolac tromethamine 30 mg/ml
nijedan 216
Kompatibilan
injekcija Hydromorphone hydrochloride 1 mg/ml
injekcija Ketorolac tromethamine 15 mg/ml
nijedan 216
Neposredne oborine inkompatibilan
injekcija Hydromorphone hydrochloride 10 mg/ml
injekcija Ketorolac tromethamine 30 mg/ml
nijedan 216
Kompatibilan
injekcija Hydromorphone hydrochloride 1 mg/ml
injekcija Labetalol hydrochloride 2 mg/ml
314
Padavine nakon 1 sata inkompatibilan
injekcija Hydromorphone hydrochloride 0.5 mg/ml
injekcija Lansoprazole 0.55 mg/ml
natrijumkorid 0,9% 1625
Kompatibilan
injekcija Hydromorphone hydrochloride 2 mg/ml
injekcija Levofloxacine 5 mg/ml
nijedan 2335
Kompatibilan
injekcija Hydromorphone hydrochloride
injekcija Levomepromazine
5073
Kompatibilan
injekcija Hydromorphone hydrochloride 10 mg/ml
injekcija Levosimendan 2,5 mg/ml
4389
Kompatibilan
injekcija Hydromorphone hydrochloride 0.5 mg/ml
injekcija Linezolid 2 mg/ml
nijedan 1925
Kompatibilan
injekcija Hydromorphone hydrochloride 0.5 mg/ml
injekcija Lorazepam 0.1 mg/ml
glukoza 5% 1974
Kompatibilan
injekcija Hydromorphone hydrochloride 2 >> 40 mg/ml
injekcija Lorazepam 4 mg/ml
nijedan 1497
Kompatibilan
injekcija Hydromorphone hydrochloride 1 mg/ml
injekcija Lorazepam 0.5 mg/ml
314
Kompatibilan
injekcija Hydromorphone hydrochloride 2 mg/ml
injekcija Magnesium sulfate 16,67 >> 100 mg/ml
glukoza 5% 517
Kompatibilan
injekcija Hydromorphone hydrochloride 0.5 mg/ml
injekcija Melphalan 0.1 mg/ml
natrijumkorid 0,9% 169
Kompatibilan
injekcija Hydromorphone hydrochloride 10 mg/ml
injekcija Meropenem 50 mg/ml
čista voda za injektiranje 4319
Kemijska nestabilnost inkompatibilan
injekcija Hydromorphone hydrochloride
injekcija Metamizol sodium
2364
Kompatibilan
injekcija Hydromorphone hydrochloride
injekcija Metoclopramide hydrochloride
5073
Kompatibilan
injekcija Hydromorphone hydrochloride 0.5 mg/ml
injekcija Metoclopramide hydrochloride 5 mg/ml
glukoza 5% 1974
Kompatibilan
injekcija Hydromorphone hydrochloride 0.2 mg/ml
injekcija Metronidazole 5 mg/ml
glukoza 5% 405
Kompatibilan
injekcija Hydromorphone hydrochloride 0.5 mg/ml
injekcija Micafungin 1.5 mg/ml
natrijumkorid 0,9% 2108
Kompatibilan
injekcija Hydromorphone hydrochloride
injekcija Midazolam hydrochloride
5073
Kompatibilan
injekcija Hydromorphone hydrochloride 0.5 mg/ml
injekcija Midazolam hydrochloride 0.2 mg/ml
glukoza 5% 1974
Kompatibilan
injekcija Hydromorphone hydrochloride 0.5 >> 45 mg/ml
injekcija Midazolam hydrochloride 0.1 >> 4.5 mg/ml
glukoza 5% 345
Kompatibilan
injekcija Hydromorphone hydrochloride 1 mg/ml
injekcija Midazolam hydrochloride 2 mg/ml
314
Kompatibilan
injekcija Hydromorphone hydrochloride 0.5 >> 45 mg/ml
injekcija Midazolam hydrochloride 0.1 >> 4.5 mg/ml
natrijumkorid 0,9% 345
Kompatibilan
injekcija Hydromorphone hydrochloride 1 mg/ml
injekcija Milrinone lactate 0.2 mg/ml
314
Promjena boje nakon 1 sata inkompatibilan
injekcija Hydromorphone hydrochloride 0.2 mg/ml
injekcija Minocycline hydrochloride 0.2 mg/ml
glukoza 5% 405
Kompatibilan
injekcija Hydromorphone hydrochloride 1 mg/ml
injekcija Morphine sulfate 2 mg/ml
314
Kompatibilan
injekcija Hydromorphone hydrochloride 0.2 mg/ml
injekcija Moxalactam 20 mg/ml
glukoza 5% 405
Kompatibilan
injekcija Hydromorphone hydrochloride 0.2 mg/ml
injekcija Nafcillin sodium 20 mg/ml
glukoza 5% 405
Kompatibilan
injekcija Hydromorphone hydrochloride 10 mg/ml
injekcija Naloxone hydrochloride 0.4 mg/ml
nijedan 3408
Kompatibilan
injekcija Hydromorphone hydrochloride 1 mg/ml
injekcija Nicardipine hydrochloride 1 mg/ml
314
Kompatibilan
injekcija Hydromorphone hydrochloride 1 mg/ml
injekcija Nitroglycerin 0.4 mg/ml
314
Kompatibilan
injekcija Hydromorphone hydrochloride 1 mg/ml
injekcija Norepinephrine bitartrate 0.128 mg/ml
314
Kompatibilan
injekcija Hydromorphone hydrochloride 0,5 mg/ml
injekcija Ondansetron hydrochloride 0,1 & 1 mg/ml
natrijumkorid 0,9% 6
Kompatibilan
injekcija Hydromorphone hydrochloride 0.5 mg/ml
injekcija Ondansetron hydrochloride 1 mg/ml
natrijumkorid 0,9% 334
Kompatibilan
injekcija Hydromorphone hydrochloride 0.2 mg/ml
injekcija Oxacillin sodium 20 mg/ml
glukoza 5% 405
Kompatibilan
injekcija Hydromorphone hydrochloride 0,5 mg/ml
injekcija Oxaliplatin 0,5 mg/ml
glukoza 5% 1662
Kompatibilan
injekcija Hydromorphone hydrochloride 0.5 mg/ml
injekcija Paclitaxel 1.2 mg/ml
glukoza 5% 248
Kompatibilan
injekcija Hydromorphone hydrochloride 0.5 mg/ml
injekcija Palonosetron hydrochloride 50 µg/ml
glukoza 5% 2196
Padavine nakon 4 sata inkompatibilan
injekcija Hydromorphone hydrochloride
injekcija Pantoprazole sodium
2090
Kompatibilan
injekcija Hydromorphone hydrochloride 10 mg/ml
injekcija Paracetamol 10 mg/ml
4742
Kompatibilan
injekcija Hydromorphone hydrochloride 2 mg/ml
injekcija Paracetamol 10 mg/ml
nijedan 3571
Neodređena nespojivost inkompatibilan
injekcija Hydromorphone hydrochloride
injekcija Parecoxib sodium
3504
Kompatibilan
injekcija Hydromorphone hydrochloride 0.5 mg/ml
injekcija Pemetrexed disodium 20 mg/ml
natrijumkorid 0,9% 1953
Kompatibilan
injekcija Hydromorphone hydrochloride 0.2 mg/ml
injekcija Penicillin G potassium 0.1 MUI/ml
glukoza 5% 405
Neposredne oborine inkompatibilan
injekcija Hydromorphone hydrochloride 2 >> 40 mg/ml
injekcija Phenobarbital sodium 120 mg/ml
glukoza 5% 226
Kompatibilan
injekcija Hydromorphone hydrochloride 0.5 mg/ml
injekcija Phenobarbital sodium 2 mg/ml
glukoza 5% 1974
Neposredne oborine inkompatibilan
injekcija Hydromorphone hydrochloride 2 >> 40 mg/ml
injekcija Phenytoin sodium 50 mg/ml
glukoza 5% 226
Padavine nakon 1 sata inkompatibilan
injekcija Hydromorphone hydrochloride 0.5 mg/ml
injekcija Phenytoin sodium 2 mg/ml
glukoza 5% 1974
Kompatibilan
injekcija Hydromorphone hydrochloride 0.2 mg/ml
injekcija Piperacillin sodium 60 mg/ml
glukoza 5% 405
Kompatibilan
injekcija Hydromorphone hydrochloride 0.5 mg/ml
injekcija Piperacillin sodium / tazobactam 40/5 mg/ml
glukoza 5% 81
Kompatibilan
injekcija Hydromorphone hydrochloride 1 mg/ml
injekcija Plazomicin sulfate 24 mg/ml
natrijumkorid 0,9% 4145
Kompatibilan
injekcija Hydromorphone hydrochloride
injekcija Posaconazole
4380
Kompatibilan
injekcija Hydromorphone hydrochloride 25 mg/ml
injekcija Potassium chloride 1000 mEq/l
čista voda za injektiranje 66
Kompatibilan
injekcija Hydromorphone hydrochloride 5 >> 20 mg/ml
injekcija Potassium chloride 500 & 1000 mEq/l
glukoza 5% 66
Kompatibilan
injekcija Hydromorphone hydrochloride 2 >> 40 mg/ml
injekcija Prochlorperazine edysilate 5 mg/ml
nijedan 1497
Kompatibilan
injekcija Hydromorphone hydrochloride 0,5 mg/ml
injekcija Prochlorperazine edysilate 1,5 mg/ml
natrijumkorid 0,9% 767
Kompatibilan
injekcija Hydromorphone hydrochloride 1 mg/ml
injekcija Promethazine hydrochloride 0.3 mg/ml
natrijumkorid 0,9% 795
Kompatibilan
injekcija Hydromorphone hydrochloride 0.5 mg/ml
injekcija Propofol 10 mg/ml
nijedan 300
Kompatibilan
injekcija Hydromorphone hydrochloride 1 mg/ml
injekcija Ranitidine hydrochloride 1 mg/ml
314
Kompatibilan
injekcija Hydromorphone hydrochloride 2 mg/ml
injekcija Ranitidine hydrochloride 25 mg/ml
nijedan 58
Kompatibilan
injekcija Hydromorphone hydrochloride 1 mg/ml
injekcija Remdesivir 1 mg/ml
natrijumkorid 0,9% 4768
Kompatibilan
injekcija Hydromorphone hydrochloride 10 mg/ml
injekcija Salbutamol sulfate 1 mg/ml
nijedan 3216
Padavine nakon 30 minuta inkompatibilan
injekcija Hydromorphone hydrochloride 0.5 mg/ml
injekcija Sargramostim 10 µg/ml
natrijumkorid 0,9% 335
Kompatibilan
injekcija Hydromorphone hydrochloride 0.5 mg/ml
injekcija Scopolamine hydrobromide 0.05 mg/ml
glukoza 5% 1974
Kompatibilan
injekcija Hydromorphone hydrochloride
injekcija Scopolamine hydrobromide
5073
Kompatibilan
injekcija Hydromorphone hydrochloride 0,1 & 1 mg/ml
injekcija Tacrolimus 5 & 20 µg/ml
glukoza 5% 814
Kompatibilan
injekcija Hydromorphone hydrochloride 1 mg/ml
injekcija Tedizolid phosphate 0.8 mg/ml
natrijumkorid 0,9% 3827
Kompatibilan
injekcija Hydromorphone hydrochloride 0.5 mg/ml
injekcija Teniposide 0.1 mg/ml
glukoza 5% 905
Neposredne oborine inkompatibilan
injekcija Hydromorphone hydrochloride 10 mg/ml
injekcija Thiopental sodium 25 mg/ml
natrijumkorid 0,9% 3767
Padavine nakon 4 sata inkompatibilan
injekcija Hydromorphone hydrochloride 1 mg/ml
injekcija Thiopental sodium 25 mg/ml
314
Kompatibilan
injekcija Hydromorphone hydrochloride 0.5 mg/ml
injekcija Thiotepa 1 mg/ml
glukoza 5% 249
Kompatibilan
injekcija Hydromorphone hydrochloride
natrijumkorid 0,9% 5073
Kompatibilan
injekcija Hydromorphone hydrochloride
injekcija Scopolamine N-butyl bromide
5073
Kompatibilan
injekcija Hydromorphone hydrochloride 1 mg/ml
injekcija Sulbactam/durlobactam 15/15 mg/ml
natrijumkorid 0,9% 4801
Kompatibilan
injekcija Hydromorphone hydrochloride 0.2 mg/ml
injekcija Tobramycin sulfate 0.8 mg/ml
glukoza 5% 405
Kompatibilan
injekcija Hydromorphone hydrochloride 0.2 mg/ml
injekcija Vancomycin hydrochloride 5 mg/ml
glukoza 5% 405
Kompatibilan
injekcija Hydromorphone hydrochloride 2 mg/ml
injekcija Vancomycin hydrochloride 4 mg/ml
natrijumkorid 0,9% 2335
Kompatibilan
injekcija Hydromorphone hydrochloride 1 mg/ml
injekcija Vecuronium bromide 1 mg/ml
314
Kompatibilan
injekcija Hydromorphone hydrochloride 0.016 mg/ml
injekcija Verapamil hydrochloride 0.08 mg/ml
natrijumkorid 0,9% 1057
Kompatibilan
injekcija Hydromorphone hydrochloride 0.016 mg/ml
injekcija Verapamil hydrochloride 0.08 mg/ml
glukoza 5% 1057
Kompatibilan
injekcija Hydromorphone hydrochloride 0.5 mg/ml
injekcija Vinorelbine tartrate 1 mg/ml
natrijumkorid 0,9% 84

  Mentions Légales