Последнее обновление :
18/03/2026
Анальгетик   Hydromorphone hydrochloride  
Инъекция
Стабильность растворов Стабильность смесей Факторы, которые влияют на стабильность Совместимость Способы введения Библиография pdf
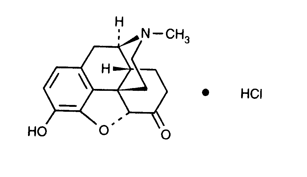
   Химическая структура  

Товарное название   Товарное название     

Trade names are indicative and excipients composition can be different depending on the country and manufacturers

Dilaudid Канада, Соединённые Штаты Америки
Hydal Австрия
Palladon Дания, Швейцария
Palladone Великобритания
Совместимость   Инъекция   Совместимость : Hydromorphone hydrochloride              
Эта таблица показывает совместимость или несовместимость препаратов, по возможности тип несовместимости (преципитат, смена цвета, разложение эмульсии и др.). Показанные здесь совместимости в основном физические, по возможности указана и химическая стабильность каждой молекулы. Анализ этих смесей произведён для исследования возможности ввести препараты пациенту в Y-соединении систем. Эти данные нельзя использовать, чтобы приготовить лекарства на будущее в мешках или шприцах. Эта информация доступна в разделе "Стабильность смесей".
Молекула Растворитель Ссылки
совместимый
Инъекция Hydromorphone hydrochloride 0.04 mg/ml
Инъекция Aciclovir sodium 5 mg/ml
Глюкоза 5% 336
совместимый
Инъекция Hydromorphone hydrochloride 0.5 mg/ml
Инъекция Allopurinol sodium 3 mg/ml
Натрия хлорид 0,9% 307
совместимый
Инъекция Hydromorphone hydrochloride 0.5 mg/ml
Инъекция Amifostine 10 mg/ml
Глюкоза 5% 3
совместимый
Инъекция Hydromorphone hydrochloride 0.2 mg/ml
Инъекция Amikacin sulfate 5 mg/ml
Глюкоза 5% 405
совместимый
Инъекция Hydromorphone hydrochloride 10 mg/ml
Инъекция Amoxicillin sodium / clavulanic acid 100/10 mg/ml
3824
совместимый
Инъекция Hydromorphone hydrochloride 2 >> 40 mg/ml
Инъекция Ampicillin sodium 20 & 250 mg/ml
Глюкоза 5% 226
совместимый
Инъекция Hydromorphone hydrochloride 0.5 mg/ml
Инъекция Amsacrine 1 mg/ml
Глюкоза 5% 253
совместимый
Инъекция Hydromorphone hydrochloride 0.5 mg/ml
Инъекция Anidulafungin 0.5 mg/ml
Глюкоза 5% 1982
совместимый
Инъекция Hydromorphone hydrochloride 0.5 mg/ml
Инъекция Aztreonam 40 mg/ml
Глюкоза 5% 99
совместимый
Инъекция Hydromorphone hydrochloride 0.5 mg/ml
Инъекция Bivalirudin 5 mg/ml
Глюкоза 5% 1713
Немедленная нестабильность эмульсии несовместимый
Инъекция Hydromorphone hydrochloride 0.5 mg/ml
Парентеральное питание (с липидами) 1415
совместимый
Инъекция Hydromorphone hydrochloride 10 mg/ml
Раствор Рингера лактата 4603
Потеря мутности несовместимый
Инъекция Hydromorphone hydrochloride 0.5 mg/ml
Инъекция Amphotericin B cholesteryl sulfate complex 0.83 mg/ml
Глюкоза 5% 921
совместимый
Инъекция Hydromorphone hydrochloride 0.2 mg/ml
Инъекция Ampicillin sodium 20 mg/ml
Глюкоза 5% 405
совместимый
Инъекция Hydromorphone hydrochloride 0.5 mg/ml
Инъекция Atropine sulfate 0.4 mg/ml
Глюкоза 5% 1974
совместимый
Инъекция Hydromorphone hydrochloride 0,02 & 0,1 mg/ml
Инъекция Bupivacaine hydrochloride 0,625 & 1,25 mg/ml
Натрия хлорид 0,9% 306
совместимый
Инъекция Hydromorphone hydrochloride
Глюкоза 5% 5073
совместимый
Инъекция Hydromorphone hydrochloride 0,02 & 0,04 mg/ml
Инъекция Bupivacaine hydrochloride 2,5 mg/ml
Натрия хлорид 0,9% 1931
совместимый
Инъекция Hydromorphone hydrochloride 15 mg/ml
Инъекция Bupivacaine hydrochloride 10 mg/ml
Нет 4200
совместимый
Инъекция Hydromorphone hydrochloride 2,5 mg/ml
Парентеральное питание (с липидами) 4507
совместимый
Инъекция Hydromorphone hydrochloride 25 mg/ml
Инъекция Bupivacaine hydrochloride 20 mg/ml
Натрия хлорид 0,9% 3131
совместимый
Инъекция Hydromorphone hydrochloride 65 mg/ml
Инъекция Bupivacaine hydrochloride 7,5 mg/ml
Нет 221
совместимый
Инъекция Hydromorphone hydrochloride 50 mg/ml
Инъекция Caffeine 10 mg/ml
Нет 3964
совместимый
Инъекция Hydromorphone hydrochloride 1 mg/ml
Инъекция Caspofungin acetate 0,7 mg/ml
Натрия хлорид 0,9% 2247
совместимый
Инъекция Hydromorphone hydrochloride 1 mg/ml
Инъекция Caspofungin acetate 0.5 mg/ml
Натрия хлорид 0,9% 2233
совместимый
Инъекция Hydromorphone hydrochloride 0.2 mg/ml
Инъекция Cefalotin sodium 20 mg/ml
Глюкоза 5% 405
совместимый
Инъекция Hydromorphone hydrochloride 0.2 mg/ml
Инъекция Cefamandole nafate 20 mg/ml
Глюкоза 5% 405
совместимый
Инъекция Hydromorphone hydrochloride 0.2 mg/ml
Инъекция Cefazolin sodium 20 mg/ml
Глюкоза 5% 405
совместимый
Инъекция Hydromorphone hydrochloride 2 >> 40 mg/ml
Инъекция Cefazolin sodium 20 mg/ml
Глюкоза 5% 226
Немедленные осадки несовместимый
Инъекция Hydromorphone hydrochloride 2 >> 40 mg/ml
Инъекция Cefazolin sodium >200 mg/ml
Глюкоза 5% 226
совместимый
Инъекция Hydromorphone hydrochloride 1 mg/ml
Инъекция Cefiderocol sulfate tosylate 20 mg/mL
Натрия хлорид 0,9% 4528
совместимый
Инъекция Hydromorphone hydrochloride 1 mg/ml
Инъекция Cefiderocol sulfate tosylate 20 mg/mL
Глюкоза 5% 4528
совместимый
Инъекция Hydromorphone hydrochloride 0.2 mg/ml
Инъекция Cefmetazole sodium 100 mg/ml
Вода для инъекций 93
совместимый
Инъекция Hydromorphone hydrochloride 0.2 mg/ml
Инъекция Cefoperazone sodium 20 mg/ml
Глюкоза 5% 405
совместимый
Инъекция Hydromorphone hydrochloride 0.2 mg/ml
Инъекция Ceforanide 20 mg/ml
Глюкоза 5% 405
совместимый
Инъекция Hydromorphone hydrochloride 0.2 mg/ml
Инъекция Cefotaxime sodium 20 mg/ml
Глюкоза 5% 405
совместимый
Инъекция Hydromorphone hydrochloride 0.2 mg/ml
Инъекция Cefoxitin sodium 20 mg/ml
Глюкоза 5% 405
совместимый
Инъекция Hydromorphone hydrochloride 0,5 mg/ml
Инъекция Ceftaroline fosamil 2,22 mg/ml
Раствор Рингера лактата 3249
совместимый
Инъекция Hydromorphone hydrochloride 0,5 mg/ml
Инъекция Ceftaroline fosamil 2,22 mg/ml
Глюкоза 5% 3249
совместимый
Инъекция Hydromorphone hydrochloride 0,5 mg/ml
Инъекция Ceftaroline fosamil 2,22 mg/ml
Натрия хлорид 0,9% 3249
совместимый
Инъекция Hydromorphone hydrochloride 2 >> 40 mg/ml
Инъекция Ceftazidime 40 & 180 mg/ml
Глюкоза 5% 226
совместимый
Инъекция Hydromorphone hydrochloride 0.2 mg/ml
Инъекция Ceftizoxime sodium 20 mg/ml
Глюкоза 5% 405
Немедленные осадки несовместимый
Инъекция Hydromorphone hydrochloride 1 mg/ml
Инъекция Ceftobiprole medocaril sodium 2 mg/ml
Натрия хлорид 0,9% 2269
Немедленные осадки несовместимый
Инъекция Hydromorphone hydrochloride 1 mg/ml
Инъекция Ceftobiprole medocaril sodium 2 mg/ml
Раствор Рингера лактата 2269
Неопределенная несовместимость несовместимый
Инъекция Hydromorphone hydrochloride
Инъекция Ceftobiprole medocaril sodium
4650
Немедленные осадки несовместимый
Инъекция Hydromorphone hydrochloride 1 mg/ml
Инъекция Ceftobiprole medocaril sodium 2 mg/ml
Глюкоза 5% 2269
совместимый
Инъекция Hydromorphone hydrochloride 1 mg/ml
Инъекция Ceftolozane / tazobactam 10/5 mg/ml
Глюкоза 5% 3828
совместимый
Инъекция Hydromorphone hydrochloride 1 mg/ml
Инъекция Ceftolozane / tazobactam 10/5 mg/ml
Натрия хлорид 0,9% 3828
совместимый
Инъекция Hydromorphone hydrochloride 0.2 mg/ml
Инъекция Cefuroxime sodium 30 mg/ml
Глюкоза 5% 405
совместимый
Инъекция Hydromorphone hydrochloride 0.2 mg/ml
Инъекция Chloramphenicol sodium succinate 20 mg/ml
Глюкоза 5% 405
совместимый
Инъекция Hydromorphone hydrochloride 0.5 mg/ml
Инъекция Cisatracurium besylate 0.1 >> 5 mg/ml
Глюкоза 5% 299
совместимый
Инъекция Hydromorphone hydrochloride 0.5 mg/ml
Инъекция Cladribine 0.015 mg/ml
Натрия хлорид 0,9% 1496
совместимый
Инъекция Hydromorphone hydrochloride 0.5 mg/ml
Инъекция Cladribine 0.5 mg/ml
NaCl 0,9% + антибактериальный 1496
совместимый
Инъекция Hydromorphone hydrochloride 10 mg/ml
Инъекция Cloxacillin sodium 100 mg/ml
Вода для инъекций 3012
совместимый
Инъекция Hydromorphone hydrochloride 0.2 mg/ml
Инъекция Co-trimoxazole 4/0.8 mg/ml
Глюкоза 5% 405
совместимый
Инъекция Hydromorphone hydrochloride < 10 mg/ml
Инъекция Dexamethasone sodium phosphate 2 >> 10 mg/ml
389
совместимый
Инъекция Hydromorphone hydrochloride 0.5 mg/ml
Инъекция Dexamethasone sodium phosphate 1 mg/ml
Глюкоза 5% 1974
совместимый
Инъекция Hydromorphone hydrochloride 1 >> 40 mg/ml
Инъекция Dexamethasone sodium phosphate < 2 mg/ml
389
совместимый
Инъекция Hydromorphone hydrochloride 0.5 mg/ml
Инъекция Dexmedetomidine 4 µg/ml
Натрия хлорид 0,9% 1712
Осадки через 2 часа несовместимый
Инъекция Hydromorphone hydrochloride
Инъекция Dimenhydrinate
2087
совместимый
Инъекция Hydromorphone hydrochloride 0.5 mg/ml
Парентеральное питание (бинарная смесь) 301
совместимый
Инъекция Hydromorphone hydrochloride 2 mg/ml
Инъекция Cimetidine hydrochloride 150 mg/ml
1438
совместимый
Инъекция Hydromorphone hydrochloride 0.2 mg/ml
Инъекция Clindamycin phosphate 12 mg/ml
Глюкоза 5% 405
Немедленные осадки несовместимый
Инъекция Hydromorphone hydrochloride 2 >> 40 mg/ml
Инъекция Cloxacillin sodium 40 & 250 mg/ml
Глюкоза 5% 226
Немедленные осадки несовместимый
Инъекция Hydromorphone hydrochloride
Инъекция Cyclizine lactate
5073
совместимый
Инъекция Hydromorphone hydrochloride
Инъекция Dexamethasone sodium phosphate
5073
Немедленные осадки несовместимый
Инъекция Hydromorphone hydrochloride > 15 mg/ml
Инъекция Dexamethasone sodium phosphate > 3 mg/ml
389
совместимый
Инъекция Hydromorphone hydrochloride 0.5 mg/ml
Инъекция Diazepam 0.5 mg/ml
Глюкоза 5% 1974
Немедленные осадки несовместимый
Инъекция Hydromorphone hydrochloride 2 >> 40 mg/ml
Инъекция Diazepam 5 mg/ml
Глюкоза 5% 226
совместимый
Инъекция Hydromorphone hydrochloride 1 mg/ml
Инъекция Diltiazem hydrochloride 1 mg/ml
314
совместимый
Инъекция Hydromorphone hydrochloride 2 >> 40 mg/ml
Инъекция Dimenhydrinate 50 mg/ml
Нет 1497
совместимый
Инъекция Hydromorphone hydrochloride 0.5 mg/ml
Инъекция Diphenhydramine hydrochloride 2 mg/ml
Глюкоза 5% 1974
совместимый
Инъекция Hydromorphone hydrochloride 1 mg/ml
Инъекция Dobutamine hydrochloride 4 mg/ml
314
совместимый
Инъекция Hydromorphone hydrochloride 0.5 mg/ml
Инъекция Docetaxel 0.9 mg/ml
Глюкоза 5% 1754
совместимый
Инъекция Hydromorphone hydrochloride 1 mg/ml
Инъекция Dopamine hydrochloride 3.2 mg/ml
314
совместимый
Инъекция Hydromorphone hydrochloride 1 mg/ml
Инъекция Doripenem 5 mg/ml
Глюкоза 5% 2262
совместимый
Инъекция Hydromorphone hydrochloride 1 mg/ml
Инъекция Doripenem 5 mg/ml
Натрия хлорид 0,9% 2262
совместимый
Инъекция Hydromorphone hydrochloride 0.5 mg/ml
Инъекция Doxorubicin hydrochloride liposome peg 0.4 mg/ml
Глюкоза 5% 251
совместимый
Инъекция Hydromorphone hydrochloride 0.2 mg/ml
Инъекция Doxycycline hyclate 1 mg/ml
Глюкоза 5% 405
совместимый
Инъекция Hydromorphone hydrochloride 1 mg/ml
Инъекция Epinephrine hydrochloride 20 µg/ml
314
совместимый
Инъекция Hydromorphone hydrochloride 1 mg/ml
Инъекция Eravacycline 0,6 mg/ml
Натрия хлорид 0,9% 4434
совместимый
Инъекция Hydromorphone hydrochloride 0.2 mg/ml
Инъекция Erythromycin lactobionate 5 mg/ml
Глюкоза 5% 405
совместимый
Инъекция Hydromorphone hydrochloride 0.5 mg/ml
Инъекция Etoposide phosphate 5 mg/ml
Глюкоза 5% 1410
совместимый
Инъекция Hydromorphone hydrochloride 0.5 mg/ml
Инъекция Famotidine 2 mg/ml
Натрия хлорид 0,9% 215
совместимый
Инъекция Hydromorphone hydrochloride 0.5 mg/ml
Инъекция Fenoldopam mesylate 80 µg/ml
Натрия хлорид 0,9% 1803
совместимый
Инъекция Hydromorphone hydrochloride 1 mg/ml
Инъекция Fentanyl citrate 50 µg/ml
314
совместимый
Инъекция Hydromorphone hydrochloride 0.5 mg/ml
Инъекция Filgrastim 30 µg/ml
Глюкоза 5% 244
совместимый
Инъекция Hydromorphone hydrochloride 0.5 mg/ml
Инъекция Fludarabine phosphate 1 mg/ml
Глюкоза 5% 492
совместимый
Инъекция Hydromorphone hydrochloride 0.5 mg/ml
Инъекция Fluorouracil 1 & 16 mg/ml
Глюкоза 5% 513
совместимый
Инъекция Hydromorphone hydrochloride 0.5 mg/ml
Инъекция Fluorouracil 1 & 16 mg/ml
Натрия хлорид 0,9% 513
совместимый
Инъекция Hydromorphone hydrochloride 10 mg/ml
Инъекция Foscarnet sodium 24 mg/ml
Нет 73
совместимый
Инъекция Hydromorphone hydrochloride 1 mg/ml
Инъекция Fosfomycin 30 mg/ml
Глюкоза 5% 4055
совместимый
Инъекция Hydromorphone hydrochloride 1 mg/ml
Инъекция Fosfomycin 30 mg/ml
Натрия хлорид 0,9% 4055
совместимый
Инъекция Hydromorphone hydrochloride 1 mg/ml
Инъекция Furosemide 10 mg/ml
314
Мутность за 24 часа несовместимый
Инъекция Hydromorphone hydrochloride 4 mg/ml
Инъекция Gallium nitrate 1 mg/ml
Натрия хлорид 0,9% 91
совместимый
Инъекция Hydromorphone hydrochloride 0.5 mg/ml
Инъекция Gemcitabine hydrochloride 10 mg/ml
Натрия хлорид 0,9% 1423
совместимый
Инъекция Hydromorphone hydrochloride 0.2 mg/ml
Инъекция Gentamicin sulfate 0.8 mg/ml
Глюкоза 5% 405
совместимый
Инъекция Hydromorphone hydrochloride
Инъекция Glycopyrronium bromide
5073
совместимый
Инъекция Hydromorphone hydrochloride 0.5 mg/ml
Инъекция Granisetron hydrochloride 0.056 mg/ml
Натрия хлорид 0,9% 6
совместимый
Инъекция Hydromorphone hydrochloride 0.5 mg/ml
Инъекция Granisetron hydrochloride 1 mg/ml
Натрия хлорид 0,9% 57
совместимый
Инъекция Hydromorphone hydrochloride 0.5 mg/ml
Инъекция Granisetron hydrochloride 0.05 mg/ml
Глюкоза 5% 182
совместимый
Инъекция Hydromorphone hydrochloride 10 mg/ml
Инъекция Haloperidol lactate 1 mg/ml
Нет 216
совместимый
Инъекция Hydromorphone hydrochloride 10 mg/ml
Инъекция Haloperidol lactate 5 mg/ml
Нет 216
совместимый
Инъекция Hydromorphone hydrochloride 1 mg/ml
Инъекция Haloperidol lactate 5 mg/ml
Нет 216
совместимый
Инъекция Hydromorphone hydrochloride 1 mg/ml
Инъекция Haloperidol lactate 2 mg/ml
Нет 216
совместимый
Инъекция Hydromorphone hydrochloride 1 mg/ml
Инъекция Haloperidol lactate 1 mg/ml
Нет 216
совместимый
Инъекция Hydromorphone hydrochloride 0.5 mg/ml
Инъекция Haloperidol lactate 0.2 mg/ml
Глюкоза 5% 1974
совместимый
Инъекция Hydromorphone hydrochloride
Инъекция Haloperidol lactate
5073
совместимый
Инъекция Hydromorphone hydrochloride 10 mg/ml
Инъекция Haloperidol lactate 2 mg/ml
Нет 216
совместимый
Инъекция Hydromorphone hydrochloride <12.5 mg/ml
Инъекция Heparin sodium
Вода для инъекций 66
совместимый
Инъекция Hydromorphone hydrochloride <12.5 mg/ml
Инъекция Heparin sodium
Натрия хлорид 0,9% 66
совместимый
Инъекция Hydromorphone hydrochloride 1 mg/ml
Инъекция Heparin sodium 100 UI/ml
314
Немедленные осадки несовместимый
Инъекция Hydromorphone hydrochloride >25 mg/ml
Инъекция Heparin sodium <12,5 UI/ml
Вода для инъекций 66
Немедленные осадки несовместимый
Инъекция Hydromorphone hydrochloride >10 mg/ml
Инъекция Heparin sodium <1 UI/ml
Вода для инъекций 66
Немедленные осадки несовместимый
Инъекция Hydromorphone hydrochloride >25 mg/ml
Инъекция Heparin sodium <12,5 UI/ml
Натрия хлорид 0,9% 66
совместимый
Инъекция Hydromorphone hydrochloride 0.5 mg/ml
Инъекция Hetastarch 60 mg/ml
Конкретные растворителя 1721
Химическая нестабильность несовместимый
Инъекция Hydromorphone hydrochloride 2 >> 40 mg/ml
Инъекция Hyaluronidase 150 UI/ml
Глюкоза 5% 9
совместимый
Инъекция Hydromorphone hydrochloride
Инъекция Hyaluronidase
3184
Химическая нестабильность несовместимый
Инъекция Hydromorphone hydrochloride 2 >> 40 mg/ml
Инъекция Hyaluronidase 150 UI/ml
Натрия хлорид 0,9% 9
совместимый
Инъекция Hydromorphone hydrochloride 0.5 mg/ml
Инъекция Hydroxyzine dihydrochloride 4 mg/ml
Глюкоза 5% 1974
совместимый
Инъекция Hydromorphone hydrochloride 1 mg/ml
Инъекция Isavuconazonium sulfate 1.5 mg/ml
Натрия хлорид 0,9% 3829
совместимый
Инъекция Hydromorphone hydrochloride 1 mg/ml
Инъекция Isavuconazonium sulfate 1.5 mg/ml
Глюкоза 5% 3829
совместимый
Инъекция Hydromorphone hydrochloride 0.2 mg/ml
Инъекция Kanamycin sulfate 2.5 mg/ml
Глюкоза 5% 405
совместимый
Инъекция Hydromorphone hydrochloride
Инъекция Ketamine hydrochloride
5073
совместимый
Инъекция Hydromorphone hydrochloride 0.2 mg/ml
Инъекция Ketamine hydrochloride 0.2 >> 1 mg/ml
Натрия хлорид 0,9% 2336
совместимый
Инъекция Hydromorphone hydrochloride 0.5 mg/ml
Инъекция Ketorolac tromethamine 1 mg/ml
Глюкоза 5% 1974
совместимый
Инъекция Hydromorphone hydrochloride 10 mg/ml
Инъекция Ketorolac tromethamine 15 mg/ml
Нет 216
совместимый
Инъекция Hydromorphone hydrochloride 1 mg/ml
Инъекция Ketorolac tromethamine 30 mg/ml
Нет 216
совместимый
Инъекция Hydromorphone hydrochloride 1 mg/ml
Инъекция Ketorolac tromethamine 15 mg/ml
Нет 216
Немедленные осадки несовместимый
Инъекция Hydromorphone hydrochloride 10 mg/ml
Инъекция Ketorolac tromethamine 30 mg/ml
Нет 216
совместимый
Инъекция Hydromorphone hydrochloride 1 mg/ml
Инъекция Labetalol hydrochloride 2 mg/ml
314
Осадки через 1 час несовместимый
Инъекция Hydromorphone hydrochloride 0.5 mg/ml
Инъекция Lansoprazole 0.55 mg/ml
Натрия хлорид 0,9% 1625
совместимый
Инъекция Hydromorphone hydrochloride 2 mg/ml
Инъекция Levofloxacine 5 mg/ml
Нет 2335
совместимый
Инъекция Hydromorphone hydrochloride
Инъекция Levomepromazine
5073
совместимый
Инъекция Hydromorphone hydrochloride 10 mg/ml
Инъекция Levosimendan 2,5 mg/ml
4389
совместимый
Инъекция Hydromorphone hydrochloride 0.5 mg/ml
Инъекция Linezolid 2 mg/ml
Нет 1925
совместимый
Инъекция Hydromorphone hydrochloride 0.5 mg/ml
Инъекция Lorazepam 0.1 mg/ml
Глюкоза 5% 1974
совместимый
Инъекция Hydromorphone hydrochloride 2 >> 40 mg/ml
Инъекция Lorazepam 4 mg/ml
Нет 1497
совместимый
Инъекция Hydromorphone hydrochloride 1 mg/ml
Инъекция Lorazepam 0.5 mg/ml
314
совместимый
Инъекция Hydromorphone hydrochloride 2 mg/ml
Инъекция Magnesium sulfate 16,67 >> 100 mg/ml
Глюкоза 5% 517
совместимый
Инъекция Hydromorphone hydrochloride 0.5 mg/ml
Инъекция Melphalan 0.1 mg/ml
Натрия хлорид 0,9% 169
совместимый
Инъекция Hydromorphone hydrochloride 10 mg/ml
Инъекция Meropenem 50 mg/ml
Вода для инъекций 4319
Химическая нестабильность несовместимый
Инъекция Hydromorphone hydrochloride
Инъекция Metamizol sodium
2364
совместимый
Инъекция Hydromorphone hydrochloride
Инъекция Metoclopramide hydrochloride
5073
совместимый
Инъекция Hydromorphone hydrochloride 0.5 mg/ml
Инъекция Metoclopramide hydrochloride 5 mg/ml
Глюкоза 5% 1974
совместимый
Инъекция Hydromorphone hydrochloride 0.2 mg/ml
Инъекция Metronidazole 5 mg/ml
Глюкоза 5% 405
совместимый
Инъекция Hydromorphone hydrochloride 0.5 mg/ml
Инъекция Micafungin 1.5 mg/ml
Натрия хлорид 0,9% 2108
совместимый
Инъекция Hydromorphone hydrochloride
Инъекция Midazolam hydrochloride
5073
совместимый
Инъекция Hydromorphone hydrochloride 0.5 mg/ml
Инъекция Midazolam hydrochloride 0.2 mg/ml
Глюкоза 5% 1974
совместимый
Инъекция Hydromorphone hydrochloride 0.5 >> 45 mg/ml
Инъекция Midazolam hydrochloride 0.1 >> 4.5 mg/ml
Глюкоза 5% 345
совместимый
Инъекция Hydromorphone hydrochloride 1 mg/ml
Инъекция Midazolam hydrochloride 2 mg/ml
314
совместимый
Инъекция Hydromorphone hydrochloride 0.5 >> 45 mg/ml
Инъекция Midazolam hydrochloride 0.1 >> 4.5 mg/ml
Натрия хлорид 0,9% 345
совместимый
Инъекция Hydromorphone hydrochloride 1 mg/ml
Инъекция Milrinone lactate 0.2 mg/ml
314
 35/5000 Изменение цвета через 1 час несовместимый
Инъекция Hydromorphone hydrochloride 0.2 mg/ml
Инъекция Minocycline hydrochloride 0.2 mg/ml
Глюкоза 5% 405
совместимый
Инъекция Hydromorphone hydrochloride 1 mg/ml
Инъекция Morphine sulfate 2 mg/ml
314
совместимый
Инъекция Hydromorphone hydrochloride 0.2 mg/ml
Инъекция Moxalactam 20 mg/ml
Глюкоза 5% 405
совместимый
Инъекция Hydromorphone hydrochloride 0.2 mg/ml
Инъекция Nafcillin sodium 20 mg/ml
Глюкоза 5% 405
совместимый
Инъекция Hydromorphone hydrochloride 10 mg/ml
Инъекция Naloxone hydrochloride 0.4 mg/ml
Нет 3408
совместимый
Инъекция Hydromorphone hydrochloride 1 mg/ml
Инъекция Nicardipine hydrochloride 1 mg/ml
314
совместимый
Инъекция Hydromorphone hydrochloride 1 mg/ml
Инъекция Nitroglycerin 0.4 mg/ml
314
совместимый
Инъекция Hydromorphone hydrochloride 1 mg/ml
Инъекция Norepinephrine bitartrate 0.128 mg/ml
314
совместимый
Инъекция Hydromorphone hydrochloride 0,5 mg/ml
Инъекция Ondansetron hydrochloride 0,1 & 1 mg/ml
Натрия хлорид 0,9% 6
совместимый
Инъекция Hydromorphone hydrochloride 0.5 mg/ml
Инъекция Ondansetron hydrochloride 1 mg/ml
Натрия хлорид 0,9% 334
совместимый
Инъекция Hydromorphone hydrochloride 0.2 mg/ml
Инъекция Oxacillin sodium 20 mg/ml
Глюкоза 5% 405
совместимый
Инъекция Hydromorphone hydrochloride 0,5 mg/ml
Инъекция Oxaliplatin 0,5 mg/ml
Глюкоза 5% 1662
совместимый
Инъекция Hydromorphone hydrochloride 0.5 mg/ml
Инъекция Paclitaxel 1.2 mg/ml
Глюкоза 5% 248
совместимый
Инъекция Hydromorphone hydrochloride 0.5 mg/ml
Инъекция Palonosetron hydrochloride 50 µg/ml
Глюкоза 5% 2196
Осадки через 4 часа несовместимый
Инъекция Hydromorphone hydrochloride
Инъекция Pantoprazole sodium
2090
совместимый
Инъекция Hydromorphone hydrochloride 10 mg/ml
Инъекция Paracetamol 10 mg/ml
4742
совместимый
Инъекция Hydromorphone hydrochloride 2 mg/ml
Инъекция Paracetamol 10 mg/ml
Нет 3571
Неопределенная несовместимость несовместимый
Инъекция Hydromorphone hydrochloride
Инъекция Parecoxib sodium
3504
совместимый
Инъекция Hydromorphone hydrochloride 0.5 mg/ml
Инъекция Pemetrexed disodium 20 mg/ml
Натрия хлорид 0,9% 1953
совместимый
Инъекция Hydromorphone hydrochloride 0.2 mg/ml
Инъекция Penicillin G potassium 0.1 MUI/ml
Глюкоза 5% 405
Немедленные осадки несовместимый
Инъекция Hydromorphone hydrochloride 2 >> 40 mg/ml
Инъекция Phenobarbital sodium 120 mg/ml
Глюкоза 5% 226
совместимый
Инъекция Hydromorphone hydrochloride 0.5 mg/ml
Инъекция Phenobarbital sodium 2 mg/ml
Глюкоза 5% 1974
Немедленные осадки несовместимый
Инъекция Hydromorphone hydrochloride 2 >> 40 mg/ml
Инъекция Phenytoin sodium 50 mg/ml
Глюкоза 5% 226
Осадки через 1 час несовместимый
Инъекция Hydromorphone hydrochloride 0.5 mg/ml
Инъекция Phenytoin sodium 2 mg/ml
Глюкоза 5% 1974
совместимый
Инъекция Hydromorphone hydrochloride 0.2 mg/ml
Инъекция Piperacillin sodium 60 mg/ml
Глюкоза 5% 405
совместимый
Инъекция Hydromorphone hydrochloride 0.5 mg/ml
Инъекция Piperacillin sodium / tazobactam 40/5 mg/ml
Глюкоза 5% 81
совместимый
Инъекция Hydromorphone hydrochloride 1 mg/ml
Инъекция Plazomicin sulfate 24 mg/ml
Натрия хлорид 0,9% 4145
совместимый
Инъекция Hydromorphone hydrochloride
Инъекция Posaconazole
4380
совместимый
Инъекция Hydromorphone hydrochloride 25 mg/ml
Инъекция Potassium chloride 1000 mEq/l
Вода для инъекций 66
совместимый
Инъекция Hydromorphone hydrochloride 5 >> 20 mg/ml
Инъекция Potassium chloride 500 & 1000 mEq/l
Глюкоза 5% 66
совместимый
Инъекция Hydromorphone hydrochloride 2 >> 40 mg/ml
Инъекция Prochlorperazine edysilate 5 mg/ml
Нет 1497
совместимый
Инъекция Hydromorphone hydrochloride 0,5 mg/ml
Инъекция Prochlorperazine edysilate 1,5 mg/ml
Натрия хлорид 0,9% 767
совместимый
Инъекция Hydromorphone hydrochloride 1 mg/ml
Инъекция Promethazine hydrochloride 0.3 mg/ml
Натрия хлорид 0,9% 795
совместимый
Инъекция Hydromorphone hydrochloride 0.5 mg/ml
Инъекция Propofol 10 mg/ml
Нет 300
совместимый
Инъекция Hydromorphone hydrochloride 1 mg/ml
Инъекция Ranitidine hydrochloride 1 mg/ml
314
совместимый
Инъекция Hydromorphone hydrochloride 2 mg/ml
Инъекция Ranitidine hydrochloride 25 mg/ml
Нет 58
совместимый
Инъекция Hydromorphone hydrochloride 1 mg/ml
Инъекция Remdesivir 1 mg/ml
Натрия хлорид 0,9% 4768
совместимый
Инъекция Hydromorphone hydrochloride 10 mg/ml
Инъекция Salbutamol sulfate 1 mg/ml
Нет 3216
Осадки через 30 минут несовместимый
Инъекция Hydromorphone hydrochloride 0.5 mg/ml
Инъекция Sargramostim 10 µg/ml
Натрия хлорид 0,9% 335
совместимый
Инъекция Hydromorphone hydrochloride 0.5 mg/ml
Инъекция Scopolamine hydrobromide 0.05 mg/ml
Глюкоза 5% 1974
совместимый
Инъекция Hydromorphone hydrochloride
Инъекция Scopolamine hydrobromide
5073
совместимый
Инъекция Hydromorphone hydrochloride 0,1 & 1 mg/ml
Инъекция Tacrolimus 5 & 20 µg/ml
Глюкоза 5% 814
совместимый
Инъекция Hydromorphone hydrochloride 1 mg/ml
Инъекция Tedizolid phosphate 0.8 mg/ml
Натрия хлорид 0,9% 3827
совместимый
Инъекция Hydromorphone hydrochloride 0.5 mg/ml
Инъекция Teniposide 0.1 mg/ml
Глюкоза 5% 905
Немедленные осадки несовместимый
Инъекция Hydromorphone hydrochloride 10 mg/ml
Инъекция Thiopental sodium 25 mg/ml
Натрия хлорид 0,9% 3767
Осадки через 4 часа несовместимый
Инъекция Hydromorphone hydrochloride 1 mg/ml
Инъекция Thiopental sodium 25 mg/ml
314
совместимый
Инъекция Hydromorphone hydrochloride 0.5 mg/ml
Инъекция Thiotepa 1 mg/ml
Глюкоза 5% 249
совместимый
Инъекция Hydromorphone hydrochloride
Натрия хлорид 0,9% 5073
совместимый
Инъекция Hydromorphone hydrochloride
Инъекция Scopolamine N-butyl bromide
5073
совместимый
Инъекция Hydromorphone hydrochloride 1 mg/ml
Инъекция Sulbactam/durlobactam 15/15 mg/ml
Натрия хлорид 0,9% 4801
совместимый
Инъекция Hydromorphone hydrochloride 0.2 mg/ml
Инъекция Tobramycin sulfate 0.8 mg/ml
Глюкоза 5% 405
совместимый
Инъекция Hydromorphone hydrochloride 0.2 mg/ml
Инъекция Vancomycin hydrochloride 5 mg/ml
Глюкоза 5% 405
совместимый
Инъекция Hydromorphone hydrochloride 2 mg/ml
Инъекция Vancomycin hydrochloride 4 mg/ml
Натрия хлорид 0,9% 2335
совместимый
Инъекция Hydromorphone hydrochloride 1 mg/ml
Инъекция Vecuronium bromide 1 mg/ml
314
совместимый
Инъекция Hydromorphone hydrochloride 0.016 mg/ml
Инъекция Verapamil hydrochloride 0.08 mg/ml
Натрия хлорид 0,9% 1057
совместимый
Инъекция Hydromorphone hydrochloride 0.016 mg/ml
Инъекция Verapamil hydrochloride 0.08 mg/ml
Глюкоза 5% 1057
совместимый
Инъекция Hydromorphone hydrochloride 0.5 mg/ml
Инъекция Vinorelbine tartrate 1 mg/ml
Натрия хлорид 0,9% 84

  Mentions Légales