Останнє оновлення :
18/03/2026
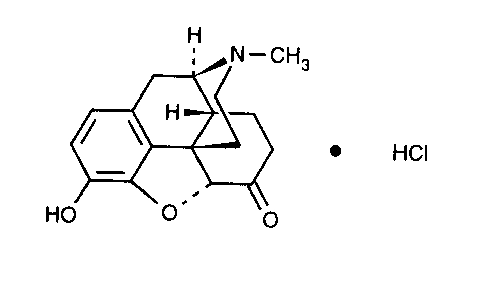
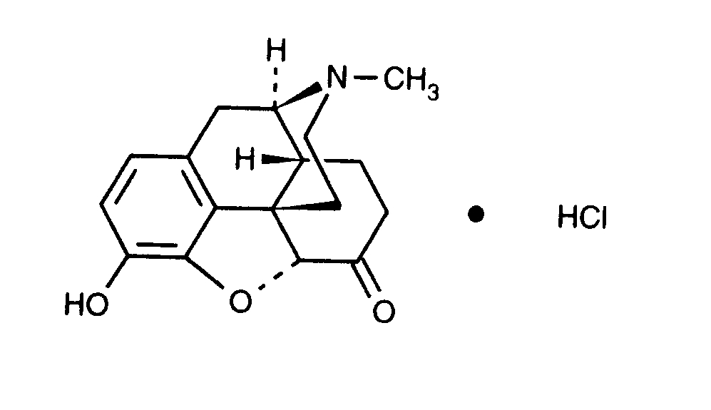
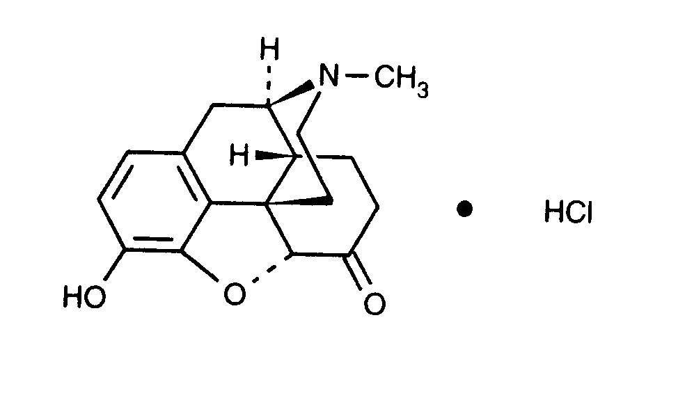
Знеболювальний   Hydromorphone hydrochloride  
ін'єкція
Стійкість в розчинах Стійкість сумішей Фактори, що впливають на стабільність Сумісність Шлях введення Список літератури pdf
   Хімічна структура  

Торгова назва   Торгова назва     

Торгові назви є орієнтовними, а склад допоміжних речовин може бути різним залежно від країни та виробника

Dilaudid Канада, Сполучені Штати Америки
Hydal Австрія
Palladon Данія, Швейцарія
Palladone Великобританія
Сумісність   ін'єкція   Сумісність : Hydromorphone hydrochloride              
explication_incompatibilite_molecules
З'єднання Розчинник Список літератури
сумісний
ін'єкція Hydromorphone hydrochloride 0.04 mg/ml
ін'єкція Aciclovir sodium 5 mg/ml
Глюкоза 5% 336
сумісний
ін'єкція Hydromorphone hydrochloride 0.5 mg/ml
ін'єкція Allopurinol sodium 3 mg/ml
Натрію хлорид 0,9% 307
сумісний
ін'єкція Hydromorphone hydrochloride 0.5 mg/ml
ін'єкція Amifostine 10 mg/ml
Глюкоза 5% 3
сумісний
ін'єкція Hydromorphone hydrochloride 0.2 mg/ml
ін'єкція Amikacin sulfate 5 mg/ml
Глюкоза 5% 405
сумісний
ін'єкція Hydromorphone hydrochloride 10 mg/ml
ін'єкція Amoxicillin sodium / clavulanic acid 100/10 mg/ml
3824
сумісний
ін'єкція Hydromorphone hydrochloride 2 >> 40 mg/ml
ін'єкція Ampicillin sodium 20 & 250 mg/ml
Глюкоза 5% 226
сумісний
ін'єкція Hydromorphone hydrochloride 0.5 mg/ml
ін'єкція Amsacrine 1 mg/ml
Глюкоза 5% 253
сумісний
ін'єкція Hydromorphone hydrochloride 0.5 mg/ml
ін'єкція Anidulafungin 0.5 mg/ml
Глюкоза 5% 1982
сумісний
ін'єкція Hydromorphone hydrochloride 0.5 mg/ml
ін'єкція Aztreonam 40 mg/ml
Глюкоза 5% 99
сумісний
ін'єкція Hydromorphone hydrochloride 0.5 mg/ml
ін'єкція Bivalirudin 5 mg/ml
Глюкоза 5% 1713
Негайна нестійкість емульсії Несумісні
ін'єкція Hydromorphone hydrochloride 0.5 mg/ml
Парентеральне харчування (ліпідами) 1415
сумісний
ін'єкція Hydromorphone hydrochloride 10 mg/ml
Розчин лактату Рінгера 4603
Втрата каламутності Несумісні
ін'єкція Hydromorphone hydrochloride 0.5 mg/ml
ін'єкція Amphotericin B cholesteryl sulfate complex 0.83 mg/ml
Глюкоза 5% 921
сумісний
ін'єкція Hydromorphone hydrochloride 0.2 mg/ml
ін'єкція Ampicillin sodium 20 mg/ml
Глюкоза 5% 405
сумісний
ін'єкція Hydromorphone hydrochloride 0.5 mg/ml
ін'єкція Atropine sulfate 0.4 mg/ml
Глюкоза 5% 1974
сумісний
ін'єкція Hydromorphone hydrochloride 0,02 & 0,1 mg/ml
ін'єкція Bupivacaine hydrochloride 0,625 & 1,25 mg/ml
Натрію хлорид 0,9% 306
сумісний
ін'єкція Hydromorphone hydrochloride
Глюкоза 5% 5073
сумісний
ін'єкція Hydromorphone hydrochloride 0,02 & 0,04 mg/ml
ін'єкція Bupivacaine hydrochloride 2,5 mg/ml
Натрію хлорид 0,9% 1931
сумісний
ін'єкція Hydromorphone hydrochloride 15 mg/ml
ін'єкція Bupivacaine hydrochloride 10 mg/ml
Жодного 4200
сумісний
ін'єкція Hydromorphone hydrochloride 2,5 mg/ml
Парентеральне харчування (ліпідами) 4507
сумісний
ін'єкція Hydromorphone hydrochloride 25 mg/ml
ін'єкція Bupivacaine hydrochloride 20 mg/ml
Натрію хлорид 0,9% 3131
сумісний
ін'єкція Hydromorphone hydrochloride 65 mg/ml
ін'єкція Bupivacaine hydrochloride 7,5 mg/ml
Жодного 221
сумісний
ін'єкція Hydromorphone hydrochloride 50 mg/ml
ін'єкція Caffeine 10 mg/ml
Жодного 3964
сумісний
ін'єкція Hydromorphone hydrochloride 1 mg/ml
ін'єкція Caspofungin acetate 0,7 mg/ml
Натрію хлорид 0,9% 2247
сумісний
ін'єкція Hydromorphone hydrochloride 1 mg/ml
ін'єкція Caspofungin acetate 0.5 mg/ml
Натрію хлорид 0,9% 2233
сумісний
ін'єкція Hydromorphone hydrochloride 0.2 mg/ml
ін'єкція Cefalotin sodium 20 mg/ml
Глюкоза 5% 405
сумісний
ін'єкція Hydromorphone hydrochloride 0.2 mg/ml
ін'єкція Cefamandole nafate 20 mg/ml
Глюкоза 5% 405
сумісний
ін'єкція Hydromorphone hydrochloride 0.2 mg/ml
ін'єкція Cefazolin sodium 20 mg/ml
Глюкоза 5% 405
сумісний
ін'єкція Hydromorphone hydrochloride 2 >> 40 mg/ml
ін'єкція Cefazolin sodium 20 mg/ml
Глюкоза 5% 226
Миттєві опади Несумісні
ін'єкція Hydromorphone hydrochloride 2 >> 40 mg/ml
ін'єкція Cefazolin sodium >200 mg/ml
Глюкоза 5% 226
сумісний
ін'єкція Hydromorphone hydrochloride 1 mg/ml
ін'єкція Cefiderocol sulfate tosylate 20 mg/mL
Натрію хлорид 0,9% 4528
сумісний
ін'єкція Hydromorphone hydrochloride 1 mg/ml
ін'єкція Cefiderocol sulfate tosylate 20 mg/mL
Глюкоза 5% 4528
сумісний
ін'єкція Hydromorphone hydrochloride 0.2 mg/ml
ін'єкція Cefmetazole sodium 100 mg/ml
Вода для ін'єкцій 93
сумісний
ін'єкція Hydromorphone hydrochloride 0.2 mg/ml
ін'єкція Cefoperazone sodium 20 mg/ml
Глюкоза 5% 405
сумісний
ін'єкція Hydromorphone hydrochloride 0.2 mg/ml
ін'єкція Ceforanide 20 mg/ml
Глюкоза 5% 405
сумісний
ін'єкція Hydromorphone hydrochloride 0.2 mg/ml
ін'єкція Cefotaxime sodium 20 mg/ml
Глюкоза 5% 405
сумісний
ін'єкція Hydromorphone hydrochloride 0.2 mg/ml
ін'єкція Cefoxitin sodium 20 mg/ml
Глюкоза 5% 405
сумісний
ін'єкція Hydromorphone hydrochloride 0,5 mg/ml
ін'єкція Ceftaroline fosamil 2,22 mg/ml
Розчин лактату Рінгера 3249
сумісний
ін'єкція Hydromorphone hydrochloride 0,5 mg/ml
ін'єкція Ceftaroline fosamil 2,22 mg/ml
Глюкоза 5% 3249
сумісний
ін'єкція Hydromorphone hydrochloride 0,5 mg/ml
ін'єкція Ceftaroline fosamil 2,22 mg/ml
Натрію хлорид 0,9% 3249
сумісний
ін'єкція Hydromorphone hydrochloride 2 >> 40 mg/ml
ін'єкція Ceftazidime 40 & 180 mg/ml
Глюкоза 5% 226
сумісний
ін'єкція Hydromorphone hydrochloride 0.2 mg/ml
ін'єкція Ceftizoxime sodium 20 mg/ml
Глюкоза 5% 405
Миттєві опади Несумісні
ін'єкція Hydromorphone hydrochloride 1 mg/ml
ін'єкція Ceftobiprole medocaril sodium 2 mg/ml
Натрію хлорид 0,9% 2269
Миттєві опади Несумісні
ін'єкція Hydromorphone hydrochloride 1 mg/ml
ін'єкція Ceftobiprole medocaril sodium 2 mg/ml
Розчин лактату Рінгера 2269
Неуточнена несумісність Несумісні
ін'єкція Hydromorphone hydrochloride
ін'єкція Ceftobiprole medocaril sodium
4650
Миттєві опади Несумісні
ін'єкція Hydromorphone hydrochloride 1 mg/ml
ін'єкція Ceftobiprole medocaril sodium 2 mg/ml
Глюкоза 5% 2269
сумісний
ін'єкція Hydromorphone hydrochloride 1 mg/ml
ін'єкція Ceftolozane / tazobactam 10/5 mg/ml
Глюкоза 5% 3828
сумісний
ін'єкція Hydromorphone hydrochloride 1 mg/ml
ін'єкція Ceftolozane / tazobactam 10/5 mg/ml
Натрію хлорид 0,9% 3828
сумісний
ін'єкція Hydromorphone hydrochloride 0.2 mg/ml
ін'єкція Cefuroxime sodium 30 mg/ml
Глюкоза 5% 405
сумісний
ін'єкція Hydromorphone hydrochloride 0.2 mg/ml
ін'єкція Chloramphenicol sodium succinate 20 mg/ml
Глюкоза 5% 405
сумісний
ін'єкція Hydromorphone hydrochloride 0.5 mg/ml
ін'єкція Cisatracurium besylate 0.1 >> 5 mg/ml
Глюкоза 5% 299
сумісний
ін'єкція Hydromorphone hydrochloride 0.5 mg/ml
ін'єкція Cladribine 0.015 mg/ml
Натрію хлорид 0,9% 1496
сумісний
ін'єкція Hydromorphone hydrochloride 0.5 mg/ml
ін'єкція Cladribine 0.5 mg/ml
NaCl 0,9% + антибактеріальний 1496
сумісний
ін'єкція Hydromorphone hydrochloride 10 mg/ml
ін'єкція Cloxacillin sodium 100 mg/ml
Вода для ін'єкцій 3012
сумісний
ін'єкція Hydromorphone hydrochloride 0.2 mg/ml
ін'єкція Co-trimoxazole 4/0.8 mg/ml
Глюкоза 5% 405
сумісний
ін'єкція Hydromorphone hydrochloride < 10 mg/ml
ін'єкція Dexamethasone sodium phosphate 2 >> 10 mg/ml
389
сумісний
ін'єкція Hydromorphone hydrochloride 0.5 mg/ml
ін'єкція Dexamethasone sodium phosphate 1 mg/ml
Глюкоза 5% 1974
сумісний
ін'єкція Hydromorphone hydrochloride 1 >> 40 mg/ml
ін'єкція Dexamethasone sodium phosphate < 2 mg/ml
389
сумісний
ін'єкція Hydromorphone hydrochloride 0.5 mg/ml
ін'єкція Dexmedetomidine 4 µg/ml
Натрію хлорид 0,9% 1712
Опади через 2 год Несумісні
ін'єкція Hydromorphone hydrochloride
ін'єкція Dimenhydrinate
2087
сумісний
ін'єкція Hydromorphone hydrochloride 0.5 mg/ml
Парентеральне харчування (бінарна суміш) 301
сумісний
ін'єкція Hydromorphone hydrochloride 2 mg/ml
ін'єкція Cimetidine hydrochloride 150 mg/ml
1438
сумісний
ін'єкція Hydromorphone hydrochloride 0.2 mg/ml
ін'єкція Clindamycin phosphate 12 mg/ml
Глюкоза 5% 405
Миттєві опади Несумісні
ін'єкція Hydromorphone hydrochloride 2 >> 40 mg/ml
ін'єкція Cloxacillin sodium 40 & 250 mg/ml
Глюкоза 5% 226
Миттєві опади Несумісні
ін'єкція Hydromorphone hydrochloride
ін'єкція Cyclizine lactate
5073
сумісний
ін'єкція Hydromorphone hydrochloride
ін'єкція Dexamethasone sodium phosphate
5073
Миттєві опади Несумісні
ін'єкція Hydromorphone hydrochloride > 15 mg/ml
ін'єкція Dexamethasone sodium phosphate > 3 mg/ml
389
сумісний
ін'єкція Hydromorphone hydrochloride 0.5 mg/ml
ін'єкція Diazepam 0.5 mg/ml
Глюкоза 5% 1974
Миттєві опади Несумісні
ін'єкція Hydromorphone hydrochloride 2 >> 40 mg/ml
ін'єкція Diazepam 5 mg/ml
Глюкоза 5% 226
сумісний
ін'єкція Hydromorphone hydrochloride 1 mg/ml
ін'єкція Diltiazem hydrochloride 1 mg/ml
314
сумісний
ін'єкція Hydromorphone hydrochloride 2 >> 40 mg/ml
ін'єкція Dimenhydrinate 50 mg/ml
Жодного 1497
сумісний
ін'єкція Hydromorphone hydrochloride 0.5 mg/ml
ін'єкція Diphenhydramine hydrochloride 2 mg/ml
Глюкоза 5% 1974
сумісний
ін'єкція Hydromorphone hydrochloride 1 mg/ml
ін'єкція Dobutamine hydrochloride 4 mg/ml
314
сумісний
ін'єкція Hydromorphone hydrochloride 0.5 mg/ml
ін'єкція Docetaxel 0.9 mg/ml
Глюкоза 5% 1754
сумісний
ін'єкція Hydromorphone hydrochloride 1 mg/ml
ін'єкція Dopamine hydrochloride 3.2 mg/ml
314
сумісний
ін'єкція Hydromorphone hydrochloride 1 mg/ml
ін'єкція Doripenem 5 mg/ml
Глюкоза 5% 2262
сумісний
ін'єкція Hydromorphone hydrochloride 1 mg/ml
ін'єкція Doripenem 5 mg/ml
Натрію хлорид 0,9% 2262
сумісний
ін'єкція Hydromorphone hydrochloride 0.5 mg/ml
ін'єкція Doxorubicin hydrochloride liposome peg 0.4 mg/ml
Глюкоза 5% 251
сумісний
ін'єкція Hydromorphone hydrochloride 0.2 mg/ml
ін'єкція Doxycycline hyclate 1 mg/ml
Глюкоза 5% 405
сумісний
ін'єкція Hydromorphone hydrochloride 1 mg/ml
ін'єкція Epinephrine hydrochloride 20 µg/ml
314
сумісний
ін'єкція Hydromorphone hydrochloride 1 mg/ml
ін'єкція Eravacycline 0,6 mg/ml
Натрію хлорид 0,9% 4434
сумісний
ін'єкція Hydromorphone hydrochloride 0.2 mg/ml
ін'єкція Erythromycin lactobionate 5 mg/ml
Глюкоза 5% 405
сумісний
ін'єкція Hydromorphone hydrochloride 0.5 mg/ml
ін'єкція Etoposide phosphate 5 mg/ml
Глюкоза 5% 1410
сумісний
ін'єкція Hydromorphone hydrochloride 0.5 mg/ml
ін'єкція Famotidine 2 mg/ml
Натрію хлорид 0,9% 215
сумісний
ін'єкція Hydromorphone hydrochloride 0.5 mg/ml
ін'єкція Fenoldopam mesylate 80 µg/ml
Натрію хлорид 0,9% 1803
сумісний
ін'єкція Hydromorphone hydrochloride 1 mg/ml
ін'єкція Fentanyl citrate 50 µg/ml
314
сумісний
ін'єкція Hydromorphone hydrochloride 0.5 mg/ml
ін'єкція Filgrastim 30 µg/ml
Глюкоза 5% 244
сумісний
ін'єкція Hydromorphone hydrochloride 0.5 mg/ml
ін'єкція Fludarabine phosphate 1 mg/ml
Глюкоза 5% 492
сумісний
ін'єкція Hydromorphone hydrochloride 0.5 mg/ml
ін'єкція Fluorouracil 1 & 16 mg/ml
Глюкоза 5% 513
сумісний
ін'єкція Hydromorphone hydrochloride 0.5 mg/ml
ін'єкція Fluorouracil 1 & 16 mg/ml
Натрію хлорид 0,9% 513
сумісний
ін'єкція Hydromorphone hydrochloride 10 mg/ml
ін'єкція Foscarnet sodium 24 mg/ml
Жодного 73
сумісний
ін'єкція Hydromorphone hydrochloride 1 mg/ml
ін'єкція Fosfomycin 30 mg/ml
Глюкоза 5% 4055
сумісний
ін'єкція Hydromorphone hydrochloride 1 mg/ml
ін'єкція Fosfomycin 30 mg/ml
Натрію хлорид 0,9% 4055
сумісний
ін'єкція Hydromorphone hydrochloride 1 mg/ml
ін'єкція Furosemide 10 mg/ml
314
Помутніння через 24 години Несумісні
ін'єкція Hydromorphone hydrochloride 4 mg/ml
ін'єкція Gallium nitrate 1 mg/ml
Натрію хлорид 0,9% 91
сумісний
ін'єкція Hydromorphone hydrochloride 0.5 mg/ml
ін'єкція Gemcitabine hydrochloride 10 mg/ml
Натрію хлорид 0,9% 1423
сумісний
ін'єкція Hydromorphone hydrochloride 0.2 mg/ml
ін'єкція Gentamicin sulfate 0.8 mg/ml
Глюкоза 5% 405
сумісний
ін'єкція Hydromorphone hydrochloride
ін'єкція Glycopyrronium bromide
5073
сумісний
ін'єкція Hydromorphone hydrochloride 0.5 mg/ml
ін'єкція Granisetron hydrochloride 0.056 mg/ml
Натрію хлорид 0,9% 6
сумісний
ін'єкція Hydromorphone hydrochloride 0.5 mg/ml
ін'єкція Granisetron hydrochloride 1 mg/ml
Натрію хлорид 0,9% 57
сумісний
ін'єкція Hydromorphone hydrochloride 0.5 mg/ml
ін'єкція Granisetron hydrochloride 0.05 mg/ml
Глюкоза 5% 182
сумісний
ін'єкція Hydromorphone hydrochloride 10 mg/ml
ін'єкція Haloperidol lactate 1 mg/ml
Жодного 216
сумісний
ін'єкція Hydromorphone hydrochloride 10 mg/ml
ін'єкція Haloperidol lactate 5 mg/ml
Жодного 216
сумісний
ін'єкція Hydromorphone hydrochloride 1 mg/ml
ін'єкція Haloperidol lactate 5 mg/ml
Жодного 216
сумісний
ін'єкція Hydromorphone hydrochloride 1 mg/ml
ін'єкція Haloperidol lactate 2 mg/ml
Жодного 216
сумісний
ін'єкція Hydromorphone hydrochloride 1 mg/ml
ін'єкція Haloperidol lactate 1 mg/ml
Жодного 216
сумісний
ін'єкція Hydromorphone hydrochloride 0.5 mg/ml
ін'єкція Haloperidol lactate 0.2 mg/ml
Глюкоза 5% 1974
сумісний
ін'єкція Hydromorphone hydrochloride
ін'єкція Haloperidol lactate
5073
сумісний
ін'єкція Hydromorphone hydrochloride 10 mg/ml
ін'єкція Haloperidol lactate 2 mg/ml
Жодного 216
сумісний
ін'єкція Hydromorphone hydrochloride <12.5 mg/ml
ін'єкція Heparin sodium
Вода для ін'єкцій 66
сумісний
ін'єкція Hydromorphone hydrochloride <12.5 mg/ml
ін'єкція Heparin sodium
Натрію хлорид 0,9% 66
сумісний
ін'єкція Hydromorphone hydrochloride 1 mg/ml
ін'єкція Heparin sodium 100 UI/ml
314
Миттєві опади Несумісні
ін'єкція Hydromorphone hydrochloride >25 mg/ml
ін'єкція Heparin sodium <12,5 UI/ml
Вода для ін'єкцій 66
Миттєві опади Несумісні
ін'єкція Hydromorphone hydrochloride >10 mg/ml
ін'єкція Heparin sodium <1 UI/ml
Вода для ін'єкцій 66
Миттєві опади Несумісні
ін'єкція Hydromorphone hydrochloride >25 mg/ml
ін'єкція Heparin sodium <12,5 UI/ml
Натрію хлорид 0,9% 66
сумісний
ін'єкція Hydromorphone hydrochloride 0.5 mg/ml
ін'єкція Hetastarch 60 mg/ml
специфічний розчинник 1721
Хімічна нестійкість Несумісні
ін'єкція Hydromorphone hydrochloride 2 >> 40 mg/ml
ін'єкція Hyaluronidase 150 UI/ml
Глюкоза 5% 9
сумісний
ін'єкція Hydromorphone hydrochloride
ін'єкція Hyaluronidase
3184
Хімічна нестійкість Несумісні
ін'єкція Hydromorphone hydrochloride 2 >> 40 mg/ml
ін'єкція Hyaluronidase 150 UI/ml
Натрію хлорид 0,9% 9
сумісний
ін'єкція Hydromorphone hydrochloride 0.5 mg/ml
ін'єкція Hydroxyzine dihydrochloride 4 mg/ml
Глюкоза 5% 1974
сумісний
ін'єкція Hydromorphone hydrochloride 1 mg/ml
ін'єкція Isavuconazonium sulfate 1.5 mg/ml
Натрію хлорид 0,9% 3829
сумісний
ін'єкція Hydromorphone hydrochloride 1 mg/ml
ін'єкція Isavuconazonium sulfate 1.5 mg/ml
Глюкоза 5% 3829
сумісний
ін'єкція Hydromorphone hydrochloride 0.2 mg/ml
ін'єкція Kanamycin sulfate 2.5 mg/ml
Глюкоза 5% 405
сумісний
ін'єкція Hydromorphone hydrochloride
ін'єкція Ketamine hydrochloride
5073
сумісний
ін'єкція Hydromorphone hydrochloride 0.2 mg/ml
ін'єкція Ketamine hydrochloride 0.2 >> 1 mg/ml
Натрію хлорид 0,9% 2336
сумісний
ін'єкція Hydromorphone hydrochloride 0.5 mg/ml
ін'єкція Ketorolac tromethamine 1 mg/ml
Глюкоза 5% 1974
сумісний
ін'єкція Hydromorphone hydrochloride 10 mg/ml
ін'єкція Ketorolac tromethamine 15 mg/ml
Жодного 216
сумісний
ін'єкція Hydromorphone hydrochloride 1 mg/ml
ін'єкція Ketorolac tromethamine 30 mg/ml
Жодного 216
сумісний
ін'єкція Hydromorphone hydrochloride 1 mg/ml
ін'єкція Ketorolac tromethamine 15 mg/ml
Жодного 216
Миттєві опади Несумісні
ін'єкція Hydromorphone hydrochloride 10 mg/ml
ін'єкція Ketorolac tromethamine 30 mg/ml
Жодного 216
сумісний
ін'єкція Hydromorphone hydrochloride 1 mg/ml
ін'єкція Labetalol hydrochloride 2 mg/ml
314
Опади через 1 год Несумісні
ін'єкція Hydromorphone hydrochloride 0.5 mg/ml
ін'єкція Lansoprazole 0.55 mg/ml
Натрію хлорид 0,9% 1625
сумісний
ін'єкція Hydromorphone hydrochloride 2 mg/ml
ін'єкція Levofloxacine 5 mg/ml
Жодного 2335
сумісний
ін'єкція Hydromorphone hydrochloride
ін'єкція Levomepromazine
5073
сумісний
ін'єкція Hydromorphone hydrochloride 10 mg/ml
ін'єкція Levosimendan 2,5 mg/ml
4389
сумісний
ін'єкція Hydromorphone hydrochloride 0.5 mg/ml
ін'єкція Linezolid 2 mg/ml
Жодного 1925
сумісний
ін'єкція Hydromorphone hydrochloride 0.5 mg/ml
ін'єкція Lorazepam 0.1 mg/ml
Глюкоза 5% 1974
сумісний
ін'єкція Hydromorphone hydrochloride 2 >> 40 mg/ml
ін'єкція Lorazepam 4 mg/ml
Жодного 1497
сумісний
ін'єкція Hydromorphone hydrochloride 1 mg/ml
ін'єкція Lorazepam 0.5 mg/ml
314
сумісний
ін'єкція Hydromorphone hydrochloride 2 mg/ml
ін'єкція Magnesium sulfate 16,67 >> 100 mg/ml
Глюкоза 5% 517
сумісний
ін'єкція Hydromorphone hydrochloride 0.5 mg/ml
ін'єкція Melphalan 0.1 mg/ml
Натрію хлорид 0,9% 169
сумісний
ін'єкція Hydromorphone hydrochloride 10 mg/ml
ін'єкція Meropenem 50 mg/ml
Вода для ін'єкцій 4319
Хімічна нестійкість Несумісні
ін'єкція Hydromorphone hydrochloride
ін'єкція Metamizol sodium
2364
сумісний
ін'єкція Hydromorphone hydrochloride
ін'єкція Metoclopramide hydrochloride
5073
сумісний
ін'єкція Hydromorphone hydrochloride 0.5 mg/ml
ін'єкція Metoclopramide hydrochloride 5 mg/ml
Глюкоза 5% 1974
сумісний
ін'єкція Hydromorphone hydrochloride 0.2 mg/ml
ін'єкція Metronidazole 5 mg/ml
Глюкоза 5% 405
сумісний
ін'єкція Hydromorphone hydrochloride 0.5 mg/ml
ін'єкція Micafungin 1.5 mg/ml
Натрію хлорид 0,9% 2108
сумісний
ін'єкція Hydromorphone hydrochloride
ін'єкція Midazolam hydrochloride
5073
сумісний
ін'єкція Hydromorphone hydrochloride 0.5 mg/ml
ін'єкція Midazolam hydrochloride 0.2 mg/ml
Глюкоза 5% 1974
сумісний
ін'єкція Hydromorphone hydrochloride 0.5 >> 45 mg/ml
ін'єкція Midazolam hydrochloride 0.1 >> 4.5 mg/ml
Глюкоза 5% 345
сумісний
ін'єкція Hydromorphone hydrochloride 1 mg/ml
ін'єкція Midazolam hydrochloride 2 mg/ml
314
сумісний
ін'єкція Hydromorphone hydrochloride 0.5 >> 45 mg/ml
ін'єкція Midazolam hydrochloride 0.1 >> 4.5 mg/ml
Натрію хлорид 0,9% 345
сумісний
ін'єкція Hydromorphone hydrochloride 1 mg/ml
ін'єкція Milrinone lactate 0.2 mg/ml
314
Зміна кольору через 1 годину Несумісні
ін'єкція Hydromorphone hydrochloride 0.2 mg/ml
ін'єкція Minocycline hydrochloride 0.2 mg/ml
Глюкоза 5% 405
сумісний
ін'єкція Hydromorphone hydrochloride 1 mg/ml
ін'єкція Morphine sulfate 2 mg/ml
314
сумісний
ін'єкція Hydromorphone hydrochloride 0.2 mg/ml
ін'єкція Moxalactam 20 mg/ml
Глюкоза 5% 405
сумісний
ін'єкція Hydromorphone hydrochloride 0.2 mg/ml
ін'єкція Nafcillin sodium 20 mg/ml
Глюкоза 5% 405
сумісний
ін'єкція Hydromorphone hydrochloride 10 mg/ml
ін'єкція Naloxone hydrochloride 0.4 mg/ml
Жодного 3408
сумісний
ін'єкція Hydromorphone hydrochloride 1 mg/ml
ін'єкція Nicardipine hydrochloride 1 mg/ml
314
сумісний
ін'єкція Hydromorphone hydrochloride 1 mg/ml
ін'єкція Nitroglycerin 0.4 mg/ml
314
сумісний
ін'єкція Hydromorphone hydrochloride 1 mg/ml
ін'єкція Norepinephrine bitartrate 0.128 mg/ml
314
сумісний
ін'єкція Hydromorphone hydrochloride 0,5 mg/ml
ін'єкція Ondansetron hydrochloride 0,1 & 1 mg/ml
Натрію хлорид 0,9% 6
сумісний
ін'єкція Hydromorphone hydrochloride 0.5 mg/ml
ін'єкція Ondansetron hydrochloride 1 mg/ml
Натрію хлорид 0,9% 334
сумісний
ін'єкція Hydromorphone hydrochloride 0.2 mg/ml
ін'єкція Oxacillin sodium 20 mg/ml
Глюкоза 5% 405
сумісний
ін'єкція Hydromorphone hydrochloride 0,5 mg/ml
ін'єкція Oxaliplatin 0,5 mg/ml
Глюкоза 5% 1662
сумісний
ін'єкція Hydromorphone hydrochloride 0.5 mg/ml
ін'єкція Paclitaxel 1.2 mg/ml
Глюкоза 5% 248
сумісний
ін'єкція Hydromorphone hydrochloride 0.5 mg/ml
ін'єкція Palonosetron hydrochloride 50 µg/ml
Глюкоза 5% 2196
Опади через 4 год Несумісні
ін'єкція Hydromorphone hydrochloride
ін'єкція Pantoprazole sodium
2090
сумісний
ін'єкція Hydromorphone hydrochloride 10 mg/ml
ін'єкція Paracetamol 10 mg/ml
4742
сумісний
ін'єкція Hydromorphone hydrochloride 2 mg/ml
ін'єкція Paracetamol 10 mg/ml
Жодного 3571
Неуточнена несумісність Несумісні
ін'єкція Hydromorphone hydrochloride
ін'єкція Parecoxib sodium
3504
сумісний
ін'єкція Hydromorphone hydrochloride 0.5 mg/ml
ін'єкція Pemetrexed disodium 20 mg/ml
Натрію хлорид 0,9% 1953
сумісний
ін'єкція Hydromorphone hydrochloride 0.2 mg/ml
ін'єкція Penicillin G potassium 0.1 MUI/ml
Глюкоза 5% 405
Миттєві опади Несумісні
ін'єкція Hydromorphone hydrochloride 2 >> 40 mg/ml
ін'єкція Phenobarbital sodium 120 mg/ml
Глюкоза 5% 226
сумісний
ін'єкція Hydromorphone hydrochloride 0.5 mg/ml
ін'єкція Phenobarbital sodium 2 mg/ml
Глюкоза 5% 1974
Миттєві опади Несумісні
ін'єкція Hydromorphone hydrochloride 2 >> 40 mg/ml
ін'єкція Phenytoin sodium 50 mg/ml
Глюкоза 5% 226
Опади через 1 год Несумісні
ін'єкція Hydromorphone hydrochloride 0.5 mg/ml
ін'єкція Phenytoin sodium 2 mg/ml
Глюкоза 5% 1974
сумісний
ін'єкція Hydromorphone hydrochloride 0.2 mg/ml
ін'єкція Piperacillin sodium 60 mg/ml
Глюкоза 5% 405
сумісний
ін'єкція Hydromorphone hydrochloride 0.5 mg/ml
ін'єкція Piperacillin sodium / tazobactam 40/5 mg/ml
Глюкоза 5% 81
сумісний
ін'єкція Hydromorphone hydrochloride 1 mg/ml
ін'єкція Plazomicin sulfate 24 mg/ml
Натрію хлорид 0,9% 4145
сумісний
ін'єкція Hydromorphone hydrochloride
ін'єкція Posaconazole
4380
сумісний
ін'єкція Hydromorphone hydrochloride 25 mg/ml
ін'єкція Potassium chloride 1000 mEq/l
Вода для ін'єкцій 66
сумісний
ін'єкція Hydromorphone hydrochloride 5 >> 20 mg/ml
ін'єкція Potassium chloride 500 & 1000 mEq/l
Глюкоза 5% 66
сумісний
ін'єкція Hydromorphone hydrochloride 2 >> 40 mg/ml
ін'єкція Prochlorperazine edysilate 5 mg/ml
Жодного 1497
сумісний
ін'єкція Hydromorphone hydrochloride 0,5 mg/ml
ін'єкція Prochlorperazine edysilate 1,5 mg/ml
Натрію хлорид 0,9% 767
сумісний
ін'єкція Hydromorphone hydrochloride 1 mg/ml
ін'єкція Promethazine hydrochloride 0.3 mg/ml
Натрію хлорид 0,9% 795
сумісний
ін'єкція Hydromorphone hydrochloride 0.5 mg/ml
ін'єкція Propofol 10 mg/ml
Жодного 300
сумісний
ін'єкція Hydromorphone hydrochloride 1 mg/ml
ін'єкція Ranitidine hydrochloride 1 mg/ml
314
сумісний
ін'єкція Hydromorphone hydrochloride 2 mg/ml
ін'єкція Ranitidine hydrochloride 25 mg/ml
Жодного 58
сумісний
ін'єкція Hydromorphone hydrochloride 1 mg/ml
ін'єкція Remdesivir 1 mg/ml
Натрію хлорид 0,9% 4768
сумісний
ін'єкція Hydromorphone hydrochloride 10 mg/ml
ін'єкція Salbutamol sulfate 1 mg/ml
Жодного 3216
Опади через 30 хв Несумісні
ін'єкція Hydromorphone hydrochloride 0.5 mg/ml
ін'єкція Sargramostim 10 µg/ml
Натрію хлорид 0,9% 335
сумісний
ін'єкція Hydromorphone hydrochloride 0.5 mg/ml
ін'єкція Scopolamine hydrobromide 0.05 mg/ml
Глюкоза 5% 1974
сумісний
ін'єкція Hydromorphone hydrochloride
ін'єкція Scopolamine hydrobromide
5073
сумісний
ін'єкція Hydromorphone hydrochloride 0,1 & 1 mg/ml
ін'єкція Tacrolimus 5 & 20 µg/ml
Глюкоза 5% 814
сумісний
ін'єкція Hydromorphone hydrochloride 1 mg/ml
ін'єкція Tedizolid phosphate 0.8 mg/ml
Натрію хлорид 0,9% 3827
сумісний
ін'єкція Hydromorphone hydrochloride 0.5 mg/ml
ін'єкція Teniposide 0.1 mg/ml
Глюкоза 5% 905
Миттєві опади Несумісні
ін'єкція Hydromorphone hydrochloride 10 mg/ml
ін'єкція Thiopental sodium 25 mg/ml
Натрію хлорид 0,9% 3767
Опади через 4 год Несумісні
ін'єкція Hydromorphone hydrochloride 1 mg/ml
ін'єкція Thiopental sodium 25 mg/ml
314
сумісний
ін'єкція Hydromorphone hydrochloride 0.5 mg/ml
ін'єкція Thiotepa 1 mg/ml
Глюкоза 5% 249
сумісний
ін'єкція Hydromorphone hydrochloride
Натрію хлорид 0,9% 5073
сумісний
ін'єкція Hydromorphone hydrochloride
ін'єкція Scopolamine N-butyl bromide
5073
сумісний
ін'єкція Hydromorphone hydrochloride 1 mg/ml
ін'єкція Sulbactam/durlobactam 15/15 mg/ml
Натрію хлорид 0,9% 4801
сумісний
ін'єкція Hydromorphone hydrochloride 0.2 mg/ml
ін'єкція Tobramycin sulfate 0.8 mg/ml
Глюкоза 5% 405
сумісний
ін'єкція Hydromorphone hydrochloride 0.2 mg/ml
ін'єкція Vancomycin hydrochloride 5 mg/ml
Глюкоза 5% 405
сумісний
ін'єкція Hydromorphone hydrochloride 2 mg/ml
ін'єкція Vancomycin hydrochloride 4 mg/ml
Натрію хлорид 0,9% 2335
сумісний
ін'єкція Hydromorphone hydrochloride 1 mg/ml
ін'єкція Vecuronium bromide 1 mg/ml
314
сумісний
ін'єкція Hydromorphone hydrochloride 0.016 mg/ml
ін'єкція Verapamil hydrochloride 0.08 mg/ml
Натрію хлорид 0,9% 1057
сумісний
ін'єкція Hydromorphone hydrochloride 0.016 mg/ml
ін'єкція Verapamil hydrochloride 0.08 mg/ml
Глюкоза 5% 1057
сумісний
ін'єкція Hydromorphone hydrochloride 0.5 mg/ml
ін'єкція Vinorelbine tartrate 1 mg/ml
Натрію хлорид 0,9% 84

  Mentions Légales