Τελευταία ενημέρωση :
18/03/2026
Αναλγητικό   Hydromorphone hydrochloride  
Ενέσιμο
Σταθερότητα διαλυμάτων Σταθερότητα σε μίγματα Παράγοντας που επηρεάζει τη σταθερότητα Συμβατότητες Τρόπος χορήγησης Βιβλιογραφία pdf
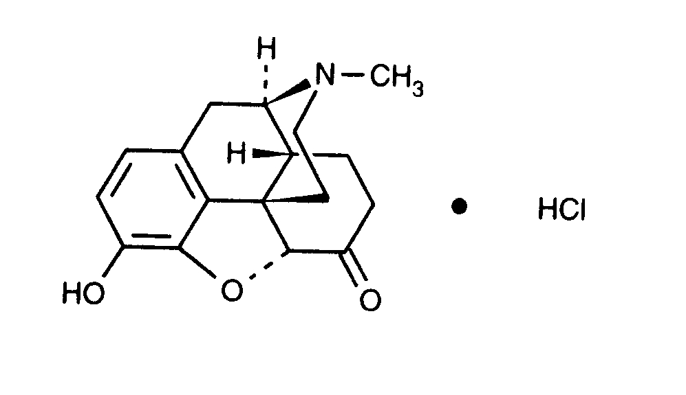
   χημική δομή  

Εμπορική ονομασία   Εμπορική ονομασία     

Οι εμπορικές ονομασίες είναι ενδεικτικές και η σύνθεση των εκδόχων μπορεί να διαφέρει ανάλογα με τη χώρα και τα εργαστήρια

Dilaudid Η.Π.Α., Καναδάς
Hydal Αυστρία
Palladon Δανία, Ελβετία
Palladone Μεγάλη Βρετανία
Συμβατότητες    Ενέσιμο   Συμβατότητες : Hydromorphone hydrochloride              
Σε αυτή την οθόνη εμφανίζονται οι συμβατότητες ή ασυμβατότητες. Σε αυτή την περίπτωση εμφανίζονται το είδος της ασυμβατότητας (ίζημα, αλλαγή χρώματος, μεταβολή γαλακτώματος, κλπ). Οι συμβατότητες που παρουσιάζονται εδώ είναι κυρίως φυσικές, ενώ η χημική σταθερότητα κάθε μορίου σπάνια περιλαμβάνεται. Η αξιολόγηση αυτών των μιγμάτων μελετήθηκε προκειμένου να εκτιμηθεί η πιθανότητα χορήγησης στον ασθενή στο Υ κέντρο. Τα δεδομένα αυτά δεν μπορούν να χρησιμοποιηθούν για την εκ των προτέρων δημιουργία μιγμάτων σε ασκούς ή σύριγγες. Αυτό το είδος πληροφορίας υπάρχει και μπορεί να αναζητηθεί στην οθόνη «Σταθερότητα σε μίγμα».
Συστατικό Διαλυτικό Βιβλιογραφία
Σύμφωνος
Ενέσιμο Hydromorphone hydrochloride 0.04 mg/ml
Ενέσιμο Aciclovir sodium 5 mg/ml
Γλυκόζη 5% 336
Σύμφωνος
Ενέσιμο Hydromorphone hydrochloride 0.5 mg/ml
Ενέσιμο Allopurinol sodium 3 mg/ml
Χλωριούχο νάτριο 0,9% 307
Σύμφωνος
Ενέσιμο Hydromorphone hydrochloride 0.5 mg/ml
Ενέσιμο Amifostine 10 mg/ml
Γλυκόζη 5% 3
Σύμφωνος
Ενέσιμο Hydromorphone hydrochloride 0.2 mg/ml
Ενέσιμο Amikacin sulfate 5 mg/ml
Γλυκόζη 5% 405
Σύμφωνος
Ενέσιμο Hydromorphone hydrochloride 10 mg/ml
Ενέσιμο Amoxicillin sodium / clavulanic acid 100/10 mg/ml
3824
Σύμφωνος
Ενέσιμο Hydromorphone hydrochloride 2 >> 40 mg/ml
Ενέσιμο Ampicillin sodium 20 & 250 mg/ml
Γλυκόζη 5% 226
Σύμφωνος
Ενέσιμο Hydromorphone hydrochloride 0.5 mg/ml
Ενέσιμο Amsacrine 1 mg/ml
Γλυκόζη 5% 253
Σύμφωνος
Ενέσιμο Hydromorphone hydrochloride 0.5 mg/ml
Ενέσιμο Anidulafungin 0.5 mg/ml
Γλυκόζη 5% 1982
Σύμφωνος
Ενέσιμο Hydromorphone hydrochloride 0.5 mg/ml
Ενέσιμο Aztreonam 40 mg/ml
Γλυκόζη 5% 99
Σύμφωνος
Ενέσιμο Hydromorphone hydrochloride 0.5 mg/ml
Ενέσιμο Bivalirudin 5 mg/ml
Γλυκόζη 5% 1713
Άμεση αστάθεια του γαλακτώματος Ασύμβατες
Ενέσιμο Hydromorphone hydrochloride 0.5 mg/ml
Παρεντερική διατροφή (με λιπίδια) 1415
Σύμφωνος
Ενέσιμο Hydromorphone hydrochloride 10 mg/ml
Γαλακτικό διάλυμα Ringer 4603
Απώλεια θολότητας Ασύμβατες
Ενέσιμο Hydromorphone hydrochloride 0.5 mg/ml
Ενέσιμο Amphotericin B cholesteryl sulfate complex 0.83 mg/ml
Γλυκόζη 5% 921
Σύμφωνος
Ενέσιμο Hydromorphone hydrochloride 0.2 mg/ml
Ενέσιμο Ampicillin sodium 20 mg/ml
Γλυκόζη 5% 405
Σύμφωνος
Ενέσιμο Hydromorphone hydrochloride 0.5 mg/ml
Ενέσιμο Atropine sulfate 0.4 mg/ml
Γλυκόζη 5% 1974
Σύμφωνος
Ενέσιμο Hydromorphone hydrochloride 0,02 & 0,1 mg/ml
Ενέσιμο Bupivacaine hydrochloride 0,625 & 1,25 mg/ml
Χλωριούχο νάτριο 0,9% 306
Σύμφωνος
Ενέσιμο Hydromorphone hydrochloride
Γλυκόζη 5% 5073
Σύμφωνος
Ενέσιμο Hydromorphone hydrochloride 0,02 & 0,04 mg/ml
Ενέσιμο Bupivacaine hydrochloride 2,5 mg/ml
Χλωριούχο νάτριο 0,9% 1931
Σύμφωνος
Ενέσιμο Hydromorphone hydrochloride 15 mg/ml
Ενέσιμο Bupivacaine hydrochloride 10 mg/ml
Ουδέν 4200
Σύμφωνος
Ενέσιμο Hydromorphone hydrochloride 2,5 mg/ml
Παρεντερική διατροφή (με λιπίδια) 4507
Σύμφωνος
Ενέσιμο Hydromorphone hydrochloride 25 mg/ml
Ενέσιμο Bupivacaine hydrochloride 20 mg/ml
Χλωριούχο νάτριο 0,9% 3131
Σύμφωνος
Ενέσιμο Hydromorphone hydrochloride 65 mg/ml
Ενέσιμο Bupivacaine hydrochloride 7,5 mg/ml
Ουδέν 221
Σύμφωνος
Ενέσιμο Hydromorphone hydrochloride 50 mg/ml
Ενέσιμο Caffeine 10 mg/ml
Ουδέν 3964
Σύμφωνος
Ενέσιμο Hydromorphone hydrochloride 1 mg/ml
Ενέσιμο Caspofungin acetate 0,7 mg/ml
Χλωριούχο νάτριο 0,9% 2247
Σύμφωνος
Ενέσιμο Hydromorphone hydrochloride 1 mg/ml
Ενέσιμο Caspofungin acetate 0.5 mg/ml
Χλωριούχο νάτριο 0,9% 2233
Σύμφωνος
Ενέσιμο Hydromorphone hydrochloride 0.2 mg/ml
Ενέσιμο Cefalotin sodium 20 mg/ml
Γλυκόζη 5% 405
Σύμφωνος
Ενέσιμο Hydromorphone hydrochloride 0.2 mg/ml
Ενέσιμο Cefamandole nafate 20 mg/ml
Γλυκόζη 5% 405
Σύμφωνος
Ενέσιμο Hydromorphone hydrochloride 0.2 mg/ml
Ενέσιμο Cefazolin sodium 20 mg/ml
Γλυκόζη 5% 405
Σύμφωνος
Ενέσιμο Hydromorphone hydrochloride 2 >> 40 mg/ml
Ενέσιμο Cefazolin sodium 20 mg/ml
Γλυκόζη 5% 226
Άμεση βροχόπτωση Ασύμβατες
Ενέσιμο Hydromorphone hydrochloride 2 >> 40 mg/ml
Ενέσιμο Cefazolin sodium >200 mg/ml
Γλυκόζη 5% 226
Σύμφωνος
Ενέσιμο Hydromorphone hydrochloride 1 mg/ml
Ενέσιμο Cefiderocol sulfate tosylate 20 mg/mL
Χλωριούχο νάτριο 0,9% 4528
Σύμφωνος
Ενέσιμο Hydromorphone hydrochloride 1 mg/ml
Ενέσιμο Cefiderocol sulfate tosylate 20 mg/mL
Γλυκόζη 5% 4528
Σύμφωνος
Ενέσιμο Hydromorphone hydrochloride 0.2 mg/ml
Ενέσιμο Cefmetazole sodium 100 mg/ml
Ενέσιμο ύδωρ 93
Σύμφωνος
Ενέσιμο Hydromorphone hydrochloride 0.2 mg/ml
Ενέσιμο Cefoperazone sodium 20 mg/ml
Γλυκόζη 5% 405
Σύμφωνος
Ενέσιμο Hydromorphone hydrochloride 0.2 mg/ml
Ενέσιμο Ceforanide 20 mg/ml
Γλυκόζη 5% 405
Σύμφωνος
Ενέσιμο Hydromorphone hydrochloride 0.2 mg/ml
Ενέσιμο Cefotaxime sodium 20 mg/ml
Γλυκόζη 5% 405
Σύμφωνος
Ενέσιμο Hydromorphone hydrochloride 0.2 mg/ml
Ενέσιμο Cefoxitin sodium 20 mg/ml
Γλυκόζη 5% 405
Σύμφωνος
Ενέσιμο Hydromorphone hydrochloride 0,5 mg/ml
Ενέσιμο Ceftaroline fosamil 2,22 mg/ml
Γαλακτικό διάλυμα Ringer 3249
Σύμφωνος
Ενέσιμο Hydromorphone hydrochloride 0,5 mg/ml
Ενέσιμο Ceftaroline fosamil 2,22 mg/ml
Γλυκόζη 5% 3249
Σύμφωνος
Ενέσιμο Hydromorphone hydrochloride 0,5 mg/ml
Ενέσιμο Ceftaroline fosamil 2,22 mg/ml
Χλωριούχο νάτριο 0,9% 3249
Σύμφωνος
Ενέσιμο Hydromorphone hydrochloride 2 >> 40 mg/ml
Ενέσιμο Ceftazidime 40 & 180 mg/ml
Γλυκόζη 5% 226
Σύμφωνος
Ενέσιμο Hydromorphone hydrochloride 0.2 mg/ml
Ενέσιμο Ceftizoxime sodium 20 mg/ml
Γλυκόζη 5% 405
Άμεση βροχόπτωση Ασύμβατες
Ενέσιμο Hydromorphone hydrochloride 1 mg/ml
Ενέσιμο Ceftobiprole medocaril sodium 2 mg/ml
Χλωριούχο νάτριο 0,9% 2269
Άμεση βροχόπτωση Ασύμβατες
Ενέσιμο Hydromorphone hydrochloride 1 mg/ml
Ενέσιμο Ceftobiprole medocaril sodium 2 mg/ml
Γαλακτικό διάλυμα Ringer 2269
Απροσδιόριστη ασυμβατότητα Ασύμβατες
Ενέσιμο Hydromorphone hydrochloride
Ενέσιμο Ceftobiprole medocaril sodium
4650
Άμεση βροχόπτωση Ασύμβατες
Ενέσιμο Hydromorphone hydrochloride 1 mg/ml
Ενέσιμο Ceftobiprole medocaril sodium 2 mg/ml
Γλυκόζη 5% 2269
Σύμφωνος
Ενέσιμο Hydromorphone hydrochloride 1 mg/ml
Ενέσιμο Ceftolozane / tazobactam 10/5 mg/ml
Γλυκόζη 5% 3828
Σύμφωνος
Ενέσιμο Hydromorphone hydrochloride 1 mg/ml
Ενέσιμο Ceftolozane / tazobactam 10/5 mg/ml
Χλωριούχο νάτριο 0,9% 3828
Σύμφωνος
Ενέσιμο Hydromorphone hydrochloride 0.2 mg/ml
Ενέσιμο Cefuroxime sodium 30 mg/ml
Γλυκόζη 5% 405
Σύμφωνος
Ενέσιμο Hydromorphone hydrochloride 0.2 mg/ml
Ενέσιμο Chloramphenicol sodium succinate 20 mg/ml
Γλυκόζη 5% 405
Σύμφωνος
Ενέσιμο Hydromorphone hydrochloride 0.5 mg/ml
Ενέσιμο Cisatracurium besylate 0.1 >> 5 mg/ml
Γλυκόζη 5% 299
Σύμφωνος
Ενέσιμο Hydromorphone hydrochloride 0.5 mg/ml
Ενέσιμο Cladribine 0.015 mg/ml
Χλωριούχο νάτριο 0,9% 1496
Σύμφωνος
Ενέσιμο Hydromorphone hydrochloride 0.5 mg/ml
Ενέσιμο Cladribine 0.5 mg/ml
NaCl 0,9% + αντιβακτηριακό 1496
Σύμφωνος
Ενέσιμο Hydromorphone hydrochloride 10 mg/ml
Ενέσιμο Cloxacillin sodium 100 mg/ml
Ενέσιμο ύδωρ 3012
Σύμφωνος
Ενέσιμο Hydromorphone hydrochloride 0.2 mg/ml
Ενέσιμο Co-trimoxazole 4/0.8 mg/ml
Γλυκόζη 5% 405
Σύμφωνος
Ενέσιμο Hydromorphone hydrochloride < 10 mg/ml
Ενέσιμο Dexamethasone sodium phosphate 2 >> 10 mg/ml
389
Σύμφωνος
Ενέσιμο Hydromorphone hydrochloride 0.5 mg/ml
Ενέσιμο Dexamethasone sodium phosphate 1 mg/ml
Γλυκόζη 5% 1974
Σύμφωνος
Ενέσιμο Hydromorphone hydrochloride 1 >> 40 mg/ml
Ενέσιμο Dexamethasone sodium phosphate < 2 mg/ml
389
Σύμφωνος
Ενέσιμο Hydromorphone hydrochloride 0.5 mg/ml
Ενέσιμο Dexmedetomidine 4 µg/ml
Χλωριούχο νάτριο 0,9% 1712
Καταβύθιση μετά από 2 ώρες Ασύμβατες
Ενέσιμο Hydromorphone hydrochloride
Ενέσιμο Dimenhydrinate
2087
Σύμφωνος
Ενέσιμο Hydromorphone hydrochloride 0.5 mg/ml
Παρεντερική  θρέψη (ελεύθερο λιπιδίων) 301
Σύμφωνος
Ενέσιμο Hydromorphone hydrochloride 2 mg/ml
Ενέσιμο Cimetidine hydrochloride 150 mg/ml
1438
Σύμφωνος
Ενέσιμο Hydromorphone hydrochloride 0.2 mg/ml
Ενέσιμο Clindamycin phosphate 12 mg/ml
Γλυκόζη 5% 405
Άμεση βροχόπτωση Ασύμβατες
Ενέσιμο Hydromorphone hydrochloride 2 >> 40 mg/ml
Ενέσιμο Cloxacillin sodium 40 & 250 mg/ml
Γλυκόζη 5% 226
Άμεση βροχόπτωση Ασύμβατες
Ενέσιμο Hydromorphone hydrochloride
Ενέσιμο Cyclizine lactate
5073
Σύμφωνος
Ενέσιμο Hydromorphone hydrochloride
Ενέσιμο Dexamethasone sodium phosphate
5073
Άμεση βροχόπτωση Ασύμβατες
Ενέσιμο Hydromorphone hydrochloride > 15 mg/ml
Ενέσιμο Dexamethasone sodium phosphate > 3 mg/ml
389
Σύμφωνος
Ενέσιμο Hydromorphone hydrochloride 0.5 mg/ml
Ενέσιμο Diazepam 0.5 mg/ml
Γλυκόζη 5% 1974
Άμεση βροχόπτωση Ασύμβατες
Ενέσιμο Hydromorphone hydrochloride 2 >> 40 mg/ml
Ενέσιμο Diazepam 5 mg/ml
Γλυκόζη 5% 226
Σύμφωνος
Ενέσιμο Hydromorphone hydrochloride 1 mg/ml
Ενέσιμο Diltiazem hydrochloride 1 mg/ml
314
Σύμφωνος
Ενέσιμο Hydromorphone hydrochloride 2 >> 40 mg/ml
Ενέσιμο Dimenhydrinate 50 mg/ml
Ουδέν 1497
Σύμφωνος
Ενέσιμο Hydromorphone hydrochloride 0.5 mg/ml
Ενέσιμο Diphenhydramine hydrochloride 2 mg/ml
Γλυκόζη 5% 1974
Σύμφωνος
Ενέσιμο Hydromorphone hydrochloride 1 mg/ml
Ενέσιμο Dobutamine hydrochloride 4 mg/ml
314
Σύμφωνος
Ενέσιμο Hydromorphone hydrochloride 0.5 mg/ml
Ενέσιμο Docetaxel 0.9 mg/ml
Γλυκόζη 5% 1754
Σύμφωνος
Ενέσιμο Hydromorphone hydrochloride 1 mg/ml
Ενέσιμο Dopamine hydrochloride 3.2 mg/ml
314
Σύμφωνος
Ενέσιμο Hydromorphone hydrochloride 1 mg/ml
Ενέσιμο Doripenem 5 mg/ml
Γλυκόζη 5% 2262
Σύμφωνος
Ενέσιμο Hydromorphone hydrochloride 1 mg/ml
Ενέσιμο Doripenem 5 mg/ml
Χλωριούχο νάτριο 0,9% 2262
Σύμφωνος
Ενέσιμο Hydromorphone hydrochloride 0.5 mg/ml
Ενέσιμο Doxorubicin hydrochloride liposome peg 0.4 mg/ml
Γλυκόζη 5% 251
Σύμφωνος
Ενέσιμο Hydromorphone hydrochloride 0.2 mg/ml
Ενέσιμο Doxycycline hyclate 1 mg/ml
Γλυκόζη 5% 405
Σύμφωνος
Ενέσιμο Hydromorphone hydrochloride 1 mg/ml
Ενέσιμο Epinephrine hydrochloride 20 µg/ml
314
Σύμφωνος
Ενέσιμο Hydromorphone hydrochloride 1 mg/ml
Ενέσιμο Eravacycline 0,6 mg/ml
Χλωριούχο νάτριο 0,9% 4434
Σύμφωνος
Ενέσιμο Hydromorphone hydrochloride 0.2 mg/ml
Ενέσιμο Erythromycin lactobionate 5 mg/ml
Γλυκόζη 5% 405
Σύμφωνος
Ενέσιμο Hydromorphone hydrochloride 0.5 mg/ml
Ενέσιμο Etoposide phosphate 5 mg/ml
Γλυκόζη 5% 1410
Σύμφωνος
Ενέσιμο Hydromorphone hydrochloride 0.5 mg/ml
Ενέσιμο Famotidine 2 mg/ml
Χλωριούχο νάτριο 0,9% 215
Σύμφωνος
Ενέσιμο Hydromorphone hydrochloride 0.5 mg/ml
Ενέσιμο Fenoldopam mesylate 80 µg/ml
Χλωριούχο νάτριο 0,9% 1803
Σύμφωνος
Ενέσιμο Hydromorphone hydrochloride 1 mg/ml
Ενέσιμο Fentanyl citrate 50 µg/ml
314
Σύμφωνος
Ενέσιμο Hydromorphone hydrochloride 0.5 mg/ml
Ενέσιμο Filgrastim 30 µg/ml
Γλυκόζη 5% 244
Σύμφωνος
Ενέσιμο Hydromorphone hydrochloride 0.5 mg/ml
Ενέσιμο Fludarabine phosphate 1 mg/ml
Γλυκόζη 5% 492
Σύμφωνος
Ενέσιμο Hydromorphone hydrochloride 0.5 mg/ml
Ενέσιμο Fluorouracil 1 & 16 mg/ml
Γλυκόζη 5% 513
Σύμφωνος
Ενέσιμο Hydromorphone hydrochloride 0.5 mg/ml
Ενέσιμο Fluorouracil 1 & 16 mg/ml
Χλωριούχο νάτριο 0,9% 513
Σύμφωνος
Ενέσιμο Hydromorphone hydrochloride 10 mg/ml
Ενέσιμο Foscarnet sodium 24 mg/ml
Ουδέν 73
Σύμφωνος
Ενέσιμο Hydromorphone hydrochloride 1 mg/ml
Ενέσιμο Fosfomycin 30 mg/ml
Γλυκόζη 5% 4055
Σύμφωνος
Ενέσιμο Hydromorphone hydrochloride 1 mg/ml
Ενέσιμο Fosfomycin 30 mg/ml
Χλωριούχο νάτριο 0,9% 4055
Σύμφωνος
Ενέσιμο Hydromorphone hydrochloride 1 mg/ml
Ενέσιμο Furosemide 10 mg/ml
314
Θολότητα σε 24 ώρες Ασύμβατες
Ενέσιμο Hydromorphone hydrochloride 4 mg/ml
Ενέσιμο Gallium nitrate 1 mg/ml
Χλωριούχο νάτριο 0,9% 91
Σύμφωνος
Ενέσιμο Hydromorphone hydrochloride 0.5 mg/ml
Ενέσιμο Gemcitabine hydrochloride 10 mg/ml
Χλωριούχο νάτριο 0,9% 1423
Σύμφωνος
Ενέσιμο Hydromorphone hydrochloride 0.2 mg/ml
Ενέσιμο Gentamicin sulfate 0.8 mg/ml
Γλυκόζη 5% 405
Σύμφωνος
Ενέσιμο Hydromorphone hydrochloride
Ενέσιμο Glycopyrronium bromide
5073
Σύμφωνος
Ενέσιμο Hydromorphone hydrochloride 0.5 mg/ml
Ενέσιμο Granisetron hydrochloride 0.056 mg/ml
Χλωριούχο νάτριο 0,9% 6
Σύμφωνος
Ενέσιμο Hydromorphone hydrochloride 0.5 mg/ml
Ενέσιμο Granisetron hydrochloride 1 mg/ml
Χλωριούχο νάτριο 0,9% 57
Σύμφωνος
Ενέσιμο Hydromorphone hydrochloride 0.5 mg/ml
Ενέσιμο Granisetron hydrochloride 0.05 mg/ml
Γλυκόζη 5% 182
Σύμφωνος
Ενέσιμο Hydromorphone hydrochloride 10 mg/ml
Ενέσιμο Haloperidol lactate 1 mg/ml
Ουδέν 216
Σύμφωνος
Ενέσιμο Hydromorphone hydrochloride 10 mg/ml
Ενέσιμο Haloperidol lactate 5 mg/ml
Ουδέν 216
Σύμφωνος
Ενέσιμο Hydromorphone hydrochloride 1 mg/ml
Ενέσιμο Haloperidol lactate 5 mg/ml
Ουδέν 216
Σύμφωνος
Ενέσιμο Hydromorphone hydrochloride 1 mg/ml
Ενέσιμο Haloperidol lactate 2 mg/ml
Ουδέν 216
Σύμφωνος
Ενέσιμο Hydromorphone hydrochloride 1 mg/ml
Ενέσιμο Haloperidol lactate 1 mg/ml
Ουδέν 216
Σύμφωνος
Ενέσιμο Hydromorphone hydrochloride 0.5 mg/ml
Ενέσιμο Haloperidol lactate 0.2 mg/ml
Γλυκόζη 5% 1974
Σύμφωνος
Ενέσιμο Hydromorphone hydrochloride
Ενέσιμο Haloperidol lactate
5073
Σύμφωνος
Ενέσιμο Hydromorphone hydrochloride 10 mg/ml
Ενέσιμο Haloperidol lactate 2 mg/ml
Ουδέν 216
Σύμφωνος
Ενέσιμο Hydromorphone hydrochloride <12.5 mg/ml
Ενέσιμο Heparin sodium
Ενέσιμο ύδωρ 66
Σύμφωνος
Ενέσιμο Hydromorphone hydrochloride <12.5 mg/ml
Ενέσιμο Heparin sodium
Χλωριούχο νάτριο 0,9% 66
Σύμφωνος
Ενέσιμο Hydromorphone hydrochloride 1 mg/ml
Ενέσιμο Heparin sodium 100 UI/ml
314
Άμεση βροχόπτωση Ασύμβατες
Ενέσιμο Hydromorphone hydrochloride >25 mg/ml
Ενέσιμο Heparin sodium <12,5 UI/ml
Ενέσιμο ύδωρ 66
Άμεση βροχόπτωση Ασύμβατες
Ενέσιμο Hydromorphone hydrochloride >10 mg/ml
Ενέσιμο Heparin sodium <1 UI/ml
Ενέσιμο ύδωρ 66
Άμεση βροχόπτωση Ασύμβατες
Ενέσιμο Hydromorphone hydrochloride >25 mg/ml
Ενέσιμο Heparin sodium <12,5 UI/ml
Χλωριούχο νάτριο 0,9% 66
Σύμφωνος
Ενέσιμο Hydromorphone hydrochloride 0.5 mg/ml
Ενέσιμο Hetastarch 60 mg/ml
Ειδικά διαλύτη 1721
Χημική αστάθεια Ασύμβατες
Ενέσιμο Hydromorphone hydrochloride 2 >> 40 mg/ml
Ενέσιμο Hyaluronidase 150 UI/ml
Γλυκόζη 5% 9
Σύμφωνος
Ενέσιμο Hydromorphone hydrochloride
Ενέσιμο Hyaluronidase
3184
Χημική αστάθεια Ασύμβατες
Ενέσιμο Hydromorphone hydrochloride 2 >> 40 mg/ml
Ενέσιμο Hyaluronidase 150 UI/ml
Χλωριούχο νάτριο 0,9% 9
Σύμφωνος
Ενέσιμο Hydromorphone hydrochloride 0.5 mg/ml
Ενέσιμο Hydroxyzine dihydrochloride 4 mg/ml
Γλυκόζη 5% 1974
Σύμφωνος
Ενέσιμο Hydromorphone hydrochloride 1 mg/ml
Ενέσιμο Isavuconazonium sulfate 1.5 mg/ml
Χλωριούχο νάτριο 0,9% 3829
Σύμφωνος
Ενέσιμο Hydromorphone hydrochloride 1 mg/ml
Ενέσιμο Isavuconazonium sulfate 1.5 mg/ml
Γλυκόζη 5% 3829
Σύμφωνος
Ενέσιμο Hydromorphone hydrochloride 0.2 mg/ml
Ενέσιμο Kanamycin sulfate 2.5 mg/ml
Γλυκόζη 5% 405
Σύμφωνος
Ενέσιμο Hydromorphone hydrochloride
Ενέσιμο Ketamine hydrochloride
5073
Σύμφωνος
Ενέσιμο Hydromorphone hydrochloride 0.2 mg/ml
Ενέσιμο Ketamine hydrochloride 0.2 >> 1 mg/ml
Χλωριούχο νάτριο 0,9% 2336
Σύμφωνος
Ενέσιμο Hydromorphone hydrochloride 0.5 mg/ml
Ενέσιμο Ketorolac tromethamine 1 mg/ml
Γλυκόζη 5% 1974
Σύμφωνος
Ενέσιμο Hydromorphone hydrochloride 10 mg/ml
Ενέσιμο Ketorolac tromethamine 15 mg/ml
Ουδέν 216
Σύμφωνος
Ενέσιμο Hydromorphone hydrochloride 1 mg/ml
Ενέσιμο Ketorolac tromethamine 30 mg/ml
Ουδέν 216
Σύμφωνος
Ενέσιμο Hydromorphone hydrochloride 1 mg/ml
Ενέσιμο Ketorolac tromethamine 15 mg/ml
Ουδέν 216
Άμεση βροχόπτωση Ασύμβατες
Ενέσιμο Hydromorphone hydrochloride 10 mg/ml
Ενέσιμο Ketorolac tromethamine 30 mg/ml
Ουδέν 216
Σύμφωνος
Ενέσιμο Hydromorphone hydrochloride 1 mg/ml
Ενέσιμο Labetalol hydrochloride 2 mg/ml
314
Καταβύθιση μετά από 1 ώρα Ασύμβατες
Ενέσιμο Hydromorphone hydrochloride 0.5 mg/ml
Ενέσιμο Lansoprazole 0.55 mg/ml
Χλωριούχο νάτριο 0,9% 1625
Σύμφωνος
Ενέσιμο Hydromorphone hydrochloride 2 mg/ml
Ενέσιμο Levofloxacine 5 mg/ml
Ουδέν 2335
Σύμφωνος
Ενέσιμο Hydromorphone hydrochloride
Ενέσιμο Levomepromazine
5073
Σύμφωνος
Ενέσιμο Hydromorphone hydrochloride 10 mg/ml
Ενέσιμο Levosimendan 2,5 mg/ml
4389
Σύμφωνος
Ενέσιμο Hydromorphone hydrochloride 0.5 mg/ml
Ενέσιμο Linezolid 2 mg/ml
Ουδέν 1925
Σύμφωνος
Ενέσιμο Hydromorphone hydrochloride 0.5 mg/ml
Ενέσιμο Lorazepam 0.1 mg/ml
Γλυκόζη 5% 1974
Σύμφωνος
Ενέσιμο Hydromorphone hydrochloride 2 >> 40 mg/ml
Ενέσιμο Lorazepam 4 mg/ml
Ουδέν 1497
Σύμφωνος
Ενέσιμο Hydromorphone hydrochloride 1 mg/ml
Ενέσιμο Lorazepam 0.5 mg/ml
314
Σύμφωνος
Ενέσιμο Hydromorphone hydrochloride 2 mg/ml
Ενέσιμο Magnesium sulfate 16,67 >> 100 mg/ml
Γλυκόζη 5% 517
Σύμφωνος
Ενέσιμο Hydromorphone hydrochloride 0.5 mg/ml
Ενέσιμο Melphalan 0.1 mg/ml
Χλωριούχο νάτριο 0,9% 169
Σύμφωνος
Ενέσιμο Hydromorphone hydrochloride 10 mg/ml
Ενέσιμο Meropenem 50 mg/ml
Ενέσιμο ύδωρ 4319
Χημική αστάθεια Ασύμβατες
Ενέσιμο Hydromorphone hydrochloride
Ενέσιμο Metamizol sodium
2364
Σύμφωνος
Ενέσιμο Hydromorphone hydrochloride
Ενέσιμο Metoclopramide hydrochloride
5073
Σύμφωνος
Ενέσιμο Hydromorphone hydrochloride 0.5 mg/ml
Ενέσιμο Metoclopramide hydrochloride 5 mg/ml
Γλυκόζη 5% 1974
Σύμφωνος
Ενέσιμο Hydromorphone hydrochloride 0.2 mg/ml
Ενέσιμο Metronidazole 5 mg/ml
Γλυκόζη 5% 405
Σύμφωνος
Ενέσιμο Hydromorphone hydrochloride 0.5 mg/ml
Ενέσιμο Micafungin 1.5 mg/ml
Χλωριούχο νάτριο 0,9% 2108
Σύμφωνος
Ενέσιμο Hydromorphone hydrochloride
Ενέσιμο Midazolam hydrochloride
5073
Σύμφωνος
Ενέσιμο Hydromorphone hydrochloride 0.5 mg/ml
Ενέσιμο Midazolam hydrochloride 0.2 mg/ml
Γλυκόζη 5% 1974
Σύμφωνος
Ενέσιμο Hydromorphone hydrochloride 0.5 >> 45 mg/ml
Ενέσιμο Midazolam hydrochloride 0.1 >> 4.5 mg/ml
Γλυκόζη 5% 345
Σύμφωνος
Ενέσιμο Hydromorphone hydrochloride 1 mg/ml
Ενέσιμο Midazolam hydrochloride 2 mg/ml
314
Σύμφωνος
Ενέσιμο Hydromorphone hydrochloride 0.5 >> 45 mg/ml
Ενέσιμο Midazolam hydrochloride 0.1 >> 4.5 mg/ml
Χλωριούχο νάτριο 0,9% 345
Σύμφωνος
Ενέσιμο Hydromorphone hydrochloride 1 mg/ml
Ενέσιμο Milrinone lactate 0.2 mg/ml
314
Αλλαγή χρώματος μετά από 1 ώρα Ασύμβατες
Ενέσιμο Hydromorphone hydrochloride 0.2 mg/ml
Ενέσιμο Minocycline hydrochloride 0.2 mg/ml
Γλυκόζη 5% 405
Σύμφωνος
Ενέσιμο Hydromorphone hydrochloride 1 mg/ml
Ενέσιμο Morphine sulfate 2 mg/ml
314
Σύμφωνος
Ενέσιμο Hydromorphone hydrochloride 0.2 mg/ml
Ενέσιμο Moxalactam 20 mg/ml
Γλυκόζη 5% 405
Σύμφωνος
Ενέσιμο Hydromorphone hydrochloride 0.2 mg/ml
Ενέσιμο Nafcillin sodium 20 mg/ml
Γλυκόζη 5% 405
Σύμφωνος
Ενέσιμο Hydromorphone hydrochloride 10 mg/ml
Ενέσιμο Naloxone hydrochloride 0.4 mg/ml
Ουδέν 3408
Σύμφωνος
Ενέσιμο Hydromorphone hydrochloride 1 mg/ml
Ενέσιμο Nicardipine hydrochloride 1 mg/ml
314
Σύμφωνος
Ενέσιμο Hydromorphone hydrochloride 1 mg/ml
Ενέσιμο Nitroglycerin 0.4 mg/ml
314
Σύμφωνος
Ενέσιμο Hydromorphone hydrochloride 1 mg/ml
Ενέσιμο Norepinephrine bitartrate 0.128 mg/ml
314
Σύμφωνος
Ενέσιμο Hydromorphone hydrochloride 0,5 mg/ml
Ενέσιμο Ondansetron hydrochloride 0,1 & 1 mg/ml
Χλωριούχο νάτριο 0,9% 6
Σύμφωνος
Ενέσιμο Hydromorphone hydrochloride 0.5 mg/ml
Ενέσιμο Ondansetron hydrochloride 1 mg/ml
Χλωριούχο νάτριο 0,9% 334
Σύμφωνος
Ενέσιμο Hydromorphone hydrochloride 0.2 mg/ml
Ενέσιμο Oxacillin sodium 20 mg/ml
Γλυκόζη 5% 405
Σύμφωνος
Ενέσιμο Hydromorphone hydrochloride 0,5 mg/ml
Ενέσιμο Oxaliplatin 0,5 mg/ml
Γλυκόζη 5% 1662
Σύμφωνος
Ενέσιμο Hydromorphone hydrochloride 0.5 mg/ml
Ενέσιμο Paclitaxel 1.2 mg/ml
Γλυκόζη 5% 248
Σύμφωνος
Ενέσιμο Hydromorphone hydrochloride 0.5 mg/ml
Ενέσιμο Palonosetron hydrochloride 50 µg/ml
Γλυκόζη 5% 2196
Καταβύθιση μετά από 4 ώρες Ασύμβατες
Ενέσιμο Hydromorphone hydrochloride
Ενέσιμο Pantoprazole sodium
2090
Σύμφωνος
Ενέσιμο Hydromorphone hydrochloride 10 mg/ml
Ενέσιμο Paracetamol 10 mg/ml
4742
Σύμφωνος
Ενέσιμο Hydromorphone hydrochloride 2 mg/ml
Ενέσιμο Paracetamol 10 mg/ml
Ουδέν 3571
Απροσδιόριστη ασυμβατότητα Ασύμβατες
Ενέσιμο Hydromorphone hydrochloride
Ενέσιμο Parecoxib sodium
3504
Σύμφωνος
Ενέσιμο Hydromorphone hydrochloride 0.5 mg/ml
Ενέσιμο Pemetrexed disodium 20 mg/ml
Χλωριούχο νάτριο 0,9% 1953
Σύμφωνος
Ενέσιμο Hydromorphone hydrochloride 0.2 mg/ml
Ενέσιμο Penicillin G potassium 0.1 MUI/ml
Γλυκόζη 5% 405
Άμεση βροχόπτωση Ασύμβατες
Ενέσιμο Hydromorphone hydrochloride 2 >> 40 mg/ml
Ενέσιμο Phenobarbital sodium 120 mg/ml
Γλυκόζη 5% 226
Σύμφωνος
Ενέσιμο Hydromorphone hydrochloride 0.5 mg/ml
Ενέσιμο Phenobarbital sodium 2 mg/ml
Γλυκόζη 5% 1974
Άμεση βροχόπτωση Ασύμβατες
Ενέσιμο Hydromorphone hydrochloride 2 >> 40 mg/ml
Ενέσιμο Phenytoin sodium 50 mg/ml
Γλυκόζη 5% 226
Καταβύθιση μετά από 1 ώρα Ασύμβατες
Ενέσιμο Hydromorphone hydrochloride 0.5 mg/ml
Ενέσιμο Phenytoin sodium 2 mg/ml
Γλυκόζη 5% 1974
Σύμφωνος
Ενέσιμο Hydromorphone hydrochloride 0.2 mg/ml
Ενέσιμο Piperacillin sodium 60 mg/ml
Γλυκόζη 5% 405
Σύμφωνος
Ενέσιμο Hydromorphone hydrochloride 0.5 mg/ml
Ενέσιμο Piperacillin sodium / tazobactam 40/5 mg/ml
Γλυκόζη 5% 81
Σύμφωνος
Ενέσιμο Hydromorphone hydrochloride 1 mg/ml
Ενέσιμο Plazomicin sulfate 24 mg/ml
Χλωριούχο νάτριο 0,9% 4145
Σύμφωνος
Ενέσιμο Hydromorphone hydrochloride
Ενέσιμο Posaconazole
4380
Σύμφωνος
Ενέσιμο Hydromorphone hydrochloride 25 mg/ml
Ενέσιμο Potassium chloride 1000 mEq/l
Ενέσιμο ύδωρ 66
Σύμφωνος
Ενέσιμο Hydromorphone hydrochloride 5 >> 20 mg/ml
Ενέσιμο Potassium chloride 500 & 1000 mEq/l
Γλυκόζη 5% 66
Σύμφωνος
Ενέσιμο Hydromorphone hydrochloride 2 >> 40 mg/ml
Ενέσιμο Prochlorperazine edysilate 5 mg/ml
Ουδέν 1497
Σύμφωνος
Ενέσιμο Hydromorphone hydrochloride 0,5 mg/ml
Ενέσιμο Prochlorperazine edysilate 1,5 mg/ml
Χλωριούχο νάτριο 0,9% 767
Σύμφωνος
Ενέσιμο Hydromorphone hydrochloride 1 mg/ml
Ενέσιμο Promethazine hydrochloride 0.3 mg/ml
Χλωριούχο νάτριο 0,9% 795
Σύμφωνος
Ενέσιμο Hydromorphone hydrochloride 0.5 mg/ml
Ενέσιμο Propofol 10 mg/ml
Ουδέν 300
Σύμφωνος
Ενέσιμο Hydromorphone hydrochloride 1 mg/ml
Ενέσιμο Ranitidine hydrochloride 1 mg/ml
314
Σύμφωνος
Ενέσιμο Hydromorphone hydrochloride 2 mg/ml
Ενέσιμο Ranitidine hydrochloride 25 mg/ml
Ουδέν 58
Σύμφωνος
Ενέσιμο Hydromorphone hydrochloride 1 mg/ml
Ενέσιμο Remdesivir 1 mg/ml
Χλωριούχο νάτριο 0,9% 4768
Σύμφωνος
Ενέσιμο Hydromorphone hydrochloride 10 mg/ml
Ενέσιμο Salbutamol sulfate 1 mg/ml
Ουδέν 3216
Βροχόπτωση μετά από 30 λεπτά Ασύμβατες
Ενέσιμο Hydromorphone hydrochloride 0.5 mg/ml
Ενέσιμο Sargramostim 10 µg/ml
Χλωριούχο νάτριο 0,9% 335
Σύμφωνος
Ενέσιμο Hydromorphone hydrochloride 0.5 mg/ml
Ενέσιμο Scopolamine hydrobromide 0.05 mg/ml
Γλυκόζη 5% 1974
Σύμφωνος
Ενέσιμο Hydromorphone hydrochloride
Ενέσιμο Scopolamine hydrobromide
5073
Σύμφωνος
Ενέσιμο Hydromorphone hydrochloride 0,1 & 1 mg/ml
Ενέσιμο Tacrolimus 5 & 20 µg/ml
Γλυκόζη 5% 814
Σύμφωνος
Ενέσιμο Hydromorphone hydrochloride 1 mg/ml
Ενέσιμο Tedizolid phosphate 0.8 mg/ml
Χλωριούχο νάτριο 0,9% 3827
Σύμφωνος
Ενέσιμο Hydromorphone hydrochloride 0.5 mg/ml
Ενέσιμο Teniposide 0.1 mg/ml
Γλυκόζη 5% 905
Άμεση βροχόπτωση Ασύμβατες
Ενέσιμο Hydromorphone hydrochloride 10 mg/ml
Ενέσιμο Thiopental sodium 25 mg/ml
Χλωριούχο νάτριο 0,9% 3767
Καταβύθιση μετά από 4 ώρες Ασύμβατες
Ενέσιμο Hydromorphone hydrochloride 1 mg/ml
Ενέσιμο Thiopental sodium 25 mg/ml
314
Σύμφωνος
Ενέσιμο Hydromorphone hydrochloride 0.5 mg/ml
Ενέσιμο Thiotepa 1 mg/ml
Γλυκόζη 5% 249
Σύμφωνος
Ενέσιμο Hydromorphone hydrochloride
Χλωριούχο νάτριο 0,9% 5073
Σύμφωνος
Ενέσιμο Hydromorphone hydrochloride
Ενέσιμο Scopolamine N-butyl bromide
5073
Σύμφωνος
Ενέσιμο Hydromorphone hydrochloride 1 mg/ml
Ενέσιμο Sulbactam/durlobactam 15/15 mg/ml
Χλωριούχο νάτριο 0,9% 4801
Σύμφωνος
Ενέσιμο Hydromorphone hydrochloride 0.2 mg/ml
Ενέσιμο Tobramycin sulfate 0.8 mg/ml
Γλυκόζη 5% 405
Σύμφωνος
Ενέσιμο Hydromorphone hydrochloride 0.2 mg/ml
Ενέσιμο Vancomycin hydrochloride 5 mg/ml
Γλυκόζη 5% 405
Σύμφωνος
Ενέσιμο Hydromorphone hydrochloride 2 mg/ml
Ενέσιμο Vancomycin hydrochloride 4 mg/ml
Χλωριούχο νάτριο 0,9% 2335
Σύμφωνος
Ενέσιμο Hydromorphone hydrochloride 1 mg/ml
Ενέσιμο Vecuronium bromide 1 mg/ml
314
Σύμφωνος
Ενέσιμο Hydromorphone hydrochloride 0.016 mg/ml
Ενέσιμο Verapamil hydrochloride 0.08 mg/ml
Χλωριούχο νάτριο 0,9% 1057
Σύμφωνος
Ενέσιμο Hydromorphone hydrochloride 0.016 mg/ml
Ενέσιμο Verapamil hydrochloride 0.08 mg/ml
Γλυκόζη 5% 1057
Σύμφωνος
Ενέσιμο Hydromorphone hydrochloride 0.5 mg/ml
Ενέσιμο Vinorelbine tartrate 1 mg/ml
Χλωριούχο νάτριο 0,9% 84

  Mentions Légales