Letztes “update” :
18/03/2026
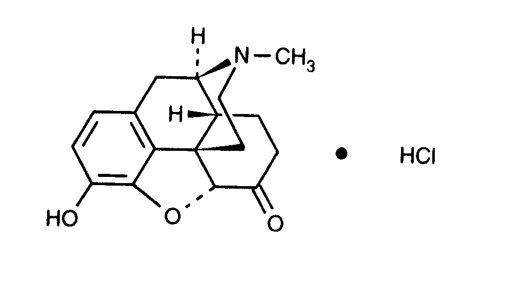
Analgetikum   Hydromorphone hydrochloride  
Injektion
Stabilität der Lösung Gemengestabilität Stabilitätbeeinflussende Faktoren Kompatibilitäten Applikationsart Literaturverzeichnis pdf
   Chemische Struktur  

Handelsmarke   Handelsmarke     

Handelsnamen sind als beispielhaft anzusehen. Sonstige Bestandteile können je nach Hersteller oder Land verschieden sein

Dilaudid Kanada, Vereinigte Staaten von Amerika
Hydal Österreich
Palladon Dänemark, Schweiz
Palladone Großbritannien
Kompatibilitäten   Injektion   Kompatibilitäten : Hydromorphone hydrochloride              
Dieser Bildschirm zeigt die Kompatibilitäten oder Inkompatibilitäten mit der Art der Inkompatibilität (hier: Ausfällung, Farbänderung, Modifikation einer Emulsion usw.) an. Die hier gezeigten Kompatibilitäten sind meist nur physikalisch, wobei die chemische Stabilität jedes Moleküls selten bewertet wird. Die Bewertung dieser Gemische wurde untersucht, um die Möglichkeit einer Verabreichung über eine Y-Verbindung zu berücksichtigen. Diese Daten können daher nicht zur Herstellung von Mischungen im Voraus in Beuteln oder Spritzen verwendet werden. Sie finden diese Informationen auf dem Bildschirm "Stabilität in Mischung».
Molekül Lösungsmittel Literaturverzeichnis
kompatibel
Injektion Hydromorphone hydrochloride 0.04 mg/ml
Injektion Aciclovir sodium 5 mg/ml
5% Glucose 336
kompatibel
Injektion Hydromorphone hydrochloride 0.5 mg/ml
Injektion Allopurinol sodium 3 mg/ml
0,9% Natriumchlorid 307
kompatibel
Injektion Hydromorphone hydrochloride 0.5 mg/ml
Injektion Amifostine 10 mg/ml
5% Glucose 3
kompatibel
Injektion Hydromorphone hydrochloride 0.2 mg/ml
Injektion Amikacin sulfate 5 mg/ml
5% Glucose 405
kompatibel
Injektion Hydromorphone hydrochloride 10 mg/ml
Injektion Amoxicillin sodium / clavulanic acid 100/10 mg/ml
3824
kompatibel
Injektion Hydromorphone hydrochloride 2 >> 40 mg/ml
Injektion Ampicillin sodium 20 & 250 mg/ml
5% Glucose 226
kompatibel
Injektion Hydromorphone hydrochloride 0.5 mg/ml
Injektion Amsacrine 1 mg/ml
5% Glucose 253
kompatibel
Injektion Hydromorphone hydrochloride 0.5 mg/ml
Injektion Anidulafungin 0.5 mg/ml
5% Glucose 1982
kompatibel
Injektion Hydromorphone hydrochloride 0.5 mg/ml
Injektion Aztreonam 40 mg/ml
5% Glucose 99
kompatibel
Injektion Hydromorphone hydrochloride 0.5 mg/ml
Injektion Bivalirudin 5 mg/ml
5% Glucose 1713
Sofortige Instabilität der Emulsion nicht kompatibel
Injektion Hydromorphone hydrochloride 0.5 mg/ml
Parenterale Ernährung (mit Lipiden) 1415
kompatibel
Injektion Hydromorphone hydrochloride 10 mg/ml
Ringer Lactat - Lösung 4603
Trübungsverlust nicht kompatibel
Injektion Hydromorphone hydrochloride 0.5 mg/ml
Injektion Amphotericin B cholesteryl sulfate complex 0.83 mg/ml
5% Glucose 921
kompatibel
Injektion Hydromorphone hydrochloride 0.2 mg/ml
Injektion Ampicillin sodium 20 mg/ml
5% Glucose 405
kompatibel
Injektion Hydromorphone hydrochloride 0.5 mg/ml
Injektion Atropine sulfate 0.4 mg/ml
5% Glucose 1974
kompatibel
Injektion Hydromorphone hydrochloride 0,02 & 0,1 mg/ml
Injektion Bupivacaine hydrochloride 0,625 & 1,25 mg/ml
0,9% Natriumchlorid 306
kompatibel
Injektion Hydromorphone hydrochloride
5% Glucose 5073
kompatibel
Injektion Hydromorphone hydrochloride 0,02 & 0,04 mg/ml
Injektion Bupivacaine hydrochloride 2,5 mg/ml
0,9% Natriumchlorid 1931
kompatibel
Injektion Hydromorphone hydrochloride 15 mg/ml
Injektion Bupivacaine hydrochloride 10 mg/ml
Kein 4200
kompatibel
Injektion Hydromorphone hydrochloride 2,5 mg/ml
Parenterale Ernährung (mit Lipiden) 4507
kompatibel
Injektion Hydromorphone hydrochloride 25 mg/ml
Injektion Bupivacaine hydrochloride 20 mg/ml
0,9% Natriumchlorid 3131
kompatibel
Injektion Hydromorphone hydrochloride 65 mg/ml
Injektion Bupivacaine hydrochloride 7,5 mg/ml
Kein 221
kompatibel
Injektion Hydromorphone hydrochloride 50 mg/ml
Injektion Caffeine 10 mg/ml
Kein 3964
kompatibel
Injektion Hydromorphone hydrochloride 1 mg/ml
Injektion Caspofungin acetate 0,7 mg/ml
0,9% Natriumchlorid 2247
kompatibel
Injektion Hydromorphone hydrochloride 1 mg/ml
Injektion Caspofungin acetate 0.5 mg/ml
0,9% Natriumchlorid 2233
kompatibel
Injektion Hydromorphone hydrochloride 0.2 mg/ml
Injektion Cefalotin sodium 20 mg/ml
5% Glucose 405
kompatibel
Injektion Hydromorphone hydrochloride 0.2 mg/ml
Injektion Cefamandole nafate 20 mg/ml
5% Glucose 405
kompatibel
Injektion Hydromorphone hydrochloride 0.2 mg/ml
Injektion Cefazolin sodium 20 mg/ml
5% Glucose 405
kompatibel
Injektion Hydromorphone hydrochloride 2 >> 40 mg/ml
Injektion Cefazolin sodium 20 mg/ml
5% Glucose 226
Sofortiger Niederschlag nicht kompatibel
Injektion Hydromorphone hydrochloride 2 >> 40 mg/ml
Injektion Cefazolin sodium >200 mg/ml
5% Glucose 226
kompatibel
Injektion Hydromorphone hydrochloride 1 mg/ml
Injektion Cefiderocol sulfate tosylate 20 mg/mL
0,9% Natriumchlorid 4528
kompatibel
Injektion Hydromorphone hydrochloride 1 mg/ml
Injektion Cefiderocol sulfate tosylate 20 mg/mL
5% Glucose 4528
kompatibel
Injektion Hydromorphone hydrochloride 0.2 mg/ml
Injektion Cefmetazole sodium 100 mg/ml
Wasser für injektable präparate 93
kompatibel
Injektion Hydromorphone hydrochloride 0.2 mg/ml
Injektion Cefoperazone sodium 20 mg/ml
5% Glucose 405
kompatibel
Injektion Hydromorphone hydrochloride 0.2 mg/ml
Injektion Ceforanide 20 mg/ml
5% Glucose 405
kompatibel
Injektion Hydromorphone hydrochloride 0.2 mg/ml
Injektion Cefotaxime sodium 20 mg/ml
5% Glucose 405
kompatibel
Injektion Hydromorphone hydrochloride 0.2 mg/ml
Injektion Cefoxitin sodium 20 mg/ml
5% Glucose 405
kompatibel
Injektion Hydromorphone hydrochloride 0,5 mg/ml
Injektion Ceftaroline fosamil 2,22 mg/ml
Ringer Lactat - Lösung 3249
kompatibel
Injektion Hydromorphone hydrochloride 0,5 mg/ml
Injektion Ceftaroline fosamil 2,22 mg/ml
5% Glucose 3249
kompatibel
Injektion Hydromorphone hydrochloride 0,5 mg/ml
Injektion Ceftaroline fosamil 2,22 mg/ml
0,9% Natriumchlorid 3249
kompatibel
Injektion Hydromorphone hydrochloride 2 >> 40 mg/ml
Injektion Ceftazidime 40 & 180 mg/ml
5% Glucose 226
kompatibel
Injektion Hydromorphone hydrochloride 0.2 mg/ml
Injektion Ceftizoxime sodium 20 mg/ml
5% Glucose 405
Sofortiger Niederschlag nicht kompatibel
Injektion Hydromorphone hydrochloride 1 mg/ml
Injektion Ceftobiprole medocaril sodium 2 mg/ml
0,9% Natriumchlorid 2269
Sofortiger Niederschlag nicht kompatibel
Injektion Hydromorphone hydrochloride 1 mg/ml
Injektion Ceftobiprole medocaril sodium 2 mg/ml
Ringer Lactat - Lösung 2269
Nicht spezifizierte Inkompatibilität nicht kompatibel
Injektion Hydromorphone hydrochloride
Injektion Ceftobiprole medocaril sodium
4650
Sofortiger Niederschlag nicht kompatibel
Injektion Hydromorphone hydrochloride 1 mg/ml
Injektion Ceftobiprole medocaril sodium 2 mg/ml
5% Glucose 2269
kompatibel
Injektion Hydromorphone hydrochloride 1 mg/ml
Injektion Ceftolozane / tazobactam 10/5 mg/ml
5% Glucose 3828
kompatibel
Injektion Hydromorphone hydrochloride 1 mg/ml
Injektion Ceftolozane / tazobactam 10/5 mg/ml
0,9% Natriumchlorid 3828
kompatibel
Injektion Hydromorphone hydrochloride 0.2 mg/ml
Injektion Cefuroxime sodium 30 mg/ml
5% Glucose 405
kompatibel
Injektion Hydromorphone hydrochloride 0.2 mg/ml
Injektion Chloramphenicol sodium succinate 20 mg/ml
5% Glucose 405
kompatibel
Injektion Hydromorphone hydrochloride 0.5 mg/ml
Injektion Cisatracurium besylate 0.1 >> 5 mg/ml
5% Glucose 299
kompatibel
Injektion Hydromorphone hydrochloride 0.5 mg/ml
Injektion Cladribine 0.015 mg/ml
0,9% Natriumchlorid 1496
kompatibel
Injektion Hydromorphone hydrochloride 0.5 mg/ml
Injektion Cladribine 0.5 mg/ml
0,9% NaCl  + bakterostatsich 1496
kompatibel
Injektion Hydromorphone hydrochloride 10 mg/ml
Injektion Cloxacillin sodium 100 mg/ml
Wasser für injektable präparate 3012
kompatibel
Injektion Hydromorphone hydrochloride 0.2 mg/ml
Injektion Co-trimoxazole 4/0.8 mg/ml
5% Glucose 405
kompatibel
Injektion Hydromorphone hydrochloride < 10 mg/ml
Injektion Dexamethasone sodium phosphate 2 >> 10 mg/ml
389
kompatibel
Injektion Hydromorphone hydrochloride 0.5 mg/ml
Injektion Dexamethasone sodium phosphate 1 mg/ml
5% Glucose 1974
kompatibel
Injektion Hydromorphone hydrochloride 1 >> 40 mg/ml
Injektion Dexamethasone sodium phosphate < 2 mg/ml
389
kompatibel
Injektion Hydromorphone hydrochloride 0.5 mg/ml
Injektion Dexmedetomidine 4 µg/ml
0,9% Natriumchlorid 1712
Niederschlag nach 2 Stunden nicht kompatibel
Injektion Hydromorphone hydrochloride
Injektion Dimenhydrinate
2087
kompatibel
Injektion Hydromorphone hydrochloride 0.5 mg/ml
Parenterale Ernährung (Lipid-frei) 301
kompatibel
Injektion Hydromorphone hydrochloride 2 mg/ml
Injektion Cimetidine hydrochloride 150 mg/ml
1438
kompatibel
Injektion Hydromorphone hydrochloride 0.2 mg/ml
Injektion Clindamycin phosphate 12 mg/ml
5% Glucose 405
Sofortiger Niederschlag nicht kompatibel
Injektion Hydromorphone hydrochloride 2 >> 40 mg/ml
Injektion Cloxacillin sodium 40 & 250 mg/ml
5% Glucose 226
Sofortiger Niederschlag nicht kompatibel
Injektion Hydromorphone hydrochloride
Injektion Cyclizine lactate
5073
kompatibel
Injektion Hydromorphone hydrochloride
Injektion Dexamethasone sodium phosphate
5073
Sofortiger Niederschlag nicht kompatibel
Injektion Hydromorphone hydrochloride > 15 mg/ml
Injektion Dexamethasone sodium phosphate > 3 mg/ml
389
kompatibel
Injektion Hydromorphone hydrochloride 0.5 mg/ml
Injektion Diazepam 0.5 mg/ml
5% Glucose 1974
Sofortiger Niederschlag nicht kompatibel
Injektion Hydromorphone hydrochloride 2 >> 40 mg/ml
Injektion Diazepam 5 mg/ml
5% Glucose 226
kompatibel
Injektion Hydromorphone hydrochloride 1 mg/ml
Injektion Diltiazem hydrochloride 1 mg/ml
314
kompatibel
Injektion Hydromorphone hydrochloride 2 >> 40 mg/ml
Injektion Dimenhydrinate 50 mg/ml
Kein 1497
kompatibel
Injektion Hydromorphone hydrochloride 0.5 mg/ml
Injektion Diphenhydramine hydrochloride 2 mg/ml
5% Glucose 1974
kompatibel
Injektion Hydromorphone hydrochloride 1 mg/ml
Injektion Dobutamine hydrochloride 4 mg/ml
314
kompatibel
Injektion Hydromorphone hydrochloride 0.5 mg/ml
Injektion Docetaxel 0.9 mg/ml
5% Glucose 1754
kompatibel
Injektion Hydromorphone hydrochloride 1 mg/ml
Injektion Dopamine hydrochloride 3.2 mg/ml
314
kompatibel
Injektion Hydromorphone hydrochloride 1 mg/ml
Injektion Doripenem 5 mg/ml
5% Glucose 2262
kompatibel
Injektion Hydromorphone hydrochloride 1 mg/ml
Injektion Doripenem 5 mg/ml
0,9% Natriumchlorid 2262
kompatibel
Injektion Hydromorphone hydrochloride 0.5 mg/ml
Injektion Doxorubicin hydrochloride liposome peg 0.4 mg/ml
5% Glucose 251
kompatibel
Injektion Hydromorphone hydrochloride 0.2 mg/ml
Injektion Doxycycline hyclate 1 mg/ml
5% Glucose 405
kompatibel
Injektion Hydromorphone hydrochloride 1 mg/ml
Injektion Epinephrine hydrochloride 20 µg/ml
314
kompatibel
Injektion Hydromorphone hydrochloride 1 mg/ml
Injektion Eravacycline 0,6 mg/ml
0,9% Natriumchlorid 4434
kompatibel
Injektion Hydromorphone hydrochloride 0.2 mg/ml
Injektion Erythromycin lactobionate 5 mg/ml
5% Glucose 405
kompatibel
Injektion Hydromorphone hydrochloride 0.5 mg/ml
Injektion Etoposide phosphate 5 mg/ml
5% Glucose 1410
kompatibel
Injektion Hydromorphone hydrochloride 0.5 mg/ml
Injektion Famotidine 2 mg/ml
0,9% Natriumchlorid 215
kompatibel
Injektion Hydromorphone hydrochloride 0.5 mg/ml
Injektion Fenoldopam mesylate 80 µg/ml
0,9% Natriumchlorid 1803
kompatibel
Injektion Hydromorphone hydrochloride 1 mg/ml
Injektion Fentanyl citrate 50 µg/ml
314
kompatibel
Injektion Hydromorphone hydrochloride 0.5 mg/ml
Injektion Filgrastim 30 µg/ml
5% Glucose 244
kompatibel
Injektion Hydromorphone hydrochloride 0.5 mg/ml
Injektion Fludarabine phosphate 1 mg/ml
5% Glucose 492
kompatibel
Injektion Hydromorphone hydrochloride 0.5 mg/ml
Injektion Fluorouracil 1 & 16 mg/ml
5% Glucose 513
kompatibel
Injektion Hydromorphone hydrochloride 0.5 mg/ml
Injektion Fluorouracil 1 & 16 mg/ml
0,9% Natriumchlorid 513
kompatibel
Injektion Hydromorphone hydrochloride 10 mg/ml
Injektion Foscarnet sodium 24 mg/ml
Kein 73
kompatibel
Injektion Hydromorphone hydrochloride 1 mg/ml
Injektion Fosfomycin 30 mg/ml
5% Glucose 4055
kompatibel
Injektion Hydromorphone hydrochloride 1 mg/ml
Injektion Fosfomycin 30 mg/ml
0,9% Natriumchlorid 4055
kompatibel
Injektion Hydromorphone hydrochloride 1 mg/ml
Injektion Furosemide 10 mg/ml
314
Trübung in 24 Stunden nicht kompatibel
Injektion Hydromorphone hydrochloride 4 mg/ml
Injektion Gallium nitrate 1 mg/ml
0,9% Natriumchlorid 91
kompatibel
Injektion Hydromorphone hydrochloride 0.5 mg/ml
Injektion Gemcitabine hydrochloride 10 mg/ml
0,9% Natriumchlorid 1423
kompatibel
Injektion Hydromorphone hydrochloride 0.2 mg/ml
Injektion Gentamicin sulfate 0.8 mg/ml
5% Glucose 405
kompatibel
Injektion Hydromorphone hydrochloride
Injektion Glycopyrronium bromide
5073
kompatibel
Injektion Hydromorphone hydrochloride 0.5 mg/ml
Injektion Granisetron hydrochloride 0.056 mg/ml
0,9% Natriumchlorid 6
kompatibel
Injektion Hydromorphone hydrochloride 0.5 mg/ml
Injektion Granisetron hydrochloride 1 mg/ml
0,9% Natriumchlorid 57
kompatibel
Injektion Hydromorphone hydrochloride 0.5 mg/ml
Injektion Granisetron hydrochloride 0.05 mg/ml
5% Glucose 182
kompatibel
Injektion Hydromorphone hydrochloride 10 mg/ml
Injektion Haloperidol lactate 1 mg/ml
Kein 216
kompatibel
Injektion Hydromorphone hydrochloride 10 mg/ml
Injektion Haloperidol lactate 5 mg/ml
Kein 216
kompatibel
Injektion Hydromorphone hydrochloride 1 mg/ml
Injektion Haloperidol lactate 5 mg/ml
Kein 216
kompatibel
Injektion Hydromorphone hydrochloride 1 mg/ml
Injektion Haloperidol lactate 2 mg/ml
Kein 216
kompatibel
Injektion Hydromorphone hydrochloride 1 mg/ml
Injektion Haloperidol lactate 1 mg/ml
Kein 216
kompatibel
Injektion Hydromorphone hydrochloride 0.5 mg/ml
Injektion Haloperidol lactate 0.2 mg/ml
5% Glucose 1974
kompatibel
Injektion Hydromorphone hydrochloride
Injektion Haloperidol lactate
5073
kompatibel
Injektion Hydromorphone hydrochloride 10 mg/ml
Injektion Haloperidol lactate 2 mg/ml
Kein 216
kompatibel
Injektion Hydromorphone hydrochloride <12.5 mg/ml
Injektion Heparin sodium
Wasser für injektable präparate 66
kompatibel
Injektion Hydromorphone hydrochloride <12.5 mg/ml
Injektion Heparin sodium
0,9% Natriumchlorid 66
kompatibel
Injektion Hydromorphone hydrochloride 1 mg/ml
Injektion Heparin sodium 100 UI/ml
314
Sofortiger Niederschlag nicht kompatibel
Injektion Hydromorphone hydrochloride >25 mg/ml
Injektion Heparin sodium <12,5 UI/ml
Wasser für injektable präparate 66
Sofortiger Niederschlag nicht kompatibel
Injektion Hydromorphone hydrochloride >10 mg/ml
Injektion Heparin sodium <1 UI/ml
Wasser für injektable präparate 66
Sofortiger Niederschlag nicht kompatibel
Injektion Hydromorphone hydrochloride >25 mg/ml
Injektion Heparin sodium <12,5 UI/ml
0,9% Natriumchlorid 66
kompatibel
Injektion Hydromorphone hydrochloride 0.5 mg/ml
Injektion Hetastarch 60 mg/ml
spezifische Lösungsmittel 1721
Chemische Instabilität nicht kompatibel
Injektion Hydromorphone hydrochloride 2 >> 40 mg/ml
Injektion Hyaluronidase 150 UI/ml
5% Glucose 9
kompatibel
Injektion Hydromorphone hydrochloride
Injektion Hyaluronidase
3184
Chemische Instabilität nicht kompatibel
Injektion Hydromorphone hydrochloride 2 >> 40 mg/ml
Injektion Hyaluronidase 150 UI/ml
0,9% Natriumchlorid 9
kompatibel
Injektion Hydromorphone hydrochloride 0.5 mg/ml
Injektion Hydroxyzine dihydrochloride 4 mg/ml
5% Glucose 1974
kompatibel
Injektion Hydromorphone hydrochloride 1 mg/ml
Injektion Isavuconazonium sulfate 1.5 mg/ml
0,9% Natriumchlorid 3829
kompatibel
Injektion Hydromorphone hydrochloride 1 mg/ml
Injektion Isavuconazonium sulfate 1.5 mg/ml
5% Glucose 3829
kompatibel
Injektion Hydromorphone hydrochloride 0.2 mg/ml
Injektion Kanamycin sulfate 2.5 mg/ml
5% Glucose 405
kompatibel
Injektion Hydromorphone hydrochloride
Injektion Ketamine hydrochloride
5073
kompatibel
Injektion Hydromorphone hydrochloride 0.2 mg/ml
Injektion Ketamine hydrochloride 0.2 >> 1 mg/ml
0,9% Natriumchlorid 2336
kompatibel
Injektion Hydromorphone hydrochloride 0.5 mg/ml
Injektion Ketorolac tromethamine 1 mg/ml
5% Glucose 1974
kompatibel
Injektion Hydromorphone hydrochloride 10 mg/ml
Injektion Ketorolac tromethamine 15 mg/ml
Kein 216
kompatibel
Injektion Hydromorphone hydrochloride 1 mg/ml
Injektion Ketorolac tromethamine 30 mg/ml
Kein 216
kompatibel
Injektion Hydromorphone hydrochloride 1 mg/ml
Injektion Ketorolac tromethamine 15 mg/ml
Kein 216
Sofortiger Niederschlag nicht kompatibel
Injektion Hydromorphone hydrochloride 10 mg/ml
Injektion Ketorolac tromethamine 30 mg/ml
Kein 216
kompatibel
Injektion Hydromorphone hydrochloride 1 mg/ml
Injektion Labetalol hydrochloride 2 mg/ml
314
Niederschlag nach 1 Stunde nicht kompatibel
Injektion Hydromorphone hydrochloride 0.5 mg/ml
Injektion Lansoprazole 0.55 mg/ml
0,9% Natriumchlorid 1625
kompatibel
Injektion Hydromorphone hydrochloride 2 mg/ml
Injektion Levofloxacine 5 mg/ml
Kein 2335
kompatibel
Injektion Hydromorphone hydrochloride
Injektion Levomepromazine
5073
kompatibel
Injektion Hydromorphone hydrochloride 10 mg/ml
Injektion Levosimendan 2,5 mg/ml
4389
kompatibel
Injektion Hydromorphone hydrochloride 0.5 mg/ml
Injektion Linezolid 2 mg/ml
Kein 1925
kompatibel
Injektion Hydromorphone hydrochloride 0.5 mg/ml
Injektion Lorazepam 0.1 mg/ml
5% Glucose 1974
kompatibel
Injektion Hydromorphone hydrochloride 2 >> 40 mg/ml
Injektion Lorazepam 4 mg/ml
Kein 1497
kompatibel
Injektion Hydromorphone hydrochloride 1 mg/ml
Injektion Lorazepam 0.5 mg/ml
314
kompatibel
Injektion Hydromorphone hydrochloride 2 mg/ml
Injektion Magnesium sulfate 16,67 >> 100 mg/ml
5% Glucose 517
kompatibel
Injektion Hydromorphone hydrochloride 0.5 mg/ml
Injektion Melphalan 0.1 mg/ml
0,9% Natriumchlorid 169
kompatibel
Injektion Hydromorphone hydrochloride 10 mg/ml
Injektion Meropenem 50 mg/ml
Wasser für injektable präparate 4319
Chemische Instabilität nicht kompatibel
Injektion Hydromorphone hydrochloride
Injektion Metamizol sodium
2364
kompatibel
Injektion Hydromorphone hydrochloride
Injektion Metoclopramide hydrochloride
5073
kompatibel
Injektion Hydromorphone hydrochloride 0.5 mg/ml
Injektion Metoclopramide hydrochloride 5 mg/ml
5% Glucose 1974
kompatibel
Injektion Hydromorphone hydrochloride 0.2 mg/ml
Injektion Metronidazole 5 mg/ml
5% Glucose 405
kompatibel
Injektion Hydromorphone hydrochloride 0.5 mg/ml
Injektion Micafungin 1.5 mg/ml
0,9% Natriumchlorid 2108
kompatibel
Injektion Hydromorphone hydrochloride
Injektion Midazolam hydrochloride
5073
kompatibel
Injektion Hydromorphone hydrochloride 0.5 mg/ml
Injektion Midazolam hydrochloride 0.2 mg/ml
5% Glucose 1974
kompatibel
Injektion Hydromorphone hydrochloride 0.5 >> 45 mg/ml
Injektion Midazolam hydrochloride 0.1 >> 4.5 mg/ml
5% Glucose 345
kompatibel
Injektion Hydromorphone hydrochloride 1 mg/ml
Injektion Midazolam hydrochloride 2 mg/ml
314
kompatibel
Injektion Hydromorphone hydrochloride 0.5 >> 45 mg/ml
Injektion Midazolam hydrochloride 0.1 >> 4.5 mg/ml
0,9% Natriumchlorid 345
kompatibel
Injektion Hydromorphone hydrochloride 1 mg/ml
Injektion Milrinone lactate 0.2 mg/ml
314
Farbwechsel nach 1 Stunde nicht kompatibel
Injektion Hydromorphone hydrochloride 0.2 mg/ml
Injektion Minocycline hydrochloride 0.2 mg/ml
5% Glucose 405
kompatibel
Injektion Hydromorphone hydrochloride 1 mg/ml
Injektion Morphine sulfate 2 mg/ml
314
kompatibel
Injektion Hydromorphone hydrochloride 0.2 mg/ml
Injektion Moxalactam 20 mg/ml
5% Glucose 405
kompatibel
Injektion Hydromorphone hydrochloride 0.2 mg/ml
Injektion Nafcillin sodium 20 mg/ml
5% Glucose 405
kompatibel
Injektion Hydromorphone hydrochloride 10 mg/ml
Injektion Naloxone hydrochloride 0.4 mg/ml
Kein 3408
kompatibel
Injektion Hydromorphone hydrochloride 1 mg/ml
Injektion Nicardipine hydrochloride 1 mg/ml
314
kompatibel
Injektion Hydromorphone hydrochloride 1 mg/ml
Injektion Nitroglycerin 0.4 mg/ml
314
kompatibel
Injektion Hydromorphone hydrochloride 1 mg/ml
Injektion Norepinephrine bitartrate 0.128 mg/ml
314
kompatibel
Injektion Hydromorphone hydrochloride 0,5 mg/ml
Injektion Ondansetron hydrochloride 0,1 & 1 mg/ml
0,9% Natriumchlorid 6
kompatibel
Injektion Hydromorphone hydrochloride 0.5 mg/ml
Injektion Ondansetron hydrochloride 1 mg/ml
0,9% Natriumchlorid 334
kompatibel
Injektion Hydromorphone hydrochloride 0.2 mg/ml
Injektion Oxacillin sodium 20 mg/ml
5% Glucose 405
kompatibel
Injektion Hydromorphone hydrochloride 0,5 mg/ml
Injektion Oxaliplatin 0,5 mg/ml
5% Glucose 1662
kompatibel
Injektion Hydromorphone hydrochloride 0.5 mg/ml
Injektion Paclitaxel 1.2 mg/ml
5% Glucose 248
kompatibel
Injektion Hydromorphone hydrochloride 0.5 mg/ml
Injektion Palonosetron hydrochloride 50 µg/ml
5% Glucose 2196
Niederschlag nach 4 Stunden nicht kompatibel
Injektion Hydromorphone hydrochloride
Injektion Pantoprazole sodium
2090
kompatibel
Injektion Hydromorphone hydrochloride 10 mg/ml
Injektion Paracetamol 10 mg/ml
4742
kompatibel
Injektion Hydromorphone hydrochloride 2 mg/ml
Injektion Paracetamol 10 mg/ml
Kein 3571
Nicht spezifizierte Inkompatibilität nicht kompatibel
Injektion Hydromorphone hydrochloride
Injektion Parecoxib sodium
3504
kompatibel
Injektion Hydromorphone hydrochloride 0.5 mg/ml
Injektion Pemetrexed disodium 20 mg/ml
0,9% Natriumchlorid 1953
kompatibel
Injektion Hydromorphone hydrochloride 0.2 mg/ml
Injektion Penicillin G potassium 0.1 MUI/ml
5% Glucose 405
Sofortiger Niederschlag nicht kompatibel
Injektion Hydromorphone hydrochloride 2 >> 40 mg/ml
Injektion Phenobarbital sodium 120 mg/ml
5% Glucose 226
kompatibel
Injektion Hydromorphone hydrochloride 0.5 mg/ml
Injektion Phenobarbital sodium 2 mg/ml
5% Glucose 1974
Sofortiger Niederschlag nicht kompatibel
Injektion Hydromorphone hydrochloride 2 >> 40 mg/ml
Injektion Phenytoin sodium 50 mg/ml
5% Glucose 226
Niederschlag nach 1 Stunde nicht kompatibel
Injektion Hydromorphone hydrochloride 0.5 mg/ml
Injektion Phenytoin sodium 2 mg/ml
5% Glucose 1974
kompatibel
Injektion Hydromorphone hydrochloride 0.2 mg/ml
Injektion Piperacillin sodium 60 mg/ml
5% Glucose 405
kompatibel
Injektion Hydromorphone hydrochloride 0.5 mg/ml
Injektion Piperacillin sodium / tazobactam 40/5 mg/ml
5% Glucose 81
kompatibel
Injektion Hydromorphone hydrochloride 1 mg/ml
Injektion Plazomicin sulfate 24 mg/ml
0,9% Natriumchlorid 4145
kompatibel
Injektion Hydromorphone hydrochloride
Injektion Posaconazole
4380
kompatibel
Injektion Hydromorphone hydrochloride 25 mg/ml
Injektion Potassium chloride 1000 mEq/l
Wasser für injektable präparate 66
kompatibel
Injektion Hydromorphone hydrochloride 5 >> 20 mg/ml
Injektion Potassium chloride 500 & 1000 mEq/l
5% Glucose 66
kompatibel
Injektion Hydromorphone hydrochloride 2 >> 40 mg/ml
Injektion Prochlorperazine edysilate 5 mg/ml
Kein 1497
kompatibel
Injektion Hydromorphone hydrochloride 0,5 mg/ml
Injektion Prochlorperazine edysilate 1,5 mg/ml
0,9% Natriumchlorid 767
kompatibel
Injektion Hydromorphone hydrochloride 1 mg/ml
Injektion Promethazine hydrochloride 0.3 mg/ml
0,9% Natriumchlorid 795
kompatibel
Injektion Hydromorphone hydrochloride 0.5 mg/ml
Injektion Propofol 10 mg/ml
Kein 300
kompatibel
Injektion Hydromorphone hydrochloride 1 mg/ml
Injektion Ranitidine hydrochloride 1 mg/ml
314
kompatibel
Injektion Hydromorphone hydrochloride 2 mg/ml
Injektion Ranitidine hydrochloride 25 mg/ml
Kein 58
kompatibel
Injektion Hydromorphone hydrochloride 1 mg/ml
Injektion Remdesivir 1 mg/ml
0,9% Natriumchlorid 4768
kompatibel
Injektion Hydromorphone hydrochloride 10 mg/ml
Injektion Salbutamol sulfate 1 mg/ml
Kein 3216
Niederschlag nach 30 Minuten nicht kompatibel
Injektion Hydromorphone hydrochloride 0.5 mg/ml
Injektion Sargramostim 10 µg/ml
0,9% Natriumchlorid 335
kompatibel
Injektion Hydromorphone hydrochloride 0.5 mg/ml
Injektion Scopolamine hydrobromide 0.05 mg/ml
5% Glucose 1974
kompatibel
Injektion Hydromorphone hydrochloride
Injektion Scopolamine hydrobromide
5073
kompatibel
Injektion Hydromorphone hydrochloride 0,1 & 1 mg/ml
Injektion Tacrolimus 5 & 20 µg/ml
5% Glucose 814
kompatibel
Injektion Hydromorphone hydrochloride 1 mg/ml
Injektion Tedizolid phosphate 0.8 mg/ml
0,9% Natriumchlorid 3827
kompatibel
Injektion Hydromorphone hydrochloride 0.5 mg/ml
Injektion Teniposide 0.1 mg/ml
5% Glucose 905
Sofortiger Niederschlag nicht kompatibel
Injektion Hydromorphone hydrochloride 10 mg/ml
Injektion Thiopental sodium 25 mg/ml
0,9% Natriumchlorid 3767
Niederschlag nach 4 Stunden nicht kompatibel
Injektion Hydromorphone hydrochloride 1 mg/ml
Injektion Thiopental sodium 25 mg/ml
314
kompatibel
Injektion Hydromorphone hydrochloride 0.5 mg/ml
Injektion Thiotepa 1 mg/ml
5% Glucose 249
kompatibel
Injektion Hydromorphone hydrochloride
0,9% Natriumchlorid 5073
kompatibel
Injektion Hydromorphone hydrochloride
Injektion Scopolamine N-butyl bromide
5073
kompatibel
Injektion Hydromorphone hydrochloride 1 mg/ml
Injektion Sulbactam/durlobactam 15/15 mg/ml
0,9% Natriumchlorid 4801
kompatibel
Injektion Hydromorphone hydrochloride 0.2 mg/ml
Injektion Tobramycin sulfate 0.8 mg/ml
5% Glucose 405
kompatibel
Injektion Hydromorphone hydrochloride 0.2 mg/ml
Injektion Vancomycin hydrochloride 5 mg/ml
5% Glucose 405
kompatibel
Injektion Hydromorphone hydrochloride 2 mg/ml
Injektion Vancomycin hydrochloride 4 mg/ml
0,9% Natriumchlorid 2335
kompatibel
Injektion Hydromorphone hydrochloride 1 mg/ml
Injektion Vecuronium bromide 1 mg/ml
314
kompatibel
Injektion Hydromorphone hydrochloride 0.016 mg/ml
Injektion Verapamil hydrochloride 0.08 mg/ml
0,9% Natriumchlorid 1057
kompatibel
Injektion Hydromorphone hydrochloride 0.016 mg/ml
Injektion Verapamil hydrochloride 0.08 mg/ml
5% Glucose 1057
kompatibel
Injektion Hydromorphone hydrochloride 0.5 mg/ml
Injektion Vinorelbine tartrate 1 mg/ml
0,9% Natriumchlorid 84

  Mentions Légales