Siste oppdatering :
18/03/2026
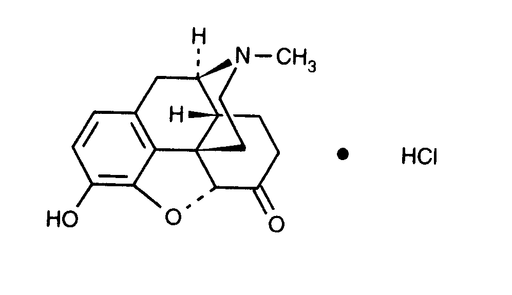
Analgetika   Hydromorphone hydrochloride  
Injeksjon
Oppløsningsstabilitet Stabilitet i blandinger Faktorer som påvirker stabiliteten Kompatibilitet Administrasjonsmåte Referanser pdf
   Kjemisk struktur  

Handelsnavn   Handelsnavn     

Handelsnavn er veiledende og sammensetning av hjelpestoffer kan være forskjellig avhengig av land og produsent

Dilaudid Canada, USA
Hydal Østerrike
Palladon Danmark, Sveits
Palladone Storbritannia
Kompatibilitet   Injeksjon   Kompatibilitet : Hydromorphone hydrochloride              
Dette skjermbildet viser kompatibilitet eller inkompatibilitet med, i dette tilfellet, typen inkompatibilitet (nedbør, fargeendring, modifisering av en emulsjon, etc.). Kompatibilitetene som er vist her, er for det meste bare fysiske, og den kjemiske stabiliteten til hvert molekyl blir sjelden vurdert. Evalueringen av disse blandingene ble studert for å vurdere muligheten for Y-stedadministrasjon til pasienten. Disse dataene kan ikke brukes til å lage blandinger på forhånd i poser eller sprøyter. Denne typen informasjon er tilgjengelig på skjermen "Stabilitet i blanding".
Legemiddel Oppløsningsmiddel Referanser
Kompatibel
Injeksjon Hydromorphone hydrochloride 0.04 mg/ml
Injeksjon Aciclovir sodium 5 mg/ml
Glukose 5 % 336
Kompatibel
Injeksjon Hydromorphone hydrochloride 0.5 mg/ml
Injeksjon Allopurinol sodium 3 mg/ml
Natriumklorid 0,9 % 307
Kompatibel
Injeksjon Hydromorphone hydrochloride 0.5 mg/ml
Injeksjon Amifostine 10 mg/ml
Glukose 5 % 3
Kompatibel
Injeksjon Hydromorphone hydrochloride 0.2 mg/ml
Injeksjon Amikacin sulfate 5 mg/ml
Glukose 5 % 405
Kompatibel
Injeksjon Hydromorphone hydrochloride 10 mg/ml
Injeksjon Amoxicillin sodium / clavulanic acid 100/10 mg/ml
3824
Kompatibel
Injeksjon Hydromorphone hydrochloride 2 >> 40 mg/ml
Injeksjon Ampicillin sodium 20 & 250 mg/ml
Glukose 5 % 226
Kompatibel
Injeksjon Hydromorphone hydrochloride 0.5 mg/ml
Injeksjon Amsacrine 1 mg/ml
Glukose 5 % 253
Kompatibel
Injeksjon Hydromorphone hydrochloride 0.5 mg/ml
Injeksjon Anidulafungin 0.5 mg/ml
Glukose 5 % 1982
Kompatibel
Injeksjon Hydromorphone hydrochloride 0.5 mg/ml
Injeksjon Aztreonam 40 mg/ml
Glukose 5 % 99
Kompatibel
Injeksjon Hydromorphone hydrochloride 0.5 mg/ml
Injeksjon Bivalirudin 5 mg/ml
Glukose 5 % 1713
Umiddelbar ustabilitet av emulsjonen Uforenlig
Injeksjon Hydromorphone hydrochloride 0.5 mg/ml
Parenteral ernæring (med lipider) 1415
Kompatibel
Injeksjon Hydromorphone hydrochloride 10 mg/ml
Ringers laktatoppløsning 4603
Tap av turbiditet Uforenlig
Injeksjon Hydromorphone hydrochloride 0.5 mg/ml
Injeksjon Amphotericin B cholesteryl sulfate complex 0.83 mg/ml
Glukose 5 % 921
Kompatibel
Injeksjon Hydromorphone hydrochloride 0.2 mg/ml
Injeksjon Ampicillin sodium 20 mg/ml
Glukose 5 % 405
Kompatibel
Injeksjon Hydromorphone hydrochloride 0.5 mg/ml
Injeksjon Atropine sulfate 0.4 mg/ml
Glukose 5 % 1974
Kompatibel
Injeksjon Hydromorphone hydrochloride 0,02 & 0,1 mg/ml
Injeksjon Bupivacaine hydrochloride 0,625 & 1,25 mg/ml
Natriumklorid 0,9 % 306
Kompatibel
Injeksjon Hydromorphone hydrochloride
Glukose 5 % 5073
Kompatibel
Injeksjon Hydromorphone hydrochloride 0,02 & 0,04 mg/ml
Injeksjon Bupivacaine hydrochloride 2,5 mg/ml
Natriumklorid 0,9 % 1931
Kompatibel
Injeksjon Hydromorphone hydrochloride 15 mg/ml
Injeksjon Bupivacaine hydrochloride 10 mg/ml
Ingen 4200
Kompatibel
Injeksjon Hydromorphone hydrochloride 2,5 mg/ml
Parenteral ernæring (med lipider) 4507
Kompatibel
Injeksjon Hydromorphone hydrochloride 25 mg/ml
Injeksjon Bupivacaine hydrochloride 20 mg/ml
Natriumklorid 0,9 % 3131
Kompatibel
Injeksjon Hydromorphone hydrochloride 65 mg/ml
Injeksjon Bupivacaine hydrochloride 7,5 mg/ml
Ingen 221
Kompatibel
Injeksjon Hydromorphone hydrochloride 50 mg/ml
Injeksjon Caffeine 10 mg/ml
Ingen 3964
Kompatibel
Injeksjon Hydromorphone hydrochloride 1 mg/ml
Injeksjon Caspofungin acetate 0,7 mg/ml
Natriumklorid 0,9 % 2247
Kompatibel
Injeksjon Hydromorphone hydrochloride 1 mg/ml
Injeksjon Caspofungin acetate 0.5 mg/ml
Natriumklorid 0,9 % 2233
Kompatibel
Injeksjon Hydromorphone hydrochloride 0.2 mg/ml
Injeksjon Cefalotin sodium 20 mg/ml
Glukose 5 % 405
Kompatibel
Injeksjon Hydromorphone hydrochloride 0.2 mg/ml
Injeksjon Cefamandole nafate 20 mg/ml
Glukose 5 % 405
Kompatibel
Injeksjon Hydromorphone hydrochloride 0.2 mg/ml
Injeksjon Cefazolin sodium 20 mg/ml
Glukose 5 % 405
Kompatibel
Injeksjon Hydromorphone hydrochloride 2 >> 40 mg/ml
Injeksjon Cefazolin sodium 20 mg/ml
Glukose 5 % 226
Umiddelbar nedbør Uforenlig
Injeksjon Hydromorphone hydrochloride 2 >> 40 mg/ml
Injeksjon Cefazolin sodium >200 mg/ml
Glukose 5 % 226
Kompatibel
Injeksjon Hydromorphone hydrochloride 1 mg/ml
Injeksjon Cefiderocol sulfate tosylate 20 mg/mL
Natriumklorid 0,9 % 4528
Kompatibel
Injeksjon Hydromorphone hydrochloride 1 mg/ml
Injeksjon Cefiderocol sulfate tosylate 20 mg/mL
Glukose 5 % 4528
Kompatibel
Injeksjon Hydromorphone hydrochloride 0.2 mg/ml
Injeksjon Cefmetazole sodium 100 mg/ml
Vann til injeksjon 93
Kompatibel
Injeksjon Hydromorphone hydrochloride 0.2 mg/ml
Injeksjon Cefoperazone sodium 20 mg/ml
Glukose 5 % 405
Kompatibel
Injeksjon Hydromorphone hydrochloride 0.2 mg/ml
Injeksjon Ceforanide 20 mg/ml
Glukose 5 % 405
Kompatibel
Injeksjon Hydromorphone hydrochloride 0.2 mg/ml
Injeksjon Cefotaxime sodium 20 mg/ml
Glukose 5 % 405
Kompatibel
Injeksjon Hydromorphone hydrochloride 0.2 mg/ml
Injeksjon Cefoxitin sodium 20 mg/ml
Glukose 5 % 405
Kompatibel
Injeksjon Hydromorphone hydrochloride 0,5 mg/ml
Injeksjon Ceftaroline fosamil 2,22 mg/ml
Ringers laktatoppløsning 3249
Kompatibel
Injeksjon Hydromorphone hydrochloride 0,5 mg/ml
Injeksjon Ceftaroline fosamil 2,22 mg/ml
Glukose 5 % 3249
Kompatibel
Injeksjon Hydromorphone hydrochloride 0,5 mg/ml
Injeksjon Ceftaroline fosamil 2,22 mg/ml
Natriumklorid 0,9 % 3249
Kompatibel
Injeksjon Hydromorphone hydrochloride 2 >> 40 mg/ml
Injeksjon Ceftazidime 40 & 180 mg/ml
Glukose 5 % 226
Kompatibel
Injeksjon Hydromorphone hydrochloride 0.2 mg/ml
Injeksjon Ceftizoxime sodium 20 mg/ml
Glukose 5 % 405
Umiddelbar nedbør Uforenlig
Injeksjon Hydromorphone hydrochloride 1 mg/ml
Injeksjon Ceftobiprole medocaril sodium 2 mg/ml
Natriumklorid 0,9 % 2269
Umiddelbar nedbør Uforenlig
Injeksjon Hydromorphone hydrochloride 1 mg/ml
Injeksjon Ceftobiprole medocaril sodium 2 mg/ml
Ringers laktatoppløsning 2269
Uspesifisert inkompatibilitet Uforenlig
Injeksjon Hydromorphone hydrochloride
Injeksjon Ceftobiprole medocaril sodium
4650
Umiddelbar nedbør Uforenlig
Injeksjon Hydromorphone hydrochloride 1 mg/ml
Injeksjon Ceftobiprole medocaril sodium 2 mg/ml
Glukose 5 % 2269
Kompatibel
Injeksjon Hydromorphone hydrochloride 1 mg/ml
Injeksjon Ceftolozane / tazobactam 10/5 mg/ml
Glukose 5 % 3828
Kompatibel
Injeksjon Hydromorphone hydrochloride 1 mg/ml
Injeksjon Ceftolozane / tazobactam 10/5 mg/ml
Natriumklorid 0,9 % 3828
Kompatibel
Injeksjon Hydromorphone hydrochloride 0.2 mg/ml
Injeksjon Cefuroxime sodium 30 mg/ml
Glukose 5 % 405
Kompatibel
Injeksjon Hydromorphone hydrochloride 0.2 mg/ml
Injeksjon Chloramphenicol sodium succinate 20 mg/ml
Glukose 5 % 405
Kompatibel
Injeksjon Hydromorphone hydrochloride 0.5 mg/ml
Injeksjon Cisatracurium besylate 0.1 >> 5 mg/ml
Glukose 5 % 299
Kompatibel
Injeksjon Hydromorphone hydrochloride 0.5 mg/ml
Injeksjon Cladribine 0.015 mg/ml
Natriumklorid 0,9 % 1496
Kompatibel
Injeksjon Hydromorphone hydrochloride 0.5 mg/ml
Injeksjon Cladribine 0.5 mg/ml
NaCl 0,9% + antibakterielt middel 1496
Kompatibel
Injeksjon Hydromorphone hydrochloride 10 mg/ml
Injeksjon Cloxacillin sodium 100 mg/ml
Vann til injeksjon 3012
Kompatibel
Injeksjon Hydromorphone hydrochloride 0.2 mg/ml
Injeksjon Co-trimoxazole 4/0.8 mg/ml
Glukose 5 % 405
Kompatibel
Injeksjon Hydromorphone hydrochloride < 10 mg/ml
Injeksjon Dexamethasone sodium phosphate 2 >> 10 mg/ml
389
Kompatibel
Injeksjon Hydromorphone hydrochloride 0.5 mg/ml
Injeksjon Dexamethasone sodium phosphate 1 mg/ml
Glukose 5 % 1974
Kompatibel
Injeksjon Hydromorphone hydrochloride 1 >> 40 mg/ml
Injeksjon Dexamethasone sodium phosphate < 2 mg/ml
389
Kompatibel
Injeksjon Hydromorphone hydrochloride 0.5 mg/ml
Injeksjon Dexmedetomidine 4 µg/ml
Natriumklorid 0,9 % 1712
Nedbør etter 2 timer Uforenlig
Injeksjon Hydromorphone hydrochloride
Injeksjon Dimenhydrinate
2087
Kompatibel
Injeksjon Hydromorphone hydrochloride 0.5 mg/ml
Parenteral ernæring(lipid-free) 301
Kompatibel
Injeksjon Hydromorphone hydrochloride 2 mg/ml
Injeksjon Cimetidine hydrochloride 150 mg/ml
1438
Kompatibel
Injeksjon Hydromorphone hydrochloride 0.2 mg/ml
Injeksjon Clindamycin phosphate 12 mg/ml
Glukose 5 % 405
Umiddelbar nedbør Uforenlig
Injeksjon Hydromorphone hydrochloride 2 >> 40 mg/ml
Injeksjon Cloxacillin sodium 40 & 250 mg/ml
Glukose 5 % 226
Umiddelbar nedbør Uforenlig
Injeksjon Hydromorphone hydrochloride
Injeksjon Cyclizine lactate
5073
Kompatibel
Injeksjon Hydromorphone hydrochloride
Injeksjon Dexamethasone sodium phosphate
5073
Umiddelbar nedbør Uforenlig
Injeksjon Hydromorphone hydrochloride > 15 mg/ml
Injeksjon Dexamethasone sodium phosphate > 3 mg/ml
389
Kompatibel
Injeksjon Hydromorphone hydrochloride 0.5 mg/ml
Injeksjon Diazepam 0.5 mg/ml
Glukose 5 % 1974
Umiddelbar nedbør Uforenlig
Injeksjon Hydromorphone hydrochloride 2 >> 40 mg/ml
Injeksjon Diazepam 5 mg/ml
Glukose 5 % 226
Kompatibel
Injeksjon Hydromorphone hydrochloride 1 mg/ml
Injeksjon Diltiazem hydrochloride 1 mg/ml
314
Kompatibel
Injeksjon Hydromorphone hydrochloride 2 >> 40 mg/ml
Injeksjon Dimenhydrinate 50 mg/ml
Ingen 1497
Kompatibel
Injeksjon Hydromorphone hydrochloride 0.5 mg/ml
Injeksjon Diphenhydramine hydrochloride 2 mg/ml
Glukose 5 % 1974
Kompatibel
Injeksjon Hydromorphone hydrochloride 1 mg/ml
Injeksjon Dobutamine hydrochloride 4 mg/ml
314
Kompatibel
Injeksjon Hydromorphone hydrochloride 0.5 mg/ml
Injeksjon Docetaxel 0.9 mg/ml
Glukose 5 % 1754
Kompatibel
Injeksjon Hydromorphone hydrochloride 1 mg/ml
Injeksjon Dopamine hydrochloride 3.2 mg/ml
314
Kompatibel
Injeksjon Hydromorphone hydrochloride 1 mg/ml
Injeksjon Doripenem 5 mg/ml
Glukose 5 % 2262
Kompatibel
Injeksjon Hydromorphone hydrochloride 1 mg/ml
Injeksjon Doripenem 5 mg/ml
Natriumklorid 0,9 % 2262
Kompatibel
Injeksjon Hydromorphone hydrochloride 0.5 mg/ml
Injeksjon Doxorubicin hydrochloride liposome peg 0.4 mg/ml
Glukose 5 % 251
Kompatibel
Injeksjon Hydromorphone hydrochloride 0.2 mg/ml
Injeksjon Doxycycline hyclate 1 mg/ml
Glukose 5 % 405
Kompatibel
Injeksjon Hydromorphone hydrochloride 1 mg/ml
Injeksjon Epinephrine hydrochloride 20 µg/ml
314
Kompatibel
Injeksjon Hydromorphone hydrochloride 1 mg/ml
Injeksjon Eravacycline 0,6 mg/ml
Natriumklorid 0,9 % 4434
Kompatibel
Injeksjon Hydromorphone hydrochloride 0.2 mg/ml
Injeksjon Erythromycin lactobionate 5 mg/ml
Glukose 5 % 405
Kompatibel
Injeksjon Hydromorphone hydrochloride 0.5 mg/ml
Injeksjon Etoposide phosphate 5 mg/ml
Glukose 5 % 1410
Kompatibel
Injeksjon Hydromorphone hydrochloride 0.5 mg/ml
Injeksjon Famotidine 2 mg/ml
Natriumklorid 0,9 % 215
Kompatibel
Injeksjon Hydromorphone hydrochloride 0.5 mg/ml
Injeksjon Fenoldopam mesylate 80 µg/ml
Natriumklorid 0,9 % 1803
Kompatibel
Injeksjon Hydromorphone hydrochloride 1 mg/ml
Injeksjon Fentanyl citrate 50 µg/ml
314
Kompatibel
Injeksjon Hydromorphone hydrochloride 0.5 mg/ml
Injeksjon Filgrastim 30 µg/ml
Glukose 5 % 244
Kompatibel
Injeksjon Hydromorphone hydrochloride 0.5 mg/ml
Injeksjon Fludarabine phosphate 1 mg/ml
Glukose 5 % 492
Kompatibel
Injeksjon Hydromorphone hydrochloride 0.5 mg/ml
Injeksjon Fluorouracil 1 & 16 mg/ml
Glukose 5 % 513
Kompatibel
Injeksjon Hydromorphone hydrochloride 0.5 mg/ml
Injeksjon Fluorouracil 1 & 16 mg/ml
Natriumklorid 0,9 % 513
Kompatibel
Injeksjon Hydromorphone hydrochloride 10 mg/ml
Injeksjon Foscarnet sodium 24 mg/ml
Ingen 73
Kompatibel
Injeksjon Hydromorphone hydrochloride 1 mg/ml
Injeksjon Fosfomycin 30 mg/ml
Glukose 5 % 4055
Kompatibel
Injeksjon Hydromorphone hydrochloride 1 mg/ml
Injeksjon Fosfomycin 30 mg/ml
Natriumklorid 0,9 % 4055
Kompatibel
Injeksjon Hydromorphone hydrochloride 1 mg/ml
Injeksjon Furosemide 10 mg/ml
314
Turbiditet på 24 timer Uforenlig
Injeksjon Hydromorphone hydrochloride 4 mg/ml
Injeksjon Gallium nitrate 1 mg/ml
Natriumklorid 0,9 % 91
Kompatibel
Injeksjon Hydromorphone hydrochloride 0.5 mg/ml
Injeksjon Gemcitabine hydrochloride 10 mg/ml
Natriumklorid 0,9 % 1423
Kompatibel
Injeksjon Hydromorphone hydrochloride 0.2 mg/ml
Injeksjon Gentamicin sulfate 0.8 mg/ml
Glukose 5 % 405
Kompatibel
Injeksjon Hydromorphone hydrochloride
Injeksjon Glycopyrronium bromide
5073
Kompatibel
Injeksjon Hydromorphone hydrochloride 0.5 mg/ml
Injeksjon Granisetron hydrochloride 0.056 mg/ml
Natriumklorid 0,9 % 6
Kompatibel
Injeksjon Hydromorphone hydrochloride 0.5 mg/ml
Injeksjon Granisetron hydrochloride 1 mg/ml
Natriumklorid 0,9 % 57
Kompatibel
Injeksjon Hydromorphone hydrochloride 0.5 mg/ml
Injeksjon Granisetron hydrochloride 0.05 mg/ml
Glukose 5 % 182
Kompatibel
Injeksjon Hydromorphone hydrochloride 10 mg/ml
Injeksjon Haloperidol lactate 1 mg/ml
Ingen 216
Kompatibel
Injeksjon Hydromorphone hydrochloride 10 mg/ml
Injeksjon Haloperidol lactate 5 mg/ml
Ingen 216
Kompatibel
Injeksjon Hydromorphone hydrochloride 1 mg/ml
Injeksjon Haloperidol lactate 5 mg/ml
Ingen 216
Kompatibel
Injeksjon Hydromorphone hydrochloride 1 mg/ml
Injeksjon Haloperidol lactate 2 mg/ml
Ingen 216
Kompatibel
Injeksjon Hydromorphone hydrochloride 1 mg/ml
Injeksjon Haloperidol lactate 1 mg/ml
Ingen 216
Kompatibel
Injeksjon Hydromorphone hydrochloride 0.5 mg/ml
Injeksjon Haloperidol lactate 0.2 mg/ml
Glukose 5 % 1974
Kompatibel
Injeksjon Hydromorphone hydrochloride
Injeksjon Haloperidol lactate
5073
Kompatibel
Injeksjon Hydromorphone hydrochloride 10 mg/ml
Injeksjon Haloperidol lactate 2 mg/ml
Ingen 216
Kompatibel
Injeksjon Hydromorphone hydrochloride <12.5 mg/ml
Injeksjon Heparin sodium
Vann til injeksjon 66
Kompatibel
Injeksjon Hydromorphone hydrochloride <12.5 mg/ml
Injeksjon Heparin sodium
Natriumklorid 0,9 % 66
Kompatibel
Injeksjon Hydromorphone hydrochloride 1 mg/ml
Injeksjon Heparin sodium 100 UI/ml
314
Umiddelbar nedbør Uforenlig
Injeksjon Hydromorphone hydrochloride >25 mg/ml
Injeksjon Heparin sodium <12,5 UI/ml
Vann til injeksjon 66
Umiddelbar nedbør Uforenlig
Injeksjon Hydromorphone hydrochloride >10 mg/ml
Injeksjon Heparin sodium <1 UI/ml
Vann til injeksjon 66
Umiddelbar nedbør Uforenlig
Injeksjon Hydromorphone hydrochloride >25 mg/ml
Injeksjon Heparin sodium <12,5 UI/ml
Natriumklorid 0,9 % 66
Kompatibel
Injeksjon Hydromorphone hydrochloride 0.5 mg/ml
Injeksjon Hetastarch 60 mg/ml
spesifikk løsemiddel 1721
Kjemisk ustabilitet Uforenlig
Injeksjon Hydromorphone hydrochloride 2 >> 40 mg/ml
Injeksjon Hyaluronidase 150 UI/ml
Glukose 5 % 9
Kompatibel
Injeksjon Hydromorphone hydrochloride
Injeksjon Hyaluronidase
3184
Kjemisk ustabilitet Uforenlig
Injeksjon Hydromorphone hydrochloride 2 >> 40 mg/ml
Injeksjon Hyaluronidase 150 UI/ml
Natriumklorid 0,9 % 9
Kompatibel
Injeksjon Hydromorphone hydrochloride 0.5 mg/ml
Injeksjon Hydroxyzine dihydrochloride 4 mg/ml
Glukose 5 % 1974
Kompatibel
Injeksjon Hydromorphone hydrochloride 1 mg/ml
Injeksjon Isavuconazonium sulfate 1.5 mg/ml
Natriumklorid 0,9 % 3829
Kompatibel
Injeksjon Hydromorphone hydrochloride 1 mg/ml
Injeksjon Isavuconazonium sulfate 1.5 mg/ml
Glukose 5 % 3829
Kompatibel
Injeksjon Hydromorphone hydrochloride 0.2 mg/ml
Injeksjon Kanamycin sulfate 2.5 mg/ml
Glukose 5 % 405
Kompatibel
Injeksjon Hydromorphone hydrochloride
Injeksjon Ketamine hydrochloride
5073
Kompatibel
Injeksjon Hydromorphone hydrochloride 0.2 mg/ml
Injeksjon Ketamine hydrochloride 0.2 >> 1 mg/ml
Natriumklorid 0,9 % 2336
Kompatibel
Injeksjon Hydromorphone hydrochloride 0.5 mg/ml
Injeksjon Ketorolac tromethamine 1 mg/ml
Glukose 5 % 1974
Kompatibel
Injeksjon Hydromorphone hydrochloride 10 mg/ml
Injeksjon Ketorolac tromethamine 15 mg/ml
Ingen 216
Kompatibel
Injeksjon Hydromorphone hydrochloride 1 mg/ml
Injeksjon Ketorolac tromethamine 30 mg/ml
Ingen 216
Kompatibel
Injeksjon Hydromorphone hydrochloride 1 mg/ml
Injeksjon Ketorolac tromethamine 15 mg/ml
Ingen 216
Umiddelbar nedbør Uforenlig
Injeksjon Hydromorphone hydrochloride 10 mg/ml
Injeksjon Ketorolac tromethamine 30 mg/ml
Ingen 216
Kompatibel
Injeksjon Hydromorphone hydrochloride 1 mg/ml
Injeksjon Labetalol hydrochloride 2 mg/ml
314
Nedbør etter 1 time Uforenlig
Injeksjon Hydromorphone hydrochloride 0.5 mg/ml
Injeksjon Lansoprazole 0.55 mg/ml
Natriumklorid 0,9 % 1625
Kompatibel
Injeksjon Hydromorphone hydrochloride 2 mg/ml
Injeksjon Levofloxacine 5 mg/ml
Ingen 2335
Kompatibel
Injeksjon Hydromorphone hydrochloride
Injeksjon Levomepromazine
5073
Kompatibel
Injeksjon Hydromorphone hydrochloride 10 mg/ml
Injeksjon Levosimendan 2,5 mg/ml
4389
Kompatibel
Injeksjon Hydromorphone hydrochloride 0.5 mg/ml
Injeksjon Linezolid 2 mg/ml
Ingen 1925
Kompatibel
Injeksjon Hydromorphone hydrochloride 0.5 mg/ml
Injeksjon Lorazepam 0.1 mg/ml
Glukose 5 % 1974
Kompatibel
Injeksjon Hydromorphone hydrochloride 2 >> 40 mg/ml
Injeksjon Lorazepam 4 mg/ml
Ingen 1497
Kompatibel
Injeksjon Hydromorphone hydrochloride 1 mg/ml
Injeksjon Lorazepam 0.5 mg/ml
314
Kompatibel
Injeksjon Hydromorphone hydrochloride 2 mg/ml
Injeksjon Magnesium sulfate 16,67 >> 100 mg/ml
Glukose 5 % 517
Kompatibel
Injeksjon Hydromorphone hydrochloride 0.5 mg/ml
Injeksjon Melphalan 0.1 mg/ml
Natriumklorid 0,9 % 169
Kompatibel
Injeksjon Hydromorphone hydrochloride 10 mg/ml
Injeksjon Meropenem 50 mg/ml
Vann til injeksjon 4319
Kjemisk ustabilitet Uforenlig
Injeksjon Hydromorphone hydrochloride
Injeksjon Metamizol sodium
2364
Kompatibel
Injeksjon Hydromorphone hydrochloride
Injeksjon Metoclopramide hydrochloride
5073
Kompatibel
Injeksjon Hydromorphone hydrochloride 0.5 mg/ml
Injeksjon Metoclopramide hydrochloride 5 mg/ml
Glukose 5 % 1974
Kompatibel
Injeksjon Hydromorphone hydrochloride 0.2 mg/ml
Injeksjon Metronidazole 5 mg/ml
Glukose 5 % 405
Kompatibel
Injeksjon Hydromorphone hydrochloride 0.5 mg/ml
Injeksjon Micafungin 1.5 mg/ml
Natriumklorid 0,9 % 2108
Kompatibel
Injeksjon Hydromorphone hydrochloride
Injeksjon Midazolam hydrochloride
5073
Kompatibel
Injeksjon Hydromorphone hydrochloride 0.5 mg/ml
Injeksjon Midazolam hydrochloride 0.2 mg/ml
Glukose 5 % 1974
Kompatibel
Injeksjon Hydromorphone hydrochloride 0.5 >> 45 mg/ml
Injeksjon Midazolam hydrochloride 0.1 >> 4.5 mg/ml
Glukose 5 % 345
Kompatibel
Injeksjon Hydromorphone hydrochloride 1 mg/ml
Injeksjon Midazolam hydrochloride 2 mg/ml
314
Kompatibel
Injeksjon Hydromorphone hydrochloride 0.5 >> 45 mg/ml
Injeksjon Midazolam hydrochloride 0.1 >> 4.5 mg/ml
Natriumklorid 0,9 % 345
Kompatibel
Injeksjon Hydromorphone hydrochloride 1 mg/ml
Injeksjon Milrinone lactate 0.2 mg/ml
314
Fargeendring etter 1 time Uforenlig
Injeksjon Hydromorphone hydrochloride 0.2 mg/ml
Injeksjon Minocycline hydrochloride 0.2 mg/ml
Glukose 5 % 405
Kompatibel
Injeksjon Hydromorphone hydrochloride 1 mg/ml
Injeksjon Morphine sulfate 2 mg/ml
314
Kompatibel
Injeksjon Hydromorphone hydrochloride 0.2 mg/ml
Injeksjon Moxalactam 20 mg/ml
Glukose 5 % 405
Kompatibel
Injeksjon Hydromorphone hydrochloride 0.2 mg/ml
Injeksjon Nafcillin sodium 20 mg/ml
Glukose 5 % 405
Kompatibel
Injeksjon Hydromorphone hydrochloride 10 mg/ml
Injeksjon Naloxone hydrochloride 0.4 mg/ml
Ingen 3408
Kompatibel
Injeksjon Hydromorphone hydrochloride 1 mg/ml
Injeksjon Nicardipine hydrochloride 1 mg/ml
314
Kompatibel
Injeksjon Hydromorphone hydrochloride 1 mg/ml
Injeksjon Nitroglycerin 0.4 mg/ml
314
Kompatibel
Injeksjon Hydromorphone hydrochloride 1 mg/ml
Injeksjon Norepinephrine bitartrate 0.128 mg/ml
314
Kompatibel
Injeksjon Hydromorphone hydrochloride 0,5 mg/ml
Injeksjon Ondansetron hydrochloride 0,1 & 1 mg/ml
Natriumklorid 0,9 % 6
Kompatibel
Injeksjon Hydromorphone hydrochloride 0.5 mg/ml
Injeksjon Ondansetron hydrochloride 1 mg/ml
Natriumklorid 0,9 % 334
Kompatibel
Injeksjon Hydromorphone hydrochloride 0.2 mg/ml
Injeksjon Oxacillin sodium 20 mg/ml
Glukose 5 % 405
Kompatibel
Injeksjon Hydromorphone hydrochloride 0,5 mg/ml
Injeksjon Oxaliplatin 0,5 mg/ml
Glukose 5 % 1662
Kompatibel
Injeksjon Hydromorphone hydrochloride 0.5 mg/ml
Injeksjon Paclitaxel 1.2 mg/ml
Glukose 5 % 248
Kompatibel
Injeksjon Hydromorphone hydrochloride 0.5 mg/ml
Injeksjon Palonosetron hydrochloride 50 µg/ml
Glukose 5 % 2196
Nedbør etter 4 timer Uforenlig
Injeksjon Hydromorphone hydrochloride
Injeksjon Pantoprazole sodium
2090
Kompatibel
Injeksjon Hydromorphone hydrochloride 10 mg/ml
Injeksjon Paracetamol 10 mg/ml
4742
Kompatibel
Injeksjon Hydromorphone hydrochloride 2 mg/ml
Injeksjon Paracetamol 10 mg/ml
Ingen 3571
Uspesifisert inkompatibilitet Uforenlig
Injeksjon Hydromorphone hydrochloride
Injeksjon Parecoxib sodium
3504
Kompatibel
Injeksjon Hydromorphone hydrochloride 0.5 mg/ml
Injeksjon Pemetrexed disodium 20 mg/ml
Natriumklorid 0,9 % 1953
Kompatibel
Injeksjon Hydromorphone hydrochloride 0.2 mg/ml
Injeksjon Penicillin G potassium 0.1 MUI/ml
Glukose 5 % 405
Umiddelbar nedbør Uforenlig
Injeksjon Hydromorphone hydrochloride 2 >> 40 mg/ml
Injeksjon Phenobarbital sodium 120 mg/ml
Glukose 5 % 226
Kompatibel
Injeksjon Hydromorphone hydrochloride 0.5 mg/ml
Injeksjon Phenobarbital sodium 2 mg/ml
Glukose 5 % 1974
Umiddelbar nedbør Uforenlig
Injeksjon Hydromorphone hydrochloride 2 >> 40 mg/ml
Injeksjon Phenytoin sodium 50 mg/ml
Glukose 5 % 226
Nedbør etter 1 time Uforenlig
Injeksjon Hydromorphone hydrochloride 0.5 mg/ml
Injeksjon Phenytoin sodium 2 mg/ml
Glukose 5 % 1974
Kompatibel
Injeksjon Hydromorphone hydrochloride 0.2 mg/ml
Injeksjon Piperacillin sodium 60 mg/ml
Glukose 5 % 405
Kompatibel
Injeksjon Hydromorphone hydrochloride 0.5 mg/ml
Injeksjon Piperacillin sodium / tazobactam 40/5 mg/ml
Glukose 5 % 81
Kompatibel
Injeksjon Hydromorphone hydrochloride 1 mg/ml
Injeksjon Plazomicin sulfate 24 mg/ml
Natriumklorid 0,9 % 4145
Kompatibel
Injeksjon Hydromorphone hydrochloride
Injeksjon Posaconazole
4380
Kompatibel
Injeksjon Hydromorphone hydrochloride 25 mg/ml
Injeksjon Potassium chloride 1000 mEq/l
Vann til injeksjon 66
Kompatibel
Injeksjon Hydromorphone hydrochloride 5 >> 20 mg/ml
Injeksjon Potassium chloride 500 & 1000 mEq/l
Glukose 5 % 66
Kompatibel
Injeksjon Hydromorphone hydrochloride 2 >> 40 mg/ml
Injeksjon Prochlorperazine edysilate 5 mg/ml
Ingen 1497
Kompatibel
Injeksjon Hydromorphone hydrochloride 0,5 mg/ml
Injeksjon Prochlorperazine edysilate 1,5 mg/ml
Natriumklorid 0,9 % 767
Kompatibel
Injeksjon Hydromorphone hydrochloride 1 mg/ml
Injeksjon Promethazine hydrochloride 0.3 mg/ml
Natriumklorid 0,9 % 795
Kompatibel
Injeksjon Hydromorphone hydrochloride 0.5 mg/ml
Injeksjon Propofol 10 mg/ml
Ingen 300
Kompatibel
Injeksjon Hydromorphone hydrochloride 1 mg/ml
Injeksjon Ranitidine hydrochloride 1 mg/ml
314
Kompatibel
Injeksjon Hydromorphone hydrochloride 2 mg/ml
Injeksjon Ranitidine hydrochloride 25 mg/ml
Ingen 58
Kompatibel
Injeksjon Hydromorphone hydrochloride 1 mg/ml
Injeksjon Remdesivir 1 mg/ml
Natriumklorid 0,9 % 4768
Kompatibel
Injeksjon Hydromorphone hydrochloride 10 mg/ml
Injeksjon Salbutamol sulfate 1 mg/ml
Ingen 3216
Nedbør etter 30 minutter Uforenlig
Injeksjon Hydromorphone hydrochloride 0.5 mg/ml
Injeksjon Sargramostim 10 µg/ml
Natriumklorid 0,9 % 335
Kompatibel
Injeksjon Hydromorphone hydrochloride 0.5 mg/ml
Injeksjon Scopolamine hydrobromide 0.05 mg/ml
Glukose 5 % 1974
Kompatibel
Injeksjon Hydromorphone hydrochloride
Injeksjon Scopolamine hydrobromide
5073
Kompatibel
Injeksjon Hydromorphone hydrochloride 0,1 & 1 mg/ml
Injeksjon Tacrolimus 5 & 20 µg/ml
Glukose 5 % 814
Kompatibel
Injeksjon Hydromorphone hydrochloride 1 mg/ml
Injeksjon Tedizolid phosphate 0.8 mg/ml
Natriumklorid 0,9 % 3827
Kompatibel
Injeksjon Hydromorphone hydrochloride 0.5 mg/ml
Injeksjon Teniposide 0.1 mg/ml
Glukose 5 % 905
Umiddelbar nedbør Uforenlig
Injeksjon Hydromorphone hydrochloride 10 mg/ml
Injeksjon Thiopental sodium 25 mg/ml
Natriumklorid 0,9 % 3767
Nedbør etter 4 timer Uforenlig
Injeksjon Hydromorphone hydrochloride 1 mg/ml
Injeksjon Thiopental sodium 25 mg/ml
314
Kompatibel
Injeksjon Hydromorphone hydrochloride 0.5 mg/ml
Injeksjon Thiotepa 1 mg/ml
Glukose 5 % 249
Kompatibel
Injeksjon Hydromorphone hydrochloride
Natriumklorid 0,9 % 5073
Kompatibel
Injeksjon Hydromorphone hydrochloride
Injeksjon Scopolamine N-butyl bromide
5073
Kompatibel
Injeksjon Hydromorphone hydrochloride 1 mg/ml
Injeksjon Sulbactam/durlobactam 15/15 mg/ml
Natriumklorid 0,9 % 4801
Kompatibel
Injeksjon Hydromorphone hydrochloride 0.2 mg/ml
Injeksjon Tobramycin sulfate 0.8 mg/ml
Glukose 5 % 405
Kompatibel
Injeksjon Hydromorphone hydrochloride 0.2 mg/ml
Injeksjon Vancomycin hydrochloride 5 mg/ml
Glukose 5 % 405
Kompatibel
Injeksjon Hydromorphone hydrochloride 2 mg/ml
Injeksjon Vancomycin hydrochloride 4 mg/ml
Natriumklorid 0,9 % 2335
Kompatibel
Injeksjon Hydromorphone hydrochloride 1 mg/ml
Injeksjon Vecuronium bromide 1 mg/ml
314
Kompatibel
Injeksjon Hydromorphone hydrochloride 0.016 mg/ml
Injeksjon Verapamil hydrochloride 0.08 mg/ml
Natriumklorid 0,9 % 1057
Kompatibel
Injeksjon Hydromorphone hydrochloride 0.016 mg/ml
Injeksjon Verapamil hydrochloride 0.08 mg/ml
Glukose 5 % 1057
Kompatibel
Injeksjon Hydromorphone hydrochloride 0.5 mg/ml
Injeksjon Vinorelbine tartrate 1 mg/ml
Natriumklorid 0,9 % 84

  Mentions Légales