Poslední aktualizace :
18/03/2026
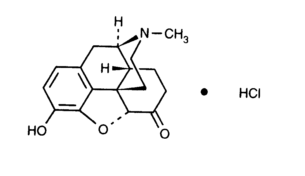
Analgetikas   Hydromorphone hydrochloride  
Įpurškimas
Tirpalų stabilumas Mišinių stabilumas Stabilumą lemiantys veiksniai Suderinamumas Leidimo būdai Bibliografija pdf
   Cheminė sandara  

Prekinis pavadinimas   Prekinis pavadinimas     

Trade names are indicative and excipients composition can be different depending on the country and manufacturers

Dilaudid Jungtinės Amerikos Valstijos, Kanada
Hydal Austrija
Palladon Danija, Šveicarija
Palladone Didžioji Britanija
Suderinamumas   Įpurškimas   Suderinamumas : Hydromorphone hydrochloride              
explication_incompatibilite_molecules
Molekulė Tirpiklis Nuorodos
Suderinamas
Įpurškimas Hydromorphone hydrochloride 0.04 mg/ml
Įpurškimas Aciclovir sodium 5 mg/ml
Gliukozė 5% 336
Suderinamas
Įpurškimas Hydromorphone hydrochloride 0.5 mg/ml
Įpurškimas Allopurinol sodium 3 mg/ml
Natrio chloridas 0,9% 307
Suderinamas
Įpurškimas Hydromorphone hydrochloride 0.5 mg/ml
Įpurškimas Amifostine 10 mg/ml
Gliukozė 5% 3
Suderinamas
Įpurškimas Hydromorphone hydrochloride 0.2 mg/ml
Įpurškimas Amikacin sulfate 5 mg/ml
Gliukozė 5% 405
Suderinamas
Įpurškimas Hydromorphone hydrochloride 10 mg/ml
Įpurškimas Amoxicillin sodium / clavulanic acid 100/10 mg/ml
3824
Suderinamas
Įpurškimas Hydromorphone hydrochloride 2 >> 40 mg/ml
Įpurškimas Ampicillin sodium 20 & 250 mg/ml
Gliukozė 5% 226
Suderinamas
Įpurškimas Hydromorphone hydrochloride 0.5 mg/ml
Įpurškimas Amsacrine 1 mg/ml
Gliukozė 5% 253
Suderinamas
Įpurškimas Hydromorphone hydrochloride 0.5 mg/ml
Įpurškimas Anidulafungin 0.5 mg/ml
Gliukozė 5% 1982
Suderinamas
Įpurškimas Hydromorphone hydrochloride 0.5 mg/ml
Įpurškimas Aztreonam 40 mg/ml
Gliukozė 5% 99
Suderinamas
Įpurškimas Hydromorphone hydrochloride 0.5 mg/ml
Įpurškimas Bivalirudin 5 mg/ml
Gliukozė 5% 1713
Skubus emulsijos nestabilumas Nesuderinamas
Įpurškimas Hydromorphone hydrochloride 0.5 mg/ml
Parenteriniu būdu (su lipidų) 1415
Suderinamas
Įpurškimas Hydromorphone hydrochloride 10 mg/ml
Ringerio laktato tirpalas 4603
Drumstumo praradimas Nesuderinamas
Įpurškimas Hydromorphone hydrochloride 0.5 mg/ml
Įpurškimas Amphotericin B cholesteryl sulfate complex 0.83 mg/ml
Gliukozė 5% 921
Suderinamas
Įpurškimas Hydromorphone hydrochloride 0.2 mg/ml
Įpurškimas Ampicillin sodium 20 mg/ml
Gliukozė 5% 405
Suderinamas
Įpurškimas Hydromorphone hydrochloride 0.5 mg/ml
Įpurškimas Atropine sulfate 0.4 mg/ml
Gliukozė 5% 1974
Suderinamas
Įpurškimas Hydromorphone hydrochloride 0,02 & 0,1 mg/ml
Įpurškimas Bupivacaine hydrochloride 0,625 & 1,25 mg/ml
Natrio chloridas 0,9% 306
Suderinamas
Įpurškimas Hydromorphone hydrochloride
Gliukozė 5% 5073
Suderinamas
Įpurškimas Hydromorphone hydrochloride 0,02 & 0,04 mg/ml
Įpurškimas Bupivacaine hydrochloride 2,5 mg/ml
Natrio chloridas 0,9% 1931
Suderinamas
Įpurškimas Hydromorphone hydrochloride 15 mg/ml
Įpurškimas Bupivacaine hydrochloride 10 mg/ml
Nėra 4200
Suderinamas
Įpurškimas Hydromorphone hydrochloride 2,5 mg/ml
Parenteriniu būdu (su lipidų) 4507
Suderinamas
Įpurškimas Hydromorphone hydrochloride 25 mg/ml
Įpurškimas Bupivacaine hydrochloride 20 mg/ml
Natrio chloridas 0,9% 3131
Suderinamas
Įpurškimas Hydromorphone hydrochloride 65 mg/ml
Įpurškimas Bupivacaine hydrochloride 7,5 mg/ml
Nėra 221
Suderinamas
Įpurškimas Hydromorphone hydrochloride 50 mg/ml
Įpurškimas Caffeine 10 mg/ml
Nėra 3964
Suderinamas
Įpurškimas Hydromorphone hydrochloride 1 mg/ml
Įpurškimas Caspofungin acetate 0,7 mg/ml
Natrio chloridas 0,9% 2247
Suderinamas
Įpurškimas Hydromorphone hydrochloride 1 mg/ml
Įpurškimas Caspofungin acetate 0.5 mg/ml
Natrio chloridas 0,9% 2233
Suderinamas
Įpurškimas Hydromorphone hydrochloride 0.2 mg/ml
Įpurškimas Cefalotin sodium 20 mg/ml
Gliukozė 5% 405
Suderinamas
Įpurškimas Hydromorphone hydrochloride 0.2 mg/ml
Įpurškimas Cefamandole nafate 20 mg/ml
Gliukozė 5% 405
Suderinamas
Įpurškimas Hydromorphone hydrochloride 0.2 mg/ml
Įpurškimas Cefazolin sodium 20 mg/ml
Gliukozė 5% 405
Suderinamas
Įpurškimas Hydromorphone hydrochloride 2 >> 40 mg/ml
Įpurškimas Cefazolin sodium 20 mg/ml
Gliukozė 5% 226
Nedelsiant krituliai Nesuderinamas
Įpurškimas Hydromorphone hydrochloride 2 >> 40 mg/ml
Įpurškimas Cefazolin sodium >200 mg/ml
Gliukozė 5% 226
Suderinamas
Įpurškimas Hydromorphone hydrochloride 1 mg/ml
Įpurškimas Cefiderocol sulfate tosylate 20 mg/mL
Natrio chloridas 0,9% 4528
Suderinamas
Įpurškimas Hydromorphone hydrochloride 1 mg/ml
Įpurškimas Cefiderocol sulfate tosylate 20 mg/mL
Gliukozė 5% 4528
Suderinamas
Įpurškimas Hydromorphone hydrochloride 0.2 mg/ml
Įpurškimas Cefmetazole sodium 100 mg/ml
Vanduo injekcijoms 93
Suderinamas
Įpurškimas Hydromorphone hydrochloride 0.2 mg/ml
Įpurškimas Cefoperazone sodium 20 mg/ml
Gliukozė 5% 405
Suderinamas
Įpurškimas Hydromorphone hydrochloride 0.2 mg/ml
Įpurškimas Ceforanide 20 mg/ml
Gliukozė 5% 405
Suderinamas
Įpurškimas Hydromorphone hydrochloride 0.2 mg/ml
Įpurškimas Cefotaxime sodium 20 mg/ml
Gliukozė 5% 405
Suderinamas
Įpurškimas Hydromorphone hydrochloride 0.2 mg/ml
Įpurškimas Cefoxitin sodium 20 mg/ml
Gliukozė 5% 405
Suderinamas
Įpurškimas Hydromorphone hydrochloride 0,5 mg/ml
Įpurškimas Ceftaroline fosamil 2,22 mg/ml
Ringerio laktato tirpalas 3249
Suderinamas
Įpurškimas Hydromorphone hydrochloride 0,5 mg/ml
Įpurškimas Ceftaroline fosamil 2,22 mg/ml
Gliukozė 5% 3249
Suderinamas
Įpurškimas Hydromorphone hydrochloride 0,5 mg/ml
Įpurškimas Ceftaroline fosamil 2,22 mg/ml
Natrio chloridas 0,9% 3249
Suderinamas
Įpurškimas Hydromorphone hydrochloride 2 >> 40 mg/ml
Įpurškimas Ceftazidime 40 & 180 mg/ml
Gliukozė 5% 226
Suderinamas
Įpurškimas Hydromorphone hydrochloride 0.2 mg/ml
Įpurškimas Ceftizoxime sodium 20 mg/ml
Gliukozė 5% 405
Nedelsiant krituliai Nesuderinamas
Įpurškimas Hydromorphone hydrochloride 1 mg/ml
Įpurškimas Ceftobiprole medocaril sodium 2 mg/ml
Natrio chloridas 0,9% 2269
Nedelsiant krituliai Nesuderinamas
Įpurškimas Hydromorphone hydrochloride 1 mg/ml
Įpurškimas Ceftobiprole medocaril sodium 2 mg/ml
Ringerio laktato tirpalas 2269
Nepatikslintas nesuderinamumas Nesuderinamas
Įpurškimas Hydromorphone hydrochloride
Įpurškimas Ceftobiprole medocaril sodium
4650
Nedelsiant krituliai Nesuderinamas
Įpurškimas Hydromorphone hydrochloride 1 mg/ml
Įpurškimas Ceftobiprole medocaril sodium 2 mg/ml
Gliukozė 5% 2269
Suderinamas
Įpurškimas Hydromorphone hydrochloride 1 mg/ml
Įpurškimas Ceftolozane / tazobactam 10/5 mg/ml
Gliukozė 5% 3828
Suderinamas
Įpurškimas Hydromorphone hydrochloride 1 mg/ml
Įpurškimas Ceftolozane / tazobactam 10/5 mg/ml
Natrio chloridas 0,9% 3828
Suderinamas
Įpurškimas Hydromorphone hydrochloride 0.2 mg/ml
Įpurškimas Cefuroxime sodium 30 mg/ml
Gliukozė 5% 405
Suderinamas
Įpurškimas Hydromorphone hydrochloride 0.2 mg/ml
Įpurškimas Chloramphenicol sodium succinate 20 mg/ml
Gliukozė 5% 405
Suderinamas
Įpurškimas Hydromorphone hydrochloride 0.5 mg/ml
Įpurškimas Cisatracurium besylate 0.1 >> 5 mg/ml
Gliukozė 5% 299
Suderinamas
Įpurškimas Hydromorphone hydrochloride 0.5 mg/ml
Įpurškimas Cladribine 0.015 mg/ml
Natrio chloridas 0,9% 1496
Suderinamas
Įpurškimas Hydromorphone hydrochloride 0.5 mg/ml
Įpurškimas Cladribine 0.5 mg/ml
NaCl 0,9% + antibakterinis 1496
Suderinamas
Įpurškimas Hydromorphone hydrochloride 10 mg/ml
Įpurškimas Cloxacillin sodium 100 mg/ml
Vanduo injekcijoms 3012
Suderinamas
Įpurškimas Hydromorphone hydrochloride 0.2 mg/ml
Įpurškimas Co-trimoxazole 4/0.8 mg/ml
Gliukozė 5% 405
Suderinamas
Įpurškimas Hydromorphone hydrochloride < 10 mg/ml
Įpurškimas Dexamethasone sodium phosphate 2 >> 10 mg/ml
389
Suderinamas
Įpurškimas Hydromorphone hydrochloride 0.5 mg/ml
Įpurškimas Dexamethasone sodium phosphate 1 mg/ml
Gliukozė 5% 1974
Suderinamas
Įpurškimas Hydromorphone hydrochloride 1 >> 40 mg/ml
Įpurškimas Dexamethasone sodium phosphate < 2 mg/ml
389
Suderinamas
Įpurškimas Hydromorphone hydrochloride 0.5 mg/ml
Įpurškimas Dexmedetomidine 4 µg/ml
Natrio chloridas 0,9% 1712
Krituliai po 2 valandų Nesuderinamas
Įpurškimas Hydromorphone hydrochloride
Įpurškimas Dimenhydrinate
2087
Suderinamas
Įpurškimas Hydromorphone hydrochloride 0.5 mg/ml
Parenterinis maitinimas (lipidų nemokamai) 301
Suderinamas
Įpurškimas Hydromorphone hydrochloride 2 mg/ml
Įpurškimas Cimetidine hydrochloride 150 mg/ml
1438
Suderinamas
Įpurškimas Hydromorphone hydrochloride 0.2 mg/ml
Įpurškimas Clindamycin phosphate 12 mg/ml
Gliukozė 5% 405
Nedelsiant krituliai Nesuderinamas
Įpurškimas Hydromorphone hydrochloride 2 >> 40 mg/ml
Įpurškimas Cloxacillin sodium 40 & 250 mg/ml
Gliukozė 5% 226
Nedelsiant krituliai Nesuderinamas
Įpurškimas Hydromorphone hydrochloride
Įpurškimas Cyclizine lactate
5073
Suderinamas
Įpurškimas Hydromorphone hydrochloride
Įpurškimas Dexamethasone sodium phosphate
5073
Nedelsiant krituliai Nesuderinamas
Įpurškimas Hydromorphone hydrochloride > 15 mg/ml
Įpurškimas Dexamethasone sodium phosphate > 3 mg/ml
389
Suderinamas
Įpurškimas Hydromorphone hydrochloride 0.5 mg/ml
Įpurškimas Diazepam 0.5 mg/ml
Gliukozė 5% 1974
Nedelsiant krituliai Nesuderinamas
Įpurškimas Hydromorphone hydrochloride 2 >> 40 mg/ml
Įpurškimas Diazepam 5 mg/ml
Gliukozė 5% 226
Suderinamas
Įpurškimas Hydromorphone hydrochloride 1 mg/ml
Įpurškimas Diltiazem hydrochloride 1 mg/ml
314
Suderinamas
Įpurškimas Hydromorphone hydrochloride 2 >> 40 mg/ml
Įpurškimas Dimenhydrinate 50 mg/ml
Nėra 1497
Suderinamas
Įpurškimas Hydromorphone hydrochloride 0.5 mg/ml
Įpurškimas Diphenhydramine hydrochloride 2 mg/ml
Gliukozė 5% 1974
Suderinamas
Įpurškimas Hydromorphone hydrochloride 1 mg/ml
Įpurškimas Dobutamine hydrochloride 4 mg/ml
314
Suderinamas
Įpurškimas Hydromorphone hydrochloride 0.5 mg/ml
Įpurškimas Docetaxel 0.9 mg/ml
Gliukozė 5% 1754
Suderinamas
Įpurškimas Hydromorphone hydrochloride 1 mg/ml
Įpurškimas Dopamine hydrochloride 3.2 mg/ml
314
Suderinamas
Įpurškimas Hydromorphone hydrochloride 1 mg/ml
Įpurškimas Doripenem 5 mg/ml
Gliukozė 5% 2262
Suderinamas
Įpurškimas Hydromorphone hydrochloride 1 mg/ml
Įpurškimas Doripenem 5 mg/ml
Natrio chloridas 0,9% 2262
Suderinamas
Įpurškimas Hydromorphone hydrochloride 0.5 mg/ml
Įpurškimas Doxorubicin hydrochloride liposome peg 0.4 mg/ml
Gliukozė 5% 251
Suderinamas
Įpurškimas Hydromorphone hydrochloride 0.2 mg/ml
Įpurškimas Doxycycline hyclate 1 mg/ml
Gliukozė 5% 405
Suderinamas
Įpurškimas Hydromorphone hydrochloride 1 mg/ml
Įpurškimas Epinephrine hydrochloride 20 µg/ml
314
Suderinamas
Įpurškimas Hydromorphone hydrochloride 1 mg/ml
Įpurškimas Eravacycline 0,6 mg/ml
Natrio chloridas 0,9% 4434
Suderinamas
Įpurškimas Hydromorphone hydrochloride 0.2 mg/ml
Įpurškimas Erythromycin lactobionate 5 mg/ml
Gliukozė 5% 405
Suderinamas
Įpurškimas Hydromorphone hydrochloride 0.5 mg/ml
Įpurškimas Etoposide phosphate 5 mg/ml
Gliukozė 5% 1410
Suderinamas
Įpurškimas Hydromorphone hydrochloride 0.5 mg/ml
Įpurškimas Famotidine 2 mg/ml
Natrio chloridas 0,9% 215
Suderinamas
Įpurškimas Hydromorphone hydrochloride 0.5 mg/ml
Įpurškimas Fenoldopam mesylate 80 µg/ml
Natrio chloridas 0,9% 1803
Suderinamas
Įpurškimas Hydromorphone hydrochloride 1 mg/ml
Įpurškimas Fentanyl citrate 50 µg/ml
314
Suderinamas
Įpurškimas Hydromorphone hydrochloride 0.5 mg/ml
Įpurškimas Filgrastim 30 µg/ml
Gliukozė 5% 244
Suderinamas
Įpurškimas Hydromorphone hydrochloride 0.5 mg/ml
Įpurškimas Fludarabine phosphate 1 mg/ml
Gliukozė 5% 492
Suderinamas
Įpurškimas Hydromorphone hydrochloride 0.5 mg/ml
Įpurškimas Fluorouracil 1 & 16 mg/ml
Gliukozė 5% 513
Suderinamas
Įpurškimas Hydromorphone hydrochloride 0.5 mg/ml
Įpurškimas Fluorouracil 1 & 16 mg/ml
Natrio chloridas 0,9% 513
Suderinamas
Įpurškimas Hydromorphone hydrochloride 10 mg/ml
Įpurškimas Foscarnet sodium 24 mg/ml
Nėra 73
Suderinamas
Įpurškimas Hydromorphone hydrochloride 1 mg/ml
Įpurškimas Fosfomycin 30 mg/ml
Gliukozė 5% 4055
Suderinamas
Įpurškimas Hydromorphone hydrochloride 1 mg/ml
Įpurškimas Fosfomycin 30 mg/ml
Natrio chloridas 0,9% 4055
Suderinamas
Įpurškimas Hydromorphone hydrochloride 1 mg/ml
Įpurškimas Furosemide 10 mg/ml
314
Troebelheid in 24 uur Nesuderinamas
Įpurškimas Hydromorphone hydrochloride 4 mg/ml
Įpurškimas Gallium nitrate 1 mg/ml
Natrio chloridas 0,9% 91
Suderinamas
Įpurškimas Hydromorphone hydrochloride 0.5 mg/ml
Įpurškimas Gemcitabine hydrochloride 10 mg/ml
Natrio chloridas 0,9% 1423
Suderinamas
Įpurškimas Hydromorphone hydrochloride 0.2 mg/ml
Įpurškimas Gentamicin sulfate 0.8 mg/ml
Gliukozė 5% 405
Suderinamas
Įpurškimas Hydromorphone hydrochloride
Įpurškimas Glycopyrronium bromide
5073
Suderinamas
Įpurškimas Hydromorphone hydrochloride 0.5 mg/ml
Įpurškimas Granisetron hydrochloride 0.056 mg/ml
Natrio chloridas 0,9% 6
Suderinamas
Įpurškimas Hydromorphone hydrochloride 0.5 mg/ml
Įpurškimas Granisetron hydrochloride 1 mg/ml
Natrio chloridas 0,9% 57
Suderinamas
Įpurškimas Hydromorphone hydrochloride 0.5 mg/ml
Įpurškimas Granisetron hydrochloride 0.05 mg/ml
Gliukozė 5% 182
Suderinamas
Įpurškimas Hydromorphone hydrochloride 10 mg/ml
Įpurškimas Haloperidol lactate 1 mg/ml
Nėra 216
Suderinamas
Įpurškimas Hydromorphone hydrochloride 10 mg/ml
Įpurškimas Haloperidol lactate 5 mg/ml
Nėra 216
Suderinamas
Įpurškimas Hydromorphone hydrochloride 1 mg/ml
Įpurškimas Haloperidol lactate 5 mg/ml
Nėra 216
Suderinamas
Įpurškimas Hydromorphone hydrochloride 1 mg/ml
Įpurškimas Haloperidol lactate 2 mg/ml
Nėra 216
Suderinamas
Įpurškimas Hydromorphone hydrochloride 1 mg/ml
Įpurškimas Haloperidol lactate 1 mg/ml
Nėra 216
Suderinamas
Įpurškimas Hydromorphone hydrochloride 0.5 mg/ml
Įpurškimas Haloperidol lactate 0.2 mg/ml
Gliukozė 5% 1974
Suderinamas
Įpurškimas Hydromorphone hydrochloride
Įpurškimas Haloperidol lactate
5073
Suderinamas
Įpurškimas Hydromorphone hydrochloride 10 mg/ml
Įpurškimas Haloperidol lactate 2 mg/ml
Nėra 216
Suderinamas
Įpurškimas Hydromorphone hydrochloride <12.5 mg/ml
Įpurškimas Heparin sodium
Vanduo injekcijoms 66
Suderinamas
Įpurškimas Hydromorphone hydrochloride <12.5 mg/ml
Įpurškimas Heparin sodium
Natrio chloridas 0,9% 66
Suderinamas
Įpurškimas Hydromorphone hydrochloride 1 mg/ml
Įpurškimas Heparin sodium 100 UI/ml
314
Nedelsiant krituliai Nesuderinamas
Įpurškimas Hydromorphone hydrochloride >25 mg/ml
Įpurškimas Heparin sodium <12,5 UI/ml
Vanduo injekcijoms 66
Nedelsiant krituliai Nesuderinamas
Įpurškimas Hydromorphone hydrochloride >10 mg/ml
Įpurškimas Heparin sodium <1 UI/ml
Vanduo injekcijoms 66
Nedelsiant krituliai Nesuderinamas
Įpurškimas Hydromorphone hydrochloride >25 mg/ml
Įpurškimas Heparin sodium <12,5 UI/ml
Natrio chloridas 0,9% 66
Suderinamas
Įpurškimas Hydromorphone hydrochloride 0.5 mg/ml
Įpurškimas Hetastarch 60 mg/ml
specifinis tirpiklis 1721
Cheminis nestabilumas Nesuderinamas
Įpurškimas Hydromorphone hydrochloride 2 >> 40 mg/ml
Įpurškimas Hyaluronidase 150 UI/ml
Gliukozė 5% 9
Suderinamas
Įpurškimas Hydromorphone hydrochloride
Įpurškimas Hyaluronidase
3184
Cheminis nestabilumas Nesuderinamas
Įpurškimas Hydromorphone hydrochloride 2 >> 40 mg/ml
Įpurškimas Hyaluronidase 150 UI/ml
Natrio chloridas 0,9% 9
Suderinamas
Įpurškimas Hydromorphone hydrochloride 0.5 mg/ml
Įpurškimas Hydroxyzine dihydrochloride 4 mg/ml
Gliukozė 5% 1974
Suderinamas
Įpurškimas Hydromorphone hydrochloride 1 mg/ml
Įpurškimas Isavuconazonium sulfate 1.5 mg/ml
Natrio chloridas 0,9% 3829
Suderinamas
Įpurškimas Hydromorphone hydrochloride 1 mg/ml
Įpurškimas Isavuconazonium sulfate 1.5 mg/ml
Gliukozė 5% 3829
Suderinamas
Įpurškimas Hydromorphone hydrochloride 0.2 mg/ml
Įpurškimas Kanamycin sulfate 2.5 mg/ml
Gliukozė 5% 405
Suderinamas
Įpurškimas Hydromorphone hydrochloride
Įpurškimas Ketamine hydrochloride
5073
Suderinamas
Įpurškimas Hydromorphone hydrochloride 0.2 mg/ml
Įpurškimas Ketamine hydrochloride 0.2 >> 1 mg/ml
Natrio chloridas 0,9% 2336
Suderinamas
Įpurškimas Hydromorphone hydrochloride 0.5 mg/ml
Įpurškimas Ketorolac tromethamine 1 mg/ml
Gliukozė 5% 1974
Suderinamas
Įpurškimas Hydromorphone hydrochloride 10 mg/ml
Įpurškimas Ketorolac tromethamine 15 mg/ml
Nėra 216
Suderinamas
Įpurškimas Hydromorphone hydrochloride 1 mg/ml
Įpurškimas Ketorolac tromethamine 30 mg/ml
Nėra 216
Suderinamas
Įpurškimas Hydromorphone hydrochloride 1 mg/ml
Įpurškimas Ketorolac tromethamine 15 mg/ml
Nėra 216
Nedelsiant krituliai Nesuderinamas
Įpurškimas Hydromorphone hydrochloride 10 mg/ml
Įpurškimas Ketorolac tromethamine 30 mg/ml
Nėra 216
Suderinamas
Įpurškimas Hydromorphone hydrochloride 1 mg/ml
Įpurškimas Labetalol hydrochloride 2 mg/ml
314
Krituliai po 1 valandos Nesuderinamas
Įpurškimas Hydromorphone hydrochloride 0.5 mg/ml
Įpurškimas Lansoprazole 0.55 mg/ml
Natrio chloridas 0,9% 1625
Suderinamas
Įpurškimas Hydromorphone hydrochloride 2 mg/ml
Įpurškimas Levofloxacine 5 mg/ml
Nėra 2335
Suderinamas
Įpurškimas Hydromorphone hydrochloride
Įpurškimas Levomepromazine
5073
Suderinamas
Įpurškimas Hydromorphone hydrochloride 10 mg/ml
Įpurškimas Levosimendan 2,5 mg/ml
4389
Suderinamas
Įpurškimas Hydromorphone hydrochloride 0.5 mg/ml
Įpurškimas Linezolid 2 mg/ml
Nėra 1925
Suderinamas
Įpurškimas Hydromorphone hydrochloride 0.5 mg/ml
Įpurškimas Lorazepam 0.1 mg/ml
Gliukozė 5% 1974
Suderinamas
Įpurškimas Hydromorphone hydrochloride 2 >> 40 mg/ml
Įpurškimas Lorazepam 4 mg/ml
Nėra 1497
Suderinamas
Įpurškimas Hydromorphone hydrochloride 1 mg/ml
Įpurškimas Lorazepam 0.5 mg/ml
314
Suderinamas
Įpurškimas Hydromorphone hydrochloride 2 mg/ml
Įpurškimas Magnesium sulfate 16,67 >> 100 mg/ml
Gliukozė 5% 517
Suderinamas
Įpurškimas Hydromorphone hydrochloride 0.5 mg/ml
Įpurškimas Melphalan 0.1 mg/ml
Natrio chloridas 0,9% 169
Suderinamas
Įpurškimas Hydromorphone hydrochloride 10 mg/ml
Įpurškimas Meropenem 50 mg/ml
Vanduo injekcijoms 4319
Cheminis nestabilumas Nesuderinamas
Įpurškimas Hydromorphone hydrochloride
Įpurškimas Metamizol sodium
2364
Suderinamas
Įpurškimas Hydromorphone hydrochloride
Įpurškimas Metoclopramide hydrochloride
5073
Suderinamas
Įpurškimas Hydromorphone hydrochloride 0.5 mg/ml
Įpurškimas Metoclopramide hydrochloride 5 mg/ml
Gliukozė 5% 1974
Suderinamas
Įpurškimas Hydromorphone hydrochloride 0.2 mg/ml
Įpurškimas Metronidazole 5 mg/ml
Gliukozė 5% 405
Suderinamas
Įpurškimas Hydromorphone hydrochloride 0.5 mg/ml
Įpurškimas Micafungin 1.5 mg/ml
Natrio chloridas 0,9% 2108
Suderinamas
Įpurškimas Hydromorphone hydrochloride
Įpurškimas Midazolam hydrochloride
5073
Suderinamas
Įpurškimas Hydromorphone hydrochloride 0.5 mg/ml
Įpurškimas Midazolam hydrochloride 0.2 mg/ml
Gliukozė 5% 1974
Suderinamas
Įpurškimas Hydromorphone hydrochloride 0.5 >> 45 mg/ml
Įpurškimas Midazolam hydrochloride 0.1 >> 4.5 mg/ml
Gliukozė 5% 345
Suderinamas
Įpurškimas Hydromorphone hydrochloride 1 mg/ml
Įpurškimas Midazolam hydrochloride 2 mg/ml
314
Suderinamas
Įpurškimas Hydromorphone hydrochloride 0.5 >> 45 mg/ml
Įpurškimas Midazolam hydrochloride 0.1 >> 4.5 mg/ml
Natrio chloridas 0,9% 345
Suderinamas
Įpurškimas Hydromorphone hydrochloride 1 mg/ml
Įpurškimas Milrinone lactate 0.2 mg/ml
314
Spalvos pasikeitimas po 1 valandos Nesuderinamas
Įpurškimas Hydromorphone hydrochloride 0.2 mg/ml
Įpurškimas Minocycline hydrochloride 0.2 mg/ml
Gliukozė 5% 405
Suderinamas
Įpurškimas Hydromorphone hydrochloride 1 mg/ml
Įpurškimas Morphine sulfate 2 mg/ml
314
Suderinamas
Įpurškimas Hydromorphone hydrochloride 0.2 mg/ml
Įpurškimas Moxalactam 20 mg/ml
Gliukozė 5% 405
Suderinamas
Įpurškimas Hydromorphone hydrochloride 0.2 mg/ml
Įpurškimas Nafcillin sodium 20 mg/ml
Gliukozė 5% 405
Suderinamas
Įpurškimas Hydromorphone hydrochloride 10 mg/ml
Įpurškimas Naloxone hydrochloride 0.4 mg/ml
Nėra 3408
Suderinamas
Įpurškimas Hydromorphone hydrochloride 1 mg/ml
Įpurškimas Nicardipine hydrochloride 1 mg/ml
314
Suderinamas
Įpurškimas Hydromorphone hydrochloride 1 mg/ml
Įpurškimas Nitroglycerin 0.4 mg/ml
314
Suderinamas
Įpurškimas Hydromorphone hydrochloride 1 mg/ml
Įpurškimas Norepinephrine bitartrate 0.128 mg/ml
314
Suderinamas
Įpurškimas Hydromorphone hydrochloride 0,5 mg/ml
Įpurškimas Ondansetron hydrochloride 0,1 & 1 mg/ml
Natrio chloridas 0,9% 6
Suderinamas
Įpurškimas Hydromorphone hydrochloride 0.5 mg/ml
Įpurškimas Ondansetron hydrochloride 1 mg/ml
Natrio chloridas 0,9% 334
Suderinamas
Įpurškimas Hydromorphone hydrochloride 0.2 mg/ml
Įpurškimas Oxacillin sodium 20 mg/ml
Gliukozė 5% 405
Suderinamas
Įpurškimas Hydromorphone hydrochloride 0,5 mg/ml
Įpurškimas Oxaliplatin 0,5 mg/ml
Gliukozė 5% 1662
Suderinamas
Įpurškimas Hydromorphone hydrochloride 0.5 mg/ml
Įpurškimas Paclitaxel 1.2 mg/ml
Gliukozė 5% 248
Suderinamas
Įpurškimas Hydromorphone hydrochloride 0.5 mg/ml
Įpurškimas Palonosetron hydrochloride 50 µg/ml
Gliukozė 5% 2196
Krituliai po 4 valandų Nesuderinamas
Įpurškimas Hydromorphone hydrochloride
Įpurškimas Pantoprazole sodium
2090
Suderinamas
Įpurškimas Hydromorphone hydrochloride 10 mg/ml
Įpurškimas Paracetamol 10 mg/ml
4742
Suderinamas
Įpurškimas Hydromorphone hydrochloride 2 mg/ml
Įpurškimas Paracetamol 10 mg/ml
Nėra 3571
Nepatikslintas nesuderinamumas Nesuderinamas
Įpurškimas Hydromorphone hydrochloride
Įpurškimas Parecoxib sodium
3504
Suderinamas
Įpurškimas Hydromorphone hydrochloride 0.5 mg/ml
Įpurškimas Pemetrexed disodium 20 mg/ml
Natrio chloridas 0,9% 1953
Suderinamas
Įpurškimas Hydromorphone hydrochloride 0.2 mg/ml
Įpurškimas Penicillin G potassium 0.1 MUI/ml
Gliukozė 5% 405
Nedelsiant krituliai Nesuderinamas
Įpurškimas Hydromorphone hydrochloride 2 >> 40 mg/ml
Įpurškimas Phenobarbital sodium 120 mg/ml
Gliukozė 5% 226
Suderinamas
Įpurškimas Hydromorphone hydrochloride 0.5 mg/ml
Įpurškimas Phenobarbital sodium 2 mg/ml
Gliukozė 5% 1974
Nedelsiant krituliai Nesuderinamas
Įpurškimas Hydromorphone hydrochloride 2 >> 40 mg/ml
Įpurškimas Phenytoin sodium 50 mg/ml
Gliukozė 5% 226
Krituliai po 1 valandos Nesuderinamas
Įpurškimas Hydromorphone hydrochloride 0.5 mg/ml
Įpurškimas Phenytoin sodium 2 mg/ml
Gliukozė 5% 1974
Suderinamas
Įpurškimas Hydromorphone hydrochloride 0.2 mg/ml
Įpurškimas Piperacillin sodium 60 mg/ml
Gliukozė 5% 405
Suderinamas
Įpurškimas Hydromorphone hydrochloride 0.5 mg/ml
Įpurškimas Piperacillin sodium / tazobactam 40/5 mg/ml
Gliukozė 5% 81
Suderinamas
Įpurškimas Hydromorphone hydrochloride 1 mg/ml
Įpurškimas Plazomicin sulfate 24 mg/ml
Natrio chloridas 0,9% 4145
Suderinamas
Įpurškimas Hydromorphone hydrochloride
Įpurškimas Posaconazole
4380
Suderinamas
Įpurškimas Hydromorphone hydrochloride 25 mg/ml
Įpurškimas Potassium chloride 1000 mEq/l
Vanduo injekcijoms 66
Suderinamas
Įpurškimas Hydromorphone hydrochloride 5 >> 20 mg/ml
Įpurškimas Potassium chloride 500 & 1000 mEq/l
Gliukozė 5% 66
Suderinamas
Įpurškimas Hydromorphone hydrochloride 2 >> 40 mg/ml
Įpurškimas Prochlorperazine edysilate 5 mg/ml
Nėra 1497
Suderinamas
Įpurškimas Hydromorphone hydrochloride 0,5 mg/ml
Įpurškimas Prochlorperazine edysilate 1,5 mg/ml
Natrio chloridas 0,9% 767
Suderinamas
Įpurškimas Hydromorphone hydrochloride 1 mg/ml
Įpurškimas Promethazine hydrochloride 0.3 mg/ml
Natrio chloridas 0,9% 795
Suderinamas
Įpurškimas Hydromorphone hydrochloride 0.5 mg/ml
Įpurškimas Propofol 10 mg/ml
Nėra 300
Suderinamas
Įpurškimas Hydromorphone hydrochloride 1 mg/ml
Įpurškimas Ranitidine hydrochloride 1 mg/ml
314
Suderinamas
Įpurškimas Hydromorphone hydrochloride 2 mg/ml
Įpurškimas Ranitidine hydrochloride 25 mg/ml
Nėra 58
Suderinamas
Įpurškimas Hydromorphone hydrochloride 1 mg/ml
Įpurškimas Remdesivir 1 mg/ml
Natrio chloridas 0,9% 4768
Suderinamas
Įpurškimas Hydromorphone hydrochloride 10 mg/ml
Įpurškimas Salbutamol sulfate 1 mg/ml
Nėra 3216
Krituliai po 30 minučių Nesuderinamas
Įpurškimas Hydromorphone hydrochloride 0.5 mg/ml
Įpurškimas Sargramostim 10 µg/ml
Natrio chloridas 0,9% 335
Suderinamas
Įpurškimas Hydromorphone hydrochloride 0.5 mg/ml
Įpurškimas Scopolamine hydrobromide 0.05 mg/ml
Gliukozė 5% 1974
Suderinamas
Įpurškimas Hydromorphone hydrochloride
Įpurškimas Scopolamine hydrobromide
5073
Suderinamas
Įpurškimas Hydromorphone hydrochloride 0,1 & 1 mg/ml
Įpurškimas Tacrolimus 5 & 20 µg/ml
Gliukozė 5% 814
Suderinamas
Įpurškimas Hydromorphone hydrochloride 1 mg/ml
Įpurškimas Tedizolid phosphate 0.8 mg/ml
Natrio chloridas 0,9% 3827
Suderinamas
Įpurškimas Hydromorphone hydrochloride 0.5 mg/ml
Įpurškimas Teniposide 0.1 mg/ml
Gliukozė 5% 905
Nedelsiant krituliai Nesuderinamas
Įpurškimas Hydromorphone hydrochloride 10 mg/ml
Įpurškimas Thiopental sodium 25 mg/ml
Natrio chloridas 0,9% 3767
Krituliai po 4 valandų Nesuderinamas
Įpurškimas Hydromorphone hydrochloride 1 mg/ml
Įpurškimas Thiopental sodium 25 mg/ml
314
Suderinamas
Įpurškimas Hydromorphone hydrochloride 0.5 mg/ml
Įpurškimas Thiotepa 1 mg/ml
Gliukozė 5% 249
Suderinamas
Įpurškimas Hydromorphone hydrochloride
Natrio chloridas 0,9% 5073
Suderinamas
Įpurškimas Hydromorphone hydrochloride
Įpurškimas Scopolamine N-butyl bromide
5073
Suderinamas
Įpurškimas Hydromorphone hydrochloride 1 mg/ml
Įpurškimas Sulbactam/durlobactam 15/15 mg/ml
Natrio chloridas 0,9% 4801
Suderinamas
Įpurškimas Hydromorphone hydrochloride 0.2 mg/ml
Įpurškimas Tobramycin sulfate 0.8 mg/ml
Gliukozė 5% 405
Suderinamas
Įpurškimas Hydromorphone hydrochloride 0.2 mg/ml
Įpurškimas Vancomycin hydrochloride 5 mg/ml
Gliukozė 5% 405
Suderinamas
Įpurškimas Hydromorphone hydrochloride 2 mg/ml
Įpurškimas Vancomycin hydrochloride 4 mg/ml
Natrio chloridas 0,9% 2335
Suderinamas
Įpurškimas Hydromorphone hydrochloride 1 mg/ml
Įpurškimas Vecuronium bromide 1 mg/ml
314
Suderinamas
Įpurškimas Hydromorphone hydrochloride 0.016 mg/ml
Įpurškimas Verapamil hydrochloride 0.08 mg/ml
Natrio chloridas 0,9% 1057
Suderinamas
Įpurškimas Hydromorphone hydrochloride 0.016 mg/ml
Įpurškimas Verapamil hydrochloride 0.08 mg/ml
Gliukozė 5% 1057
Suderinamas
Įpurškimas Hydromorphone hydrochloride 0.5 mg/ml
Įpurškimas Vinorelbine tartrate 1 mg/ml
Natrio chloridas 0,9% 84

  Mentions Légales