Son güncelleme :
18/03/2026
Analjezik   Hydromorphone hydrochloride  
Enjeksiyon
Çözeltilerin stabilitesi Karışımlardaki stabilitesi Stabiliteyi etkileyen faktörler Uyumluluk Uygulama yöntemi Kaynaklar pdf
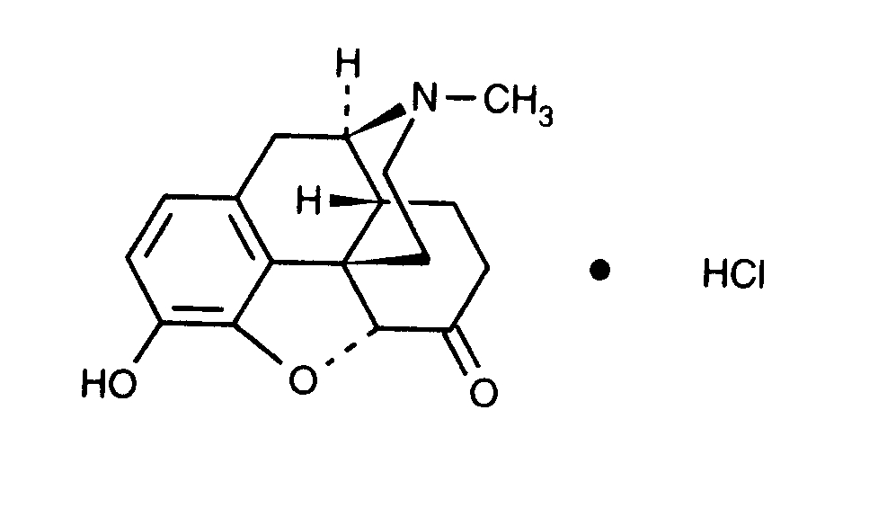
   Kimyasal yapı   

Ticari isim   Ticari isim     

Trade names are indicative and excipients composition can be different depending on the country and manufacturers

Dilaudid Amerika Birleşik Devletleri, Kanada
Hydal Avusturya
Palladon Danimarka, İsviçre
Palladone Büyük Britanya
Uyumluluk   Enjeksiyon    Uyumluluk : Hydromorphone hydrochloride              
Bu ekran, bu durumda uyumsuzluk tipiyle (çökelme, renk değişimi, bir emülsiyonun modifikasyonu, vb.) Uyumlulukları veya uyumsuzlukları gösterir. Burada gösterilen uyumluluklar çoğunlukla yalnızca fizikseldir ve her molekülün kimyasal stabilitesi nadiren değerlendirilir. Bu karışımların değerlendirilmesi, hastaya Y bölgesi uygulama olasılığını göz önünde bulundurmak için çalışıldı. Bu veriler önceden torba veya şırıngalarda karışım yapmak için kullanılamaz. Bu tür bilgiler "Karışımda stabilite" ekranında mevcuttur.
Bileşik Çözücü Kaynaklar
Uyumlu
Enjeksiyon Hydromorphone hydrochloride 0.04 mg/ml
Enjeksiyon Aciclovir sodium 5 mg/ml
Glukoz %5 336
Uyumlu
Enjeksiyon Hydromorphone hydrochloride 0.5 mg/ml
Enjeksiyon Allopurinol sodium 3 mg/ml
Sodyum klorür % 0,9 307
Uyumlu
Enjeksiyon Hydromorphone hydrochloride 0.5 mg/ml
Enjeksiyon Amifostine 10 mg/ml
Glukoz %5 3
Uyumlu
Enjeksiyon Hydromorphone hydrochloride 0.2 mg/ml
Enjeksiyon Amikacin sulfate 5 mg/ml
Glukoz %5 405
Uyumlu
Enjeksiyon Hydromorphone hydrochloride 10 mg/ml
Enjeksiyon Amoxicillin sodium / clavulanic acid 100/10 mg/ml
3824
Uyumlu
Enjeksiyon Hydromorphone hydrochloride 2 >> 40 mg/ml
Enjeksiyon Ampicillin sodium 20 & 250 mg/ml
Glukoz %5 226
Uyumlu
Enjeksiyon Hydromorphone hydrochloride 0.5 mg/ml
Enjeksiyon Amsacrine 1 mg/ml
Glukoz %5 253
Uyumlu
Enjeksiyon Hydromorphone hydrochloride 0.5 mg/ml
Enjeksiyon Anidulafungin 0.5 mg/ml
Glukoz %5 1982
Uyumlu
Enjeksiyon Hydromorphone hydrochloride 0.5 mg/ml
Enjeksiyon Aztreonam 40 mg/ml
Glukoz %5 99
Uyumlu
Enjeksiyon Hydromorphone hydrochloride 0.5 mg/ml
Enjeksiyon Bivalirudin 5 mg/ml
Glukoz %5 1713
Emülsiyonun anında dengesizliği uyumsuz
Enjeksiyon Hydromorphone hydrochloride 0.5 mg/ml
Parenteral beslenme (Lipidler) 1415
Uyumlu
Enjeksiyon Hydromorphone hydrochloride 10 mg/ml
Laktatlı ringer 4603
Bulanıklık kaybı uyumsuz
Enjeksiyon Hydromorphone hydrochloride 0.5 mg/ml
Enjeksiyon Amphotericin B cholesteryl sulfate complex 0.83 mg/ml
Glukoz %5 921
Uyumlu
Enjeksiyon Hydromorphone hydrochloride 0.2 mg/ml
Enjeksiyon Ampicillin sodium 20 mg/ml
Glukoz %5 405
Uyumlu
Enjeksiyon Hydromorphone hydrochloride 0.5 mg/ml
Enjeksiyon Atropine sulfate 0.4 mg/ml
Glukoz %5 1974
Uyumlu
Enjeksiyon Hydromorphone hydrochloride 0,02 & 0,1 mg/ml
Enjeksiyon Bupivacaine hydrochloride 0,625 & 1,25 mg/ml
Sodyum klorür % 0,9 306
Uyumlu
Enjeksiyon Hydromorphone hydrochloride
Glukoz %5 5073
Uyumlu
Enjeksiyon Hydromorphone hydrochloride 0,02 & 0,04 mg/ml
Enjeksiyon Bupivacaine hydrochloride 2,5 mg/ml
Sodyum klorür % 0,9 1931
Uyumlu
Enjeksiyon Hydromorphone hydrochloride 15 mg/ml
Enjeksiyon Bupivacaine hydrochloride 10 mg/ml
Yok 4200
Uyumlu
Enjeksiyon Hydromorphone hydrochloride 2,5 mg/ml
Parenteral beslenme (Lipidler) 4507
Uyumlu
Enjeksiyon Hydromorphone hydrochloride 25 mg/ml
Enjeksiyon Bupivacaine hydrochloride 20 mg/ml
Sodyum klorür % 0,9 3131
Uyumlu
Enjeksiyon Hydromorphone hydrochloride 65 mg/ml
Enjeksiyon Bupivacaine hydrochloride 7,5 mg/ml
Yok 221
Uyumlu
Enjeksiyon Hydromorphone hydrochloride 50 mg/ml
Enjeksiyon Caffeine 10 mg/ml
Yok 3964
Uyumlu
Enjeksiyon Hydromorphone hydrochloride 1 mg/ml
Enjeksiyon Caspofungin acetate 0,7 mg/ml
Sodyum klorür % 0,9 2247
Uyumlu
Enjeksiyon Hydromorphone hydrochloride 1 mg/ml
Enjeksiyon Caspofungin acetate 0.5 mg/ml
Sodyum klorür % 0,9 2233
Uyumlu
Enjeksiyon Hydromorphone hydrochloride 0.2 mg/ml
Enjeksiyon Cefalotin sodium 20 mg/ml
Glukoz %5 405
Uyumlu
Enjeksiyon Hydromorphone hydrochloride 0.2 mg/ml
Enjeksiyon Cefamandole nafate 20 mg/ml
Glukoz %5 405
Uyumlu
Enjeksiyon Hydromorphone hydrochloride 0.2 mg/ml
Enjeksiyon Cefazolin sodium 20 mg/ml
Glukoz %5 405
Uyumlu
Enjeksiyon Hydromorphone hydrochloride 2 >> 40 mg/ml
Enjeksiyon Cefazolin sodium 20 mg/ml
Glukoz %5 226
Acil yağış uyumsuz
Enjeksiyon Hydromorphone hydrochloride 2 >> 40 mg/ml
Enjeksiyon Cefazolin sodium >200 mg/ml
Glukoz %5 226
Uyumlu
Enjeksiyon Hydromorphone hydrochloride 1 mg/ml
Enjeksiyon Cefiderocol sulfate tosylate 20 mg/mL
Sodyum klorür % 0,9 4528
Uyumlu
Enjeksiyon Hydromorphone hydrochloride 1 mg/ml
Enjeksiyon Cefiderocol sulfate tosylate 20 mg/mL
Glukoz %5 4528
Uyumlu
Enjeksiyon Hydromorphone hydrochloride 0.2 mg/ml
Enjeksiyon Cefmetazole sodium 100 mg/ml
Enjeksiyonluk su 93
Uyumlu
Enjeksiyon Hydromorphone hydrochloride 0.2 mg/ml
Enjeksiyon Cefoperazone sodium 20 mg/ml
Glukoz %5 405
Uyumlu
Enjeksiyon Hydromorphone hydrochloride 0.2 mg/ml
Enjeksiyon Ceforanide 20 mg/ml
Glukoz %5 405
Uyumlu
Enjeksiyon Hydromorphone hydrochloride 0.2 mg/ml
Enjeksiyon Cefotaxime sodium 20 mg/ml
Glukoz %5 405
Uyumlu
Enjeksiyon Hydromorphone hydrochloride 0.2 mg/ml
Enjeksiyon Cefoxitin sodium 20 mg/ml
Glukoz %5 405
Uyumlu
Enjeksiyon Hydromorphone hydrochloride 0,5 mg/ml
Enjeksiyon Ceftaroline fosamil 2,22 mg/ml
Laktatlı ringer 3249
Uyumlu
Enjeksiyon Hydromorphone hydrochloride 0,5 mg/ml
Enjeksiyon Ceftaroline fosamil 2,22 mg/ml
Glukoz %5 3249
Uyumlu
Enjeksiyon Hydromorphone hydrochloride 0,5 mg/ml
Enjeksiyon Ceftaroline fosamil 2,22 mg/ml
Sodyum klorür % 0,9 3249
Uyumlu
Enjeksiyon Hydromorphone hydrochloride 2 >> 40 mg/ml
Enjeksiyon Ceftazidime 40 & 180 mg/ml
Glukoz %5 226
Uyumlu
Enjeksiyon Hydromorphone hydrochloride 0.2 mg/ml
Enjeksiyon Ceftizoxime sodium 20 mg/ml
Glukoz %5 405
Acil yağış uyumsuz
Enjeksiyon Hydromorphone hydrochloride 1 mg/ml
Enjeksiyon Ceftobiprole medocaril sodium 2 mg/ml
Sodyum klorür % 0,9 2269
Acil yağış uyumsuz
Enjeksiyon Hydromorphone hydrochloride 1 mg/ml
Enjeksiyon Ceftobiprole medocaril sodium 2 mg/ml
Laktatlı ringer 2269
Belirtilmemiş uyumsuzluk uyumsuz
Enjeksiyon Hydromorphone hydrochloride
Enjeksiyon Ceftobiprole medocaril sodium
4650
Acil yağış uyumsuz
Enjeksiyon Hydromorphone hydrochloride 1 mg/ml
Enjeksiyon Ceftobiprole medocaril sodium 2 mg/ml
Glukoz %5 2269
Uyumlu
Enjeksiyon Hydromorphone hydrochloride 1 mg/ml
Enjeksiyon Ceftolozane / tazobactam 10/5 mg/ml
Glukoz %5 3828
Uyumlu
Enjeksiyon Hydromorphone hydrochloride 1 mg/ml
Enjeksiyon Ceftolozane / tazobactam 10/5 mg/ml
Sodyum klorür % 0,9 3828
Uyumlu
Enjeksiyon Hydromorphone hydrochloride 0.2 mg/ml
Enjeksiyon Cefuroxime sodium 30 mg/ml
Glukoz %5 405
Uyumlu
Enjeksiyon Hydromorphone hydrochloride 0.2 mg/ml
Enjeksiyon Chloramphenicol sodium succinate 20 mg/ml
Glukoz %5 405
Uyumlu
Enjeksiyon Hydromorphone hydrochloride 0.5 mg/ml
Enjeksiyon Cisatracurium besylate 0.1 >> 5 mg/ml
Glukoz %5 299
Uyumlu
Enjeksiyon Hydromorphone hydrochloride 0.5 mg/ml
Enjeksiyon Cladribine 0.015 mg/ml
Sodyum klorür % 0,9 1496
Uyumlu
Enjeksiyon Hydromorphone hydrochloride 0.5 mg/ml
Enjeksiyon Cladribine 0.5 mg/ml
NaCl %0,9 + antibakteriyel 1496
Uyumlu
Enjeksiyon Hydromorphone hydrochloride 10 mg/ml
Enjeksiyon Cloxacillin sodium 100 mg/ml
Enjeksiyonluk su 3012
Uyumlu
Enjeksiyon Hydromorphone hydrochloride 0.2 mg/ml
Enjeksiyon Co-trimoxazole 4/0.8 mg/ml
Glukoz %5 405
Uyumlu
Enjeksiyon Hydromorphone hydrochloride < 10 mg/ml
Enjeksiyon Dexamethasone sodium phosphate 2 >> 10 mg/ml
389
Uyumlu
Enjeksiyon Hydromorphone hydrochloride 0.5 mg/ml
Enjeksiyon Dexamethasone sodium phosphate 1 mg/ml
Glukoz %5 1974
Uyumlu
Enjeksiyon Hydromorphone hydrochloride 1 >> 40 mg/ml
Enjeksiyon Dexamethasone sodium phosphate < 2 mg/ml
389
Uyumlu
Enjeksiyon Hydromorphone hydrochloride 0.5 mg/ml
Enjeksiyon Dexmedetomidine 4 µg/ml
Sodyum klorür % 0,9 1712
2 saat sonra yağış uyumsuz
Enjeksiyon Hydromorphone hydrochloride
Enjeksiyon Dimenhydrinate
2087
Uyumlu
Enjeksiyon Hydromorphone hydrochloride 0.5 mg/ml
Parenteral beslenme (ikili karışım) 301
Uyumlu
Enjeksiyon Hydromorphone hydrochloride 2 mg/ml
Enjeksiyon Cimetidine hydrochloride 150 mg/ml
1438
Uyumlu
Enjeksiyon Hydromorphone hydrochloride 0.2 mg/ml
Enjeksiyon Clindamycin phosphate 12 mg/ml
Glukoz %5 405
Acil yağış uyumsuz
Enjeksiyon Hydromorphone hydrochloride 2 >> 40 mg/ml
Enjeksiyon Cloxacillin sodium 40 & 250 mg/ml
Glukoz %5 226
Acil yağış uyumsuz
Enjeksiyon Hydromorphone hydrochloride
Enjeksiyon Cyclizine lactate
5073
Uyumlu
Enjeksiyon Hydromorphone hydrochloride
Enjeksiyon Dexamethasone sodium phosphate
5073
Acil yağış uyumsuz
Enjeksiyon Hydromorphone hydrochloride > 15 mg/ml
Enjeksiyon Dexamethasone sodium phosphate > 3 mg/ml
389
Uyumlu
Enjeksiyon Hydromorphone hydrochloride 0.5 mg/ml
Enjeksiyon Diazepam 0.5 mg/ml
Glukoz %5 1974
Acil yağış uyumsuz
Enjeksiyon Hydromorphone hydrochloride 2 >> 40 mg/ml
Enjeksiyon Diazepam 5 mg/ml
Glukoz %5 226
Uyumlu
Enjeksiyon Hydromorphone hydrochloride 1 mg/ml
Enjeksiyon Diltiazem hydrochloride 1 mg/ml
314
Uyumlu
Enjeksiyon Hydromorphone hydrochloride 2 >> 40 mg/ml
Enjeksiyon Dimenhydrinate 50 mg/ml
Yok 1497
Uyumlu
Enjeksiyon Hydromorphone hydrochloride 0.5 mg/ml
Enjeksiyon Diphenhydramine hydrochloride 2 mg/ml
Glukoz %5 1974
Uyumlu
Enjeksiyon Hydromorphone hydrochloride 1 mg/ml
Enjeksiyon Dobutamine hydrochloride 4 mg/ml
314
Uyumlu
Enjeksiyon Hydromorphone hydrochloride 0.5 mg/ml
Enjeksiyon Docetaxel 0.9 mg/ml
Glukoz %5 1754
Uyumlu
Enjeksiyon Hydromorphone hydrochloride 1 mg/ml
Enjeksiyon Dopamine hydrochloride 3.2 mg/ml
314
Uyumlu
Enjeksiyon Hydromorphone hydrochloride 1 mg/ml
Enjeksiyon Doripenem 5 mg/ml
Glukoz %5 2262
Uyumlu
Enjeksiyon Hydromorphone hydrochloride 1 mg/ml
Enjeksiyon Doripenem 5 mg/ml
Sodyum klorür % 0,9 2262
Uyumlu
Enjeksiyon Hydromorphone hydrochloride 0.5 mg/ml
Enjeksiyon Doxorubicin hydrochloride liposome peg 0.4 mg/ml
Glukoz %5 251
Uyumlu
Enjeksiyon Hydromorphone hydrochloride 0.2 mg/ml
Enjeksiyon Doxycycline hyclate 1 mg/ml
Glukoz %5 405
Uyumlu
Enjeksiyon Hydromorphone hydrochloride 1 mg/ml
Enjeksiyon Epinephrine hydrochloride 20 µg/ml
314
Uyumlu
Enjeksiyon Hydromorphone hydrochloride 1 mg/ml
Enjeksiyon Eravacycline 0,6 mg/ml
Sodyum klorür % 0,9 4434
Uyumlu
Enjeksiyon Hydromorphone hydrochloride 0.2 mg/ml
Enjeksiyon Erythromycin lactobionate 5 mg/ml
Glukoz %5 405
Uyumlu
Enjeksiyon Hydromorphone hydrochloride 0.5 mg/ml
Enjeksiyon Etoposide phosphate 5 mg/ml
Glukoz %5 1410
Uyumlu
Enjeksiyon Hydromorphone hydrochloride 0.5 mg/ml
Enjeksiyon Famotidine 2 mg/ml
Sodyum klorür % 0,9 215
Uyumlu
Enjeksiyon Hydromorphone hydrochloride 0.5 mg/ml
Enjeksiyon Fenoldopam mesylate 80 µg/ml
Sodyum klorür % 0,9 1803
Uyumlu
Enjeksiyon Hydromorphone hydrochloride 1 mg/ml
Enjeksiyon Fentanyl citrate 50 µg/ml
314
Uyumlu
Enjeksiyon Hydromorphone hydrochloride 0.5 mg/ml
Enjeksiyon Filgrastim 30 µg/ml
Glukoz %5 244
Uyumlu
Enjeksiyon Hydromorphone hydrochloride 0.5 mg/ml
Enjeksiyon Fludarabine phosphate 1 mg/ml
Glukoz %5 492
Uyumlu
Enjeksiyon Hydromorphone hydrochloride 0.5 mg/ml
Enjeksiyon Fluorouracil 1 & 16 mg/ml
Glukoz %5 513
Uyumlu
Enjeksiyon Hydromorphone hydrochloride 0.5 mg/ml
Enjeksiyon Fluorouracil 1 & 16 mg/ml
Sodyum klorür % 0,9 513
Uyumlu
Enjeksiyon Hydromorphone hydrochloride 10 mg/ml
Enjeksiyon Foscarnet sodium 24 mg/ml
Yok 73
Uyumlu
Enjeksiyon Hydromorphone hydrochloride 1 mg/ml
Enjeksiyon Fosfomycin 30 mg/ml
Glukoz %5 4055
Uyumlu
Enjeksiyon Hydromorphone hydrochloride 1 mg/ml
Enjeksiyon Fosfomycin 30 mg/ml
Sodyum klorür % 0,9 4055
Uyumlu
Enjeksiyon Hydromorphone hydrochloride 1 mg/ml
Enjeksiyon Furosemide 10 mg/ml
314
24 saat içinde bulanıklık uyumsuz
Enjeksiyon Hydromorphone hydrochloride 4 mg/ml
Enjeksiyon Gallium nitrate 1 mg/ml
Sodyum klorür % 0,9 91
Uyumlu
Enjeksiyon Hydromorphone hydrochloride 0.5 mg/ml
Enjeksiyon Gemcitabine hydrochloride 10 mg/ml
Sodyum klorür % 0,9 1423
Uyumlu
Enjeksiyon Hydromorphone hydrochloride 0.2 mg/ml
Enjeksiyon Gentamicin sulfate 0.8 mg/ml
Glukoz %5 405
Uyumlu
Enjeksiyon Hydromorphone hydrochloride
Enjeksiyon Glycopyrronium bromide
5073
Uyumlu
Enjeksiyon Hydromorphone hydrochloride 0.5 mg/ml
Enjeksiyon Granisetron hydrochloride 0.056 mg/ml
Sodyum klorür % 0,9 6
Uyumlu
Enjeksiyon Hydromorphone hydrochloride 0.5 mg/ml
Enjeksiyon Granisetron hydrochloride 1 mg/ml
Sodyum klorür % 0,9 57
Uyumlu
Enjeksiyon Hydromorphone hydrochloride 0.5 mg/ml
Enjeksiyon Granisetron hydrochloride 0.05 mg/ml
Glukoz %5 182
Uyumlu
Enjeksiyon Hydromorphone hydrochloride 10 mg/ml
Enjeksiyon Haloperidol lactate 1 mg/ml
Yok 216
Uyumlu
Enjeksiyon Hydromorphone hydrochloride 10 mg/ml
Enjeksiyon Haloperidol lactate 5 mg/ml
Yok 216
Uyumlu
Enjeksiyon Hydromorphone hydrochloride 1 mg/ml
Enjeksiyon Haloperidol lactate 5 mg/ml
Yok 216
Uyumlu
Enjeksiyon Hydromorphone hydrochloride 1 mg/ml
Enjeksiyon Haloperidol lactate 2 mg/ml
Yok 216
Uyumlu
Enjeksiyon Hydromorphone hydrochloride 1 mg/ml
Enjeksiyon Haloperidol lactate 1 mg/ml
Yok 216
Uyumlu
Enjeksiyon Hydromorphone hydrochloride 0.5 mg/ml
Enjeksiyon Haloperidol lactate 0.2 mg/ml
Glukoz %5 1974
Uyumlu
Enjeksiyon Hydromorphone hydrochloride
Enjeksiyon Haloperidol lactate
5073
Uyumlu
Enjeksiyon Hydromorphone hydrochloride 10 mg/ml
Enjeksiyon Haloperidol lactate 2 mg/ml
Yok 216
Uyumlu
Enjeksiyon Hydromorphone hydrochloride <12.5 mg/ml
Enjeksiyon Heparin sodium
Enjeksiyonluk su 66
Uyumlu
Enjeksiyon Hydromorphone hydrochloride <12.5 mg/ml
Enjeksiyon Heparin sodium
Sodyum klorür % 0,9 66
Uyumlu
Enjeksiyon Hydromorphone hydrochloride 1 mg/ml
Enjeksiyon Heparin sodium 100 UI/ml
314
Acil yağış uyumsuz
Enjeksiyon Hydromorphone hydrochloride >25 mg/ml
Enjeksiyon Heparin sodium <12,5 UI/ml
Enjeksiyonluk su 66
Acil yağış uyumsuz
Enjeksiyon Hydromorphone hydrochloride >10 mg/ml
Enjeksiyon Heparin sodium <1 UI/ml
Enjeksiyonluk su 66
Acil yağış uyumsuz
Enjeksiyon Hydromorphone hydrochloride >25 mg/ml
Enjeksiyon Heparin sodium <12,5 UI/ml
Sodyum klorür % 0,9 66
Uyumlu
Enjeksiyon Hydromorphone hydrochloride 0.5 mg/ml
Enjeksiyon Hetastarch 60 mg/ml
çözücü Özgül 1721
Kimyasal kararsızlık uyumsuz
Enjeksiyon Hydromorphone hydrochloride 2 >> 40 mg/ml
Enjeksiyon Hyaluronidase 150 UI/ml
Glukoz %5 9
Uyumlu
Enjeksiyon Hydromorphone hydrochloride
Enjeksiyon Hyaluronidase
3184
Kimyasal kararsızlık uyumsuz
Enjeksiyon Hydromorphone hydrochloride 2 >> 40 mg/ml
Enjeksiyon Hyaluronidase 150 UI/ml
Sodyum klorür % 0,9 9
Uyumlu
Enjeksiyon Hydromorphone hydrochloride 0.5 mg/ml
Enjeksiyon Hydroxyzine dihydrochloride 4 mg/ml
Glukoz %5 1974
Uyumlu
Enjeksiyon Hydromorphone hydrochloride 1 mg/ml
Enjeksiyon Isavuconazonium sulfate 1.5 mg/ml
Sodyum klorür % 0,9 3829
Uyumlu
Enjeksiyon Hydromorphone hydrochloride 1 mg/ml
Enjeksiyon Isavuconazonium sulfate 1.5 mg/ml
Glukoz %5 3829
Uyumlu
Enjeksiyon Hydromorphone hydrochloride 0.2 mg/ml
Enjeksiyon Kanamycin sulfate 2.5 mg/ml
Glukoz %5 405
Uyumlu
Enjeksiyon Hydromorphone hydrochloride
Enjeksiyon Ketamine hydrochloride
5073
Uyumlu
Enjeksiyon Hydromorphone hydrochloride 0.2 mg/ml
Enjeksiyon Ketamine hydrochloride 0.2 >> 1 mg/ml
Sodyum klorür % 0,9 2336
Uyumlu
Enjeksiyon Hydromorphone hydrochloride 0.5 mg/ml
Enjeksiyon Ketorolac tromethamine 1 mg/ml
Glukoz %5 1974
Uyumlu
Enjeksiyon Hydromorphone hydrochloride 10 mg/ml
Enjeksiyon Ketorolac tromethamine 15 mg/ml
Yok 216
Uyumlu
Enjeksiyon Hydromorphone hydrochloride 1 mg/ml
Enjeksiyon Ketorolac tromethamine 30 mg/ml
Yok 216
Uyumlu
Enjeksiyon Hydromorphone hydrochloride 1 mg/ml
Enjeksiyon Ketorolac tromethamine 15 mg/ml
Yok 216
Acil yağış uyumsuz
Enjeksiyon Hydromorphone hydrochloride 10 mg/ml
Enjeksiyon Ketorolac tromethamine 30 mg/ml
Yok 216
Uyumlu
Enjeksiyon Hydromorphone hydrochloride 1 mg/ml
Enjeksiyon Labetalol hydrochloride 2 mg/ml
314
1 saat sonra yağış uyumsuz
Enjeksiyon Hydromorphone hydrochloride 0.5 mg/ml
Enjeksiyon Lansoprazole 0.55 mg/ml
Sodyum klorür % 0,9 1625
Uyumlu
Enjeksiyon Hydromorphone hydrochloride 2 mg/ml
Enjeksiyon Levofloxacine 5 mg/ml
Yok 2335
Uyumlu
Enjeksiyon Hydromorphone hydrochloride
Enjeksiyon Levomepromazine
5073
Uyumlu
Enjeksiyon Hydromorphone hydrochloride 10 mg/ml
Enjeksiyon Levosimendan 2,5 mg/ml
4389
Uyumlu
Enjeksiyon Hydromorphone hydrochloride 0.5 mg/ml
Enjeksiyon Linezolid 2 mg/ml
Yok 1925
Uyumlu
Enjeksiyon Hydromorphone hydrochloride 0.5 mg/ml
Enjeksiyon Lorazepam 0.1 mg/ml
Glukoz %5 1974
Uyumlu
Enjeksiyon Hydromorphone hydrochloride 2 >> 40 mg/ml
Enjeksiyon Lorazepam 4 mg/ml
Yok 1497
Uyumlu
Enjeksiyon Hydromorphone hydrochloride 1 mg/ml
Enjeksiyon Lorazepam 0.5 mg/ml
314
Uyumlu
Enjeksiyon Hydromorphone hydrochloride 2 mg/ml
Enjeksiyon Magnesium sulfate 16,67 >> 100 mg/ml
Glukoz %5 517
Uyumlu
Enjeksiyon Hydromorphone hydrochloride 0.5 mg/ml
Enjeksiyon Melphalan 0.1 mg/ml
Sodyum klorür % 0,9 169
Uyumlu
Enjeksiyon Hydromorphone hydrochloride 10 mg/ml
Enjeksiyon Meropenem 50 mg/ml
Enjeksiyonluk su 4319
Kimyasal kararsızlık uyumsuz
Enjeksiyon Hydromorphone hydrochloride
Enjeksiyon Metamizol sodium
2364
Uyumlu
Enjeksiyon Hydromorphone hydrochloride
Enjeksiyon Metoclopramide hydrochloride
5073
Uyumlu
Enjeksiyon Hydromorphone hydrochloride 0.5 mg/ml
Enjeksiyon Metoclopramide hydrochloride 5 mg/ml
Glukoz %5 1974
Uyumlu
Enjeksiyon Hydromorphone hydrochloride 0.2 mg/ml
Enjeksiyon Metronidazole 5 mg/ml
Glukoz %5 405
Uyumlu
Enjeksiyon Hydromorphone hydrochloride 0.5 mg/ml
Enjeksiyon Micafungin 1.5 mg/ml
Sodyum klorür % 0,9 2108
Uyumlu
Enjeksiyon Hydromorphone hydrochloride
Enjeksiyon Midazolam hydrochloride
5073
Uyumlu
Enjeksiyon Hydromorphone hydrochloride 0.5 mg/ml
Enjeksiyon Midazolam hydrochloride 0.2 mg/ml
Glukoz %5 1974
Uyumlu
Enjeksiyon Hydromorphone hydrochloride 0.5 >> 45 mg/ml
Enjeksiyon Midazolam hydrochloride 0.1 >> 4.5 mg/ml
Glukoz %5 345
Uyumlu
Enjeksiyon Hydromorphone hydrochloride 1 mg/ml
Enjeksiyon Midazolam hydrochloride 2 mg/ml
314
Uyumlu
Enjeksiyon Hydromorphone hydrochloride 0.5 >> 45 mg/ml
Enjeksiyon Midazolam hydrochloride 0.1 >> 4.5 mg/ml
Sodyum klorür % 0,9 345
Uyumlu
Enjeksiyon Hydromorphone hydrochloride 1 mg/ml
Enjeksiyon Milrinone lactate 0.2 mg/ml
314
1 saat sonra renk değişimi uyumsuz
Enjeksiyon Hydromorphone hydrochloride 0.2 mg/ml
Enjeksiyon Minocycline hydrochloride 0.2 mg/ml
Glukoz %5 405
Uyumlu
Enjeksiyon Hydromorphone hydrochloride 1 mg/ml
Enjeksiyon Morphine sulfate 2 mg/ml
314
Uyumlu
Enjeksiyon Hydromorphone hydrochloride 0.2 mg/ml
Enjeksiyon Moxalactam 20 mg/ml
Glukoz %5 405
Uyumlu
Enjeksiyon Hydromorphone hydrochloride 0.2 mg/ml
Enjeksiyon Nafcillin sodium 20 mg/ml
Glukoz %5 405
Uyumlu
Enjeksiyon Hydromorphone hydrochloride 10 mg/ml
Enjeksiyon Naloxone hydrochloride 0.4 mg/ml
Yok 3408
Uyumlu
Enjeksiyon Hydromorphone hydrochloride 1 mg/ml
Enjeksiyon Nicardipine hydrochloride 1 mg/ml
314
Uyumlu
Enjeksiyon Hydromorphone hydrochloride 1 mg/ml
Enjeksiyon Nitroglycerin 0.4 mg/ml
314
Uyumlu
Enjeksiyon Hydromorphone hydrochloride 1 mg/ml
Enjeksiyon Norepinephrine bitartrate 0.128 mg/ml
314
Uyumlu
Enjeksiyon Hydromorphone hydrochloride 0,5 mg/ml
Enjeksiyon Ondansetron hydrochloride 0,1 & 1 mg/ml
Sodyum klorür % 0,9 6
Uyumlu
Enjeksiyon Hydromorphone hydrochloride 0.5 mg/ml
Enjeksiyon Ondansetron hydrochloride 1 mg/ml
Sodyum klorür % 0,9 334
Uyumlu
Enjeksiyon Hydromorphone hydrochloride 0.2 mg/ml
Enjeksiyon Oxacillin sodium 20 mg/ml
Glukoz %5 405
Uyumlu
Enjeksiyon Hydromorphone hydrochloride 0,5 mg/ml
Enjeksiyon Oxaliplatin 0,5 mg/ml
Glukoz %5 1662
Uyumlu
Enjeksiyon Hydromorphone hydrochloride 0.5 mg/ml
Enjeksiyon Paclitaxel 1.2 mg/ml
Glukoz %5 248
Uyumlu
Enjeksiyon Hydromorphone hydrochloride 0.5 mg/ml
Enjeksiyon Palonosetron hydrochloride 50 µg/ml
Glukoz %5 2196
4 saat sonra yağış uyumsuz
Enjeksiyon Hydromorphone hydrochloride
Enjeksiyon Pantoprazole sodium
2090
Uyumlu
Enjeksiyon Hydromorphone hydrochloride 10 mg/ml
Enjeksiyon Paracetamol 10 mg/ml
4742
Uyumlu
Enjeksiyon Hydromorphone hydrochloride 2 mg/ml
Enjeksiyon Paracetamol 10 mg/ml
Yok 3571
Belirtilmemiş uyumsuzluk uyumsuz
Enjeksiyon Hydromorphone hydrochloride
Enjeksiyon Parecoxib sodium
3504
Uyumlu
Enjeksiyon Hydromorphone hydrochloride 0.5 mg/ml
Enjeksiyon Pemetrexed disodium 20 mg/ml
Sodyum klorür % 0,9 1953
Uyumlu
Enjeksiyon Hydromorphone hydrochloride 0.2 mg/ml
Enjeksiyon Penicillin G potassium 0.1 MUI/ml
Glukoz %5 405
Acil yağış uyumsuz
Enjeksiyon Hydromorphone hydrochloride 2 >> 40 mg/ml
Enjeksiyon Phenobarbital sodium 120 mg/ml
Glukoz %5 226
Uyumlu
Enjeksiyon Hydromorphone hydrochloride 0.5 mg/ml
Enjeksiyon Phenobarbital sodium 2 mg/ml
Glukoz %5 1974
Acil yağış uyumsuz
Enjeksiyon Hydromorphone hydrochloride 2 >> 40 mg/ml
Enjeksiyon Phenytoin sodium 50 mg/ml
Glukoz %5 226
1 saat sonra yağış uyumsuz
Enjeksiyon Hydromorphone hydrochloride 0.5 mg/ml
Enjeksiyon Phenytoin sodium 2 mg/ml
Glukoz %5 1974
Uyumlu
Enjeksiyon Hydromorphone hydrochloride 0.2 mg/ml
Enjeksiyon Piperacillin sodium 60 mg/ml
Glukoz %5 405
Uyumlu
Enjeksiyon Hydromorphone hydrochloride 0.5 mg/ml
Enjeksiyon Piperacillin sodium / tazobactam 40/5 mg/ml
Glukoz %5 81
Uyumlu
Enjeksiyon Hydromorphone hydrochloride 1 mg/ml
Enjeksiyon Plazomicin sulfate 24 mg/ml
Sodyum klorür % 0,9 4145
Uyumlu
Enjeksiyon Hydromorphone hydrochloride
Enjeksiyon Posaconazole
4380
Uyumlu
Enjeksiyon Hydromorphone hydrochloride 25 mg/ml
Enjeksiyon Potassium chloride 1000 mEq/l
Enjeksiyonluk su 66
Uyumlu
Enjeksiyon Hydromorphone hydrochloride 5 >> 20 mg/ml
Enjeksiyon Potassium chloride 500 & 1000 mEq/l
Glukoz %5 66
Uyumlu
Enjeksiyon Hydromorphone hydrochloride 2 >> 40 mg/ml
Enjeksiyon Prochlorperazine edysilate 5 mg/ml
Yok 1497
Uyumlu
Enjeksiyon Hydromorphone hydrochloride 0,5 mg/ml
Enjeksiyon Prochlorperazine edysilate 1,5 mg/ml
Sodyum klorür % 0,9 767
Uyumlu
Enjeksiyon Hydromorphone hydrochloride 1 mg/ml
Enjeksiyon Promethazine hydrochloride 0.3 mg/ml
Sodyum klorür % 0,9 795
Uyumlu
Enjeksiyon Hydromorphone hydrochloride 0.5 mg/ml
Enjeksiyon Propofol 10 mg/ml
Yok 300
Uyumlu
Enjeksiyon Hydromorphone hydrochloride 1 mg/ml
Enjeksiyon Ranitidine hydrochloride 1 mg/ml
314
Uyumlu
Enjeksiyon Hydromorphone hydrochloride 2 mg/ml
Enjeksiyon Ranitidine hydrochloride 25 mg/ml
Yok 58
Uyumlu
Enjeksiyon Hydromorphone hydrochloride 1 mg/ml
Enjeksiyon Remdesivir 1 mg/ml
Sodyum klorür % 0,9 4768
Uyumlu
Enjeksiyon Hydromorphone hydrochloride 10 mg/ml
Enjeksiyon Salbutamol sulfate 1 mg/ml
Yok 3216
30 dakika sonra yağış uyumsuz
Enjeksiyon Hydromorphone hydrochloride 0.5 mg/ml
Enjeksiyon Sargramostim 10 µg/ml
Sodyum klorür % 0,9 335
Uyumlu
Enjeksiyon Hydromorphone hydrochloride 0.5 mg/ml
Enjeksiyon Scopolamine hydrobromide 0.05 mg/ml
Glukoz %5 1974
Uyumlu
Enjeksiyon Hydromorphone hydrochloride
Enjeksiyon Scopolamine hydrobromide
5073
Uyumlu
Enjeksiyon Hydromorphone hydrochloride 0,1 & 1 mg/ml
Enjeksiyon Tacrolimus 5 & 20 µg/ml
Glukoz %5 814
Uyumlu
Enjeksiyon Hydromorphone hydrochloride 1 mg/ml
Enjeksiyon Tedizolid phosphate 0.8 mg/ml
Sodyum klorür % 0,9 3827
Uyumlu
Enjeksiyon Hydromorphone hydrochloride 0.5 mg/ml
Enjeksiyon Teniposide 0.1 mg/ml
Glukoz %5 905
Acil yağış uyumsuz
Enjeksiyon Hydromorphone hydrochloride 10 mg/ml
Enjeksiyon Thiopental sodium 25 mg/ml
Sodyum klorür % 0,9 3767
4 saat sonra yağış uyumsuz
Enjeksiyon Hydromorphone hydrochloride 1 mg/ml
Enjeksiyon Thiopental sodium 25 mg/ml
314
Uyumlu
Enjeksiyon Hydromorphone hydrochloride 0.5 mg/ml
Enjeksiyon Thiotepa 1 mg/ml
Glukoz %5 249
Uyumlu
Enjeksiyon Hydromorphone hydrochloride
Sodyum klorür % 0,9 5073
Uyumlu
Enjeksiyon Hydromorphone hydrochloride
Enjeksiyon Scopolamine N-butyl bromide
5073
Uyumlu
Enjeksiyon Hydromorphone hydrochloride 1 mg/ml
Enjeksiyon Sulbactam/durlobactam 15/15 mg/ml
Sodyum klorür % 0,9 4801
Uyumlu
Enjeksiyon Hydromorphone hydrochloride 0.2 mg/ml
Enjeksiyon Tobramycin sulfate 0.8 mg/ml
Glukoz %5 405
Uyumlu
Enjeksiyon Hydromorphone hydrochloride 0.2 mg/ml
Enjeksiyon Vancomycin hydrochloride 5 mg/ml
Glukoz %5 405
Uyumlu
Enjeksiyon Hydromorphone hydrochloride 2 mg/ml
Enjeksiyon Vancomycin hydrochloride 4 mg/ml
Sodyum klorür % 0,9 2335
Uyumlu
Enjeksiyon Hydromorphone hydrochloride 1 mg/ml
Enjeksiyon Vecuronium bromide 1 mg/ml
314
Uyumlu
Enjeksiyon Hydromorphone hydrochloride 0.016 mg/ml
Enjeksiyon Verapamil hydrochloride 0.08 mg/ml
Sodyum klorür % 0,9 1057
Uyumlu
Enjeksiyon Hydromorphone hydrochloride 0.016 mg/ml
Enjeksiyon Verapamil hydrochloride 0.08 mg/ml
Glukoz %5 1057
Uyumlu
Enjeksiyon Hydromorphone hydrochloride 0.5 mg/ml
Enjeksiyon Vinorelbine tartrate 1 mg/ml
Sodyum klorür % 0,9 84

  Mentions Légales