最新更新 :
18/03/2026
止痛药   Hydromorphone hydrochloride  
注射液
溶液稳定性 混合物稳定性 影响稳定性的因素 兼容性 用药途径 引用文献 PDF
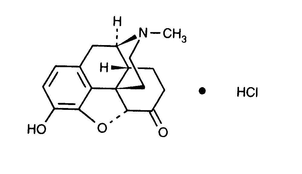
   化学式  

商品名   商品名     

商品名仅供参考, 药品所用的辅料可能依国家或厂商不同有所不同。

Dilaudid 加拿大, 美国
Hydal 奥地利
Palladon 丹麦, 瑞士
Palladone 英国
兼容性   注射液   兼容性 : Hydromorphone hydrochloride              
This screen indicates the compatibilities or incompatibilities with, in this case, the type of incompatibility (precipitation, color change, modification of an emulsion, etc.). The compatibilities shown here are mostly physical only, with the chemical stability of each molecule rarely being assessed. The evaluation of these mixtures was studied to consider the possibility of Y-site administration to the patient. These data cannot be used for making mixtures in advance in bags or syringes. This type of information is available in the screen "Stability in mixture ».
分子 溶剂 引用文献
兼容
注射液 Hydromorphone hydrochloride 0.04 mg/ml
注射液 Aciclovir sodium 5 mg/ml
葡萄糖5% 336
兼容
注射液 Hydromorphone hydrochloride 0.5 mg/ml
注射液 Allopurinol sodium 3 mg/ml
NaCl 0,9% 307
兼容
注射液 Hydromorphone hydrochloride 0.5 mg/ml
注射液 Amifostine 10 mg/ml
葡萄糖5% 3
兼容
注射液 Hydromorphone hydrochloride 0.2 mg/ml
注射液 Amikacin sulfate 5 mg/ml
葡萄糖5% 405
兼容
注射液 Hydromorphone hydrochloride 10 mg/ml
注射液 Amoxicillin sodium / clavulanic acid 100/10 mg/ml
3824
兼容
注射液 Hydromorphone hydrochloride 2 >> 40 mg/ml
注射液 Ampicillin sodium 20 & 250 mg/ml
葡萄糖5% 226
兼容
注射液 Hydromorphone hydrochloride 0.5 mg/ml
注射液 Amsacrine 1 mg/ml
葡萄糖5% 253
兼容
注射液 Hydromorphone hydrochloride 0.5 mg/ml
注射液 Anidulafungin 0.5 mg/ml
葡萄糖5% 1982
兼容
注射液 Hydromorphone hydrochloride 0.5 mg/ml
注射液 Aztreonam 40 mg/ml
葡萄糖5% 99
兼容
注射液 Hydromorphone hydrochloride 0.5 mg/ml
注射液 Bivalirudin 5 mg/ml
葡萄糖5% 1713
乳液立即不穩定 不相容
注射液 Hydromorphone hydrochloride 0.5 mg/ml
肠外营养(含脂肪) 1415
兼容
注射液 Hydromorphone hydrochloride 10 mg/ml
Ringer乳酸溶液 4603
濁度損失 不相容
注射液 Hydromorphone hydrochloride 0.5 mg/ml
注射液 Amphotericin B cholesteryl sulfate complex 0.83 mg/ml
葡萄糖5% 921
兼容
注射液 Hydromorphone hydrochloride 0.2 mg/ml
注射液 Ampicillin sodium 20 mg/ml
葡萄糖5% 405
兼容
注射液 Hydromorphone hydrochloride 0.5 mg/ml
注射液 Atropine sulfate 0.4 mg/ml
葡萄糖5% 1974
兼容
注射液 Hydromorphone hydrochloride 0,02 & 0,1 mg/ml
注射液 Bupivacaine hydrochloride 0,625 & 1,25 mg/ml
NaCl 0,9% 306
兼容
注射液 Hydromorphone hydrochloride
葡萄糖5% 5073
兼容
注射液 Hydromorphone hydrochloride 0,02 & 0,04 mg/ml
注射液 Bupivacaine hydrochloride 2,5 mg/ml
NaCl 0,9% 1931
兼容
注射液 Hydromorphone hydrochloride 15 mg/ml
注射液 Bupivacaine hydrochloride 10 mg/ml
无 4200
兼容
注射液 Hydromorphone hydrochloride 2,5 mg/ml
肠外营养(含脂肪) 4507
兼容
注射液 Hydromorphone hydrochloride 25 mg/ml
注射液 Bupivacaine hydrochloride 20 mg/ml
NaCl 0,9% 3131
兼容
注射液 Hydromorphone hydrochloride 65 mg/ml
注射液 Bupivacaine hydrochloride 7,5 mg/ml
无 221
兼容
注射液 Hydromorphone hydrochloride 50 mg/ml
注射液 Caffeine 10 mg/ml
无 3964
兼容
注射液 Hydromorphone hydrochloride 1 mg/ml
注射液 Caspofungin acetate 0,7 mg/ml
NaCl 0,9% 2247
兼容
注射液 Hydromorphone hydrochloride 1 mg/ml
注射液 Caspofungin acetate 0.5 mg/ml
NaCl 0,9% 2233
兼容
注射液 Hydromorphone hydrochloride 0.2 mg/ml
注射液 Cefalotin sodium 20 mg/ml
葡萄糖5% 405
兼容
注射液 Hydromorphone hydrochloride 0.2 mg/ml
注射液 Cefamandole nafate 20 mg/ml
葡萄糖5% 405
兼容
注射液 Hydromorphone hydrochloride 0.2 mg/ml
注射液 Cefazolin sodium 20 mg/ml
葡萄糖5% 405
兼容
注射液 Hydromorphone hydrochloride 2 >> 40 mg/ml
注射液 Cefazolin sodium 20 mg/ml
葡萄糖5% 226
立即沉澱 不相容
注射液 Hydromorphone hydrochloride 2 >> 40 mg/ml
注射液 Cefazolin sodium >200 mg/ml
葡萄糖5% 226
兼容
注射液 Hydromorphone hydrochloride 1 mg/ml
注射液 Cefiderocol sulfate tosylate 20 mg/mL
NaCl 0,9% 4528
兼容
注射液 Hydromorphone hydrochloride 1 mg/ml
注射液 Cefiderocol sulfate tosylate 20 mg/mL
葡萄糖5% 4528
兼容
注射液 Hydromorphone hydrochloride 0.2 mg/ml
注射液 Cefmetazole sodium 100 mg/ml
注射用水 93
兼容
注射液 Hydromorphone hydrochloride 0.2 mg/ml
注射液 Cefoperazone sodium 20 mg/ml
葡萄糖5% 405
兼容
注射液 Hydromorphone hydrochloride 0.2 mg/ml
注射液 Ceforanide 20 mg/ml
葡萄糖5% 405
兼容
注射液 Hydromorphone hydrochloride 0.2 mg/ml
注射液 Cefotaxime sodium 20 mg/ml
葡萄糖5% 405
兼容
注射液 Hydromorphone hydrochloride 0.2 mg/ml
注射液 Cefoxitin sodium 20 mg/ml
葡萄糖5% 405
兼容
注射液 Hydromorphone hydrochloride 0,5 mg/ml
注射液 Ceftaroline fosamil 2,22 mg/ml
Ringer乳酸溶液 3249
兼容
注射液 Hydromorphone hydrochloride 0,5 mg/ml
注射液 Ceftaroline fosamil 2,22 mg/ml
葡萄糖5% 3249
兼容
注射液 Hydromorphone hydrochloride 0,5 mg/ml
注射液 Ceftaroline fosamil 2,22 mg/ml
NaCl 0,9% 3249
兼容
注射液 Hydromorphone hydrochloride 2 >> 40 mg/ml
注射液 Ceftazidime 40 & 180 mg/ml
葡萄糖5% 226
兼容
注射液 Hydromorphone hydrochloride 0.2 mg/ml
注射液 Ceftizoxime sodium 20 mg/ml
葡萄糖5% 405
立即沉澱 不相容
注射液 Hydromorphone hydrochloride 1 mg/ml
注射液 Ceftobiprole medocaril sodium 2 mg/ml
NaCl 0,9% 2269
立即沉澱 不相容
注射液 Hydromorphone hydrochloride 1 mg/ml
注射液 Ceftobiprole medocaril sodium 2 mg/ml
Ringer乳酸溶液 2269
未指定的不兼容性 不相容
注射液 Hydromorphone hydrochloride
注射液 Ceftobiprole medocaril sodium
4650
立即沉澱 不相容
注射液 Hydromorphone hydrochloride 1 mg/ml
注射液 Ceftobiprole medocaril sodium 2 mg/ml
葡萄糖5% 2269
兼容
注射液 Hydromorphone hydrochloride 1 mg/ml
注射液 Ceftolozane / tazobactam 10/5 mg/ml
葡萄糖5% 3828
兼容
注射液 Hydromorphone hydrochloride 1 mg/ml
注射液 Ceftolozane / tazobactam 10/5 mg/ml
NaCl 0,9% 3828
兼容
注射液 Hydromorphone hydrochloride 0.2 mg/ml
注射液 Cefuroxime sodium 30 mg/ml
葡萄糖5% 405
兼容
注射液 Hydromorphone hydrochloride 0.2 mg/ml
注射液 Chloramphenicol sodium succinate 20 mg/ml
葡萄糖5% 405
兼容
注射液 Hydromorphone hydrochloride 0.5 mg/ml
注射液 Cisatracurium besylate 0.1 >> 5 mg/ml
葡萄糖5% 299
兼容
注射液 Hydromorphone hydrochloride 0.5 mg/ml
注射液 Cladribine 0.015 mg/ml
NaCl 0,9% 1496
兼容
注射液 Hydromorphone hydrochloride 0.5 mg/ml
注射液 Cladribine 0.5 mg/ml
NaCl 0,9%+抗生素 1496
兼容
注射液 Hydromorphone hydrochloride 10 mg/ml
注射液 Cloxacillin sodium 100 mg/ml
注射用水 3012
兼容
注射液 Hydromorphone hydrochloride 0.2 mg/ml
注射液 Co-trimoxazole 4/0.8 mg/ml
葡萄糖5% 405
兼容
注射液 Hydromorphone hydrochloride < 10 mg/ml
注射液 Dexamethasone sodium phosphate 2 >> 10 mg/ml
389
兼容
注射液 Hydromorphone hydrochloride 0.5 mg/ml
注射液 Dexamethasone sodium phosphate 1 mg/ml
葡萄糖5% 1974
兼容
注射液 Hydromorphone hydrochloride 1 >> 40 mg/ml
注射液 Dexamethasone sodium phosphate < 2 mg/ml
389
兼容
注射液 Hydromorphone hydrochloride 0.5 mg/ml
注射液 Dexmedetomidine 4 µg/ml
NaCl 0,9% 1712
2小時後出現沉澱 不相容
注射液 Hydromorphone hydrochloride
注射液 Dimenhydrinate
2087
兼容
注射液 Hydromorphone hydrochloride 0.5 mg/ml
肠外营养(二种混合物) 301
兼容
注射液 Hydromorphone hydrochloride 2 mg/ml
注射液 Cimetidine hydrochloride 150 mg/ml
1438
兼容
注射液 Hydromorphone hydrochloride 0.2 mg/ml
注射液 Clindamycin phosphate 12 mg/ml
葡萄糖5% 405
立即沉澱 不相容
注射液 Hydromorphone hydrochloride 2 >> 40 mg/ml
注射液 Cloxacillin sodium 40 & 250 mg/ml
葡萄糖5% 226
立即沉澱 不相容
注射液 Hydromorphone hydrochloride
注射液 Cyclizine lactate
5073
兼容
注射液 Hydromorphone hydrochloride
注射液 Dexamethasone sodium phosphate
5073
立即沉澱 不相容
注射液 Hydromorphone hydrochloride > 15 mg/ml
注射液 Dexamethasone sodium phosphate > 3 mg/ml
389
兼容
注射液 Hydromorphone hydrochloride 0.5 mg/ml
注射液 Diazepam 0.5 mg/ml
葡萄糖5% 1974
立即沉澱 不相容
注射液 Hydromorphone hydrochloride 2 >> 40 mg/ml
注射液 Diazepam 5 mg/ml
葡萄糖5% 226
兼容
注射液 Hydromorphone hydrochloride 1 mg/ml
注射液 Diltiazem hydrochloride 1 mg/ml
314
兼容
注射液 Hydromorphone hydrochloride 2 >> 40 mg/ml
注射液 Dimenhydrinate 50 mg/ml
无 1497
兼容
注射液 Hydromorphone hydrochloride 0.5 mg/ml
注射液 Diphenhydramine hydrochloride 2 mg/ml
葡萄糖5% 1974
兼容
注射液 Hydromorphone hydrochloride 1 mg/ml
注射液 Dobutamine hydrochloride 4 mg/ml
314
兼容
注射液 Hydromorphone hydrochloride 0.5 mg/ml
注射液 Docetaxel 0.9 mg/ml
葡萄糖5% 1754
兼容
注射液 Hydromorphone hydrochloride 1 mg/ml
注射液 Dopamine hydrochloride 3.2 mg/ml
314
兼容
注射液 Hydromorphone hydrochloride 1 mg/ml
注射液 Doripenem 5 mg/ml
葡萄糖5% 2262
兼容
注射液 Hydromorphone hydrochloride 1 mg/ml
注射液 Doripenem 5 mg/ml
NaCl 0,9% 2262
兼容
注射液 Hydromorphone hydrochloride 0.5 mg/ml
注射液 Doxorubicin hydrochloride liposome peg 0.4 mg/ml
葡萄糖5% 251
兼容
注射液 Hydromorphone hydrochloride 0.2 mg/ml
注射液 Doxycycline hyclate 1 mg/ml
葡萄糖5% 405
兼容
注射液 Hydromorphone hydrochloride 1 mg/ml
注射液 Epinephrine hydrochloride 20 µg/ml
314
兼容
注射液 Hydromorphone hydrochloride 1 mg/ml
注射液 Eravacycline 0,6 mg/ml
NaCl 0,9% 4434
兼容
注射液 Hydromorphone hydrochloride 0.2 mg/ml
注射液 Erythromycin lactobionate 5 mg/ml
葡萄糖5% 405
兼容
注射液 Hydromorphone hydrochloride 0.5 mg/ml
注射液 Etoposide phosphate 5 mg/ml
葡萄糖5% 1410
兼容
注射液 Hydromorphone hydrochloride 0.5 mg/ml
注射液 Famotidine 2 mg/ml
NaCl 0,9% 215
兼容
注射液 Hydromorphone hydrochloride 0.5 mg/ml
注射液 Fenoldopam mesylate 80 µg/ml
NaCl 0,9% 1803
兼容
注射液 Hydromorphone hydrochloride 1 mg/ml
注射液 Fentanyl citrate 50 µg/ml
314
兼容
注射液 Hydromorphone hydrochloride 0.5 mg/ml
注射液 Filgrastim 30 µg/ml
葡萄糖5% 244
兼容
注射液 Hydromorphone hydrochloride 0.5 mg/ml
注射液 Fludarabine phosphate 1 mg/ml
葡萄糖5% 492
兼容
注射液 Hydromorphone hydrochloride 0.5 mg/ml
注射液 Fluorouracil 1 & 16 mg/ml
葡萄糖5% 513
兼容
注射液 Hydromorphone hydrochloride 0.5 mg/ml
注射液 Fluorouracil 1 & 16 mg/ml
NaCl 0,9% 513
兼容
注射液 Hydromorphone hydrochloride 10 mg/ml
注射液 Foscarnet sodium 24 mg/ml
无 73
兼容
注射液 Hydromorphone hydrochloride 1 mg/ml
注射液 Fosfomycin 30 mg/ml
葡萄糖5% 4055
兼容
注射液 Hydromorphone hydrochloride 1 mg/ml
注射液 Fosfomycin 30 mg/ml
NaCl 0,9% 4055
兼容
注射液 Hydromorphone hydrochloride 1 mg/ml
注射液 Furosemide 10 mg/ml
314
24小時內渾濁 不相容
注射液 Hydromorphone hydrochloride 4 mg/ml
注射液 Gallium nitrate 1 mg/ml
NaCl 0,9% 91
兼容
注射液 Hydromorphone hydrochloride 0.5 mg/ml
注射液 Gemcitabine hydrochloride 10 mg/ml
NaCl 0,9% 1423
兼容
注射液 Hydromorphone hydrochloride 0.2 mg/ml
注射液 Gentamicin sulfate 0.8 mg/ml
葡萄糖5% 405
兼容
注射液 Hydromorphone hydrochloride
注射液 Glycopyrronium bromide
5073
兼容
注射液 Hydromorphone hydrochloride 0.5 mg/ml
注射液 Granisetron hydrochloride 0.056 mg/ml
NaCl 0,9% 6
兼容
注射液 Hydromorphone hydrochloride 0.5 mg/ml
注射液 Granisetron hydrochloride 1 mg/ml
NaCl 0,9% 57
兼容
注射液 Hydromorphone hydrochloride 0.5 mg/ml
注射液 Granisetron hydrochloride 0.05 mg/ml
葡萄糖5% 182
兼容
注射液 Hydromorphone hydrochloride 10 mg/ml
注射液 Haloperidol lactate 1 mg/ml
无 216
兼容
注射液 Hydromorphone hydrochloride 10 mg/ml
注射液 Haloperidol lactate 5 mg/ml
无 216
兼容
注射液 Hydromorphone hydrochloride 1 mg/ml
注射液 Haloperidol lactate 5 mg/ml
无 216
兼容
注射液 Hydromorphone hydrochloride 1 mg/ml
注射液 Haloperidol lactate 2 mg/ml
无 216
兼容
注射液 Hydromorphone hydrochloride 1 mg/ml
注射液 Haloperidol lactate 1 mg/ml
无 216
兼容
注射液 Hydromorphone hydrochloride 0.5 mg/ml
注射液 Haloperidol lactate 0.2 mg/ml
葡萄糖5% 1974
兼容
注射液 Hydromorphone hydrochloride
注射液 Haloperidol lactate
5073
兼容
注射液 Hydromorphone hydrochloride 10 mg/ml
注射液 Haloperidol lactate 2 mg/ml
无 216
兼容
注射液 Hydromorphone hydrochloride <12.5 mg/ml
注射液 Heparin sodium
注射用水 66
兼容
注射液 Hydromorphone hydrochloride <12.5 mg/ml
注射液 Heparin sodium
NaCl 0,9% 66
兼容
注射液 Hydromorphone hydrochloride 1 mg/ml
注射液 Heparin sodium 100 UI/ml
314
立即沉澱 不相容
注射液 Hydromorphone hydrochloride >25 mg/ml
注射液 Heparin sodium <12,5 UI/ml
注射用水 66
立即沉澱 不相容
注射液 Hydromorphone hydrochloride >10 mg/ml
注射液 Heparin sodium <1 UI/ml
注射用水 66
立即沉澱 不相容
注射液 Hydromorphone hydrochloride >25 mg/ml
注射液 Heparin sodium <12,5 UI/ml
NaCl 0,9% 66
兼容
注射液 Hydromorphone hydrochloride 0.5 mg/ml
注射液 Hetastarch 60 mg/ml
特定溶液 1721
化學不穩定性 不相容
注射液 Hydromorphone hydrochloride 2 >> 40 mg/ml
注射液 Hyaluronidase 150 UI/ml
葡萄糖5% 9
兼容
注射液 Hydromorphone hydrochloride
注射液 Hyaluronidase
3184
化學不穩定性 不相容
注射液 Hydromorphone hydrochloride 2 >> 40 mg/ml
注射液 Hyaluronidase 150 UI/ml
NaCl 0,9% 9
兼容
注射液 Hydromorphone hydrochloride 0.5 mg/ml
注射液 Hydroxyzine dihydrochloride 4 mg/ml
葡萄糖5% 1974
兼容
注射液 Hydromorphone hydrochloride 1 mg/ml
注射液 Isavuconazonium sulfate 1.5 mg/ml
NaCl 0,9% 3829
兼容
注射液 Hydromorphone hydrochloride 1 mg/ml
注射液 Isavuconazonium sulfate 1.5 mg/ml
葡萄糖5% 3829
兼容
注射液 Hydromorphone hydrochloride 0.2 mg/ml
注射液 Kanamycin sulfate 2.5 mg/ml
葡萄糖5% 405
兼容
注射液 Hydromorphone hydrochloride
注射液 Ketamine hydrochloride
5073
兼容
注射液 Hydromorphone hydrochloride 0.2 mg/ml
注射液 Ketamine hydrochloride 0.2 >> 1 mg/ml
NaCl 0,9% 2336
兼容
注射液 Hydromorphone hydrochloride 0.5 mg/ml
注射液 Ketorolac tromethamine 1 mg/ml
葡萄糖5% 1974
兼容
注射液 Hydromorphone hydrochloride 10 mg/ml
注射液 Ketorolac tromethamine 15 mg/ml
无 216
兼容
注射液 Hydromorphone hydrochloride 1 mg/ml
注射液 Ketorolac tromethamine 30 mg/ml
无 216
兼容
注射液 Hydromorphone hydrochloride 1 mg/ml
注射液 Ketorolac tromethamine 15 mg/ml
无 216
立即沉澱 不相容
注射液 Hydromorphone hydrochloride 10 mg/ml
注射液 Ketorolac tromethamine 30 mg/ml
无 216
兼容
注射液 Hydromorphone hydrochloride 1 mg/ml
注射液 Labetalol hydrochloride 2 mg/ml
314
1小時後析出 不相容
注射液 Hydromorphone hydrochloride 0.5 mg/ml
注射液 Lansoprazole 0.55 mg/ml
NaCl 0,9% 1625
兼容
注射液 Hydromorphone hydrochloride 2 mg/ml
注射液 Levofloxacine 5 mg/ml
无 2335
兼容
注射液 Hydromorphone hydrochloride
注射液 Levomepromazine
5073
兼容
注射液 Hydromorphone hydrochloride 10 mg/ml
注射液 Levosimendan 2,5 mg/ml
4389
兼容
注射液 Hydromorphone hydrochloride 0.5 mg/ml
注射液 Linezolid 2 mg/ml
无 1925
兼容
注射液 Hydromorphone hydrochloride 0.5 mg/ml
注射液 Lorazepam 0.1 mg/ml
葡萄糖5% 1974
兼容
注射液 Hydromorphone hydrochloride 2 >> 40 mg/ml
注射液 Lorazepam 4 mg/ml
无 1497
兼容
注射液 Hydromorphone hydrochloride 1 mg/ml
注射液 Lorazepam 0.5 mg/ml
314
兼容
注射液 Hydromorphone hydrochloride 2 mg/ml
注射液 Magnesium sulfate 16,67 >> 100 mg/ml
葡萄糖5% 517
兼容
注射液 Hydromorphone hydrochloride 0.5 mg/ml
注射液 Melphalan 0.1 mg/ml
NaCl 0,9% 169
兼容
注射液 Hydromorphone hydrochloride 10 mg/ml
注射液 Meropenem 50 mg/ml
注射用水 4319
化學不穩定性 不相容
注射液 Hydromorphone hydrochloride
注射液 Metamizol sodium
2364
兼容
注射液 Hydromorphone hydrochloride
注射液 Metoclopramide hydrochloride
5073
兼容
注射液 Hydromorphone hydrochloride 0.5 mg/ml
注射液 Metoclopramide hydrochloride 5 mg/ml
葡萄糖5% 1974
兼容
注射液 Hydromorphone hydrochloride 0.2 mg/ml
注射液 Metronidazole 5 mg/ml
葡萄糖5% 405
兼容
注射液 Hydromorphone hydrochloride 0.5 mg/ml
注射液 Micafungin 1.5 mg/ml
NaCl 0,9% 2108
兼容
注射液 Hydromorphone hydrochloride
注射液 Midazolam hydrochloride
5073
兼容
注射液 Hydromorphone hydrochloride 0.5 mg/ml
注射液 Midazolam hydrochloride 0.2 mg/ml
葡萄糖5% 1974
兼容
注射液 Hydromorphone hydrochloride 0.5 >> 45 mg/ml
注射液 Midazolam hydrochloride 0.1 >> 4.5 mg/ml
葡萄糖5% 345
兼容
注射液 Hydromorphone hydrochloride 1 mg/ml
注射液 Midazolam hydrochloride 2 mg/ml
314
兼容
注射液 Hydromorphone hydrochloride 0.5 >> 45 mg/ml
注射液 Midazolam hydrochloride 0.1 >> 4.5 mg/ml
NaCl 0,9% 345
兼容
注射液 Hydromorphone hydrochloride 1 mg/ml
注射液 Milrinone lactate 0.2 mg/ml
314
1小時後變色 不相容
注射液 Hydromorphone hydrochloride 0.2 mg/ml
注射液 Minocycline hydrochloride 0.2 mg/ml
葡萄糖5% 405
兼容
注射液 Hydromorphone hydrochloride 1 mg/ml
注射液 Morphine sulfate 2 mg/ml
314
兼容
注射液 Hydromorphone hydrochloride 0.2 mg/ml
注射液 Moxalactam 20 mg/ml
葡萄糖5% 405
兼容
注射液 Hydromorphone hydrochloride 0.2 mg/ml
注射液 Nafcillin sodium 20 mg/ml
葡萄糖5% 405
兼容
注射液 Hydromorphone hydrochloride 10 mg/ml
注射液 Naloxone hydrochloride 0.4 mg/ml
无 3408
兼容
注射液 Hydromorphone hydrochloride 1 mg/ml
注射液 Nicardipine hydrochloride 1 mg/ml
314
兼容
注射液 Hydromorphone hydrochloride 1 mg/ml
注射液 Nitroglycerin 0.4 mg/ml
314
兼容
注射液 Hydromorphone hydrochloride 1 mg/ml
注射液 Norepinephrine bitartrate 0.128 mg/ml
314
兼容
注射液 Hydromorphone hydrochloride 0,5 mg/ml
注射液 Ondansetron hydrochloride 0,1 & 1 mg/ml
NaCl 0,9% 6
兼容
注射液 Hydromorphone hydrochloride 0.5 mg/ml
注射液 Ondansetron hydrochloride 1 mg/ml
NaCl 0,9% 334
兼容
注射液 Hydromorphone hydrochloride 0.2 mg/ml
注射液 Oxacillin sodium 20 mg/ml
葡萄糖5% 405
兼容
注射液 Hydromorphone hydrochloride 0,5 mg/ml
注射液 Oxaliplatin 0,5 mg/ml
葡萄糖5% 1662
兼容
注射液 Hydromorphone hydrochloride 0.5 mg/ml
注射液 Paclitaxel 1.2 mg/ml
葡萄糖5% 248
兼容
注射液 Hydromorphone hydrochloride 0.5 mg/ml
注射液 Palonosetron hydrochloride 50 µg/ml
葡萄糖5% 2196
4小時後出現沉澱 不相容
注射液 Hydromorphone hydrochloride
注射液 Pantoprazole sodium
2090
兼容
注射液 Hydromorphone hydrochloride 10 mg/ml
注射液 Paracetamol 10 mg/ml
4742
兼容
注射液 Hydromorphone hydrochloride 2 mg/ml
注射液 Paracetamol 10 mg/ml
无 3571
未指定的不兼容性 不相容
注射液 Hydromorphone hydrochloride
注射液 Parecoxib sodium
3504
兼容
注射液 Hydromorphone hydrochloride 0.5 mg/ml
注射液 Pemetrexed disodium 20 mg/ml
NaCl 0,9% 1953
兼容
注射液 Hydromorphone hydrochloride 0.2 mg/ml
注射液 Penicillin G potassium 0.1 MUI/ml
葡萄糖5% 405
立即沉澱 不相容
注射液 Hydromorphone hydrochloride 2 >> 40 mg/ml
注射液 Phenobarbital sodium 120 mg/ml
葡萄糖5% 226
兼容
注射液 Hydromorphone hydrochloride 0.5 mg/ml
注射液 Phenobarbital sodium 2 mg/ml
葡萄糖5% 1974
立即沉澱 不相容
注射液 Hydromorphone hydrochloride 2 >> 40 mg/ml
注射液 Phenytoin sodium 50 mg/ml
葡萄糖5% 226
1小時後析出 不相容
注射液 Hydromorphone hydrochloride 0.5 mg/ml
注射液 Phenytoin sodium 2 mg/ml
葡萄糖5% 1974
兼容
注射液 Hydromorphone hydrochloride 0.2 mg/ml
注射液 Piperacillin sodium 60 mg/ml
葡萄糖5% 405
兼容
注射液 Hydromorphone hydrochloride 0.5 mg/ml
注射液 Piperacillin sodium / tazobactam 40/5 mg/ml
葡萄糖5% 81
兼容
注射液 Hydromorphone hydrochloride 1 mg/ml
注射液 Plazomicin sulfate 24 mg/ml
NaCl 0,9% 4145
兼容
注射液 Hydromorphone hydrochloride
注射液 Posaconazole
4380
兼容
注射液 Hydromorphone hydrochloride 25 mg/ml
注射液 Potassium chloride 1000 mEq/l
注射用水 66
兼容
注射液 Hydromorphone hydrochloride 5 >> 20 mg/ml
注射液 Potassium chloride 500 & 1000 mEq/l
葡萄糖5% 66
兼容
注射液 Hydromorphone hydrochloride 2 >> 40 mg/ml
注射液 Prochlorperazine edysilate 5 mg/ml
无 1497
兼容
注射液 Hydromorphone hydrochloride 0,5 mg/ml
注射液 Prochlorperazine edysilate 1,5 mg/ml
NaCl 0,9% 767
兼容
注射液 Hydromorphone hydrochloride 1 mg/ml
注射液 Promethazine hydrochloride 0.3 mg/ml
NaCl 0,9% 795
兼容
注射液 Hydromorphone hydrochloride 0.5 mg/ml
注射液 Propofol 10 mg/ml
无 300
兼容
注射液 Hydromorphone hydrochloride 1 mg/ml
注射液 Ranitidine hydrochloride 1 mg/ml
314
兼容
注射液 Hydromorphone hydrochloride 2 mg/ml
注射液 Ranitidine hydrochloride 25 mg/ml
无 58
兼容
注射液 Hydromorphone hydrochloride 1 mg/ml
注射液 Remdesivir 1 mg/ml
NaCl 0,9% 4768
兼容
注射液 Hydromorphone hydrochloride 10 mg/ml
注射液 Salbutamol sulfate 1 mg/ml
无 3216
30分鐘後析出 不相容
注射液 Hydromorphone hydrochloride 0.5 mg/ml
注射液 Sargramostim 10 µg/ml
NaCl 0,9% 335
兼容
注射液 Hydromorphone hydrochloride 0.5 mg/ml
注射液 Scopolamine hydrobromide 0.05 mg/ml
葡萄糖5% 1974
兼容
注射液 Hydromorphone hydrochloride
注射液 Scopolamine hydrobromide
5073
兼容
注射液 Hydromorphone hydrochloride 0,1 & 1 mg/ml
注射液 Tacrolimus 5 & 20 µg/ml
葡萄糖5% 814
兼容
注射液 Hydromorphone hydrochloride 1 mg/ml
注射液 Tedizolid phosphate 0.8 mg/ml
NaCl 0,9% 3827
兼容
注射液 Hydromorphone hydrochloride 0.5 mg/ml
注射液 Teniposide 0.1 mg/ml
葡萄糖5% 905
立即沉澱 不相容
注射液 Hydromorphone hydrochloride 10 mg/ml
注射液 Thiopental sodium 25 mg/ml
NaCl 0,9% 3767
4小時後出現沉澱 不相容
注射液 Hydromorphone hydrochloride 1 mg/ml
注射液 Thiopental sodium 25 mg/ml
314
兼容
注射液 Hydromorphone hydrochloride 0.5 mg/ml
注射液 Thiotepa 1 mg/ml
葡萄糖5% 249
兼容
注射液 Hydromorphone hydrochloride
NaCl 0,9% 5073
兼容
注射液 Hydromorphone hydrochloride
注射液 Scopolamine N-butyl bromide
5073
兼容
注射液 Hydromorphone hydrochloride 1 mg/ml
注射液 Sulbactam/durlobactam 15/15 mg/ml
NaCl 0,9% 4801
兼容
注射液 Hydromorphone hydrochloride 0.2 mg/ml
注射液 Tobramycin sulfate 0.8 mg/ml
葡萄糖5% 405
兼容
注射液 Hydromorphone hydrochloride 0.2 mg/ml
注射液 Vancomycin hydrochloride 5 mg/ml
葡萄糖5% 405
兼容
注射液 Hydromorphone hydrochloride 2 mg/ml
注射液 Vancomycin hydrochloride 4 mg/ml
NaCl 0,9% 2335
兼容
注射液 Hydromorphone hydrochloride 1 mg/ml
注射液 Vecuronium bromide 1 mg/ml
314
兼容
注射液 Hydromorphone hydrochloride 0.016 mg/ml
注射液 Verapamil hydrochloride 0.08 mg/ml
NaCl 0,9% 1057
兼容
注射液 Hydromorphone hydrochloride 0.016 mg/ml
注射液 Verapamil hydrochloride 0.08 mg/ml
葡萄糖5% 1057
兼容
注射液 Hydromorphone hydrochloride 0.5 mg/ml
注射液 Vinorelbine tartrate 1 mg/ml
NaCl 0,9% 84

  Mentions Légales