Posledná aktualizácia :
18/03/2026
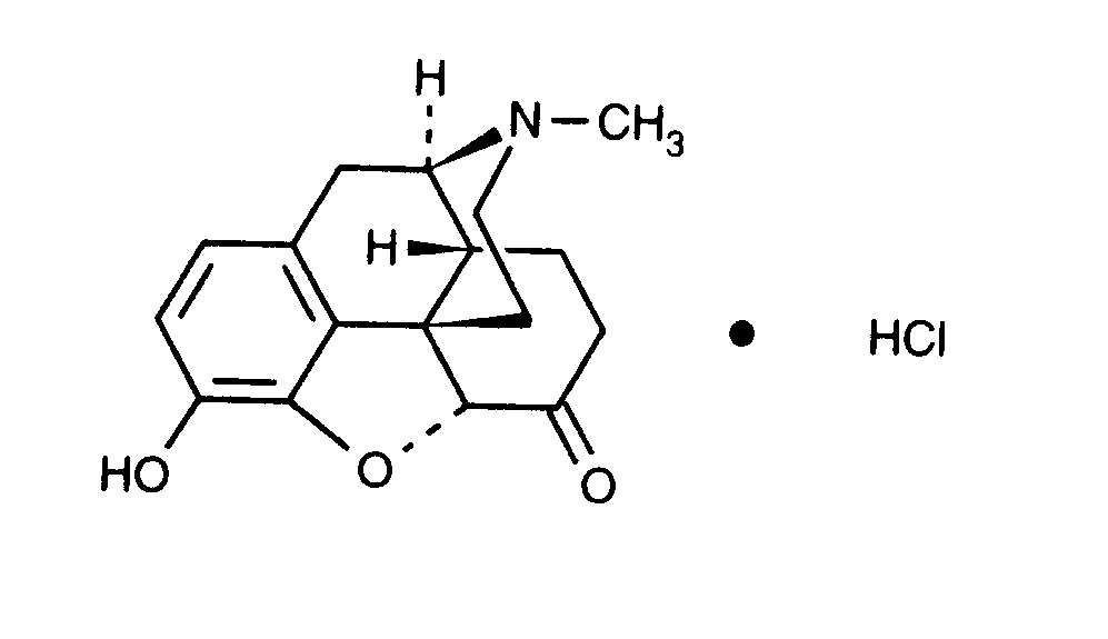
analgetikum   Hydromorphone hydrochloride  
Injekcia
Stabilita roztokov Stabilita v zmesiach Faktory ovplyvňujúce stabilitu Kompatibility spôsob podania Odkazy na literatúru PDF
   Chemický vzorec  

Obchodný názov   Obchodný názov     

Obchodné názvy sú orientačné, a zloženie pomocných látok sa môže líšiť v závislosti od krajiny a výrobcu.

Dilaudid Kanada, Spojené štáty Americké
Hydal Rakúsko
Palladon Dánsko, Švajčiarsko
Palladone Veľká Británia
Kompatibility   Injekcia   Kompatibility : Hydromorphone hydrochloride              
Toto okno zobrazuje kompatibility alebo inkombatibility, v prípade inkompatibility aj jej typ (vyzrážanie, zmena farby, zmena emulzie atď.). Tu vymenované kompatibility sú väčšinou len fyzikálne, chemická stabilita každej zo zlúčenín sa hodnotila len zriedkavo. Tieto zmesi sa skúmali za účelom možnosti súbežného podávania pacientovi cez infúznu spojku Y. Údaje sa nedajú použiť na prípravu zmesí vo vakoch alebo striekačkách. Taká informácia sa nachádza v okne „Stabilita v zmesiach“.
Zlúčenina rozpúšťadlo odkazy na lieteratúru
kompatibilný
Injekcia Hydromorphone hydrochloride 0.04 mg/ml
Injekcia Aciclovir sodium 5 mg/ml
5% glukóza 336
kompatibilný
Injekcia Hydromorphone hydrochloride 0.5 mg/ml
Injekcia Allopurinol sodium 3 mg/ml
0,9% chlorid sodný 307
kompatibilný
Injekcia Hydromorphone hydrochloride 0.5 mg/ml
Injekcia Amifostine 10 mg/ml
5% glukóza 3
kompatibilný
Injekcia Hydromorphone hydrochloride 0.2 mg/ml
Injekcia Amikacin sulfate 5 mg/ml
5% glukóza 405
kompatibilný
Injekcia Hydromorphone hydrochloride 10 mg/ml
Injekcia Amoxicillin sodium / clavulanic acid 100/10 mg/ml
3824
kompatibilný
Injekcia Hydromorphone hydrochloride 2 >> 40 mg/ml
Injekcia Ampicillin sodium 20 & 250 mg/ml
5% glukóza 226
kompatibilný
Injekcia Hydromorphone hydrochloride 0.5 mg/ml
Injekcia Amsacrine 1 mg/ml
5% glukóza 253
kompatibilný
Injekcia Hydromorphone hydrochloride 0.5 mg/ml
Injekcia Anidulafungin 0.5 mg/ml
5% glukóza 1982
kompatibilný
Injekcia Hydromorphone hydrochloride 0.5 mg/ml
Injekcia Aztreonam 40 mg/ml
5% glukóza 99
kompatibilný
Injekcia Hydromorphone hydrochloride 0.5 mg/ml
Injekcia Bivalirudin 5 mg/ml
5% glukóza 1713
Okamžitá nestabilita emulzie nezlučiteľný
Injekcia Hydromorphone hydrochloride 0.5 mg/ml
Parenterálna výživa (lipidy) 1415
kompatibilný
Injekcia Hydromorphone hydrochloride 10 mg/ml
Ringerov laktátový roztok 4603
Strata zákalu nezlučiteľný
Injekcia Hydromorphone hydrochloride 0.5 mg/ml
Injekcia Amphotericin B cholesteryl sulfate complex 0.83 mg/ml
5% glukóza 921
kompatibilný
Injekcia Hydromorphone hydrochloride 0.2 mg/ml
Injekcia Ampicillin sodium 20 mg/ml
5% glukóza 405
kompatibilný
Injekcia Hydromorphone hydrochloride 0.5 mg/ml
Injekcia Atropine sulfate 0.4 mg/ml
5% glukóza 1974
kompatibilný
Injekcia Hydromorphone hydrochloride 0,02 & 0,1 mg/ml
Injekcia Bupivacaine hydrochloride 0,625 & 1,25 mg/ml
0,9% chlorid sodný 306
kompatibilný
Injekcia Hydromorphone hydrochloride
5% glukóza 5073
kompatibilný
Injekcia Hydromorphone hydrochloride 0,02 & 0,04 mg/ml
Injekcia Bupivacaine hydrochloride 2,5 mg/ml
0,9% chlorid sodný 1931
kompatibilný
Injekcia Hydromorphone hydrochloride 15 mg/ml
Injekcia Bupivacaine hydrochloride 10 mg/ml
Žiadny 4200
kompatibilný
Injekcia Hydromorphone hydrochloride 2,5 mg/ml
Parenterálna výživa (lipidy) 4507
kompatibilný
Injekcia Hydromorphone hydrochloride 25 mg/ml
Injekcia Bupivacaine hydrochloride 20 mg/ml
0,9% chlorid sodný 3131
kompatibilný
Injekcia Hydromorphone hydrochloride 65 mg/ml
Injekcia Bupivacaine hydrochloride 7,5 mg/ml
Žiadny 221
kompatibilný
Injekcia Hydromorphone hydrochloride 50 mg/ml
Injekcia Caffeine 10 mg/ml
Žiadny 3964
kompatibilný
Injekcia Hydromorphone hydrochloride 1 mg/ml
Injekcia Caspofungin acetate 0,7 mg/ml
0,9% chlorid sodný 2247
kompatibilný
Injekcia Hydromorphone hydrochloride 1 mg/ml
Injekcia Caspofungin acetate 0.5 mg/ml
0,9% chlorid sodný 2233
kompatibilný
Injekcia Hydromorphone hydrochloride 0.2 mg/ml
Injekcia Cefalotin sodium 20 mg/ml
5% glukóza 405
kompatibilný
Injekcia Hydromorphone hydrochloride 0.2 mg/ml
Injekcia Cefamandole nafate 20 mg/ml
5% glukóza 405
kompatibilný
Injekcia Hydromorphone hydrochloride 0.2 mg/ml
Injekcia Cefazolin sodium 20 mg/ml
5% glukóza 405
kompatibilný
Injekcia Hydromorphone hydrochloride 2 >> 40 mg/ml
Injekcia Cefazolin sodium 20 mg/ml
5% glukóza 226
Okamžité zrážanie nezlučiteľný
Injekcia Hydromorphone hydrochloride 2 >> 40 mg/ml
Injekcia Cefazolin sodium >200 mg/ml
5% glukóza 226
kompatibilný
Injekcia Hydromorphone hydrochloride 1 mg/ml
Injekcia Cefiderocol sulfate tosylate 20 mg/mL
0,9% chlorid sodný 4528
kompatibilný
Injekcia Hydromorphone hydrochloride 1 mg/ml
Injekcia Cefiderocol sulfate tosylate 20 mg/mL
5% glukóza 4528
kompatibilný
Injekcia Hydromorphone hydrochloride 0.2 mg/ml
Injekcia Cefmetazole sodium 100 mg/ml
voda na injekciu 93
kompatibilný
Injekcia Hydromorphone hydrochloride 0.2 mg/ml
Injekcia Cefoperazone sodium 20 mg/ml
5% glukóza 405
kompatibilný
Injekcia Hydromorphone hydrochloride 0.2 mg/ml
Injekcia Ceforanide 20 mg/ml
5% glukóza 405
kompatibilný
Injekcia Hydromorphone hydrochloride 0.2 mg/ml
Injekcia Cefotaxime sodium 20 mg/ml
5% glukóza 405
kompatibilný
Injekcia Hydromorphone hydrochloride 0.2 mg/ml
Injekcia Cefoxitin sodium 20 mg/ml
5% glukóza 405
kompatibilný
Injekcia Hydromorphone hydrochloride 0,5 mg/ml
Injekcia Ceftaroline fosamil 2,22 mg/ml
Ringerov laktátový roztok 3249
kompatibilný
Injekcia Hydromorphone hydrochloride 0,5 mg/ml
Injekcia Ceftaroline fosamil 2,22 mg/ml
5% glukóza 3249
kompatibilný
Injekcia Hydromorphone hydrochloride 0,5 mg/ml
Injekcia Ceftaroline fosamil 2,22 mg/ml
0,9% chlorid sodný 3249
kompatibilný
Injekcia Hydromorphone hydrochloride 2 >> 40 mg/ml
Injekcia Ceftazidime 40 & 180 mg/ml
5% glukóza 226
kompatibilný
Injekcia Hydromorphone hydrochloride 0.2 mg/ml
Injekcia Ceftizoxime sodium 20 mg/ml
5% glukóza 405
Okamžité zrážanie nezlučiteľný
Injekcia Hydromorphone hydrochloride 1 mg/ml
Injekcia Ceftobiprole medocaril sodium 2 mg/ml
0,9% chlorid sodný 2269
Okamžité zrážanie nezlučiteľný
Injekcia Hydromorphone hydrochloride 1 mg/ml
Injekcia Ceftobiprole medocaril sodium 2 mg/ml
Ringerov laktátový roztok 2269
Nešpecifikovaná nekompatibilita nezlučiteľný
Injekcia Hydromorphone hydrochloride
Injekcia Ceftobiprole medocaril sodium
4650
Okamžité zrážanie nezlučiteľný
Injekcia Hydromorphone hydrochloride 1 mg/ml
Injekcia Ceftobiprole medocaril sodium 2 mg/ml
5% glukóza 2269
kompatibilný
Injekcia Hydromorphone hydrochloride 1 mg/ml
Injekcia Ceftolozane / tazobactam 10/5 mg/ml
5% glukóza 3828
kompatibilný
Injekcia Hydromorphone hydrochloride 1 mg/ml
Injekcia Ceftolozane / tazobactam 10/5 mg/ml
0,9% chlorid sodný 3828
kompatibilný
Injekcia Hydromorphone hydrochloride 0.2 mg/ml
Injekcia Cefuroxime sodium 30 mg/ml
5% glukóza 405
kompatibilný
Injekcia Hydromorphone hydrochloride 0.2 mg/ml
Injekcia Chloramphenicol sodium succinate 20 mg/ml
5% glukóza 405
kompatibilný
Injekcia Hydromorphone hydrochloride 0.5 mg/ml
Injekcia Cisatracurium besylate 0.1 >> 5 mg/ml
5% glukóza 299
kompatibilný
Injekcia Hydromorphone hydrochloride 0.5 mg/ml
Injekcia Cladribine 0.015 mg/ml
0,9% chlorid sodný 1496
kompatibilný
Injekcia Hydromorphone hydrochloride 0.5 mg/ml
Injekcia Cladribine 0.5 mg/ml
0,9% chlorid sodný + antibakteriálna látka 1496
kompatibilný
Injekcia Hydromorphone hydrochloride 10 mg/ml
Injekcia Cloxacillin sodium 100 mg/ml
voda na injekciu 3012
kompatibilný
Injekcia Hydromorphone hydrochloride 0.2 mg/ml
Injekcia Co-trimoxazole 4/0.8 mg/ml
5% glukóza 405
kompatibilný
Injekcia Hydromorphone hydrochloride < 10 mg/ml
Injekcia Dexamethasone sodium phosphate 2 >> 10 mg/ml
389
kompatibilný
Injekcia Hydromorphone hydrochloride 0.5 mg/ml
Injekcia Dexamethasone sodium phosphate 1 mg/ml
5% glukóza 1974
kompatibilný
Injekcia Hydromorphone hydrochloride 1 >> 40 mg/ml
Injekcia Dexamethasone sodium phosphate < 2 mg/ml
389
kompatibilný
Injekcia Hydromorphone hydrochloride 0.5 mg/ml
Injekcia Dexmedetomidine 4 µg/ml
0,9% chlorid sodný 1712
Zrážky po 2 hodinách nezlučiteľný
Injekcia Hydromorphone hydrochloride
Injekcia Dimenhydrinate
2087
kompatibilný
Injekcia Hydromorphone hydrochloride 0.5 mg/ml
parenterálna výživa (binárna zmes) 301
kompatibilný
Injekcia Hydromorphone hydrochloride 2 mg/ml
Injekcia Cimetidine hydrochloride 150 mg/ml
1438
kompatibilný
Injekcia Hydromorphone hydrochloride 0.2 mg/ml
Injekcia Clindamycin phosphate 12 mg/ml
5% glukóza 405
Okamžité zrážanie nezlučiteľný
Injekcia Hydromorphone hydrochloride 2 >> 40 mg/ml
Injekcia Cloxacillin sodium 40 & 250 mg/ml
5% glukóza 226
Okamžité zrážanie nezlučiteľný
Injekcia Hydromorphone hydrochloride
Injekcia Cyclizine lactate
5073
kompatibilný
Injekcia Hydromorphone hydrochloride
Injekcia Dexamethasone sodium phosphate
5073
Okamžité zrážanie nezlučiteľný
Injekcia Hydromorphone hydrochloride > 15 mg/ml
Injekcia Dexamethasone sodium phosphate > 3 mg/ml
389
kompatibilný
Injekcia Hydromorphone hydrochloride 0.5 mg/ml
Injekcia Diazepam 0.5 mg/ml
5% glukóza 1974
Okamžité zrážanie nezlučiteľný
Injekcia Hydromorphone hydrochloride 2 >> 40 mg/ml
Injekcia Diazepam 5 mg/ml
5% glukóza 226
kompatibilný
Injekcia Hydromorphone hydrochloride 1 mg/ml
Injekcia Diltiazem hydrochloride 1 mg/ml
314
kompatibilný
Injekcia Hydromorphone hydrochloride 2 >> 40 mg/ml
Injekcia Dimenhydrinate 50 mg/ml
Žiadny 1497
kompatibilný
Injekcia Hydromorphone hydrochloride 0.5 mg/ml
Injekcia Diphenhydramine hydrochloride 2 mg/ml
5% glukóza 1974
kompatibilný
Injekcia Hydromorphone hydrochloride 1 mg/ml
Injekcia Dobutamine hydrochloride 4 mg/ml
314
kompatibilný
Injekcia Hydromorphone hydrochloride 0.5 mg/ml
Injekcia Docetaxel 0.9 mg/ml
5% glukóza 1754
kompatibilný
Injekcia Hydromorphone hydrochloride 1 mg/ml
Injekcia Dopamine hydrochloride 3.2 mg/ml
314
kompatibilný
Injekcia Hydromorphone hydrochloride 1 mg/ml
Injekcia Doripenem 5 mg/ml
5% glukóza 2262
kompatibilný
Injekcia Hydromorphone hydrochloride 1 mg/ml
Injekcia Doripenem 5 mg/ml
0,9% chlorid sodný 2262
kompatibilný
Injekcia Hydromorphone hydrochloride 0.5 mg/ml
Injekcia Doxorubicin hydrochloride liposome peg 0.4 mg/ml
5% glukóza 251
kompatibilný
Injekcia Hydromorphone hydrochloride 0.2 mg/ml
Injekcia Doxycycline hyclate 1 mg/ml
5% glukóza 405
kompatibilný
Injekcia Hydromorphone hydrochloride 1 mg/ml
Injekcia Epinephrine hydrochloride 20 µg/ml
314
kompatibilný
Injekcia Hydromorphone hydrochloride 1 mg/ml
Injekcia Eravacycline 0,6 mg/ml
0,9% chlorid sodný 4434
kompatibilný
Injekcia Hydromorphone hydrochloride 0.2 mg/ml
Injekcia Erythromycin lactobionate 5 mg/ml
5% glukóza 405
kompatibilný
Injekcia Hydromorphone hydrochloride 0.5 mg/ml
Injekcia Etoposide phosphate 5 mg/ml
5% glukóza 1410
kompatibilný
Injekcia Hydromorphone hydrochloride 0.5 mg/ml
Injekcia Famotidine 2 mg/ml
0,9% chlorid sodný 215
kompatibilný
Injekcia Hydromorphone hydrochloride 0.5 mg/ml
Injekcia Fenoldopam mesylate 80 µg/ml
0,9% chlorid sodný 1803
kompatibilný
Injekcia Hydromorphone hydrochloride 1 mg/ml
Injekcia Fentanyl citrate 50 µg/ml
314
kompatibilný
Injekcia Hydromorphone hydrochloride 0.5 mg/ml
Injekcia Filgrastim 30 µg/ml
5% glukóza 244
kompatibilný
Injekcia Hydromorphone hydrochloride 0.5 mg/ml
Injekcia Fludarabine phosphate 1 mg/ml
5% glukóza 492
kompatibilný
Injekcia Hydromorphone hydrochloride 0.5 mg/ml
Injekcia Fluorouracil 1 & 16 mg/ml
5% glukóza 513
kompatibilný
Injekcia Hydromorphone hydrochloride 0.5 mg/ml
Injekcia Fluorouracil 1 & 16 mg/ml
0,9% chlorid sodný 513
kompatibilný
Injekcia Hydromorphone hydrochloride 10 mg/ml
Injekcia Foscarnet sodium 24 mg/ml
Žiadny 73
kompatibilný
Injekcia Hydromorphone hydrochloride 1 mg/ml
Injekcia Fosfomycin 30 mg/ml
5% glukóza 4055
kompatibilný
Injekcia Hydromorphone hydrochloride 1 mg/ml
Injekcia Fosfomycin 30 mg/ml
0,9% chlorid sodný 4055
kompatibilný
Injekcia Hydromorphone hydrochloride 1 mg/ml
Injekcia Furosemide 10 mg/ml
314
Zákal za 24 hodiny nezlučiteľný
Injekcia Hydromorphone hydrochloride 4 mg/ml
Injekcia Gallium nitrate 1 mg/ml
0,9% chlorid sodný 91
kompatibilný
Injekcia Hydromorphone hydrochloride 0.5 mg/ml
Injekcia Gemcitabine hydrochloride 10 mg/ml
0,9% chlorid sodný 1423
kompatibilný
Injekcia Hydromorphone hydrochloride 0.2 mg/ml
Injekcia Gentamicin sulfate 0.8 mg/ml
5% glukóza 405
kompatibilný
Injekcia Hydromorphone hydrochloride
Injekcia Glycopyrronium bromide
5073
kompatibilný
Injekcia Hydromorphone hydrochloride 0.5 mg/ml
Injekcia Granisetron hydrochloride 0.056 mg/ml
0,9% chlorid sodný 6
kompatibilný
Injekcia Hydromorphone hydrochloride 0.5 mg/ml
Injekcia Granisetron hydrochloride 1 mg/ml
0,9% chlorid sodný 57
kompatibilný
Injekcia Hydromorphone hydrochloride 0.5 mg/ml
Injekcia Granisetron hydrochloride 0.05 mg/ml
5% glukóza 182
kompatibilný
Injekcia Hydromorphone hydrochloride 10 mg/ml
Injekcia Haloperidol lactate 1 mg/ml
Žiadny 216
kompatibilný
Injekcia Hydromorphone hydrochloride 10 mg/ml
Injekcia Haloperidol lactate 5 mg/ml
Žiadny 216
kompatibilný
Injekcia Hydromorphone hydrochloride 1 mg/ml
Injekcia Haloperidol lactate 5 mg/ml
Žiadny 216
kompatibilný
Injekcia Hydromorphone hydrochloride 1 mg/ml
Injekcia Haloperidol lactate 2 mg/ml
Žiadny 216
kompatibilný
Injekcia Hydromorphone hydrochloride 1 mg/ml
Injekcia Haloperidol lactate 1 mg/ml
Žiadny 216
kompatibilný
Injekcia Hydromorphone hydrochloride 0.5 mg/ml
Injekcia Haloperidol lactate 0.2 mg/ml
5% glukóza 1974
kompatibilný
Injekcia Hydromorphone hydrochloride
Injekcia Haloperidol lactate
5073
kompatibilný
Injekcia Hydromorphone hydrochloride 10 mg/ml
Injekcia Haloperidol lactate 2 mg/ml
Žiadny 216
kompatibilný
Injekcia Hydromorphone hydrochloride <12.5 mg/ml
Injekcia Heparin sodium
voda na injekciu 66
kompatibilný
Injekcia Hydromorphone hydrochloride <12.5 mg/ml
Injekcia Heparin sodium
0,9% chlorid sodný 66
kompatibilný
Injekcia Hydromorphone hydrochloride 1 mg/ml
Injekcia Heparin sodium 100 UI/ml
314
Okamžité zrážanie nezlučiteľný
Injekcia Hydromorphone hydrochloride >25 mg/ml
Injekcia Heparin sodium <12,5 UI/ml
voda na injekciu 66
Okamžité zrážanie nezlučiteľný
Injekcia Hydromorphone hydrochloride >10 mg/ml
Injekcia Heparin sodium <1 UI/ml
voda na injekciu 66
Okamžité zrážanie nezlučiteľný
Injekcia Hydromorphone hydrochloride >25 mg/ml
Injekcia Heparin sodium <12,5 UI/ml
0,9% chlorid sodný 66
kompatibilný
Injekcia Hydromorphone hydrochloride 0.5 mg/ml
Injekcia Hetastarch 60 mg/ml
Špeciálne rozpúšťadlá 1721
Chemická nestabilita nezlučiteľný
Injekcia Hydromorphone hydrochloride 2 >> 40 mg/ml
Injekcia Hyaluronidase 150 UI/ml
5% glukóza 9
kompatibilný
Injekcia Hydromorphone hydrochloride
Injekcia Hyaluronidase
3184
Chemická nestabilita nezlučiteľný
Injekcia Hydromorphone hydrochloride 2 >> 40 mg/ml
Injekcia Hyaluronidase 150 UI/ml
0,9% chlorid sodný 9
kompatibilný
Injekcia Hydromorphone hydrochloride 0.5 mg/ml
Injekcia Hydroxyzine dihydrochloride 4 mg/ml
5% glukóza 1974
kompatibilný
Injekcia Hydromorphone hydrochloride 1 mg/ml
Injekcia Isavuconazonium sulfate 1.5 mg/ml
0,9% chlorid sodný 3829
kompatibilný
Injekcia Hydromorphone hydrochloride 1 mg/ml
Injekcia Isavuconazonium sulfate 1.5 mg/ml
5% glukóza 3829
kompatibilný
Injekcia Hydromorphone hydrochloride 0.2 mg/ml
Injekcia Kanamycin sulfate 2.5 mg/ml
5% glukóza 405
kompatibilný
Injekcia Hydromorphone hydrochloride
Injekcia Ketamine hydrochloride
5073
kompatibilný
Injekcia Hydromorphone hydrochloride 0.2 mg/ml
Injekcia Ketamine hydrochloride 0.2 >> 1 mg/ml
0,9% chlorid sodný 2336
kompatibilný
Injekcia Hydromorphone hydrochloride 0.5 mg/ml
Injekcia Ketorolac tromethamine 1 mg/ml
5% glukóza 1974
kompatibilný
Injekcia Hydromorphone hydrochloride 10 mg/ml
Injekcia Ketorolac tromethamine 15 mg/ml
Žiadny 216
kompatibilný
Injekcia Hydromorphone hydrochloride 1 mg/ml
Injekcia Ketorolac tromethamine 30 mg/ml
Žiadny 216
kompatibilný
Injekcia Hydromorphone hydrochloride 1 mg/ml
Injekcia Ketorolac tromethamine 15 mg/ml
Žiadny 216
Okamžité zrážanie nezlučiteľný
Injekcia Hydromorphone hydrochloride 10 mg/ml
Injekcia Ketorolac tromethamine 30 mg/ml
Žiadny 216
kompatibilný
Injekcia Hydromorphone hydrochloride 1 mg/ml
Injekcia Labetalol hydrochloride 2 mg/ml
314
Zrážky po 1 hodine nezlučiteľný
Injekcia Hydromorphone hydrochloride 0.5 mg/ml
Injekcia Lansoprazole 0.55 mg/ml
0,9% chlorid sodný 1625
kompatibilný
Injekcia Hydromorphone hydrochloride 2 mg/ml
Injekcia Levofloxacine 5 mg/ml
Žiadny 2335
kompatibilný
Injekcia Hydromorphone hydrochloride
Injekcia Levomepromazine
5073
kompatibilný
Injekcia Hydromorphone hydrochloride 10 mg/ml
Injekcia Levosimendan 2,5 mg/ml
4389
kompatibilný
Injekcia Hydromorphone hydrochloride 0.5 mg/ml
Injekcia Linezolid 2 mg/ml
Žiadny 1925
kompatibilný
Injekcia Hydromorphone hydrochloride 0.5 mg/ml
Injekcia Lorazepam 0.1 mg/ml
5% glukóza 1974
kompatibilný
Injekcia Hydromorphone hydrochloride 2 >> 40 mg/ml
Injekcia Lorazepam 4 mg/ml
Žiadny 1497
kompatibilný
Injekcia Hydromorphone hydrochloride 1 mg/ml
Injekcia Lorazepam 0.5 mg/ml
314
kompatibilný
Injekcia Hydromorphone hydrochloride 2 mg/ml
Injekcia Magnesium sulfate 16,67 >> 100 mg/ml
5% glukóza 517
kompatibilný
Injekcia Hydromorphone hydrochloride 0.5 mg/ml
Injekcia Melphalan 0.1 mg/ml
0,9% chlorid sodný 169
kompatibilný
Injekcia Hydromorphone hydrochloride 10 mg/ml
Injekcia Meropenem 50 mg/ml
voda na injekciu 4319
Chemická nestabilita nezlučiteľný
Injekcia Hydromorphone hydrochloride
Injekcia Metamizol sodium
2364
kompatibilný
Injekcia Hydromorphone hydrochloride
Injekcia Metoclopramide hydrochloride
5073
kompatibilný
Injekcia Hydromorphone hydrochloride 0.5 mg/ml
Injekcia Metoclopramide hydrochloride 5 mg/ml
5% glukóza 1974
kompatibilný
Injekcia Hydromorphone hydrochloride 0.2 mg/ml
Injekcia Metronidazole 5 mg/ml
5% glukóza 405
kompatibilný
Injekcia Hydromorphone hydrochloride 0.5 mg/ml
Injekcia Micafungin 1.5 mg/ml
0,9% chlorid sodný 2108
kompatibilný
Injekcia Hydromorphone hydrochloride
Injekcia Midazolam hydrochloride
5073
kompatibilný
Injekcia Hydromorphone hydrochloride 0.5 mg/ml
Injekcia Midazolam hydrochloride 0.2 mg/ml
5% glukóza 1974
kompatibilný
Injekcia Hydromorphone hydrochloride 0.5 >> 45 mg/ml
Injekcia Midazolam hydrochloride 0.1 >> 4.5 mg/ml
5% glukóza 345
kompatibilný
Injekcia Hydromorphone hydrochloride 1 mg/ml
Injekcia Midazolam hydrochloride 2 mg/ml
314
kompatibilný
Injekcia Hydromorphone hydrochloride 0.5 >> 45 mg/ml
Injekcia Midazolam hydrochloride 0.1 >> 4.5 mg/ml
0,9% chlorid sodný 345
kompatibilný
Injekcia Hydromorphone hydrochloride 1 mg/ml
Injekcia Milrinone lactate 0.2 mg/ml
314
Zmena farby po 1 hodine nezlučiteľný
Injekcia Hydromorphone hydrochloride 0.2 mg/ml
Injekcia Minocycline hydrochloride 0.2 mg/ml
5% glukóza 405
kompatibilný
Injekcia Hydromorphone hydrochloride 1 mg/ml
Injekcia Morphine sulfate 2 mg/ml
314
kompatibilný
Injekcia Hydromorphone hydrochloride 0.2 mg/ml
Injekcia Moxalactam 20 mg/ml
5% glukóza 405
kompatibilný
Injekcia Hydromorphone hydrochloride 0.2 mg/ml
Injekcia Nafcillin sodium 20 mg/ml
5% glukóza 405
kompatibilný
Injekcia Hydromorphone hydrochloride 10 mg/ml
Injekcia Naloxone hydrochloride 0.4 mg/ml
Žiadny 3408
kompatibilný
Injekcia Hydromorphone hydrochloride 1 mg/ml
Injekcia Nicardipine hydrochloride 1 mg/ml
314
kompatibilný
Injekcia Hydromorphone hydrochloride 1 mg/ml
Injekcia Nitroglycerin 0.4 mg/ml
314
kompatibilný
Injekcia Hydromorphone hydrochloride 1 mg/ml
Injekcia Norepinephrine bitartrate 0.128 mg/ml
314
kompatibilný
Injekcia Hydromorphone hydrochloride 0,5 mg/ml
Injekcia Ondansetron hydrochloride 0,1 & 1 mg/ml
0,9% chlorid sodný 6
kompatibilný
Injekcia Hydromorphone hydrochloride 0.5 mg/ml
Injekcia Ondansetron hydrochloride 1 mg/ml
0,9% chlorid sodný 334
kompatibilný
Injekcia Hydromorphone hydrochloride 0.2 mg/ml
Injekcia Oxacillin sodium 20 mg/ml
5% glukóza 405
kompatibilný
Injekcia Hydromorphone hydrochloride 0,5 mg/ml
Injekcia Oxaliplatin 0,5 mg/ml
5% glukóza 1662
kompatibilný
Injekcia Hydromorphone hydrochloride 0.5 mg/ml
Injekcia Paclitaxel 1.2 mg/ml
5% glukóza 248
kompatibilný
Injekcia Hydromorphone hydrochloride 0.5 mg/ml
Injekcia Palonosetron hydrochloride 50 µg/ml
5% glukóza 2196
Zrážky po 4 hodinách nezlučiteľný
Injekcia Hydromorphone hydrochloride
Injekcia Pantoprazole sodium
2090
kompatibilný
Injekcia Hydromorphone hydrochloride 10 mg/ml
Injekcia Paracetamol 10 mg/ml
4742
kompatibilný
Injekcia Hydromorphone hydrochloride 2 mg/ml
Injekcia Paracetamol 10 mg/ml
Žiadny 3571
Nešpecifikovaná nekompatibilita nezlučiteľný
Injekcia Hydromorphone hydrochloride
Injekcia Parecoxib sodium
3504
kompatibilný
Injekcia Hydromorphone hydrochloride 0.5 mg/ml
Injekcia Pemetrexed disodium 20 mg/ml
0,9% chlorid sodný 1953
kompatibilný
Injekcia Hydromorphone hydrochloride 0.2 mg/ml
Injekcia Penicillin G potassium 0.1 MUI/ml
5% glukóza 405
Okamžité zrážanie nezlučiteľný
Injekcia Hydromorphone hydrochloride 2 >> 40 mg/ml
Injekcia Phenobarbital sodium 120 mg/ml
5% glukóza 226
kompatibilný
Injekcia Hydromorphone hydrochloride 0.5 mg/ml
Injekcia Phenobarbital sodium 2 mg/ml
5% glukóza 1974
Okamžité zrážanie nezlučiteľný
Injekcia Hydromorphone hydrochloride 2 >> 40 mg/ml
Injekcia Phenytoin sodium 50 mg/ml
5% glukóza 226
Zrážky po 1 hodine nezlučiteľný
Injekcia Hydromorphone hydrochloride 0.5 mg/ml
Injekcia Phenytoin sodium 2 mg/ml
5% glukóza 1974
kompatibilný
Injekcia Hydromorphone hydrochloride 0.2 mg/ml
Injekcia Piperacillin sodium 60 mg/ml
5% glukóza 405
kompatibilný
Injekcia Hydromorphone hydrochloride 0.5 mg/ml
Injekcia Piperacillin sodium / tazobactam 40/5 mg/ml
5% glukóza 81
kompatibilný
Injekcia Hydromorphone hydrochloride 1 mg/ml
Injekcia Plazomicin sulfate 24 mg/ml
0,9% chlorid sodný 4145
kompatibilný
Injekcia Hydromorphone hydrochloride
Injekcia Posaconazole
4380
kompatibilný
Injekcia Hydromorphone hydrochloride 25 mg/ml
Injekcia Potassium chloride 1000 mEq/l
voda na injekciu 66
kompatibilný
Injekcia Hydromorphone hydrochloride 5 >> 20 mg/ml
Injekcia Potassium chloride 500 & 1000 mEq/l
5% glukóza 66
kompatibilný
Injekcia Hydromorphone hydrochloride 2 >> 40 mg/ml
Injekcia Prochlorperazine edysilate 5 mg/ml
Žiadny 1497
kompatibilný
Injekcia Hydromorphone hydrochloride 0,5 mg/ml
Injekcia Prochlorperazine edysilate 1,5 mg/ml
0,9% chlorid sodný 767
kompatibilný
Injekcia Hydromorphone hydrochloride 1 mg/ml
Injekcia Promethazine hydrochloride 0.3 mg/ml
0,9% chlorid sodný 795
kompatibilný
Injekcia Hydromorphone hydrochloride 0.5 mg/ml
Injekcia Propofol 10 mg/ml
Žiadny 300
kompatibilný
Injekcia Hydromorphone hydrochloride 1 mg/ml
Injekcia Ranitidine hydrochloride 1 mg/ml
314
kompatibilný
Injekcia Hydromorphone hydrochloride 2 mg/ml
Injekcia Ranitidine hydrochloride 25 mg/ml
Žiadny 58
kompatibilný
Injekcia Hydromorphone hydrochloride 1 mg/ml
Injekcia Remdesivir 1 mg/ml
0,9% chlorid sodný 4768
kompatibilný
Injekcia Hydromorphone hydrochloride 10 mg/ml
Injekcia Salbutamol sulfate 1 mg/ml
Žiadny 3216
Zrážky po 30 hodinách nezlučiteľný
Injekcia Hydromorphone hydrochloride 0.5 mg/ml
Injekcia Sargramostim 10 µg/ml
0,9% chlorid sodný 335
kompatibilný
Injekcia Hydromorphone hydrochloride 0.5 mg/ml
Injekcia Scopolamine hydrobromide 0.05 mg/ml
5% glukóza 1974
kompatibilný
Injekcia Hydromorphone hydrochloride
Injekcia Scopolamine hydrobromide
5073
kompatibilný
Injekcia Hydromorphone hydrochloride 0,1 & 1 mg/ml
Injekcia Tacrolimus 5 & 20 µg/ml
5% glukóza 814
kompatibilný
Injekcia Hydromorphone hydrochloride 1 mg/ml
Injekcia Tedizolid phosphate 0.8 mg/ml
0,9% chlorid sodný 3827
kompatibilný
Injekcia Hydromorphone hydrochloride 0.5 mg/ml
Injekcia Teniposide 0.1 mg/ml
5% glukóza 905
Okamžité zrážanie nezlučiteľný
Injekcia Hydromorphone hydrochloride 10 mg/ml
Injekcia Thiopental sodium 25 mg/ml
0,9% chlorid sodný 3767
Zrážky po 4 hodinách nezlučiteľný
Injekcia Hydromorphone hydrochloride 1 mg/ml
Injekcia Thiopental sodium 25 mg/ml
314
kompatibilný
Injekcia Hydromorphone hydrochloride 0.5 mg/ml
Injekcia Thiotepa 1 mg/ml
5% glukóza 249
kompatibilný
Injekcia Hydromorphone hydrochloride
0,9% chlorid sodný 5073
kompatibilný
Injekcia Hydromorphone hydrochloride
Injekcia Scopolamine N-butyl bromide
5073
kompatibilný
Injekcia Hydromorphone hydrochloride 1 mg/ml
Injekcia Sulbactam/durlobactam 15/15 mg/ml
0,9% chlorid sodný 4801
kompatibilný
Injekcia Hydromorphone hydrochloride 0.2 mg/ml
Injekcia Tobramycin sulfate 0.8 mg/ml
5% glukóza 405
kompatibilný
Injekcia Hydromorphone hydrochloride 0.2 mg/ml
Injekcia Vancomycin hydrochloride 5 mg/ml
5% glukóza 405
kompatibilný
Injekcia Hydromorphone hydrochloride 2 mg/ml
Injekcia Vancomycin hydrochloride 4 mg/ml
0,9% chlorid sodný 2335
kompatibilný
Injekcia Hydromorphone hydrochloride 1 mg/ml
Injekcia Vecuronium bromide 1 mg/ml
314
kompatibilný
Injekcia Hydromorphone hydrochloride 0.016 mg/ml
Injekcia Verapamil hydrochloride 0.08 mg/ml
0,9% chlorid sodný 1057
kompatibilný
Injekcia Hydromorphone hydrochloride 0.016 mg/ml
Injekcia Verapamil hydrochloride 0.08 mg/ml
5% glukóza 1057
kompatibilný
Injekcia Hydromorphone hydrochloride 0.5 mg/ml
Injekcia Vinorelbine tartrate 1 mg/ml
0,9% chlorid sodný 84

  Mentions Légales