Останнє оновлення :
18/03/2026
Антибіотик   Amikacin sulfate  
ін'єкція
Стійкість в розчинах Стійкість сумішей Фактори, що впливають на стабільність Сумісність Шлях введення Список літератури pdf
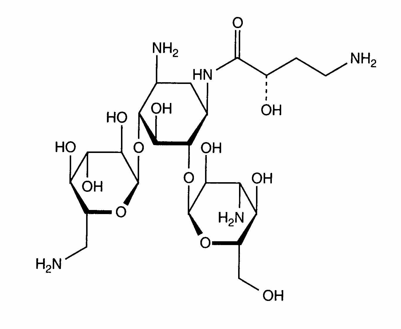
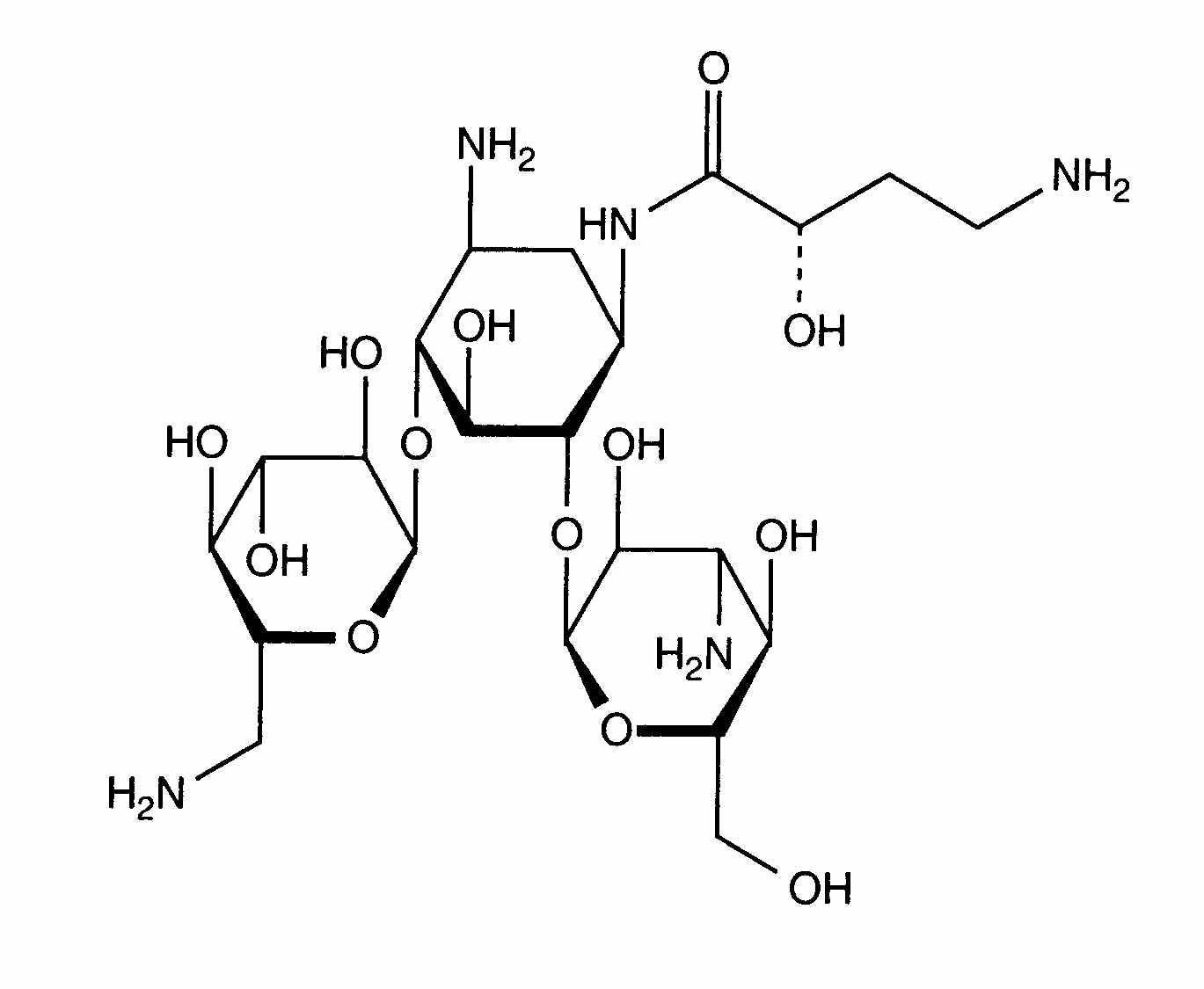
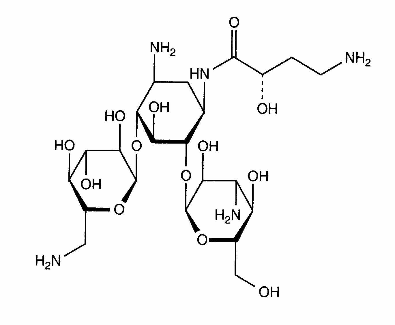
   Хімічна структура  

Торгова назва   Торгова назва     

Торгові назви є орієнтовними, а склад допоміжних речовин може бути різним залежно від країни та виробника

Adnet Індія
Agnicin Мексика
Akamin Еквадор
Akim Еквадор
Amicacil Бразилія
Amicilon Бразилія
Amicin Малайзія
Amicip Венесуела
Amijeksin Туреччина
Amikabiot Еквадор, Перу
Amikacin Єгипет, Іран, Великобританія, Канада, Малайзія, Німеччина, Нова Зеландія, Саудівська Аравія, Сполучені Штати Америки
Amikacina Іспанія, Італія, Аргентина, Венесуела, Еквадор, Колумбія, Мексика, Перу, Чилі
Amikacine Бельгія, Марокко, Нідерланди, Франція
Amikafur Мексика
Amikagram Перу
Amikalem Мексика
Amikamed Перу
Amikamek Перу
Amikan Італія
Amikavax Венесуела
Amikaver Туреччина
Amikayect Мексика
Amikem Перу
Amiketem Туреччина
Amikin Єгипет, Ірландія, Австралія, Бразилія, Великобританія, Еквадор, Колумбія, Мексика, Перу, Польща, Саудівська Аравія, Сполучені Штати Америки, Туніс, Угорщина, Швейцарія
Amiklin Туреччина, Франція
Amikosit Румунія, Туніс, Туреччина
Amikram Перу
Amukin Бельгія, Люксембург, Нідерланди
Apalin Малайзія
Baxi K Мексика, Чилі
Behcacin Індія, Венесуела
Belka Індія
Biclin Іспанія, Австрія, Мексика, Німеччина, Португалія, Фінляндія, Швеція
Biodacyna Польща
Biokacin Мексика
Briklin Греція
Cadicin Індія
Chemacin Італія
Cikabit Індія
Cinamica Індія
Cinas Індія
Consumonit Греція
Domak Індія
Doxocar Аргентина
Elcin Індія
Elmik Індія
Emcin Індія
Emica Індія
Farcyclin Греція
Flexelite Греція
Greini Аргентина
Ipacin Іран
Itukacin Перу
Kancin Греція
Lanomycin Греція
Lukadin Італія
Masmika Індія
Mediamik Італія
Micalpha Греція
Micigen Мексика
Migracin Італія
Mikacin Саудівська Аравія
Nekacin Італія
Novamin Бразилія
Orlobin Греція
Remikin Греція
Rovericlin Греція
Uzix Греція
Сумісність   ін'єкція   Сумісність : Amikacin sulfate              
explication_incompatibilite_molecules
З'єднання Розчинник Список літератури
сумісний
ін'єкція Amikacin sulfate 5 mg/ml
ін'єкція Aciclovir sodium 5 mg/ml
Глюкоза 5% 336
Опади через 1 год Несумісні
ін'єкція Amikacin sulfate 5 mg/ml
ін'єкція Allopurinol sodium 3 mg/ml
Натрію хлорид 0,9% 307
сумісний
ін'єкція Amikacin sulfate 5 mg/ml
ін'єкція Amifostine 10 mg/ml
Глюкоза 5% 3
сумісний
ін'єкція Amikacin sulfate 5 mg/ml
ін'єкція Amiodarone hydrochloride 4 mg/ml
Натрію хлорид 0,9% 385
сумісний
ін'єкція Amikacin sulfate 5 mg/ml
ін'єкція Amiodarone hydrochloride 4 mg/ml
Глюкоза 5% 385
Хімічна нестійкість Несумісні
ін'єкція Amikacin sulfate
ін'єкція Amoxicillin sodium
3527
Хімічна нестійкість Несумісні
ін'єкція Amikacin sulfate
ін'єкція Amoxicillin sodium
3549
сумісний
ін'єкція Amikacin sulfate 250 mg/ml
ін'єкція Amoxicillin sodium / clavulanic acid 100/10 mg/ml
3824
Хімічна нестійкість Несумісні
ін'єкція Amikacin sulfate
ін'єкція Amoxicillin sodium / clavulanic acid
3549
Неуточнена несумісність Несумісні
ін'єкція Amikacin sulfate
ін'єкція Amoxicillin sodium / clavulanic acid
3545
Неуточнена несумісність Несумісні
ін'єкція Amikacin sulfate
ін'єкція Amphotericin B
3549
Миттєві опади Несумісні
ін'єкція Amikacin sulfate 5 mg/ml
ін'єкція Amphotericin B cholesteryl sulfate complex 0.83 mg/ml
Глюкоза 5% 921
Хімічна нестійкість Несумісні
ін'єкція Amikacin sulfate
ін'єкція Ampicillin sodium
3549
Хімічна нестійкість Несумісні
ін'єкція Amikacin sulfate
ін'єкція Ampicillin sodium - sulbactam sodium
3549
сумісний
ін'єкція Amikacin sulfate 5 mg/ml
ін'єкція Amsacrine 1 mg/ml
Глюкоза 5% 253
сумісний
ін'єкція Amikacin sulfate 5 mg/ml
ін'єкція Anidulafungin 0.5 mg/ml
Глюкоза 5% 1982
Неуточнена несумісність Несумісні
ін'єкція Amikacin sulfate
ін'єкція Ascorbic acid
3549
Миттєві опади Несумісні
ін'єкція Amikacin sulfate 100 mg/ml
ін'єкція Azithromycine 2 mg/ml
Натрію хлорид 0,9% 1800
Хімічна нестійкість Несумісні
ін'єкція Amikacin sulfate
ін'єкція Aztreonam
3549
сумісний
ін'єкція Amikacin sulfate 5 mg/ml
ін'єкція Aztreonam 40 mg/ml
Глюкоза 5% 99
сумісний
ін'єкція Amikacin sulfate 5 mg/ml
ін'єкція Bivalirudin 5 mg/ml
Глюкоза 5% 1713
сумісний
ін'єкція Amikacin sulfate 250 mg/ml
ін'єкція Caffeine 10 mg/ml
Жодного 3964
Несумісні
ін'єкція Amikacin sulfate
ін'єкція Calcium gluconate
4964
Неуточнена несумісність Несумісні
ін'єкція Amikacin sulfate
ін'єкція Calcium gluconate
3644
сумісний
ін'єкція Amikacin sulfate 5 mg/ml
ін'єкція Caspofungin acetate 0,7 mg/ml
Натрію хлорид 0,9% 2247
Хімічна нестійкість Несумісні
ін'єкція Amikacin sulfate
ін'єкція Cefalotin sodium
3549
Хімічна нестійкість Несумісні
ін'єкція Amikacin sulfate
ін'єкція Cefamandole nafate
3549
Неуточнена несумісність Несумісні
ін'єкція Amikacin sulfate
ін'єкція Cefamandole nafate
3546
Хімічна нестійкість Несумісні
ін'єкція Amikacin sulfate
ін'єкція Cefazolin sodium
3549
сумісний
ін'єкція Amikacin sulfate 6 mg/ml
ін'єкція Cefepime dihydrochloride 40 mg/ml
Натрію хлорид 0,9% 3548
сумісний
ін'єкція Amikacin sulfate 6 mg/ml
ін'єкція Cefepime dihydrochloride 40 mg/ml
Глюкоза 5% 3548
сумісний
ін'єкція Amikacin sulfate 15 mg/ml
ін'єкція Cefepime dihydrochloride 125 mg/ml
Вода для ін'єкцій 2141
Хімічна нестійкість Несумісні
ін'єкція Amikacin sulfate
ін'єкція Cefepime dihydrochloride
3549
сумісний
ін'єкція Amikacin sulfate 5 mg/ml
ін'єкція Cefiderocol sulfate tosylate 20 mg/mL
Глюкоза 5% 4528
Хімічна нестійкість Несумісні
ін'єкція Amikacin sulfate
ін'єкція Cefmenoxime
3549
Хімічна нестійкість Несумісні
ін'єкція Amikacin sulfate
ін'єкція Cefmetazole sodium
3549
Хімічна нестійкість Несумісні
ін'єкція Amikacin sulfate
ін'єкція Cefonicid sodium
3549
Хімічна нестійкість Несумісні
ін'єкція Amikacin sulfate
ін'єкція Cefoperazone sodium
3549
Неуточнена несумісність Несумісні
ін'єкція Amikacin sulfate
ін'єкція Cefoperazone sodium
3544
Хімічна нестійкість Несумісні
ін'єкція Amikacin sulfate
ін'єкція Ceforanide
3549
Хімічна нестійкість Несумісні
ін'єкція Amikacin sulfate
ін'єкція Cefotaxime sodium
3549
Хімічна нестійкість Несумісні
ін'єкція Amikacin sulfate
ін'єкція Cefoxitin sodium
3549
Неуточнена несумісність Несумісні
ін'єкція Amikacin sulfate
ін'єкція Cefpirome sulfate
3677
сумісний
ін'єкція Amikacin sulfate 5 mg/ml
ін'єкція Cefpirome sulfate 50 mg/ml
Натрію хлорид 0,45% 280
сумісний
ін'єкція Amikacin sulfate 5 mg/ml
ін'єкція Cefpirome sulfate 50 mg/ml
Глюкоза 5% 280
сумісний
ін'єкція Amikacin sulfate 5 mg/ml
ін'єкція Cefpirome sulfate 50 mg/ml
Натрію хлорид 0,9% 280
сумісний
ін'єкція Amikacin sulfate 5 mg/ml
ін'єкція Cefpirome sulfate 50 mg/ml
Розчин лактату Рінгера 280
Хімічна нестійкість Несумісні
ін'єкція Amikacin sulfate
ін'єкція Cefpirome sulfate
3549
сумісний
ін'єкція Amikacin sulfate 5 mg/ml
ін'єкція Ceftaroline fosamil 2,22 mg/ml
Розчин лактату Рінгера 3249
сумісний
ін'єкція Amikacin sulfate 5 mg/ml
ін'єкція Ceftaroline fosamil 2,22 mg/ml
Глюкоза 5% 3249
сумісний
ін'єкція Amikacin sulfate 5 mg/ml
ін'єкція Ceftaroline fosamil 2,22 mg/ml
Натрію хлорид 0,9% 3249
Неуточнена несумісність Несумісні
ін'єкція Amikacin sulfate
ін'єкція Ceftazidime
3883
Неуточнена несумісність Несумісні
ін'єкція Amikacin sulfate
ін'єкція Ceftazidime
3543
сумісний
ін'єкція Amikacin sulfate 15 mg/ml
ін'єкція Ceftazidime 83.3 mg/ml
1759
Хімічна нестійкість Несумісні
ін'єкція Amikacin sulfate
ін'єкція Ceftazidime Avibactam
3549
Миттєві опади Несумісні
ін'єкція Amikacin sulfate 5 mg/ml
ін'єкція Ceftobiprole medocaril sodium 2 mg/ml
Натрію хлорид 0,9% 2269
Неуточнена несумісність Несумісні
ін'єкція Amikacin sulfate
ін'єкція Ceftobiprole medocaril sodium
4650
сумісний
ін'єкція Amikacin sulfate
Глюкоза 5% 5076
Хімічна нестійкість Несумісні
ін'єкція Amikacin sulfate
ін'єкція Ceftaroline fosamil
3549
Хімічна нестійкість Несумісні
ін'єкція Amikacin sulfate
ін'єкція Ceftazidime
3549
сумісний
ін'єкція Amikacin sulfate 15 mg/ml
ін'єкція Ceftazidime 125 mg/ml
Вода для ін'єкцій 2141
Хімічна нестійкість Несумісні
ін'єкція Amikacin sulfate
ін'єкція Ceftizoxime sodium
3549
Миттєві опади Несумісні
ін'єкція Amikacin sulfate 5 mg/ml
ін'єкція Ceftobiprole medocaril sodium 2 mg/ml
Глюкоза 5% 2269
Хімічна нестійкість Несумісні
ін'єкція Amikacin sulfate
ін'єкція Ceftobiprole medocaril sodium
3549
Миттєві опади Несумісні
ін'єкція Amikacin sulfate 5 mg/ml
ін'єкція Ceftobiprole medocaril sodium 2 mg/ml
Розчин лактату Рінгера 2269
сумісний
ін'єкція Amikacin sulfate 5 mg/ml
ін'єкція Ceftolozane / tazobactam 10/5 mg/ml
Глюкоза 5% 3828
сумісний
ін'єкція Amikacin sulfate 5 mg/ml
ін'єкція Ceftolozane / tazobactam 10/5 mg/ml
Натрію хлорид 0,9% 3828
Хімічна нестійкість Несумісні
ін'єкція Amikacin sulfate
ін'єкція Ceftolozane / tazobactam
3549
Неуточнена несумісність Несумісні
ін'єкція Amikacin sulfate
ін'єкція Ceftriaxone disodium
3523
Хімічна нестійкість Несумісні
ін'єкція Amikacin sulfate
ін'єкція Ceftriaxone disodium
3549
Хімічна нестійкість Несумісні
ін'єкція Amikacin sulfate
ін'єкція Cefuroxime sodium
3549
Неуточнена несумісність Несумісні
ін'єкція Amikacin sulfate
ін'єкція Cefuroxime sodium
3687
Хімічна нестійкість Несумісні
ін'єкція Amikacin sulfate
ін'єкція Cefuzonam
3549
Неуточнена несумісність Несумісні
ін'єкція Amikacin sulfate
ін'єкція Chlorothiazide sodium
3549
сумісний
ін'єкція Amikacin sulfate 2.5 mg/ml
ін'єкція Cimetidine hydrochloride 1.5 mg/ml
Глюкоза 5% 1201
Хімічна нестійкість Несумісні
ін'єкція Amikacin sulfate 4 mg/ml
ін'єкція Ciprofloxacin lactate 1.5 mg/ml
Натрію хлорид 0,9% 434
Хімічна нестійкість Несумісні
ін'єкція Amikacin sulfate 4 mg/ml
ін'єкція Ciprofloxacin lactate 1.5 mg/ml
Глюкоза 5% 434
сумісний
ін'єкція Amikacin sulfate 5 mg/ml
ін'єкція Cisatracurium besylate 0.1 >> 5 mg/ml
Глюкоза 5% 299
сумісний
ін'єкція Amikacin sulfate 4 mg/ml
ін'єкція Clindamycin phosphate 9 mg/ml
Натрію хлорид 0,9% 565
сумісний
ін'єкція Amikacin sulfate 250 mg/ml
Парентеральне харчування (бінарна суміш) 999
сумісний
ін'єкція Amikacin sulfate 5 mg/ml
ін'єкція Ciprofloxacin lactate 2 mg/ml
Глюкоза 5% 285
Хімічна нестійкість Несумісні
ін'єкція Amikacin sulfate
ін'єкція Cisplatin
3578
сумісний
ін'єкція Amikacin sulfate 75 mg/ml
ін'єкція Clindamycin phosphate 90 mg/ml
Натрію хлорид 0,9% 639
сумісний
ін'єкція Amikacin sulfate
ін'єкція Clindamycin phosphate
Натрію хлорид 0,9% 3526
Підзорова несумісність Несумісні
ін'єкція Amikacin sulfate 250 mg/ml
ін'єкція Cloxacillin sodium 100 mg/ml
Вода для ін'єкцій 3012
Неуточнена несумісність Несумісні
ін'єкція Amikacin sulfate
ін'єкція Daunorubicin/cytarabine liposomale
4354
сумісний
ін'єкція Amikacin sulfate 5 mg/ml
Парентеральне харчування (бінарна суміш) 316
сумісний
ін'єкція Amikacin sulfate 4 mg/ml
ін'єкція Clindamycin phosphate 9 mg/ml
Глюкоза 5% 565
сумісний
ін'єкція Amikacin sulfate
ін'єкція Clindamycin phosphate
Глюкоза 5% 3526
Хімічна нестійкість Несумісні
ін'єкція Amikacin sulfate
ін'єкція Cloxacillin sodium
3549
Неуточнена несумісність Несумісні
ін'єкція Amikacin sulfate
ін'єкція Cyanocobalamine
3549
Негайне помутніння Несумісні
ін'єкція Amikacin sulfate
ін'єкція Daunorubicin/cytarabine liposomale 0,4 mg/mL
Натрію хлорид 0,9% 4654
Миттєві опади Несумісні
ін'єкція Amikacin sulfate 5 mg/ml
ін'єкція Defibrotide 8 mg/ml
Натрію хлорид 0,9% 3728
сумісний
ін'єкція Amikacin sulfate 50 mg/ml
ін'єкція Dexamethasone sodium phosphate 4 mg/ml
Натрію хлорид 0,45% 132
Неуточнена несумісність Несумісні
ін'єкція Amikacin sulfate
ін'єкція Erythromycin lactobionate
3549
сумісний
ін'єкція Amikacin sulfate 5 mg/ml
Парентеральне харчування (бінарна суміш) 301
сумісний
ін'єкція Amikacin sulfate 5 mg/ml
ін'єкція Dexmedetomidine 4 µg/ml
Натрію хлорид 0,9% 1712
сумісний
ін'єкція Amikacin sulfate 5 & 250 mg/ml
ін'єкція Diltiazem hydrochloride 5 mg/ml
Натрію хлорид 0,9% 198
сумісний
ін'єкція Amikacin sulfate 5 mg/ml
ін'єкція Docetaxel 0.9 mg/ml
Глюкоза 5% 1754
сумісний
ін'єкція Amikacin sulfate 5 mg/ml
ін'єкція Doripenem 5 mg/ml
Натрію хлорид 0,9% 2262
сумісний
ін'єкція Amikacin sulfate 5 mg/ml
ін'єкція Doripenem 5 mg/ml
Глюкоза 5% 2262
Хімічна нестійкість Несумісні
ін'єкція Amikacin sulfate
ін'єкція Doripenem
3549
сумісний
ін'єкція Amikacin sulfate 2 mg/ml
ін'єкція Enalaprilate 0.05 mg/ml
Натрію хлорид 0,9% 1315
Хімічна нестійкість Несумісні
ін'єкція Amikacin sulfate
ін'єкція Ertapenem
3549
Неуточнена несумісність Несумісні
ін'єкція Amikacin sulfate
ін'єкція Erythromycin lactobionate
3674
сумісний
ін'єкція Amikacin sulfate 5 mg/ml
ін'єкція Esmolol hydrochloride 10 mg/ml
Глюкоза 5% 384
сумісний
ін'єкція Amikacin sulfate 5 mg/ml
ін'єкція Etoposide phosphate 5 mg/ml
Глюкоза 5% 1410
сумісний
ін'єкція Amikacin sulfate 5 mg/ml
ін'єкція Fenoldopam mesylate 80 µg/ml
Натрію хлорид 0,9% 1803
сумісний
ін'єкція Amikacin sulfate 5 mg/ml
ін'єкція Filgrastim 30 µg/ml
Глюкоза 5% 244
сумісний
ін'єкція Amikacin sulfate 0.487 >> 0.667 mg/ml
Парентеральне харчування (ліпідами) 1868
сумісний
ін'єкція Amikacin sulfate 250 mg/ml
Розчин лактату Рінгера 4603
Нестійкість емульсії через 1 год Несумісні
ін'єкція Amikacin sulfate 250 mg/ml
Парентеральне харчування (ліпідами) 673
сумісний
ін'єкція Amikacin sulfate 5 mg/ml
ін'єкція Filgrastim 40 µg/ml
Глюкоза 5% 104
Негайна нестійкість емульсії Несумісні
ін'єкція Amikacin sulfate 50 mg/ml
Парентеральне харчування (ліпідами) 132
сумісний
ін'єкція Amikacin sulfate 5 mg/ml
Парентеральне харчування (ліпідами) 1415
Миттєві опади Несумісні
ін'єкція Amikacin sulfate
ін'єкція Flucloxacillin sodium
3522
сумісний
ін'єкція Amikacin sulfate 20 mg/ml
ін'єкція Fluconazole 2 mg/ml
Натрію хлорид 0,9% 496
сумісний
ін'єкція Amikacin sulfate 5 mg/ml
ін'єкція Fluconazole 2 mg/ml
Жодного 256
сумісний
ін'єкція Amikacin sulfate 5 mg/ml
ін'єкція Fludarabine phosphate 1 mg/ml
Глюкоза 5% 492
сумісний
ін'єкція Amikacin sulfate 20 mg/ml
ін'єкція Foscarnet sodium 24 mg/ml
Жодного 73
сумісний
ін'єкція Amikacin sulfate 5 mg/ml
ін'єкція Fosfomycin 30 mg/ml
Натрію хлорид 0,9% 4055
сумісний
ін'єкція Amikacin sulfate 5 mg/ml
ін'єкція Fosfomycin 30 mg/ml
Глюкоза 5% 4055
Миттєві опади Несумісні
ін'єкція Amikacin sulfate 2 mg/ml
ін'єкція Furosemide 0,16 mg/ml
Натрію хлорид 0,9% 367
Миттєві опади Несумісні
ін'єкція Amikacin sulfate 2 mg/ml
ін'єкція Furosemide 0,16 mg/ml
Глюкоза 5% 367
сумісний
ін'єкція Amikacin sulfate 5 mg/ml
ін'єкція Gemcitabine hydrochloride 10 mg/ml
Натрію хлорид 0,9% 1423
сумісний
ін'єкція Amikacin sulfate 5 mg/ml
ін'єкція Granisetron hydrochloride 0.05 mg/ml
Глюкоза 5% 182
Неуточнена несумісність Несумісні
ін'єкція Amikacin sulfate
ін'єкція Heparin sodium
3549
Неуточнена несумісність Несумісні
ін'єкція Amikacin sulfate
ін'єкція Heparin sodium
3540
Миттєві опади Несумісні
ін'єкція Amikacin sulfate
ін'єкція Heparin sodium
1022
сумісний
ін'єкція Amikacin sulfate 5 mg/ml
ін'єкція Hetastarch 60 mg/ml
специфічний розчинник 1721
Миттєві опади Несумісні
ін'єкція Amikacin sulfate 5 mg/ml
ін'єкція Hetastarch 60 mg/ml
Натрію хлорид 0,9% 472
сумісний
ін'єкція Amikacin sulfate 5 mg/ml
ін'єкція Hydromorphone hydrochloride 0.2 mg/ml
Глюкоза 5% 405
Негайне помутніння Несумісні
ін'єкція Amikacin sulfate 50 mg/ml
ін'єкція Ibuprofen lysinate 10 mg/ml
Вода для ін'єкцій 4419
Негайне помутніння Несумісні
ін'єкція Amikacin sulfate 250 mg/ml
ін'єкція Ibuprofen lysinate 10 mg/ml
Вода для ін'єкцій 4419
сумісний
ін'єкція Amikacin sulfate 5 mg/ml
ін'єкція Idarubicin hydrochloride 1 mg/ml
Натрію хлорид 0,9% 491
Хімічна нестійкість Несумісні
ін'єкція Amikacin sulfate
ін'єкція Imipenem - cilastatin sodium
3549
сумісний
ін'єкція Amikacin sulfate 5 mg/ml
ін'єкція Isavuconazonium sulfate 1.5 mg/ml
Глюкоза 5% 3829
сумісний
ін'єкція Amikacin sulfate 5 mg/ml
ін'єкція Isavuconazonium sulfate 1.5 mg/ml
Натрію хлорид 0,9% 3829
сумісний
ін'єкція Amikacin sulfate 250 mg/ml
ін'єкція Ketamine hydrochloride 50 mg/ml
2109
сумісний
ін'єкція Amikacin sulfate 5 mg/ml
ін'єкція Labetalol hydrochloride 1 mg/ml
Глюкоза 5% 386
сумісний
ін'єкція Amikacin sulfate 5 mg/ml
ін'єкція Lansoprazole 0.55 mg/ml
Натрію хлорид 0,9% 1625
сумісний
ін'єкція Amikacin sulfate 50 mg/ml
ін'єкція Levofloxacine 5 mg/ml
Глюкоза 5% 1072
сумісний
ін'єкція Amikacin sulfate 5 mg/ml
ін'єкція Linezolid 2 mg/ml
Жодного 1925
сумісний
ін'єкція Amikacin sulfate 5 mg/ml
ін'єкція Lorazepam 0.33 mg/ml
Натрію хлорид 0,9% 186
сумісний
ін'єкція Amikacin sulfate 5 mg/ml
ін'єкція Magnesium sulfate 16.67 >> 100 mg/ml
Глюкоза 5% 1047
сумісний
ін'єкція Amikacin sulfate 5 mg/ml
ін'єкція Melphalan 0.1 mg/ml
Натрію хлорид 0,9% 169
сумісний
ін'єкція Amikacin sulfate 250 mg/ml
ін'єкція Meropenem 50 mg/ml
4389
сумісний
ін'єкція Amikacin sulfate 250 mg/ml
ін'єкція Meropenem 50 mg/ml
Вода для ін'єкцій 4319
Хімічна нестійкість Несумісні
ін'єкція Amikacin sulfate
ін'єкція Meropenem
3549
сумісний
ін'єкція Amikacin sulfate
ін'єкція Metronidazole
3594
сумісний
ін'єкція Amikacin sulfate 5 mg/ml
ін'єкція Metronidazole 5 mg/ml
Жодного 1035
сумісний
ін'єкція Amikacin sulfate 5 mg/ml
ін'єкція Midazolam hydrochloride 5 mg/ml
Жодного 186
сумісний
ін'єкція Amikacin sulfate 5 mg/ml
ін'єкція Morphine sulfate 1 mg/ml
Глюкоза 5% 405
сумісний
ін'єкція Amikacin sulfate 250 mg/ml
ін'єкція N-acetylcysteine 200 mg/ml
Жодного 3766
Хімічна нестійкість Несумісні
ін'єкція Amikacin sulfate
ін'єкція Nafcillin sodium
3549
сумісний
ін'єкція Amikacin sulfate 2,5 mg/ml
ін'єкція Nalbuphine hydrochloride 0,05 >> 0,33 mg/ml
Натрію хлорид 0,9% 4867
сумісний
ін'єкція Amikacin sulfate 250 mg/ml
ін'єкція Naloxone hydrochloride 0.4 mg/ml
Жодного 3408
сумісний
ін'єкція Amikacin sulfate 2 mg/ml
ін'єкція Nicardipine hydrochloride 0.1 mg/ml
Глюкоза 5% 1490
сумісний
ін'єкція Amikacin sulfate 2 mg/ml
ін'єкція Nicardipine hydrochloride 0.1 mg/ml
Натрію хлорид 0,9% 1490
сумісний
ін'єкція Amikacin sulfate 5 mg/ml
ін'єкція Ondansetron hydrochloride 1 mg/ml
Натрію хлорид 0,9% 334
Хімічна нестійкість Несумісні
ін'єкція Amikacin sulfate
ін'єкція Oxacillin sodium
3549
сумісний
ін'єкція Amikacin sulfate 5 mg/ml
ін'єкція Paclitaxel 1.2 mg/ml
Глюкоза 5% 248
Миттєві опади Несумісні
ін'єкція Amikacin sulfate
ін'єкція Pantoprazole sodium
2090
сумісний
ін'єкція Amikacin sulfate 250 mg/ml
ін'єкція Paracetamol 10 mg/ml
4742
сумісний
ін'єкція Amikacin sulfate 5 mg/ml
ін'єкція Pemetrexed disodium 20 mg/ml
Натрію хлорид 0,9% 1953
Хімічна нестійкість Несумісні
ін'єкція Amikacin sulfate
ін'єкція Penicillin G potassium
3549
Хімічна нестійкість Несумісні
ін'єкція Amikacin sulfate
ін'єкція Penicillin G sodium
3549
сумісний
ін'єкція Amikacin sulfate 50 mg/ml
ін'єкція Pethidine hydrochloride 100 mg/ml
Натрію хлорид 0,45% 132
сумісний
ін'єкція Amikacin sulfate 5 mg/ml
ін'єкція Pethidine hydrochloride 10 mg/ml
Глюкоза 5% 405
Неуточнена несумісність Несумісні
ін'єкція Amikacin sulfate
ін'єкція Phenytoin sodium
3549
сумісний
ін'єкція Amikacin sulfate 40 mg/ml
ін'єкція Phloroglucinol 2,5 mg/ml
3791
Хімічна нестійкість Несумісні
ін'єкція Amikacin sulfate
ін'єкція Piperacillin sodium
3549
Хімічна нестійкість Несумісні
ін'єкція Amikacin sulfate
ін'єкція Piperacillin sodium / tazobactam
3549
Хімічна нестійкість Несумісні
ін'єкція Amikacin sulfate
ін'єкція Piperacillin sodium / tazobactam
3586
сумісний
ін'єкція Amikacin sulfate
ін'єкція Posaconazole
4380
Миттєві опади Несумісні
ін'єкція Amikacin sulfate 5 mg/ml
ін'єкція Propofol 10 mg/ml
Жодного 300
Неуточнена несумісність Несумісні
ін'єкція Amikacin sulfate
ін'єкція Pyridoxine hydrochloride
3549
сумісний
ін'єкція Amikacin sulfate 5 mg/ml
ін'єкція Remifentanil hydrochloride 25 & 250 µg/ml
Натрію хлорид 0,9% 59
Миттєві опади Несумісні
ін'єкція Amikacin sulfate 250 mg/ml
ін'єкція Salbutamol sulfate 1 mg/ml
Жодного 3216
сумісний
ін'єкція Amikacin sulfate 5 mg/ml
ін'єкція Sargramostim 10 µg/ml
Натрію хлорид 0,9% 335
сумісний
ін'єкція Amikacin sulfate 10 mg/ml
ін'єкція Sulbactam/durlobactam 15/15 mg/ml
Натрію хлорид 0,9% 4801
сумісний
ін'єкція Amikacin sulfate 5 mg/ml
ін'єкція Tedizolid phosphate 0.8 mg/ml
Натрію хлорид 0,9% 3827
Неуточнена несумісність Несумісні
ін'єкція Amikacin sulfate
ін'єкція Teicoplanine
3656
сумісний
ін'єкція Amikacin sulfate
Натрію хлорид 0,9% 5076
Неуточнена несумісність Несумісні
ін'єкція Amikacin sulfate 50 mg/ml
ін'єкція Propofol
4524
Неуточнена несумісність Несумісні
ін'єкція Amikacin sulfate
ін'єкція Temocilline
2296
сумісний
ін'єкція Amikacin sulfate 15 mg/ml
ін'єкція Temocilline 83.33 mg/ml
Вода для ін'єкцій 2231
Хімічна нестійкість Несумісні
ін'єкція Amikacin sulfate
ін'єкція Temocilline
3549
сумісний
ін'єкція Amikacin sulfate 5 mg/ml
ін'єкція Teniposide 0.1 mg/ml
Глюкоза 5% 905
Неуточнена несумісність Несумісні
ін'єкція Amikacin sulfate
ін'єкція Thiamine hydrochloride
3549
Миттєві опади Несумісні
ін'єкція Amikacin sulfate 250 mg/ml
ін'єкція Thiopental sodium 25 mg/ml
Натрію хлорид 0,9% 3767
Неуточнена несумісність Несумісні
ін'єкція Amikacin sulfate
ін'єкція Thiopental sodium
3549
сумісний
ін'єкція Amikacin sulfate 5 mg/ml
ін'єкція Thiotepa 1 mg/ml
Глюкоза 5% 249
Хімічна нестійкість Несумісні
ін'єкція Amikacin sulfate
ін'єкція Ticarcillin / clavulanic acid
3587
Хімічна нестійкість Несумісні
ін'єкція Amikacin sulfate
ін'єкція Ticarcillin / clavulanic acid
3549
сумісний
ін'єкція Amikacin sulfate
ін'єкція Tigecycline
Натрію хлорид 0,9% 3332
сумісний
ін'єкція Amikacin sulfate 15 mg/ml
ін'єкція Vancomycin hydrochloride 10 mg/ml
Глюкоза 5% 3385
сумісний
ін'єкція Amikacin sulfate 2 mg/ml
ін'єкція Verapamil hydrochloride 0.08 mg/ml
Натрію хлорид 0,9% 1057
сумісний
ін'єкція Amikacin sulfate 2 mg/ml
ін'єкція Verapamil hydrochloride 0.08 mg/ml
Глюкоза 5% 1057
Негайне помутніння Несумісні
ін'єкція Amikacin sulfate 5 mg/ml
ін'єкція Vinorelbine tartrate 1 mg/ml
Натрію хлорид 0,9% 84
сумісний
ін'єкція Amikacin sulfate 5 mg/ml
ін'єкція Warfarin sodium 0.1 & 2 mg/ml
Глюкоза 5% 552
сумісний
ін'єкція Amikacin sulfate 5 mg/ml
ін'єкція Warfarin sodium 0.1 & 2 mg/ml
Натрію хлорид 0,9% 552
сумісний
ін'єкція Amikacin sulfate 4 mg/ml
ін'єкція Zidovudine 4 mg/ml
Глюкоза 5% 337

  Mentions Légales