Letztes “update” :
18/03/2026
Antibiotikum   Amikacin sulfate  
Injektion
Stabilität der Lösung Gemengestabilität Stabilitätbeeinflussende Faktoren Kompatibilitäten Applikationsart Literaturverzeichnis pdf
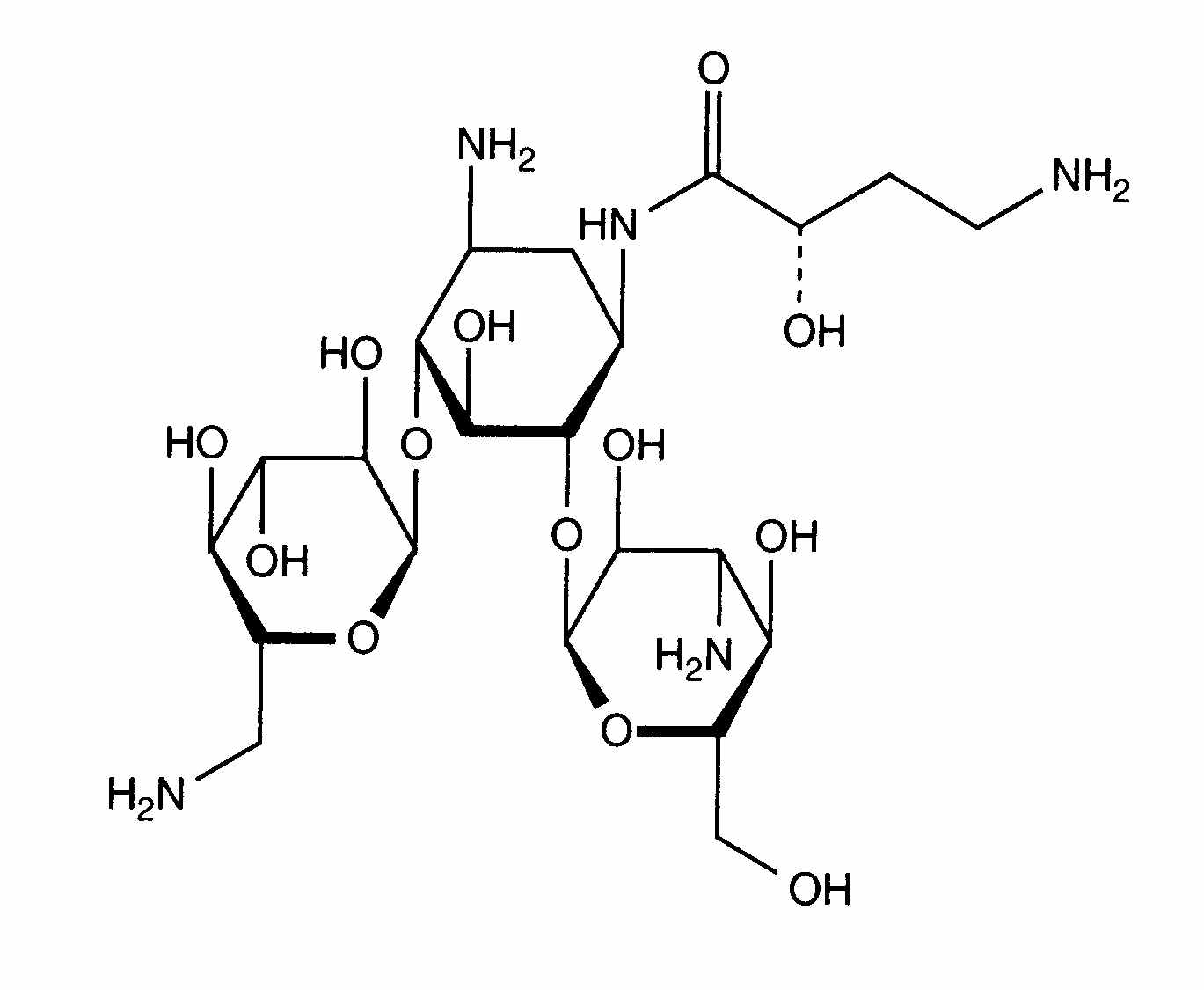
   Chemische Struktur  

Handelsmarke   Handelsmarke     

Handelsnamen sind als beispielhaft anzusehen. Sonstige Bestandteile können je nach Hersteller oder Land verschieden sein

Adnet Indien
Agnicin Mexiko
Akamin Ecuador
Akim Ecuador
Amicacil Brasilien
Amicilon Brasilien
Amicin Malaysia
Amicip Venezuela
Amijeksin Türkei
Amikabiot Ecuador, Peru
Amikacin Ägypten, Deutschland, Großbritannien, Iran, Kanada, Malaysia, Neuseeland, Saudi-Arabien, Vereinigte Staaten von Amerika
Amikacina Argentinien, Chile, Ecuador, Italien, Kolumbien, Mexiko, Peru, Spanien, Venezuela
Amikacine Belgien, Frankreich, Marokko, Niederlande
Amikafur Mexiko
Amikagram Peru
Amikalem Mexiko
Amikamed Peru
Amikamek Peru
Amikan Italien
Amikavax Venezuela
Amikaver Türkei
Amikayect Mexiko
Amikem Peru
Amiketem Türkei
Amikin Ägypten, Australien, Brasilien, Ecuador, Großbritannien, Irland, Kolumbien, Mexiko, Peru, Polen, Saudi-Arabien, Schweiz, Tunesien, Ungarn, Vereinigte Staaten von Amerika
Amiklin Frankreich, Türkei
Amikosit Rumänien, Tunesien, Türkei
Amikram Peru
Amukin Belgien, Luxemburg, Niederlande
Apalin Malaysia
Baxi K Chile, Mexiko
Behcacin Indien, Venezuela
Belka Indien
Biclin Deutschland, Finnland, Mexiko, Österreich, Portugal, Schweden, Spanien
Biodacyna Polen
Biokacin Mexiko
Briklin Griechenland
Cadicin Indien
Chemacin Italien
Cikabit Indien
Cinamica Indien
Cinas Indien
Consumonit Griechenland
Domak Indien
Doxocar Argentinien
Elcin Indien
Elmik Indien
Emcin Indien
Emica Indien
Farcyclin Griechenland
Flexelite Griechenland
Greini Argentinien
Ipacin Iran
Itukacin Peru
Kancin Griechenland
Lanomycin Griechenland
Lukadin Italien
Masmika Indien
Mediamik Italien
Micalpha Griechenland
Micigen Mexiko
Migracin Italien
Mikacin Saudi-Arabien
Nekacin Italien
Novamin Brasilien
Orlobin Griechenland
Remikin Griechenland
Rovericlin Griechenland
Uzix Griechenland
Kompatibilitäten   Injektion   Kompatibilitäten : Amikacin sulfate              
Dieser Bildschirm zeigt die Kompatibilitäten oder Inkompatibilitäten mit der Art der Inkompatibilität (hier: Ausfällung, Farbänderung, Modifikation einer Emulsion usw.) an. Die hier gezeigten Kompatibilitäten sind meist nur physikalisch, wobei die chemische Stabilität jedes Moleküls selten bewertet wird. Die Bewertung dieser Gemische wurde untersucht, um die Möglichkeit einer Verabreichung über eine Y-Verbindung zu berücksichtigen. Diese Daten können daher nicht zur Herstellung von Mischungen im Voraus in Beuteln oder Spritzen verwendet werden. Sie finden diese Informationen auf dem Bildschirm "Stabilität in Mischung».
Molekül Lösungsmittel Literaturverzeichnis
kompatibel
Injektion Amikacin sulfate 5 mg/ml
Injektion Aciclovir sodium 5 mg/ml
5% Glucose 336
Niederschlag nach 1 Stunde nicht kompatibel
Injektion Amikacin sulfate 5 mg/ml
Injektion Allopurinol sodium 3 mg/ml
0,9% Natriumchlorid 307
kompatibel
Injektion Amikacin sulfate 5 mg/ml
Injektion Amifostine 10 mg/ml
5% Glucose 3
kompatibel
Injektion Amikacin sulfate 5 mg/ml
Injektion Amiodarone hydrochloride 4 mg/ml
0,9% Natriumchlorid 385
kompatibel
Injektion Amikacin sulfate 5 mg/ml
Injektion Amiodarone hydrochloride 4 mg/ml
5% Glucose 385
Chemische Instabilität nicht kompatibel
Injektion Amikacin sulfate
Injektion Amoxicillin sodium
3527
Chemische Instabilität nicht kompatibel
Injektion Amikacin sulfate
Injektion Amoxicillin sodium
3549
kompatibel
Injektion Amikacin sulfate 250 mg/ml
Injektion Amoxicillin sodium / clavulanic acid 100/10 mg/ml
3824
Chemische Instabilität nicht kompatibel
Injektion Amikacin sulfate
Injektion Amoxicillin sodium / clavulanic acid
3549
Nicht spezifizierte Inkompatibilität nicht kompatibel
Injektion Amikacin sulfate
Injektion Amoxicillin sodium / clavulanic acid
3545
Nicht spezifizierte Inkompatibilität nicht kompatibel
Injektion Amikacin sulfate
Injektion Amphotericin B
3549
Sofortiger Niederschlag nicht kompatibel
Injektion Amikacin sulfate 5 mg/ml
Injektion Amphotericin B cholesteryl sulfate complex 0.83 mg/ml
5% Glucose 921
Chemische Instabilität nicht kompatibel
Injektion Amikacin sulfate
Injektion Ampicillin sodium
3549
Chemische Instabilität nicht kompatibel
Injektion Amikacin sulfate
Injektion Ampicillin sodium - sulbactam sodium
3549
kompatibel
Injektion Amikacin sulfate 5 mg/ml
Injektion Amsacrine 1 mg/ml
5% Glucose 253
kompatibel
Injektion Amikacin sulfate 5 mg/ml
Injektion Anidulafungin 0.5 mg/ml
5% Glucose 1982
Nicht spezifizierte Inkompatibilität nicht kompatibel
Injektion Amikacin sulfate
Injektion Ascorbic acid
3549
Sofortiger Niederschlag nicht kompatibel
Injektion Amikacin sulfate 100 mg/ml
Injektion Azithromycine 2 mg/ml
0,9% Natriumchlorid 1800
Chemische Instabilität nicht kompatibel
Injektion Amikacin sulfate
Injektion Aztreonam
3549
kompatibel
Injektion Amikacin sulfate 5 mg/ml
Injektion Aztreonam 40 mg/ml
5% Glucose 99
kompatibel
Injektion Amikacin sulfate 5 mg/ml
Injektion Bivalirudin 5 mg/ml
5% Glucose 1713
kompatibel
Injektion Amikacin sulfate 250 mg/ml
Injektion Caffeine 10 mg/ml
Kein 3964
nicht kompatibel
Injektion Amikacin sulfate
Injektion Calcium gluconate
4964
Nicht spezifizierte Inkompatibilität nicht kompatibel
Injektion Amikacin sulfate
Injektion Calcium gluconate
3644
kompatibel
Injektion Amikacin sulfate 5 mg/ml
Injektion Caspofungin acetate 0,7 mg/ml
0,9% Natriumchlorid 2247
Chemische Instabilität nicht kompatibel
Injektion Amikacin sulfate
Injektion Cefalotin sodium
3549
Chemische Instabilität nicht kompatibel
Injektion Amikacin sulfate
Injektion Cefamandole nafate
3549
Nicht spezifizierte Inkompatibilität nicht kompatibel
Injektion Amikacin sulfate
Injektion Cefamandole nafate
3546
Chemische Instabilität nicht kompatibel
Injektion Amikacin sulfate
Injektion Cefazolin sodium
3549
kompatibel
Injektion Amikacin sulfate 6 mg/ml
Injektion Cefepime dihydrochloride 40 mg/ml
0,9% Natriumchlorid 3548
kompatibel
Injektion Amikacin sulfate 6 mg/ml
Injektion Cefepime dihydrochloride 40 mg/ml
5% Glucose 3548
kompatibel
Injektion Amikacin sulfate 15 mg/ml
Injektion Cefepime dihydrochloride 125 mg/ml
Wasser für injektable präparate 2141
Chemische Instabilität nicht kompatibel
Injektion Amikacin sulfate
Injektion Cefepime dihydrochloride
3549
kompatibel
Injektion Amikacin sulfate 5 mg/ml
Injektion Cefiderocol sulfate tosylate 20 mg/mL
5% Glucose 4528
Chemische Instabilität nicht kompatibel
Injektion Amikacin sulfate
Injektion Cefmenoxime
3549
Chemische Instabilität nicht kompatibel
Injektion Amikacin sulfate
Injektion Cefmetazole sodium
3549
Chemische Instabilität nicht kompatibel
Injektion Amikacin sulfate
Injektion Cefonicid sodium
3549
Chemische Instabilität nicht kompatibel
Injektion Amikacin sulfate
Injektion Cefoperazone sodium
3549
Nicht spezifizierte Inkompatibilität nicht kompatibel
Injektion Amikacin sulfate
Injektion Cefoperazone sodium
3544
Chemische Instabilität nicht kompatibel
Injektion Amikacin sulfate
Injektion Ceforanide
3549
Chemische Instabilität nicht kompatibel
Injektion Amikacin sulfate
Injektion Cefotaxime sodium
3549
Chemische Instabilität nicht kompatibel
Injektion Amikacin sulfate
Injektion Cefoxitin sodium
3549
Nicht spezifizierte Inkompatibilität nicht kompatibel
Injektion Amikacin sulfate
Injektion Cefpirome sulfate
3677
kompatibel
Injektion Amikacin sulfate 5 mg/ml
Injektion Cefpirome sulfate 50 mg/ml
0,45% Natriumchlorid 280
kompatibel
Injektion Amikacin sulfate 5 mg/ml
Injektion Cefpirome sulfate 50 mg/ml
5% Glucose 280
kompatibel
Injektion Amikacin sulfate 5 mg/ml
Injektion Cefpirome sulfate 50 mg/ml
0,9% Natriumchlorid 280
kompatibel
Injektion Amikacin sulfate 5 mg/ml
Injektion Cefpirome sulfate 50 mg/ml
Ringer Lactat - Lösung 280
Chemische Instabilität nicht kompatibel
Injektion Amikacin sulfate
Injektion Cefpirome sulfate
3549
kompatibel
Injektion Amikacin sulfate 5 mg/ml
Injektion Ceftaroline fosamil 2,22 mg/ml
Ringer Lactat - Lösung 3249
kompatibel
Injektion Amikacin sulfate 5 mg/ml
Injektion Ceftaroline fosamil 2,22 mg/ml
5% Glucose 3249
kompatibel
Injektion Amikacin sulfate 5 mg/ml
Injektion Ceftaroline fosamil 2,22 mg/ml
0,9% Natriumchlorid 3249
Nicht spezifizierte Inkompatibilität nicht kompatibel
Injektion Amikacin sulfate
Injektion Ceftazidime
3883
Nicht spezifizierte Inkompatibilität nicht kompatibel
Injektion Amikacin sulfate
Injektion Ceftazidime
3543
kompatibel
Injektion Amikacin sulfate 15 mg/ml
Injektion Ceftazidime 83.3 mg/ml
1759
Chemische Instabilität nicht kompatibel
Injektion Amikacin sulfate
Injektion Ceftazidime Avibactam
3549
Sofortiger Niederschlag nicht kompatibel
Injektion Amikacin sulfate 5 mg/ml
Injektion Ceftobiprole medocaril sodium 2 mg/ml
0,9% Natriumchlorid 2269
Nicht spezifizierte Inkompatibilität nicht kompatibel
Injektion Amikacin sulfate
Injektion Ceftobiprole medocaril sodium
4650
kompatibel
Injektion Amikacin sulfate
5% Glucose 5076
Chemische Instabilität nicht kompatibel
Injektion Amikacin sulfate
Injektion Ceftaroline fosamil
3549
Chemische Instabilität nicht kompatibel
Injektion Amikacin sulfate
Injektion Ceftazidime
3549
kompatibel
Injektion Amikacin sulfate 15 mg/ml
Injektion Ceftazidime 125 mg/ml
Wasser für injektable präparate 2141
Chemische Instabilität nicht kompatibel
Injektion Amikacin sulfate
Injektion Ceftizoxime sodium
3549
Sofortiger Niederschlag nicht kompatibel
Injektion Amikacin sulfate 5 mg/ml
Injektion Ceftobiprole medocaril sodium 2 mg/ml
5% Glucose 2269
Chemische Instabilität nicht kompatibel
Injektion Amikacin sulfate
Injektion Ceftobiprole medocaril sodium
3549
Sofortiger Niederschlag nicht kompatibel
Injektion Amikacin sulfate 5 mg/ml
Injektion Ceftobiprole medocaril sodium 2 mg/ml
Ringer Lactat - Lösung 2269
kompatibel
Injektion Amikacin sulfate 5 mg/ml
Injektion Ceftolozane / tazobactam 10/5 mg/ml
5% Glucose 3828
kompatibel
Injektion Amikacin sulfate 5 mg/ml
Injektion Ceftolozane / tazobactam 10/5 mg/ml
0,9% Natriumchlorid 3828
Chemische Instabilität nicht kompatibel
Injektion Amikacin sulfate
Injektion Ceftolozane / tazobactam
3549
Nicht spezifizierte Inkompatibilität nicht kompatibel
Injektion Amikacin sulfate
Injektion Ceftriaxone disodium
3523
Chemische Instabilität nicht kompatibel
Injektion Amikacin sulfate
Injektion Ceftriaxone disodium
3549
Chemische Instabilität nicht kompatibel
Injektion Amikacin sulfate
Injektion Cefuroxime sodium
3549
Nicht spezifizierte Inkompatibilität nicht kompatibel
Injektion Amikacin sulfate
Injektion Cefuroxime sodium
3687
Chemische Instabilität nicht kompatibel
Injektion Amikacin sulfate
Injektion Cefuzonam
3549
Nicht spezifizierte Inkompatibilität nicht kompatibel
Injektion Amikacin sulfate
Injektion Chlorothiazide sodium
3549
kompatibel
Injektion Amikacin sulfate 2.5 mg/ml
Injektion Cimetidine hydrochloride 1.5 mg/ml
5% Glucose 1201
Chemische Instabilität nicht kompatibel
Injektion Amikacin sulfate 4 mg/ml
Injektion Ciprofloxacin lactate 1.5 mg/ml
0,9% Natriumchlorid 434
Chemische Instabilität nicht kompatibel
Injektion Amikacin sulfate 4 mg/ml
Injektion Ciprofloxacin lactate 1.5 mg/ml
5% Glucose 434
kompatibel
Injektion Amikacin sulfate 5 mg/ml
Injektion Cisatracurium besylate 0.1 >> 5 mg/ml
5% Glucose 299
kompatibel
Injektion Amikacin sulfate 4 mg/ml
Injektion Clindamycin phosphate 9 mg/ml
0,9% Natriumchlorid 565
kompatibel
Injektion Amikacin sulfate 250 mg/ml
Parenterale Ernährung (Lipid-frei) 999
kompatibel
Injektion Amikacin sulfate 5 mg/ml
Injektion Ciprofloxacin lactate 2 mg/ml
5% Glucose 285
Chemische Instabilität nicht kompatibel
Injektion Amikacin sulfate
Injektion Cisplatin
3578
kompatibel
Injektion Amikacin sulfate 75 mg/ml
Injektion Clindamycin phosphate 90 mg/ml
0,9% Natriumchlorid 639
kompatibel
Injektion Amikacin sulfate
Injektion Clindamycin phosphate
0,9% Natriumchlorid 3526
Subvisuelle Inkompatibilität nicht kompatibel
Injektion Amikacin sulfate 250 mg/ml
Injektion Cloxacillin sodium 100 mg/ml
Wasser für injektable präparate 3012
Nicht spezifizierte Inkompatibilität nicht kompatibel
Injektion Amikacin sulfate
Injektion Daunorubicin/cytarabine liposomale
4354
kompatibel
Injektion Amikacin sulfate 5 mg/ml
Parenterale Ernährung (Lipid-frei) 316
kompatibel
Injektion Amikacin sulfate 4 mg/ml
Injektion Clindamycin phosphate 9 mg/ml
5% Glucose 565
kompatibel
Injektion Amikacin sulfate
Injektion Clindamycin phosphate
5% Glucose 3526
Chemische Instabilität nicht kompatibel
Injektion Amikacin sulfate
Injektion Cloxacillin sodium
3549
Nicht spezifizierte Inkompatibilität nicht kompatibel
Injektion Amikacin sulfate
Injektion Cyanocobalamine
3549
Sofortige Trübung nicht kompatibel
Injektion Amikacin sulfate
Injektion Daunorubicin/cytarabine liposomale 0,4 mg/mL
0,9% Natriumchlorid 4654
Sofortiger Niederschlag nicht kompatibel
Injektion Amikacin sulfate 5 mg/ml
Injektion Defibrotide 8 mg/ml
0,9% Natriumchlorid 3728
kompatibel
Injektion Amikacin sulfate 50 mg/ml
Injektion Dexamethasone sodium phosphate 4 mg/ml
0,45% Natriumchlorid 132
Nicht spezifizierte Inkompatibilität nicht kompatibel
Injektion Amikacin sulfate
Injektion Erythromycin lactobionate
3549
kompatibel
Injektion Amikacin sulfate 5 mg/ml
Parenterale Ernährung (Lipid-frei) 301
kompatibel
Injektion Amikacin sulfate 5 mg/ml
Injektion Dexmedetomidine 4 µg/ml
0,9% Natriumchlorid 1712
kompatibel
Injektion Amikacin sulfate 5 & 250 mg/ml
Injektion Diltiazem hydrochloride 5 mg/ml
0,9% Natriumchlorid 198
kompatibel
Injektion Amikacin sulfate 5 mg/ml
Injektion Docetaxel 0.9 mg/ml
5% Glucose 1754
kompatibel
Injektion Amikacin sulfate 5 mg/ml
Injektion Doripenem 5 mg/ml
0,9% Natriumchlorid 2262
kompatibel
Injektion Amikacin sulfate 5 mg/ml
Injektion Doripenem 5 mg/ml
5% Glucose 2262
Chemische Instabilität nicht kompatibel
Injektion Amikacin sulfate
Injektion Doripenem
3549
kompatibel
Injektion Amikacin sulfate 2 mg/ml
Injektion Enalaprilate 0.05 mg/ml
0,9% Natriumchlorid 1315
Chemische Instabilität nicht kompatibel
Injektion Amikacin sulfate
Injektion Ertapenem
3549
Nicht spezifizierte Inkompatibilität nicht kompatibel
Injektion Amikacin sulfate
Injektion Erythromycin lactobionate
3674
kompatibel
Injektion Amikacin sulfate 5 mg/ml
Injektion Esmolol hydrochloride 10 mg/ml
5% Glucose 384
kompatibel
Injektion Amikacin sulfate 5 mg/ml
Injektion Etoposide phosphate 5 mg/ml
5% Glucose 1410
kompatibel
Injektion Amikacin sulfate 5 mg/ml
Injektion Fenoldopam mesylate 80 µg/ml
0,9% Natriumchlorid 1803
kompatibel
Injektion Amikacin sulfate 5 mg/ml
Injektion Filgrastim 30 µg/ml
5% Glucose 244
kompatibel
Injektion Amikacin sulfate 0.487 >> 0.667 mg/ml
Parenterale Ernährung (mit Lipiden) 1868
kompatibel
Injektion Amikacin sulfate 250 mg/ml
Ringer Lactat - Lösung 4603
Instabilität der Emulsion nach 1 Stunde nicht kompatibel
Injektion Amikacin sulfate 250 mg/ml
Parenterale Ernährung (mit Lipiden) 673
kompatibel
Injektion Amikacin sulfate 5 mg/ml
Injektion Filgrastim 40 µg/ml
5% Glucose 104
Sofortige Instabilität der Emulsion nicht kompatibel
Injektion Amikacin sulfate 50 mg/ml
Parenterale Ernährung (mit Lipiden) 132
kompatibel
Injektion Amikacin sulfate 5 mg/ml
Parenterale Ernährung (mit Lipiden) 1415
Sofortiger Niederschlag nicht kompatibel
Injektion Amikacin sulfate
Injektion Flucloxacillin sodium
3522
kompatibel
Injektion Amikacin sulfate 20 mg/ml
Injektion Fluconazole 2 mg/ml
0,9% Natriumchlorid 496
kompatibel
Injektion Amikacin sulfate 5 mg/ml
Injektion Fluconazole 2 mg/ml
Kein 256
kompatibel
Injektion Amikacin sulfate 5 mg/ml
Injektion Fludarabine phosphate 1 mg/ml
5% Glucose 492
kompatibel
Injektion Amikacin sulfate 20 mg/ml
Injektion Foscarnet sodium 24 mg/ml
Kein 73
kompatibel
Injektion Amikacin sulfate 5 mg/ml
Injektion Fosfomycin 30 mg/ml
0,9% Natriumchlorid 4055
kompatibel
Injektion Amikacin sulfate 5 mg/ml
Injektion Fosfomycin 30 mg/ml
5% Glucose 4055
Sofortiger Niederschlag nicht kompatibel
Injektion Amikacin sulfate 2 mg/ml
Injektion Furosemide 0,16 mg/ml
0,9% Natriumchlorid 367
Sofortiger Niederschlag nicht kompatibel
Injektion Amikacin sulfate 2 mg/ml
Injektion Furosemide 0,16 mg/ml
5% Glucose 367
kompatibel
Injektion Amikacin sulfate 5 mg/ml
Injektion Gemcitabine hydrochloride 10 mg/ml
0,9% Natriumchlorid 1423
kompatibel
Injektion Amikacin sulfate 5 mg/ml
Injektion Granisetron hydrochloride 0.05 mg/ml
5% Glucose 182
Nicht spezifizierte Inkompatibilität nicht kompatibel
Injektion Amikacin sulfate
Injektion Heparin sodium
3549
Nicht spezifizierte Inkompatibilität nicht kompatibel
Injektion Amikacin sulfate
Injektion Heparin sodium
3540
Sofortiger Niederschlag nicht kompatibel
Injektion Amikacin sulfate
Injektion Heparin sodium
1022
kompatibel
Injektion Amikacin sulfate 5 mg/ml
Injektion Hetastarch 60 mg/ml
spezifische Lösungsmittel 1721
Sofortiger Niederschlag nicht kompatibel
Injektion Amikacin sulfate 5 mg/ml
Injektion Hetastarch 60 mg/ml
0,9% Natriumchlorid 472
kompatibel
Injektion Amikacin sulfate 5 mg/ml
Injektion Hydromorphone hydrochloride 0.2 mg/ml
5% Glucose 405
Sofortige Trübung nicht kompatibel
Injektion Amikacin sulfate 50 mg/ml
Injektion Ibuprofen lysinate 10 mg/ml
Wasser für injektable präparate 4419
Sofortige Trübung nicht kompatibel
Injektion Amikacin sulfate 250 mg/ml
Injektion Ibuprofen lysinate 10 mg/ml
Wasser für injektable präparate 4419
kompatibel
Injektion Amikacin sulfate 5 mg/ml
Injektion Idarubicin hydrochloride 1 mg/ml
0,9% Natriumchlorid 491
Chemische Instabilität nicht kompatibel
Injektion Amikacin sulfate
Injektion Imipenem - cilastatin sodium
3549
kompatibel
Injektion Amikacin sulfate 5 mg/ml
Injektion Isavuconazonium sulfate 1.5 mg/ml
5% Glucose 3829
kompatibel
Injektion Amikacin sulfate 5 mg/ml
Injektion Isavuconazonium sulfate 1.5 mg/ml
0,9% Natriumchlorid 3829
kompatibel
Injektion Amikacin sulfate 250 mg/ml
Injektion Ketamine hydrochloride 50 mg/ml
2109
kompatibel
Injektion Amikacin sulfate 5 mg/ml
Injektion Labetalol hydrochloride 1 mg/ml
5% Glucose 386
kompatibel
Injektion Amikacin sulfate 5 mg/ml
Injektion Lansoprazole 0.55 mg/ml
0,9% Natriumchlorid 1625
kompatibel
Injektion Amikacin sulfate 50 mg/ml
Injektion Levofloxacine 5 mg/ml
5% Glucose 1072
kompatibel
Injektion Amikacin sulfate 5 mg/ml
Injektion Linezolid 2 mg/ml
Kein 1925
kompatibel
Injektion Amikacin sulfate 5 mg/ml
Injektion Lorazepam 0.33 mg/ml
0,9% Natriumchlorid 186
kompatibel
Injektion Amikacin sulfate 5 mg/ml
Injektion Magnesium sulfate 16.67 >> 100 mg/ml
5% Glucose 1047
kompatibel
Injektion Amikacin sulfate 5 mg/ml
Injektion Melphalan 0.1 mg/ml
0,9% Natriumchlorid 169
kompatibel
Injektion Amikacin sulfate 250 mg/ml
Injektion Meropenem 50 mg/ml
4389
kompatibel
Injektion Amikacin sulfate 250 mg/ml
Injektion Meropenem 50 mg/ml
Wasser für injektable präparate 4319
Chemische Instabilität nicht kompatibel
Injektion Amikacin sulfate
Injektion Meropenem
3549
kompatibel
Injektion Amikacin sulfate
Injektion Metronidazole
3594
kompatibel
Injektion Amikacin sulfate 5 mg/ml
Injektion Metronidazole 5 mg/ml
Kein 1035
kompatibel
Injektion Amikacin sulfate 5 mg/ml
Injektion Midazolam hydrochloride 5 mg/ml
Kein 186
kompatibel
Injektion Amikacin sulfate 5 mg/ml
Injektion Morphine sulfate 1 mg/ml
5% Glucose 405
kompatibel
Injektion Amikacin sulfate 250 mg/ml
Injektion N-acetylcysteine 200 mg/ml
Kein 3766
Chemische Instabilität nicht kompatibel
Injektion Amikacin sulfate
Injektion Nafcillin sodium
3549
kompatibel
Injektion Amikacin sulfate 2,5 mg/ml
Injektion Nalbuphine hydrochloride 0,05 >> 0,33 mg/ml
0,9% Natriumchlorid 4867
kompatibel
Injektion Amikacin sulfate 250 mg/ml
Injektion Naloxone hydrochloride 0.4 mg/ml
Kein 3408
kompatibel
Injektion Amikacin sulfate 2 mg/ml
Injektion Nicardipine hydrochloride 0.1 mg/ml
5% Glucose 1490
kompatibel
Injektion Amikacin sulfate 2 mg/ml
Injektion Nicardipine hydrochloride 0.1 mg/ml
0,9% Natriumchlorid 1490
kompatibel
Injektion Amikacin sulfate 5 mg/ml
Injektion Ondansetron hydrochloride 1 mg/ml
0,9% Natriumchlorid 334
Chemische Instabilität nicht kompatibel
Injektion Amikacin sulfate
Injektion Oxacillin sodium
3549
kompatibel
Injektion Amikacin sulfate 5 mg/ml
Injektion Paclitaxel 1.2 mg/ml
5% Glucose 248
Sofortiger Niederschlag nicht kompatibel
Injektion Amikacin sulfate
Injektion Pantoprazole sodium
2090
kompatibel
Injektion Amikacin sulfate 250 mg/ml
Injektion Paracetamol 10 mg/ml
4742
kompatibel
Injektion Amikacin sulfate 5 mg/ml
Injektion Pemetrexed disodium 20 mg/ml
0,9% Natriumchlorid 1953
Chemische Instabilität nicht kompatibel
Injektion Amikacin sulfate
Injektion Penicillin G potassium
3549
Chemische Instabilität nicht kompatibel
Injektion Amikacin sulfate
Injektion Penicillin G sodium
3549
kompatibel
Injektion Amikacin sulfate 50 mg/ml
Injektion Pethidine hydrochloride 100 mg/ml
0,45% Natriumchlorid 132
kompatibel
Injektion Amikacin sulfate 5 mg/ml
Injektion Pethidine hydrochloride 10 mg/ml
5% Glucose 405
Nicht spezifizierte Inkompatibilität nicht kompatibel
Injektion Amikacin sulfate
Injektion Phenytoin sodium
3549
kompatibel
Injektion Amikacin sulfate 40 mg/ml
Injektion Phloroglucinol 2,5 mg/ml
3791
Chemische Instabilität nicht kompatibel
Injektion Amikacin sulfate
Injektion Piperacillin sodium
3549
Chemische Instabilität nicht kompatibel
Injektion Amikacin sulfate
Injektion Piperacillin sodium / tazobactam
3549
Chemische Instabilität nicht kompatibel
Injektion Amikacin sulfate
Injektion Piperacillin sodium / tazobactam
3586
kompatibel
Injektion Amikacin sulfate
Injektion Posaconazole
4380
Sofortiger Niederschlag nicht kompatibel
Injektion Amikacin sulfate 5 mg/ml
Injektion Propofol 10 mg/ml
Kein 300
Nicht spezifizierte Inkompatibilität nicht kompatibel
Injektion Amikacin sulfate
Injektion Pyridoxine hydrochloride
3549
kompatibel
Injektion Amikacin sulfate 5 mg/ml
Injektion Remifentanil hydrochloride 25 & 250 µg/ml
0,9% Natriumchlorid 59
Sofortiger Niederschlag nicht kompatibel
Injektion Amikacin sulfate 250 mg/ml
Injektion Salbutamol sulfate 1 mg/ml
Kein 3216
kompatibel
Injektion Amikacin sulfate 5 mg/ml
Injektion Sargramostim 10 µg/ml
0,9% Natriumchlorid 335
kompatibel
Injektion Amikacin sulfate 10 mg/ml
Injektion Sulbactam/durlobactam 15/15 mg/ml
0,9% Natriumchlorid 4801
kompatibel
Injektion Amikacin sulfate 5 mg/ml
Injektion Tedizolid phosphate 0.8 mg/ml
0,9% Natriumchlorid 3827
Nicht spezifizierte Inkompatibilität nicht kompatibel
Injektion Amikacin sulfate
Injektion Teicoplanine
3656
kompatibel
Injektion Amikacin sulfate
0,9% Natriumchlorid 5076
Nicht spezifizierte Inkompatibilität nicht kompatibel
Injektion Amikacin sulfate 50 mg/ml
Injektion Propofol
4524
Nicht spezifizierte Inkompatibilität nicht kompatibel
Injektion Amikacin sulfate
Injektion Temocilline
2296
kompatibel
Injektion Amikacin sulfate 15 mg/ml
Injektion Temocilline 83.33 mg/ml
Wasser für injektable präparate 2231
Chemische Instabilität nicht kompatibel
Injektion Amikacin sulfate
Injektion Temocilline
3549
kompatibel
Injektion Amikacin sulfate 5 mg/ml
Injektion Teniposide 0.1 mg/ml
5% Glucose 905
Nicht spezifizierte Inkompatibilität nicht kompatibel
Injektion Amikacin sulfate
Injektion Thiamine hydrochloride
3549
Sofortiger Niederschlag nicht kompatibel
Injektion Amikacin sulfate 250 mg/ml
Injektion Thiopental sodium 25 mg/ml
0,9% Natriumchlorid 3767
Nicht spezifizierte Inkompatibilität nicht kompatibel
Injektion Amikacin sulfate
Injektion Thiopental sodium
3549
kompatibel
Injektion Amikacin sulfate 5 mg/ml
Injektion Thiotepa 1 mg/ml
5% Glucose 249
Chemische Instabilität nicht kompatibel
Injektion Amikacin sulfate
Injektion Ticarcillin / clavulanic acid
3587
Chemische Instabilität nicht kompatibel
Injektion Amikacin sulfate
Injektion Ticarcillin / clavulanic acid
3549
kompatibel
Injektion Amikacin sulfate
Injektion Tigecycline
0,9% Natriumchlorid 3332
kompatibel
Injektion Amikacin sulfate 15 mg/ml
Injektion Vancomycin hydrochloride 10 mg/ml
5% Glucose 3385
kompatibel
Injektion Amikacin sulfate 2 mg/ml
Injektion Verapamil hydrochloride 0.08 mg/ml
0,9% Natriumchlorid 1057
kompatibel
Injektion Amikacin sulfate 2 mg/ml
Injektion Verapamil hydrochloride 0.08 mg/ml
5% Glucose 1057
Sofortige Trübung nicht kompatibel
Injektion Amikacin sulfate 5 mg/ml
Injektion Vinorelbine tartrate 1 mg/ml
0,9% Natriumchlorid 84
kompatibel
Injektion Amikacin sulfate 5 mg/ml
Injektion Warfarin sodium 0.1 & 2 mg/ml
5% Glucose 552
kompatibel
Injektion Amikacin sulfate 5 mg/ml
Injektion Warfarin sodium 0.1 & 2 mg/ml
0,9% Natriumchlorid 552
kompatibel
Injektion Amikacin sulfate 4 mg/ml
Injektion Zidovudine 4 mg/ml
5% Glucose 337

  Mentions Légales