Viimeisin päivitys :
18/03/2026
Antibiootit   Amikacin sulfate  
Injektioneste
Stabilius liuoksessa Stabilius seoksissa Tekijät, jotka vaikuttavat stabiliuteen Yhteensopivuus Antotapa Viitteet pdf
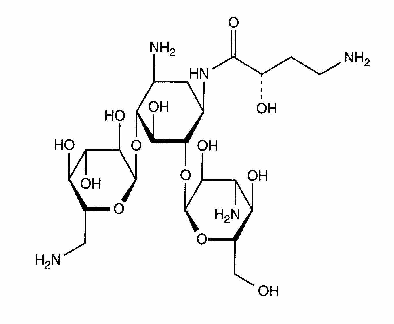
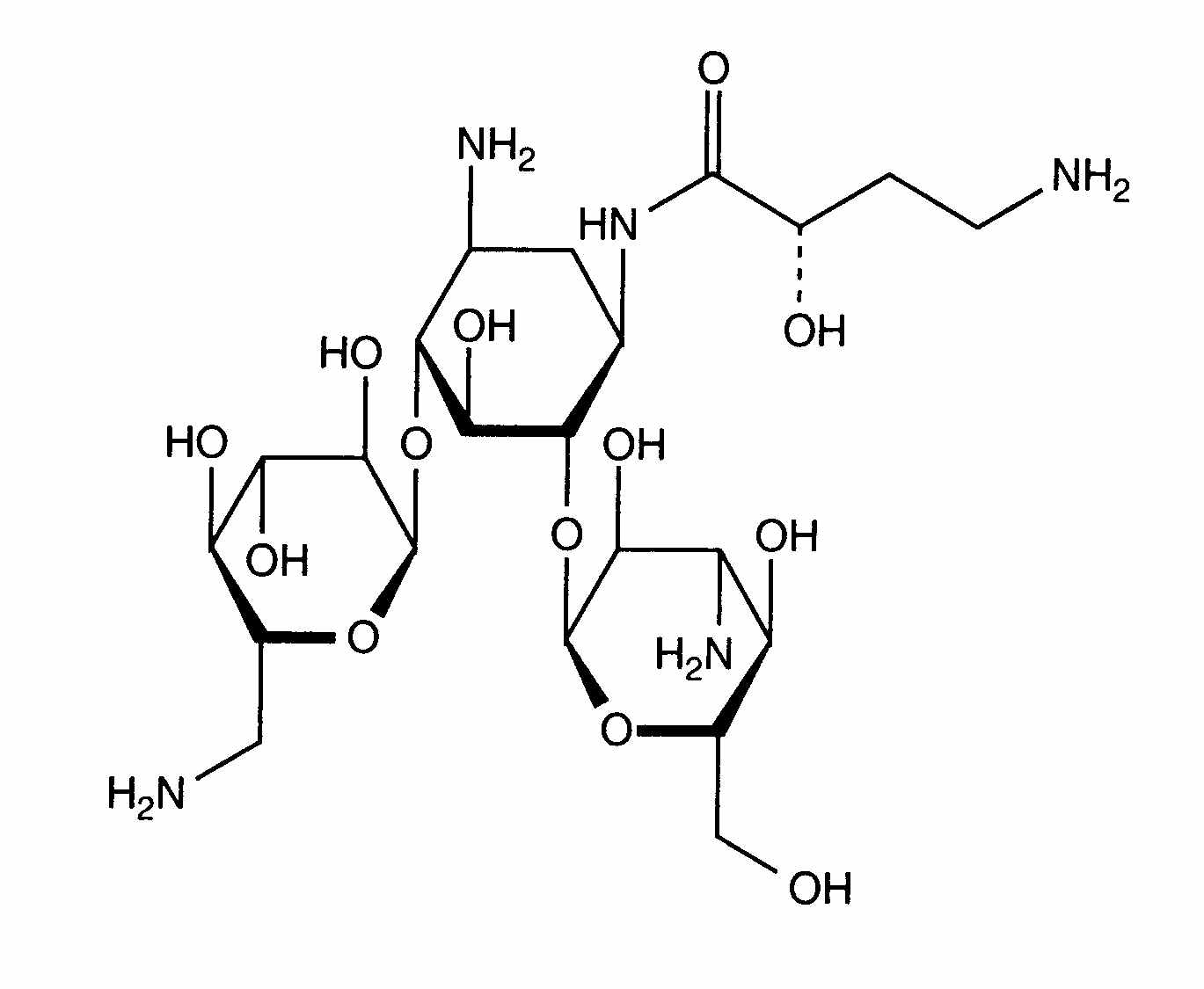
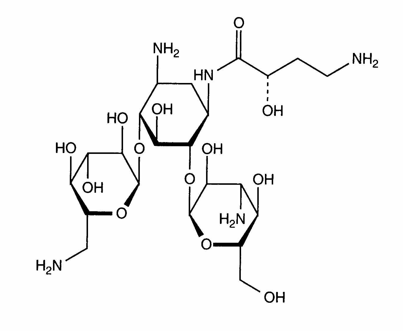
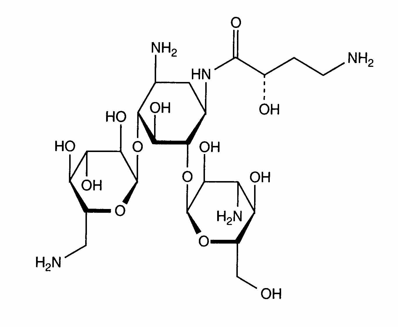
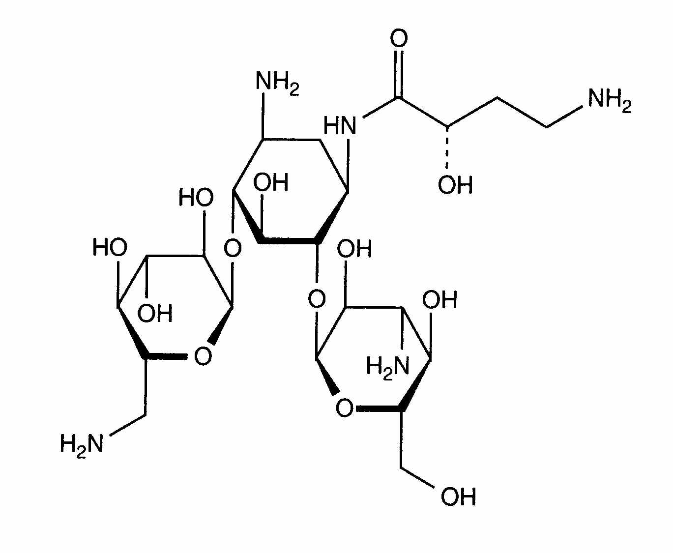
   Kemiallinen rakenne  

Kauppanimi   Kauppanimi     

Trade names are indicative and excipients composition can be different depending on the country and manufacturers

Adnet Intia
Agnicin Meksiko
Akamin Ecuador
Akim Ecuador
Amicacil Brasilia
Amicilon Brasilia
Amicin Malesia
Amicip Venezuela
Amijeksin Turkki
Amikabiot Ecuador, Marokko
Amikacin Egypti, Iran, Iso-Britannia, Kanada, Malesia, New Zealand, Saksa, Saudi-Arabia, Yhdysvallat
Amikacina Argentiina, Chile, Ecuador, Espanja, Italia, Kolumbia, Marokko, Meksiko, Venezuela
Amikacine Belgia, Hollanti, Marokko, Ranska
Amikafur Meksiko
Amikagram Marokko
Amikalem Meksiko
Amikamed Marokko
Amikamek Marokko
Amikan Italia
Amikavax Venezuela
Amikaver Turkki
Amikayect Meksiko
Amikem Marokko
Amiketem Turkki
Amikin Australia, Brasilia, Ecuador, Egypti, Irlanti, Iso-Britannia, Kolumbia, Marokko, Meksiko, Puola, Saudi-Arabia, Sveitsi, Tunisia, Unkari, Yhdysvallat
Amiklin Ranska, Turkki
Amikosit Romania, Tunisia, Turkki
Amikram Marokko
Amukin Belgia, Hollanti, Luxemburg
Apalin Malesia
Baxi K Chile, Meksiko
Behcacin Intia, Venezuela
Belka Intia
Biclin Espanja, Itävalta, Meksiko, Portugali, Ruotsi, Saksa, Suomi
Biodacyna Puola
Biokacin Meksiko
Briklin Kreikka
Cadicin Intia
Chemacin Italia
Cikabit Intia
Cinamica Intia
Cinas Intia
Consumonit Kreikka
Domak Intia
Doxocar Argentiina
Elcin Intia
Elmik Intia
Emcin Intia
Emica Intia
Farcyclin Kreikka
Flexelite Kreikka
Greini Argentiina
Ipacin Iran
Itukacin Marokko
Kancin Kreikka
Lanomycin Kreikka
Lukadin Italia
Masmika Intia
Mediamik Italia
Micalpha Kreikka
Micigen Meksiko
Migracin Italia
Mikacin Saudi-Arabia
Nekacin Italia
Novamin Brasilia
Orlobin Kreikka
Remikin Kreikka
Rovericlin Kreikka
Uzix Kreikka
Yhteensopivuus   Injektioneste   Yhteensopivuus : Amikacin sulfate              
Tämä näyttö osoittaa yhteensopivuuden tai yhteensopimattomuuden yhteensopimattomuuden tyypin kanssa (saostuminen, värinmuutos, emulsiomuutos jne.). Tässä esitetty yhteensopivuus on useimmissa tapauksissa vain fysikaalinen, ja kunkin molekyylin kemiallista stabiilisuutta arvioidaan harvoin. Näiden seosten arviointia tutkittiin mahdollisuuden antaa Y-kohta potilaalle. Näitä tietoja ei voida käyttää seosten valmistamiseen etukäteen pusseissa tai ruiskuissa. Tämäntyyppiset tiedot ovat saatavilla "Stabiilisuus seoksessa" -näytössä.
Yhdiste Liuotin Viitteet
Yhteensopiva
Injektioneste Amikacin sulfate 5 mg/ml
Injektioneste Aciclovir sodium 5 mg/ml
Glukoosi 5% 336
Sade 1 tunnin kuluttua yhteensopimaton
Injektioneste Amikacin sulfate 5 mg/ml
Injektioneste Allopurinol sodium 3 mg/ml
Natriumkloridi 0,9% 307
Yhteensopiva
Injektioneste Amikacin sulfate 5 mg/ml
Injektioneste Amifostine 10 mg/ml
Glukoosi 5% 3
Yhteensopiva
Injektioneste Amikacin sulfate 5 mg/ml
Injektioneste Amiodarone hydrochloride 4 mg/ml
Natriumkloridi 0,9% 385
Yhteensopiva
Injektioneste Amikacin sulfate 5 mg/ml
Injektioneste Amiodarone hydrochloride 4 mg/ml
Glukoosi 5% 385
Kemiallinen epävakaus yhteensopimaton
Injektioneste Amikacin sulfate
Injektioneste Amoxicillin sodium
3527
Kemiallinen epävakaus yhteensopimaton
Injektioneste Amikacin sulfate
Injektioneste Amoxicillin sodium
3549
Yhteensopiva
Injektioneste Amikacin sulfate 250 mg/ml
Injektioneste Amoxicillin sodium / clavulanic acid 100/10 mg/ml
3824
Kemiallinen epävakaus yhteensopimaton
Injektioneste Amikacin sulfate
Injektioneste Amoxicillin sodium / clavulanic acid
3549
Määrittelemätön yhteensopimattomuus yhteensopimaton
Injektioneste Amikacin sulfate
Injektioneste Amoxicillin sodium / clavulanic acid
3545
Määrittelemätön yhteensopimattomuus yhteensopimaton
Injektioneste Amikacin sulfate
Injektioneste Amphotericin B
3549
Välittömät sateet yhteensopimaton
Injektioneste Amikacin sulfate 5 mg/ml
Injektioneste Amphotericin B cholesteryl sulfate complex 0.83 mg/ml
Glukoosi 5% 921
Kemiallinen epävakaus yhteensopimaton
Injektioneste Amikacin sulfate
Injektioneste Ampicillin sodium
3549
Kemiallinen epävakaus yhteensopimaton
Injektioneste Amikacin sulfate
Injektioneste Ampicillin sodium - sulbactam sodium
3549
Yhteensopiva
Injektioneste Amikacin sulfate 5 mg/ml
Injektioneste Amsacrine 1 mg/ml
Glukoosi 5% 253
Yhteensopiva
Injektioneste Amikacin sulfate 5 mg/ml
Injektioneste Anidulafungin 0.5 mg/ml
Glukoosi 5% 1982
Määrittelemätön yhteensopimattomuus yhteensopimaton
Injektioneste Amikacin sulfate
Injektioneste Ascorbic acid
3549
Välittömät sateet yhteensopimaton
Injektioneste Amikacin sulfate 100 mg/ml
Injektioneste Azithromycine 2 mg/ml
Natriumkloridi 0,9% 1800
Kemiallinen epävakaus yhteensopimaton
Injektioneste Amikacin sulfate
Injektioneste Aztreonam
3549
Yhteensopiva
Injektioneste Amikacin sulfate 5 mg/ml
Injektioneste Aztreonam 40 mg/ml
Glukoosi 5% 99
Yhteensopiva
Injektioneste Amikacin sulfate 5 mg/ml
Injektioneste Bivalirudin 5 mg/ml
Glukoosi 5% 1713
Yhteensopiva
Injektioneste Amikacin sulfate 250 mg/ml
Injektioneste Caffeine 10 mg/ml
Ei mikään 3964
yhteensopimaton
Injektioneste Amikacin sulfate
Injektioneste Calcium gluconate
4964
Määrittelemätön yhteensopimattomuus yhteensopimaton
Injektioneste Amikacin sulfate
Injektioneste Calcium gluconate
3644
Yhteensopiva
Injektioneste Amikacin sulfate 5 mg/ml
Injektioneste Caspofungin acetate 0,7 mg/ml
Natriumkloridi 0,9% 2247
Kemiallinen epävakaus yhteensopimaton
Injektioneste Amikacin sulfate
Injektioneste Cefalotin sodium
3549
Kemiallinen epävakaus yhteensopimaton
Injektioneste Amikacin sulfate
Injektioneste Cefamandole nafate
3549
Määrittelemätön yhteensopimattomuus yhteensopimaton
Injektioneste Amikacin sulfate
Injektioneste Cefamandole nafate
3546
Kemiallinen epävakaus yhteensopimaton
Injektioneste Amikacin sulfate
Injektioneste Cefazolin sodium
3549
Yhteensopiva
Injektioneste Amikacin sulfate 6 mg/ml
Injektioneste Cefepime dihydrochloride 40 mg/ml
Natriumkloridi 0,9% 3548
Yhteensopiva
Injektioneste Amikacin sulfate 6 mg/ml
Injektioneste Cefepime dihydrochloride 40 mg/ml
Glukoosi 5% 3548
Yhteensopiva
Injektioneste Amikacin sulfate 15 mg/ml
Injektioneste Cefepime dihydrochloride 125 mg/ml
Injektionesteisiin käytettävä vesi 2141
Kemiallinen epävakaus yhteensopimaton
Injektioneste Amikacin sulfate
Injektioneste Cefepime dihydrochloride
3549
Yhteensopiva
Injektioneste Amikacin sulfate 5 mg/ml
Injektioneste Cefiderocol sulfate tosylate 20 mg/mL
Glukoosi 5% 4528
Kemiallinen epävakaus yhteensopimaton
Injektioneste Amikacin sulfate
Injektioneste Cefmenoxime
3549
Kemiallinen epävakaus yhteensopimaton
Injektioneste Amikacin sulfate
Injektioneste Cefmetazole sodium
3549
Kemiallinen epävakaus yhteensopimaton
Injektioneste Amikacin sulfate
Injektioneste Cefonicid sodium
3549
Kemiallinen epävakaus yhteensopimaton
Injektioneste Amikacin sulfate
Injektioneste Cefoperazone sodium
3549
Määrittelemätön yhteensopimattomuus yhteensopimaton
Injektioneste Amikacin sulfate
Injektioneste Cefoperazone sodium
3544
Kemiallinen epävakaus yhteensopimaton
Injektioneste Amikacin sulfate
Injektioneste Ceforanide
3549
Kemiallinen epävakaus yhteensopimaton
Injektioneste Amikacin sulfate
Injektioneste Cefotaxime sodium
3549
Kemiallinen epävakaus yhteensopimaton
Injektioneste Amikacin sulfate
Injektioneste Cefoxitin sodium
3549
Määrittelemätön yhteensopimattomuus yhteensopimaton
Injektioneste Amikacin sulfate
Injektioneste Cefpirome sulfate
3677
Yhteensopiva
Injektioneste Amikacin sulfate 5 mg/ml
Injektioneste Cefpirome sulfate 50 mg/ml
Natriumkloridi 0,45% 280
Yhteensopiva
Injektioneste Amikacin sulfate 5 mg/ml
Injektioneste Cefpirome sulfate 50 mg/ml
Glukoosi 5% 280
Yhteensopiva
Injektioneste Amikacin sulfate 5 mg/ml
Injektioneste Cefpirome sulfate 50 mg/ml
Natriumkloridi 0,9% 280
Yhteensopiva
Injektioneste Amikacin sulfate 5 mg/ml
Injektioneste Cefpirome sulfate 50 mg/ml
Ringerlaktaattiliuos 280
Kemiallinen epävakaus yhteensopimaton
Injektioneste Amikacin sulfate
Injektioneste Cefpirome sulfate
3549
Yhteensopiva
Injektioneste Amikacin sulfate 5 mg/ml
Injektioneste Ceftaroline fosamil 2,22 mg/ml
Ringerlaktaattiliuos 3249
Yhteensopiva
Injektioneste Amikacin sulfate 5 mg/ml
Injektioneste Ceftaroline fosamil 2,22 mg/ml
Glukoosi 5% 3249
Yhteensopiva
Injektioneste Amikacin sulfate 5 mg/ml
Injektioneste Ceftaroline fosamil 2,22 mg/ml
Natriumkloridi 0,9% 3249
Määrittelemätön yhteensopimattomuus yhteensopimaton
Injektioneste Amikacin sulfate
Injektioneste Ceftazidime
3883
Määrittelemätön yhteensopimattomuus yhteensopimaton
Injektioneste Amikacin sulfate
Injektioneste Ceftazidime
3543
Yhteensopiva
Injektioneste Amikacin sulfate 15 mg/ml
Injektioneste Ceftazidime 83.3 mg/ml
1759
Kemiallinen epävakaus yhteensopimaton
Injektioneste Amikacin sulfate
Injektioneste Ceftazidime Avibactam
3549
Välittömät sateet yhteensopimaton
Injektioneste Amikacin sulfate 5 mg/ml
Injektioneste Ceftobiprole medocaril sodium 2 mg/ml
Natriumkloridi 0,9% 2269
Määrittelemätön yhteensopimattomuus yhteensopimaton
Injektioneste Amikacin sulfate
Injektioneste Ceftobiprole medocaril sodium
4650
Yhteensopiva
Injektioneste Amikacin sulfate
Glukoosi 5% 5076
Kemiallinen epävakaus yhteensopimaton
Injektioneste Amikacin sulfate
Injektioneste Ceftaroline fosamil
3549
Kemiallinen epävakaus yhteensopimaton
Injektioneste Amikacin sulfate
Injektioneste Ceftazidime
3549
Yhteensopiva
Injektioneste Amikacin sulfate 15 mg/ml
Injektioneste Ceftazidime 125 mg/ml
Injektionesteisiin käytettävä vesi 2141
Kemiallinen epävakaus yhteensopimaton
Injektioneste Amikacin sulfate
Injektioneste Ceftizoxime sodium
3549
Välittömät sateet yhteensopimaton
Injektioneste Amikacin sulfate 5 mg/ml
Injektioneste Ceftobiprole medocaril sodium 2 mg/ml
Glukoosi 5% 2269
Kemiallinen epävakaus yhteensopimaton
Injektioneste Amikacin sulfate
Injektioneste Ceftobiprole medocaril sodium
3549
Välittömät sateet yhteensopimaton
Injektioneste Amikacin sulfate 5 mg/ml
Injektioneste Ceftobiprole medocaril sodium 2 mg/ml
Ringerlaktaattiliuos 2269
Yhteensopiva
Injektioneste Amikacin sulfate 5 mg/ml
Injektioneste Ceftolozane / tazobactam 10/5 mg/ml
Glukoosi 5% 3828
Yhteensopiva
Injektioneste Amikacin sulfate 5 mg/ml
Injektioneste Ceftolozane / tazobactam 10/5 mg/ml
Natriumkloridi 0,9% 3828
Kemiallinen epävakaus yhteensopimaton
Injektioneste Amikacin sulfate
Injektioneste Ceftolozane / tazobactam
3549
Määrittelemätön yhteensopimattomuus yhteensopimaton
Injektioneste Amikacin sulfate
Injektioneste Ceftriaxone disodium
3523
Kemiallinen epävakaus yhteensopimaton
Injektioneste Amikacin sulfate
Injektioneste Ceftriaxone disodium
3549
Kemiallinen epävakaus yhteensopimaton
Injektioneste Amikacin sulfate
Injektioneste Cefuroxime sodium
3549
Määrittelemätön yhteensopimattomuus yhteensopimaton
Injektioneste Amikacin sulfate
Injektioneste Cefuroxime sodium
3687
Kemiallinen epävakaus yhteensopimaton
Injektioneste Amikacin sulfate
Injektioneste Cefuzonam
3549
Määrittelemätön yhteensopimattomuus yhteensopimaton
Injektioneste Amikacin sulfate
Injektioneste Chlorothiazide sodium
3549
Yhteensopiva
Injektioneste Amikacin sulfate 2.5 mg/ml
Injektioneste Cimetidine hydrochloride 1.5 mg/ml
Glukoosi 5% 1201
Kemiallinen epävakaus yhteensopimaton
Injektioneste Amikacin sulfate 4 mg/ml
Injektioneste Ciprofloxacin lactate 1.5 mg/ml
Natriumkloridi 0,9% 434
Kemiallinen epävakaus yhteensopimaton
Injektioneste Amikacin sulfate 4 mg/ml
Injektioneste Ciprofloxacin lactate 1.5 mg/ml
Glukoosi 5% 434
Yhteensopiva
Injektioneste Amikacin sulfate 5 mg/ml
Injektioneste Cisatracurium besylate 0.1 >> 5 mg/ml
Glukoosi 5% 299
Yhteensopiva
Injektioneste Amikacin sulfate 4 mg/ml
Injektioneste Clindamycin phosphate 9 mg/ml
Natriumkloridi 0,9% 565
Yhteensopiva
Injektioneste Amikacin sulfate 250 mg/ml
Parenteraalisesti (rasva-free) 999
Yhteensopiva
Injektioneste Amikacin sulfate 5 mg/ml
Injektioneste Ciprofloxacin lactate 2 mg/ml
Glukoosi 5% 285
Kemiallinen epävakaus yhteensopimaton
Injektioneste Amikacin sulfate
Injektioneste Cisplatin
3578
Yhteensopiva
Injektioneste Amikacin sulfate 75 mg/ml
Injektioneste Clindamycin phosphate 90 mg/ml
Natriumkloridi 0,9% 639
Yhteensopiva
Injektioneste Amikacin sulfate
Injektioneste Clindamycin phosphate
Natriumkloridi 0,9% 3526
Subvisuaalinen yhteensopimattomuus yhteensopimaton
Injektioneste Amikacin sulfate 250 mg/ml
Injektioneste Cloxacillin sodium 100 mg/ml
Injektionesteisiin käytettävä vesi 3012
Määrittelemätön yhteensopimattomuus yhteensopimaton
Injektioneste Amikacin sulfate
Injektioneste Daunorubicin/cytarabine liposomale
4354
Yhteensopiva
Injektioneste Amikacin sulfate 5 mg/ml
Parenteraalisesti (rasva-free) 316
Yhteensopiva
Injektioneste Amikacin sulfate 4 mg/ml
Injektioneste Clindamycin phosphate 9 mg/ml
Glukoosi 5% 565
Yhteensopiva
Injektioneste Amikacin sulfate
Injektioneste Clindamycin phosphate
Glukoosi 5% 3526
Kemiallinen epävakaus yhteensopimaton
Injektioneste Amikacin sulfate
Injektioneste Cloxacillin sodium
3549
Määrittelemätön yhteensopimattomuus yhteensopimaton
Injektioneste Amikacin sulfate
Injektioneste Cyanocobalamine
3549
Välitön sameus yhteensopimaton
Injektioneste Amikacin sulfate
Injektioneste Daunorubicin/cytarabine liposomale 0,4 mg/mL
Natriumkloridi 0,9% 4654
Välittömät sateet yhteensopimaton
Injektioneste Amikacin sulfate 5 mg/ml
Injektioneste Defibrotide 8 mg/ml
Natriumkloridi 0,9% 3728
Yhteensopiva
Injektioneste Amikacin sulfate 50 mg/ml
Injektioneste Dexamethasone sodium phosphate 4 mg/ml
Natriumkloridi 0,45% 132
Määrittelemätön yhteensopimattomuus yhteensopimaton
Injektioneste Amikacin sulfate
Injektioneste Erythromycin lactobionate
3549
Yhteensopiva
Injektioneste Amikacin sulfate 5 mg/ml
Parenteraalisesti (rasva-free) 301
Yhteensopiva
Injektioneste Amikacin sulfate 5 mg/ml
Injektioneste Dexmedetomidine 4 µg/ml
Natriumkloridi 0,9% 1712
Yhteensopiva
Injektioneste Amikacin sulfate 5 & 250 mg/ml
Injektioneste Diltiazem hydrochloride 5 mg/ml
Natriumkloridi 0,9% 198
Yhteensopiva
Injektioneste Amikacin sulfate 5 mg/ml
Injektioneste Docetaxel 0.9 mg/ml
Glukoosi 5% 1754
Yhteensopiva
Injektioneste Amikacin sulfate 5 mg/ml
Injektioneste Doripenem 5 mg/ml
Natriumkloridi 0,9% 2262
Yhteensopiva
Injektioneste Amikacin sulfate 5 mg/ml
Injektioneste Doripenem 5 mg/ml
Glukoosi 5% 2262
Kemiallinen epävakaus yhteensopimaton
Injektioneste Amikacin sulfate
Injektioneste Doripenem
3549
Yhteensopiva
Injektioneste Amikacin sulfate 2 mg/ml
Injektioneste Enalaprilate 0.05 mg/ml
Natriumkloridi 0,9% 1315
Kemiallinen epävakaus yhteensopimaton
Injektioneste Amikacin sulfate
Injektioneste Ertapenem
3549
Määrittelemätön yhteensopimattomuus yhteensopimaton
Injektioneste Amikacin sulfate
Injektioneste Erythromycin lactobionate
3674
Yhteensopiva
Injektioneste Amikacin sulfate 5 mg/ml
Injektioneste Esmolol hydrochloride 10 mg/ml
Glukoosi 5% 384
Yhteensopiva
Injektioneste Amikacin sulfate 5 mg/ml
Injektioneste Etoposide phosphate 5 mg/ml
Glukoosi 5% 1410
Yhteensopiva
Injektioneste Amikacin sulfate 5 mg/ml
Injektioneste Fenoldopam mesylate 80 µg/ml
Natriumkloridi 0,9% 1803
Yhteensopiva
Injektioneste Amikacin sulfate 5 mg/ml
Injektioneste Filgrastim 30 µg/ml
Glukoosi 5% 244
Yhteensopiva
Injektioneste Amikacin sulfate 0.487 >> 0.667 mg/ml
Parenteraalinen (lipidien) 1868
Yhteensopiva
Injektioneste Amikacin sulfate 250 mg/ml
Ringerlaktaattiliuos 4603
Emulsion epästabiilisuus tunnin kuluttua yhteensopimaton
Injektioneste Amikacin sulfate 250 mg/ml
Parenteraalinen (lipidien) 673
Yhteensopiva
Injektioneste Amikacin sulfate 5 mg/ml
Injektioneste Filgrastim 40 µg/ml
Glukoosi 5% 104
Emulsion välitön epävakaus yhteensopimaton
Injektioneste Amikacin sulfate 50 mg/ml
Parenteraalinen (lipidien) 132
Yhteensopiva
Injektioneste Amikacin sulfate 5 mg/ml
Parenteraalinen (lipidien) 1415
Välittömät sateet yhteensopimaton
Injektioneste Amikacin sulfate
Injektioneste Flucloxacillin sodium
3522
Yhteensopiva
Injektioneste Amikacin sulfate 20 mg/ml
Injektioneste Fluconazole 2 mg/ml
Natriumkloridi 0,9% 496
Yhteensopiva
Injektioneste Amikacin sulfate 5 mg/ml
Injektioneste Fluconazole 2 mg/ml
Ei mikään 256
Yhteensopiva
Injektioneste Amikacin sulfate 5 mg/ml
Injektioneste Fludarabine phosphate 1 mg/ml
Glukoosi 5% 492
Yhteensopiva
Injektioneste Amikacin sulfate 20 mg/ml
Injektioneste Foscarnet sodium 24 mg/ml
Ei mikään 73
Yhteensopiva
Injektioneste Amikacin sulfate 5 mg/ml
Injektioneste Fosfomycin 30 mg/ml
Natriumkloridi 0,9% 4055
Yhteensopiva
Injektioneste Amikacin sulfate 5 mg/ml
Injektioneste Fosfomycin 30 mg/ml
Glukoosi 5% 4055
Välittömät sateet yhteensopimaton
Injektioneste Amikacin sulfate 2 mg/ml
Injektioneste Furosemide 0,16 mg/ml
Natriumkloridi 0,9% 367
Välittömät sateet yhteensopimaton
Injektioneste Amikacin sulfate 2 mg/ml
Injektioneste Furosemide 0,16 mg/ml
Glukoosi 5% 367
Yhteensopiva
Injektioneste Amikacin sulfate 5 mg/ml
Injektioneste Gemcitabine hydrochloride 10 mg/ml
Natriumkloridi 0,9% 1423
Yhteensopiva
Injektioneste Amikacin sulfate 5 mg/ml
Injektioneste Granisetron hydrochloride 0.05 mg/ml
Glukoosi 5% 182
Määrittelemätön yhteensopimattomuus yhteensopimaton
Injektioneste Amikacin sulfate
Injektioneste Heparin sodium
3549
Määrittelemätön yhteensopimattomuus yhteensopimaton
Injektioneste Amikacin sulfate
Injektioneste Heparin sodium
3540
Välittömät sateet yhteensopimaton
Injektioneste Amikacin sulfate
Injektioneste Heparin sodium
1022
Yhteensopiva
Injektioneste Amikacin sulfate 5 mg/ml
Injektioneste Hetastarch 60 mg/ml
spesifiseen liuottimeen 1721
Välittömät sateet yhteensopimaton
Injektioneste Amikacin sulfate 5 mg/ml
Injektioneste Hetastarch 60 mg/ml
Natriumkloridi 0,9% 472
Yhteensopiva
Injektioneste Amikacin sulfate 5 mg/ml
Injektioneste Hydromorphone hydrochloride 0.2 mg/ml
Glukoosi 5% 405
Välitön sameus yhteensopimaton
Injektioneste Amikacin sulfate 50 mg/ml
Injektioneste Ibuprofen lysinate 10 mg/ml
Injektionesteisiin käytettävä vesi 4419
Välitön sameus yhteensopimaton
Injektioneste Amikacin sulfate 250 mg/ml
Injektioneste Ibuprofen lysinate 10 mg/ml
Injektionesteisiin käytettävä vesi 4419
Yhteensopiva
Injektioneste Amikacin sulfate 5 mg/ml
Injektioneste Idarubicin hydrochloride 1 mg/ml
Natriumkloridi 0,9% 491
Kemiallinen epävakaus yhteensopimaton
Injektioneste Amikacin sulfate
Injektioneste Imipenem - cilastatin sodium
3549
Yhteensopiva
Injektioneste Amikacin sulfate 5 mg/ml
Injektioneste Isavuconazonium sulfate 1.5 mg/ml
Glukoosi 5% 3829
Yhteensopiva
Injektioneste Amikacin sulfate 5 mg/ml
Injektioneste Isavuconazonium sulfate 1.5 mg/ml
Natriumkloridi 0,9% 3829
Yhteensopiva
Injektioneste Amikacin sulfate 250 mg/ml
Injektioneste Ketamine hydrochloride 50 mg/ml
2109
Yhteensopiva
Injektioneste Amikacin sulfate 5 mg/ml
Injektioneste Labetalol hydrochloride 1 mg/ml
Glukoosi 5% 386
Yhteensopiva
Injektioneste Amikacin sulfate 5 mg/ml
Injektioneste Lansoprazole 0.55 mg/ml
Natriumkloridi 0,9% 1625
Yhteensopiva
Injektioneste Amikacin sulfate 50 mg/ml
Injektioneste Levofloxacine 5 mg/ml
Glukoosi 5% 1072
Yhteensopiva
Injektioneste Amikacin sulfate 5 mg/ml
Injektioneste Linezolid 2 mg/ml
Ei mikään 1925
Yhteensopiva
Injektioneste Amikacin sulfate 5 mg/ml
Injektioneste Lorazepam 0.33 mg/ml
Natriumkloridi 0,9% 186
Yhteensopiva
Injektioneste Amikacin sulfate 5 mg/ml
Injektioneste Magnesium sulfate 16.67 >> 100 mg/ml
Glukoosi 5% 1047
Yhteensopiva
Injektioneste Amikacin sulfate 5 mg/ml
Injektioneste Melphalan 0.1 mg/ml
Natriumkloridi 0,9% 169
Yhteensopiva
Injektioneste Amikacin sulfate 250 mg/ml
Injektioneste Meropenem 50 mg/ml
4389
Yhteensopiva
Injektioneste Amikacin sulfate 250 mg/ml
Injektioneste Meropenem 50 mg/ml
Injektionesteisiin käytettävä vesi 4319
Kemiallinen epävakaus yhteensopimaton
Injektioneste Amikacin sulfate
Injektioneste Meropenem
3549
Yhteensopiva
Injektioneste Amikacin sulfate
Injektioneste Metronidazole
3594
Yhteensopiva
Injektioneste Amikacin sulfate 5 mg/ml
Injektioneste Metronidazole 5 mg/ml
Ei mikään 1035
Yhteensopiva
Injektioneste Amikacin sulfate 5 mg/ml
Injektioneste Midazolam hydrochloride 5 mg/ml
Ei mikään 186
Yhteensopiva
Injektioneste Amikacin sulfate 5 mg/ml
Injektioneste Morphine sulfate 1 mg/ml
Glukoosi 5% 405
Yhteensopiva
Injektioneste Amikacin sulfate 250 mg/ml
Injektioneste N-acetylcysteine 200 mg/ml
Ei mikään 3766
Kemiallinen epävakaus yhteensopimaton
Injektioneste Amikacin sulfate
Injektioneste Nafcillin sodium
3549
Yhteensopiva
Injektioneste Amikacin sulfate 2,5 mg/ml
Injektioneste Nalbuphine hydrochloride 0,05 >> 0,33 mg/ml
Natriumkloridi 0,9% 4867
Yhteensopiva
Injektioneste Amikacin sulfate 250 mg/ml
Injektioneste Naloxone hydrochloride 0.4 mg/ml
Ei mikään 3408
Yhteensopiva
Injektioneste Amikacin sulfate 2 mg/ml
Injektioneste Nicardipine hydrochloride 0.1 mg/ml
Glukoosi 5% 1490
Yhteensopiva
Injektioneste Amikacin sulfate 2 mg/ml
Injektioneste Nicardipine hydrochloride 0.1 mg/ml
Natriumkloridi 0,9% 1490
Yhteensopiva
Injektioneste Amikacin sulfate 5 mg/ml
Injektioneste Ondansetron hydrochloride 1 mg/ml
Natriumkloridi 0,9% 334
Kemiallinen epävakaus yhteensopimaton
Injektioneste Amikacin sulfate
Injektioneste Oxacillin sodium
3549
Yhteensopiva
Injektioneste Amikacin sulfate 5 mg/ml
Injektioneste Paclitaxel 1.2 mg/ml
Glukoosi 5% 248
Välittömät sateet yhteensopimaton
Injektioneste Amikacin sulfate
Injektioneste Pantoprazole sodium
2090
Yhteensopiva
Injektioneste Amikacin sulfate 250 mg/ml
Injektioneste Paracetamol 10 mg/ml
4742
Yhteensopiva
Injektioneste Amikacin sulfate 5 mg/ml
Injektioneste Pemetrexed disodium 20 mg/ml
Natriumkloridi 0,9% 1953
Kemiallinen epävakaus yhteensopimaton
Injektioneste Amikacin sulfate
Injektioneste Penicillin G potassium
3549
Kemiallinen epävakaus yhteensopimaton
Injektioneste Amikacin sulfate
Injektioneste Penicillin G sodium
3549
Yhteensopiva
Injektioneste Amikacin sulfate 50 mg/ml
Injektioneste Pethidine hydrochloride 100 mg/ml
Natriumkloridi 0,45% 132
Yhteensopiva
Injektioneste Amikacin sulfate 5 mg/ml
Injektioneste Pethidine hydrochloride 10 mg/ml
Glukoosi 5% 405
Määrittelemätön yhteensopimattomuus yhteensopimaton
Injektioneste Amikacin sulfate
Injektioneste Phenytoin sodium
3549
Yhteensopiva
Injektioneste Amikacin sulfate 40 mg/ml
Injektioneste Phloroglucinol 2,5 mg/ml
3791
Kemiallinen epävakaus yhteensopimaton
Injektioneste Amikacin sulfate
Injektioneste Piperacillin sodium
3549
Kemiallinen epävakaus yhteensopimaton
Injektioneste Amikacin sulfate
Injektioneste Piperacillin sodium / tazobactam
3549
Kemiallinen epävakaus yhteensopimaton
Injektioneste Amikacin sulfate
Injektioneste Piperacillin sodium / tazobactam
3586
Yhteensopiva
Injektioneste Amikacin sulfate
Injektioneste Posaconazole
4380
Välittömät sateet yhteensopimaton
Injektioneste Amikacin sulfate 5 mg/ml
Injektioneste Propofol 10 mg/ml
Ei mikään 300
Määrittelemätön yhteensopimattomuus yhteensopimaton
Injektioneste Amikacin sulfate
Injektioneste Pyridoxine hydrochloride
3549
Yhteensopiva
Injektioneste Amikacin sulfate 5 mg/ml
Injektioneste Remifentanil hydrochloride 25 & 250 µg/ml
Natriumkloridi 0,9% 59
Välittömät sateet yhteensopimaton
Injektioneste Amikacin sulfate 250 mg/ml
Injektioneste Salbutamol sulfate 1 mg/ml
Ei mikään 3216
Yhteensopiva
Injektioneste Amikacin sulfate 5 mg/ml
Injektioneste Sargramostim 10 µg/ml
Natriumkloridi 0,9% 335
Yhteensopiva
Injektioneste Amikacin sulfate 10 mg/ml
Injektioneste Sulbactam/durlobactam 15/15 mg/ml
Natriumkloridi 0,9% 4801
Yhteensopiva
Injektioneste Amikacin sulfate 5 mg/ml
Injektioneste Tedizolid phosphate 0.8 mg/ml
Natriumkloridi 0,9% 3827
Määrittelemätön yhteensopimattomuus yhteensopimaton
Injektioneste Amikacin sulfate
Injektioneste Teicoplanine
3656
Yhteensopiva
Injektioneste Amikacin sulfate
Natriumkloridi 0,9% 5076
Määrittelemätön yhteensopimattomuus yhteensopimaton
Injektioneste Amikacin sulfate 50 mg/ml
Injektioneste Propofol
4524
Määrittelemätön yhteensopimattomuus yhteensopimaton
Injektioneste Amikacin sulfate
Injektioneste Temocilline
2296
Yhteensopiva
Injektioneste Amikacin sulfate 15 mg/ml
Injektioneste Temocilline 83.33 mg/ml
Injektionesteisiin käytettävä vesi 2231
Kemiallinen epävakaus yhteensopimaton
Injektioneste Amikacin sulfate
Injektioneste Temocilline
3549
Yhteensopiva
Injektioneste Amikacin sulfate 5 mg/ml
Injektioneste Teniposide 0.1 mg/ml
Glukoosi 5% 905
Määrittelemätön yhteensopimattomuus yhteensopimaton
Injektioneste Amikacin sulfate
Injektioneste Thiamine hydrochloride
3549
Välittömät sateet yhteensopimaton
Injektioneste Amikacin sulfate 250 mg/ml
Injektioneste Thiopental sodium 25 mg/ml
Natriumkloridi 0,9% 3767
Määrittelemätön yhteensopimattomuus yhteensopimaton
Injektioneste Amikacin sulfate
Injektioneste Thiopental sodium
3549
Yhteensopiva
Injektioneste Amikacin sulfate 5 mg/ml
Injektioneste Thiotepa 1 mg/ml
Glukoosi 5% 249
Kemiallinen epävakaus yhteensopimaton
Injektioneste Amikacin sulfate
Injektioneste Ticarcillin / clavulanic acid
3587
Kemiallinen epävakaus yhteensopimaton
Injektioneste Amikacin sulfate
Injektioneste Ticarcillin / clavulanic acid
3549
Yhteensopiva
Injektioneste Amikacin sulfate
Injektioneste Tigecycline
Natriumkloridi 0,9% 3332
Yhteensopiva
Injektioneste Amikacin sulfate 15 mg/ml
Injektioneste Vancomycin hydrochloride 10 mg/ml
Glukoosi 5% 3385
Yhteensopiva
Injektioneste Amikacin sulfate 2 mg/ml
Injektioneste Verapamil hydrochloride 0.08 mg/ml
Natriumkloridi 0,9% 1057
Yhteensopiva
Injektioneste Amikacin sulfate 2 mg/ml
Injektioneste Verapamil hydrochloride 0.08 mg/ml
Glukoosi 5% 1057
Välitön sameus yhteensopimaton
Injektioneste Amikacin sulfate 5 mg/ml
Injektioneste Vinorelbine tartrate 1 mg/ml
Natriumkloridi 0,9% 84
Yhteensopiva
Injektioneste Amikacin sulfate 5 mg/ml
Injektioneste Warfarin sodium 0.1 & 2 mg/ml
Glukoosi 5% 552
Yhteensopiva
Injektioneste Amikacin sulfate 5 mg/ml
Injektioneste Warfarin sodium 0.1 & 2 mg/ml
Natriumkloridi 0,9% 552
Yhteensopiva
Injektioneste Amikacin sulfate 4 mg/ml
Injektioneste Zidovudine 4 mg/ml
Glukoosi 5% 337

  Mentions Légales