Τελευταία ενημέρωση :
18/03/2026
Αντιβιοτικό   Amikacin sulfate  
Ενέσιμο
Σταθερότητα διαλυμάτων Σταθερότητα σε μίγματα Παράγοντας που επηρεάζει τη σταθερότητα Συμβατότητες Τρόπος χορήγησης Βιβλιογραφία pdf
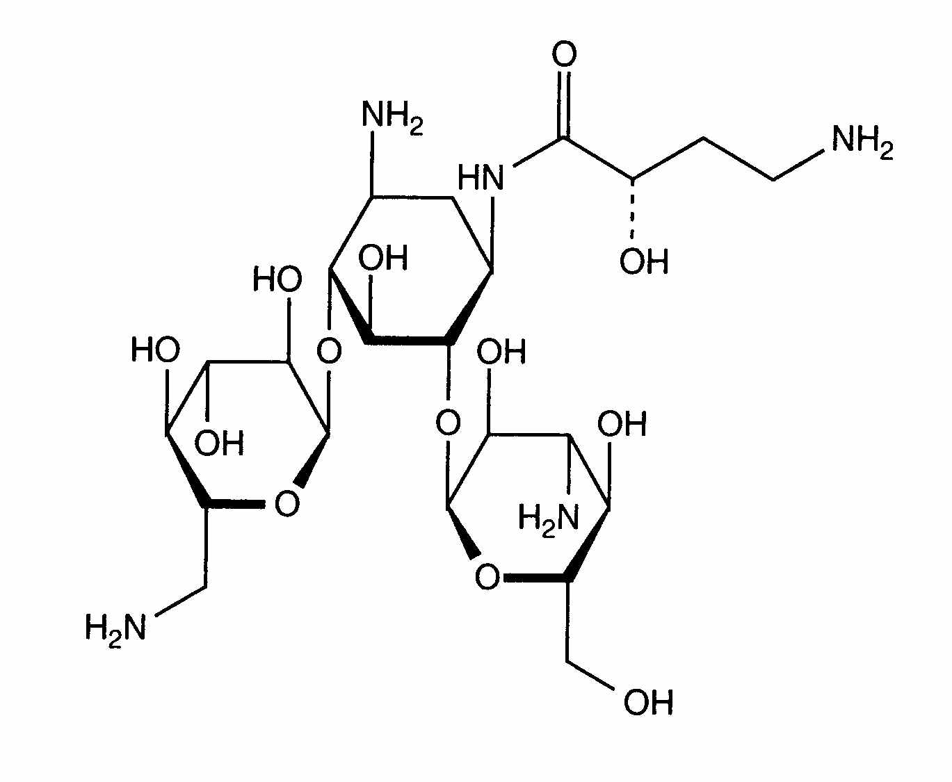
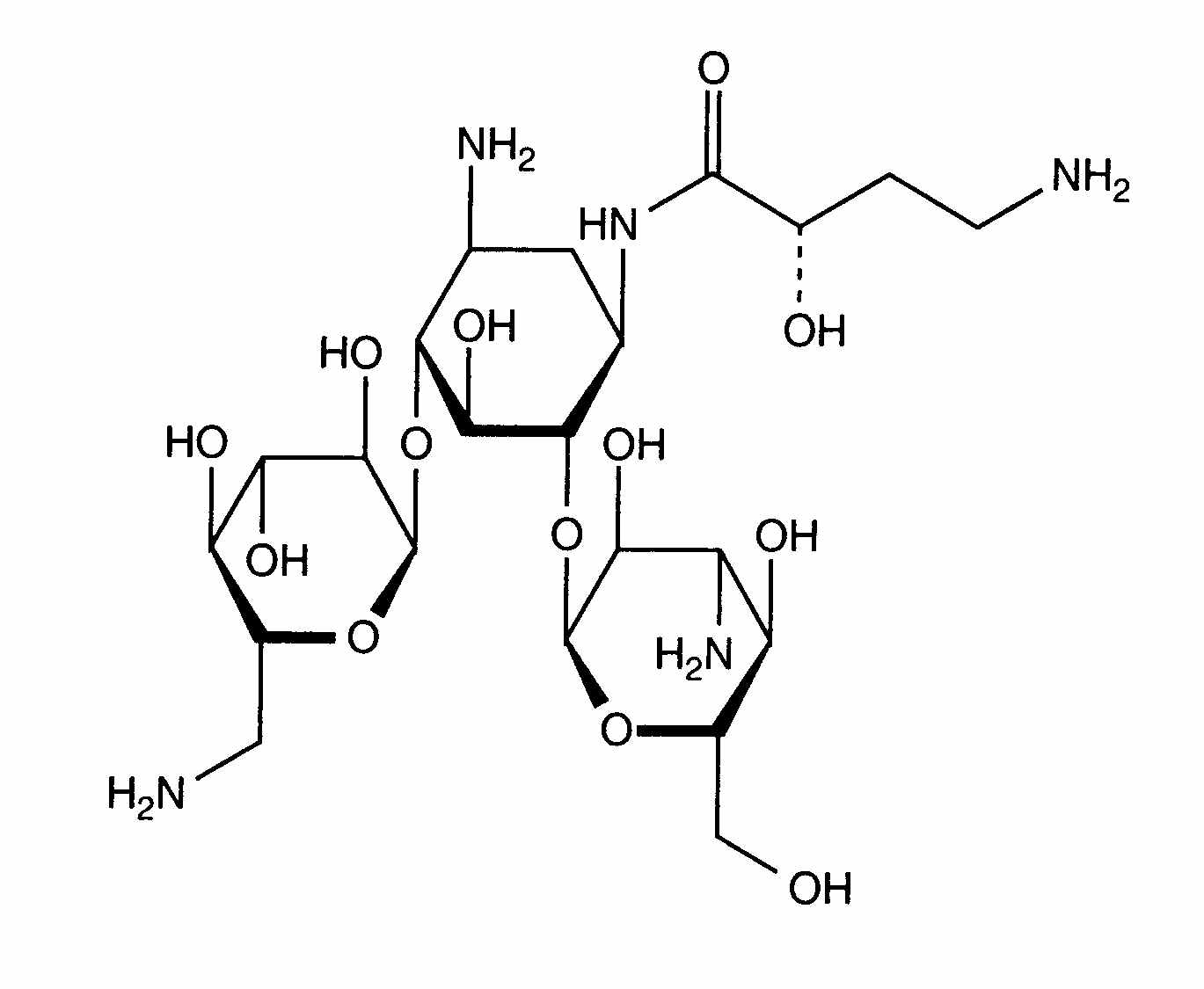
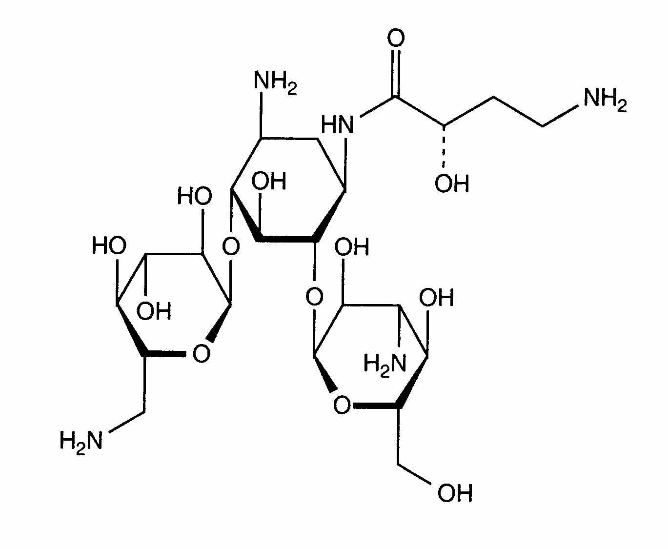
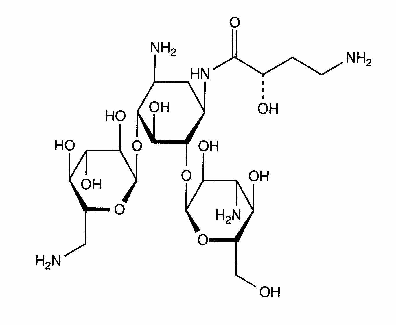
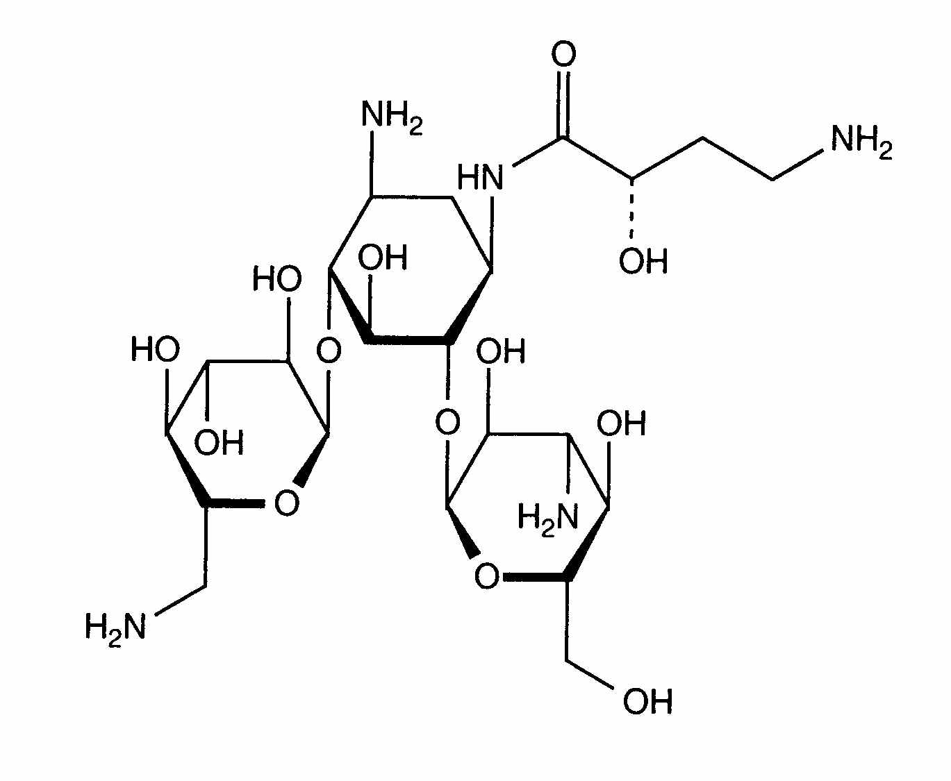
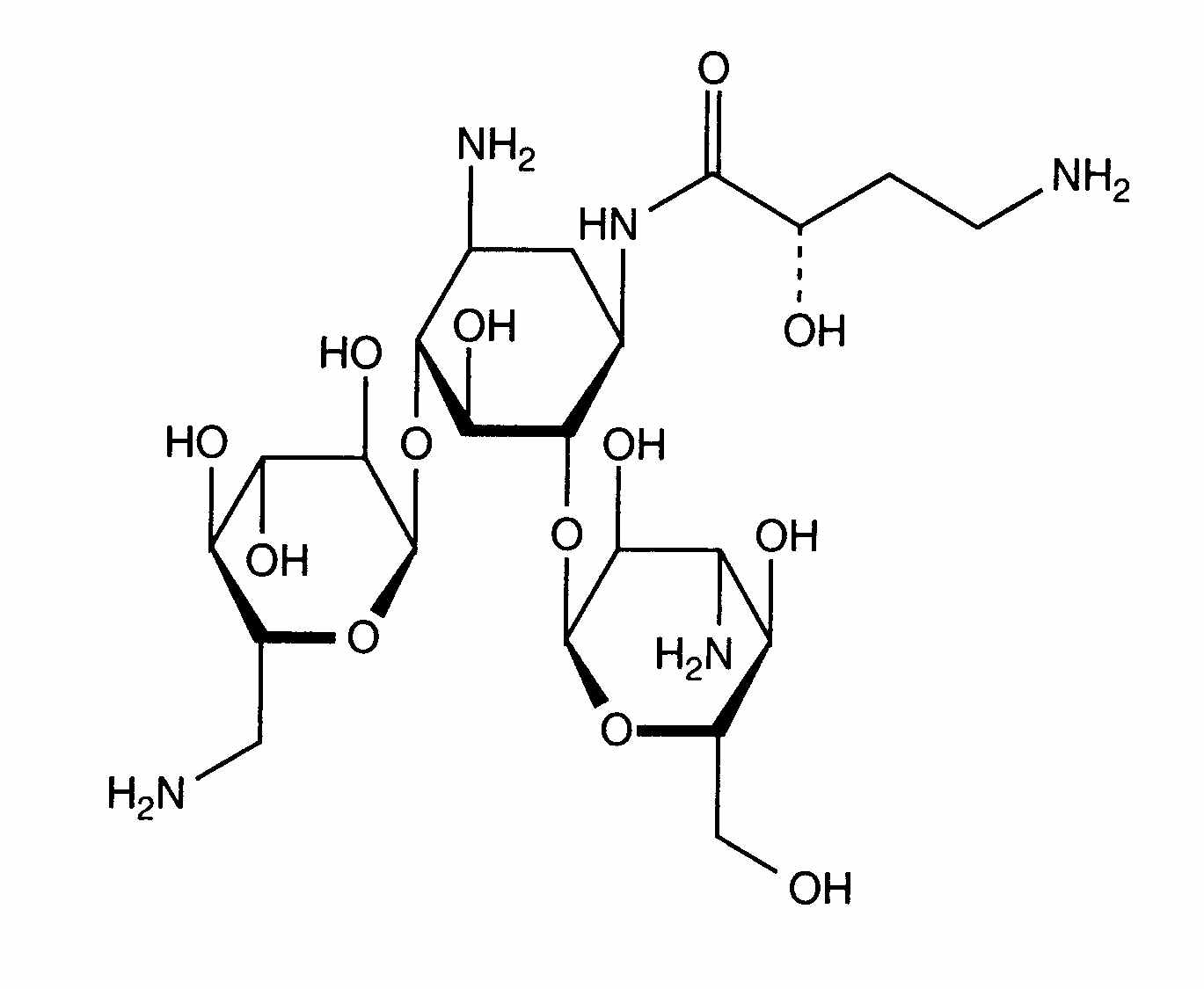
   χημική δομή  

Εμπορική ονομασία   Εμπορική ονομασία     

Οι εμπορικές ονομασίες είναι ενδεικτικές και η σύνθεση των εκδόχων μπορεί να διαφέρει ανάλογα με τη χώρα και τα εργαστήρια

Adnet Ινδία
Agnicin Μεξικό
Akamin Εκουαδόρ
Akim Εκουαδόρ
Amicacil Βραζιλία
Amicilon Βραζιλία
Amicin Μαλαισία
Amicip Βενεζουέλα
Amijeksin Τουρκία
Amikabiot Εκουαδόρ, Περού
Amikacin Αίγυπτος, Γερμανία, Η.Π.Α., Ιράν, Καναδάς, Μαλαισία, Μεγάλη Βρετανία, νέα Ζηλανδία, Σαουδική Αραβία
Amikacina Αργεντινή, Βενεζουέλα, Εκουαδόρ, Ισπανία, Ιταλία, Κολομβία, Μεξικό, Περού, Χιλή
Amikacine Βέλγιο, Γαλλία, Μαρόκο, Ολλανδία
Amikafur Μεξικό
Amikagram Περού
Amikalem Μεξικό
Amikamed Περού
Amikamek Περού
Amikan Ιταλία
Amikavax Βενεζουέλα
Amikaver Τουρκία
Amikayect Μεξικό
Amikem Περού
Amiketem Τουρκία
Amikin Αίγυπτος, Αυστραλία, Βραζιλία, Εκουαδόρ, Ελβετία, Η.Π.Α., Ιρλανδία, Κολομβία, Μεγάλη Βρετανία, Μεξικό, Ουγγαρία, Περού, Πολωνία, Σαουδική Αραβία, Τυνησία
Amiklin Γαλλία, Τουρκία
Amikosit Ρουμανία, Τουρκία, Τυνησία
Amikram Περού
Amukin Βέλγιο, Λουξεμβούργο, Ολλανδία
Apalin Μαλαισία
Baxi K Μεξικό, Χιλή
Behcacin Βενεζουέλα, Ινδία
Belka Ινδία
Biclin Αυστρία, Γερμανία, Ισπανία, Μεξικό, Πορτογαλία, Σουηδία, Φινλανδία
Biodacyna Πολωνία
Biokacin Μεξικό
Briklin Ελλάδα
Cadicin Ινδία
Chemacin Ιταλία
Cikabit Ινδία
Cinamica Ινδία
Cinas Ινδία
Consumonit Ελλάδα
Domak Ινδία
Doxocar Αργεντινή
Elcin Ινδία
Elmik Ινδία
Emcin Ινδία
Emica Ινδία
Farcyclin Ελλάδα
Flexelite Ελλάδα
Greini Αργεντινή
Ipacin Ιράν
Itukacin Περού
Kancin Ελλάδα
Lanomycin Ελλάδα
Lukadin Ιταλία
Masmika Ινδία
Mediamik Ιταλία
Micalpha Ελλάδα
Micigen Μεξικό
Migracin Ιταλία
Mikacin Σαουδική Αραβία
Nekacin Ιταλία
Novamin Βραζιλία
Orlobin Ελλάδα
Remikin Ελλάδα
Rovericlin Ελλάδα
Uzix Ελλάδα
Συμβατότητες    Ενέσιμο   Συμβατότητες : Amikacin sulfate              
Σε αυτή την οθόνη εμφανίζονται οι συμβατότητες ή ασυμβατότητες. Σε αυτή την περίπτωση εμφανίζονται το είδος της ασυμβατότητας (ίζημα, αλλαγή χρώματος, μεταβολή γαλακτώματος, κλπ). Οι συμβατότητες που παρουσιάζονται εδώ είναι κυρίως φυσικές, ενώ η χημική σταθερότητα κάθε μορίου σπάνια περιλαμβάνεται. Η αξιολόγηση αυτών των μιγμάτων μελετήθηκε προκειμένου να εκτιμηθεί η πιθανότητα χορήγησης στον ασθενή στο Υ κέντρο. Τα δεδομένα αυτά δεν μπορούν να χρησιμοποιηθούν για την εκ των προτέρων δημιουργία μιγμάτων σε ασκούς ή σύριγγες. Αυτό το είδος πληροφορίας υπάρχει και μπορεί να αναζητηθεί στην οθόνη «Σταθερότητα σε μίγμα».
Συστατικό Διαλυτικό Βιβλιογραφία
Σύμφωνος
Ενέσιμο Amikacin sulfate 5 mg/ml
Ενέσιμο Aciclovir sodium 5 mg/ml
Γλυκόζη 5% 336
Καταβύθιση μετά από 1 ώρα Ασύμβατες
Ενέσιμο Amikacin sulfate 5 mg/ml
Ενέσιμο Allopurinol sodium 3 mg/ml
Χλωριούχο νάτριο 0,9% 307
Σύμφωνος
Ενέσιμο Amikacin sulfate 5 mg/ml
Ενέσιμο Amifostine 10 mg/ml
Γλυκόζη 5% 3
Σύμφωνος
Ενέσιμο Amikacin sulfate 5 mg/ml
Ενέσιμο Amiodarone hydrochloride 4 mg/ml
Χλωριούχο νάτριο 0,9% 385
Σύμφωνος
Ενέσιμο Amikacin sulfate 5 mg/ml
Ενέσιμο Amiodarone hydrochloride 4 mg/ml
Γλυκόζη 5% 385
Χημική αστάθεια Ασύμβατες
Ενέσιμο Amikacin sulfate
Ενέσιμο Amoxicillin sodium
3527
Χημική αστάθεια Ασύμβατες
Ενέσιμο Amikacin sulfate
Ενέσιμο Amoxicillin sodium
3549
Σύμφωνος
Ενέσιμο Amikacin sulfate 250 mg/ml
Ενέσιμο Amoxicillin sodium / clavulanic acid 100/10 mg/ml
3824
Χημική αστάθεια Ασύμβατες
Ενέσιμο Amikacin sulfate
Ενέσιμο Amoxicillin sodium / clavulanic acid
3549
Απροσδιόριστη ασυμβατότητα Ασύμβατες
Ενέσιμο Amikacin sulfate
Ενέσιμο Amoxicillin sodium / clavulanic acid
3545
Απροσδιόριστη ασυμβατότητα Ασύμβατες
Ενέσιμο Amikacin sulfate
Ενέσιμο Amphotericin B
3549
Άμεση βροχόπτωση Ασύμβατες
Ενέσιμο Amikacin sulfate 5 mg/ml
Ενέσιμο Amphotericin B cholesteryl sulfate complex 0.83 mg/ml
Γλυκόζη 5% 921
Χημική αστάθεια Ασύμβατες
Ενέσιμο Amikacin sulfate
Ενέσιμο Ampicillin sodium
3549
Χημική αστάθεια Ασύμβατες
Ενέσιμο Amikacin sulfate
Ενέσιμο Ampicillin sodium - sulbactam sodium
3549
Σύμφωνος
Ενέσιμο Amikacin sulfate 5 mg/ml
Ενέσιμο Amsacrine 1 mg/ml
Γλυκόζη 5% 253
Σύμφωνος
Ενέσιμο Amikacin sulfate 5 mg/ml
Ενέσιμο Anidulafungin 0.5 mg/ml
Γλυκόζη 5% 1982
Απροσδιόριστη ασυμβατότητα Ασύμβατες
Ενέσιμο Amikacin sulfate
Ενέσιμο Ascorbic acid
3549
Άμεση βροχόπτωση Ασύμβατες
Ενέσιμο Amikacin sulfate 100 mg/ml
Ενέσιμο Azithromycine 2 mg/ml
Χλωριούχο νάτριο 0,9% 1800
Χημική αστάθεια Ασύμβατες
Ενέσιμο Amikacin sulfate
Ενέσιμο Aztreonam
3549
Σύμφωνος
Ενέσιμο Amikacin sulfate 5 mg/ml
Ενέσιμο Aztreonam 40 mg/ml
Γλυκόζη 5% 99
Σύμφωνος
Ενέσιμο Amikacin sulfate 5 mg/ml
Ενέσιμο Bivalirudin 5 mg/ml
Γλυκόζη 5% 1713
Σύμφωνος
Ενέσιμο Amikacin sulfate 250 mg/ml
Ενέσιμο Caffeine 10 mg/ml
Ουδέν 3964
Ασύμβατες
Ενέσιμο Amikacin sulfate
Ενέσιμο Calcium gluconate
4964
Απροσδιόριστη ασυμβατότητα Ασύμβατες
Ενέσιμο Amikacin sulfate
Ενέσιμο Calcium gluconate
3644
Σύμφωνος
Ενέσιμο Amikacin sulfate 5 mg/ml
Ενέσιμο Caspofungin acetate 0,7 mg/ml
Χλωριούχο νάτριο 0,9% 2247
Χημική αστάθεια Ασύμβατες
Ενέσιμο Amikacin sulfate
Ενέσιμο Cefalotin sodium
3549
Χημική αστάθεια Ασύμβατες
Ενέσιμο Amikacin sulfate
Ενέσιμο Cefamandole nafate
3549
Απροσδιόριστη ασυμβατότητα Ασύμβατες
Ενέσιμο Amikacin sulfate
Ενέσιμο Cefamandole nafate
3546
Χημική αστάθεια Ασύμβατες
Ενέσιμο Amikacin sulfate
Ενέσιμο Cefazolin sodium
3549
Σύμφωνος
Ενέσιμο Amikacin sulfate 6 mg/ml
Ενέσιμο Cefepime dihydrochloride 40 mg/ml
Χλωριούχο νάτριο 0,9% 3548
Σύμφωνος
Ενέσιμο Amikacin sulfate 6 mg/ml
Ενέσιμο Cefepime dihydrochloride 40 mg/ml
Γλυκόζη 5% 3548
Σύμφωνος
Ενέσιμο Amikacin sulfate 15 mg/ml
Ενέσιμο Cefepime dihydrochloride 125 mg/ml
Ενέσιμο ύδωρ 2141
Χημική αστάθεια Ασύμβατες
Ενέσιμο Amikacin sulfate
Ενέσιμο Cefepime dihydrochloride
3549
Σύμφωνος
Ενέσιμο Amikacin sulfate 5 mg/ml
Ενέσιμο Cefiderocol sulfate tosylate 20 mg/mL
Γλυκόζη 5% 4528
Χημική αστάθεια Ασύμβατες
Ενέσιμο Amikacin sulfate
Ενέσιμο Cefmenoxime
3549
Χημική αστάθεια Ασύμβατες
Ενέσιμο Amikacin sulfate
Ενέσιμο Cefmetazole sodium
3549
Χημική αστάθεια Ασύμβατες
Ενέσιμο Amikacin sulfate
Ενέσιμο Cefonicid sodium
3549
Χημική αστάθεια Ασύμβατες
Ενέσιμο Amikacin sulfate
Ενέσιμο Cefoperazone sodium
3549
Απροσδιόριστη ασυμβατότητα Ασύμβατες
Ενέσιμο Amikacin sulfate
Ενέσιμο Cefoperazone sodium
3544
Χημική αστάθεια Ασύμβατες
Ενέσιμο Amikacin sulfate
Ενέσιμο Ceforanide
3549
Χημική αστάθεια Ασύμβατες
Ενέσιμο Amikacin sulfate
Ενέσιμο Cefotaxime sodium
3549
Χημική αστάθεια Ασύμβατες
Ενέσιμο Amikacin sulfate
Ενέσιμο Cefoxitin sodium
3549
Απροσδιόριστη ασυμβατότητα Ασύμβατες
Ενέσιμο Amikacin sulfate
Ενέσιμο Cefpirome sulfate
3677
Σύμφωνος
Ενέσιμο Amikacin sulfate 5 mg/ml
Ενέσιμο Cefpirome sulfate 50 mg/ml
Χλωριούχο νάτριο 0,45% 280
Σύμφωνος
Ενέσιμο Amikacin sulfate 5 mg/ml
Ενέσιμο Cefpirome sulfate 50 mg/ml
Γλυκόζη 5% 280
Σύμφωνος
Ενέσιμο Amikacin sulfate 5 mg/ml
Ενέσιμο Cefpirome sulfate 50 mg/ml
Χλωριούχο νάτριο 0,9% 280
Σύμφωνος
Ενέσιμο Amikacin sulfate 5 mg/ml
Ενέσιμο Cefpirome sulfate 50 mg/ml
Γαλακτικό διάλυμα Ringer 280
Χημική αστάθεια Ασύμβατες
Ενέσιμο Amikacin sulfate
Ενέσιμο Cefpirome sulfate
3549
Σύμφωνος
Ενέσιμο Amikacin sulfate 5 mg/ml
Ενέσιμο Ceftaroline fosamil 2,22 mg/ml
Γαλακτικό διάλυμα Ringer 3249
Σύμφωνος
Ενέσιμο Amikacin sulfate 5 mg/ml
Ενέσιμο Ceftaroline fosamil 2,22 mg/ml
Γλυκόζη 5% 3249
Σύμφωνος
Ενέσιμο Amikacin sulfate 5 mg/ml
Ενέσιμο Ceftaroline fosamil 2,22 mg/ml
Χλωριούχο νάτριο 0,9% 3249
Απροσδιόριστη ασυμβατότητα Ασύμβατες
Ενέσιμο Amikacin sulfate
Ενέσιμο Ceftazidime
3883
Απροσδιόριστη ασυμβατότητα Ασύμβατες
Ενέσιμο Amikacin sulfate
Ενέσιμο Ceftazidime
3543
Σύμφωνος
Ενέσιμο Amikacin sulfate 15 mg/ml
Ενέσιμο Ceftazidime 83.3 mg/ml
1759
Χημική αστάθεια Ασύμβατες
Ενέσιμο Amikacin sulfate
Ενέσιμο Ceftazidime Avibactam
3549
Άμεση βροχόπτωση Ασύμβατες
Ενέσιμο Amikacin sulfate 5 mg/ml
Ενέσιμο Ceftobiprole medocaril sodium 2 mg/ml
Χλωριούχο νάτριο 0,9% 2269
Απροσδιόριστη ασυμβατότητα Ασύμβατες
Ενέσιμο Amikacin sulfate
Ενέσιμο Ceftobiprole medocaril sodium
4650
Σύμφωνος
Ενέσιμο Amikacin sulfate
Γλυκόζη 5% 5076
Χημική αστάθεια Ασύμβατες
Ενέσιμο Amikacin sulfate
Ενέσιμο Ceftaroline fosamil
3549
Χημική αστάθεια Ασύμβατες
Ενέσιμο Amikacin sulfate
Ενέσιμο Ceftazidime
3549
Σύμφωνος
Ενέσιμο Amikacin sulfate 15 mg/ml
Ενέσιμο Ceftazidime 125 mg/ml
Ενέσιμο ύδωρ 2141
Χημική αστάθεια Ασύμβατες
Ενέσιμο Amikacin sulfate
Ενέσιμο Ceftizoxime sodium
3549
Άμεση βροχόπτωση Ασύμβατες
Ενέσιμο Amikacin sulfate 5 mg/ml
Ενέσιμο Ceftobiprole medocaril sodium 2 mg/ml
Γλυκόζη 5% 2269
Χημική αστάθεια Ασύμβατες
Ενέσιμο Amikacin sulfate
Ενέσιμο Ceftobiprole medocaril sodium
3549
Άμεση βροχόπτωση Ασύμβατες
Ενέσιμο Amikacin sulfate 5 mg/ml
Ενέσιμο Ceftobiprole medocaril sodium 2 mg/ml
Γαλακτικό διάλυμα Ringer 2269
Σύμφωνος
Ενέσιμο Amikacin sulfate 5 mg/ml
Ενέσιμο Ceftolozane / tazobactam 10/5 mg/ml
Γλυκόζη 5% 3828
Σύμφωνος
Ενέσιμο Amikacin sulfate 5 mg/ml
Ενέσιμο Ceftolozane / tazobactam 10/5 mg/ml
Χλωριούχο νάτριο 0,9% 3828
Χημική αστάθεια Ασύμβατες
Ενέσιμο Amikacin sulfate
Ενέσιμο Ceftolozane / tazobactam
3549
Απροσδιόριστη ασυμβατότητα Ασύμβατες
Ενέσιμο Amikacin sulfate
Ενέσιμο Ceftriaxone disodium
3523
Χημική αστάθεια Ασύμβατες
Ενέσιμο Amikacin sulfate
Ενέσιμο Ceftriaxone disodium
3549
Χημική αστάθεια Ασύμβατες
Ενέσιμο Amikacin sulfate
Ενέσιμο Cefuroxime sodium
3549
Απροσδιόριστη ασυμβατότητα Ασύμβατες
Ενέσιμο Amikacin sulfate
Ενέσιμο Cefuroxime sodium
3687
Χημική αστάθεια Ασύμβατες
Ενέσιμο Amikacin sulfate
Ενέσιμο Cefuzonam
3549
Απροσδιόριστη ασυμβατότητα Ασύμβατες
Ενέσιμο Amikacin sulfate
Ενέσιμο Chlorothiazide sodium
3549
Σύμφωνος
Ενέσιμο Amikacin sulfate 2.5 mg/ml
Ενέσιμο Cimetidine hydrochloride 1.5 mg/ml
Γλυκόζη 5% 1201
Χημική αστάθεια Ασύμβατες
Ενέσιμο Amikacin sulfate 4 mg/ml
Ενέσιμο Ciprofloxacin lactate 1.5 mg/ml
Χλωριούχο νάτριο 0,9% 434
Χημική αστάθεια Ασύμβατες
Ενέσιμο Amikacin sulfate 4 mg/ml
Ενέσιμο Ciprofloxacin lactate 1.5 mg/ml
Γλυκόζη 5% 434
Σύμφωνος
Ενέσιμο Amikacin sulfate 5 mg/ml
Ενέσιμο Cisatracurium besylate 0.1 >> 5 mg/ml
Γλυκόζη 5% 299
Σύμφωνος
Ενέσιμο Amikacin sulfate 4 mg/ml
Ενέσιμο Clindamycin phosphate 9 mg/ml
Χλωριούχο νάτριο 0,9% 565
Σύμφωνος
Ενέσιμο Amikacin sulfate 250 mg/ml
Παρεντερική  θρέψη (ελεύθερο λιπιδίων) 999
Σύμφωνος
Ενέσιμο Amikacin sulfate 5 mg/ml
Ενέσιμο Ciprofloxacin lactate 2 mg/ml
Γλυκόζη 5% 285
Χημική αστάθεια Ασύμβατες
Ενέσιμο Amikacin sulfate
Ενέσιμο Cisplatin
3578
Σύμφωνος
Ενέσιμο Amikacin sulfate 75 mg/ml
Ενέσιμο Clindamycin phosphate 90 mg/ml
Χλωριούχο νάτριο 0,9% 639
Σύμφωνος
Ενέσιμο Amikacin sulfate
Ενέσιμο Clindamycin phosphate
Χλωριούχο νάτριο 0,9% 3526
Υποβιβαστική ασυμβατότητα Ασύμβατες
Ενέσιμο Amikacin sulfate 250 mg/ml
Ενέσιμο Cloxacillin sodium 100 mg/ml
Ενέσιμο ύδωρ 3012
Απροσδιόριστη ασυμβατότητα Ασύμβατες
Ενέσιμο Amikacin sulfate
Ενέσιμο Daunorubicin/cytarabine liposomale
4354
Σύμφωνος
Ενέσιμο Amikacin sulfate 5 mg/ml
Παρεντερική  θρέψη (ελεύθερο λιπιδίων) 316
Σύμφωνος
Ενέσιμο Amikacin sulfate 4 mg/ml
Ενέσιμο Clindamycin phosphate 9 mg/ml
Γλυκόζη 5% 565
Σύμφωνος
Ενέσιμο Amikacin sulfate
Ενέσιμο Clindamycin phosphate
Γλυκόζη 5% 3526
Χημική αστάθεια Ασύμβατες
Ενέσιμο Amikacin sulfate
Ενέσιμο Cloxacillin sodium
3549
Απροσδιόριστη ασυμβατότητα Ασύμβατες
Ενέσιμο Amikacin sulfate
Ενέσιμο Cyanocobalamine
3549
Άμεση θολότητα Ασύμβατες
Ενέσιμο Amikacin sulfate
Ενέσιμο Daunorubicin/cytarabine liposomale 0,4 mg/mL
Χλωριούχο νάτριο 0,9% 4654
Άμεση βροχόπτωση Ασύμβατες
Ενέσιμο Amikacin sulfate 5 mg/ml
Ενέσιμο Defibrotide 8 mg/ml
Χλωριούχο νάτριο 0,9% 3728
Σύμφωνος
Ενέσιμο Amikacin sulfate 50 mg/ml
Ενέσιμο Dexamethasone sodium phosphate 4 mg/ml
Χλωριούχο νάτριο 0,45% 132
Απροσδιόριστη ασυμβατότητα Ασύμβατες
Ενέσιμο Amikacin sulfate
Ενέσιμο Erythromycin lactobionate
3549
Σύμφωνος
Ενέσιμο Amikacin sulfate 5 mg/ml
Παρεντερική  θρέψη (ελεύθερο λιπιδίων) 301
Σύμφωνος
Ενέσιμο Amikacin sulfate 5 mg/ml
Ενέσιμο Dexmedetomidine 4 µg/ml
Χλωριούχο νάτριο 0,9% 1712
Σύμφωνος
Ενέσιμο Amikacin sulfate 5 & 250 mg/ml
Ενέσιμο Diltiazem hydrochloride 5 mg/ml
Χλωριούχο νάτριο 0,9% 198
Σύμφωνος
Ενέσιμο Amikacin sulfate 5 mg/ml
Ενέσιμο Docetaxel 0.9 mg/ml
Γλυκόζη 5% 1754
Σύμφωνος
Ενέσιμο Amikacin sulfate 5 mg/ml
Ενέσιμο Doripenem 5 mg/ml
Χλωριούχο νάτριο 0,9% 2262
Σύμφωνος
Ενέσιμο Amikacin sulfate 5 mg/ml
Ενέσιμο Doripenem 5 mg/ml
Γλυκόζη 5% 2262
Χημική αστάθεια Ασύμβατες
Ενέσιμο Amikacin sulfate
Ενέσιμο Doripenem
3549
Σύμφωνος
Ενέσιμο Amikacin sulfate 2 mg/ml
Ενέσιμο Enalaprilate 0.05 mg/ml
Χλωριούχο νάτριο 0,9% 1315
Χημική αστάθεια Ασύμβατες
Ενέσιμο Amikacin sulfate
Ενέσιμο Ertapenem
3549
Απροσδιόριστη ασυμβατότητα Ασύμβατες
Ενέσιμο Amikacin sulfate
Ενέσιμο Erythromycin lactobionate
3674
Σύμφωνος
Ενέσιμο Amikacin sulfate 5 mg/ml
Ενέσιμο Esmolol hydrochloride 10 mg/ml
Γλυκόζη 5% 384
Σύμφωνος
Ενέσιμο Amikacin sulfate 5 mg/ml
Ενέσιμο Etoposide phosphate 5 mg/ml
Γλυκόζη 5% 1410
Σύμφωνος
Ενέσιμο Amikacin sulfate 5 mg/ml
Ενέσιμο Fenoldopam mesylate 80 µg/ml
Χλωριούχο νάτριο 0,9% 1803
Σύμφωνος
Ενέσιμο Amikacin sulfate 5 mg/ml
Ενέσιμο Filgrastim 30 µg/ml
Γλυκόζη 5% 244
Σύμφωνος
Ενέσιμο Amikacin sulfate 0.487 >> 0.667 mg/ml
Παρεντερική διατροφή (με λιπίδια) 1868
Σύμφωνος
Ενέσιμο Amikacin sulfate 250 mg/ml
Γαλακτικό διάλυμα Ringer 4603
Αστάθεια του γαλακτώματος μετά από 1 ώρα Ασύμβατες
Ενέσιμο Amikacin sulfate 250 mg/ml
Παρεντερική διατροφή (με λιπίδια) 673
Σύμφωνος
Ενέσιμο Amikacin sulfate 5 mg/ml
Ενέσιμο Filgrastim 40 µg/ml
Γλυκόζη 5% 104
Άμεση αστάθεια του γαλακτώματος Ασύμβατες
Ενέσιμο Amikacin sulfate 50 mg/ml
Παρεντερική διατροφή (με λιπίδια) 132
Σύμφωνος
Ενέσιμο Amikacin sulfate 5 mg/ml
Παρεντερική διατροφή (με λιπίδια) 1415
Άμεση βροχόπτωση Ασύμβατες
Ενέσιμο Amikacin sulfate
Ενέσιμο Flucloxacillin sodium
3522
Σύμφωνος
Ενέσιμο Amikacin sulfate 20 mg/ml
Ενέσιμο Fluconazole 2 mg/ml
Χλωριούχο νάτριο 0,9% 496
Σύμφωνος
Ενέσιμο Amikacin sulfate 5 mg/ml
Ενέσιμο Fluconazole 2 mg/ml
Ουδέν 256
Σύμφωνος
Ενέσιμο Amikacin sulfate 5 mg/ml
Ενέσιμο Fludarabine phosphate 1 mg/ml
Γλυκόζη 5% 492
Σύμφωνος
Ενέσιμο Amikacin sulfate 20 mg/ml
Ενέσιμο Foscarnet sodium 24 mg/ml
Ουδέν 73
Σύμφωνος
Ενέσιμο Amikacin sulfate 5 mg/ml
Ενέσιμο Fosfomycin 30 mg/ml
Χλωριούχο νάτριο 0,9% 4055
Σύμφωνος
Ενέσιμο Amikacin sulfate 5 mg/ml
Ενέσιμο Fosfomycin 30 mg/ml
Γλυκόζη 5% 4055
Άμεση βροχόπτωση Ασύμβατες
Ενέσιμο Amikacin sulfate 2 mg/ml
Ενέσιμο Furosemide 0,16 mg/ml
Χλωριούχο νάτριο 0,9% 367
Άμεση βροχόπτωση Ασύμβατες
Ενέσιμο Amikacin sulfate 2 mg/ml
Ενέσιμο Furosemide 0,16 mg/ml
Γλυκόζη 5% 367
Σύμφωνος
Ενέσιμο Amikacin sulfate 5 mg/ml
Ενέσιμο Gemcitabine hydrochloride 10 mg/ml
Χλωριούχο νάτριο 0,9% 1423
Σύμφωνος
Ενέσιμο Amikacin sulfate 5 mg/ml
Ενέσιμο Granisetron hydrochloride 0.05 mg/ml
Γλυκόζη 5% 182
Απροσδιόριστη ασυμβατότητα Ασύμβατες
Ενέσιμο Amikacin sulfate
Ενέσιμο Heparin sodium
3549
Απροσδιόριστη ασυμβατότητα Ασύμβατες
Ενέσιμο Amikacin sulfate
Ενέσιμο Heparin sodium
3540
Άμεση βροχόπτωση Ασύμβατες
Ενέσιμο Amikacin sulfate
Ενέσιμο Heparin sodium
1022
Σύμφωνος
Ενέσιμο Amikacin sulfate 5 mg/ml
Ενέσιμο Hetastarch 60 mg/ml
Ειδικά διαλύτη 1721
Άμεση βροχόπτωση Ασύμβατες
Ενέσιμο Amikacin sulfate 5 mg/ml
Ενέσιμο Hetastarch 60 mg/ml
Χλωριούχο νάτριο 0,9% 472
Σύμφωνος
Ενέσιμο Amikacin sulfate 5 mg/ml
Ενέσιμο Hydromorphone hydrochloride 0.2 mg/ml
Γλυκόζη 5% 405
Άμεση θολότητα Ασύμβατες
Ενέσιμο Amikacin sulfate 50 mg/ml
Ενέσιμο Ibuprofen lysinate 10 mg/ml
Ενέσιμο ύδωρ 4419
Άμεση θολότητα Ασύμβατες
Ενέσιμο Amikacin sulfate 250 mg/ml
Ενέσιμο Ibuprofen lysinate 10 mg/ml
Ενέσιμο ύδωρ 4419
Σύμφωνος
Ενέσιμο Amikacin sulfate 5 mg/ml
Ενέσιμο Idarubicin hydrochloride 1 mg/ml
Χλωριούχο νάτριο 0,9% 491
Χημική αστάθεια Ασύμβατες
Ενέσιμο Amikacin sulfate
Ενέσιμο Imipenem - cilastatin sodium
3549
Σύμφωνος
Ενέσιμο Amikacin sulfate 5 mg/ml
Ενέσιμο Isavuconazonium sulfate 1.5 mg/ml
Γλυκόζη 5% 3829
Σύμφωνος
Ενέσιμο Amikacin sulfate 5 mg/ml
Ενέσιμο Isavuconazonium sulfate 1.5 mg/ml
Χλωριούχο νάτριο 0,9% 3829
Σύμφωνος
Ενέσιμο Amikacin sulfate 250 mg/ml
Ενέσιμο Ketamine hydrochloride 50 mg/ml
2109
Σύμφωνος
Ενέσιμο Amikacin sulfate 5 mg/ml
Ενέσιμο Labetalol hydrochloride 1 mg/ml
Γλυκόζη 5% 386
Σύμφωνος
Ενέσιμο Amikacin sulfate 5 mg/ml
Ενέσιμο Lansoprazole 0.55 mg/ml
Χλωριούχο νάτριο 0,9% 1625
Σύμφωνος
Ενέσιμο Amikacin sulfate 50 mg/ml
Ενέσιμο Levofloxacine 5 mg/ml
Γλυκόζη 5% 1072
Σύμφωνος
Ενέσιμο Amikacin sulfate 5 mg/ml
Ενέσιμο Linezolid 2 mg/ml
Ουδέν 1925
Σύμφωνος
Ενέσιμο Amikacin sulfate 5 mg/ml
Ενέσιμο Lorazepam 0.33 mg/ml
Χλωριούχο νάτριο 0,9% 186
Σύμφωνος
Ενέσιμο Amikacin sulfate 5 mg/ml
Ενέσιμο Magnesium sulfate 16.67 >> 100 mg/ml
Γλυκόζη 5% 1047
Σύμφωνος
Ενέσιμο Amikacin sulfate 5 mg/ml
Ενέσιμο Melphalan 0.1 mg/ml
Χλωριούχο νάτριο 0,9% 169
Σύμφωνος
Ενέσιμο Amikacin sulfate 250 mg/ml
Ενέσιμο Meropenem 50 mg/ml
4389
Σύμφωνος
Ενέσιμο Amikacin sulfate 250 mg/ml
Ενέσιμο Meropenem 50 mg/ml
Ενέσιμο ύδωρ 4319
Χημική αστάθεια Ασύμβατες
Ενέσιμο Amikacin sulfate
Ενέσιμο Meropenem
3549
Σύμφωνος
Ενέσιμο Amikacin sulfate
Ενέσιμο Metronidazole
3594
Σύμφωνος
Ενέσιμο Amikacin sulfate 5 mg/ml
Ενέσιμο Metronidazole 5 mg/ml
Ουδέν 1035
Σύμφωνος
Ενέσιμο Amikacin sulfate 5 mg/ml
Ενέσιμο Midazolam hydrochloride 5 mg/ml
Ουδέν 186
Σύμφωνος
Ενέσιμο Amikacin sulfate 5 mg/ml
Ενέσιμο Morphine sulfate 1 mg/ml
Γλυκόζη 5% 405
Σύμφωνος
Ενέσιμο Amikacin sulfate 250 mg/ml
Ενέσιμο N-acetylcysteine 200 mg/ml
Ουδέν 3766
Χημική αστάθεια Ασύμβατες
Ενέσιμο Amikacin sulfate
Ενέσιμο Nafcillin sodium
3549
Σύμφωνος
Ενέσιμο Amikacin sulfate 2,5 mg/ml
Ενέσιμο Nalbuphine hydrochloride 0,05 >> 0,33 mg/ml
Χλωριούχο νάτριο 0,9% 4867
Σύμφωνος
Ενέσιμο Amikacin sulfate 250 mg/ml
Ενέσιμο Naloxone hydrochloride 0.4 mg/ml
Ουδέν 3408
Σύμφωνος
Ενέσιμο Amikacin sulfate 2 mg/ml
Ενέσιμο Nicardipine hydrochloride 0.1 mg/ml
Γλυκόζη 5% 1490
Σύμφωνος
Ενέσιμο Amikacin sulfate 2 mg/ml
Ενέσιμο Nicardipine hydrochloride 0.1 mg/ml
Χλωριούχο νάτριο 0,9% 1490
Σύμφωνος
Ενέσιμο Amikacin sulfate 5 mg/ml
Ενέσιμο Ondansetron hydrochloride 1 mg/ml
Χλωριούχο νάτριο 0,9% 334
Χημική αστάθεια Ασύμβατες
Ενέσιμο Amikacin sulfate
Ενέσιμο Oxacillin sodium
3549
Σύμφωνος
Ενέσιμο Amikacin sulfate 5 mg/ml
Ενέσιμο Paclitaxel 1.2 mg/ml
Γλυκόζη 5% 248
Άμεση βροχόπτωση Ασύμβατες
Ενέσιμο Amikacin sulfate
Ενέσιμο Pantoprazole sodium
2090
Σύμφωνος
Ενέσιμο Amikacin sulfate 250 mg/ml
Ενέσιμο Paracetamol 10 mg/ml
4742
Σύμφωνος
Ενέσιμο Amikacin sulfate 5 mg/ml
Ενέσιμο Pemetrexed disodium 20 mg/ml
Χλωριούχο νάτριο 0,9% 1953
Χημική αστάθεια Ασύμβατες
Ενέσιμο Amikacin sulfate
Ενέσιμο Penicillin G potassium
3549
Χημική αστάθεια Ασύμβατες
Ενέσιμο Amikacin sulfate
Ενέσιμο Penicillin G sodium
3549
Σύμφωνος
Ενέσιμο Amikacin sulfate 50 mg/ml
Ενέσιμο Pethidine hydrochloride 100 mg/ml
Χλωριούχο νάτριο 0,45% 132
Σύμφωνος
Ενέσιμο Amikacin sulfate 5 mg/ml
Ενέσιμο Pethidine hydrochloride 10 mg/ml
Γλυκόζη 5% 405
Απροσδιόριστη ασυμβατότητα Ασύμβατες
Ενέσιμο Amikacin sulfate
Ενέσιμο Phenytoin sodium
3549
Σύμφωνος
Ενέσιμο Amikacin sulfate 40 mg/ml
Ενέσιμο Phloroglucinol 2,5 mg/ml
3791
Χημική αστάθεια Ασύμβατες
Ενέσιμο Amikacin sulfate
Ενέσιμο Piperacillin sodium
3549
Χημική αστάθεια Ασύμβατες
Ενέσιμο Amikacin sulfate
Ενέσιμο Piperacillin sodium / tazobactam
3549
Χημική αστάθεια Ασύμβατες
Ενέσιμο Amikacin sulfate
Ενέσιμο Piperacillin sodium / tazobactam
3586
Σύμφωνος
Ενέσιμο Amikacin sulfate
Ενέσιμο Posaconazole
4380
Άμεση βροχόπτωση Ασύμβατες
Ενέσιμο Amikacin sulfate 5 mg/ml
Ενέσιμο Propofol 10 mg/ml
Ουδέν 300
Απροσδιόριστη ασυμβατότητα Ασύμβατες
Ενέσιμο Amikacin sulfate
Ενέσιμο Pyridoxine hydrochloride
3549
Σύμφωνος
Ενέσιμο Amikacin sulfate 5 mg/ml
Ενέσιμο Remifentanil hydrochloride 25 & 250 µg/ml
Χλωριούχο νάτριο 0,9% 59
Άμεση βροχόπτωση Ασύμβατες
Ενέσιμο Amikacin sulfate 250 mg/ml
Ενέσιμο Salbutamol sulfate 1 mg/ml
Ουδέν 3216
Σύμφωνος
Ενέσιμο Amikacin sulfate 5 mg/ml
Ενέσιμο Sargramostim 10 µg/ml
Χλωριούχο νάτριο 0,9% 335
Σύμφωνος
Ενέσιμο Amikacin sulfate 10 mg/ml
Ενέσιμο Sulbactam/durlobactam 15/15 mg/ml
Χλωριούχο νάτριο 0,9% 4801
Σύμφωνος
Ενέσιμο Amikacin sulfate 5 mg/ml
Ενέσιμο Tedizolid phosphate 0.8 mg/ml
Χλωριούχο νάτριο 0,9% 3827
Απροσδιόριστη ασυμβατότητα Ασύμβατες
Ενέσιμο Amikacin sulfate
Ενέσιμο Teicoplanine
3656
Σύμφωνος
Ενέσιμο Amikacin sulfate
Χλωριούχο νάτριο 0,9% 5076
Απροσδιόριστη ασυμβατότητα Ασύμβατες
Ενέσιμο Amikacin sulfate 50 mg/ml
Ενέσιμο Propofol
4524
Απροσδιόριστη ασυμβατότητα Ασύμβατες
Ενέσιμο Amikacin sulfate
Ενέσιμο Temocilline
2296
Σύμφωνος
Ενέσιμο Amikacin sulfate 15 mg/ml
Ενέσιμο Temocilline 83.33 mg/ml
Ενέσιμο ύδωρ 2231
Χημική αστάθεια Ασύμβατες
Ενέσιμο Amikacin sulfate
Ενέσιμο Temocilline
3549
Σύμφωνος
Ενέσιμο Amikacin sulfate 5 mg/ml
Ενέσιμο Teniposide 0.1 mg/ml
Γλυκόζη 5% 905
Απροσδιόριστη ασυμβατότητα Ασύμβατες
Ενέσιμο Amikacin sulfate
Ενέσιμο Thiamine hydrochloride
3549
Άμεση βροχόπτωση Ασύμβατες
Ενέσιμο Amikacin sulfate 250 mg/ml
Ενέσιμο Thiopental sodium 25 mg/ml
Χλωριούχο νάτριο 0,9% 3767
Απροσδιόριστη ασυμβατότητα Ασύμβατες
Ενέσιμο Amikacin sulfate
Ενέσιμο Thiopental sodium
3549
Σύμφωνος
Ενέσιμο Amikacin sulfate 5 mg/ml
Ενέσιμο Thiotepa 1 mg/ml
Γλυκόζη 5% 249
Χημική αστάθεια Ασύμβατες
Ενέσιμο Amikacin sulfate
Ενέσιμο Ticarcillin / clavulanic acid
3587
Χημική αστάθεια Ασύμβατες
Ενέσιμο Amikacin sulfate
Ενέσιμο Ticarcillin / clavulanic acid
3549
Σύμφωνος
Ενέσιμο Amikacin sulfate
Ενέσιμο Tigecycline
Χλωριούχο νάτριο 0,9% 3332
Σύμφωνος
Ενέσιμο Amikacin sulfate 15 mg/ml
Ενέσιμο Vancomycin hydrochloride 10 mg/ml
Γλυκόζη 5% 3385
Σύμφωνος
Ενέσιμο Amikacin sulfate 2 mg/ml
Ενέσιμο Verapamil hydrochloride 0.08 mg/ml
Χλωριούχο νάτριο 0,9% 1057
Σύμφωνος
Ενέσιμο Amikacin sulfate 2 mg/ml
Ενέσιμο Verapamil hydrochloride 0.08 mg/ml
Γλυκόζη 5% 1057
Άμεση θολότητα Ασύμβατες
Ενέσιμο Amikacin sulfate 5 mg/ml
Ενέσιμο Vinorelbine tartrate 1 mg/ml
Χλωριούχο νάτριο 0,9% 84
Σύμφωνος
Ενέσιμο Amikacin sulfate 5 mg/ml
Ενέσιμο Warfarin sodium 0.1 & 2 mg/ml
Γλυκόζη 5% 552
Σύμφωνος
Ενέσιμο Amikacin sulfate 5 mg/ml
Ενέσιμο Warfarin sodium 0.1 & 2 mg/ml
Χλωριούχο νάτριο 0,9% 552
Σύμφωνος
Ενέσιμο Amikacin sulfate 4 mg/ml
Ενέσιμο Zidovudine 4 mg/ml
Γλυκόζη 5% 337

  Mentions Légales