zadnja posodobitev :
18/03/2026
Antibiotik   Amikacin sulfate  
Brizgalka
Stabilnost raztopine Stabilnost mešanice Faktorji, ki vplivajo na stabilnost Kompatibilnost način aplikacije Viri pdf
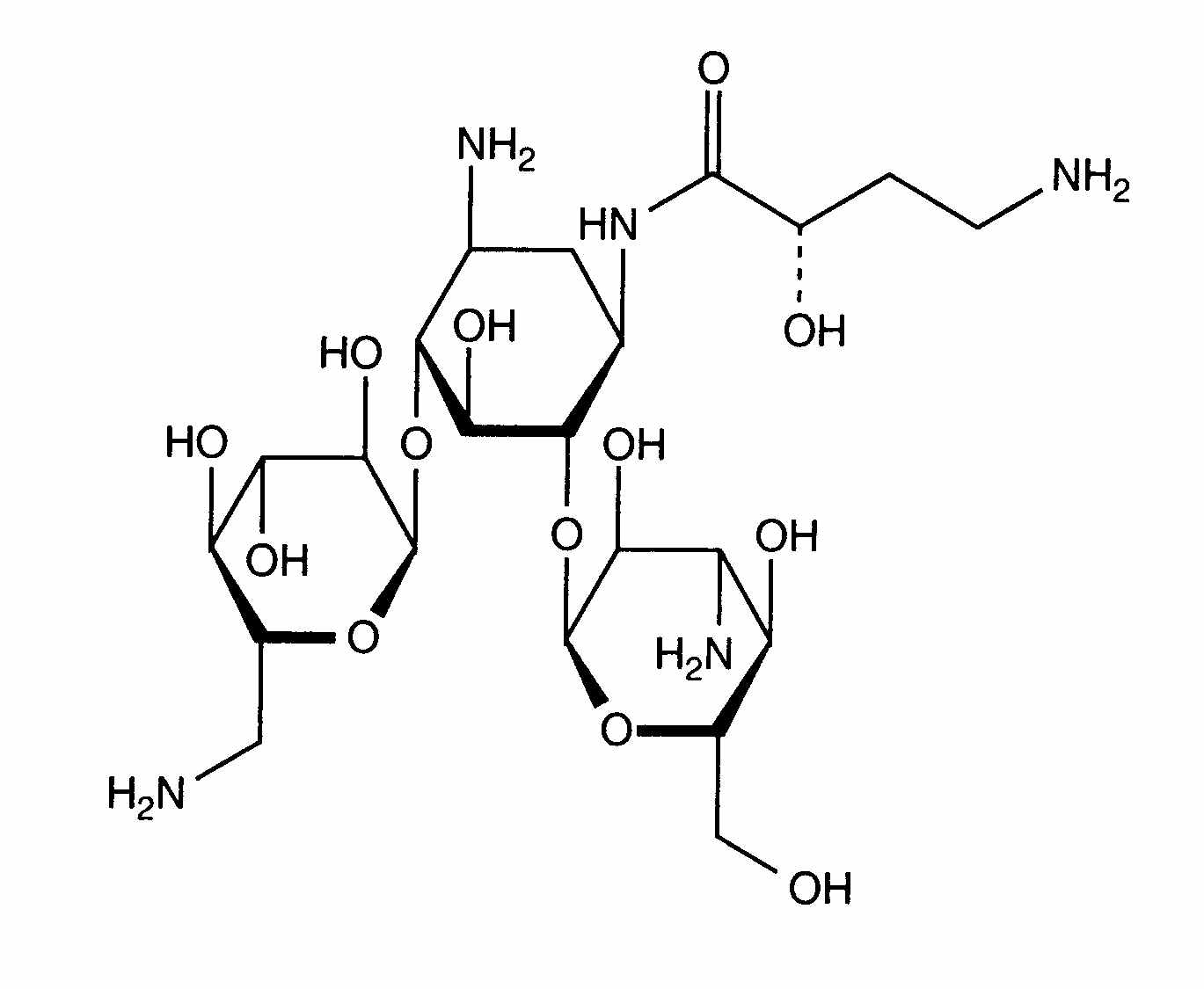
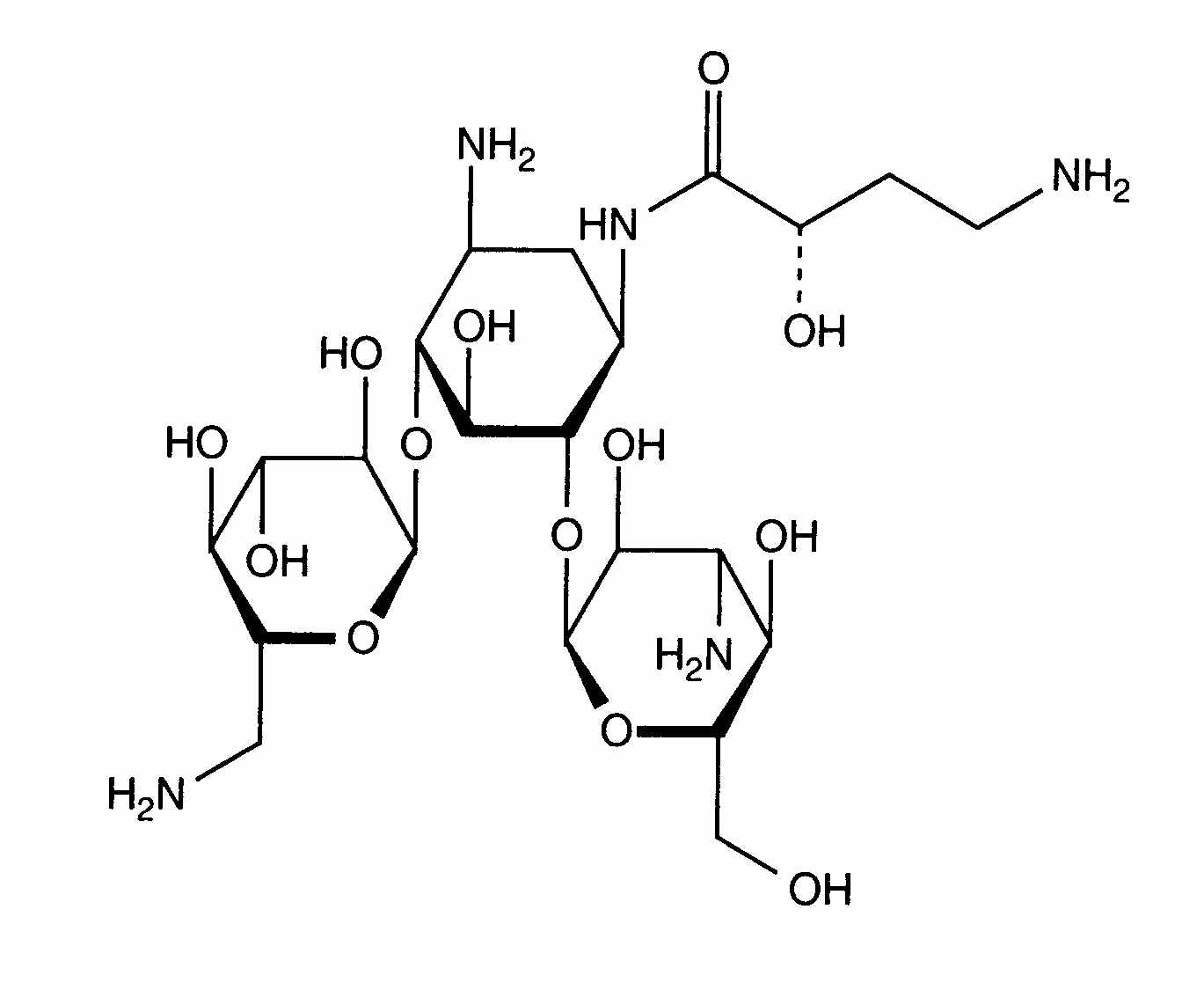
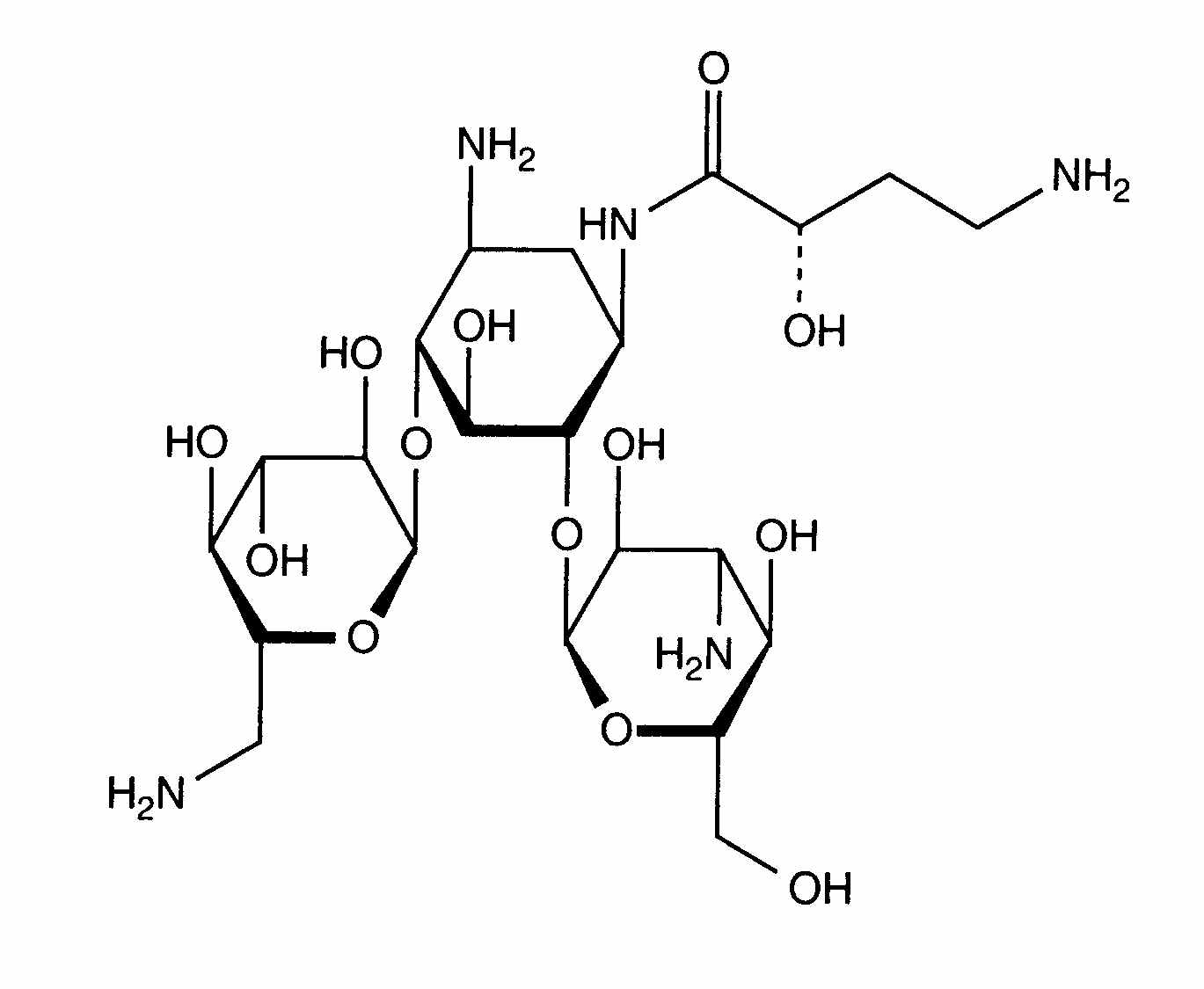
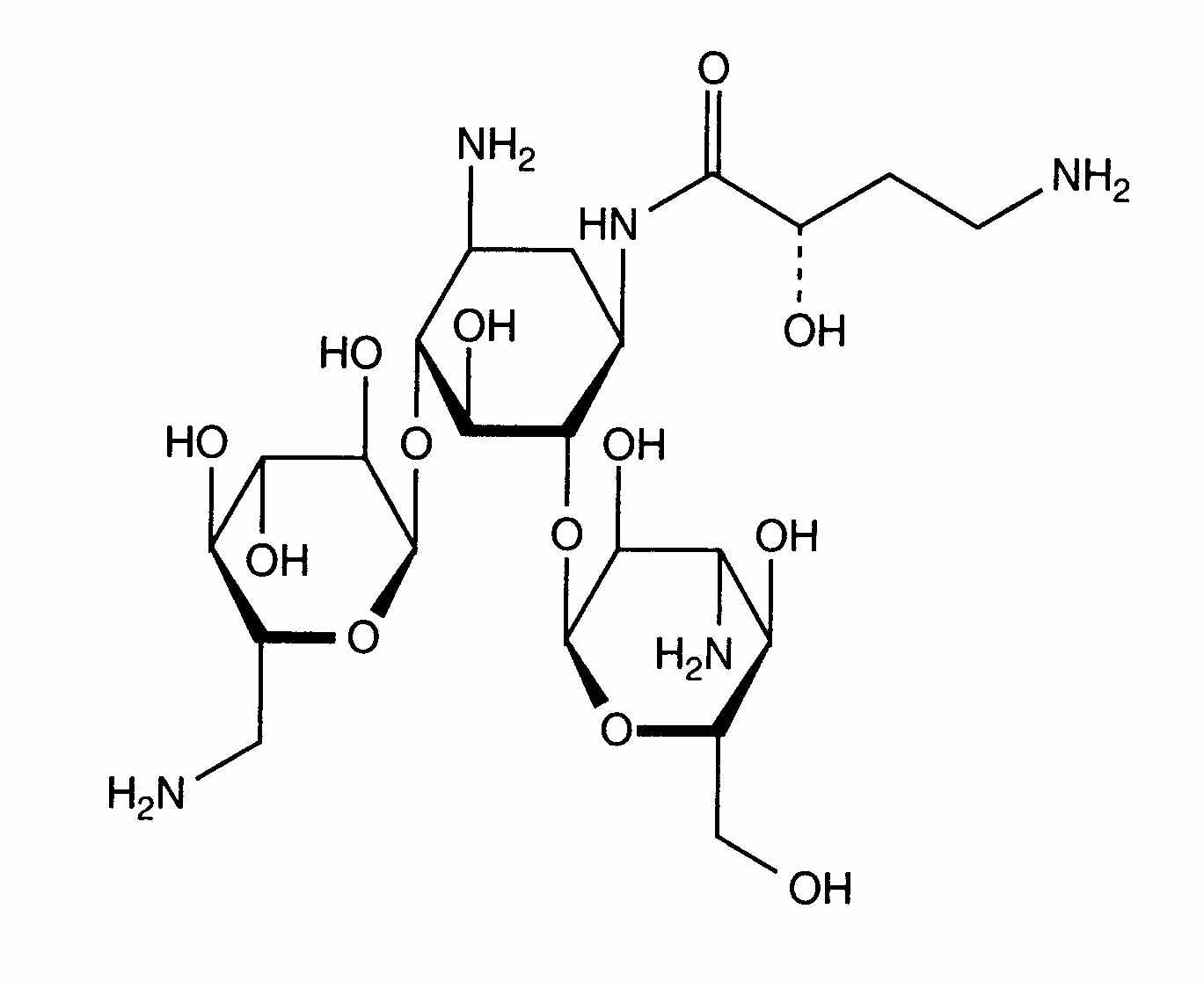
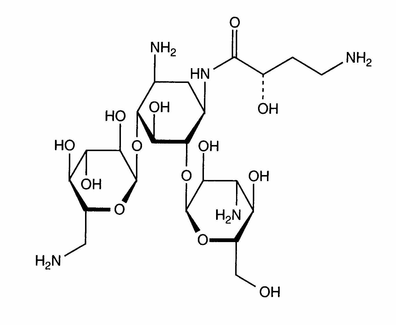
   Kemična formula  

Lastniško ime   Lastniško ime     

Sestava pomožnih snovi je med paralelami lahko različna

Adnet Indija
Agnicin Mehika
Akamin Ekvador
Akim Ekvador
Amicacil Brazilija
Amicilon Brazilija
Amicin Malezija
Amicip Venezuela
Amijeksin Turčija
Amikabiot Ekvador, Peru
Amikacin Egipt, Iran, Kanada, Malezija, Nemčija, nova Zelandija, Savdska Arabija, Velika Britanija, Združene države Amerike
Amikacina Argentina, Čile, Ekvador, Italija, Kolumbija, Mehika, Peru, Španija, Venezuela
Amikacine Belgija, Francija, Maroko, Nizozemska
Amikafur Mehika
Amikagram Peru
Amikalem Mehika
Amikamed Peru
Amikamek Peru
Amikan Italija
Amikavax Venezuela
Amikaver Turčija
Amikayect Mehika
Amikem Peru
Amiketem Turčija
Amikin Avstralija, Brazilija, Egipt, Ekvador, Irska, Kolumbija, Madžarska, Mehika, Peru, Poljska, Savdska Arabija, Švica, Tunizija, Velika Britanija, Združene države Amerike
Amiklin Francija, Turčija
Amikosit Romunija, Tunizija, Turčija
Amikram Peru
Amukin Belgija, Luksemburg, Nizozemska
Apalin Malezija
Baxi K Čile, Mehika
Behcacin Indija, Venezuela
Belka Indija
Biclin Avstrija, Finska, Mehika, Nemčija, Portugalska, Španija, Švedska
Biodacyna Poljska
Biokacin Mehika
Briklin Grčija
Cadicin Indija
Chemacin Italija
Cikabit Indija
Cinamica Indija
Cinas Indija
Consumonit Grčija
Domak Indija
Doxocar Argentina
Elcin Indija
Elmik Indija
Emcin Indija
Emica Indija
Farcyclin Grčija
Flexelite Grčija
Greini Argentina
Ipacin Iran
Itukacin Peru
Kancin Grčija
Lanomycin Grčija
Lukadin Italija
Masmika Indija
Mediamik Italija
Micalpha Grčija
Micigen Mehika
Migracin Italija
Mikacin Savdska Arabija
Nekacin Italija
Novamin Brazilija
Orlobin Grčija
Remikin Grčija
Rovericlin Grčija
Uzix Grčija
Kompatibilnost   Brizgalka   Kompatibilnost : Amikacin sulfate              
Ta zaslon prikazuje združljivost ali nezdružljivost s, v tem primeru, vrsto nezdružljivosti (padavine, sprememba barve, sprememba emulzije itd.). Tu prikazane združljivosti so večinoma samo fizične, pri čemer se kemijska stabilnost vsake molekule redko ocenjuje. Vrednotenje teh zmesi so preučevali, da bi preučili možnost pacientovega dajanja na mestu Y. Teh podatkov ni mogoče uporabiti za pripravo mešanic v vrečkah ali brizgah. Ta vrsta informacij je na voljo na zaslonu "Obstojnost v mešanici".
Sestava Topilo Viri
Združljivo
Brizgalka Amikacin sulfate 5 mg/ml
Brizgalka Aciclovir sodium 5 mg/ml
Glukoza 5% 336
Padavine po 1 uri Nezdružljivo
Brizgalka Amikacin sulfate 5 mg/ml
Brizgalka Allopurinol sodium 3 mg/ml
Natrijev klorid 0,9% 307
Združljivo
Brizgalka Amikacin sulfate 5 mg/ml
Brizgalka Amifostine 10 mg/ml
Glukoza 5% 3
Združljivo
Brizgalka Amikacin sulfate 5 mg/ml
Brizgalka Amiodarone hydrochloride 4 mg/ml
Natrijev klorid 0,9% 385
Združljivo
Brizgalka Amikacin sulfate 5 mg/ml
Brizgalka Amiodarone hydrochloride 4 mg/ml
Glukoza 5% 385
Kemijska nestabilnost Nezdružljivo
Brizgalka Amikacin sulfate
Brizgalka Amoxicillin sodium
3527
Kemijska nestabilnost Nezdružljivo
Brizgalka Amikacin sulfate
Brizgalka Amoxicillin sodium
3549
Združljivo
Brizgalka Amikacin sulfate 250 mg/ml
Brizgalka Amoxicillin sodium / clavulanic acid 100/10 mg/ml
3824
Kemijska nestabilnost Nezdružljivo
Brizgalka Amikacin sulfate
Brizgalka Amoxicillin sodium / clavulanic acid
3549
Nedoločena nezdružljivost Nezdružljivo
Brizgalka Amikacin sulfate
Brizgalka Amoxicillin sodium / clavulanic acid
3545
Nedoločena nezdružljivost Nezdružljivo
Brizgalka Amikacin sulfate
Brizgalka Amphotericin B
3549
Takoj padavine Nezdružljivo
Brizgalka Amikacin sulfate 5 mg/ml
Brizgalka Amphotericin B cholesteryl sulfate complex 0.83 mg/ml
Glukoza 5% 921
Kemijska nestabilnost Nezdružljivo
Brizgalka Amikacin sulfate
Brizgalka Ampicillin sodium
3549
Kemijska nestabilnost Nezdružljivo
Brizgalka Amikacin sulfate
Brizgalka Ampicillin sodium - sulbactam sodium
3549
Združljivo
Brizgalka Amikacin sulfate 5 mg/ml
Brizgalka Amsacrine 1 mg/ml
Glukoza 5% 253
Združljivo
Brizgalka Amikacin sulfate 5 mg/ml
Brizgalka Anidulafungin 0.5 mg/ml
Glukoza 5% 1982
Nedoločena nezdružljivost Nezdružljivo
Brizgalka Amikacin sulfate
Brizgalka Ascorbic acid
3549
Takoj padavine Nezdružljivo
Brizgalka Amikacin sulfate 100 mg/ml
Brizgalka Azithromycine 2 mg/ml
Natrijev klorid 0,9% 1800
Kemijska nestabilnost Nezdružljivo
Brizgalka Amikacin sulfate
Brizgalka Aztreonam
3549
Združljivo
Brizgalka Amikacin sulfate 5 mg/ml
Brizgalka Aztreonam 40 mg/ml
Glukoza 5% 99
Združljivo
Brizgalka Amikacin sulfate 5 mg/ml
Brizgalka Bivalirudin 5 mg/ml
Glukoza 5% 1713
Združljivo
Brizgalka Amikacin sulfate 250 mg/ml
Brizgalka Caffeine 10 mg/ml
Nobeden 3964
Nezdružljivo
Brizgalka Amikacin sulfate
Brizgalka Calcium gluconate
4964
Nedoločena nezdružljivost Nezdružljivo
Brizgalka Amikacin sulfate
Brizgalka Calcium gluconate
3644
Združljivo
Brizgalka Amikacin sulfate 5 mg/ml
Brizgalka Caspofungin acetate 0,7 mg/ml
Natrijev klorid 0,9% 2247
Kemijska nestabilnost Nezdružljivo
Brizgalka Amikacin sulfate
Brizgalka Cefalotin sodium
3549
Kemijska nestabilnost Nezdružljivo
Brizgalka Amikacin sulfate
Brizgalka Cefamandole nafate
3549
Nedoločena nezdružljivost Nezdružljivo
Brizgalka Amikacin sulfate
Brizgalka Cefamandole nafate
3546
Kemijska nestabilnost Nezdružljivo
Brizgalka Amikacin sulfate
Brizgalka Cefazolin sodium
3549
Združljivo
Brizgalka Amikacin sulfate 6 mg/ml
Brizgalka Cefepime dihydrochloride 40 mg/ml
Natrijev klorid 0,9% 3548
Združljivo
Brizgalka Amikacin sulfate 6 mg/ml
Brizgalka Cefepime dihydrochloride 40 mg/ml
Glukoza 5% 3548
Združljivo
Brizgalka Amikacin sulfate 15 mg/ml
Brizgalka Cefepime dihydrochloride 125 mg/ml
Voda za injekcije 2141
Kemijska nestabilnost Nezdružljivo
Brizgalka Amikacin sulfate
Brizgalka Cefepime dihydrochloride
3549
Združljivo
Brizgalka Amikacin sulfate 5 mg/ml
Brizgalka Cefiderocol sulfate tosylate 20 mg/mL
Glukoza 5% 4528
Kemijska nestabilnost Nezdružljivo
Brizgalka Amikacin sulfate
Brizgalka Cefmenoxime
3549
Kemijska nestabilnost Nezdružljivo
Brizgalka Amikacin sulfate
Brizgalka Cefmetazole sodium
3549
Kemijska nestabilnost Nezdružljivo
Brizgalka Amikacin sulfate
Brizgalka Cefonicid sodium
3549
Kemijska nestabilnost Nezdružljivo
Brizgalka Amikacin sulfate
Brizgalka Cefoperazone sodium
3549
Nedoločena nezdružljivost Nezdružljivo
Brizgalka Amikacin sulfate
Brizgalka Cefoperazone sodium
3544
Kemijska nestabilnost Nezdružljivo
Brizgalka Amikacin sulfate
Brizgalka Ceforanide
3549
Kemijska nestabilnost Nezdružljivo
Brizgalka Amikacin sulfate
Brizgalka Cefotaxime sodium
3549
Kemijska nestabilnost Nezdružljivo
Brizgalka Amikacin sulfate
Brizgalka Cefoxitin sodium
3549
Nedoločena nezdružljivost Nezdružljivo
Brizgalka Amikacin sulfate
Brizgalka Cefpirome sulfate
3677
Združljivo
Brizgalka Amikacin sulfate 5 mg/ml
Brizgalka Cefpirome sulfate 50 mg/ml
Natrijev klorid 0,45% 280
Združljivo
Brizgalka Amikacin sulfate 5 mg/ml
Brizgalka Cefpirome sulfate 50 mg/ml
Glukoza 5% 280
Združljivo
Brizgalka Amikacin sulfate 5 mg/ml
Brizgalka Cefpirome sulfate 50 mg/ml
Natrijev klorid 0,9% 280
Združljivo
Brizgalka Amikacin sulfate 5 mg/ml
Brizgalka Cefpirome sulfate 50 mg/ml
Ringerjev laktat 280
Kemijska nestabilnost Nezdružljivo
Brizgalka Amikacin sulfate
Brizgalka Cefpirome sulfate
3549
Združljivo
Brizgalka Amikacin sulfate 5 mg/ml
Brizgalka Ceftaroline fosamil 2,22 mg/ml
Ringerjev laktat 3249
Združljivo
Brizgalka Amikacin sulfate 5 mg/ml
Brizgalka Ceftaroline fosamil 2,22 mg/ml
Glukoza 5% 3249
Združljivo
Brizgalka Amikacin sulfate 5 mg/ml
Brizgalka Ceftaroline fosamil 2,22 mg/ml
Natrijev klorid 0,9% 3249
Nedoločena nezdružljivost Nezdružljivo
Brizgalka Amikacin sulfate
Brizgalka Ceftazidime
3883
Nedoločena nezdružljivost Nezdružljivo
Brizgalka Amikacin sulfate
Brizgalka Ceftazidime
3543
Združljivo
Brizgalka Amikacin sulfate 15 mg/ml
Brizgalka Ceftazidime 83.3 mg/ml
1759
Kemijska nestabilnost Nezdružljivo
Brizgalka Amikacin sulfate
Brizgalka Ceftazidime Avibactam
3549
Takoj padavine Nezdružljivo
Brizgalka Amikacin sulfate 5 mg/ml
Brizgalka Ceftobiprole medocaril sodium 2 mg/ml
Natrijev klorid 0,9% 2269
Nedoločena nezdružljivost Nezdružljivo
Brizgalka Amikacin sulfate
Brizgalka Ceftobiprole medocaril sodium
4650
Združljivo
Brizgalka Amikacin sulfate
Glukoza 5% 5076
Kemijska nestabilnost Nezdružljivo
Brizgalka Amikacin sulfate
Brizgalka Ceftaroline fosamil
3549
Kemijska nestabilnost Nezdružljivo
Brizgalka Amikacin sulfate
Brizgalka Ceftazidime
3549
Združljivo
Brizgalka Amikacin sulfate 15 mg/ml
Brizgalka Ceftazidime 125 mg/ml
Voda za injekcije 2141
Kemijska nestabilnost Nezdružljivo
Brizgalka Amikacin sulfate
Brizgalka Ceftizoxime sodium
3549
Takoj padavine Nezdružljivo
Brizgalka Amikacin sulfate 5 mg/ml
Brizgalka Ceftobiprole medocaril sodium 2 mg/ml
Glukoza 5% 2269
Kemijska nestabilnost Nezdružljivo
Brizgalka Amikacin sulfate
Brizgalka Ceftobiprole medocaril sodium
3549
Takoj padavine Nezdružljivo
Brizgalka Amikacin sulfate 5 mg/ml
Brizgalka Ceftobiprole medocaril sodium 2 mg/ml
Ringerjev laktat 2269
Združljivo
Brizgalka Amikacin sulfate 5 mg/ml
Brizgalka Ceftolozane / tazobactam 10/5 mg/ml
Glukoza 5% 3828
Združljivo
Brizgalka Amikacin sulfate 5 mg/ml
Brizgalka Ceftolozane / tazobactam 10/5 mg/ml
Natrijev klorid 0,9% 3828
Kemijska nestabilnost Nezdružljivo
Brizgalka Amikacin sulfate
Brizgalka Ceftolozane / tazobactam
3549
Nedoločena nezdružljivost Nezdružljivo
Brizgalka Amikacin sulfate
Brizgalka Ceftriaxone disodium
3523
Kemijska nestabilnost Nezdružljivo
Brizgalka Amikacin sulfate
Brizgalka Ceftriaxone disodium
3549
Kemijska nestabilnost Nezdružljivo
Brizgalka Amikacin sulfate
Brizgalka Cefuroxime sodium
3549
Nedoločena nezdružljivost Nezdružljivo
Brizgalka Amikacin sulfate
Brizgalka Cefuroxime sodium
3687
Kemijska nestabilnost Nezdružljivo
Brizgalka Amikacin sulfate
Brizgalka Cefuzonam
3549
Nedoločena nezdružljivost Nezdružljivo
Brizgalka Amikacin sulfate
Brizgalka Chlorothiazide sodium
3549
Združljivo
Brizgalka Amikacin sulfate 2.5 mg/ml
Brizgalka Cimetidine hydrochloride 1.5 mg/ml
Glukoza 5% 1201
Kemijska nestabilnost Nezdružljivo
Brizgalka Amikacin sulfate 4 mg/ml
Brizgalka Ciprofloxacin lactate 1.5 mg/ml
Natrijev klorid 0,9% 434
Kemijska nestabilnost Nezdružljivo
Brizgalka Amikacin sulfate 4 mg/ml
Brizgalka Ciprofloxacin lactate 1.5 mg/ml
Glukoza 5% 434
Združljivo
Brizgalka Amikacin sulfate 5 mg/ml
Brizgalka Cisatracurium besylate 0.1 >> 5 mg/ml
Glukoza 5% 299
Združljivo
Brizgalka Amikacin sulfate 4 mg/ml
Brizgalka Clindamycin phosphate 9 mg/ml
Natrijev klorid 0,9% 565
Združljivo
Brizgalka Amikacin sulfate 250 mg/ml
Parenteralna prehrana (binarno zmes) 999
Združljivo
Brizgalka Amikacin sulfate 5 mg/ml
Brizgalka Ciprofloxacin lactate 2 mg/ml
Glukoza 5% 285
Kemijska nestabilnost Nezdružljivo
Brizgalka Amikacin sulfate
Brizgalka Cisplatin
3578
Združljivo
Brizgalka Amikacin sulfate 75 mg/ml
Brizgalka Clindamycin phosphate 90 mg/ml
Natrijev klorid 0,9% 639
Združljivo
Brizgalka Amikacin sulfate
Brizgalka Clindamycin phosphate
Natrijev klorid 0,9% 3526
Subvisualna nezdružljivost Nezdružljivo
Brizgalka Amikacin sulfate 250 mg/ml
Brizgalka Cloxacillin sodium 100 mg/ml
Voda za injekcije 3012
Nedoločena nezdružljivost Nezdružljivo
Brizgalka Amikacin sulfate
Brizgalka Daunorubicin/cytarabine liposomale
4354
Združljivo
Brizgalka Amikacin sulfate 5 mg/ml
Parenteralna prehrana (binarno zmes) 316
Združljivo
Brizgalka Amikacin sulfate 4 mg/ml
Brizgalka Clindamycin phosphate 9 mg/ml
Glukoza 5% 565
Združljivo
Brizgalka Amikacin sulfate
Brizgalka Clindamycin phosphate
Glukoza 5% 3526
Kemijska nestabilnost Nezdružljivo
Brizgalka Amikacin sulfate
Brizgalka Cloxacillin sodium
3549
Nedoločena nezdružljivost Nezdružljivo
Brizgalka Amikacin sulfate
Brizgalka Cyanocobalamine
3549
Takojšnja motnost Nezdružljivo
Brizgalka Amikacin sulfate
Brizgalka Daunorubicin/cytarabine liposomale 0,4 mg/mL
Natrijev klorid 0,9% 4654
Takoj padavine Nezdružljivo
Brizgalka Amikacin sulfate 5 mg/ml
Brizgalka Defibrotide 8 mg/ml
Natrijev klorid 0,9% 3728
Združljivo
Brizgalka Amikacin sulfate 50 mg/ml
Brizgalka Dexamethasone sodium phosphate 4 mg/ml
Natrijev klorid 0,45% 132
Nedoločena nezdružljivost Nezdružljivo
Brizgalka Amikacin sulfate
Brizgalka Erythromycin lactobionate
3549
Združljivo
Brizgalka Amikacin sulfate 5 mg/ml
Parenteralna prehrana (binarno zmes) 301
Združljivo
Brizgalka Amikacin sulfate 5 mg/ml
Brizgalka Dexmedetomidine 4 µg/ml
Natrijev klorid 0,9% 1712
Združljivo
Brizgalka Amikacin sulfate 5 & 250 mg/ml
Brizgalka Diltiazem hydrochloride 5 mg/ml
Natrijev klorid 0,9% 198
Združljivo
Brizgalka Amikacin sulfate 5 mg/ml
Brizgalka Docetaxel 0.9 mg/ml
Glukoza 5% 1754
Združljivo
Brizgalka Amikacin sulfate 5 mg/ml
Brizgalka Doripenem 5 mg/ml
Natrijev klorid 0,9% 2262
Združljivo
Brizgalka Amikacin sulfate 5 mg/ml
Brizgalka Doripenem 5 mg/ml
Glukoza 5% 2262
Kemijska nestabilnost Nezdružljivo
Brizgalka Amikacin sulfate
Brizgalka Doripenem
3549
Združljivo
Brizgalka Amikacin sulfate 2 mg/ml
Brizgalka Enalaprilate 0.05 mg/ml
Natrijev klorid 0,9% 1315
Kemijska nestabilnost Nezdružljivo
Brizgalka Amikacin sulfate
Brizgalka Ertapenem
3549
Nedoločena nezdružljivost Nezdružljivo
Brizgalka Amikacin sulfate
Brizgalka Erythromycin lactobionate
3674
Združljivo
Brizgalka Amikacin sulfate 5 mg/ml
Brizgalka Esmolol hydrochloride 10 mg/ml
Glukoza 5% 384
Združljivo
Brizgalka Amikacin sulfate 5 mg/ml
Brizgalka Etoposide phosphate 5 mg/ml
Glukoza 5% 1410
Združljivo
Brizgalka Amikacin sulfate 5 mg/ml
Brizgalka Fenoldopam mesylate 80 µg/ml
Natrijev klorid 0,9% 1803
Združljivo
Brizgalka Amikacin sulfate 5 mg/ml
Brizgalka Filgrastim 30 µg/ml
Glukoza 5% 244
Združljivo
Brizgalka Amikacin sulfate 0.487 >> 0.667 mg/ml
Parenteralna prehrana (z lipidi) 1868
Združljivo
Brizgalka Amikacin sulfate 250 mg/ml
Ringerjev laktat 4603
Nestabilnost emulzije po 1 uri Nezdružljivo
Brizgalka Amikacin sulfate 250 mg/ml
Parenteralna prehrana (z lipidi) 673
Združljivo
Brizgalka Amikacin sulfate 5 mg/ml
Brizgalka Filgrastim 40 µg/ml
Glukoza 5% 104
Takojšnja nestabilnost emulzije Nezdružljivo
Brizgalka Amikacin sulfate 50 mg/ml
Parenteralna prehrana (z lipidi) 132
Združljivo
Brizgalka Amikacin sulfate 5 mg/ml
Parenteralna prehrana (z lipidi) 1415
Takoj padavine Nezdružljivo
Brizgalka Amikacin sulfate
Brizgalka Flucloxacillin sodium
3522
Združljivo
Brizgalka Amikacin sulfate 20 mg/ml
Brizgalka Fluconazole 2 mg/ml
Natrijev klorid 0,9% 496
Združljivo
Brizgalka Amikacin sulfate 5 mg/ml
Brizgalka Fluconazole 2 mg/ml
Nobeden 256
Združljivo
Brizgalka Amikacin sulfate 5 mg/ml
Brizgalka Fludarabine phosphate 1 mg/ml
Glukoza 5% 492
Združljivo
Brizgalka Amikacin sulfate 20 mg/ml
Brizgalka Foscarnet sodium 24 mg/ml
Nobeden 73
Združljivo
Brizgalka Amikacin sulfate 5 mg/ml
Brizgalka Fosfomycin 30 mg/ml
Natrijev klorid 0,9% 4055
Združljivo
Brizgalka Amikacin sulfate 5 mg/ml
Brizgalka Fosfomycin 30 mg/ml
Glukoza 5% 4055
Takoj padavine Nezdružljivo
Brizgalka Amikacin sulfate 2 mg/ml
Brizgalka Furosemide 0,16 mg/ml
Natrijev klorid 0,9% 367
Takoj padavine Nezdružljivo
Brizgalka Amikacin sulfate 2 mg/ml
Brizgalka Furosemide 0,16 mg/ml
Glukoza 5% 367
Združljivo
Brizgalka Amikacin sulfate 5 mg/ml
Brizgalka Gemcitabine hydrochloride 10 mg/ml
Natrijev klorid 0,9% 1423
Združljivo
Brizgalka Amikacin sulfate 5 mg/ml
Brizgalka Granisetron hydrochloride 0.05 mg/ml
Glukoza 5% 182
Nedoločena nezdružljivost Nezdružljivo
Brizgalka Amikacin sulfate
Brizgalka Heparin sodium
3549
Nedoločena nezdružljivost Nezdružljivo
Brizgalka Amikacin sulfate
Brizgalka Heparin sodium
3540
Takoj padavine Nezdružljivo
Brizgalka Amikacin sulfate
Brizgalka Heparin sodium
1022
Združljivo
Brizgalka Amikacin sulfate 5 mg/ml
Brizgalka Hetastarch 60 mg/ml
Posebni topila 1721
Takoj padavine Nezdružljivo
Brizgalka Amikacin sulfate 5 mg/ml
Brizgalka Hetastarch 60 mg/ml
Natrijev klorid 0,9% 472
Združljivo
Brizgalka Amikacin sulfate 5 mg/ml
Brizgalka Hydromorphone hydrochloride 0.2 mg/ml
Glukoza 5% 405
Takojšnja motnost Nezdružljivo
Brizgalka Amikacin sulfate 50 mg/ml
Brizgalka Ibuprofen lysinate 10 mg/ml
Voda za injekcije 4419
Takojšnja motnost Nezdružljivo
Brizgalka Amikacin sulfate 250 mg/ml
Brizgalka Ibuprofen lysinate 10 mg/ml
Voda za injekcije 4419
Združljivo
Brizgalka Amikacin sulfate 5 mg/ml
Brizgalka Idarubicin hydrochloride 1 mg/ml
Natrijev klorid 0,9% 491
Kemijska nestabilnost Nezdružljivo
Brizgalka Amikacin sulfate
Brizgalka Imipenem - cilastatin sodium
3549
Združljivo
Brizgalka Amikacin sulfate 5 mg/ml
Brizgalka Isavuconazonium sulfate 1.5 mg/ml
Glukoza 5% 3829
Združljivo
Brizgalka Amikacin sulfate 5 mg/ml
Brizgalka Isavuconazonium sulfate 1.5 mg/ml
Natrijev klorid 0,9% 3829
Združljivo
Brizgalka Amikacin sulfate 250 mg/ml
Brizgalka Ketamine hydrochloride 50 mg/ml
2109
Združljivo
Brizgalka Amikacin sulfate 5 mg/ml
Brizgalka Labetalol hydrochloride 1 mg/ml
Glukoza 5% 386
Združljivo
Brizgalka Amikacin sulfate 5 mg/ml
Brizgalka Lansoprazole 0.55 mg/ml
Natrijev klorid 0,9% 1625
Združljivo
Brizgalka Amikacin sulfate 50 mg/ml
Brizgalka Levofloxacine 5 mg/ml
Glukoza 5% 1072
Združljivo
Brizgalka Amikacin sulfate 5 mg/ml
Brizgalka Linezolid 2 mg/ml
Nobeden 1925
Združljivo
Brizgalka Amikacin sulfate 5 mg/ml
Brizgalka Lorazepam 0.33 mg/ml
Natrijev klorid 0,9% 186
Združljivo
Brizgalka Amikacin sulfate 5 mg/ml
Brizgalka Magnesium sulfate 16.67 >> 100 mg/ml
Glukoza 5% 1047
Združljivo
Brizgalka Amikacin sulfate 5 mg/ml
Brizgalka Melphalan 0.1 mg/ml
Natrijev klorid 0,9% 169
Združljivo
Brizgalka Amikacin sulfate 250 mg/ml
Brizgalka Meropenem 50 mg/ml
4389
Združljivo
Brizgalka Amikacin sulfate 250 mg/ml
Brizgalka Meropenem 50 mg/ml
Voda za injekcije 4319
Kemijska nestabilnost Nezdružljivo
Brizgalka Amikacin sulfate
Brizgalka Meropenem
3549
Združljivo
Brizgalka Amikacin sulfate
Brizgalka Metronidazole
3594
Združljivo
Brizgalka Amikacin sulfate 5 mg/ml
Brizgalka Metronidazole 5 mg/ml
Nobeden 1035
Združljivo
Brizgalka Amikacin sulfate 5 mg/ml
Brizgalka Midazolam hydrochloride 5 mg/ml
Nobeden 186
Združljivo
Brizgalka Amikacin sulfate 5 mg/ml
Brizgalka Morphine sulfate 1 mg/ml
Glukoza 5% 405
Združljivo
Brizgalka Amikacin sulfate 250 mg/ml
Brizgalka N-acetylcysteine 200 mg/ml
Nobeden 3766
Kemijska nestabilnost Nezdružljivo
Brizgalka Amikacin sulfate
Brizgalka Nafcillin sodium
3549
Združljivo
Brizgalka Amikacin sulfate 2,5 mg/ml
Brizgalka Nalbuphine hydrochloride 0,05 >> 0,33 mg/ml
Natrijev klorid 0,9% 4867
Združljivo
Brizgalka Amikacin sulfate 250 mg/ml
Brizgalka Naloxone hydrochloride 0.4 mg/ml
Nobeden 3408
Združljivo
Brizgalka Amikacin sulfate 2 mg/ml
Brizgalka Nicardipine hydrochloride 0.1 mg/ml
Glukoza 5% 1490
Združljivo
Brizgalka Amikacin sulfate 2 mg/ml
Brizgalka Nicardipine hydrochloride 0.1 mg/ml
Natrijev klorid 0,9% 1490
Združljivo
Brizgalka Amikacin sulfate 5 mg/ml
Brizgalka Ondansetron hydrochloride 1 mg/ml
Natrijev klorid 0,9% 334
Kemijska nestabilnost Nezdružljivo
Brizgalka Amikacin sulfate
Brizgalka Oxacillin sodium
3549
Združljivo
Brizgalka Amikacin sulfate 5 mg/ml
Brizgalka Paclitaxel 1.2 mg/ml
Glukoza 5% 248
Takoj padavine Nezdružljivo
Brizgalka Amikacin sulfate
Brizgalka Pantoprazole sodium
2090
Združljivo
Brizgalka Amikacin sulfate 250 mg/ml
Brizgalka Paracetamol 10 mg/ml
4742
Združljivo
Brizgalka Amikacin sulfate 5 mg/ml
Brizgalka Pemetrexed disodium 20 mg/ml
Natrijev klorid 0,9% 1953
Kemijska nestabilnost Nezdružljivo
Brizgalka Amikacin sulfate
Brizgalka Penicillin G potassium
3549
Kemijska nestabilnost Nezdružljivo
Brizgalka Amikacin sulfate
Brizgalka Penicillin G sodium
3549
Združljivo
Brizgalka Amikacin sulfate 50 mg/ml
Brizgalka Pethidine hydrochloride 100 mg/ml
Natrijev klorid 0,45% 132
Združljivo
Brizgalka Amikacin sulfate 5 mg/ml
Brizgalka Pethidine hydrochloride 10 mg/ml
Glukoza 5% 405
Nedoločena nezdružljivost Nezdružljivo
Brizgalka Amikacin sulfate
Brizgalka Phenytoin sodium
3549
Združljivo
Brizgalka Amikacin sulfate 40 mg/ml
Brizgalka Phloroglucinol 2,5 mg/ml
3791
Kemijska nestabilnost Nezdružljivo
Brizgalka Amikacin sulfate
Brizgalka Piperacillin sodium
3549
Kemijska nestabilnost Nezdružljivo
Brizgalka Amikacin sulfate
Brizgalka Piperacillin sodium / tazobactam
3549
Kemijska nestabilnost Nezdružljivo
Brizgalka Amikacin sulfate
Brizgalka Piperacillin sodium / tazobactam
3586
Združljivo
Brizgalka Amikacin sulfate
Brizgalka Posaconazole
4380
Takoj padavine Nezdružljivo
Brizgalka Amikacin sulfate 5 mg/ml
Brizgalka Propofol 10 mg/ml
Nobeden 300
Nedoločena nezdružljivost Nezdružljivo
Brizgalka Amikacin sulfate
Brizgalka Pyridoxine hydrochloride
3549
Združljivo
Brizgalka Amikacin sulfate 5 mg/ml
Brizgalka Remifentanil hydrochloride 25 & 250 µg/ml
Natrijev klorid 0,9% 59
Takoj padavine Nezdružljivo
Brizgalka Amikacin sulfate 250 mg/ml
Brizgalka Salbutamol sulfate 1 mg/ml
Nobeden 3216
Združljivo
Brizgalka Amikacin sulfate 5 mg/ml
Brizgalka Sargramostim 10 µg/ml
Natrijev klorid 0,9% 335
Združljivo
Brizgalka Amikacin sulfate 10 mg/ml
Brizgalka Sulbactam/durlobactam 15/15 mg/ml
Natrijev klorid 0,9% 4801
Združljivo
Brizgalka Amikacin sulfate 5 mg/ml
Brizgalka Tedizolid phosphate 0.8 mg/ml
Natrijev klorid 0,9% 3827
Nedoločena nezdružljivost Nezdružljivo
Brizgalka Amikacin sulfate
Brizgalka Teicoplanine
3656
Združljivo
Brizgalka Amikacin sulfate
Natrijev klorid 0,9% 5076
Nedoločena nezdružljivost Nezdružljivo
Brizgalka Amikacin sulfate 50 mg/ml
Brizgalka Propofol
4524
Nedoločena nezdružljivost Nezdružljivo
Brizgalka Amikacin sulfate
Brizgalka Temocilline
2296
Združljivo
Brizgalka Amikacin sulfate 15 mg/ml
Brizgalka Temocilline 83.33 mg/ml
Voda za injekcije 2231
Kemijska nestabilnost Nezdružljivo
Brizgalka Amikacin sulfate
Brizgalka Temocilline
3549
Združljivo
Brizgalka Amikacin sulfate 5 mg/ml
Brizgalka Teniposide 0.1 mg/ml
Glukoza 5% 905
Nedoločena nezdružljivost Nezdružljivo
Brizgalka Amikacin sulfate
Brizgalka Thiamine hydrochloride
3549
Takoj padavine Nezdružljivo
Brizgalka Amikacin sulfate 250 mg/ml
Brizgalka Thiopental sodium 25 mg/ml
Natrijev klorid 0,9% 3767
Nedoločena nezdružljivost Nezdružljivo
Brizgalka Amikacin sulfate
Brizgalka Thiopental sodium
3549
Združljivo
Brizgalka Amikacin sulfate 5 mg/ml
Brizgalka Thiotepa 1 mg/ml
Glukoza 5% 249
Kemijska nestabilnost Nezdružljivo
Brizgalka Amikacin sulfate
Brizgalka Ticarcillin / clavulanic acid
3587
Kemijska nestabilnost Nezdružljivo
Brizgalka Amikacin sulfate
Brizgalka Ticarcillin / clavulanic acid
3549
Združljivo
Brizgalka Amikacin sulfate
Brizgalka Tigecycline
Natrijev klorid 0,9% 3332
Združljivo
Brizgalka Amikacin sulfate 15 mg/ml
Brizgalka Vancomycin hydrochloride 10 mg/ml
Glukoza 5% 3385
Združljivo
Brizgalka Amikacin sulfate 2 mg/ml
Brizgalka Verapamil hydrochloride 0.08 mg/ml
Natrijev klorid 0,9% 1057
Združljivo
Brizgalka Amikacin sulfate 2 mg/ml
Brizgalka Verapamil hydrochloride 0.08 mg/ml
Glukoza 5% 1057
Takojšnja motnost Nezdružljivo
Brizgalka Amikacin sulfate 5 mg/ml
Brizgalka Vinorelbine tartrate 1 mg/ml
Natrijev klorid 0,9% 84
Združljivo
Brizgalka Amikacin sulfate 5 mg/ml
Brizgalka Warfarin sodium 0.1 & 2 mg/ml
Glukoza 5% 552
Združljivo
Brizgalka Amikacin sulfate 5 mg/ml
Brizgalka Warfarin sodium 0.1 & 2 mg/ml
Natrijev klorid 0,9% 552
Združljivo
Brizgalka Amikacin sulfate 4 mg/ml
Brizgalka Zidovudine 4 mg/ml
Glukoza 5% 337

  Mentions Légales