Posledná aktualizácia :
18/03/2026
antibiotikum   Amikacin sulfate  
Injekcia
Stabilita roztokov Stabilita v zmesiach Faktory ovplyvňujúce stabilitu Kompatibility spôsob podania Odkazy na literatúru PDF
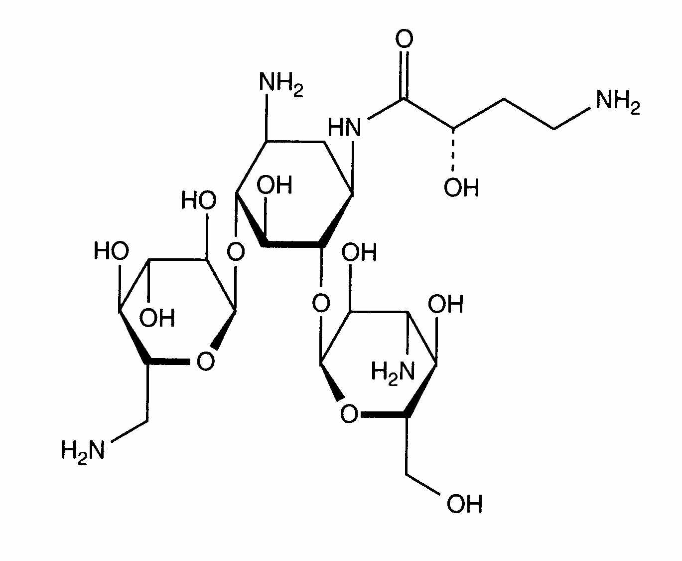
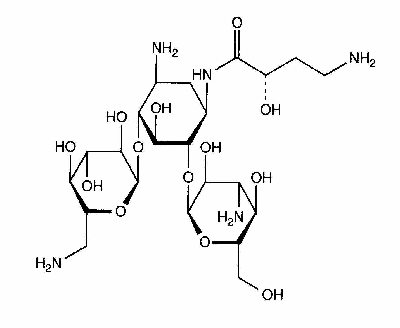
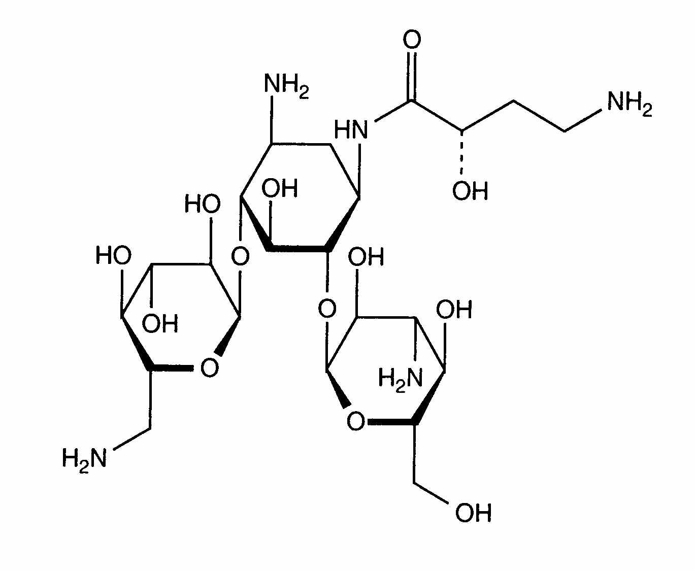
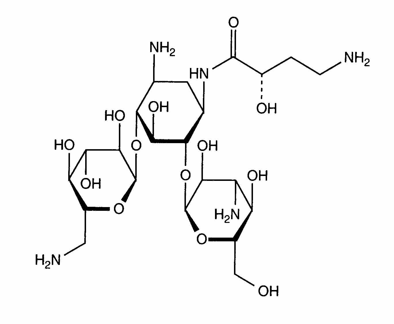
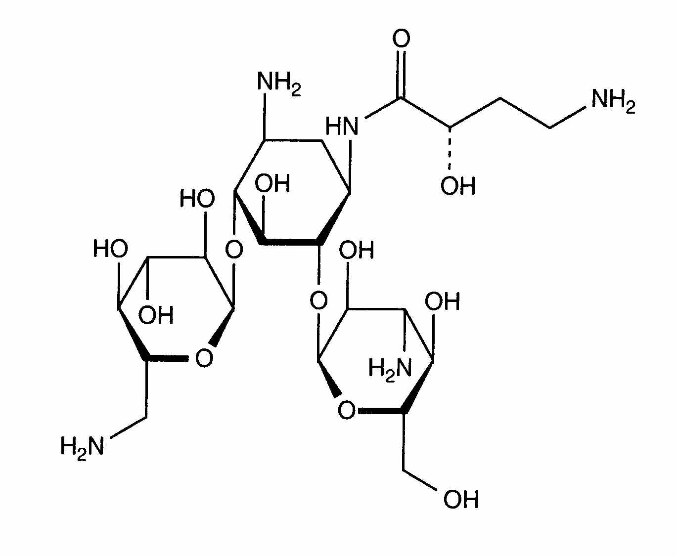
   Chemický vzorec  

Obchodný názov   Obchodný názov     

Obchodné názvy sú orientačné, a zloženie pomocných látok sa môže líšiť v závislosti od krajiny a výrobcu.

Adnet India
Agnicin Mexiko
Akamin Ekvádor
Akim Ekvádor
Amicacil Brazília
Amicilon Brazília
Amicin Malajzia
Amicip Venezuela
Amijeksin Turecko
Amikabiot Ekvádor, peru
Amikacin Egypt, Irán, Kanada, Malajzia, Nemecko, nový Zéland, Saudská Arábia, Spojené štáty Americké, Veľká Británia
Amikacina Argentína, Čile, Ekvádor, Kolumbia, Mexiko, peru, Španielsko, Taliansko, Venezuela
Amikacine Belgicko, Francúzsko, Holandsko, Maroko
Amikafur Mexiko
Amikagram peru
Amikalem Mexiko
Amikamed peru
Amikamek peru
Amikan Taliansko
Amikavax Venezuela
Amikaver Turecko
Amikayect Mexiko
Amikem peru
Amiketem Turecko
Amikin Austrália, Brazília, Egypt, Ekvádor, Írsko, Kolumbia, Maďarsko, Mexiko, peru, Poľsko, Saudská Arábia, Spojené štáty Americké, Švajčiarsko, Tunisko, Veľká Británia
Amiklin Francúzsko, Turecko
Amikosit Rumunsko, Tunisko, Turecko
Amikram peru
Amukin Belgicko, Holandsko, Luxembursko
Apalin Malajzia
Baxi K Čile, Mexiko
Behcacin India, Venezuela
Belka India
Biclin Fínsko, Mexiko, Nemecko, Portugalsko, Rakúsko, Španielsko, Švédsko
Biodacyna Poľsko
Biokacin Mexiko
Briklin Grécko
Cadicin India
Chemacin Taliansko
Cikabit India
Cinamica India
Cinas India
Consumonit Grécko
Domak India
Doxocar Argentína
Elcin India
Elmik India
Emcin India
Emica India
Farcyclin Grécko
Flexelite Grécko
Greini Argentína
Ipacin Irán
Itukacin peru
Kancin Grécko
Lanomycin Grécko
Lukadin Taliansko
Masmika India
Mediamik Taliansko
Micalpha Grécko
Micigen Mexiko
Migracin Taliansko
Mikacin Saudská Arábia
Nekacin Taliansko
Novamin Brazília
Orlobin Grécko
Remikin Grécko
Rovericlin Grécko
Uzix Grécko
Kompatibility   Injekcia   Kompatibility : Amikacin sulfate              
Toto okno zobrazuje kompatibility alebo inkombatibility, v prípade inkompatibility aj jej typ (vyzrážanie, zmena farby, zmena emulzie atď.). Tu vymenované kompatibility sú väčšinou len fyzikálne, chemická stabilita každej zo zlúčenín sa hodnotila len zriedkavo. Tieto zmesi sa skúmali za účelom možnosti súbežného podávania pacientovi cez infúznu spojku Y. Údaje sa nedajú použiť na prípravu zmesí vo vakoch alebo striekačkách. Taká informácia sa nachádza v okne „Stabilita v zmesiach“.
Zlúčenina rozpúšťadlo odkazy na lieteratúru
kompatibilný
Injekcia Amikacin sulfate 5 mg/ml
Injekcia Aciclovir sodium 5 mg/ml
5% glukóza 336
Zrážky po 1 hodine nezlučiteľný
Injekcia Amikacin sulfate 5 mg/ml
Injekcia Allopurinol sodium 3 mg/ml
0,9% chlorid sodný 307
kompatibilný
Injekcia Amikacin sulfate 5 mg/ml
Injekcia Amifostine 10 mg/ml
5% glukóza 3
kompatibilný
Injekcia Amikacin sulfate 5 mg/ml
Injekcia Amiodarone hydrochloride 4 mg/ml
0,9% chlorid sodný 385
kompatibilný
Injekcia Amikacin sulfate 5 mg/ml
Injekcia Amiodarone hydrochloride 4 mg/ml
5% glukóza 385
Chemická nestabilita nezlučiteľný
Injekcia Amikacin sulfate
Injekcia Amoxicillin sodium
3527
Chemická nestabilita nezlučiteľný
Injekcia Amikacin sulfate
Injekcia Amoxicillin sodium
3549
kompatibilný
Injekcia Amikacin sulfate 250 mg/ml
Injekcia Amoxicillin sodium / clavulanic acid 100/10 mg/ml
3824
Chemická nestabilita nezlučiteľný
Injekcia Amikacin sulfate
Injekcia Amoxicillin sodium / clavulanic acid
3549
Nešpecifikovaná nekompatibilita nezlučiteľný
Injekcia Amikacin sulfate
Injekcia Amoxicillin sodium / clavulanic acid
3545
Nešpecifikovaná nekompatibilita nezlučiteľný
Injekcia Amikacin sulfate
Injekcia Amphotericin B
3549
Okamžité zrážanie nezlučiteľný
Injekcia Amikacin sulfate 5 mg/ml
Injekcia Amphotericin B cholesteryl sulfate complex 0.83 mg/ml
5% glukóza 921
Chemická nestabilita nezlučiteľný
Injekcia Amikacin sulfate
Injekcia Ampicillin sodium
3549
Chemická nestabilita nezlučiteľný
Injekcia Amikacin sulfate
Injekcia Ampicillin sodium - sulbactam sodium
3549
kompatibilný
Injekcia Amikacin sulfate 5 mg/ml
Injekcia Amsacrine 1 mg/ml
5% glukóza 253
kompatibilný
Injekcia Amikacin sulfate 5 mg/ml
Injekcia Anidulafungin 0.5 mg/ml
5% glukóza 1982
Nešpecifikovaná nekompatibilita nezlučiteľný
Injekcia Amikacin sulfate
Injekcia Ascorbic acid
3549
Okamžité zrážanie nezlučiteľný
Injekcia Amikacin sulfate 100 mg/ml
Injekcia Azithromycine 2 mg/ml
0,9% chlorid sodný 1800
Chemická nestabilita nezlučiteľný
Injekcia Amikacin sulfate
Injekcia Aztreonam
3549
kompatibilný
Injekcia Amikacin sulfate 5 mg/ml
Injekcia Aztreonam 40 mg/ml
5% glukóza 99
kompatibilný
Injekcia Amikacin sulfate 5 mg/ml
Injekcia Bivalirudin 5 mg/ml
5% glukóza 1713
kompatibilný
Injekcia Amikacin sulfate 250 mg/ml
Injekcia Caffeine 10 mg/ml
Žiadny 3964
nezlučiteľný
Injekcia Amikacin sulfate
Injekcia Calcium gluconate
4964
Nešpecifikovaná nekompatibilita nezlučiteľný
Injekcia Amikacin sulfate
Injekcia Calcium gluconate
3644
kompatibilný
Injekcia Amikacin sulfate 5 mg/ml
Injekcia Caspofungin acetate 0,7 mg/ml
0,9% chlorid sodný 2247
Chemická nestabilita nezlučiteľný
Injekcia Amikacin sulfate
Injekcia Cefalotin sodium
3549
Chemická nestabilita nezlučiteľný
Injekcia Amikacin sulfate
Injekcia Cefamandole nafate
3549
Nešpecifikovaná nekompatibilita nezlučiteľný
Injekcia Amikacin sulfate
Injekcia Cefamandole nafate
3546
Chemická nestabilita nezlučiteľný
Injekcia Amikacin sulfate
Injekcia Cefazolin sodium
3549
kompatibilný
Injekcia Amikacin sulfate 6 mg/ml
Injekcia Cefepime dihydrochloride 40 mg/ml
0,9% chlorid sodný 3548
kompatibilný
Injekcia Amikacin sulfate 6 mg/ml
Injekcia Cefepime dihydrochloride 40 mg/ml
5% glukóza 3548
kompatibilný
Injekcia Amikacin sulfate 15 mg/ml
Injekcia Cefepime dihydrochloride 125 mg/ml
voda na injekciu 2141
Chemická nestabilita nezlučiteľný
Injekcia Amikacin sulfate
Injekcia Cefepime dihydrochloride
3549
kompatibilný
Injekcia Amikacin sulfate 5 mg/ml
Injekcia Cefiderocol sulfate tosylate 20 mg/mL
5% glukóza 4528
Chemická nestabilita nezlučiteľný
Injekcia Amikacin sulfate
Injekcia Cefmenoxime
3549
Chemická nestabilita nezlučiteľný
Injekcia Amikacin sulfate
Injekcia Cefmetazole sodium
3549
Chemická nestabilita nezlučiteľný
Injekcia Amikacin sulfate
Injekcia Cefonicid sodium
3549
Chemická nestabilita nezlučiteľný
Injekcia Amikacin sulfate
Injekcia Cefoperazone sodium
3549
Nešpecifikovaná nekompatibilita nezlučiteľný
Injekcia Amikacin sulfate
Injekcia Cefoperazone sodium
3544
Chemická nestabilita nezlučiteľný
Injekcia Amikacin sulfate
Injekcia Ceforanide
3549
Chemická nestabilita nezlučiteľný
Injekcia Amikacin sulfate
Injekcia Cefotaxime sodium
3549
Chemická nestabilita nezlučiteľný
Injekcia Amikacin sulfate
Injekcia Cefoxitin sodium
3549
Nešpecifikovaná nekompatibilita nezlučiteľný
Injekcia Amikacin sulfate
Injekcia Cefpirome sulfate
3677
kompatibilný
Injekcia Amikacin sulfate 5 mg/ml
Injekcia Cefpirome sulfate 50 mg/ml
0,45 % chlorid sodný 280
kompatibilný
Injekcia Amikacin sulfate 5 mg/ml
Injekcia Cefpirome sulfate 50 mg/ml
5% glukóza 280
kompatibilný
Injekcia Amikacin sulfate 5 mg/ml
Injekcia Cefpirome sulfate 50 mg/ml
0,9% chlorid sodný 280
kompatibilný
Injekcia Amikacin sulfate 5 mg/ml
Injekcia Cefpirome sulfate 50 mg/ml
Ringerov laktátový roztok 280
Chemická nestabilita nezlučiteľný
Injekcia Amikacin sulfate
Injekcia Cefpirome sulfate
3549
kompatibilný
Injekcia Amikacin sulfate 5 mg/ml
Injekcia Ceftaroline fosamil 2,22 mg/ml
Ringerov laktátový roztok 3249
kompatibilný
Injekcia Amikacin sulfate 5 mg/ml
Injekcia Ceftaroline fosamil 2,22 mg/ml
5% glukóza 3249
kompatibilný
Injekcia Amikacin sulfate 5 mg/ml
Injekcia Ceftaroline fosamil 2,22 mg/ml
0,9% chlorid sodný 3249
Nešpecifikovaná nekompatibilita nezlučiteľný
Injekcia Amikacin sulfate
Injekcia Ceftazidime
3883
Nešpecifikovaná nekompatibilita nezlučiteľný
Injekcia Amikacin sulfate
Injekcia Ceftazidime
3543
kompatibilný
Injekcia Amikacin sulfate 15 mg/ml
Injekcia Ceftazidime 83.3 mg/ml
1759
Chemická nestabilita nezlučiteľný
Injekcia Amikacin sulfate
Injekcia Ceftazidime Avibactam
3549
Okamžité zrážanie nezlučiteľný
Injekcia Amikacin sulfate 5 mg/ml
Injekcia Ceftobiprole medocaril sodium 2 mg/ml
0,9% chlorid sodný 2269
Nešpecifikovaná nekompatibilita nezlučiteľný
Injekcia Amikacin sulfate
Injekcia Ceftobiprole medocaril sodium
4650
kompatibilný
Injekcia Amikacin sulfate
5% glukóza 5076
Chemická nestabilita nezlučiteľný
Injekcia Amikacin sulfate
Injekcia Ceftaroline fosamil
3549
Chemická nestabilita nezlučiteľný
Injekcia Amikacin sulfate
Injekcia Ceftazidime
3549
kompatibilný
Injekcia Amikacin sulfate 15 mg/ml
Injekcia Ceftazidime 125 mg/ml
voda na injekciu 2141
Chemická nestabilita nezlučiteľný
Injekcia Amikacin sulfate
Injekcia Ceftizoxime sodium
3549
Okamžité zrážanie nezlučiteľný
Injekcia Amikacin sulfate 5 mg/ml
Injekcia Ceftobiprole medocaril sodium 2 mg/ml
5% glukóza 2269
Chemická nestabilita nezlučiteľný
Injekcia Amikacin sulfate
Injekcia Ceftobiprole medocaril sodium
3549
Okamžité zrážanie nezlučiteľný
Injekcia Amikacin sulfate 5 mg/ml
Injekcia Ceftobiprole medocaril sodium 2 mg/ml
Ringerov laktátový roztok 2269
kompatibilný
Injekcia Amikacin sulfate 5 mg/ml
Injekcia Ceftolozane / tazobactam 10/5 mg/ml
5% glukóza 3828
kompatibilný
Injekcia Amikacin sulfate 5 mg/ml
Injekcia Ceftolozane / tazobactam 10/5 mg/ml
0,9% chlorid sodný 3828
Chemická nestabilita nezlučiteľný
Injekcia Amikacin sulfate
Injekcia Ceftolozane / tazobactam
3549
Nešpecifikovaná nekompatibilita nezlučiteľný
Injekcia Amikacin sulfate
Injekcia Ceftriaxone disodium
3523
Chemická nestabilita nezlučiteľný
Injekcia Amikacin sulfate
Injekcia Ceftriaxone disodium
3549
Chemická nestabilita nezlučiteľný
Injekcia Amikacin sulfate
Injekcia Cefuroxime sodium
3549
Nešpecifikovaná nekompatibilita nezlučiteľný
Injekcia Amikacin sulfate
Injekcia Cefuroxime sodium
3687
Chemická nestabilita nezlučiteľný
Injekcia Amikacin sulfate
Injekcia Cefuzonam
3549
Nešpecifikovaná nekompatibilita nezlučiteľný
Injekcia Amikacin sulfate
Injekcia Chlorothiazide sodium
3549
kompatibilný
Injekcia Amikacin sulfate 2.5 mg/ml
Injekcia Cimetidine hydrochloride 1.5 mg/ml
5% glukóza 1201
Chemická nestabilita nezlučiteľný
Injekcia Amikacin sulfate 4 mg/ml
Injekcia Ciprofloxacin lactate 1.5 mg/ml
0,9% chlorid sodný 434
Chemická nestabilita nezlučiteľný
Injekcia Amikacin sulfate 4 mg/ml
Injekcia Ciprofloxacin lactate 1.5 mg/ml
5% glukóza 434
kompatibilný
Injekcia Amikacin sulfate 5 mg/ml
Injekcia Cisatracurium besylate 0.1 >> 5 mg/ml
5% glukóza 299
kompatibilný
Injekcia Amikacin sulfate 4 mg/ml
Injekcia Clindamycin phosphate 9 mg/ml
0,9% chlorid sodný 565
kompatibilný
Injekcia Amikacin sulfate 250 mg/ml
parenterálna výživa (binárna zmes) 999
kompatibilný
Injekcia Amikacin sulfate 5 mg/ml
Injekcia Ciprofloxacin lactate 2 mg/ml
5% glukóza 285
Chemická nestabilita nezlučiteľný
Injekcia Amikacin sulfate
Injekcia Cisplatin
3578
kompatibilný
Injekcia Amikacin sulfate 75 mg/ml
Injekcia Clindamycin phosphate 90 mg/ml
0,9% chlorid sodný 639
kompatibilný
Injekcia Amikacin sulfate
Injekcia Clindamycin phosphate
0,9% chlorid sodný 3526
Subvisuálna nezlučiteľnosť nezlučiteľný
Injekcia Amikacin sulfate 250 mg/ml
Injekcia Cloxacillin sodium 100 mg/ml
voda na injekciu 3012
Nešpecifikovaná nekompatibilita nezlučiteľný
Injekcia Amikacin sulfate
Injekcia Daunorubicin/cytarabine liposomale
4354
kompatibilný
Injekcia Amikacin sulfate 5 mg/ml
parenterálna výživa (binárna zmes) 316
kompatibilný
Injekcia Amikacin sulfate 4 mg/ml
Injekcia Clindamycin phosphate 9 mg/ml
5% glukóza 565
kompatibilný
Injekcia Amikacin sulfate
Injekcia Clindamycin phosphate
5% glukóza 3526
Chemická nestabilita nezlučiteľný
Injekcia Amikacin sulfate
Injekcia Cloxacillin sodium
3549
Nešpecifikovaná nekompatibilita nezlučiteľný
Injekcia Amikacin sulfate
Injekcia Cyanocobalamine
3549
Okamžitá zákal nezlučiteľný
Injekcia Amikacin sulfate
Injekcia Daunorubicin/cytarabine liposomale 0,4 mg/mL
0,9% chlorid sodný 4654
Okamžité zrážanie nezlučiteľný
Injekcia Amikacin sulfate 5 mg/ml
Injekcia Defibrotide 8 mg/ml
0,9% chlorid sodný 3728
kompatibilný
Injekcia Amikacin sulfate 50 mg/ml
Injekcia Dexamethasone sodium phosphate 4 mg/ml
0,45 % chlorid sodný 132
Nešpecifikovaná nekompatibilita nezlučiteľný
Injekcia Amikacin sulfate
Injekcia Erythromycin lactobionate
3549
kompatibilný
Injekcia Amikacin sulfate 5 mg/ml
parenterálna výživa (binárna zmes) 301
kompatibilný
Injekcia Amikacin sulfate 5 mg/ml
Injekcia Dexmedetomidine 4 µg/ml
0,9% chlorid sodný 1712
kompatibilný
Injekcia Amikacin sulfate 5 & 250 mg/ml
Injekcia Diltiazem hydrochloride 5 mg/ml
0,9% chlorid sodný 198
kompatibilný
Injekcia Amikacin sulfate 5 mg/ml
Injekcia Docetaxel 0.9 mg/ml
5% glukóza 1754
kompatibilný
Injekcia Amikacin sulfate 5 mg/ml
Injekcia Doripenem 5 mg/ml
0,9% chlorid sodný 2262
kompatibilný
Injekcia Amikacin sulfate 5 mg/ml
Injekcia Doripenem 5 mg/ml
5% glukóza 2262
Chemická nestabilita nezlučiteľný
Injekcia Amikacin sulfate
Injekcia Doripenem
3549
kompatibilný
Injekcia Amikacin sulfate 2 mg/ml
Injekcia Enalaprilate 0.05 mg/ml
0,9% chlorid sodný 1315
Chemická nestabilita nezlučiteľný
Injekcia Amikacin sulfate
Injekcia Ertapenem
3549
Nešpecifikovaná nekompatibilita nezlučiteľný
Injekcia Amikacin sulfate
Injekcia Erythromycin lactobionate
3674
kompatibilný
Injekcia Amikacin sulfate 5 mg/ml
Injekcia Esmolol hydrochloride 10 mg/ml
5% glukóza 384
kompatibilný
Injekcia Amikacin sulfate 5 mg/ml
Injekcia Etoposide phosphate 5 mg/ml
5% glukóza 1410
kompatibilný
Injekcia Amikacin sulfate 5 mg/ml
Injekcia Fenoldopam mesylate 80 µg/ml
0,9% chlorid sodný 1803
kompatibilný
Injekcia Amikacin sulfate 5 mg/ml
Injekcia Filgrastim 30 µg/ml
5% glukóza 244
kompatibilný
Injekcia Amikacin sulfate 0.487 >> 0.667 mg/ml
Parenterálna výživa (lipidy) 1868
kompatibilný
Injekcia Amikacin sulfate 250 mg/ml
Ringerov laktátový roztok 4603
Nestabilita emulzie po 1 hodine nezlučiteľný
Injekcia Amikacin sulfate 250 mg/ml
Parenterálna výživa (lipidy) 673
kompatibilný
Injekcia Amikacin sulfate 5 mg/ml
Injekcia Filgrastim 40 µg/ml
5% glukóza 104
Okamžitá nestabilita emulzie nezlučiteľný
Injekcia Amikacin sulfate 50 mg/ml
Parenterálna výživa (lipidy) 132
kompatibilný
Injekcia Amikacin sulfate 5 mg/ml
Parenterálna výživa (lipidy) 1415
Okamžité zrážanie nezlučiteľný
Injekcia Amikacin sulfate
Injekcia Flucloxacillin sodium
3522
kompatibilný
Injekcia Amikacin sulfate 20 mg/ml
Injekcia Fluconazole 2 mg/ml
0,9% chlorid sodný 496
kompatibilný
Injekcia Amikacin sulfate 5 mg/ml
Injekcia Fluconazole 2 mg/ml
Žiadny 256
kompatibilný
Injekcia Amikacin sulfate 5 mg/ml
Injekcia Fludarabine phosphate 1 mg/ml
5% glukóza 492
kompatibilný
Injekcia Amikacin sulfate 20 mg/ml
Injekcia Foscarnet sodium 24 mg/ml
Žiadny 73
kompatibilný
Injekcia Amikacin sulfate 5 mg/ml
Injekcia Fosfomycin 30 mg/ml
0,9% chlorid sodný 4055
kompatibilný
Injekcia Amikacin sulfate 5 mg/ml
Injekcia Fosfomycin 30 mg/ml
5% glukóza 4055
Okamžité zrážanie nezlučiteľný
Injekcia Amikacin sulfate 2 mg/ml
Injekcia Furosemide 0,16 mg/ml
0,9% chlorid sodný 367
Okamžité zrážanie nezlučiteľný
Injekcia Amikacin sulfate 2 mg/ml
Injekcia Furosemide 0,16 mg/ml
5% glukóza 367
kompatibilný
Injekcia Amikacin sulfate 5 mg/ml
Injekcia Gemcitabine hydrochloride 10 mg/ml
0,9% chlorid sodný 1423
kompatibilný
Injekcia Amikacin sulfate 5 mg/ml
Injekcia Granisetron hydrochloride 0.05 mg/ml
5% glukóza 182
Nešpecifikovaná nekompatibilita nezlučiteľný
Injekcia Amikacin sulfate
Injekcia Heparin sodium
3549
Nešpecifikovaná nekompatibilita nezlučiteľný
Injekcia Amikacin sulfate
Injekcia Heparin sodium
3540
Okamžité zrážanie nezlučiteľný
Injekcia Amikacin sulfate
Injekcia Heparin sodium
1022
kompatibilný
Injekcia Amikacin sulfate 5 mg/ml
Injekcia Hetastarch 60 mg/ml
Špeciálne rozpúšťadlá 1721
Okamžité zrážanie nezlučiteľný
Injekcia Amikacin sulfate 5 mg/ml
Injekcia Hetastarch 60 mg/ml
0,9% chlorid sodný 472
kompatibilný
Injekcia Amikacin sulfate 5 mg/ml
Injekcia Hydromorphone hydrochloride 0.2 mg/ml
5% glukóza 405
Okamžitá zákal nezlučiteľný
Injekcia Amikacin sulfate 50 mg/ml
Injekcia Ibuprofen lysinate 10 mg/ml
voda na injekciu 4419
Okamžitá zákal nezlučiteľný
Injekcia Amikacin sulfate 250 mg/ml
Injekcia Ibuprofen lysinate 10 mg/ml
voda na injekciu 4419
kompatibilný
Injekcia Amikacin sulfate 5 mg/ml
Injekcia Idarubicin hydrochloride 1 mg/ml
0,9% chlorid sodný 491
Chemická nestabilita nezlučiteľný
Injekcia Amikacin sulfate
Injekcia Imipenem - cilastatin sodium
3549
kompatibilný
Injekcia Amikacin sulfate 5 mg/ml
Injekcia Isavuconazonium sulfate 1.5 mg/ml
5% glukóza 3829
kompatibilný
Injekcia Amikacin sulfate 5 mg/ml
Injekcia Isavuconazonium sulfate 1.5 mg/ml
0,9% chlorid sodný 3829
kompatibilný
Injekcia Amikacin sulfate 250 mg/ml
Injekcia Ketamine hydrochloride 50 mg/ml
2109
kompatibilný
Injekcia Amikacin sulfate 5 mg/ml
Injekcia Labetalol hydrochloride 1 mg/ml
5% glukóza 386
kompatibilný
Injekcia Amikacin sulfate 5 mg/ml
Injekcia Lansoprazole 0.55 mg/ml
0,9% chlorid sodný 1625
kompatibilný
Injekcia Amikacin sulfate 50 mg/ml
Injekcia Levofloxacine 5 mg/ml
5% glukóza 1072
kompatibilný
Injekcia Amikacin sulfate 5 mg/ml
Injekcia Linezolid 2 mg/ml
Žiadny 1925
kompatibilný
Injekcia Amikacin sulfate 5 mg/ml
Injekcia Lorazepam 0.33 mg/ml
0,9% chlorid sodný 186
kompatibilný
Injekcia Amikacin sulfate 5 mg/ml
Injekcia Magnesium sulfate 16.67 >> 100 mg/ml
5% glukóza 1047
kompatibilný
Injekcia Amikacin sulfate 5 mg/ml
Injekcia Melphalan 0.1 mg/ml
0,9% chlorid sodný 169
kompatibilný
Injekcia Amikacin sulfate 250 mg/ml
Injekcia Meropenem 50 mg/ml
4389
kompatibilný
Injekcia Amikacin sulfate 250 mg/ml
Injekcia Meropenem 50 mg/ml
voda na injekciu 4319
Chemická nestabilita nezlučiteľný
Injekcia Amikacin sulfate
Injekcia Meropenem
3549
kompatibilný
Injekcia Amikacin sulfate
Injekcia Metronidazole
3594
kompatibilný
Injekcia Amikacin sulfate 5 mg/ml
Injekcia Metronidazole 5 mg/ml
Žiadny 1035
kompatibilný
Injekcia Amikacin sulfate 5 mg/ml
Injekcia Midazolam hydrochloride 5 mg/ml
Žiadny 186
kompatibilný
Injekcia Amikacin sulfate 5 mg/ml
Injekcia Morphine sulfate 1 mg/ml
5% glukóza 405
kompatibilný
Injekcia Amikacin sulfate 250 mg/ml
Injekcia N-acetylcysteine 200 mg/ml
Žiadny 3766
Chemická nestabilita nezlučiteľný
Injekcia Amikacin sulfate
Injekcia Nafcillin sodium
3549
kompatibilný
Injekcia Amikacin sulfate 2,5 mg/ml
Injekcia Nalbuphine hydrochloride 0,05 >> 0,33 mg/ml
0,9% chlorid sodný 4867
kompatibilný
Injekcia Amikacin sulfate 250 mg/ml
Injekcia Naloxone hydrochloride 0.4 mg/ml
Žiadny 3408
kompatibilný
Injekcia Amikacin sulfate 2 mg/ml
Injekcia Nicardipine hydrochloride 0.1 mg/ml
5% glukóza 1490
kompatibilný
Injekcia Amikacin sulfate 2 mg/ml
Injekcia Nicardipine hydrochloride 0.1 mg/ml
0,9% chlorid sodný 1490
kompatibilný
Injekcia Amikacin sulfate 5 mg/ml
Injekcia Ondansetron hydrochloride 1 mg/ml
0,9% chlorid sodný 334
Chemická nestabilita nezlučiteľný
Injekcia Amikacin sulfate
Injekcia Oxacillin sodium
3549
kompatibilný
Injekcia Amikacin sulfate 5 mg/ml
Injekcia Paclitaxel 1.2 mg/ml
5% glukóza 248
Okamžité zrážanie nezlučiteľný
Injekcia Amikacin sulfate
Injekcia Pantoprazole sodium
2090
kompatibilný
Injekcia Amikacin sulfate 250 mg/ml
Injekcia Paracetamol 10 mg/ml
4742
kompatibilný
Injekcia Amikacin sulfate 5 mg/ml
Injekcia Pemetrexed disodium 20 mg/ml
0,9% chlorid sodný 1953
Chemická nestabilita nezlučiteľný
Injekcia Amikacin sulfate
Injekcia Penicillin G potassium
3549
Chemická nestabilita nezlučiteľný
Injekcia Amikacin sulfate
Injekcia Penicillin G sodium
3549
kompatibilný
Injekcia Amikacin sulfate 50 mg/ml
Injekcia Pethidine hydrochloride 100 mg/ml
0,45 % chlorid sodný 132
kompatibilný
Injekcia Amikacin sulfate 5 mg/ml
Injekcia Pethidine hydrochloride 10 mg/ml
5% glukóza 405
Nešpecifikovaná nekompatibilita nezlučiteľný
Injekcia Amikacin sulfate
Injekcia Phenytoin sodium
3549
kompatibilný
Injekcia Amikacin sulfate 40 mg/ml
Injekcia Phloroglucinol 2,5 mg/ml
3791
Chemická nestabilita nezlučiteľný
Injekcia Amikacin sulfate
Injekcia Piperacillin sodium
3549
Chemická nestabilita nezlučiteľný
Injekcia Amikacin sulfate
Injekcia Piperacillin sodium / tazobactam
3549
Chemická nestabilita nezlučiteľný
Injekcia Amikacin sulfate
Injekcia Piperacillin sodium / tazobactam
3586
kompatibilný
Injekcia Amikacin sulfate
Injekcia Posaconazole
4380
Okamžité zrážanie nezlučiteľný
Injekcia Amikacin sulfate 5 mg/ml
Injekcia Propofol 10 mg/ml
Žiadny 300
Nešpecifikovaná nekompatibilita nezlučiteľný
Injekcia Amikacin sulfate
Injekcia Pyridoxine hydrochloride
3549
kompatibilný
Injekcia Amikacin sulfate 5 mg/ml
Injekcia Remifentanil hydrochloride 25 & 250 µg/ml
0,9% chlorid sodný 59
Okamžité zrážanie nezlučiteľný
Injekcia Amikacin sulfate 250 mg/ml
Injekcia Salbutamol sulfate 1 mg/ml
Žiadny 3216
kompatibilný
Injekcia Amikacin sulfate 5 mg/ml
Injekcia Sargramostim 10 µg/ml
0,9% chlorid sodný 335
kompatibilný
Injekcia Amikacin sulfate 10 mg/ml
Injekcia Sulbactam/durlobactam 15/15 mg/ml
0,9% chlorid sodný 4801
kompatibilný
Injekcia Amikacin sulfate 5 mg/ml
Injekcia Tedizolid phosphate 0.8 mg/ml
0,9% chlorid sodný 3827
Nešpecifikovaná nekompatibilita nezlučiteľný
Injekcia Amikacin sulfate
Injekcia Teicoplanine
3656
kompatibilný
Injekcia Amikacin sulfate
0,9% chlorid sodný 5076
Nešpecifikovaná nekompatibilita nezlučiteľný
Injekcia Amikacin sulfate 50 mg/ml
Injekcia Propofol
4524
Nešpecifikovaná nekompatibilita nezlučiteľný
Injekcia Amikacin sulfate
Injekcia Temocilline
2296
kompatibilný
Injekcia Amikacin sulfate 15 mg/ml
Injekcia Temocilline 83.33 mg/ml
voda na injekciu 2231
Chemická nestabilita nezlučiteľný
Injekcia Amikacin sulfate
Injekcia Temocilline
3549
kompatibilný
Injekcia Amikacin sulfate 5 mg/ml
Injekcia Teniposide 0.1 mg/ml
5% glukóza 905
Nešpecifikovaná nekompatibilita nezlučiteľný
Injekcia Amikacin sulfate
Injekcia Thiamine hydrochloride
3549
Okamžité zrážanie nezlučiteľný
Injekcia Amikacin sulfate 250 mg/ml
Injekcia Thiopental sodium 25 mg/ml
0,9% chlorid sodný 3767
Nešpecifikovaná nekompatibilita nezlučiteľný
Injekcia Amikacin sulfate
Injekcia Thiopental sodium
3549
kompatibilný
Injekcia Amikacin sulfate 5 mg/ml
Injekcia Thiotepa 1 mg/ml
5% glukóza 249
Chemická nestabilita nezlučiteľný
Injekcia Amikacin sulfate
Injekcia Ticarcillin / clavulanic acid
3587
Chemická nestabilita nezlučiteľný
Injekcia Amikacin sulfate
Injekcia Ticarcillin / clavulanic acid
3549
kompatibilný
Injekcia Amikacin sulfate
Injekcia Tigecycline
0,9% chlorid sodný 3332
kompatibilný
Injekcia Amikacin sulfate 15 mg/ml
Injekcia Vancomycin hydrochloride 10 mg/ml
5% glukóza 3385
kompatibilný
Injekcia Amikacin sulfate 2 mg/ml
Injekcia Verapamil hydrochloride 0.08 mg/ml
0,9% chlorid sodný 1057
kompatibilný
Injekcia Amikacin sulfate 2 mg/ml
Injekcia Verapamil hydrochloride 0.08 mg/ml
5% glukóza 1057
Okamžitá zákal nezlučiteľný
Injekcia Amikacin sulfate 5 mg/ml
Injekcia Vinorelbine tartrate 1 mg/ml
0,9% chlorid sodný 84
kompatibilný
Injekcia Amikacin sulfate 5 mg/ml
Injekcia Warfarin sodium 0.1 & 2 mg/ml
5% glukóza 552
kompatibilný
Injekcia Amikacin sulfate 5 mg/ml
Injekcia Warfarin sodium 0.1 & 2 mg/ml
0,9% chlorid sodný 552
kompatibilný
Injekcia Amikacin sulfate 4 mg/ml
Injekcia Zidovudine 4 mg/ml
5% glukóza 337

  Mentions Légales