最新更新 :
18/03/2026
抗生素   Amikacin sulfate  
注射液
溶液稳定性 混合物稳定性 影响稳定性的因素 兼容性 用药途径 引用文献 PDF
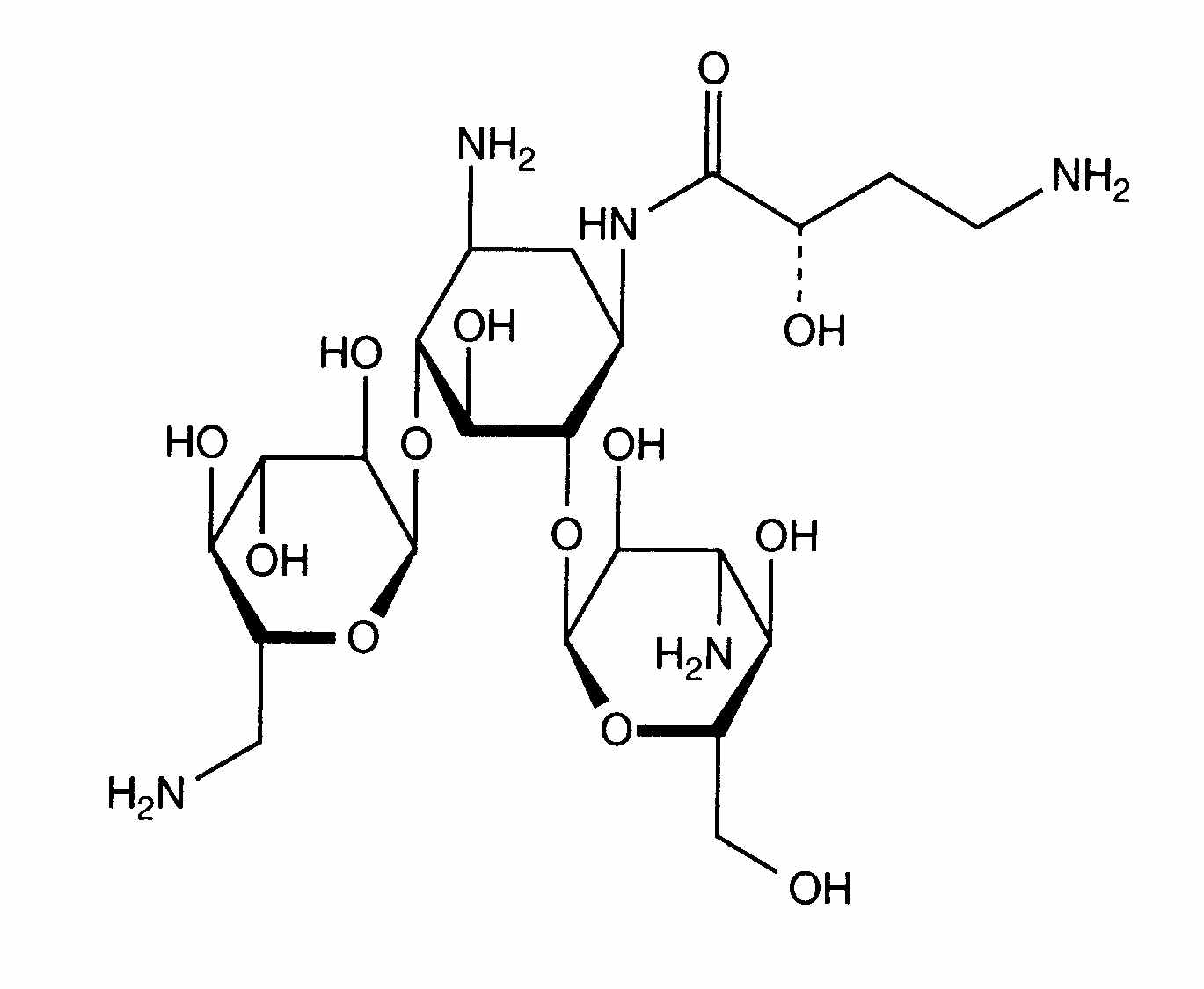
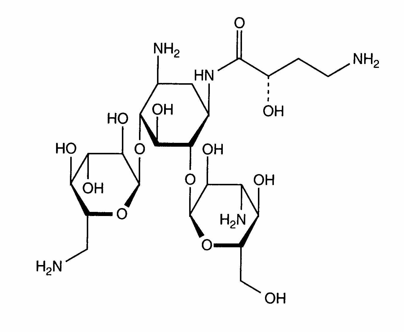
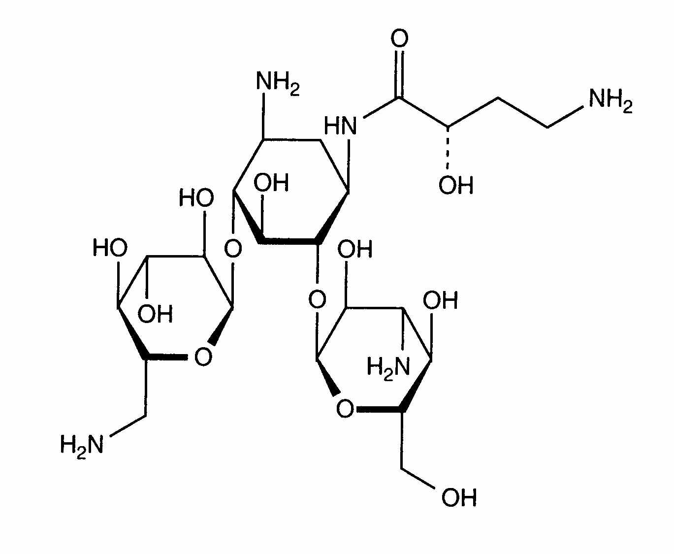
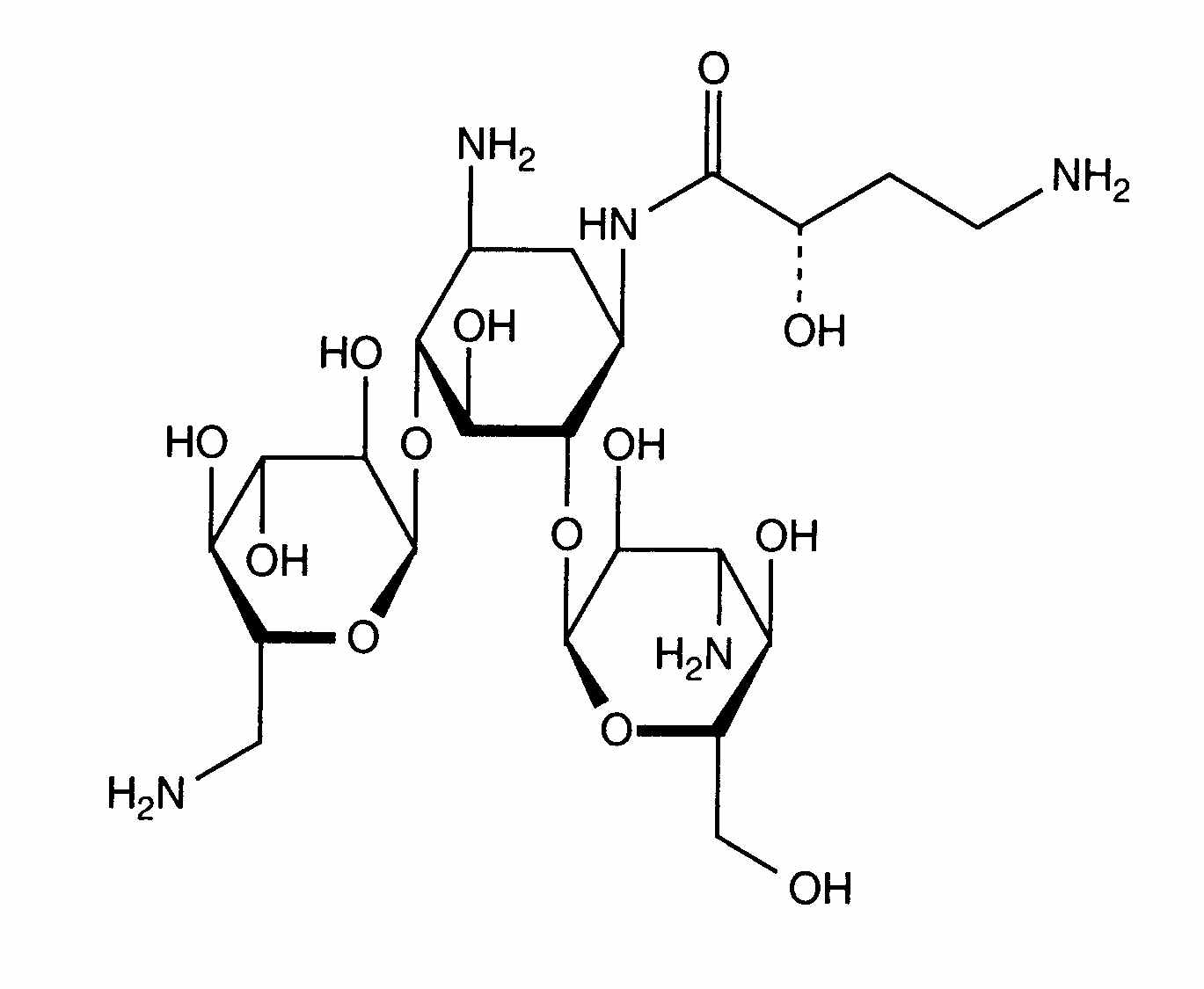
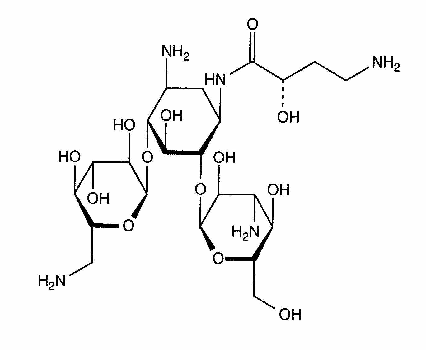
   化学式  

商品名   商品名     

商品名仅供参考, 药品所用的辅料可能依国家或厂商不同有所不同。

Adnet 印度
Agnicin 墨西哥
Akamin 厄瓜多尔
Akim 厄瓜多尔
Amicacil 巴西
Amicilon 巴西
Amicin 马来西亚
Amicip 委内瑞拉
Amijeksin 土耳其
Amikabiot 厄瓜多尔, 秘鲁
Amikacin 伊朗, 加拿大, 埃及, 德国, 新西蘭, 沙特阿拉伯, 美国, 英国, 马来西亚
Amikacina 厄瓜多尔, 哥伦比亚, 墨西哥, 委内瑞拉, 意大利, 智利, 秘鲁, 西班牙, 阿根廷
Amikacine 摩洛哥, 比利时, 法国, 荷兰
Amikafur 墨西哥
Amikagram 秘鲁
Amikalem 墨西哥
Amikamed 秘鲁
Amikamek 秘鲁
Amikan 意大利
Amikavax 委内瑞拉
Amikaver 土耳其
Amikayect 墨西哥
Amikem 秘鲁
Amiketem 土耳其
Amikin 匈牙利, 厄瓜多尔, 哥伦比亚, 埃及, 墨西哥, 巴西, 沙特阿拉伯, 波兰, 澳大利亚, 爱尔兰, 瑞士, 秘鲁, 突尼斯, 美国, 英国
Amiklin 土耳其, 法国
Amikosit 土耳其, 突尼斯, 罗马尼亚
Amikram 秘鲁
Amukin 卢森堡, 比利时, 荷兰
Apalin 马来西亚
Baxi K 墨西哥, 智利
Behcacin 印度, 委内瑞拉
Belka 印度
Biclin 墨西哥, 奥地利, 德国, 瑞典, 芬兰, 葡萄牙, 西班牙
Biodacyna 波兰
Biokacin 墨西哥
Briklin 希腊
Cadicin 印度
Chemacin 意大利
Cikabit 印度
Cinamica 印度
Cinas 印度
Consumonit 希腊
Domak 印度
Doxocar 阿根廷
Elcin 印度
Elmik 印度
Emcin 印度
Emica 印度
Farcyclin 希腊
Flexelite 希腊
Greini 阿根廷
Ipacin 伊朗
Itukacin 秘鲁
Kancin 希腊
Lanomycin 希腊
Lukadin 意大利
Masmika 印度
Mediamik 意大利
Micalpha 希腊
Micigen 墨西哥
Migracin 意大利
Mikacin 沙特阿拉伯
Nekacin 意大利
Novamin 巴西
Orlobin 希腊
Remikin 希腊
Rovericlin 希腊
Uzix 希腊
兼容性   注射液   兼容性 : Amikacin sulfate              
This screen indicates the compatibilities or incompatibilities with, in this case, the type of incompatibility (precipitation, color change, modification of an emulsion, etc.). The compatibilities shown here are mostly physical only, with the chemical stability of each molecule rarely being assessed. The evaluation of these mixtures was studied to consider the possibility of Y-site administration to the patient. These data cannot be used for making mixtures in advance in bags or syringes. This type of information is available in the screen "Stability in mixture ».
分子 溶剂 引用文献
兼容
注射液 Amikacin sulfate 5 mg/ml
注射液 Aciclovir sodium 5 mg/ml
葡萄糖5% 336
1小時後析出 不相容
注射液 Amikacin sulfate 5 mg/ml
注射液 Allopurinol sodium 3 mg/ml
NaCl 0,9% 307
兼容
注射液 Amikacin sulfate 5 mg/ml
注射液 Amifostine 10 mg/ml
葡萄糖5% 3
兼容
注射液 Amikacin sulfate 5 mg/ml
注射液 Amiodarone hydrochloride 4 mg/ml
NaCl 0,9% 385
兼容
注射液 Amikacin sulfate 5 mg/ml
注射液 Amiodarone hydrochloride 4 mg/ml
葡萄糖5% 385
化學不穩定性 不相容
注射液 Amikacin sulfate
注射液 Amoxicillin sodium
3527
化學不穩定性 不相容
注射液 Amikacin sulfate
注射液 Amoxicillin sodium
3549
兼容
注射液 Amikacin sulfate 250 mg/ml
注射液 Amoxicillin sodium / clavulanic acid 100/10 mg/ml
3824
化學不穩定性 不相容
注射液 Amikacin sulfate
注射液 Amoxicillin sodium / clavulanic acid
3549
未指定的不兼容性 不相容
注射液 Amikacin sulfate
注射液 Amoxicillin sodium / clavulanic acid
3545
未指定的不兼容性 不相容
注射液 Amikacin sulfate
注射液 Amphotericin B
3549
立即沉澱 不相容
注射液 Amikacin sulfate 5 mg/ml
注射液 Amphotericin B cholesteryl sulfate complex 0.83 mg/ml
葡萄糖5% 921
化學不穩定性 不相容
注射液 Amikacin sulfate
注射液 Ampicillin sodium
3549
化學不穩定性 不相容
注射液 Amikacin sulfate
注射液 Ampicillin sodium - sulbactam sodium
3549
兼容
注射液 Amikacin sulfate 5 mg/ml
注射液 Amsacrine 1 mg/ml
葡萄糖5% 253
兼容
注射液 Amikacin sulfate 5 mg/ml
注射液 Anidulafungin 0.5 mg/ml
葡萄糖5% 1982
未指定的不兼容性 不相容
注射液 Amikacin sulfate
注射液 Ascorbic acid
3549
立即沉澱 不相容
注射液 Amikacin sulfate 100 mg/ml
注射液 Azithromycine 2 mg/ml
NaCl 0,9% 1800
化學不穩定性 不相容
注射液 Amikacin sulfate
注射液 Aztreonam
3549
兼容
注射液 Amikacin sulfate 5 mg/ml
注射液 Aztreonam 40 mg/ml
葡萄糖5% 99
兼容
注射液 Amikacin sulfate 5 mg/ml
注射液 Bivalirudin 5 mg/ml
葡萄糖5% 1713
兼容
注射液 Amikacin sulfate 250 mg/ml
注射液 Caffeine 10 mg/ml
无 3964
不相容
注射液 Amikacin sulfate
注射液 Calcium gluconate
4964
未指定的不兼容性 不相容
注射液 Amikacin sulfate
注射液 Calcium gluconate
3644
兼容
注射液 Amikacin sulfate 5 mg/ml
注射液 Caspofungin acetate 0,7 mg/ml
NaCl 0,9% 2247
化學不穩定性 不相容
注射液 Amikacin sulfate
注射液 Cefalotin sodium
3549
化學不穩定性 不相容
注射液 Amikacin sulfate
注射液 Cefamandole nafate
3549
未指定的不兼容性 不相容
注射液 Amikacin sulfate
注射液 Cefamandole nafate
3546
化學不穩定性 不相容
注射液 Amikacin sulfate
注射液 Cefazolin sodium
3549
兼容
注射液 Amikacin sulfate 6 mg/ml
注射液 Cefepime dihydrochloride 40 mg/ml
NaCl 0,9% 3548
兼容
注射液 Amikacin sulfate 6 mg/ml
注射液 Cefepime dihydrochloride 40 mg/ml
葡萄糖5% 3548
兼容
注射液 Amikacin sulfate 15 mg/ml
注射液 Cefepime dihydrochloride 125 mg/ml
注射用水 2141
化學不穩定性 不相容
注射液 Amikacin sulfate
注射液 Cefepime dihydrochloride
3549
兼容
注射液 Amikacin sulfate 5 mg/ml
注射液 Cefiderocol sulfate tosylate 20 mg/mL
葡萄糖5% 4528
化學不穩定性 不相容
注射液 Amikacin sulfate
注射液 Cefmenoxime
3549
化學不穩定性 不相容
注射液 Amikacin sulfate
注射液 Cefmetazole sodium
3549
化學不穩定性 不相容
注射液 Amikacin sulfate
注射液 Cefonicid sodium
3549
化學不穩定性 不相容
注射液 Amikacin sulfate
注射液 Cefoperazone sodium
3549
未指定的不兼容性 不相容
注射液 Amikacin sulfate
注射液 Cefoperazone sodium
3544
化學不穩定性 不相容
注射液 Amikacin sulfate
注射液 Ceforanide
3549
化學不穩定性 不相容
注射液 Amikacin sulfate
注射液 Cefotaxime sodium
3549
化學不穩定性 不相容
注射液 Amikacin sulfate
注射液 Cefoxitin sodium
3549
未指定的不兼容性 不相容
注射液 Amikacin sulfate
注射液 Cefpirome sulfate
3677
兼容
注射液 Amikacin sulfate 5 mg/ml
注射液 Cefpirome sulfate 50 mg/ml
NaCl 0.45% 280
兼容
注射液 Amikacin sulfate 5 mg/ml
注射液 Cefpirome sulfate 50 mg/ml
葡萄糖5% 280
兼容
注射液 Amikacin sulfate 5 mg/ml
注射液 Cefpirome sulfate 50 mg/ml
NaCl 0,9% 280
兼容
注射液 Amikacin sulfate 5 mg/ml
注射液 Cefpirome sulfate 50 mg/ml
Ringer乳酸溶液 280
化學不穩定性 不相容
注射液 Amikacin sulfate
注射液 Cefpirome sulfate
3549
兼容
注射液 Amikacin sulfate 5 mg/ml
注射液 Ceftaroline fosamil 2,22 mg/ml
Ringer乳酸溶液 3249
兼容
注射液 Amikacin sulfate 5 mg/ml
注射液 Ceftaroline fosamil 2,22 mg/ml
葡萄糖5% 3249
兼容
注射液 Amikacin sulfate 5 mg/ml
注射液 Ceftaroline fosamil 2,22 mg/ml
NaCl 0,9% 3249
未指定的不兼容性 不相容
注射液 Amikacin sulfate
注射液 Ceftazidime
3883
未指定的不兼容性 不相容
注射液 Amikacin sulfate
注射液 Ceftazidime
3543
兼容
注射液 Amikacin sulfate 15 mg/ml
注射液 Ceftazidime 83.3 mg/ml
1759
化學不穩定性 不相容
注射液 Amikacin sulfate
注射液 Ceftazidime Avibactam
3549
立即沉澱 不相容
注射液 Amikacin sulfate 5 mg/ml
注射液 Ceftobiprole medocaril sodium 2 mg/ml
NaCl 0,9% 2269
未指定的不兼容性 不相容
注射液 Amikacin sulfate
注射液 Ceftobiprole medocaril sodium
4650
兼容
注射液 Amikacin sulfate
葡萄糖5% 5076
化學不穩定性 不相容
注射液 Amikacin sulfate
注射液 Ceftaroline fosamil
3549
化學不穩定性 不相容
注射液 Amikacin sulfate
注射液 Ceftazidime
3549
兼容
注射液 Amikacin sulfate 15 mg/ml
注射液 Ceftazidime 125 mg/ml
注射用水 2141
化學不穩定性 不相容
注射液 Amikacin sulfate
注射液 Ceftizoxime sodium
3549
立即沉澱 不相容
注射液 Amikacin sulfate 5 mg/ml
注射液 Ceftobiprole medocaril sodium 2 mg/ml
葡萄糖5% 2269
化學不穩定性 不相容
注射液 Amikacin sulfate
注射液 Ceftobiprole medocaril sodium
3549
立即沉澱 不相容
注射液 Amikacin sulfate 5 mg/ml
注射液 Ceftobiprole medocaril sodium 2 mg/ml
Ringer乳酸溶液 2269
兼容
注射液 Amikacin sulfate 5 mg/ml
注射液 Ceftolozane / tazobactam 10/5 mg/ml
葡萄糖5% 3828
兼容
注射液 Amikacin sulfate 5 mg/ml
注射液 Ceftolozane / tazobactam 10/5 mg/ml
NaCl 0,9% 3828
化學不穩定性 不相容
注射液 Amikacin sulfate
注射液 Ceftolozane / tazobactam
3549
未指定的不兼容性 不相容
注射液 Amikacin sulfate
注射液 Ceftriaxone disodium
3523
化學不穩定性 不相容
注射液 Amikacin sulfate
注射液 Ceftriaxone disodium
3549
化學不穩定性 不相容
注射液 Amikacin sulfate
注射液 Cefuroxime sodium
3549
未指定的不兼容性 不相容
注射液 Amikacin sulfate
注射液 Cefuroxime sodium
3687
化學不穩定性 不相容
注射液 Amikacin sulfate
注射液 Cefuzonam
3549
未指定的不兼容性 不相容
注射液 Amikacin sulfate
注射液 Chlorothiazide sodium
3549
兼容
注射液 Amikacin sulfate 2.5 mg/ml
注射液 Cimetidine hydrochloride 1.5 mg/ml
葡萄糖5% 1201
化學不穩定性 不相容
注射液 Amikacin sulfate 4 mg/ml
注射液 Ciprofloxacin lactate 1.5 mg/ml
NaCl 0,9% 434
化學不穩定性 不相容
注射液 Amikacin sulfate 4 mg/ml
注射液 Ciprofloxacin lactate 1.5 mg/ml
葡萄糖5% 434
兼容
注射液 Amikacin sulfate 5 mg/ml
注射液 Cisatracurium besylate 0.1 >> 5 mg/ml
葡萄糖5% 299
兼容
注射液 Amikacin sulfate 4 mg/ml
注射液 Clindamycin phosphate 9 mg/ml
NaCl 0,9% 565
兼容
注射液 Amikacin sulfate 250 mg/ml
肠外营养(二种混合物) 999
兼容
注射液 Amikacin sulfate 5 mg/ml
注射液 Ciprofloxacin lactate 2 mg/ml
葡萄糖5% 285
化學不穩定性 不相容
注射液 Amikacin sulfate
注射液 Cisplatin
3578
兼容
注射液 Amikacin sulfate 75 mg/ml
注射液 Clindamycin phosphate 90 mg/ml
NaCl 0,9% 639
兼容
注射液 Amikacin sulfate
注射液 Clindamycin phosphate
NaCl 0,9% 3526
亞視覺不兼容 不相容
注射液 Amikacin sulfate 250 mg/ml
注射液 Cloxacillin sodium 100 mg/ml
注射用水 3012
未指定的不兼容性 不相容
注射液 Amikacin sulfate
注射液 Daunorubicin/cytarabine liposomale
4354
兼容
注射液 Amikacin sulfate 5 mg/ml
肠外营养(二种混合物) 316
兼容
注射液 Amikacin sulfate 4 mg/ml
注射液 Clindamycin phosphate 9 mg/ml
葡萄糖5% 565
兼容
注射液 Amikacin sulfate
注射液 Clindamycin phosphate
葡萄糖5% 3526
化學不穩定性 不相容
注射液 Amikacin sulfate
注射液 Cloxacillin sodium
3549
未指定的不兼容性 不相容
注射液 Amikacin sulfate
注射液 Cyanocobalamine
3549
立即渾濁 不相容
注射液 Amikacin sulfate
注射液 Daunorubicin/cytarabine liposomale 0,4 mg/mL
NaCl 0,9% 4654
立即沉澱 不相容
注射液 Amikacin sulfate 5 mg/ml
注射液 Defibrotide 8 mg/ml
NaCl 0,9% 3728
兼容
注射液 Amikacin sulfate 50 mg/ml
注射液 Dexamethasone sodium phosphate 4 mg/ml
NaCl 0.45% 132
未指定的不兼容性 不相容
注射液 Amikacin sulfate
注射液 Erythromycin lactobionate
3549
兼容
注射液 Amikacin sulfate 5 mg/ml
肠外营养(二种混合物) 301
兼容
注射液 Amikacin sulfate 5 mg/ml
注射液 Dexmedetomidine 4 µg/ml
NaCl 0,9% 1712
兼容
注射液 Amikacin sulfate 5 & 250 mg/ml
注射液 Diltiazem hydrochloride 5 mg/ml
NaCl 0,9% 198
兼容
注射液 Amikacin sulfate 5 mg/ml
注射液 Docetaxel 0.9 mg/ml
葡萄糖5% 1754
兼容
注射液 Amikacin sulfate 5 mg/ml
注射液 Doripenem 5 mg/ml
NaCl 0,9% 2262
兼容
注射液 Amikacin sulfate 5 mg/ml
注射液 Doripenem 5 mg/ml
葡萄糖5% 2262
化學不穩定性 不相容
注射液 Amikacin sulfate
注射液 Doripenem
3549
兼容
注射液 Amikacin sulfate 2 mg/ml
注射液 Enalaprilate 0.05 mg/ml
NaCl 0,9% 1315
化學不穩定性 不相容
注射液 Amikacin sulfate
注射液 Ertapenem
3549
未指定的不兼容性 不相容
注射液 Amikacin sulfate
注射液 Erythromycin lactobionate
3674
兼容
注射液 Amikacin sulfate 5 mg/ml
注射液 Esmolol hydrochloride 10 mg/ml
葡萄糖5% 384
兼容
注射液 Amikacin sulfate 5 mg/ml
注射液 Etoposide phosphate 5 mg/ml
葡萄糖5% 1410
兼容
注射液 Amikacin sulfate 5 mg/ml
注射液 Fenoldopam mesylate 80 µg/ml
NaCl 0,9% 1803
兼容
注射液 Amikacin sulfate 5 mg/ml
注射液 Filgrastim 30 µg/ml
葡萄糖5% 244
兼容
注射液 Amikacin sulfate 0.487 >> 0.667 mg/ml
肠外营养(含脂肪) 1868
兼容
注射液 Amikacin sulfate 250 mg/ml
Ringer乳酸溶液 4603
1小時後乳液的不穩定性 不相容
注射液 Amikacin sulfate 250 mg/ml
肠外营养(含脂肪) 673
兼容
注射液 Amikacin sulfate 5 mg/ml
注射液 Filgrastim 40 µg/ml
葡萄糖5% 104
乳液立即不穩定 不相容
注射液 Amikacin sulfate 50 mg/ml
肠外营养(含脂肪) 132
兼容
注射液 Amikacin sulfate 5 mg/ml
肠外营养(含脂肪) 1415
立即沉澱 不相容
注射液 Amikacin sulfate
注射液 Flucloxacillin sodium
3522
兼容
注射液 Amikacin sulfate 20 mg/ml
注射液 Fluconazole 2 mg/ml
NaCl 0,9% 496
兼容
注射液 Amikacin sulfate 5 mg/ml
注射液 Fluconazole 2 mg/ml
无 256
兼容
注射液 Amikacin sulfate 5 mg/ml
注射液 Fludarabine phosphate 1 mg/ml
葡萄糖5% 492
兼容
注射液 Amikacin sulfate 20 mg/ml
注射液 Foscarnet sodium 24 mg/ml
无 73
兼容
注射液 Amikacin sulfate 5 mg/ml
注射液 Fosfomycin 30 mg/ml
NaCl 0,9% 4055
兼容
注射液 Amikacin sulfate 5 mg/ml
注射液 Fosfomycin 30 mg/ml
葡萄糖5% 4055
立即沉澱 不相容
注射液 Amikacin sulfate 2 mg/ml
注射液 Furosemide 0,16 mg/ml
NaCl 0,9% 367
立即沉澱 不相容
注射液 Amikacin sulfate 2 mg/ml
注射液 Furosemide 0,16 mg/ml
葡萄糖5% 367
兼容
注射液 Amikacin sulfate 5 mg/ml
注射液 Gemcitabine hydrochloride 10 mg/ml
NaCl 0,9% 1423
兼容
注射液 Amikacin sulfate 5 mg/ml
注射液 Granisetron hydrochloride 0.05 mg/ml
葡萄糖5% 182
未指定的不兼容性 不相容
注射液 Amikacin sulfate
注射液 Heparin sodium
3549
未指定的不兼容性 不相容
注射液 Amikacin sulfate
注射液 Heparin sodium
3540
立即沉澱 不相容
注射液 Amikacin sulfate
注射液 Heparin sodium
1022
兼容
注射液 Amikacin sulfate 5 mg/ml
注射液 Hetastarch 60 mg/ml
特定溶液 1721
立即沉澱 不相容
注射液 Amikacin sulfate 5 mg/ml
注射液 Hetastarch 60 mg/ml
NaCl 0,9% 472
兼容
注射液 Amikacin sulfate 5 mg/ml
注射液 Hydromorphone hydrochloride 0.2 mg/ml
葡萄糖5% 405
立即渾濁 不相容
注射液 Amikacin sulfate 50 mg/ml
注射液 Ibuprofen lysinate 10 mg/ml
注射用水 4419
立即渾濁 不相容
注射液 Amikacin sulfate 250 mg/ml
注射液 Ibuprofen lysinate 10 mg/ml
注射用水 4419
兼容
注射液 Amikacin sulfate 5 mg/ml
注射液 Idarubicin hydrochloride 1 mg/ml
NaCl 0,9% 491
化學不穩定性 不相容
注射液 Amikacin sulfate
注射液 Imipenem - cilastatin sodium
3549
兼容
注射液 Amikacin sulfate 5 mg/ml
注射液 Isavuconazonium sulfate 1.5 mg/ml
葡萄糖5% 3829
兼容
注射液 Amikacin sulfate 5 mg/ml
注射液 Isavuconazonium sulfate 1.5 mg/ml
NaCl 0,9% 3829
兼容
注射液 Amikacin sulfate 250 mg/ml
注射液 Ketamine hydrochloride 50 mg/ml
2109
兼容
注射液 Amikacin sulfate 5 mg/ml
注射液 Labetalol hydrochloride 1 mg/ml
葡萄糖5% 386
兼容
注射液 Amikacin sulfate 5 mg/ml
注射液 Lansoprazole 0.55 mg/ml
NaCl 0,9% 1625
兼容
注射液 Amikacin sulfate 50 mg/ml
注射液 Levofloxacine 5 mg/ml
葡萄糖5% 1072
兼容
注射液 Amikacin sulfate 5 mg/ml
注射液 Linezolid 2 mg/ml
无 1925
兼容
注射液 Amikacin sulfate 5 mg/ml
注射液 Lorazepam 0.33 mg/ml
NaCl 0,9% 186
兼容
注射液 Amikacin sulfate 5 mg/ml
注射液 Magnesium sulfate 16.67 >> 100 mg/ml
葡萄糖5% 1047
兼容
注射液 Amikacin sulfate 5 mg/ml
注射液 Melphalan 0.1 mg/ml
NaCl 0,9% 169
兼容
注射液 Amikacin sulfate 250 mg/ml
注射液 Meropenem 50 mg/ml
4389
兼容
注射液 Amikacin sulfate 250 mg/ml
注射液 Meropenem 50 mg/ml
注射用水 4319
化學不穩定性 不相容
注射液 Amikacin sulfate
注射液 Meropenem
3549
兼容
注射液 Amikacin sulfate
注射液 Metronidazole
3594
兼容
注射液 Amikacin sulfate 5 mg/ml
注射液 Metronidazole 5 mg/ml
无 1035
兼容
注射液 Amikacin sulfate 5 mg/ml
注射液 Midazolam hydrochloride 5 mg/ml
无 186
兼容
注射液 Amikacin sulfate 5 mg/ml
注射液 Morphine sulfate 1 mg/ml
葡萄糖5% 405
兼容
注射液 Amikacin sulfate 250 mg/ml
注射液 N-acetylcysteine 200 mg/ml
无 3766
化學不穩定性 不相容
注射液 Amikacin sulfate
注射液 Nafcillin sodium
3549
兼容
注射液 Amikacin sulfate 2,5 mg/ml
注射液 Nalbuphine hydrochloride 0,05 >> 0,33 mg/ml
NaCl 0,9% 4867
兼容
注射液 Amikacin sulfate 250 mg/ml
注射液 Naloxone hydrochloride 0.4 mg/ml
无 3408
兼容
注射液 Amikacin sulfate 2 mg/ml
注射液 Nicardipine hydrochloride 0.1 mg/ml
葡萄糖5% 1490
兼容
注射液 Amikacin sulfate 2 mg/ml
注射液 Nicardipine hydrochloride 0.1 mg/ml
NaCl 0,9% 1490
兼容
注射液 Amikacin sulfate 5 mg/ml
注射液 Ondansetron hydrochloride 1 mg/ml
NaCl 0,9% 334
化學不穩定性 不相容
注射液 Amikacin sulfate
注射液 Oxacillin sodium
3549
兼容
注射液 Amikacin sulfate 5 mg/ml
注射液 Paclitaxel 1.2 mg/ml
葡萄糖5% 248
立即沉澱 不相容
注射液 Amikacin sulfate
注射液 Pantoprazole sodium
2090
兼容
注射液 Amikacin sulfate 250 mg/ml
注射液 Paracetamol 10 mg/ml
4742
兼容
注射液 Amikacin sulfate 5 mg/ml
注射液 Pemetrexed disodium 20 mg/ml
NaCl 0,9% 1953
化學不穩定性 不相容
注射液 Amikacin sulfate
注射液 Penicillin G potassium
3549
化學不穩定性 不相容
注射液 Amikacin sulfate
注射液 Penicillin G sodium
3549
兼容
注射液 Amikacin sulfate 50 mg/ml
注射液 Pethidine hydrochloride 100 mg/ml
NaCl 0.45% 132
兼容
注射液 Amikacin sulfate 5 mg/ml
注射液 Pethidine hydrochloride 10 mg/ml
葡萄糖5% 405
未指定的不兼容性 不相容
注射液 Amikacin sulfate
注射液 Phenytoin sodium
3549
兼容
注射液 Amikacin sulfate 40 mg/ml
注射液 Phloroglucinol 2,5 mg/ml
3791
化學不穩定性 不相容
注射液 Amikacin sulfate
注射液 Piperacillin sodium
3549
化學不穩定性 不相容
注射液 Amikacin sulfate
注射液 Piperacillin sodium / tazobactam
3549
化學不穩定性 不相容
注射液 Amikacin sulfate
注射液 Piperacillin sodium / tazobactam
3586
兼容
注射液 Amikacin sulfate
注射液 Posaconazole
4380
立即沉澱 不相容
注射液 Amikacin sulfate 5 mg/ml
注射液 Propofol 10 mg/ml
无 300
未指定的不兼容性 不相容
注射液 Amikacin sulfate
注射液 Pyridoxine hydrochloride
3549
兼容
注射液 Amikacin sulfate 5 mg/ml
注射液 Remifentanil hydrochloride 25 & 250 µg/ml
NaCl 0,9% 59
立即沉澱 不相容
注射液 Amikacin sulfate 250 mg/ml
注射液 Salbutamol sulfate 1 mg/ml
无 3216
兼容
注射液 Amikacin sulfate 5 mg/ml
注射液 Sargramostim 10 µg/ml
NaCl 0,9% 335
兼容
注射液 Amikacin sulfate 10 mg/ml
注射液 Sulbactam/durlobactam 15/15 mg/ml
NaCl 0,9% 4801
兼容
注射液 Amikacin sulfate 5 mg/ml
注射液 Tedizolid phosphate 0.8 mg/ml
NaCl 0,9% 3827
未指定的不兼容性 不相容
注射液 Amikacin sulfate
注射液 Teicoplanine
3656
兼容
注射液 Amikacin sulfate
NaCl 0,9% 5076
未指定的不兼容性 不相容
注射液 Amikacin sulfate 50 mg/ml
注射液 Propofol
4524
未指定的不兼容性 不相容
注射液 Amikacin sulfate
注射液 Temocilline
2296
兼容
注射液 Amikacin sulfate 15 mg/ml
注射液 Temocilline 83.33 mg/ml
注射用水 2231
化學不穩定性 不相容
注射液 Amikacin sulfate
注射液 Temocilline
3549
兼容
注射液 Amikacin sulfate 5 mg/ml
注射液 Teniposide 0.1 mg/ml
葡萄糖5% 905
未指定的不兼容性 不相容
注射液 Amikacin sulfate
注射液 Thiamine hydrochloride
3549
立即沉澱 不相容
注射液 Amikacin sulfate 250 mg/ml
注射液 Thiopental sodium 25 mg/ml
NaCl 0,9% 3767
未指定的不兼容性 不相容
注射液 Amikacin sulfate
注射液 Thiopental sodium
3549
兼容
注射液 Amikacin sulfate 5 mg/ml
注射液 Thiotepa 1 mg/ml
葡萄糖5% 249
化學不穩定性 不相容
注射液 Amikacin sulfate
注射液 Ticarcillin / clavulanic acid
3587
化學不穩定性 不相容
注射液 Amikacin sulfate
注射液 Ticarcillin / clavulanic acid
3549
兼容
注射液 Amikacin sulfate
注射液 Tigecycline
NaCl 0,9% 3332
兼容
注射液 Amikacin sulfate 15 mg/ml
注射液 Vancomycin hydrochloride 10 mg/ml
葡萄糖5% 3385
兼容
注射液 Amikacin sulfate 2 mg/ml
注射液 Verapamil hydrochloride 0.08 mg/ml
NaCl 0,9% 1057
兼容
注射液 Amikacin sulfate 2 mg/ml
注射液 Verapamil hydrochloride 0.08 mg/ml
葡萄糖5% 1057
立即渾濁 不相容
注射液 Amikacin sulfate 5 mg/ml
注射液 Vinorelbine tartrate 1 mg/ml
NaCl 0,9% 84
兼容
注射液 Amikacin sulfate 5 mg/ml
注射液 Warfarin sodium 0.1 & 2 mg/ml
葡萄糖5% 552
兼容
注射液 Amikacin sulfate 5 mg/ml
注射液 Warfarin sodium 0.1 & 2 mg/ml
NaCl 0,9% 552
兼容
注射液 Amikacin sulfate 4 mg/ml
注射液 Zidovudine 4 mg/ml
葡萄糖5% 337

  Mentions Légales