Dernière mise à jour :
18/03/2026
Antibiotique   Amikacin sulfate  
injectable
Stabilité des solutions Stabilité en mélange Facteur influençant la stabilité Compatibilités Voie d’administration Bibliographie pdf
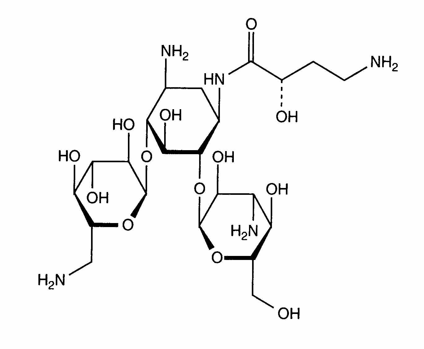
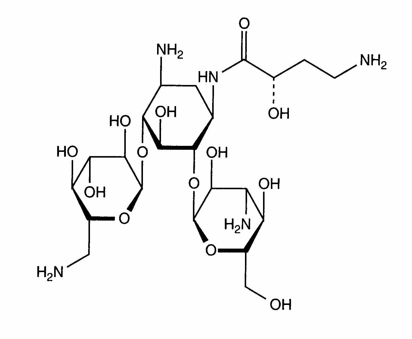
   Structure chimique  

Noms commerciaux   Noms commerciaux     

Les noms commerciaux sont donnés à titre indicatif et la composition en excipients peut être différente selon les pays et selon les laboratoires

Adnet Inde
Agnicin Mexique
Akamin Equateur
Akim Equateur
Amicacil Brésil
Amicilon Brésil
Amicin Malaisie
Amicip Vénézuela
Amijeksin Turquie
Amikabiot Equateur, Pérou
Amikacin Allemagne, Arabie Saoudite, Canada, Egypte, Etats Unis d’Amérique, Grande Bretagne, Iran, Malaisie, Nouvelle Zélande
Amikacina Argentine, Chili, Colombie, Equateur, Espagne, Italie, Mexique, Pérou, Vénézuela
Amikacine Belgique, France, Maroc, Pays bas
Amikafur Mexique
Amikagram Pérou
Amikalem Mexique
Amikamed Pérou
Amikamek Pérou
Amikan Italie
Amikavax Vénézuela
Amikaver Turquie
Amikayect Mexique
Amikem Pérou
Amiketem Turquie
Amikin Arabie Saoudite, Australie, Brésil, Colombie, Egypte, Equateur, Etats Unis d’Amérique, Grande Bretagne, Hongrie, Irlande, Mexique, Pérou, Pologne, Suisse, Tunisie
Amiklin France, Turquie
Amikosit Roumanie, Tunisie, Turquie
Amikram Pérou
Amukin Belgique, Luxembourg, Pays bas
Apalin Malaisie
Baxi K Chili, Mexique
Behcacin Inde, Vénézuela
Belka Inde
Biclin Allemagne, Autriche, Espagne, Finlande, Mexique, Portugal, Suède
Biodacyna Pologne
Biokacin Mexique
Briklin Grèce
Cadicin Inde
Chemacin Italie
Cikabit Inde
Cinamica Inde
Cinas Inde
Consumonit Grèce
Domak Inde
Doxocar Argentine
Elcin Inde
Elmik Inde
Emcin Inde
Emica Inde
Farcyclin Grèce
Flexelite Grèce
Greini Argentine
Ipacin Iran
Itukacin Pérou
Kancin Grèce
Lanomycin Grèce
Lukadin Italie
Masmika Inde
Mediamik Italie
Micalpha Grèce
Micigen Mexique
Migracin Italie
Mikacin Arabie Saoudite
Nekacin Italie
Novamin Brésil
Orlobin Grèce
Remikin Grèce
Rovericlin Grèce
Uzix Grèce
Compatibilités   injectable   Compatibilités : Amikacin sulfate              
Cet écran indique les compatibilités ou incompatibilités avec, dans ce cas, le type d'incompatibilité (précipitation, changement de couleur, modification d'une émulsion, etc.). Les compatibilités présentées ici sont pour la plupart uniquement physiques, la stabilité chimique de chaque molécule étant rarement évaluée. L'évaluation de ces mélanges a été étudiée pour envisager la possibilité d'une administration en site Y au patient. Ces données ne peuvent pas être utilisées pour préparer des mélanges à l'avance dans des poches de perfusion ou des seringues. Ce type d'informations est disponible dans l'écran « Stabilité en mélange ».
Molécule Solvant Bibliographie
Compatible
injectable Amikacin sulfate 5 mg/ml
injectable Aciclovir sodium 5 mg/ml
Glucose 5% 336
Précipitation en 1 heure Incompatible
injectable Amikacin sulfate 5 mg/ml
injectable Allopurinol sodium 3 mg/ml
Chlorure de sodium 0,9% 307
Compatible
injectable Amikacin sulfate 5 mg/ml
injectable Amifostine 10 mg/ml
Glucose 5% 3
Compatible
injectable Amikacin sulfate 5 mg/ml
injectable Amiodarone hydrochloride 4 mg/ml
Chlorure de sodium 0,9% 385
Compatible
injectable Amikacin sulfate 5 mg/ml
injectable Amiodarone hydrochloride 4 mg/ml
Glucose 5% 385
Instabilité chimique Incompatible
injectable Amikacin sulfate
injectable Amoxicillin sodium
3527
Instabilité chimique Incompatible
injectable Amikacin sulfate
injectable Amoxicillin sodium
3549
Compatible
injectable Amikacin sulfate 250 mg/ml
injectable Amoxicillin sodium / clavulanic acid 100/10 mg/ml
3824
Instabilité chimique Incompatible
injectable Amikacin sulfate
injectable Amoxicillin sodium / clavulanic acid
3549
Incompatibilité non précisée Incompatible
injectable Amikacin sulfate
injectable Amoxicillin sodium / clavulanic acid
3545
Incompatibilité non précisée Incompatible
injectable Amikacin sulfate
injectable Amphotericin B
3549
Précipitation immédiate Incompatible
injectable Amikacin sulfate 5 mg/ml
injectable Amphotericin B cholesteryl sulfate complex 0.83 mg/ml
Glucose 5% 921
Instabilité chimique Incompatible
injectable Amikacin sulfate
injectable Ampicillin sodium
3549
Instabilité chimique Incompatible
injectable Amikacin sulfate
injectable Ampicillin sodium - sulbactam sodium
3549
Compatible
injectable Amikacin sulfate 5 mg/ml
injectable Amsacrine 1 mg/ml
Glucose 5% 253
Compatible
injectable Amikacin sulfate 5 mg/ml
injectable Anidulafungin 0.5 mg/ml
Glucose 5% 1982
Incompatibilité non précisée Incompatible
injectable Amikacin sulfate
injectable Ascorbic acid
3549
Précipitation immédiate Incompatible
injectable Amikacin sulfate 100 mg/ml
injectable Azithromycine 2 mg/ml
Chlorure de sodium 0,9% 1800
Instabilité chimique Incompatible
injectable Amikacin sulfate
injectable Aztreonam
3549
Compatible
injectable Amikacin sulfate 5 mg/ml
injectable Aztreonam 40 mg/ml
Glucose 5% 99
Compatible
injectable Amikacin sulfate 5 mg/ml
injectable Bivalirudin 5 mg/ml
Glucose 5% 1713
Compatible
injectable Amikacin sulfate 250 mg/ml
injectable Caffeine 10 mg/ml
Aucun 3964
Incompatible
injectable Amikacin sulfate
injectable Calcium gluconate
4964
Incompatibilité non précisée Incompatible
injectable Amikacin sulfate
injectable Calcium gluconate
3644
Compatible
injectable Amikacin sulfate 5 mg/ml
injectable Caspofungin acetate 0,7 mg/ml
Chlorure de sodium 0,9% 2247
Instabilité chimique Incompatible
injectable Amikacin sulfate
injectable Cefalotin sodium
3549
Instabilité chimique Incompatible
injectable Amikacin sulfate
injectable Cefamandole nafate
3549
Incompatibilité non précisée Incompatible
injectable Amikacin sulfate
injectable Cefamandole nafate
3546
Instabilité chimique Incompatible
injectable Amikacin sulfate
injectable Cefazolin sodium
3549
Compatible
injectable Amikacin sulfate 6 mg/ml
injectable Cefepime dihydrochloride 40 mg/ml
Chlorure de sodium 0,9% 3548
Compatible
injectable Amikacin sulfate 6 mg/ml
injectable Cefepime dihydrochloride 40 mg/ml
Glucose 5% 3548
Compatible
injectable Amikacin sulfate 15 mg/ml
injectable Cefepime dihydrochloride 125 mg/ml
Eau pour préparation injectable 2141
Instabilité chimique Incompatible
injectable Amikacin sulfate
injectable Cefepime dihydrochloride
3549
Compatible
injectable Amikacin sulfate 5 mg/ml
injectable Cefiderocol sulfate tosylate 20 mg/mL
Glucose 5% 4528
Instabilité chimique Incompatible
injectable Amikacin sulfate
injectable Cefmenoxime
3549
Instabilité chimique Incompatible
injectable Amikacin sulfate
injectable Cefmetazole sodium
3549
Instabilité chimique Incompatible
injectable Amikacin sulfate
injectable Cefonicid sodium
3549
Instabilité chimique Incompatible
injectable Amikacin sulfate
injectable Cefoperazone sodium
3549
Incompatibilité non précisée Incompatible
injectable Amikacin sulfate
injectable Cefoperazone sodium
3544
Instabilité chimique Incompatible
injectable Amikacin sulfate
injectable Ceforanide
3549
Instabilité chimique Incompatible
injectable Amikacin sulfate
injectable Cefotaxime sodium
3549
Instabilité chimique Incompatible
injectable Amikacin sulfate
injectable Cefoxitin sodium
3549
Incompatibilité non précisée Incompatible
injectable Amikacin sulfate
injectable Cefpirome sulfate
3677
Compatible
injectable Amikacin sulfate 5 mg/ml
injectable Cefpirome sulfate 50 mg/ml
Chlorure de sodium 0,45% 280
Compatible
injectable Amikacin sulfate 5 mg/ml
injectable Cefpirome sulfate 50 mg/ml
Glucose 5% 280
Compatible
injectable Amikacin sulfate 5 mg/ml
injectable Cefpirome sulfate 50 mg/ml
Chlorure de sodium 0,9% 280
Compatible
injectable Amikacin sulfate 5 mg/ml
injectable Cefpirome sulfate 50 mg/ml
Ringer lactate 280
Instabilité chimique Incompatible
injectable Amikacin sulfate
injectable Cefpirome sulfate
3549
Compatible
injectable Amikacin sulfate 5 mg/ml
injectable Ceftaroline fosamil 2,22 mg/ml
Ringer lactate 3249
Compatible
injectable Amikacin sulfate 5 mg/ml
injectable Ceftaroline fosamil 2,22 mg/ml
Glucose 5% 3249
Compatible
injectable Amikacin sulfate 5 mg/ml
injectable Ceftaroline fosamil 2,22 mg/ml
Chlorure de sodium 0,9% 3249
Incompatibilité non précisée Incompatible
injectable Amikacin sulfate
injectable Ceftazidime
3883
Incompatibilité non précisée Incompatible
injectable Amikacin sulfate
injectable Ceftazidime
3543
Compatible
injectable Amikacin sulfate 15 mg/ml
injectable Ceftazidime 83.3 mg/ml
1759
Instabilité chimique Incompatible
injectable Amikacin sulfate
injectable Ceftazidime Avibactam
3549
Précipitation immédiate Incompatible
injectable Amikacin sulfate 5 mg/ml
injectable Ceftobiprole medocaril sodium 2 mg/ml
Chlorure de sodium 0,9% 2269
Incompatibilité non précisée Incompatible
injectable Amikacin sulfate
injectable Ceftobiprole medocaril sodium
4650
Compatible
injectable Amikacin sulfate
Glucose 5% 5076
Instabilité chimique Incompatible
injectable Amikacin sulfate
injectable Ceftaroline fosamil
3549
Instabilité chimique Incompatible
injectable Amikacin sulfate
injectable Ceftazidime
3549
Compatible
injectable Amikacin sulfate 15 mg/ml
injectable Ceftazidime 125 mg/ml
Eau pour préparation injectable 2141
Instabilité chimique Incompatible
injectable Amikacin sulfate
injectable Ceftizoxime sodium
3549
Précipitation immédiate Incompatible
injectable Amikacin sulfate 5 mg/ml
injectable Ceftobiprole medocaril sodium 2 mg/ml
Glucose 5% 2269
Instabilité chimique Incompatible
injectable Amikacin sulfate
injectable Ceftobiprole medocaril sodium
3549
Précipitation immédiate Incompatible
injectable Amikacin sulfate 5 mg/ml
injectable Ceftobiprole medocaril sodium 2 mg/ml
Ringer lactate 2269
Compatible
injectable Amikacin sulfate 5 mg/ml
injectable Ceftolozane / tazobactam 10/5 mg/ml
Glucose 5% 3828
Compatible
injectable Amikacin sulfate 5 mg/ml
injectable Ceftolozane / tazobactam 10/5 mg/ml
Chlorure de sodium 0,9% 3828
Instabilité chimique Incompatible
injectable Amikacin sulfate
injectable Ceftolozane / tazobactam
3549
Incompatibilité non précisée Incompatible
injectable Amikacin sulfate
injectable Ceftriaxone disodium
3523
Instabilité chimique Incompatible
injectable Amikacin sulfate
injectable Ceftriaxone disodium
3549
Instabilité chimique Incompatible
injectable Amikacin sulfate
injectable Cefuroxime sodium
3549
Incompatibilité non précisée Incompatible
injectable Amikacin sulfate
injectable Cefuroxime sodium
3687
Instabilité chimique Incompatible
injectable Amikacin sulfate
injectable Cefuzonam
3549
Incompatibilité non précisée Incompatible
injectable Amikacin sulfate
injectable Chlorothiazide sodium
3549
Compatible
injectable Amikacin sulfate 2.5 mg/ml
injectable Cimetidine hydrochloride 1.5 mg/ml
Glucose 5% 1201
Instabilité chimique Incompatible
injectable Amikacin sulfate 4 mg/ml
injectable Ciprofloxacin lactate 1.5 mg/ml
Chlorure de sodium 0,9% 434
Instabilité chimique Incompatible
injectable Amikacin sulfate 4 mg/ml
injectable Ciprofloxacin lactate 1.5 mg/ml
Glucose 5% 434
Compatible
injectable Amikacin sulfate 5 mg/ml
injectable Cisatracurium besylate 0.1 >> 5 mg/ml
Glucose 5% 299
Compatible
injectable Amikacin sulfate 4 mg/ml
injectable Clindamycin phosphate 9 mg/ml
Chlorure de sodium 0,9% 565
Compatible
injectable Amikacin sulfate 250 mg/ml
Nutrition parentérale (mélange binaire) 999
Compatible
injectable Amikacin sulfate 5 mg/ml
injectable Ciprofloxacin lactate 2 mg/ml
Glucose 5% 285
Instabilité chimique Incompatible
injectable Amikacin sulfate
injectable Cisplatin
3578
Compatible
injectable Amikacin sulfate 75 mg/ml
injectable Clindamycin phosphate 90 mg/ml
Chlorure de sodium 0,9% 639
Compatible
injectable Amikacin sulfate
injectable Clindamycin phosphate
Chlorure de sodium 0,9% 3526
Incompatibilité subvisuelle Incompatible
injectable Amikacin sulfate 250 mg/ml
injectable Cloxacillin sodium 100 mg/ml
Eau pour préparation injectable 3012
Incompatibilité non précisée Incompatible
injectable Amikacin sulfate
injectable Daunorubicin/cytarabine liposomale
4354
Compatible
injectable Amikacin sulfate 5 mg/ml
Nutrition parentérale (mélange binaire) 316
Compatible
injectable Amikacin sulfate 4 mg/ml
injectable Clindamycin phosphate 9 mg/ml
Glucose 5% 565
Compatible
injectable Amikacin sulfate
injectable Clindamycin phosphate
Glucose 5% 3526
Instabilité chimique Incompatible
injectable Amikacin sulfate
injectable Cloxacillin sodium
3549
Incompatibilité non précisée Incompatible
injectable Amikacin sulfate
injectable Cyanocobalamine
3549
Turbidité immédiate Incompatible
injectable Amikacin sulfate
injectable Daunorubicin/cytarabine liposomale 0,4 mg/mL
Chlorure de sodium 0,9% 4654
Précipitation immédiate Incompatible
injectable Amikacin sulfate 5 mg/ml
injectable Defibrotide 8 mg/ml
Chlorure de sodium 0,9% 3728
Compatible
injectable Amikacin sulfate 50 mg/ml
injectable Dexamethasone sodium phosphate 4 mg/ml
Chlorure de sodium 0,45% 132
Incompatibilité non précisée Incompatible
injectable Amikacin sulfate
injectable Erythromycin lactobionate
3549
Compatible
injectable Amikacin sulfate 5 mg/ml
Nutrition parentérale (mélange binaire) 301
Compatible
injectable Amikacin sulfate 5 mg/ml
injectable Dexmedetomidine 4 µg/ml
Chlorure de sodium 0,9% 1712
Compatible
injectable Amikacin sulfate 5 & 250 mg/ml
injectable Diltiazem hydrochloride 5 mg/ml
Chlorure de sodium 0,9% 198
Compatible
injectable Amikacin sulfate 5 mg/ml
injectable Docetaxel 0.9 mg/ml
Glucose 5% 1754
Compatible
injectable Amikacin sulfate 5 mg/ml
injectable Doripenem 5 mg/ml
Chlorure de sodium 0,9% 2262
Compatible
injectable Amikacin sulfate 5 mg/ml
injectable Doripenem 5 mg/ml
Glucose 5% 2262
Instabilité chimique Incompatible
injectable Amikacin sulfate
injectable Doripenem
3549
Compatible
injectable Amikacin sulfate 2 mg/ml
injectable Enalaprilate 0.05 mg/ml
Chlorure de sodium 0,9% 1315
Instabilité chimique Incompatible
injectable Amikacin sulfate
injectable Ertapenem
3549
Incompatibilité non précisée Incompatible
injectable Amikacin sulfate
injectable Erythromycin lactobionate
3674
Compatible
injectable Amikacin sulfate 5 mg/ml
injectable Esmolol hydrochloride 10 mg/ml
Glucose 5% 384
Compatible
injectable Amikacin sulfate 5 mg/ml
injectable Etoposide phosphate 5 mg/ml
Glucose 5% 1410
Compatible
injectable Amikacin sulfate 5 mg/ml
injectable Fenoldopam mesylate 80 µg/ml
Chlorure de sodium 0,9% 1803
Compatible
injectable Amikacin sulfate 5 mg/ml
injectable Filgrastim 30 µg/ml
Glucose 5% 244
Compatible
injectable Amikacin sulfate 0.487 >> 0.667 mg/ml
Nutrition parentérale (mélange ternaire) 1868
Compatible
injectable Amikacin sulfate 250 mg/ml
Ringer lactate 4603
Instabilité de l'émulsion en 1 heure Incompatible
injectable Amikacin sulfate 250 mg/ml
Nutrition parentérale (mélange ternaire) 673
Compatible
injectable Amikacin sulfate 5 mg/ml
injectable Filgrastim 40 µg/ml
Glucose 5% 104
Instabilité de l'émulsion immédiate Incompatible
injectable Amikacin sulfate 50 mg/ml
Nutrition parentérale (mélange ternaire) 132
Compatible
injectable Amikacin sulfate 5 mg/ml
Nutrition parentérale (mélange ternaire) 1415
Précipitation immédiate Incompatible
injectable Amikacin sulfate
injectable Flucloxacillin sodium
3522
Compatible
injectable Amikacin sulfate 20 mg/ml
injectable Fluconazole 2 mg/ml
Chlorure de sodium 0,9% 496
Compatible
injectable Amikacin sulfate 5 mg/ml
injectable Fluconazole 2 mg/ml
Aucun 256
Compatible
injectable Amikacin sulfate 5 mg/ml
injectable Fludarabine phosphate 1 mg/ml
Glucose 5% 492
Compatible
injectable Amikacin sulfate 20 mg/ml
injectable Foscarnet sodium 24 mg/ml
Aucun 73
Compatible
injectable Amikacin sulfate 5 mg/ml
injectable Fosfomycin 30 mg/ml
Chlorure de sodium 0,9% 4055
Compatible
injectable Amikacin sulfate 5 mg/ml
injectable Fosfomycin 30 mg/ml
Glucose 5% 4055
Précipitation immédiate Incompatible
injectable Amikacin sulfate 2 mg/ml
injectable Furosemide 0,16 mg/ml
Chlorure de sodium 0,9% 367
Précipitation immédiate Incompatible
injectable Amikacin sulfate 2 mg/ml
injectable Furosemide 0,16 mg/ml
Glucose 5% 367
Compatible
injectable Amikacin sulfate 5 mg/ml
injectable Gemcitabine hydrochloride 10 mg/ml
Chlorure de sodium 0,9% 1423
Compatible
injectable Amikacin sulfate 5 mg/ml
injectable Granisetron hydrochloride 0.05 mg/ml
Glucose 5% 182
Incompatibilité non précisée Incompatible
injectable Amikacin sulfate
injectable Heparin sodium
3549
Incompatibilité non précisée Incompatible
injectable Amikacin sulfate
injectable Heparin sodium
3540
Précipitation immédiate Incompatible
injectable Amikacin sulfate
injectable Heparin sodium
1022
Compatible
injectable Amikacin sulfate 5 mg/ml
injectable Hetastarch 60 mg/ml
Solvant spécifique 1721
Précipitation immédiate Incompatible
injectable Amikacin sulfate 5 mg/ml
injectable Hetastarch 60 mg/ml
Chlorure de sodium 0,9% 472
Compatible
injectable Amikacin sulfate 5 mg/ml
injectable Hydromorphone hydrochloride 0.2 mg/ml
Glucose 5% 405
Turbidité immédiate Incompatible
injectable Amikacin sulfate 50 mg/ml
injectable Ibuprofen lysinate 10 mg/ml
Eau pour préparation injectable 4419
Turbidité immédiate Incompatible
injectable Amikacin sulfate 250 mg/ml
injectable Ibuprofen lysinate 10 mg/ml
Eau pour préparation injectable 4419
Compatible
injectable Amikacin sulfate 5 mg/ml
injectable Idarubicin hydrochloride 1 mg/ml
Chlorure de sodium 0,9% 491
Instabilité chimique Incompatible
injectable Amikacin sulfate
injectable Imipenem - cilastatin sodium
3549
Compatible
injectable Amikacin sulfate 5 mg/ml
injectable Isavuconazonium sulfate 1.5 mg/ml
Glucose 5% 3829
Compatible
injectable Amikacin sulfate 5 mg/ml
injectable Isavuconazonium sulfate 1.5 mg/ml
Chlorure de sodium 0,9% 3829
Compatible
injectable Amikacin sulfate 250 mg/ml
injectable Ketamine hydrochloride 50 mg/ml
2109
Compatible
injectable Amikacin sulfate 5 mg/ml
injectable Labetalol hydrochloride 1 mg/ml
Glucose 5% 386
Compatible
injectable Amikacin sulfate 5 mg/ml
injectable Lansoprazole 0.55 mg/ml
Chlorure de sodium 0,9% 1625
Compatible
injectable Amikacin sulfate 50 mg/ml
injectable Levofloxacine 5 mg/ml
Glucose 5% 1072
Compatible
injectable Amikacin sulfate 5 mg/ml
injectable Linezolid 2 mg/ml
Aucun 1925
Compatible
injectable Amikacin sulfate 5 mg/ml
injectable Lorazepam 0.33 mg/ml
Chlorure de sodium 0,9% 186
Compatible
injectable Amikacin sulfate 5 mg/ml
injectable Magnesium sulfate 16.67 >> 100 mg/ml
Glucose 5% 1047
Compatible
injectable Amikacin sulfate 5 mg/ml
injectable Melphalan 0.1 mg/ml
Chlorure de sodium 0,9% 169
Compatible
injectable Amikacin sulfate 250 mg/ml
injectable Meropenem 50 mg/ml
4389
Compatible
injectable Amikacin sulfate 250 mg/ml
injectable Meropenem 50 mg/ml
Eau pour préparation injectable 4319
Instabilité chimique Incompatible
injectable Amikacin sulfate
injectable Meropenem
3549
Compatible
injectable Amikacin sulfate
injectable Metronidazole
3594
Compatible
injectable Amikacin sulfate 5 mg/ml
injectable Metronidazole 5 mg/ml
Aucun 1035
Compatible
injectable Amikacin sulfate 5 mg/ml
injectable Midazolam hydrochloride 5 mg/ml
Aucun 186
Compatible
injectable Amikacin sulfate 5 mg/ml
injectable Morphine sulfate 1 mg/ml
Glucose 5% 405
Compatible
injectable Amikacin sulfate 250 mg/ml
injectable N-acetylcysteine 200 mg/ml
Aucun 3766
Instabilité chimique Incompatible
injectable Amikacin sulfate
injectable Nafcillin sodium
3549
Compatible
injectable Amikacin sulfate 2,5 mg/ml
injectable Nalbuphine hydrochloride 0,05 >> 0,33 mg/ml
Chlorure de sodium 0,9% 4867
Compatible
injectable Amikacin sulfate 250 mg/ml
injectable Naloxone hydrochloride 0.4 mg/ml
Aucun 3408
Compatible
injectable Amikacin sulfate 2 mg/ml
injectable Nicardipine hydrochloride 0.1 mg/ml
Glucose 5% 1490
Compatible
injectable Amikacin sulfate 2 mg/ml
injectable Nicardipine hydrochloride 0.1 mg/ml
Chlorure de sodium 0,9% 1490
Compatible
injectable Amikacin sulfate 5 mg/ml
injectable Ondansetron hydrochloride 1 mg/ml
Chlorure de sodium 0,9% 334
Instabilité chimique Incompatible
injectable Amikacin sulfate
injectable Oxacillin sodium
3549
Compatible
injectable Amikacin sulfate 5 mg/ml
injectable Paclitaxel 1.2 mg/ml
Glucose 5% 248
Précipitation immédiate Incompatible
injectable Amikacin sulfate
injectable Pantoprazole sodium
2090
Compatible
injectable Amikacin sulfate 250 mg/ml
injectable Paracetamol 10 mg/ml
4742
Compatible
injectable Amikacin sulfate 5 mg/ml
injectable Pemetrexed disodium 20 mg/ml
Chlorure de sodium 0,9% 1953
Instabilité chimique Incompatible
injectable Amikacin sulfate
injectable Penicillin G potassium
3549
Instabilité chimique Incompatible
injectable Amikacin sulfate
injectable Penicillin G sodium
3549
Compatible
injectable Amikacin sulfate 50 mg/ml
injectable Pethidine hydrochloride 100 mg/ml
Chlorure de sodium 0,45% 132
Compatible
injectable Amikacin sulfate 5 mg/ml
injectable Pethidine hydrochloride 10 mg/ml
Glucose 5% 405
Incompatibilité non précisée Incompatible
injectable Amikacin sulfate
injectable Phenytoin sodium
3549
Compatible
injectable Amikacin sulfate 40 mg/ml
injectable Phloroglucinol 2,5 mg/ml
3791
Instabilité chimique Incompatible
injectable Amikacin sulfate
injectable Piperacillin sodium
3549
Instabilité chimique Incompatible
injectable Amikacin sulfate
injectable Piperacillin sodium / tazobactam
3549
Instabilité chimique Incompatible
injectable Amikacin sulfate
injectable Piperacillin sodium / tazobactam
3586
Compatible
injectable Amikacin sulfate
injectable Posaconazole
4380
Précipitation immédiate Incompatible
injectable Amikacin sulfate 5 mg/ml
injectable Propofol 10 mg/ml
Aucun 300
Incompatibilité non précisée Incompatible
injectable Amikacin sulfate
injectable Pyridoxine hydrochloride
3549
Compatible
injectable Amikacin sulfate 5 mg/ml
injectable Remifentanil hydrochloride 25 & 250 µg/ml
Chlorure de sodium 0,9% 59
Précipitation immédiate Incompatible
injectable Amikacin sulfate 250 mg/ml
injectable Salbutamol sulfate 1 mg/ml
Aucun 3216
Compatible
injectable Amikacin sulfate 5 mg/ml
injectable Sargramostim 10 µg/ml
Chlorure de sodium 0,9% 335
Compatible
injectable Amikacin sulfate 10 mg/ml
injectable Sulbactam/durlobactam 15/15 mg/ml
Chlorure de sodium 0,9% 4801
Compatible
injectable Amikacin sulfate 5 mg/ml
injectable Tedizolid phosphate 0.8 mg/ml
Chlorure de sodium 0,9% 3827
Incompatibilité non précisée Incompatible
injectable Amikacin sulfate
injectable Teicoplanine
3656
Compatible
injectable Amikacin sulfate
Chlorure de sodium 0,9% 5076
Incompatibilité non précisée Incompatible
injectable Amikacin sulfate 50 mg/ml
injectable Propofol
4524
Incompatibilité non précisée Incompatible
injectable Amikacin sulfate
injectable Temocilline
2296
Compatible
injectable Amikacin sulfate 15 mg/ml
injectable Temocilline 83.33 mg/ml
Eau pour préparation injectable 2231
Instabilité chimique Incompatible
injectable Amikacin sulfate
injectable Temocilline
3549
Compatible
injectable Amikacin sulfate 5 mg/ml
injectable Teniposide 0.1 mg/ml
Glucose 5% 905
Incompatibilité non précisée Incompatible
injectable Amikacin sulfate
injectable Thiamine hydrochloride
3549
Précipitation immédiate Incompatible
injectable Amikacin sulfate 250 mg/ml
injectable Thiopental sodium 25 mg/ml
Chlorure de sodium 0,9% 3767
Incompatibilité non précisée Incompatible
injectable Amikacin sulfate
injectable Thiopental sodium
3549
Compatible
injectable Amikacin sulfate 5 mg/ml
injectable Thiotepa 1 mg/ml
Glucose 5% 249
Instabilité chimique Incompatible
injectable Amikacin sulfate
injectable Ticarcillin / clavulanic acid
3587
Instabilité chimique Incompatible
injectable Amikacin sulfate
injectable Ticarcillin / clavulanic acid
3549
Compatible
injectable Amikacin sulfate
injectable Tigecycline
Chlorure de sodium 0,9% 3332
Compatible
injectable Amikacin sulfate 15 mg/ml
injectable Vancomycin hydrochloride 10 mg/ml
Glucose 5% 3385
Compatible
injectable Amikacin sulfate 2 mg/ml
injectable Verapamil hydrochloride 0.08 mg/ml
Chlorure de sodium 0,9% 1057
Compatible
injectable Amikacin sulfate 2 mg/ml
injectable Verapamil hydrochloride 0.08 mg/ml
Glucose 5% 1057
Turbidité immédiate Incompatible
injectable Amikacin sulfate 5 mg/ml
injectable Vinorelbine tartrate 1 mg/ml
Chlorure de sodium 0,9% 84
Compatible
injectable Amikacin sulfate 5 mg/ml
injectable Warfarin sodium 0.1 & 2 mg/ml
Glucose 5% 552
Compatible
injectable Amikacin sulfate 5 mg/ml
injectable Warfarin sodium 0.1 & 2 mg/ml
Chlorure de sodium 0,9% 552
Compatible
injectable Amikacin sulfate 4 mg/ml
injectable Zidovudine 4 mg/ml
Glucose 5% 337

  Mentions Légales