Last update :
18/03/2026
Antibiotic   Amikacin sulfate  
injection
Stability in solutions Stability of mixtures Factors which affect stability Compatibility Route of administration References pdf
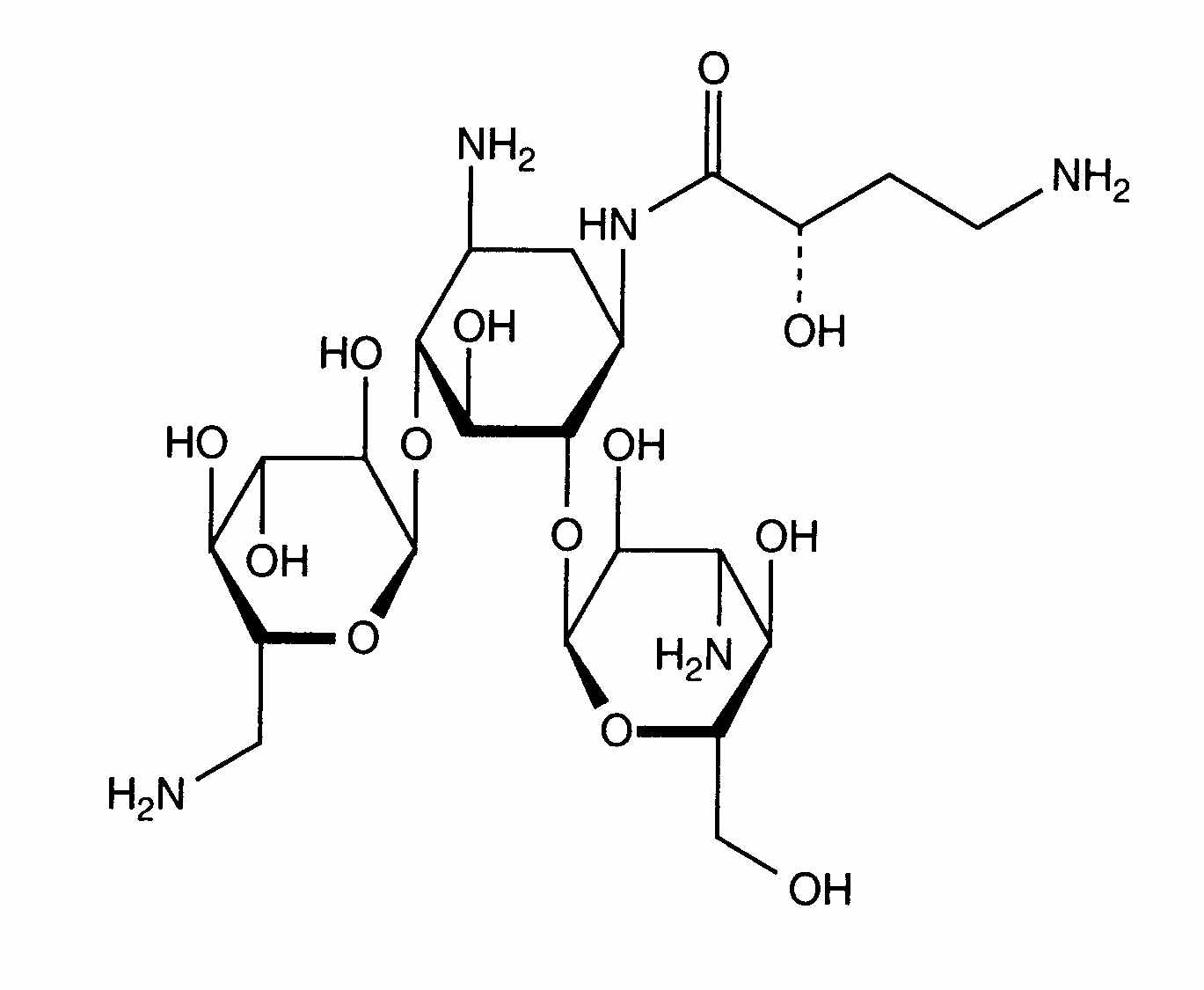
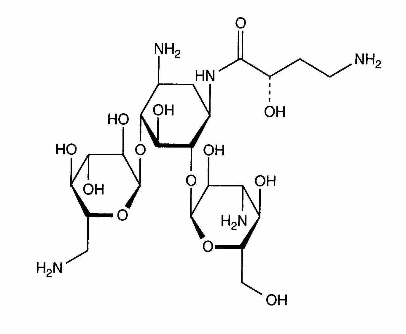
   Chemical structure  

Tradename   Tradename     

Trade names are indicative and excipients composition can be different depending on the country and manufacturers

Adnet India
Agnicin Mexico
Akamin Ecuador
Akim Ecuador
Amicacil Brazil
Amicilon Brazil
Amicin Malaysia
Amicip Venezuela
Amijeksin Turkey
Amikabiot Ecuador, Peru
Amikacin Canada, Egypt, Germany, Great Britain, Iran, Malaysia, New Zealand, Saudi Arabia, United States of America
Amikacina Argentina, Chile, Colombia, Ecuador, Italy, Mexico, Peru, Spain, Venezuela
Amikacine Belgium, France, Morocco, Netherlands
Amikafur Mexico
Amikagram Peru
Amikalem Mexico
Amikamed Peru
Amikamek Peru
Amikan Italy
Amikavax Venezuela
Amikaver Turkey
Amikayect Mexico
Amikem Peru
Amiketem Turkey
Amikin Australia, Brazil, Colombia, Ecuador, Egypt, Great Britain, Hungary, Ireland, Mexico, Peru, Poland, Saudi Arabia, Switzerland, Tunisia, United States of America
Amiklin France, Turkey
Amikosit Romania, Tunisia, Turkey
Amikram Peru
Amukin Belgium, Luxembourg, Netherlands
Apalin Malaysia
Baxi K Chile, Mexico
Behcacin India, Venezuela
Belka India
Biclin Austria, Finland, Germany, Mexico, Portugal, Spain, Sweden
Biodacyna Poland
Biokacin Mexico
Briklin Greece
Cadicin India
Chemacin Italy
Cikabit India
Cinamica India
Cinas India
Consumonit Greece
Domak India
Doxocar Argentina
Elcin India
Elmik India
Emcin India
Emica India
Farcyclin Greece
Flexelite Greece
Greini Argentina
Ipacin Iran
Itukacin Peru
Kancin Greece
Lanomycin Greece
Lukadin Italy
Masmika India
Mediamik Italy
Micalpha Greece
Micigen Mexico
Migracin Italy
Mikacin Saudi Arabia
Nekacin Italy
Novamin Brazil
Orlobin Greece
Remikin Greece
Rovericlin Greece
Uzix Greece
Compatibility   injection   Compatibility : Amikacin sulfate              
This screen indicates the compatibilities or incompatibilities with, in this case, the type of incompatibility (precipitation, color change, modification of an emulsion, etc.). The compatibilities shown here are mostly physical only, with the chemical stability of each molecule rarely being assessed. The evaluation of these mixtures was studied to consider the possibility of Y-site administration to the patient. These data cannot be used for making mixtures in advance in bags or syringes. This type of information is available in the screen "Stability in mixture ».
Compound Solvent References
Compatible
injection Amikacin sulfate 5 mg/ml
injection Aciclovir sodium 5 mg/ml
Glucose 5% 336
Precipitation after 1 hour Incompatible
injection Amikacin sulfate 5 mg/ml
injection Allopurinol sodium 3 mg/ml
Sodium chloride 0,9% 307
Compatible
injection Amikacin sulfate 5 mg/ml
injection Amifostine 10 mg/ml
Glucose 5% 3
Compatible
injection Amikacin sulfate 5 mg/ml
injection Amiodarone hydrochloride 4 mg/ml
Sodium chloride 0,9% 385
Compatible
injection Amikacin sulfate 5 mg/ml
injection Amiodarone hydrochloride 4 mg/ml
Glucose 5% 385
Chemical instability Incompatible
injection Amikacin sulfate
injection Amoxicillin sodium
3527
Chemical instability Incompatible
injection Amikacin sulfate
injection Amoxicillin sodium
3549
Compatible
injection Amikacin sulfate 250 mg/ml
injection Amoxicillin sodium / clavulanic acid 100/10 mg/ml
3824
Chemical instability Incompatible
injection Amikacin sulfate
injection Amoxicillin sodium / clavulanic acid
3549
Unspecified incompatibility Incompatible
injection Amikacin sulfate
injection Amoxicillin sodium / clavulanic acid
3545
Unspecified incompatibility Incompatible
injection Amikacin sulfate
injection Amphotericin B
3549
Immediate precipitation Incompatible
injection Amikacin sulfate 5 mg/ml
injection Amphotericin B cholesteryl sulfate complex 0.83 mg/ml
Glucose 5% 921
Chemical instability Incompatible
injection Amikacin sulfate
injection Ampicillin sodium
3549
Chemical instability Incompatible
injection Amikacin sulfate
injection Ampicillin sodium - sulbactam sodium
3549
Compatible
injection Amikacin sulfate 5 mg/ml
injection Amsacrine 1 mg/ml
Glucose 5% 253
Compatible
injection Amikacin sulfate 5 mg/ml
injection Anidulafungin 0.5 mg/ml
Glucose 5% 1982
Unspecified incompatibility Incompatible
injection Amikacin sulfate
injection Ascorbic acid
3549
Immediate precipitation Incompatible
injection Amikacin sulfate 100 mg/ml
injection Azithromycine 2 mg/ml
Sodium chloride 0,9% 1800
Chemical instability Incompatible
injection Amikacin sulfate
injection Aztreonam
3549
Compatible
injection Amikacin sulfate 5 mg/ml
injection Aztreonam 40 mg/ml
Glucose 5% 99
Compatible
injection Amikacin sulfate 5 mg/ml
injection Bivalirudin 5 mg/ml
Glucose 5% 1713
Compatible
injection Amikacin sulfate 250 mg/ml
injection Caffeine 10 mg/ml
None 3964
Incompatible
injection Amikacin sulfate
injection Calcium gluconate
4964
Unspecified incompatibility Incompatible
injection Amikacin sulfate
injection Calcium gluconate
3644
Compatible
injection Amikacin sulfate 5 mg/ml
injection Caspofungin acetate 0,7 mg/ml
Sodium chloride 0,9% 2247
Chemical instability Incompatible
injection Amikacin sulfate
injection Cefalotin sodium
3549
Chemical instability Incompatible
injection Amikacin sulfate
injection Cefamandole nafate
3549
Unspecified incompatibility Incompatible
injection Amikacin sulfate
injection Cefamandole nafate
3546
Chemical instability Incompatible
injection Amikacin sulfate
injection Cefazolin sodium
3549
Compatible
injection Amikacin sulfate 6 mg/ml
injection Cefepime dihydrochloride 40 mg/ml
Sodium chloride 0,9% 3548
Compatible
injection Amikacin sulfate 6 mg/ml
injection Cefepime dihydrochloride 40 mg/ml
Glucose 5% 3548
Compatible
injection Amikacin sulfate 15 mg/ml
injection Cefepime dihydrochloride 125 mg/ml
Water for Injection 2141
Chemical instability Incompatible
injection Amikacin sulfate
injection Cefepime dihydrochloride
3549
Compatible
injection Amikacin sulfate 5 mg/ml
injection Cefiderocol sulfate tosylate 20 mg/mL
Glucose 5% 4528
Chemical instability Incompatible
injection Amikacin sulfate
injection Cefmenoxime
3549
Chemical instability Incompatible
injection Amikacin sulfate
injection Cefmetazole sodium
3549
Chemical instability Incompatible
injection Amikacin sulfate
injection Cefonicid sodium
3549
Chemical instability Incompatible
injection Amikacin sulfate
injection Cefoperazone sodium
3549
Unspecified incompatibility Incompatible
injection Amikacin sulfate
injection Cefoperazone sodium
3544
Chemical instability Incompatible
injection Amikacin sulfate
injection Ceforanide
3549
Chemical instability Incompatible
injection Amikacin sulfate
injection Cefotaxime sodium
3549
Chemical instability Incompatible
injection Amikacin sulfate
injection Cefoxitin sodium
3549
Unspecified incompatibility Incompatible
injection Amikacin sulfate
injection Cefpirome sulfate
3677
Compatible
injection Amikacin sulfate 5 mg/ml
injection Cefpirome sulfate 50 mg/ml
Sodium chloride 0,45% 280
Compatible
injection Amikacin sulfate 5 mg/ml
injection Cefpirome sulfate 50 mg/ml
Glucose 5% 280
Compatible
injection Amikacin sulfate 5 mg/ml
injection Cefpirome sulfate 50 mg/ml
Sodium chloride 0,9% 280
Compatible
injection Amikacin sulfate 5 mg/ml
injection Cefpirome sulfate 50 mg/ml
Ringer’s lactate solution 280
Chemical instability Incompatible
injection Amikacin sulfate
injection Cefpirome sulfate
3549
Compatible
injection Amikacin sulfate 5 mg/ml
injection Ceftaroline fosamil 2,22 mg/ml
Ringer’s lactate solution 3249
Compatible
injection Amikacin sulfate 5 mg/ml
injection Ceftaroline fosamil 2,22 mg/ml
Glucose 5% 3249
Compatible
injection Amikacin sulfate 5 mg/ml
injection Ceftaroline fosamil 2,22 mg/ml
Sodium chloride 0,9% 3249
Unspecified incompatibility Incompatible
injection Amikacin sulfate
injection Ceftazidime
3883
Unspecified incompatibility Incompatible
injection Amikacin sulfate
injection Ceftazidime
3543
Compatible
injection Amikacin sulfate 15 mg/ml
injection Ceftazidime 83.3 mg/ml
1759
Chemical instability Incompatible
injection Amikacin sulfate
injection Ceftazidime Avibactam
3549
Immediate precipitation Incompatible
injection Amikacin sulfate 5 mg/ml
injection Ceftobiprole medocaril sodium 2 mg/ml
Sodium chloride 0,9% 2269
Unspecified incompatibility Incompatible
injection Amikacin sulfate
injection Ceftobiprole medocaril sodium
4650
Compatible
injection Amikacin sulfate
Glucose 5% 5076
Chemical instability Incompatible
injection Amikacin sulfate
injection Ceftaroline fosamil
3549
Chemical instability Incompatible
injection Amikacin sulfate
injection Ceftazidime
3549
Compatible
injection Amikacin sulfate 15 mg/ml
injection Ceftazidime 125 mg/ml
Water for Injection 2141
Chemical instability Incompatible
injection Amikacin sulfate
injection Ceftizoxime sodium
3549
Immediate precipitation Incompatible
injection Amikacin sulfate 5 mg/ml
injection Ceftobiprole medocaril sodium 2 mg/ml
Glucose 5% 2269
Chemical instability Incompatible
injection Amikacin sulfate
injection Ceftobiprole medocaril sodium
3549
Immediate precipitation Incompatible
injection Amikacin sulfate 5 mg/ml
injection Ceftobiprole medocaril sodium 2 mg/ml
Ringer’s lactate solution 2269
Compatible
injection Amikacin sulfate 5 mg/ml
injection Ceftolozane / tazobactam 10/5 mg/ml
Glucose 5% 3828
Compatible
injection Amikacin sulfate 5 mg/ml
injection Ceftolozane / tazobactam 10/5 mg/ml
Sodium chloride 0,9% 3828
Chemical instability Incompatible
injection Amikacin sulfate
injection Ceftolozane / tazobactam
3549
Unspecified incompatibility Incompatible
injection Amikacin sulfate
injection Ceftriaxone disodium
3523
Chemical instability Incompatible
injection Amikacin sulfate
injection Ceftriaxone disodium
3549
Chemical instability Incompatible
injection Amikacin sulfate
injection Cefuroxime sodium
3549
Unspecified incompatibility Incompatible
injection Amikacin sulfate
injection Cefuroxime sodium
3687
Chemical instability Incompatible
injection Amikacin sulfate
injection Cefuzonam
3549
Unspecified incompatibility Incompatible
injection Amikacin sulfate
injection Chlorothiazide sodium
3549
Compatible
injection Amikacin sulfate 2.5 mg/ml
injection Cimetidine hydrochloride 1.5 mg/ml
Glucose 5% 1201
Chemical instability Incompatible
injection Amikacin sulfate 4 mg/ml
injection Ciprofloxacin lactate 1.5 mg/ml
Sodium chloride 0,9% 434
Chemical instability Incompatible
injection Amikacin sulfate 4 mg/ml
injection Ciprofloxacin lactate 1.5 mg/ml
Glucose 5% 434
Compatible
injection Amikacin sulfate 5 mg/ml
injection Cisatracurium besylate 0.1 >> 5 mg/ml
Glucose 5% 299
Compatible
injection Amikacin sulfate 4 mg/ml
injection Clindamycin phosphate 9 mg/ml
Sodium chloride 0,9% 565
Compatible
injection Amikacin sulfate 250 mg/ml
Parenteral nutrition (binary mixture) 999
Compatible
injection Amikacin sulfate 5 mg/ml
injection Ciprofloxacin lactate 2 mg/ml
Glucose 5% 285
Chemical instability Incompatible
injection Amikacin sulfate
injection Cisplatin
3578
Compatible
injection Amikacin sulfate 75 mg/ml
injection Clindamycin phosphate 90 mg/ml
Sodium chloride 0,9% 639
Compatible
injection Amikacin sulfate
injection Clindamycin phosphate
Sodium chloride 0,9% 3526
Subvisual incompatibility Incompatible
injection Amikacin sulfate 250 mg/ml
injection Cloxacillin sodium 100 mg/ml
Water for Injection 3012
Unspecified incompatibility Incompatible
injection Amikacin sulfate
injection Daunorubicin/cytarabine liposomale
4354
Compatible
injection Amikacin sulfate 5 mg/ml
Parenteral nutrition (binary mixture) 316
Compatible
injection Amikacin sulfate 4 mg/ml
injection Clindamycin phosphate 9 mg/ml
Glucose 5% 565
Compatible
injection Amikacin sulfate
injection Clindamycin phosphate
Glucose 5% 3526
Chemical instability Incompatible
injection Amikacin sulfate
injection Cloxacillin sodium
3549
Unspecified incompatibility Incompatible
injection Amikacin sulfate
injection Cyanocobalamine
3549
Immediate turbidity Incompatible
injection Amikacin sulfate
injection Daunorubicin/cytarabine liposomale 0,4 mg/mL
Sodium chloride 0,9% 4654
Immediate precipitation Incompatible
injection Amikacin sulfate 5 mg/ml
injection Defibrotide 8 mg/ml
Sodium chloride 0,9% 3728
Compatible
injection Amikacin sulfate 50 mg/ml
injection Dexamethasone sodium phosphate 4 mg/ml
Sodium chloride 0,45% 132
Unspecified incompatibility Incompatible
injection Amikacin sulfate
injection Erythromycin lactobionate
3549
Compatible
injection Amikacin sulfate 5 mg/ml
Parenteral nutrition (binary mixture) 301
Compatible
injection Amikacin sulfate 5 mg/ml
injection Dexmedetomidine 4 µg/ml
Sodium chloride 0,9% 1712
Compatible
injection Amikacin sulfate 5 & 250 mg/ml
injection Diltiazem hydrochloride 5 mg/ml
Sodium chloride 0,9% 198
Compatible
injection Amikacin sulfate 5 mg/ml
injection Docetaxel 0.9 mg/ml
Glucose 5% 1754
Compatible
injection Amikacin sulfate 5 mg/ml
injection Doripenem 5 mg/ml
Sodium chloride 0,9% 2262
Compatible
injection Amikacin sulfate 5 mg/ml
injection Doripenem 5 mg/ml
Glucose 5% 2262
Chemical instability Incompatible
injection Amikacin sulfate
injection Doripenem
3549
Compatible
injection Amikacin sulfate 2 mg/ml
injection Enalaprilate 0.05 mg/ml
Sodium chloride 0,9% 1315
Chemical instability Incompatible
injection Amikacin sulfate
injection Ertapenem
3549
Unspecified incompatibility Incompatible
injection Amikacin sulfate
injection Erythromycin lactobionate
3674
Compatible
injection Amikacin sulfate 5 mg/ml
injection Esmolol hydrochloride 10 mg/ml
Glucose 5% 384
Compatible
injection Amikacin sulfate 5 mg/ml
injection Etoposide phosphate 5 mg/ml
Glucose 5% 1410
Compatible
injection Amikacin sulfate 5 mg/ml
injection Fenoldopam mesylate 80 µg/ml
Sodium chloride 0,9% 1803
Compatible
injection Amikacin sulfate 5 mg/ml
injection Filgrastim 30 µg/ml
Glucose 5% 244
Compatible
injection Amikacin sulfate 0.487 >> 0.667 mg/ml
Parenteral nutrition (with lipids) 1868
Compatible
injection Amikacin sulfate 250 mg/ml
Ringer’s lactate solution 4603
Instability of the emulsion after 1 hour Incompatible
injection Amikacin sulfate 250 mg/ml
Parenteral nutrition (with lipids) 673
Compatible
injection Amikacin sulfate 5 mg/ml
injection Filgrastim 40 µg/ml
Glucose 5% 104
Immediate instability of the emulsion Incompatible
injection Amikacin sulfate 50 mg/ml
Parenteral nutrition (with lipids) 132
Compatible
injection Amikacin sulfate 5 mg/ml
Parenteral nutrition (with lipids) 1415
Immediate precipitation Incompatible
injection Amikacin sulfate
injection Flucloxacillin sodium
3522
Compatible
injection Amikacin sulfate 20 mg/ml
injection Fluconazole 2 mg/ml
Sodium chloride 0,9% 496
Compatible
injection Amikacin sulfate 5 mg/ml
injection Fluconazole 2 mg/ml
None 256
Compatible
injection Amikacin sulfate 5 mg/ml
injection Fludarabine phosphate 1 mg/ml
Glucose 5% 492
Compatible
injection Amikacin sulfate 20 mg/ml
injection Foscarnet sodium 24 mg/ml
None 73
Compatible
injection Amikacin sulfate 5 mg/ml
injection Fosfomycin 30 mg/ml
Sodium chloride 0,9% 4055
Compatible
injection Amikacin sulfate 5 mg/ml
injection Fosfomycin 30 mg/ml
Glucose 5% 4055
Immediate precipitation Incompatible
injection Amikacin sulfate 2 mg/ml
injection Furosemide 0,16 mg/ml
Sodium chloride 0,9% 367
Immediate precipitation Incompatible
injection Amikacin sulfate 2 mg/ml
injection Furosemide 0,16 mg/ml
Glucose 5% 367
Compatible
injection Amikacin sulfate 5 mg/ml
injection Gemcitabine hydrochloride 10 mg/ml
Sodium chloride 0,9% 1423
Compatible
injection Amikacin sulfate 5 mg/ml
injection Granisetron hydrochloride 0.05 mg/ml
Glucose 5% 182
Unspecified incompatibility Incompatible
injection Amikacin sulfate
injection Heparin sodium
3549
Unspecified incompatibility Incompatible
injection Amikacin sulfate
injection Heparin sodium
3540
Immediate precipitation Incompatible
injection Amikacin sulfate
injection Heparin sodium
1022
Compatible
injection Amikacin sulfate 5 mg/ml
injection Hetastarch 60 mg/ml
specific solvent 1721
Immediate precipitation Incompatible
injection Amikacin sulfate 5 mg/ml
injection Hetastarch 60 mg/ml
Sodium chloride 0,9% 472
Compatible
injection Amikacin sulfate 5 mg/ml
injection Hydromorphone hydrochloride 0.2 mg/ml
Glucose 5% 405
Immediate turbidity Incompatible
injection Amikacin sulfate 50 mg/ml
injection Ibuprofen lysinate 10 mg/ml
Water for Injection 4419
Immediate turbidity Incompatible
injection Amikacin sulfate 250 mg/ml
injection Ibuprofen lysinate 10 mg/ml
Water for Injection 4419
Compatible
injection Amikacin sulfate 5 mg/ml
injection Idarubicin hydrochloride 1 mg/ml
Sodium chloride 0,9% 491
Chemical instability Incompatible
injection Amikacin sulfate
injection Imipenem - cilastatin sodium
3549
Compatible
injection Amikacin sulfate 5 mg/ml
injection Isavuconazonium sulfate 1.5 mg/ml
Glucose 5% 3829
Compatible
injection Amikacin sulfate 5 mg/ml
injection Isavuconazonium sulfate 1.5 mg/ml
Sodium chloride 0,9% 3829
Compatible
injection Amikacin sulfate 250 mg/ml
injection Ketamine hydrochloride 50 mg/ml
2109
Compatible
injection Amikacin sulfate 5 mg/ml
injection Labetalol hydrochloride 1 mg/ml
Glucose 5% 386
Compatible
injection Amikacin sulfate 5 mg/ml
injection Lansoprazole 0.55 mg/ml
Sodium chloride 0,9% 1625
Compatible
injection Amikacin sulfate 50 mg/ml
injection Levofloxacine 5 mg/ml
Glucose 5% 1072
Compatible
injection Amikacin sulfate 5 mg/ml
injection Linezolid 2 mg/ml
None 1925
Compatible
injection Amikacin sulfate 5 mg/ml
injection Lorazepam 0.33 mg/ml
Sodium chloride 0,9% 186
Compatible
injection Amikacin sulfate 5 mg/ml
injection Magnesium sulfate 16.67 >> 100 mg/ml
Glucose 5% 1047
Compatible
injection Amikacin sulfate 5 mg/ml
injection Melphalan 0.1 mg/ml
Sodium chloride 0,9% 169
Compatible
injection Amikacin sulfate 250 mg/ml
injection Meropenem 50 mg/ml
4389
Compatible
injection Amikacin sulfate 250 mg/ml
injection Meropenem 50 mg/ml
Water for Injection 4319
Chemical instability Incompatible
injection Amikacin sulfate
injection Meropenem
3549
Compatible
injection Amikacin sulfate
injection Metronidazole
3594
Compatible
injection Amikacin sulfate 5 mg/ml
injection Metronidazole 5 mg/ml
None 1035
Compatible
injection Amikacin sulfate 5 mg/ml
injection Midazolam hydrochloride 5 mg/ml
None 186
Compatible
injection Amikacin sulfate 5 mg/ml
injection Morphine sulfate 1 mg/ml
Glucose 5% 405
Compatible
injection Amikacin sulfate 250 mg/ml
injection N-acetylcysteine 200 mg/ml
None 3766
Chemical instability Incompatible
injection Amikacin sulfate
injection Nafcillin sodium
3549
Compatible
injection Amikacin sulfate 2,5 mg/ml
injection Nalbuphine hydrochloride 0,05 >> 0,33 mg/ml
Sodium chloride 0,9% 4867
Compatible
injection Amikacin sulfate 250 mg/ml
injection Naloxone hydrochloride 0.4 mg/ml
None 3408
Compatible
injection Amikacin sulfate 2 mg/ml
injection Nicardipine hydrochloride 0.1 mg/ml
Glucose 5% 1490
Compatible
injection Amikacin sulfate 2 mg/ml
injection Nicardipine hydrochloride 0.1 mg/ml
Sodium chloride 0,9% 1490
Compatible
injection Amikacin sulfate 5 mg/ml
injection Ondansetron hydrochloride 1 mg/ml
Sodium chloride 0,9% 334
Chemical instability Incompatible
injection Amikacin sulfate
injection Oxacillin sodium
3549
Compatible
injection Amikacin sulfate 5 mg/ml
injection Paclitaxel 1.2 mg/ml
Glucose 5% 248
Immediate precipitation Incompatible
injection Amikacin sulfate
injection Pantoprazole sodium
2090
Compatible
injection Amikacin sulfate 250 mg/ml
injection Paracetamol 10 mg/ml
4742
Compatible
injection Amikacin sulfate 5 mg/ml
injection Pemetrexed disodium 20 mg/ml
Sodium chloride 0,9% 1953
Chemical instability Incompatible
injection Amikacin sulfate
injection Penicillin G potassium
3549
Chemical instability Incompatible
injection Amikacin sulfate
injection Penicillin G sodium
3549
Compatible
injection Amikacin sulfate 50 mg/ml
injection Pethidine hydrochloride 100 mg/ml
Sodium chloride 0,45% 132
Compatible
injection Amikacin sulfate 5 mg/ml
injection Pethidine hydrochloride 10 mg/ml
Glucose 5% 405
Unspecified incompatibility Incompatible
injection Amikacin sulfate
injection Phenytoin sodium
3549
Compatible
injection Amikacin sulfate 40 mg/ml
injection Phloroglucinol 2,5 mg/ml
3791
Chemical instability Incompatible
injection Amikacin sulfate
injection Piperacillin sodium
3549
Chemical instability Incompatible
injection Amikacin sulfate
injection Piperacillin sodium / tazobactam
3549
Chemical instability Incompatible
injection Amikacin sulfate
injection Piperacillin sodium / tazobactam
3586
Compatible
injection Amikacin sulfate
injection Posaconazole
4380
Immediate precipitation Incompatible
injection Amikacin sulfate 5 mg/ml
injection Propofol 10 mg/ml
None 300
Unspecified incompatibility Incompatible
injection Amikacin sulfate
injection Pyridoxine hydrochloride
3549
Compatible
injection Amikacin sulfate 5 mg/ml
injection Remifentanil hydrochloride 25 & 250 µg/ml
Sodium chloride 0,9% 59
Immediate precipitation Incompatible
injection Amikacin sulfate 250 mg/ml
injection Salbutamol sulfate 1 mg/ml
None 3216
Compatible
injection Amikacin sulfate 5 mg/ml
injection Sargramostim 10 µg/ml
Sodium chloride 0,9% 335
Compatible
injection Amikacin sulfate 10 mg/ml
injection Sulbactam/durlobactam 15/15 mg/ml
Sodium chloride 0,9% 4801
Compatible
injection Amikacin sulfate 5 mg/ml
injection Tedizolid phosphate 0.8 mg/ml
Sodium chloride 0,9% 3827
Unspecified incompatibility Incompatible
injection Amikacin sulfate
injection Teicoplanine
3656
Compatible
injection Amikacin sulfate
Sodium chloride 0,9% 5076
Unspecified incompatibility Incompatible
injection Amikacin sulfate 50 mg/ml
injection Propofol
4524
Unspecified incompatibility Incompatible
injection Amikacin sulfate
injection Temocilline
2296
Compatible
injection Amikacin sulfate 15 mg/ml
injection Temocilline 83.33 mg/ml
Water for Injection 2231
Chemical instability Incompatible
injection Amikacin sulfate
injection Temocilline
3549
Compatible
injection Amikacin sulfate 5 mg/ml
injection Teniposide 0.1 mg/ml
Glucose 5% 905
Unspecified incompatibility Incompatible
injection Amikacin sulfate
injection Thiamine hydrochloride
3549
Immediate precipitation Incompatible
injection Amikacin sulfate 250 mg/ml
injection Thiopental sodium 25 mg/ml
Sodium chloride 0,9% 3767
Unspecified incompatibility Incompatible
injection Amikacin sulfate
injection Thiopental sodium
3549
Compatible
injection Amikacin sulfate 5 mg/ml
injection Thiotepa 1 mg/ml
Glucose 5% 249
Chemical instability Incompatible
injection Amikacin sulfate
injection Ticarcillin / clavulanic acid
3587
Chemical instability Incompatible
injection Amikacin sulfate
injection Ticarcillin / clavulanic acid
3549
Compatible
injection Amikacin sulfate
injection Tigecycline
Sodium chloride 0,9% 3332
Compatible
injection Amikacin sulfate 15 mg/ml
injection Vancomycin hydrochloride 10 mg/ml
Glucose 5% 3385
Compatible
injection Amikacin sulfate 2 mg/ml
injection Verapamil hydrochloride 0.08 mg/ml
Sodium chloride 0,9% 1057
Compatible
injection Amikacin sulfate 2 mg/ml
injection Verapamil hydrochloride 0.08 mg/ml
Glucose 5% 1057
Immediate turbidity Incompatible
injection Amikacin sulfate 5 mg/ml
injection Vinorelbine tartrate 1 mg/ml
Sodium chloride 0,9% 84
Compatible
injection Amikacin sulfate 5 mg/ml
injection Warfarin sodium 0.1 & 2 mg/ml
Glucose 5% 552
Compatible
injection Amikacin sulfate 5 mg/ml
injection Warfarin sodium 0.1 & 2 mg/ml
Sodium chloride 0,9% 552
Compatible
injection Amikacin sulfate 4 mg/ml
injection Zidovudine 4 mg/ml
Glucose 5% 337

  Mentions Légales