Zadnji put ažurirano :
12/12/2025
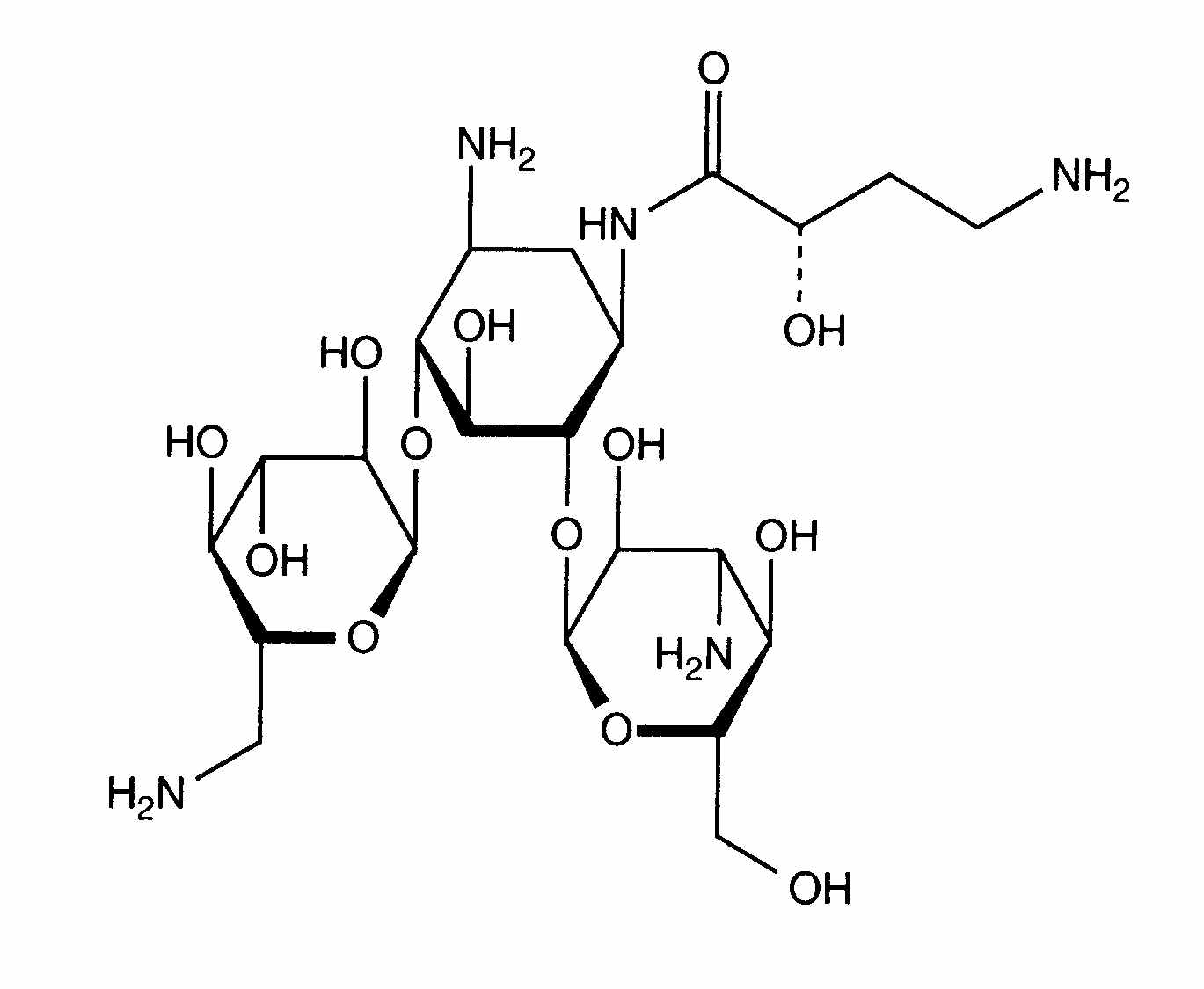
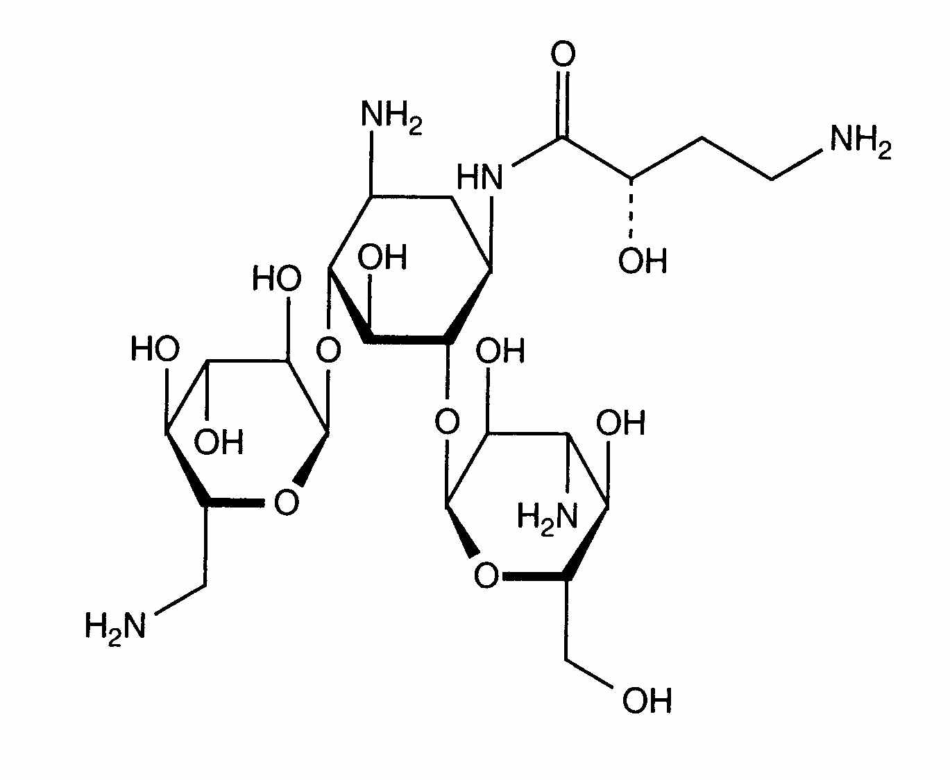
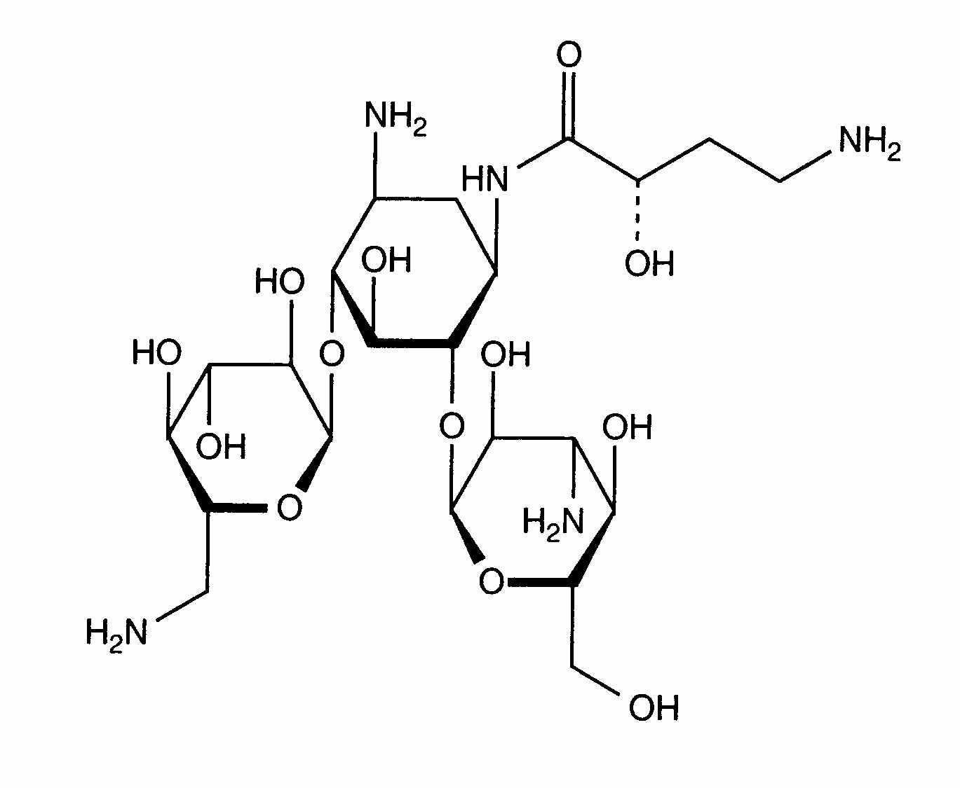
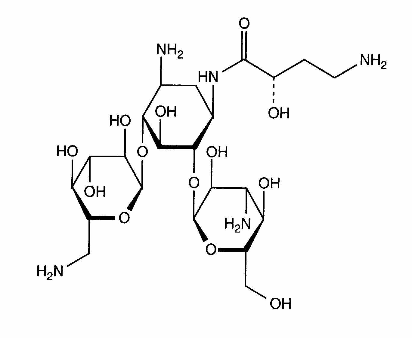
antibiotik   Amikacin sulfate  
injekcija
Stabilizacija rješenja Stabilnost mješavine Stabilizacijski faktor Kompatibilnosti način davanja lijeka Bibliografija pdf
   Kemijska struktura  

Nekomercijalni   Nekomercijalni     

Zaštićeni nazivi su indikativni i sastav ekscipijensa može biti različit ovisno o državi i laboratorijima

Adnet Indija
Agnicin Meksiko
Akamin Ekvador
Akim Ekvador
Amicacil Brazil
Amicilon Brazil
Amicin Malezija
Amicip Venecuela
Amijeksin Turska
Amikabiot Ekvador, Peru
Amikacin Egipat, Iran, Kanada, Malezija, Njemačka, novi Zeland, S A D, Saudijska Arabija, Velika Britanija
Amikacina Argentina, Čile, Ekvador, Italija, Kolumbija, Meksiko, Peru, Španjolska, Venecuela
Amikacine Belgija, Francuska, Maroko, Nizozemska
Amikafur Meksiko
Amikagram Peru
Amikalem Meksiko
Amikamed Peru
Amikamek Peru
Amikan Italija
Amikavax Venecuela
Amikaver Turska
Amikayect Meksiko
Amikem Peru
Amiketem Turska
Amikin Australija, Brazil, Egipat, Ekvador, Irska, Kolumbija, Madžarska, Meksiko, Peru, Poljska, S A D, Saudijska Arabija, Švicarska, Tunis, Velika Britanija
Amiklin Francuska, Turska
Amikosit Rumunjska, Tunis, Turska
Amikram Peru
Amukin Belgija, Luksemburg, Nizozemska
Apalin Malezija
Baxi K Čile, Meksiko
Behcacin Indija, Venecuela
Belka Indija
Biclin Austrija, Finska, Meksiko, Njemačka, Portugal, Španjolska, Švedska
Biodacyna Poljska
Biokacin Meksiko
Briklin Grčka
Cadicin Indija
Chemacin Italija
Cikabit Indija
Cinamica Indija
Cinas Indija
Consumonit Grčka
Domak Indija
Doxocar Argentina
Elcin Indija
Elmik Indija
Emcin Indija
Emica Indija
Farcyclin Grčka
Flexelite Grčka
Greini Argentina
Ipacin Iran
Itukacin Peru
Kancin Grčka
Lanomycin Grčka
Lukadin Italija
Masmika Indija
Mediamik Italija
Micalpha Grčka
Micigen Meksiko
Migracin Italija
Mikacin Saudijska Arabija
Nekacin Italija
Novamin Brazil
Orlobin Grčka
Remikin Grčka
Rovericlin Grčka
Uzix Grčka
Kompatibilnosti   injekcija   Kompatibilnosti : Amikacin sulfate              
Ovdje su prikazane kompatibilnosti ili nekompatibilnosti s tipom nekompatibilnosti (taloženje, promjena boje, modifikacija emulzije itd.) u ovom slučaju. Kompatibilnosti prikazane ovdje najčešće su fizikalne dok se kemijska stabilnost molekule rijetko procjenjuje. Procjena ovih mikstura je proučavana kako bi se razmotrila mogućnost primjene lijeka putem Y-mjesta. Ovi se podaci ne smiju koristiti za pripremu mikstura unaprijed u vrećicama ili štrcaljkama. Ova vrsta informacije se može pronaći u odjeljku « stabilnost u miksturama ».
molekula sredstvo za rastapanje Bibliografija
Kompatibilan
injekcija Amikacin sulfate 5 mg/ml
injekcija Aciclovir sodium 5 mg/ml
glukoza 5% 336
Padavine nakon 1 sata inkompatibilan
injekcija Amikacin sulfate 5 mg/ml
injekcija Allopurinol sodium 3 mg/ml
natrijumkorid 0,9% 307
Kompatibilan
injekcija Amikacin sulfate 5 mg/ml
injekcija Amifostine 10 mg/ml
glukoza 5% 3
Kompatibilan
injekcija Amikacin sulfate 5 mg/ml
injekcija Amiodarone hydrochloride 4 mg/ml
natrijumkorid 0,9% 385
Kompatibilan
injekcija Amikacin sulfate 5 mg/ml
injekcija Amiodarone hydrochloride 4 mg/ml
glukoza 5% 385
Kemijska nestabilnost inkompatibilan
injekcija Amikacin sulfate
injekcija Amoxicillin sodium
3527
Kemijska nestabilnost inkompatibilan
injekcija Amikacin sulfate
injekcija Amoxicillin sodium
3549
Kompatibilan
injekcija Amikacin sulfate 250 mg/ml
injekcija Amoxicillin sodium / clavulanic acid 100/10 mg/ml
3824
Kemijska nestabilnost inkompatibilan
injekcija Amikacin sulfate
injekcija Amoxicillin sodium / clavulanic acid
3549
Neodređena nespojivost inkompatibilan
injekcija Amikacin sulfate
injekcija Amoxicillin sodium / clavulanic acid
3545
Neodređena nespojivost inkompatibilan
injekcija Amikacin sulfate
injekcija Amphotericin B
3549
Neposredne oborine inkompatibilan
injekcija Amikacin sulfate 5 mg/ml
injekcija Amphotericin B cholesteryl sulfate complex 0.83 mg/ml
glukoza 5% 921
Kemijska nestabilnost inkompatibilan
injekcija Amikacin sulfate
injekcija Ampicillin sodium
3549
Kemijska nestabilnost inkompatibilan
injekcija Amikacin sulfate
injekcija Ampicillin sodium - sulbactam sodium
3549
Kompatibilan
injekcija Amikacin sulfate 5 mg/ml
injekcija Amsacrine 1 mg/ml
glukoza 5% 253
Kompatibilan
injekcija Amikacin sulfate 5 mg/ml
injekcija Anidulafungin 0.5 mg/ml
glukoza 5% 1982
Neodređena nespojivost inkompatibilan
injekcija Amikacin sulfate
injekcija Ascorbic acid
3549
Neposredne oborine inkompatibilan
injekcija Amikacin sulfate 100 mg/ml
injekcija Azithromycine 2 mg/ml
natrijumkorid 0,9% 1800
Kemijska nestabilnost inkompatibilan
injekcija Amikacin sulfate
injekcija Aztreonam
3549
Kompatibilan
injekcija Amikacin sulfate 5 mg/ml
injekcija Aztreonam 40 mg/ml
glukoza 5% 99
Kompatibilan
injekcija Amikacin sulfate 5 mg/ml
injekcija Bivalirudin 5 mg/ml
glukoza 5% 1713
Kompatibilan
injekcija Amikacin sulfate 250 mg/ml
injekcija Caffeine 10 mg/ml
nijedan 3964
inkompatibilan
injekcija Amikacin sulfate
injekcija Calcium gluconate
4964
Neodređena nespojivost inkompatibilan
injekcija Amikacin sulfate
injekcija Calcium gluconate
3644
Kompatibilan
injekcija Amikacin sulfate 5 mg/ml
injekcija Caspofungin acetate 0,7 mg/ml
natrijumkorid 0,9% 2247
Kemijska nestabilnost inkompatibilan
injekcija Amikacin sulfate
injekcija Cefalotin sodium
3549
Kemijska nestabilnost inkompatibilan
injekcija Amikacin sulfate
injekcija Cefamandole nafate
3549
Neodređena nespojivost inkompatibilan
injekcija Amikacin sulfate
injekcija Cefamandole nafate
3546
Kemijska nestabilnost inkompatibilan
injekcija Amikacin sulfate
injekcija Cefazolin sodium
3549
Kompatibilan
injekcija Amikacin sulfate 6 mg/ml
injekcija Cefepime dihydrochloride 40 mg/ml
natrijumkorid 0,9% 3548
Kompatibilan
injekcija Amikacin sulfate 6 mg/ml
injekcija Cefepime dihydrochloride 40 mg/ml
glukoza 5% 3548
Kompatibilan
injekcija Amikacin sulfate 15 mg/ml
injekcija Cefepime dihydrochloride 125 mg/ml
čista voda za injektiranje 2141
Kemijska nestabilnost inkompatibilan
injekcija Amikacin sulfate
injekcija Cefepime dihydrochloride
3549
Kompatibilan
injekcija Amikacin sulfate 5 mg/ml
injekcija Cefiderocol sulfate tosylate 20 mg/mL
glukoza 5% 4528
Kemijska nestabilnost inkompatibilan
injekcija Amikacin sulfate
injekcija Cefmenoxime
3549
Kemijska nestabilnost inkompatibilan
injekcija Amikacin sulfate
injekcija Cefmetazole sodium
3549
Kemijska nestabilnost inkompatibilan
injekcija Amikacin sulfate
injekcija Cefonicid sodium
3549
Kemijska nestabilnost inkompatibilan
injekcija Amikacin sulfate
injekcija Cefoperazone sodium
3549
Neodređena nespojivost inkompatibilan
injekcija Amikacin sulfate
injekcija Cefoperazone sodium
3544
Kemijska nestabilnost inkompatibilan
injekcija Amikacin sulfate
injekcija Ceforanide
3549
Kemijska nestabilnost inkompatibilan
injekcija Amikacin sulfate
injekcija Cefotaxime sodium
3549
Kemijska nestabilnost inkompatibilan
injekcija Amikacin sulfate
injekcija Cefoxitin sodium
3549
Neodređena nespojivost inkompatibilan
injekcija Amikacin sulfate
injekcija Cefpirome sulfate
3677
Kompatibilan
injekcija Amikacin sulfate 5 mg/ml
injekcija Cefpirome sulfate 50 mg/ml
natrijumklorid 0,45% 280
Kompatibilan
injekcija Amikacin sulfate 5 mg/ml
injekcija Cefpirome sulfate 50 mg/ml
glukoza 5% 280
Kompatibilan
injekcija Amikacin sulfate 5 mg/ml
injekcija Cefpirome sulfate 50 mg/ml
natrijumkorid 0,9% 280
Kompatibilan
injekcija Amikacin sulfate 5 mg/ml
injekcija Cefpirome sulfate 50 mg/ml
Ringer laktat 280
Kemijska nestabilnost inkompatibilan
injekcija Amikacin sulfate
injekcija Cefpirome sulfate
3549
Kompatibilan
injekcija Amikacin sulfate 5 mg/ml
injekcija Ceftaroline fosamil 2,22 mg/ml
Ringer laktat 3249
Kompatibilan
injekcija Amikacin sulfate 5 mg/ml
injekcija Ceftaroline fosamil 2,22 mg/ml
glukoza 5% 3249
Kompatibilan
injekcija Amikacin sulfate 5 mg/ml
injekcija Ceftaroline fosamil 2,22 mg/ml
natrijumkorid 0,9% 3249
Neodređena nespojivost inkompatibilan
injekcija Amikacin sulfate
injekcija Ceftazidime
3883
Neodređena nespojivost inkompatibilan
injekcija Amikacin sulfate
injekcija Ceftazidime
3543
Kompatibilan
injekcija Amikacin sulfate 15 mg/ml
injekcija Ceftazidime 83.3 mg/ml
1759
Kemijska nestabilnost inkompatibilan
injekcija Amikacin sulfate
injekcija Ceftazidime Avibactam
3549
Neposredne oborine inkompatibilan
injekcija Amikacin sulfate 5 mg/ml
injekcija Ceftobiprole medocaril sodium 2 mg/ml
natrijumkorid 0,9% 2269
Neodređena nespojivost inkompatibilan
injekcija Amikacin sulfate
injekcija Ceftobiprole medocaril sodium
4650
Kompatibilan
injekcija Amikacin sulfate
glukoza 5% 5076
Kemijska nestabilnost inkompatibilan
injekcija Amikacin sulfate
injekcija Ceftaroline fosamil
3549
Kemijska nestabilnost inkompatibilan
injekcija Amikacin sulfate
injekcija Ceftazidime
3549
Kompatibilan
injekcija Amikacin sulfate 15 mg/ml
injekcija Ceftazidime 125 mg/ml
čista voda za injektiranje 2141
Kemijska nestabilnost inkompatibilan
injekcija Amikacin sulfate
injekcija Ceftizoxime sodium
3549
Neposredne oborine inkompatibilan
injekcija Amikacin sulfate 5 mg/ml
injekcija Ceftobiprole medocaril sodium 2 mg/ml
glukoza 5% 2269
Kemijska nestabilnost inkompatibilan
injekcija Amikacin sulfate
injekcija Ceftobiprole medocaril sodium
3549
Neposredne oborine inkompatibilan
injekcija Amikacin sulfate 5 mg/ml
injekcija Ceftobiprole medocaril sodium 2 mg/ml
Ringer laktat 2269
Kompatibilan
injekcija Amikacin sulfate 5 mg/ml
injekcija Ceftolozane / tazobactam 10/5 mg/ml
glukoza 5% 3828
Kompatibilan
injekcija Amikacin sulfate 5 mg/ml
injekcija Ceftolozane / tazobactam 10/5 mg/ml
natrijumkorid 0,9% 3828
Kemijska nestabilnost inkompatibilan
injekcija Amikacin sulfate
injekcija Ceftolozane / tazobactam
3549
Neodređena nespojivost inkompatibilan
injekcija Amikacin sulfate
injekcija Ceftriaxone disodium
3523
Kemijska nestabilnost inkompatibilan
injekcija Amikacin sulfate
injekcija Ceftriaxone disodium
3549
Kemijska nestabilnost inkompatibilan
injekcija Amikacin sulfate
injekcija Cefuroxime sodium
3549
Neodređena nespojivost inkompatibilan
injekcija Amikacin sulfate
injekcija Cefuroxime sodium
3687
Kemijska nestabilnost inkompatibilan
injekcija Amikacin sulfate
injekcija Cefuzonam
3549
Neodređena nespojivost inkompatibilan
injekcija Amikacin sulfate
injekcija Chlorothiazide sodium
3549
Kompatibilan
injekcija Amikacin sulfate 2.5 mg/ml
injekcija Cimetidine hydrochloride 1.5 mg/ml
glukoza 5% 1201
Kemijska nestabilnost inkompatibilan
injekcija Amikacin sulfate 4 mg/ml
injekcija Ciprofloxacin lactate 1.5 mg/ml
natrijumkorid 0,9% 434
Kemijska nestabilnost inkompatibilan
injekcija Amikacin sulfate 4 mg/ml
injekcija Ciprofloxacin lactate 1.5 mg/ml
glukoza 5% 434
Kompatibilan
injekcija Amikacin sulfate 5 mg/ml
injekcija Cisatracurium besylate 0.1 >> 5 mg/ml
glukoza 5% 299
Kompatibilan
injekcija Amikacin sulfate 4 mg/ml
injekcija Clindamycin phosphate 9 mg/ml
natrijumkorid 0,9% 565
Kompatibilan
injekcija Amikacin sulfate 250 mg/ml
Parenteralna prehrana (bezlipidna) 999
Kompatibilan
injekcija Amikacin sulfate 5 mg/ml
injekcija Ciprofloxacin lactate 2 mg/ml
glukoza 5% 285
Kemijska nestabilnost inkompatibilan
injekcija Amikacin sulfate
injekcija Cisplatin
3578
Kompatibilan
injekcija Amikacin sulfate 75 mg/ml
injekcija Clindamycin phosphate 90 mg/ml
natrijumkorid 0,9% 639
Kompatibilan
injekcija Amikacin sulfate
injekcija Clindamycin phosphate
natrijumkorid 0,9% 3526
Subvizualna nekompatibilnost inkompatibilan
injekcija Amikacin sulfate 250 mg/ml
injekcija Cloxacillin sodium 100 mg/ml
čista voda za injektiranje 3012
Neodređena nespojivost inkompatibilan
injekcija Amikacin sulfate
injekcija Daunorubicin/cytarabine liposomale
4354
Kompatibilan
injekcija Amikacin sulfate 5 mg/ml
Parenteralna prehrana (bezlipidna) 316
Kompatibilan
injekcija Amikacin sulfate 4 mg/ml
injekcija Clindamycin phosphate 9 mg/ml
glukoza 5% 565
Kompatibilan
injekcija Amikacin sulfate
injekcija Clindamycin phosphate
glukoza 5% 3526
Kemijska nestabilnost inkompatibilan
injekcija Amikacin sulfate
injekcija Cloxacillin sodium
3549
Neodređena nespojivost inkompatibilan
injekcija Amikacin sulfate
injekcija Cyanocobalamine
3549
Neposredna zamućenost inkompatibilan
injekcija Amikacin sulfate
injekcija Daunorubicin/cytarabine liposomale 0,4 mg/mL
natrijumkorid 0,9% 4654
Neposredne oborine inkompatibilan
injekcija Amikacin sulfate 5 mg/ml
injekcija Defibrotide 8 mg/ml
natrijumkorid 0,9% 3728
Kompatibilan
injekcija Amikacin sulfate 50 mg/ml
injekcija Dexamethasone sodium phosphate 4 mg/ml
natrijumklorid 0,45% 132
Neodređena nespojivost inkompatibilan
injekcija Amikacin sulfate
injekcija Erythromycin lactobionate
3549
Kompatibilan
injekcija Amikacin sulfate 5 mg/ml
Parenteralna prehrana (bezlipidna) 301
Kompatibilan
injekcija Amikacin sulfate 5 mg/ml
injekcija Dexmedetomidine 4 µg/ml
natrijumkorid 0,9% 1712
Kompatibilan
injekcija Amikacin sulfate 5 & 250 mg/ml
injekcija Diltiazem hydrochloride 5 mg/ml
natrijumkorid 0,9% 198
Kompatibilan
injekcija Amikacin sulfate 5 mg/ml
injekcija Docetaxel 0.9 mg/ml
glukoza 5% 1754
Kompatibilan
injekcija Amikacin sulfate 5 mg/ml
injekcija Doripenem 5 mg/ml
natrijumkorid 0,9% 2262
Kompatibilan
injekcija Amikacin sulfate 5 mg/ml
injekcija Doripenem 5 mg/ml
glukoza 5% 2262
Kemijska nestabilnost inkompatibilan
injekcija Amikacin sulfate
injekcija Doripenem
3549
Kompatibilan
injekcija Amikacin sulfate 2 mg/ml
injekcija Enalaprilate 0.05 mg/ml
natrijumkorid 0,9% 1315
Kemijska nestabilnost inkompatibilan
injekcija Amikacin sulfate
injekcija Ertapenem
3549
Neodređena nespojivost inkompatibilan
injekcija Amikacin sulfate
injekcija Erythromycin lactobionate
3674
Kompatibilan
injekcija Amikacin sulfate 5 mg/ml
injekcija Esmolol hydrochloride 10 mg/ml
glukoza 5% 384
Kompatibilan
injekcija Amikacin sulfate 5 mg/ml
injekcija Etoposide phosphate 5 mg/ml
glukoza 5% 1410
Kompatibilan
injekcija Amikacin sulfate 5 mg/ml
injekcija Fenoldopam mesylate 80 µg/ml
natrijumkorid 0,9% 1803
Kompatibilan
injekcija Amikacin sulfate 5 mg/ml
injekcija Filgrastim 30 µg/ml
glukoza 5% 244
Kompatibilan
injekcija Amikacin sulfate 0.487 >> 0.667 mg/ml
Parenteralna prehrana (lipidima) 1868
Kompatibilan
injekcija Amikacin sulfate 250 mg/ml
Ringer laktat 4603
Nestabilnost emulzije nakon 1 sata inkompatibilan
injekcija Amikacin sulfate 250 mg/ml
Parenteralna prehrana (lipidima) 673
Kompatibilan
injekcija Amikacin sulfate 5 mg/ml
injekcija Filgrastim 40 µg/ml
glukoza 5% 104
Neposredna nestabilnost emulzije inkompatibilan
injekcija Amikacin sulfate 50 mg/ml
Parenteralna prehrana (lipidima) 132
Kompatibilan
injekcija Amikacin sulfate 5 mg/ml
Parenteralna prehrana (lipidima) 1415
Neposredne oborine inkompatibilan
injekcija Amikacin sulfate
injekcija Flucloxacillin sodium
3522
Kompatibilan
injekcija Amikacin sulfate 20 mg/ml
injekcija Fluconazole 2 mg/ml
natrijumkorid 0,9% 496
Kompatibilan
injekcija Amikacin sulfate 5 mg/ml
injekcija Fluconazole 2 mg/ml
nijedan 256
Kompatibilan
injekcija Amikacin sulfate 5 mg/ml
injekcija Fludarabine phosphate 1 mg/ml
glukoza 5% 492
Kompatibilan
injekcija Amikacin sulfate 20 mg/ml
injekcija Foscarnet sodium 24 mg/ml
nijedan 73
Kompatibilan
injekcija Amikacin sulfate 5 mg/ml
injekcija Fosfomycin 30 mg/ml
natrijumkorid 0,9% 4055
Kompatibilan
injekcija Amikacin sulfate 5 mg/ml
injekcija Fosfomycin 30 mg/ml
glukoza 5% 4055
Neposredne oborine inkompatibilan
injekcija Amikacin sulfate 2 mg/ml
injekcija Furosemide 0,16 mg/ml
natrijumkorid 0,9% 367
Neposredne oborine inkompatibilan
injekcija Amikacin sulfate 2 mg/ml
injekcija Furosemide 0,16 mg/ml
glukoza 5% 367
Kompatibilan
injekcija Amikacin sulfate 5 mg/ml
injekcija Gemcitabine hydrochloride 10 mg/ml
natrijumkorid 0,9% 1423
Kompatibilan
injekcija Amikacin sulfate 5 mg/ml
injekcija Granisetron hydrochloride 0.05 mg/ml
glukoza 5% 182
Neodređena nespojivost inkompatibilan
injekcija Amikacin sulfate
injekcija Heparin sodium
3549
Neodređena nespojivost inkompatibilan
injekcija Amikacin sulfate
injekcija Heparin sodium
3540
Neposredne oborine inkompatibilan
injekcija Amikacin sulfate
injekcija Heparin sodium
1022
Kompatibilan
injekcija Amikacin sulfate 5 mg/ml
injekcija Hetastarch 60 mg/ml
Specifična otapala 1721
Neposredne oborine inkompatibilan
injekcija Amikacin sulfate 5 mg/ml
injekcija Hetastarch 60 mg/ml
natrijumkorid 0,9% 472
Kompatibilan
injekcija Amikacin sulfate 5 mg/ml
injekcija Hydromorphone hydrochloride 0.2 mg/ml
glukoza 5% 405
Neposredna zamućenost inkompatibilan
injekcija Amikacin sulfate 50 mg/ml
injekcija Ibuprofen lysinate 10 mg/ml
čista voda za injektiranje 4419
Neposredna zamućenost inkompatibilan
injekcija Amikacin sulfate 250 mg/ml
injekcija Ibuprofen lysinate 10 mg/ml
čista voda za injektiranje 4419
Kompatibilan
injekcija Amikacin sulfate 5 mg/ml
injekcija Idarubicin hydrochloride 1 mg/ml
natrijumkorid 0,9% 491
Kemijska nestabilnost inkompatibilan
injekcija Amikacin sulfate
injekcija Imipenem - cilastatin sodium
3549
Kompatibilan
injekcija Amikacin sulfate 5 mg/ml
injekcija Isavuconazonium sulfate 1.5 mg/ml
glukoza 5% 3829
Kompatibilan
injekcija Amikacin sulfate 5 mg/ml
injekcija Isavuconazonium sulfate 1.5 mg/ml
natrijumkorid 0,9% 3829
Kompatibilan
injekcija Amikacin sulfate 250 mg/ml
injekcija Ketamine hydrochloride 50 mg/ml
2109
Kompatibilan
injekcija Amikacin sulfate 5 mg/ml
injekcija Labetalol hydrochloride 1 mg/ml
glukoza 5% 386
Kompatibilan
injekcija Amikacin sulfate 5 mg/ml
injekcija Lansoprazole 0.55 mg/ml
natrijumkorid 0,9% 1625
Kompatibilan
injekcija Amikacin sulfate 50 mg/ml
injekcija Levofloxacine 5 mg/ml
glukoza 5% 1072
Kompatibilan
injekcija Amikacin sulfate 5 mg/ml
injekcija Linezolid 2 mg/ml
nijedan 1925
Kompatibilan
injekcija Amikacin sulfate 5 mg/ml
injekcija Lorazepam 0.33 mg/ml
natrijumkorid 0,9% 186
Kompatibilan
injekcija Amikacin sulfate 5 mg/ml
injekcija Magnesium sulfate 16.67 >> 100 mg/ml
glukoza 5% 1047
Kompatibilan
injekcija Amikacin sulfate 5 mg/ml
injekcija Melphalan 0.1 mg/ml
natrijumkorid 0,9% 169
Kompatibilan
injekcija Amikacin sulfate 250 mg/ml
injekcija Meropenem 50 mg/ml
4389
Kompatibilan
injekcija Amikacin sulfate 250 mg/ml
injekcija Meropenem 50 mg/ml
čista voda za injektiranje 4319
Kemijska nestabilnost inkompatibilan
injekcija Amikacin sulfate
injekcija Meropenem
3549
Kompatibilan
injekcija Amikacin sulfate
injekcija Metronidazole
3594
Kompatibilan
injekcija Amikacin sulfate 5 mg/ml
injekcija Metronidazole 5 mg/ml
nijedan 1035
Kompatibilan
injekcija Amikacin sulfate 5 mg/ml
injekcija Midazolam hydrochloride 5 mg/ml
nijedan 186
Kompatibilan
injekcija Amikacin sulfate 5 mg/ml
injekcija Morphine sulfate 1 mg/ml
glukoza 5% 405
Kompatibilan
injekcija Amikacin sulfate 250 mg/ml
injekcija N-acetylcysteine 200 mg/ml
nijedan 3766
Kemijska nestabilnost inkompatibilan
injekcija Amikacin sulfate
injekcija Nafcillin sodium
3549
Kompatibilan
injekcija Amikacin sulfate 2,5 mg/ml
injekcija Nalbuphine hydrochloride 0,05 >> 0,33 mg/ml
natrijumkorid 0,9% 4867
Kompatibilan
injekcija Amikacin sulfate 250 mg/ml
injekcija Naloxone hydrochloride 0.4 mg/ml
nijedan 3408
Kompatibilan
injekcija Amikacin sulfate 2 mg/ml
injekcija Nicardipine hydrochloride 0.1 mg/ml
glukoza 5% 1490
Kompatibilan
injekcija Amikacin sulfate 2 mg/ml
injekcija Nicardipine hydrochloride 0.1 mg/ml
natrijumkorid 0,9% 1490
Kompatibilan
injekcija Amikacin sulfate 5 mg/ml
injekcija Ondansetron hydrochloride 1 mg/ml
natrijumkorid 0,9% 334
Kemijska nestabilnost inkompatibilan
injekcija Amikacin sulfate
injekcija Oxacillin sodium
3549
Kompatibilan
injekcija Amikacin sulfate 5 mg/ml
injekcija Paclitaxel 1.2 mg/ml
glukoza 5% 248
Neposredne oborine inkompatibilan
injekcija Amikacin sulfate
injekcija Pantoprazole sodium
2090
Kompatibilan
injekcija Amikacin sulfate 250 mg/ml
injekcija Paracetamol 10 mg/ml
4742
Kompatibilan
injekcija Amikacin sulfate 5 mg/ml
injekcija Pemetrexed disodium 20 mg/ml
natrijumkorid 0,9% 1953
Kemijska nestabilnost inkompatibilan
injekcija Amikacin sulfate
injekcija Penicillin G potassium
3549
Kemijska nestabilnost inkompatibilan
injekcija Amikacin sulfate
injekcija Penicillin G sodium
3549
Kompatibilan
injekcija Amikacin sulfate 50 mg/ml
injekcija Pethidine hydrochloride 100 mg/ml
natrijumklorid 0,45% 132
Kompatibilan
injekcija Amikacin sulfate 5 mg/ml
injekcija Pethidine hydrochloride 10 mg/ml
glukoza 5% 405
Neodređena nespojivost inkompatibilan
injekcija Amikacin sulfate
injekcija Phenytoin sodium
3549
Kompatibilan
injekcija Amikacin sulfate 40 mg/ml
injekcija Phloroglucinol 2,5 mg/ml
3791
Kemijska nestabilnost inkompatibilan
injekcija Amikacin sulfate
injekcija Piperacillin sodium
3549
Kemijska nestabilnost inkompatibilan
injekcija Amikacin sulfate
injekcija Piperacillin sodium / tazobactam
3549
Kemijska nestabilnost inkompatibilan
injekcija Amikacin sulfate
injekcija Piperacillin sodium / tazobactam
3586
Kompatibilan
injekcija Amikacin sulfate
injekcija Posaconazole
4380
Neposredne oborine inkompatibilan
injekcija Amikacin sulfate 5 mg/ml
injekcija Propofol 10 mg/ml
nijedan 300
Neodređena nespojivost inkompatibilan
injekcija Amikacin sulfate
injekcija Pyridoxine hydrochloride
3549
Kompatibilan
injekcija Amikacin sulfate 5 mg/ml
injekcija Remifentanil hydrochloride 25 & 250 µg/ml
natrijumkorid 0,9% 59
Neposredne oborine inkompatibilan
injekcija Amikacin sulfate 250 mg/ml
injekcija Salbutamol sulfate 1 mg/ml
nijedan 3216
Kompatibilan
injekcija Amikacin sulfate 5 mg/ml
injekcija Sargramostim 10 µg/ml
natrijumkorid 0,9% 335
Kompatibilan
injekcija Amikacin sulfate 10 mg/ml
injekcija Sulbactam/durlobactam 15/15 mg/ml
natrijumkorid 0,9% 4801
Kompatibilan
injekcija Amikacin sulfate 5 mg/ml
injekcija Tedizolid phosphate 0.8 mg/ml
natrijumkorid 0,9% 3827
Neodređena nespojivost inkompatibilan
injekcija Amikacin sulfate
injekcija Teicoplanine
3656
Kompatibilan
injekcija Amikacin sulfate
natrijumkorid 0,9% 5076
Neodređena nespojivost inkompatibilan
injekcija Amikacin sulfate 50 mg/ml
injekcija Propofol
4524
Neodređena nespojivost inkompatibilan
injekcija Amikacin sulfate
injekcija Temocilline
2296
Kompatibilan
injekcija Amikacin sulfate 15 mg/ml
injekcija Temocilline 83.33 mg/ml
čista voda za injektiranje 2231
Kemijska nestabilnost inkompatibilan
injekcija Amikacin sulfate
injekcija Temocilline
3549
Kompatibilan
injekcija Amikacin sulfate 5 mg/ml
injekcija Teniposide 0.1 mg/ml
glukoza 5% 905
Neodređena nespojivost inkompatibilan
injekcija Amikacin sulfate
injekcija Thiamine hydrochloride
3549
Neposredne oborine inkompatibilan
injekcija Amikacin sulfate 250 mg/ml
injekcija Thiopental sodium 25 mg/ml
natrijumkorid 0,9% 3767
Neodređena nespojivost inkompatibilan
injekcija Amikacin sulfate
injekcija Thiopental sodium
3549
Kompatibilan
injekcija Amikacin sulfate 5 mg/ml
injekcija Thiotepa 1 mg/ml
glukoza 5% 249
Kemijska nestabilnost inkompatibilan
injekcija Amikacin sulfate
injekcija Ticarcillin / clavulanic acid
3587
Kemijska nestabilnost inkompatibilan
injekcija Amikacin sulfate
injekcija Ticarcillin / clavulanic acid
3549
Kompatibilan
injekcija Amikacin sulfate
injekcija Tigecycline
natrijumkorid 0,9% 3332
Kompatibilan
injekcija Amikacin sulfate 15 mg/ml
injekcija Vancomycin hydrochloride 10 mg/ml
glukoza 5% 3385
Kompatibilan
injekcija Amikacin sulfate 2 mg/ml
injekcija Verapamil hydrochloride 0.08 mg/ml
natrijumkorid 0,9% 1057
Kompatibilan
injekcija Amikacin sulfate 2 mg/ml
injekcija Verapamil hydrochloride 0.08 mg/ml
glukoza 5% 1057
Neposredna zamućenost inkompatibilan
injekcija Amikacin sulfate 5 mg/ml
injekcija Vinorelbine tartrate 1 mg/ml
natrijumkorid 0,9% 84
Kompatibilan
injekcija Amikacin sulfate 5 mg/ml
injekcija Warfarin sodium 0.1 & 2 mg/ml
glukoza 5% 552
Kompatibilan
injekcija Amikacin sulfate 5 mg/ml
injekcija Warfarin sodium 0.1 & 2 mg/ml
natrijumkorid 0,9% 552
Kompatibilan
injekcija Amikacin sulfate 4 mg/ml
injekcija Zidovudine 4 mg/ml
glukoza 5% 337

  Mentions Légales