Ostatnia aktualizacja :
18/03/2026
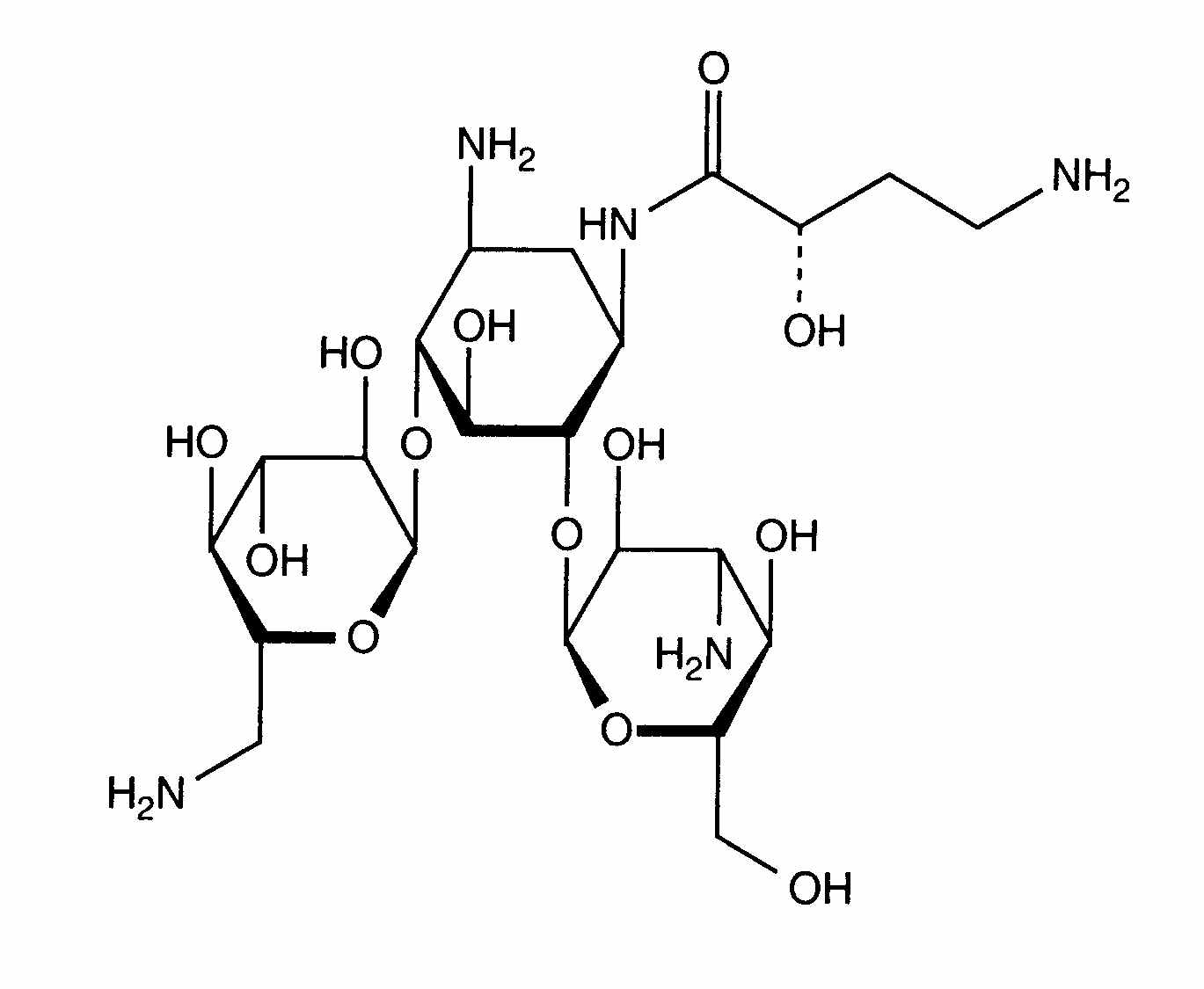
Antybiotyk   Amikacin sulfate  
Injekcje
Trwałość roztworów Trwałość w mieszaninie Czynnik wpływający na trwałość Zgodność Sposób podania Bibliografia pdf
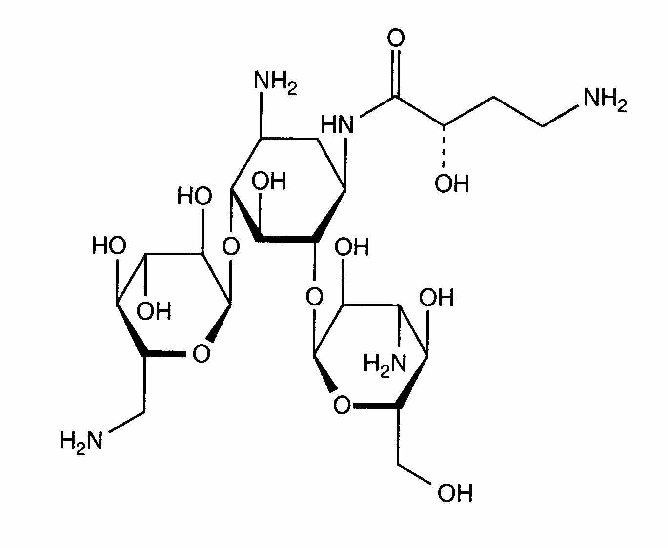
   Struktura chemiczna  

Nazwa handlowa   Nazwa handlowa     

Trade names are indicative and excipients composition can be different depending on the country and manufacturers

Adnet Indie
Agnicin Meksyk
Akamin Ekwador
Akim Ekwador
Amicacil Brazylia
Amicilon Brazylia
Amicin Malezja
Amicip Wenezuela
Amijeksin Turcja
Amikabiot Ekwador, Peru
Amikacin Arabia Saudyjska, Egipt, Iran, Kanada, Malezja, Niemcy, nowa Zelandia, Stany Zjednoczone Ameryki, Wielka Brytania
Amikacina Argentyna, Chile, Ekwador, Hiszpania, KolumbiaKolumbia, Meksyk, Peru, Wenezuela, Włochy
Amikacine Belgia, Francja , Holandia, Maroko
Amikafur Meksyk
Amikagram Peru
Amikalem Meksyk
Amikamed Peru
Amikamek Peru
Amikan Włochy
Amikavax Wenezuela
Amikaver Turcja
Amikayect Meksyk
Amikem Peru
Amiketem Turcja
Amikin Arabia Saudyjska, Australia, Brazylia, Egipt, Ekwador, Irlandia, KolumbiaKolumbia, Meksyk, Peru, Polska, Stany Zjednoczone Ameryki, Szwajcaria, Tunisie, Węgry, Wielka Brytania
Amiklin Francja , Turcja
Amikosit Rumunia, Tunisie, Turcja
Amikram Peru
Amukin Belgia, Holandia, Luksemburg
Apalin Malezja
Baxi K Chile, Meksyk
Behcacin Indie, Wenezuela
Belka Indie
Biclin Austria, Finlandia, Hiszpania, Meksyk, Niemcy, Portugalia, Szwecja
Biodacyna Polska
Biokacin Meksyk
Briklin Grecja
Cadicin Indie
Chemacin Włochy
Cikabit Indie
Cinamica Indie
Cinas Indie
Consumonit Grecja
Domak Indie
Doxocar Argentyna
Elcin Indie
Elmik Indie
Emcin Indie
Emica Indie
Farcyclin Grecja
Flexelite Grecja
Greini Argentyna
Ipacin Iran
Itukacin Peru
Kancin Grecja
Lanomycin Grecja
Lukadin Włochy
Masmika Indie
Mediamik Włochy
Micalpha Grecja
Micigen Meksyk
Migracin Włochy
Mikacin Arabia Saudyjska
Nekacin Włochy
Novamin Brazylia
Orlobin Grecja
Remikin Grecja
Rovericlin Grecja
Uzix Grecja
Zgodność   Injekcje   Zgodność : Amikacin sulfate              
Ekran ten wskazuje na kompatybilności lub niezgodności z, w tym przypadku, rodzajem niezgodności (strącanie, zmiana koloru, modyfikacja emulsji, itp.). Przedstawione tutaj kompatybilności są głównie fizyczne, a stabilność chemiczna każdej cząsteczki jest rzadko oceniana. Ocenę tych mieszanin badano w celu rozważenia możliwości podania pacjentowi w miejscu Y. Dane te nie mogą być wykorzystywane do sporządzania mieszanin z wyprzedzeniem w workach lub strzykawkach. Tego typu informacje są dostępne na ekranie „Stabilność w mieszaninie”.
Związek Rozpuszczalnik Bibliografia
Zgodny
Injekcje Amikacin sulfate 5 mg/ml
Injekcje Aciclovir sodium 5 mg/ml
Glukoza 5% 336
Opady po 1 godzinie Niekompatybilny
Injekcje Amikacin sulfate 5 mg/ml
Injekcje Allopurinol sodium 3 mg/ml
Chlorek sodu 0,9% 307
Zgodny
Injekcje Amikacin sulfate 5 mg/ml
Injekcje Amifostine 10 mg/ml
Glukoza 5% 3
Zgodny
Injekcje Amikacin sulfate 5 mg/ml
Injekcje Amiodarone hydrochloride 4 mg/ml
Chlorek sodu 0,9% 385
Zgodny
Injekcje Amikacin sulfate 5 mg/ml
Injekcje Amiodarone hydrochloride 4 mg/ml
Glukoza 5% 385
Niestabilność chemiczna Niekompatybilny
Injekcje Amikacin sulfate
Injekcje Amoxicillin sodium
3527
Niestabilność chemiczna Niekompatybilny
Injekcje Amikacin sulfate
Injekcje Amoxicillin sodium
3549
Zgodny
Injekcje Amikacin sulfate 250 mg/ml
Injekcje Amoxicillin sodium / clavulanic acid 100/10 mg/ml
3824
Niestabilność chemiczna Niekompatybilny
Injekcje Amikacin sulfate
Injekcje Amoxicillin sodium / clavulanic acid
3549
Nieokreślona niezgodność Niekompatybilny
Injekcje Amikacin sulfate
Injekcje Amoxicillin sodium / clavulanic acid
3545
Nieokreślona niezgodność Niekompatybilny
Injekcje Amikacin sulfate
Injekcje Amphotericin B
3549
Natychmiastowe opady Niekompatybilny
Injekcje Amikacin sulfate 5 mg/ml
Injekcje Amphotericin B cholesteryl sulfate complex 0.83 mg/ml
Glukoza 5% 921
Niestabilność chemiczna Niekompatybilny
Injekcje Amikacin sulfate
Injekcje Ampicillin sodium
3549
Niestabilność chemiczna Niekompatybilny
Injekcje Amikacin sulfate
Injekcje Ampicillin sodium - sulbactam sodium
3549
Zgodny
Injekcje Amikacin sulfate 5 mg/ml
Injekcje Amsacrine 1 mg/ml
Glukoza 5% 253
Zgodny
Injekcje Amikacin sulfate 5 mg/ml
Injekcje Anidulafungin 0.5 mg/ml
Glukoza 5% 1982
Nieokreślona niezgodność Niekompatybilny
Injekcje Amikacin sulfate
Injekcje Ascorbic acid
3549
Natychmiastowe opady Niekompatybilny
Injekcje Amikacin sulfate 100 mg/ml
Injekcje Azithromycine 2 mg/ml
Chlorek sodu 0,9% 1800
Niestabilność chemiczna Niekompatybilny
Injekcje Amikacin sulfate
Injekcje Aztreonam
3549
Zgodny
Injekcje Amikacin sulfate 5 mg/ml
Injekcje Aztreonam 40 mg/ml
Glukoza 5% 99
Zgodny
Injekcje Amikacin sulfate 5 mg/ml
Injekcje Bivalirudin 5 mg/ml
Glukoza 5% 1713
Zgodny
Injekcje Amikacin sulfate 250 mg/ml
Injekcje Caffeine 10 mg/ml
Żaden 3964
Niekompatybilny
Injekcje Amikacin sulfate
Injekcje Calcium gluconate
4964
Nieokreślona niezgodność Niekompatybilny
Injekcje Amikacin sulfate
Injekcje Calcium gluconate
3644
Zgodny
Injekcje Amikacin sulfate 5 mg/ml
Injekcje Caspofungin acetate 0,7 mg/ml
Chlorek sodu 0,9% 2247
Niestabilność chemiczna Niekompatybilny
Injekcje Amikacin sulfate
Injekcje Cefalotin sodium
3549
Niestabilność chemiczna Niekompatybilny
Injekcje Amikacin sulfate
Injekcje Cefamandole nafate
3549
Nieokreślona niezgodność Niekompatybilny
Injekcje Amikacin sulfate
Injekcje Cefamandole nafate
3546
Niestabilność chemiczna Niekompatybilny
Injekcje Amikacin sulfate
Injekcje Cefazolin sodium
3549
Zgodny
Injekcje Amikacin sulfate 6 mg/ml
Injekcje Cefepime dihydrochloride 40 mg/ml
Chlorek sodu 0,9% 3548
Zgodny
Injekcje Amikacin sulfate 6 mg/ml
Injekcje Cefepime dihydrochloride 40 mg/ml
Glukoza 5% 3548
Zgodny
Injekcje Amikacin sulfate 15 mg/ml
Injekcje Cefepime dihydrochloride 125 mg/ml
Woda do wstrzyknięć 2141
Niestabilność chemiczna Niekompatybilny
Injekcje Amikacin sulfate
Injekcje Cefepime dihydrochloride
3549
Zgodny
Injekcje Amikacin sulfate 5 mg/ml
Injekcje Cefiderocol sulfate tosylate 20 mg/mL
Glukoza 5% 4528
Niestabilność chemiczna Niekompatybilny
Injekcje Amikacin sulfate
Injekcje Cefmenoxime
3549
Niestabilność chemiczna Niekompatybilny
Injekcje Amikacin sulfate
Injekcje Cefmetazole sodium
3549
Niestabilność chemiczna Niekompatybilny
Injekcje Amikacin sulfate
Injekcje Cefonicid sodium
3549
Niestabilność chemiczna Niekompatybilny
Injekcje Amikacin sulfate
Injekcje Cefoperazone sodium
3549
Nieokreślona niezgodność Niekompatybilny
Injekcje Amikacin sulfate
Injekcje Cefoperazone sodium
3544
Niestabilność chemiczna Niekompatybilny
Injekcje Amikacin sulfate
Injekcje Ceforanide
3549
Niestabilność chemiczna Niekompatybilny
Injekcje Amikacin sulfate
Injekcje Cefotaxime sodium
3549
Niestabilność chemiczna Niekompatybilny
Injekcje Amikacin sulfate
Injekcje Cefoxitin sodium
3549
Nieokreślona niezgodność Niekompatybilny
Injekcje Amikacin sulfate
Injekcje Cefpirome sulfate
3677
Zgodny
Injekcje Amikacin sulfate 5 mg/ml
Injekcje Cefpirome sulfate 50 mg/ml
Chlorek sodu 0,45% 280
Zgodny
Injekcje Amikacin sulfate 5 mg/ml
Injekcje Cefpirome sulfate 50 mg/ml
Glukoza 5% 280
Zgodny
Injekcje Amikacin sulfate 5 mg/ml
Injekcje Cefpirome sulfate 50 mg/ml
Chlorek sodu 0,9% 280
Zgodny
Injekcje Amikacin sulfate 5 mg/ml
Injekcje Cefpirome sulfate 50 mg/ml
Roztwór Ringera z mleczanem sodowym 280
Niestabilność chemiczna Niekompatybilny
Injekcje Amikacin sulfate
Injekcje Cefpirome sulfate
3549
Zgodny
Injekcje Amikacin sulfate 5 mg/ml
Injekcje Ceftaroline fosamil 2,22 mg/ml
Roztwór Ringera z mleczanem sodowym 3249
Zgodny
Injekcje Amikacin sulfate 5 mg/ml
Injekcje Ceftaroline fosamil 2,22 mg/ml
Glukoza 5% 3249
Zgodny
Injekcje Amikacin sulfate 5 mg/ml
Injekcje Ceftaroline fosamil 2,22 mg/ml
Chlorek sodu 0,9% 3249
Nieokreślona niezgodność Niekompatybilny
Injekcje Amikacin sulfate
Injekcje Ceftazidime
3883
Nieokreślona niezgodność Niekompatybilny
Injekcje Amikacin sulfate
Injekcje Ceftazidime
3543
Zgodny
Injekcje Amikacin sulfate 15 mg/ml
Injekcje Ceftazidime 83.3 mg/ml
1759
Niestabilność chemiczna Niekompatybilny
Injekcje Amikacin sulfate
Injekcje Ceftazidime Avibactam
3549
Natychmiastowe opady Niekompatybilny
Injekcje Amikacin sulfate 5 mg/ml
Injekcje Ceftobiprole medocaril sodium 2 mg/ml
Chlorek sodu 0,9% 2269
Nieokreślona niezgodność Niekompatybilny
Injekcje Amikacin sulfate
Injekcje Ceftobiprole medocaril sodium
4650
Zgodny
Injekcje Amikacin sulfate
Glukoza 5% 5076
Niestabilność chemiczna Niekompatybilny
Injekcje Amikacin sulfate
Injekcje Ceftaroline fosamil
3549
Niestabilność chemiczna Niekompatybilny
Injekcje Amikacin sulfate
Injekcje Ceftazidime
3549
Zgodny
Injekcje Amikacin sulfate 15 mg/ml
Injekcje Ceftazidime 125 mg/ml
Woda do wstrzyknięć 2141
Niestabilność chemiczna Niekompatybilny
Injekcje Amikacin sulfate
Injekcje Ceftizoxime sodium
3549
Natychmiastowe opady Niekompatybilny
Injekcje Amikacin sulfate 5 mg/ml
Injekcje Ceftobiprole medocaril sodium 2 mg/ml
Glukoza 5% 2269
Niestabilność chemiczna Niekompatybilny
Injekcje Amikacin sulfate
Injekcje Ceftobiprole medocaril sodium
3549
Natychmiastowe opady Niekompatybilny
Injekcje Amikacin sulfate 5 mg/ml
Injekcje Ceftobiprole medocaril sodium 2 mg/ml
Roztwór Ringera z mleczanem sodowym 2269
Zgodny
Injekcje Amikacin sulfate 5 mg/ml
Injekcje Ceftolozane / tazobactam 10/5 mg/ml
Glukoza 5% 3828
Zgodny
Injekcje Amikacin sulfate 5 mg/ml
Injekcje Ceftolozane / tazobactam 10/5 mg/ml
Chlorek sodu 0,9% 3828
Niestabilność chemiczna Niekompatybilny
Injekcje Amikacin sulfate
Injekcje Ceftolozane / tazobactam
3549
Nieokreślona niezgodność Niekompatybilny
Injekcje Amikacin sulfate
Injekcje Ceftriaxone disodium
3523
Niestabilność chemiczna Niekompatybilny
Injekcje Amikacin sulfate
Injekcje Ceftriaxone disodium
3549
Niestabilność chemiczna Niekompatybilny
Injekcje Amikacin sulfate
Injekcje Cefuroxime sodium
3549
Nieokreślona niezgodność Niekompatybilny
Injekcje Amikacin sulfate
Injekcje Cefuroxime sodium
3687
Niestabilność chemiczna Niekompatybilny
Injekcje Amikacin sulfate
Injekcje Cefuzonam
3549
Nieokreślona niezgodność Niekompatybilny
Injekcje Amikacin sulfate
Injekcje Chlorothiazide sodium
3549
Zgodny
Injekcje Amikacin sulfate 2.5 mg/ml
Injekcje Cimetidine hydrochloride 1.5 mg/ml
Glukoza 5% 1201
Niestabilność chemiczna Niekompatybilny
Injekcje Amikacin sulfate 4 mg/ml
Injekcje Ciprofloxacin lactate 1.5 mg/ml
Chlorek sodu 0,9% 434
Niestabilność chemiczna Niekompatybilny
Injekcje Amikacin sulfate 4 mg/ml
Injekcje Ciprofloxacin lactate 1.5 mg/ml
Glukoza 5% 434
Zgodny
Injekcje Amikacin sulfate 5 mg/ml
Injekcje Cisatracurium besylate 0.1 >> 5 mg/ml
Glukoza 5% 299
Zgodny
Injekcje Amikacin sulfate 4 mg/ml
Injekcje Clindamycin phosphate 9 mg/ml
Chlorek sodu 0,9% 565
Zgodny
Injekcje Amikacin sulfate 250 mg/ml
Odżywianie pozajelitowe (mieszanina binarny) 999
Zgodny
Injekcje Amikacin sulfate 5 mg/ml
Injekcje Ciprofloxacin lactate 2 mg/ml
Glukoza 5% 285
Niestabilność chemiczna Niekompatybilny
Injekcje Amikacin sulfate
Injekcje Cisplatin
3578
Zgodny
Injekcje Amikacin sulfate 75 mg/ml
Injekcje Clindamycin phosphate 90 mg/ml
Chlorek sodu 0,9% 639
Zgodny
Injekcje Amikacin sulfate
Injekcje Clindamycin phosphate
Chlorek sodu 0,9% 3526
Niezgodność wizualna Niekompatybilny
Injekcje Amikacin sulfate 250 mg/ml
Injekcje Cloxacillin sodium 100 mg/ml
Woda do wstrzyknięć 3012
Nieokreślona niezgodność Niekompatybilny
Injekcje Amikacin sulfate
Injekcje Daunorubicin/cytarabine liposomale
4354
Zgodny
Injekcje Amikacin sulfate 5 mg/ml
Odżywianie pozajelitowe (mieszanina binarny) 316
Zgodny
Injekcje Amikacin sulfate 4 mg/ml
Injekcje Clindamycin phosphate 9 mg/ml
Glukoza 5% 565
Zgodny
Injekcje Amikacin sulfate
Injekcje Clindamycin phosphate
Glukoza 5% 3526
Niestabilność chemiczna Niekompatybilny
Injekcje Amikacin sulfate
Injekcje Cloxacillin sodium
3549
Nieokreślona niezgodność Niekompatybilny
Injekcje Amikacin sulfate
Injekcje Cyanocobalamine
3549
Natychmiastowe zmętnienie Niekompatybilny
Injekcje Amikacin sulfate
Injekcje Daunorubicin/cytarabine liposomale 0,4 mg/mL
Chlorek sodu 0,9% 4654
Natychmiastowe opady Niekompatybilny
Injekcje Amikacin sulfate 5 mg/ml
Injekcje Defibrotide 8 mg/ml
Chlorek sodu 0,9% 3728
Zgodny
Injekcje Amikacin sulfate 50 mg/ml
Injekcje Dexamethasone sodium phosphate 4 mg/ml
Chlorek sodu 0,45% 132
Nieokreślona niezgodność Niekompatybilny
Injekcje Amikacin sulfate
Injekcje Erythromycin lactobionate
3549
Zgodny
Injekcje Amikacin sulfate 5 mg/ml
Odżywianie pozajelitowe (mieszanina binarny) 301
Zgodny
Injekcje Amikacin sulfate 5 mg/ml
Injekcje Dexmedetomidine 4 µg/ml
Chlorek sodu 0,9% 1712
Zgodny
Injekcje Amikacin sulfate 5 & 250 mg/ml
Injekcje Diltiazem hydrochloride 5 mg/ml
Chlorek sodu 0,9% 198
Zgodny
Injekcje Amikacin sulfate 5 mg/ml
Injekcje Docetaxel 0.9 mg/ml
Glukoza 5% 1754
Zgodny
Injekcje Amikacin sulfate 5 mg/ml
Injekcje Doripenem 5 mg/ml
Chlorek sodu 0,9% 2262
Zgodny
Injekcje Amikacin sulfate 5 mg/ml
Injekcje Doripenem 5 mg/ml
Glukoza 5% 2262
Niestabilność chemiczna Niekompatybilny
Injekcje Amikacin sulfate
Injekcje Doripenem
3549
Zgodny
Injekcje Amikacin sulfate 2 mg/ml
Injekcje Enalaprilate 0.05 mg/ml
Chlorek sodu 0,9% 1315
Niestabilność chemiczna Niekompatybilny
Injekcje Amikacin sulfate
Injekcje Ertapenem
3549
Nieokreślona niezgodność Niekompatybilny
Injekcje Amikacin sulfate
Injekcje Erythromycin lactobionate
3674
Zgodny
Injekcje Amikacin sulfate 5 mg/ml
Injekcje Esmolol hydrochloride 10 mg/ml
Glukoza 5% 384
Zgodny
Injekcje Amikacin sulfate 5 mg/ml
Injekcje Etoposide phosphate 5 mg/ml
Glukoza 5% 1410
Zgodny
Injekcje Amikacin sulfate 5 mg/ml
Injekcje Fenoldopam mesylate 80 µg/ml
Chlorek sodu 0,9% 1803
Zgodny
Injekcje Amikacin sulfate 5 mg/ml
Injekcje Filgrastim 30 µg/ml
Glukoza 5% 244
Zgodny
Injekcje Amikacin sulfate 0.487 >> 0.667 mg/ml
Żywienie pozajelitowe (lipidami) 1868
Zgodny
Injekcje Amikacin sulfate 250 mg/ml
Roztwór Ringera z mleczanem sodowym 4603
Niestabilność emulsji po 1 godzinie Niekompatybilny
Injekcje Amikacin sulfate 250 mg/ml
Żywienie pozajelitowe (lipidami) 673
Zgodny
Injekcje Amikacin sulfate 5 mg/ml
Injekcje Filgrastim 40 µg/ml
Glukoza 5% 104
Natychmiastowa niestabilność emulsji Niekompatybilny
Injekcje Amikacin sulfate 50 mg/ml
Żywienie pozajelitowe (lipidami) 132
Zgodny
Injekcje Amikacin sulfate 5 mg/ml
Żywienie pozajelitowe (lipidami) 1415
Natychmiastowe opady Niekompatybilny
Injekcje Amikacin sulfate
Injekcje Flucloxacillin sodium
3522
Zgodny
Injekcje Amikacin sulfate 20 mg/ml
Injekcje Fluconazole 2 mg/ml
Chlorek sodu 0,9% 496
Zgodny
Injekcje Amikacin sulfate 5 mg/ml
Injekcje Fluconazole 2 mg/ml
Żaden 256
Zgodny
Injekcje Amikacin sulfate 5 mg/ml
Injekcje Fludarabine phosphate 1 mg/ml
Glukoza 5% 492
Zgodny
Injekcje Amikacin sulfate 20 mg/ml
Injekcje Foscarnet sodium 24 mg/ml
Żaden 73
Zgodny
Injekcje Amikacin sulfate 5 mg/ml
Injekcje Fosfomycin 30 mg/ml
Chlorek sodu 0,9% 4055
Zgodny
Injekcje Amikacin sulfate 5 mg/ml
Injekcje Fosfomycin 30 mg/ml
Glukoza 5% 4055
Natychmiastowe opady Niekompatybilny
Injekcje Amikacin sulfate 2 mg/ml
Injekcje Furosemide 0,16 mg/ml
Chlorek sodu 0,9% 367
Natychmiastowe opady Niekompatybilny
Injekcje Amikacin sulfate 2 mg/ml
Injekcje Furosemide 0,16 mg/ml
Glukoza 5% 367
Zgodny
Injekcje Amikacin sulfate 5 mg/ml
Injekcje Gemcitabine hydrochloride 10 mg/ml
Chlorek sodu 0,9% 1423
Zgodny
Injekcje Amikacin sulfate 5 mg/ml
Injekcje Granisetron hydrochloride 0.05 mg/ml
Glukoza 5% 182
Nieokreślona niezgodność Niekompatybilny
Injekcje Amikacin sulfate
Injekcje Heparin sodium
3549
Nieokreślona niezgodność Niekompatybilny
Injekcje Amikacin sulfate
Injekcje Heparin sodium
3540
Natychmiastowe opady Niekompatybilny
Injekcje Amikacin sulfate
Injekcje Heparin sodium
1022
Zgodny
Injekcje Amikacin sulfate 5 mg/ml
Injekcje Hetastarch 60 mg/ml
danego rozpuszczalnika 1721
Natychmiastowe opady Niekompatybilny
Injekcje Amikacin sulfate 5 mg/ml
Injekcje Hetastarch 60 mg/ml
Chlorek sodu 0,9% 472
Zgodny
Injekcje Amikacin sulfate 5 mg/ml
Injekcje Hydromorphone hydrochloride 0.2 mg/ml
Glukoza 5% 405
Natychmiastowe zmętnienie Niekompatybilny
Injekcje Amikacin sulfate 50 mg/ml
Injekcje Ibuprofen lysinate 10 mg/ml
Woda do wstrzyknięć 4419
Natychmiastowe zmętnienie Niekompatybilny
Injekcje Amikacin sulfate 250 mg/ml
Injekcje Ibuprofen lysinate 10 mg/ml
Woda do wstrzyknięć 4419
Zgodny
Injekcje Amikacin sulfate 5 mg/ml
Injekcje Idarubicin hydrochloride 1 mg/ml
Chlorek sodu 0,9% 491
Niestabilność chemiczna Niekompatybilny
Injekcje Amikacin sulfate
Injekcje Imipenem - cilastatin sodium
3549
Zgodny
Injekcje Amikacin sulfate 5 mg/ml
Injekcje Isavuconazonium sulfate 1.5 mg/ml
Glukoza 5% 3829
Zgodny
Injekcje Amikacin sulfate 5 mg/ml
Injekcje Isavuconazonium sulfate 1.5 mg/ml
Chlorek sodu 0,9% 3829
Zgodny
Injekcje Amikacin sulfate 250 mg/ml
Injekcje Ketamine hydrochloride 50 mg/ml
2109
Zgodny
Injekcje Amikacin sulfate 5 mg/ml
Injekcje Labetalol hydrochloride 1 mg/ml
Glukoza 5% 386
Zgodny
Injekcje Amikacin sulfate 5 mg/ml
Injekcje Lansoprazole 0.55 mg/ml
Chlorek sodu 0,9% 1625
Zgodny
Injekcje Amikacin sulfate 50 mg/ml
Injekcje Levofloxacine 5 mg/ml
Glukoza 5% 1072
Zgodny
Injekcje Amikacin sulfate 5 mg/ml
Injekcje Linezolid 2 mg/ml
Żaden 1925
Zgodny
Injekcje Amikacin sulfate 5 mg/ml
Injekcje Lorazepam 0.33 mg/ml
Chlorek sodu 0,9% 186
Zgodny
Injekcje Amikacin sulfate 5 mg/ml
Injekcje Magnesium sulfate 16.67 >> 100 mg/ml
Glukoza 5% 1047
Zgodny
Injekcje Amikacin sulfate 5 mg/ml
Injekcje Melphalan 0.1 mg/ml
Chlorek sodu 0,9% 169
Zgodny
Injekcje Amikacin sulfate 250 mg/ml
Injekcje Meropenem 50 mg/ml
4389
Zgodny
Injekcje Amikacin sulfate 250 mg/ml
Injekcje Meropenem 50 mg/ml
Woda do wstrzyknięć 4319
Niestabilność chemiczna Niekompatybilny
Injekcje Amikacin sulfate
Injekcje Meropenem
3549
Zgodny
Injekcje Amikacin sulfate
Injekcje Metronidazole
3594
Zgodny
Injekcje Amikacin sulfate 5 mg/ml
Injekcje Metronidazole 5 mg/ml
Żaden 1035
Zgodny
Injekcje Amikacin sulfate 5 mg/ml
Injekcje Midazolam hydrochloride 5 mg/ml
Żaden 186
Zgodny
Injekcje Amikacin sulfate 5 mg/ml
Injekcje Morphine sulfate 1 mg/ml
Glukoza 5% 405
Zgodny
Injekcje Amikacin sulfate 250 mg/ml
Injekcje N-acetylcysteine 200 mg/ml
Żaden 3766
Niestabilność chemiczna Niekompatybilny
Injekcje Amikacin sulfate
Injekcje Nafcillin sodium
3549
Zgodny
Injekcje Amikacin sulfate 2,5 mg/ml
Injekcje Nalbuphine hydrochloride 0,05 >> 0,33 mg/ml
Chlorek sodu 0,9% 4867
Zgodny
Injekcje Amikacin sulfate 250 mg/ml
Injekcje Naloxone hydrochloride 0.4 mg/ml
Żaden 3408
Zgodny
Injekcje Amikacin sulfate 2 mg/ml
Injekcje Nicardipine hydrochloride 0.1 mg/ml
Glukoza 5% 1490
Zgodny
Injekcje Amikacin sulfate 2 mg/ml
Injekcje Nicardipine hydrochloride 0.1 mg/ml
Chlorek sodu 0,9% 1490
Zgodny
Injekcje Amikacin sulfate 5 mg/ml
Injekcje Ondansetron hydrochloride 1 mg/ml
Chlorek sodu 0,9% 334
Niestabilność chemiczna Niekompatybilny
Injekcje Amikacin sulfate
Injekcje Oxacillin sodium
3549
Zgodny
Injekcje Amikacin sulfate 5 mg/ml
Injekcje Paclitaxel 1.2 mg/ml
Glukoza 5% 248
Natychmiastowe opady Niekompatybilny
Injekcje Amikacin sulfate
Injekcje Pantoprazole sodium
2090
Zgodny
Injekcje Amikacin sulfate 250 mg/ml
Injekcje Paracetamol 10 mg/ml
4742
Zgodny
Injekcje Amikacin sulfate 5 mg/ml
Injekcje Pemetrexed disodium 20 mg/ml
Chlorek sodu 0,9% 1953
Niestabilność chemiczna Niekompatybilny
Injekcje Amikacin sulfate
Injekcje Penicillin G potassium
3549
Niestabilność chemiczna Niekompatybilny
Injekcje Amikacin sulfate
Injekcje Penicillin G sodium
3549
Zgodny
Injekcje Amikacin sulfate 50 mg/ml
Injekcje Pethidine hydrochloride 100 mg/ml
Chlorek sodu 0,45% 132
Zgodny
Injekcje Amikacin sulfate 5 mg/ml
Injekcje Pethidine hydrochloride 10 mg/ml
Glukoza 5% 405
Nieokreślona niezgodność Niekompatybilny
Injekcje Amikacin sulfate
Injekcje Phenytoin sodium
3549
Zgodny
Injekcje Amikacin sulfate 40 mg/ml
Injekcje Phloroglucinol 2,5 mg/ml
3791
Niestabilność chemiczna Niekompatybilny
Injekcje Amikacin sulfate
Injekcje Piperacillin sodium
3549
Niestabilność chemiczna Niekompatybilny
Injekcje Amikacin sulfate
Injekcje Piperacillin sodium / tazobactam
3549
Niestabilność chemiczna Niekompatybilny
Injekcje Amikacin sulfate
Injekcje Piperacillin sodium / tazobactam
3586
Zgodny
Injekcje Amikacin sulfate
Injekcje Posaconazole
4380
Natychmiastowe opady Niekompatybilny
Injekcje Amikacin sulfate 5 mg/ml
Injekcje Propofol 10 mg/ml
Żaden 300
Nieokreślona niezgodność Niekompatybilny
Injekcje Amikacin sulfate
Injekcje Pyridoxine hydrochloride
3549
Zgodny
Injekcje Amikacin sulfate 5 mg/ml
Injekcje Remifentanil hydrochloride 25 & 250 µg/ml
Chlorek sodu 0,9% 59
Natychmiastowe opady Niekompatybilny
Injekcje Amikacin sulfate 250 mg/ml
Injekcje Salbutamol sulfate 1 mg/ml
Żaden 3216
Zgodny
Injekcje Amikacin sulfate 5 mg/ml
Injekcje Sargramostim 10 µg/ml
Chlorek sodu 0,9% 335
Zgodny
Injekcje Amikacin sulfate 10 mg/ml
Injekcje Sulbactam/durlobactam 15/15 mg/ml
Chlorek sodu 0,9% 4801
Zgodny
Injekcje Amikacin sulfate 5 mg/ml
Injekcje Tedizolid phosphate 0.8 mg/ml
Chlorek sodu 0,9% 3827
Nieokreślona niezgodność Niekompatybilny
Injekcje Amikacin sulfate
Injekcje Teicoplanine
3656
Zgodny
Injekcje Amikacin sulfate
Chlorek sodu 0,9% 5076
Nieokreślona niezgodność Niekompatybilny
Injekcje Amikacin sulfate 50 mg/ml
Injekcje Propofol
4524
Nieokreślona niezgodność Niekompatybilny
Injekcje Amikacin sulfate
Injekcje Temocilline
2296
Zgodny
Injekcje Amikacin sulfate 15 mg/ml
Injekcje Temocilline 83.33 mg/ml
Woda do wstrzyknięć 2231
Niestabilność chemiczna Niekompatybilny
Injekcje Amikacin sulfate
Injekcje Temocilline
3549
Zgodny
Injekcje Amikacin sulfate 5 mg/ml
Injekcje Teniposide 0.1 mg/ml
Glukoza 5% 905
Nieokreślona niezgodność Niekompatybilny
Injekcje Amikacin sulfate
Injekcje Thiamine hydrochloride
3549
Natychmiastowe opady Niekompatybilny
Injekcje Amikacin sulfate 250 mg/ml
Injekcje Thiopental sodium 25 mg/ml
Chlorek sodu 0,9% 3767
Nieokreślona niezgodność Niekompatybilny
Injekcje Amikacin sulfate
Injekcje Thiopental sodium
3549
Zgodny
Injekcje Amikacin sulfate 5 mg/ml
Injekcje Thiotepa 1 mg/ml
Glukoza 5% 249
Niestabilność chemiczna Niekompatybilny
Injekcje Amikacin sulfate
Injekcje Ticarcillin / clavulanic acid
3587
Niestabilność chemiczna Niekompatybilny
Injekcje Amikacin sulfate
Injekcje Ticarcillin / clavulanic acid
3549
Zgodny
Injekcje Amikacin sulfate
Injekcje Tigecycline
Chlorek sodu 0,9% 3332
Zgodny
Injekcje Amikacin sulfate 15 mg/ml
Injekcje Vancomycin hydrochloride 10 mg/ml
Glukoza 5% 3385
Zgodny
Injekcje Amikacin sulfate 2 mg/ml
Injekcje Verapamil hydrochloride 0.08 mg/ml
Chlorek sodu 0,9% 1057
Zgodny
Injekcje Amikacin sulfate 2 mg/ml
Injekcje Verapamil hydrochloride 0.08 mg/ml
Glukoza 5% 1057
Natychmiastowe zmętnienie Niekompatybilny
Injekcje Amikacin sulfate 5 mg/ml
Injekcje Vinorelbine tartrate 1 mg/ml
Chlorek sodu 0,9% 84
Zgodny
Injekcje Amikacin sulfate 5 mg/ml
Injekcje Warfarin sodium 0.1 & 2 mg/ml
Glukoza 5% 552
Zgodny
Injekcje Amikacin sulfate 5 mg/ml
Injekcje Warfarin sodium 0.1 & 2 mg/ml
Chlorek sodu 0,9% 552
Zgodny
Injekcje Amikacin sulfate 4 mg/ml
Injekcje Zidovudine 4 mg/ml
Glukoza 5% 337

  Mentions Légales